2003R2003 — ES — 01.05.2004 — 001.001


Este documento es un instrumento de documentación y no compromete la responsabilidad de las instituciones

►B

REGLAMENTO (CE)No 2003/2003 DEL PARLAMENTO EUROPEO Y DEL CONSEJO

de 13 de octubre de 2003

relativo a los abonos

(Texto pertinente a efectos del EEE)

(DO L 304, 21.11.2003, p.1)

Modificado por:

 

 

Diario Oficial

  No

page

date

►M1

REGLAMENTO (CE) No 885/2004 DEL CONSEJO de 26 de abril de 2004

  L 168

1

1.5.2004




▼B

REGLAMENTO (CE)No 2003/2003 DEL PARLAMENTO EUROPEO Y DEL CONSEJO

de 13 de octubre de 2003

relativo a los abonos

(Texto pertinente a efectos del EEE)



EL PARLAMENTO EUROPEO Y EL CONSEJO DE LA UNIÓN EUROPEA,

Visto el Tratado constitutivo de la Comunidad Europea, y en particular su artículo 95,

Vista la propuesta de la Comisión ( 1 ),

Visto el dictamen del Comité Económico y Social ( 2 ),

De conformidad con el procedimiento establecido en el artículo 251 del Tratado ( 3 ),

Considerando lo siguiente:

(1)

La Directiva 76/116/CEE del Consejo, de 18 de diciembre de 1975, relativa a la aproximación de las legislaciones de los Estados miembros sobre los abonos ( 4 ), la Directiva 80/876/CEE del Consejo, de 15 de julio de 1980, relativa a la aproximación de las legislaciones de los Estados miembros sobre los fertilizantes simples a base de nitrato amónico y con alto contenido en nitrógeno ( 5 ), la Directiva 87/94/CEE de la Comisión, de 8 de diciembre de 1986, relativa a la aproximación de las legislaciones de los Estados miembros sobre los procedimientos de control de las características, límites y detonabilidad de los fertilizantes simples a base de nitrato amónico y con alto contenido en nitrógeno ( 6 ), y la Directiva 77/535/CEE de la Comisión, de 22 de junio de 1977, relativa a la aproximación de las legislaciones de los Estados miembros sobre los métodos de toma de muestras y de análisis de los abonos ( 7 ), han sido modificadas en varias ocasiones y de forma sustancial. Con arreglo a la Comunicación de la Comisión al Parlamento Europeo y al Consejo «Simplificación de la legislación en el mercado interior (SLIM)» y al Plan de acción para el mercado único, procede, en aras de una mayor claridad, derogar las mencionadas Directivas y sustituirlas por un único instrumento jurídico.

(2)

La legislación comunitaria sobre abonos tiene un contenido muy técnico. Por consiguiente, el instrumento jurídico más adecuado es el Reglamento, ya que impone de manera directa a los fabricantes exigencias precisas que han de aplicarse simultáneamente y del mismo modo en toda la Comunidad.

(3)

En cada Estado miembro, los abonos deben reunir determinadas características técnicas fijadas por disposiciones imperativas. Especialmente en lo que se refiere a la composición, definición, denominación, identificación y envasado de los distintos tipos de abonos, dichas disposiciones difieren de un Estado miembro a otro. Tales diferencias obstaculizan los intercambios en el interior de la Comunidad y, por consiguiente, deben armonizarse.

(4)

Dado que el objetivo de la acción pretendida, a saber, garantizar el mercado interior de los abonos, no puede ser alcanzado de manera suficiente por los Estados miembros si no existen unos criterios técnicos comunes y, por consiguiente, puede lograrse mejor, debido a la envergadura de la acción, a nivel comunitario, la Comunidad puede adoptar medidas, de acuerdo con el principio de subsidiariedad consagrado en el artículo 5 del Tratado. De conformidad con el principio de proporcionalidad enunciado en dicho artículo, el presente Reglamento no excede de lo necesario para alcanzar este objetivo.

(5)

Es necesario determinar a escala comunitaria la denominación, definición y composición de determinados abonos (abonos CE).

(6)

Procede igualmente fijar normas comunitarias relativas a la identificación, trazabilidad y etiquetado de los abonos CE y al cierre de los envases.

(7)

Debe establecerse un procedimiento a nivel comunitario, que se aplique en los casos en que un Estado miembro lo considere necesario, para restringir la puesta en el mercado de abonos CE.

(8)

La producción de abonos está sujeta a fluctuaciones de importancia variable, debidas a las técnicas de fabricación o a las materias primas. Los procedimientos de toma de muestras y los métodos de análisis también pueden contener variaciones. Por ello es necesario autorizar ciertos márgenes de tolerancia en cuanto a los contenidos en nutrientes que se declaren. En interés de los usuarios agrícolas, es conveniente mantener dichos márgenes de tolerancia dentro de límites estrechos.

(9)

Los controles oficiales sobre el cumplimiento de los requisitos del presente Reglamento relativos a la calidad y composición por los abonos CE deben ser realizados por laboratorios autorizados por los Estados miembros y notificados a la Comisión.

(10)

El nitrato amónico constituye el ingrediente principal de toda una serie de productos, algunos de los cuales se utilizan como abonos y otros como explosivos. Dada la naturaleza especial de los abonos a base de nitrato amónico con alto contenido en nitrógeno y las exigencias que de ella se derivan para la seguridad y la salud públicas, así como para la protección de los trabajadores, resulta necesario adoptar normas comunitarias suplementarias para los abonos CE de este tipo.

(11)

Algunos de dichos productos podrían resultar peligrosos y podrían en determinados casos emplearse para usos distintos de lo previsto, poniendo con ello en peligro la seguridad de las personas y de los bienes. Conviene por tanto obligar a los fabricantes a que tomen las medidas adecuadas para evitar tales usos y, en particular, a que garanticen la trazabilidad de tales abonos.

(12)

En interés de la seguridad pública, es especialmente importante determinar a nivel comunitario las características y las propiedades que distinguen el abono CE a base de nitrato amónico con alto contenido en nitrógeno, de las variedades de nitrato amónico utilizadas en la fabricación de los productos utilizados como explosivos.

(13)

Los abonos CE a base de nitrato amónico con alto contenido en nitrógeno deben responder a determinadas características, a fin de garantizar su inocuidad. Los fabricantes deben garantizar que todos los abonos a base de nitrato amónico con alto contenido en nitrógeno han superado un ensayo de detonabilidad antes de la puesta en el mercado de dichos abonos.

(14)

Resulta necesario establecer normas sobre los métodos de los ciclos térmicos cerrados, aunque dichos métodos no simulen necesariamente todas las condiciones que se puedan dar durante el transporte y el almacenamiento.

(15)

Los abonos pueden resultar contaminados por sustancias que presenten un riesgo potencial para la salud humana y animal y para el medio ambiente. Con relación al dictamen del Comité científico de toxicidad, ecotoxicidad y el medio ambiente, (SCTEE) la Comisión se propone abordar la cuestión del contenido involuntario de cadmio en los abonos minerales y elaborará, en su caso, una propuesta de Reglamento que presentará al Parlamento Europeo y al Consejo. Cuando proceda, se emprenderá un estudio análogo de otros contaminantes.

(16)

Procede establecer un procedimiento al que se deberá ajustar todo fabricante, o su representante, que pretenda incorporar al anexo I un nuevo tipo de fertilizantes, para que pueda utilizar el marcado «abono CE».

(17)

Las medidas necesarias para la ejecución del presente Reglamento deben aprobarse con arreglo a la Decisión 1999/468/CE del Consejo, de 28 de junio de 1999, por la que se establecen los procedimientos para el ejercicio de las competencias de ejecución atribuidas a la Comisión ( 8 ).

(18)

Los Estados miembros deben determinar el régimen de sanciones aplicable a las infracciones de las disposiciones del presente Reglamento. Podrán imponer a un fabricante que infrinja el artículo 27 el pago de un importe equivalente a diez veces el valor de mercado del lote que no cumpla las condiciones requeridas.

(19)

Deben derogarse las Directivas 76/116/CEE, 77/535/CEE, 80/876/CEE y 87/94/CEE.

HAN ADOPTADO EL PRESENTE REGLAMENTO:



TÍTULO I

DISPOSICIONES GENERALES



CAPÍTULO I

Ámbito de aplicación y definiciones

Artículo 1

Ámbito de aplicación

El presente Reglamento se aplicará a los productos que se pongan en el mercado como abonos y lleven la denominación «abono CE».

Artículo 2

Definiciones

A efectos del presente Reglamento, se entenderá por:

a)

abono o fertilizante : material cuya función principal es proporcionar elementos nutrientes a las plantas;

b)

nutrientes principales : exclusivamente, los elementos nitrógeno, fósforo y potasio;

c)

nutrientes secundarios : los elementos calcio, magnesio, sodio y azufre;

d)

micronutrientes : los elementos boro, cobalto, cobre, hierro, manganeso, molibdeno y zinc, esenciales para el crecimiento de las plantas, aunque en pequeñas cantidades si se compara con los nutrientes principales y secundarios;

e)

abono inorgánico : abono cuyos nutrientes declarados se presentan en forma mineral, obtenida mediante extracción o mediante procedimientos industriales de carácter físico o químico. Por convenio, la cianamida cálcica, la urea y sus productos de condensación y asociación y los fertilizantes que contienen micronutrientes quelados o complejados pueden clasificarse como abonos inorgánicos;

f)

micronutriente quelado : micronutriente ligado a una de las moléculas orgánicas que figuran en la lista del punto E.3.1. del anexo I;

g)

micronutriente complejado : micronutriente ligado a una de las moléculas que figuran en la lista del punto E.3.2 del anexo I;

h)

tipo de abonos : abonos con una misma denominación de tipo, conforme a lo indicado en el anexo I;

i)

abono simple : abono nitrogenado, fosfatado o potásico con un contenido declarable de un único nutriente principal;

j)

abono compuesto : abono obtenido químicamente o por mezcla, o por una combinación de ambos, con un contenido declarable de al menos dos de los nutrientes principales;

k)

abono complejo : abono compuesto obtenido mediante reacción química, mediante solución o en estado sólido mediante granulación y con un contenido declarable de al menos dos nutrientes principales. En su estado sólido cada gránulo contiene todos los nutrientes en su composición declarada;

l)

abono de mezcla : abono obtenido mediante la mezcla en seco de varios abonos, sin reacción química;

m)

abono foliar : abono indicado para aplicación a las hojas de un cultivo y absorción foliar del nutriente;

n)

abono líquido : abono en suspensión o solución;

o)

abono en solución : abono líquido sin partículas sólidas;

p)

abono en suspensión : abono en dos fases cuyas partículas sólidas son mantenidas en suspensión en la fase líquida;

q)

declaración : mención de la cantidad de nutrientes, incluyendo su forma y solubilidad, garantizados dentro de las tolerancias especificadas;

r)

contenido declarado : contenido de un elemento (o su óxido) que figura, con arreglo a la legislación comunitaria, en la etiqueta de un abono CE o en el documento de acompañamiento;

s)

tolerancia : la diferencia admisible entre el valor del contenido de un nutriente determinado en el análisis y su valor declarado;

t)

norma Europea : norma CEN (Comité Europeo de Normalización) oficialmente reconocida por la Comunidad, cuya referencia haya sido publicada en el Diario Oficial de la Unión Europea;

u)

envase : recipiente precintable utilizado para conservar, proteger, manipular y distribuir abonos capaz de contener hasta 1 000 kg;

v)

abono a granel : abono no envasado con arreglo al presente Reglamento;

w)

puesta en el mercado : el suministro de un abono, a título oneroso o gratuito, o el almacenamiento con fines de suministro. La importación de un abono en el territorio aduanero de la Comunidad Europea se considerará puesta en el mercado;

x)

fabricante : la persona física o jurídica responsable de la puesta en el mercado de un abono; en particular, un productor, importador o envasador que trabaje por cuenta propia, así como cualquier persona que modifique las características de un abono, se considerará fabricante. Sin embargo, un distribuidor que no modifique las características de un abono no se considerará fabricante.



CAPÍTULO II

Puesta en el mercado

Artículo 3

Abono CE

Podrá denominarse «abono CE» todo abono perteneciente a uno de los tipos de abonos incluidos en el anexo I que cumpla las condiciones establecidas en el presente Reglamento.

La denominación «abono CE» no se utilizará para los abonos que no cumplan con lo dispuesto en el presente Reglamento.

Artículo 4

Establecimiento dentro de la Comunidad

El fabricante deberá estar establecido en la Comunidad y será responsable de la conformidad del «abono CE» con lo dispuesto en el presente Reglamento.

Artículo 5

Libre circulación

1.  Sin perjuicio de lo dispuesto en el artículo 15 y en el resto de la legislación comunitaria, los Estados miembros no podrán prohibir, limitar u obstaculizar, por motivos que se refieran a la composición, identificación, etiquetado, envasado y demás disposiciones del presente Reglamento, la puesta en el mercado de aquellos abonos que vayan provistos de la denominación «abono CE» y que se ajusten a lo dispuesto en el presente Reglamento.

2.  Los abonos provistos de la denominación «abono CE» con arreglo al presente Reglamento circularán libremente dentro de la Comunidad.

Artículo 6

Menciones obligatorias

1.  Con objeto de cumplir los requisitos del artículo 9, los Estados miembros podrán establecer que la indicación de los contenidos de nitrógeno, fósforo y potasio de los abonos que se pongan en el mercado en su territorio se exprese del modo siguiente:

a) el nitrógeno únicamente en forma de elemento (N), y bien

b) el fósforo y el potasio únicamente en forma de elemento (P, K), o

c) el fósforo y el potasio únicamente en forma de óxido (P2O5, K2O), o

d) el fósforo y el potasio en forma de elemento y de óxido simultáneamente.

Cuando se opte por establecer que los contenidos de fósforo y potasio se expresen en forma de elemento, todas las referencias en forma de óxido que figuran en los Anexos deberán interpretarse en forma de elemento y los valores numéricos se convertirán con ayuda de los factores siguientes:

a) fósforo (P) = pentóxido de fósforo (P2O5) × 0,436;

b) potasio (K) = óxido de potasio (K2O) × 0,830.

2.  Los Estados miembros podrán establecer que los contenidos de calcio, magnesio, sodio y azufre de los abonos con nutrientes secundarios y, cuando se cumplan las condiciones del artículo 17, de los abonos con nutrientes primarios, puestos en sus mercados se expresen:

a) bien en forma de óxido (CaO, MgO, Na2O, SO3);

b) bien en forma de elemento (Ca, Mg, Na, S);

c) bien en ambas formas simultáneamente.

A fin de convertir los contenidos de óxido de calcio, óxido de magnesio, óxido de sodio y trióxido de azufre en contenidos de calcio, magnesio, sodio y azufre, se aplicarán los factores siguientes:

a) calcio (Ca) = óxido de calcio (CaO) × 0,715;

b) magnesio (Mg) = óxido de magnesio (MgO) × 0,603;

c) sodio (Na) = óxido de sodio (Na2O) × 0,742;

d) azufre (S) = trióxido de azufre (SO3) × 0,400.

Cuando el contenido de elementos o de óxidos se obtenga mediante cálculo, el valor que se tendrá en cuenta para la declaración será redondeado utilizando el decimal más próximo.

3.  Los Estados miembros no podrán impedir la puesta en el mercado de un «abono CE» etiquetado de las dos formas mencionadas en los apartados 1 y 2.

4.  Deberá declararse el contenido de uno o varios de los micronutrientes boro, cobalto, cobre, hierro, manganeso, molibdeno o zinc de los abonos CE pertenecientes a los tipos de abonos reseñados en los apartados A, B, C y D del anexo I cuando se cumplan las dos condiciones siguientes:

a) que dichos micronutrientes se añadan en cantidades por lo menos iguales a los contenidos mínimos que figuran en los puntos E.2.2 y E.2.3 del anexo I;

b) que el abono CE siga cumpliendo los requisitos de los puntos A, B, C y D del anexo I.

5.  Cuando los micronutrientes sean ingredientes normales de materias primas destinadas a aportar nutrientes principales (N, P, K) y secundarios (Ca, Mg, Na, S), su declaración será facultativa, siempre que dichos micronutrientes estén presentes en cantidades por lo menos iguales a los contenidos mínimos que figuran en los puntos E.2.2 y E.2.3 del anexo I.

6.  El contenido de micronutrientes se declarará del modo siguiente:

a) en el caso de los abonos pertenecientes a los tipos que figuran en el apartado E.1 del anexo I, de conformidad con lo prescrito en la columna 6 de dicho apartado;

b) en el caso de las mezclas de abonos contemplados en la letra a) que tengan, por lo menos, dos micronutrientes distintos y cumplan los requisitos del punto E.2.1 del anexo I, así como en el caso de los abonos pertenecientes a los tipos reseñados en los puntos A, B, C y D del anexo I, indicando:

i) el contenido total expresado en porcentaje en masa del abono,

ii) el contenido soluble en agua, expresado en porcentaje en masa del abono, cuando el contenido soluble alcance como mínimo la mitad del contenido total.

Cuando un micronutriente sea totalmente soluble en agua, sólo se declarará el contenido soluble en agua.

Cuando un micronutriente esté ligado químicamente a una molécula orgánica, el contenido del micronutriente presente en el abono se declarará inmediatamente a continuación del contenido soluble en agua, en porcentaje en masa del producto, seguido por las expresiones «quelado por» o «complejado por» y el nombre de la molécula orgánica, tal y como figura en el punto E.3 del anexo I. El nombre de la molécula orgánica podrá ser sustituido por su abreviatura.

Artículo 7

Identificación

1.  El fabricante suministrará los abonos CE provistos de las indicaciones enumeradas en el artículo 9.

2.  Si se trata de abonos envasados, las indicaciones deberán figurar sobre el envase o en las etiquetas fijadas al mismo. Cuando se trate de abonos a granel, dichas indicaciones deberán figurar en los documentos de acompañamiento.

Artículo 8

Trazabilidad

Sin perjuicio del apartado 3 del artículo 26, para garantizar la trazabilidad de los abonos CE, el fabricante conservará registros del origen de los abonos. Dichos registros estarán disponibles para la inspección por los Estados miembros mientras el abono se esté suministrando en el mercado y durante un período adicional de 2 años después de que el fabricante deje de suministrarlo.

Artículo 9

Indicaciones

1.  Sin perjuicio de lo previsto en otras disposiciones comunitarias, los envases, etiquetas y documentos de acompañamiento contemplados en el artículo 7 llevarán las siguientes indicaciones:

a) Identificación obligatoria

 La expresión «ABONO CE» en letras mayúsculas.

 La denominación del tipo de abono, en el caso de que exista, de conformidad con el Anexo I.

 En los abonos de mezcla, la mención «de mezcla» tras la denominación del tipo.

 Las indicaciones adicionales previstas en los artículos 19, 21 o 23.

 La indicación de los nutrientes se hará tanto en su denominación literal como con su símbolo químico, por ejemplo: nitrógeno (N), fósforo (P), pentóxido de fósforo (P2O5), potasio (K), óxido de potasio (K2O), calcio (Ca), óxido de calcio (CaO), magnesio (Mg), óxido de magnesio (MgO), sodio (Na), óxido de sodio (Na2O), azufre (S), trióxido de azufre (SO3), boro (B), cobre (Cu), cobalto (Co), hierro (Fe), manganeso (Mn), molibdeno (Mo), zinc (Zn).

 Cuando el abono contenga micronutrientes total o parcialmente ligados químicamente a una molécula orgánica, el nombre del micronutriente deberá ir seguido de uno de los calificativos siguientes:

 

i) «quelado por» (nombre del agente quelante o de su abreviatura, tal y como figura en el punto E.3.1 del anexo I),

ii) «complejado por» (nombre del agente complejante, tal como figura en el punto E.3.2 del anexo I).

 Los micronutrientes que contenga el abono, que se enumerarán por orden alfabético de sus símbolos químicos: B, Co, Cu, Fe, Mn, Mo, Zn.

 Las instrucciones específicas de uso para los productos que figuran en los puntos E.1 y E.2 del anexo I.

 La indicación de la cantidad en los abonos líquidos, expresada en masa. La indicación de la cantidad en los abonos líquidos expresada en volumen o en el equivalente de la masa en relación con el volumen (kilogramos por hectolitro o gramos por litro) será facultativa.

 Masa neta o bruta y, facultativamente, volumen cuando se trate de abonos líquidos. En caso de que se indique la masa bruta, deberá indicarse al lado la masa de la tara.

 El nombre o razón social y la dirección del fabricante.

b) Identificación facultativa

 Conforme a la enumeración del anexo I.

 Las instrucciones de almacenamiento y manipulación y, para los abonos no enumerados en los puntos E.1 y E.2 del anexo I, las instrucciones de uso específicas del abono.

 Indicaciones de las dosis y condiciones de uso indicadas para las condiciones del suelo y del cultivo en que se usará el abono.

 La marca del fabricante y la denominación comercial del producto.

Las identificaciones contempladas en la letra b) no podrán ser contradictorias con las correspondientes a la letra a) y deberán aparecer claramente separadas de estas últimas.

2.  Todas las indicaciones contempladas en el apartado 1 deberán estar claramente separadas de cualquier otra información que figure en los envases, etiquetas y documentos de acompañamiento.

3.  Los abonos líquidos sólo podrán ponerse en el mercado si el fabricante da las oportunas instrucciones adicionales referentes, en especial, a la temperatura de almacenamiento y a la prevención de accidentes durante el mismo.

4.  Se adoptarán disposiciones detalladas para la aplicación del presente artículo con arreglo al procedimiento reglamentario mencionado en el apartado 2 del artículo 32.

Artículo 10

Etiquetado

1.  Las etiquetas o indicaciones impresas sobre el envase que contengan los datos a los que se refiere el artículo 9 deberán colocarse en lugar bien visible. Las etiquetas deberán fijarse al envase o a su sistema de cierre. Si el sistema de cierre está constituido por un sello o precinto, éste deberá llevar el nombre o marca del envasador.

2.  El etiquetado a que se refiere el apartado 1 deberá ser y permanecer indeleble y claramente legible.

3.  En los casos de fertilizantes a granel a que se refiere la segunda frase del apartado 2 del artículo 7, la mercancía deberá ir acompañada por una copia de los documentos que contengan las identificaciones. Esta copia de los documentos deberá ser accesible a los organismos de control.

Artículo 11

Lenguas

La etiqueta, las indicaciones que figuran en el envase y los documentos de acompañamiento deben estar redactados al menos en la lengua o lenguas oficiales del Estado miembro donde se comercialice el abono CE.

Artículo 12

Envasado

Cuando se trate de abonos CE envasados, el envase deberá ir cerrado de tal manera o mediante un dispositivo tal, que al abrirse se deteriore irremediablemente el cierre, el precinto del cierre o el propio envase. Se admitirá el uso de sacos de válvula.

Artículo 13

Márgenes de tolerancia

1.  El contenido en nutrientes de los abonos CE deberá cumplir los márgenes de tolerancia establecidos en el anexo II. Estos márgenes de tolerancia están destinados a tener en cuenta las variaciones de fabricación, de toma de muestras y de análisis.

2.  El fabricante no podrá beneficiarse sistemáticamente de los márgenes de tolerancia que figuran en el anexo II.

3.  No se admitirá tolerancia alguna en lo que se refiere a los contenidos mínimos y máximos que se especifican en el anexo I.

Artículo 14

Requisitos de los abonos

Sólo podrán figurar en el anexo I los abonos que:

a) aporten nutrientes de manera eficaz;

b) dispongan de métodos adecuados de toma de muestras, de análisis y, cuando proceda, de ensayo;

c) en condiciones normales de uso, no produzcan efectos perjudiciales para la salud humana, animal o vegetal, ni sobre el medio ambiente.

Artículo 15

Cláusula de salvaguardia

1.  Si un Estado miembro tuviera motivos justificados para creer que un abono CE, aun ajustándose a lo prescrito en el presente Reglamento, constituye un riesgo para la seguridad o la salud humana, animal o vegetal o un riesgo para el medio ambiente, podrá prohibir provisionalmente la puesta en el mercado de dicho abono en su territorio o someterla a condiciones especiales. Informará inmediatamente de ello al resto de los Estados miembros y a la Comisión, precisando los motivos que justifiquen su decisión.

2.  La Comisión adoptará una decisión sobre la materia en el plazo de 90 días a partir de la recepción de la información, y con arreglo al procedimiento contemplado en el apartado 2 del artículo 32.

3.  Las disposiciones del presente Reglamento no impedirán que se tomen medidas justificadas, por parte de la Comisión o de un Estado miembro, por razones de seguridad pública, para prohibir, restringir o dificultar la puesta en el mercado de abonos CE.



TÍTULO II

DISPOSICIONES RELATIVAS A TIPOS ESPECÍFICOS DE ABONOS



CAPÍTULO I

Abonos inorgánicos con nutrientes principales

Artículo 16

Ámbito de aplicación

El presente capítulo se aplicará a los abonos inorgánicos con nutrientes principales, sólidos o líquidos, simples o compuestos, incluidos los que contengan nutrientes secundarios y/o micronutrientes, con el contenido mínimo en nutrientes establecido en los puntos A, B, C, E.2.2 o E.2.3 del anexo I.

Artículo 17

Declaración de nutrientes secundarios en abonos con nutrientes principales

Podrá declararse el contenido en calcio, magnesio, sodio y azufre como nutrientes secundarios de los abonos CE pertenecientes a los tipos de abonos incluidos en los puntos A, B y C del anexo I, a condición de que estos elementos estén presentes, al menos, en las cantidades mínimas siguientes:

a) 2 % de óxido de calcio (CaO), es decir, 1,4 % de Ca;

b) 2 % de óxido de magnesio (MgO), es decir, 1,2 % de Mg;

c) 3 % de óxido de sodio (Na2O), es decir, 2,2 % de Na;

d) 5 % de trióxido de azufre (SO3), es decir, un 2 % de S.

En tal caso, se añadirá a la denominación del tipo la indicación suplementaria prevista en el inciso ii) del apartado 2 del artículo 19.

Artículo 18

Calcio, magnesio, sodio y azufre

1.  La declaración del contenido en magnesio, sodio y azufre de los abonos mencionados en los puntos A, B y C del anexo I se efectuará de una de las siguientes maneras:

a) el contenido total expresado en porcentaje en masa del abono;

b) el contenido total y el contenido soluble en agua, expresado en porcentaje en masa del abono cuando dicha solubilidad alcance al menos una cuarta parte del contenido total;

c) cuando un elemento sea completamente soluble en agua, únicamente se declarará el contenido soluble en agua como porcentaje en masa.

2.  La declaración del contenido en calcio, salvo que en el anexo I se disponga lo contrario, únicamente deberá realizarse si es soluble en agua, expresado en porcentaje en masa del abono.

Artículo 19

Identificación

1.  Además de las indicaciones obligatorias contempladas en la letra a) del apartado 1 del artículo 9, deberán figurar las indicaciones mencionadas en los apartados 2, 3, 4, 5 y 6 del presente artículo.

2.  En los abonos compuestos, a continuación de la denominación del tipo, se añadirán:

i) los símbolos químicos de los nutrientes secundarios declarados, entre paréntesis, a continuación de los símbolos de los nutrientes principales,

ii) los números que indiquen el contenido en nutrientes principales. Los contenidos en nutrientes secundarios declarados se indicaran, entre paréntesis, a continuación de los contenidos de los nutrientes principales.

3.  La denominación del tipo de abono sólo podrá ir seguida de las cifras que indiquen el contenido en nutrientes principales y secundarios.

4.  Cuando se declaren micronutrientes, deberán figurar las palabras «con micronutrientes» o la palabra «con» seguida del nombre o nombres de los micronutrientes presentes y de sus símbolos químicos.

5.  El contenido declarado en nutrientes principales y secundarios se indicará en porcentaje en masa, en números enteros o, en caso necesario, si existe un método de análisis adecuado, con un decimal.

En los abonos que contengan más de un nutriente declarado, el orden de los nutrientes principales será: N, P2O5 y/o P, K2O y/o K, y para los nutrientes secundarios: CaO y/o Ca, MgO y/o Mg, Na2O y/o Na, SO3 y/o S.

En el contenido declarado en micronutrientes se denominará cada uno de ellos y su símbolo químico, indicando su porcentaje en masa, de acuerdo con lo señalado en los apartados E.2.2 y E.2.3 del Anexo I y sus solubilidades.

6.  Las formas y la solubilidad de los nutrientes también se expresarán en porcentaje en masa del abono, salvo si el anexo I establece expresamente que se indique de otra manera.

El número de decimales será uno, salvo para los micronutrientes, que será el indicado en los puntos E.2.2 y E.2.3. del anexo I.



CAPÍTULO II

Abonos inorgánicos con nutrientes secundarios

Artículo 20

Ámbito de aplicación

El presente capítulo será aplicable a los abonos inorgánicos con nutrientes secundarios sólidos o líquidos, incluidos los que contengan micronutrientes, con el contenido mínimo en nutrientes establecido en los puntos D, E.2.2 y E.2.3 del anexo I.

Artículo 21

Identificación

1.  Además de las indicaciones obligatorias contempladas en la letra a) del apartado 1 del artículo 9, deberán figurar las indicaciones mencionadas en los apartados 2, 3, 4 y 5 del presente artículo.

2.  Cuando se declaren micronutrientes, se incluirán las palabras «con micronutrientes» o la palabra «con», seguida del nombre o nombres de los micronutrientes presentes y de sus símbolos químicos.

3.  El contenido declarado en nutrientes secundarios se indicará en porcentaje en masa, en números enteros o, en caso necesario, si existe un método de análisis adecuado, con un decimal.

Cuando contengan más de un nutriente secundario, el orden será:

CaO y/o Ca, MgO y/o Mg, Na2O y/o Na, SO3 y/o S.

En el contenido declarado en micronutrientes se denominará cada uno de ellos y su símbolo químico, indicando su porcentaje en masa, de acuerdo con lo señalado en los puntos E.2.2 y E.2.3 del anexo I y sus solubilidades.

4.  Las formas y la solubilidad de los nutrientes también se expresarán en porcentaje en masa del abono, salvo si el Anexo I establece expresamente que se indique de otra manera.

El número de decimales será uno, salvo para los micronutrientes, que será el indicado en los puntos E.2.2 y E.2.3. del anexo I.

5.  La declaración del contenido en calcio, salvo que en el anexo I se disponga lo contrario, únicamente deberá realizarse si es soluble en agua, expresado en porcentaje en masa del abono.



CAPÍTULO III

Abonos inorgánicos que contienen micronutrientes

Artículo 22

Ámbito de aplicación

El presente capítulo será aplicable a los abonos inorgánicos con micronutrientes, sólidos o líquidos, con el contenido mínimo en nutrientes establecido en los puntos E.1 y E.2.1 del anexo I.

Artículo 23

Identificación

1.  Además de las indicaciones obligatorias mencionadas en la letra a) del apartado 1 del artículo 9, deberán figurar las indicaciones mencionadas en los apartados 2, 3, 4 y 5 del presente artículo.

2.  Cuando el abono contenga más de un micronutriente, se indicará como denominación del tipo «mezcla de micronutrientes», seguido de los nombres de los micronutrientes presentes y sus símbolos químicos.

3.  El contenido en micronutrientes declarado de los abonos que contengan un solo micronutriente deberá indicarse en forma de porcentaje en masa, en números enteros o, en caso necesario, con un decimal (punto E.1 del anexo I).

4.  Las formas y la solubilidad de los micronutrientes deberán indicarse igualmente en porcentaje en masa del abono, salvo si el anexo I establece expresamente que el contenido se indique de otra manera.

El número de decimales para los micronutrientes será el indicado en el punto E.2.1 del anexo I.

5.  En la etiqueta o en los documentos de acompañamiento, en lo que respecta a los productos incluidos en los puntos E.1 y E.2.1 del anexo I, debajo de las indicaciones obligatorias o facultativas, deberá aparecer el texto siguiente:

«Utilícese solamente en caso de reconocida necesidad. No sobrepasar las dosis recomendadas.»

Artículo 24

Envasado

Los abonos CE regulados por lo dispuesto en el presente capítulo deberán estar envasados.



CAPÍTULO IV

Abonos a base de nitrato amónico con alto contenido en nitrógeno

Artículo 25

Ambito de aplicación

A los efectos del presente capítulo, se entenderá por abono a base de nitrato amónico con alto contenido en nitrógeno, simple o compuesto, todo producto a base de nitrato amónico fabricado para ser usado como abono que tenga un contenido en nitrógeno superior al 28 % en masa respecto al nitrato amónico.

Este tipo de abono podrá contener sustancias inorgánicas o inertes.

Las sustancias utilizadas en la fabricación de este tipo de abonos no deberán aumentar su sensibilidad térmica ni su aptitud para la detonación.

Artículo 26

Medidas y controles de seguridad

1.  El fabricante deberá garantizar que los abonos simples a base de nitrato amónico con alto contenido en nitrógeno cumplen lo dispuesto en el punto 1 del anexo III.

2.  Las operaciones de inspección, análisis y ensayo para los controles oficiales de los abonos simples a base de nitrato amónico con alto contenido en nitrógeno que se establecen en el presente capítulo se realizarán con arreglo a los métodos descritos en el punto 3 del anexo III.

3.  Para garantizar la trazabilidad de los abonos CE a base de nitrato amónico con alto contenido en nitrógeno puestos en el mercado, el fabricante conservará registros con los nombres y las direcciones de las plantas y de los operadores de las plantas en las que fue producido el fertilizante y sus componentes principales. Dichos registros estarán disponibles para la inspección por los Estados miembros mientras el fertilizante se esté suministrando en el mercado y durante un período adicional de dos años después de que el fabricante deje de suministrarlo.

Artículo 27

Ensayo de detonabilidad

Sin perjuicio de las medidas previstas en el artículo 26, el fabricante garantizará que cada tipo de fertilizante CE a base de nitrato amónico con alto contenido en nitrógeno puesto en el mercado haya superado el ensayo de detonabilidad descrito en las secciones 2, 3 (método 1, punto 3) y 4 del anexo III del presente Reglamento. Este ensayo deberá ser realizado por uno de los laboratorios autorizados contemplados en el apartado 1 del artículo 30 o en el apartado 1 del artículo 33. Los fabricantes presentarán los resultados del ensayo a la autoridad competente del Estado miembro de que se trate al menos cinco días antes de la puesta en el mercado del abono o al menos cinco días antes de la llegada del abono a las fronteras de la Comunidad Europea en caso de importaciones. Posteriormente, el fabricante seguirá garantizando que todas las partidas de abono puestas en el mercado pueden superar el ensayo antes mencionado.

Artículo 28

Envasado

Los abonos a base de nitrato amónico con alto contenido en nitrógeno sólo podrán ponerse a disposición del usuario final debidamente envasados.



TÍTULO III

EVALUACIÓN DE LA CONFORMIDAD DE LOS ABONOS

Artículo 29

Medidas de control

1.  Los Estados miembros podrán someter a los abonos con el marcado «abono CE» a medidas oficiales de control, con el fin de comprobar que se ajustan al presente Reglamento.

Los Estados miembros tendrán la posibilidad de imponer tasas no superiores a los costes derivados de los ensayos necesarios para ejecutar dichas medidas de control, pero ello no obligará a los fabricantes a realizar nuevos ensayos ni a pagar por nuevos ensayos en caso de que el primero lo haya realizado un laboratorio que cumpla las condiciones indicadas en el artículo 30 y de que dicho ensayo haya demostrado que el abono de que se trate cumple los requisitos impuestos.

2.  Los Estados miembros velarán por que la toma de muestras y los análisis para realizar los controles oficiales de los abonos CE pertenecientes a los tipos enumerados en el anexo I se realicen de acuerdo con los métodos descritos en los anexos III y IV.

3.  El cumplimiento de lo dispuesto en el presente Reglamento, respecto a la conformidad de los tipos de abono y el cumplimiento del contenido en nutrientes declarado o el contenido declarado expresado como forma y solubilidad de dichos nutrientes, únicamente podrá comprobarse en las inspecciones oficiales mediante métodos de toma de muestras y análisis establecidos de acuerdo con los anexos III y IV y teniendo en cuenta los márgenes de tolerancia indicados en el anexo II.

4.  La adaptación y modernización de los métodos de medición, toma de muestras y análisis se realizará de acuerdo con el procedimiento contemplado en el apartado 2 del artículo 32 y se aplicarán, siempre que sea posible, normas europeas. Se aplicará el mismo procedimiento a la adopción de disposiciones de aplicación necesarias para especificar las medidas de control previstas con arreglo al presente artículo y a los artículos 8, 26 y 27. En particular, dichas disposiciones tratarán la cuestión de la frecuencia con la que será preciso repetir las pruebas, así como las medidas destinadas a que se garantice que el abono puesto en el mercado es idéntico al abono sometido a prueba.

Artículo 30

Laboratorios

1.  Los Estados miembros notificarán a la Comisión la lista de laboratorios autorizados en su territorio, competentes para prestar los servicios necesarios para comprobar la conformidad de los abonos CE con lo dispuesto en el presente Reglamento. Dichos laboratorios deberán cumplir las normas mencionadas en el apartado B del anexo V. La mencionada notificación deberá realizarse a más tardar el 11 de junio de 2004 y con motivo de cada modificación posterior.

2.  La Comisión publicará la lista de laboratorios autorizados en el Diario Oficial de la Unión Europea.

3.  En caso de que un Estado miembro tenga motivos justificados para considerar que un laboratorio autorizado no cumple las normas mencionadas en el apartado 1, deberá plantear esta cuestión ante el comité contemplado en el artículo 32. Si el comité acuerda que el laboratorio no cumple las normas, la Comisión suprimirá su nombre de la lista mencionada en el apartado 2.

4.  La Comisión adoptará una decisión al respecto en los 90 días siguientes a la recepción de la información, con arreglo al procedimiento mencionado en el apartado 2 del artículo 32.

5.  La Comisión publicará la lista modificada en el Diario Oficial de la Unión Europea.



TÍTULO IV

DISPOSICIONES FINALES



CAPÍTULO I

Adaptación de los anexos

Artículo 31

Nuevos abonos CE

1.  La inclusión de un nuevo tipo de abono en el Anexo I del presente Reglamento deberá adoptarse de acuerdo con el procedimiento contemplado en el apartado 2 del artículo 32.

2.  El fabricante, o su representante, que desee proponer un nuevo tipo de abono para incorporarlo al anexo I y con este fin haya de elaborar un expediente técnico, deberá hacerlo teniendo en cuenta los documentos técnicos contemplados en el punto A del anexo V.

3.  Las modificaciones necesarias para adaptar los anexos al progreso técnico deberán adoptarse de acuerdo con el procedimiento contemplado en el apartado 2 del artículo 32.

Artículo 32

Procedimiento de Comité

1.  La Comisión estará asistida por un comité.

2.  En los casos en que se haga referencia al presente apartado, serán de aplicación los artículos 5 y 7 de la Decisión 1999/468/CE, observando lo dispuesto en su artículo 8.

El plazo contemplado en el apartado 6 del artículo 5 de la Decisión 1999/468/CE queda fijado en tres meses.

3.  El Comité aprobará su reglamento interno.



CAPÍTULO II

Disposiciones transitorias

Artículo 33

Laboratorios competentes

1.  Sin perjuicio de lo dispuesto en el apartado 1 del artículo 30, los Estados miembros, durante un período de transición de hasta el 11 de diciembre de 2007, podrán continuar aplicando sus disposiciones nacionales para autorizar laboratorios competentes que presten los servicios necesarios para comprobar que los abonos CE se ajustan a los requisitos del presente Reglamento.

2.  Los Estados miembros deberán notificar la lista de dichos laboratorios a la Comisión, explicando su sistema de autorización. La mencionada notificación deberá realizarse a más tardar el 11 de junio de 2004 y con motivo de cada modificación posterior.

Artículo 34

Envasado y etiquetado

No obstante lo dispuesto en el apartado 1 del artículo 35, los marcados, envases, etiquetas y documentos de acompañamiento de los abonos CE contemplados en Directivas anteriores podrán seguir empleándose hasta el 11 de junio de 2005.



CAPÍTULO III

Disposiciones finales

Artículo 35

Directivas derogadas

1.  Quedan derogadas las Directivas 76/116/CEE, 77/535/CEE, 80/876/CEE y 87/94/CEE.

2.  Las referencias a las Directiva derogadas se considerarán referencias al presente Reglamento. En particular, las excepciones al artículo 7 de la Directiva 76/116/CEE concedidas por la Comisión con arreglo al apartado 6 del artículo 95 del Tratado se considerarán excepciones al artículo 5 del presente Reglamento y seguirán surtiendo efecto a pesar de la entrada en vigor del presente Reglamento. Mientras no se hayan establecido las sanciones con arreglo al artículo 36, los Estados miembros podrán seguir aplicando las sanciones por infracción a la legislación nacional de aplicación de las Directivas mencionadas en el apartado 1.

Artículo 36

Sanciones

Los Estados miembros determinarán el régimen de sanciones aplicable a las infracciones de las disposiciones del presente Reglamento, y adoptarán todas las medidas necesarias para garantizar su aplicación. Estas sanciones deberán tener carácter efectivo, proporcionado y disuasorio.

Artículo 37

Disposiciones nacionales

Los Estados miembros notificarán a la Comisión a más tardar el 11 de junio de 2005 las disposiciones nacionales que hayan adoptado en virtud de lo indicado en los apartados 1 y 2 del artículo 6, en el apartado 1 del artículo 29 y en el artículo 36 del presente Reglamento, y le notificarán sin demora la adopción de cualquier modificación posterior que les afecte.

Artículo 38

Entrada en vigor

El presente Reglamento entrará en vigor a los veinte días de su publicación en el Diario Oficial de la Unión Europea, a excepción del artículo 8 y del apartado 3 del artículo 26, que entrarán en vigor el 11 de junio de 2005.

El presente Reglamento será obligatorio en todos sus elementos y directamente aplicable en cada Estado miembro.




ÍNDICE

ANEXO I — Lista de tipos de abonos c

A.

Abonos inorgánicos simples con elementos nutrientes primarios

A.1.

Abonos nitrogenados

A.2.

Abonos fosfatados

A.3.

Abonos potásicos

B.

Abonos inorgánicos compuestos con elementos nutrientes primarios

B.1.

Abonos NPK

B.2.

Abonos NP

B.3.

Abonos NK

B.4.

Abonos PK

C.

Abonos líquidos inorgánicos

C.1.

Abonos líquidos simples

C.2.

Abonos líquidos compuestos

D.

Abonos inorgánicos con elementos nutrientes secundarios

E.

Abonos inorgánicos que contienen micronutrientes

E.1.

Abonos que sólo contienen un micronutriente

E.1.1.

Boro

E.1.2.

Cobalto

E.1.3.

Cobre

E.1.4 Hierro

E.1.5.

Manganeso

E.1.6.

Molibdeno

E.1.7.

Zinc

E.2.

Contenido mínimo de micronutrientes expresados como porcentaje en masa del abono

E.3.

Lista de agentes orgánicos autorizados quelantes y complejantes para micronutrientes

ANEXO II — Márgenes de tolerancia

1.

Abonos inorgánicos simples con elementos nutrientes primarios — valores absolutos en porcentaje en masa expresados en N, P2O5, K2O, MgO, Cl

2.

Abonos inorgánicos compuestos con elementos nutrientes primarios

3.

Elementos nutrientes secundarios en los abonos

4.

Micronutrientes en los abonos

ANEXO III — Disposiciones técnicas relativas a los abonos a base de nitrato amónico con alto contenido en nitrógeno

1.

Características y límites del abono simple a base de nitrato amónico con alto contenido en nitrógeno

2.

Descripción del ensayo de detonabilidad relativo a abonos de nitrato amónico con alto contenido en nitrógeno

3.

Métodos de control del cumplimiento de los límites fijados en los anexos III-1 y III-2

4.

Ensayo de detonabilidad

ANEXO IV — Método de toma de muestras y de análisis

A.

Método de toma de muestras para el control de los abonos

1.

Objeto y ámbito de aplicación

2.

Agentes autorizados para la toma de muestras

3.

Definiciones

4.

Equipo

5.

Requisitos cuantitativos

6.

Instrucciones para la toma, la preparación y el envasado de las muestras

7.

Envasado de las muestras finales

8.

Acta de toma de muestras

9.

Destino de las muestras

B.

Método de análisis de los abonos

Observaciones generales

Disposiciones generales sobre los método de análisis de los abonos

Método 1

— Preparación de la muestra

Método 2

— Nitrógeno

Método 2.1

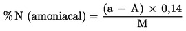
— Determinación del nitrógeno amoniacal

Método 2.2

— Determinación del nitrógeno nítrico y amoniacal

Método 2.2.1

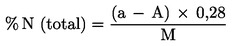
— Determinación del nitrógeno nítrico y amoniacal según Ulsch

Método 2.2.2

— Determinación del nitrógeno nítrico y amoniacal según Arnd

Método 2.2.3

— Determinación del nitrógeno nítrico y amoniacal según Devarda

Método 2.3

— Determinación del nitrógeno total

Método 2.3.1

— Determinación del nitrógeno total en la cianamida cálcica sin nitrato

Método 2.3.2

— Determinación del nitrógeno total en la cianamida cálcica con nitrato

Método 2.3.3

— Determinación del nitrógeno total en la urea

Método 2.4

— Determinación del nitrógeno cianamídico

Método 2.5

— Determinación fotométrica del biuret en la urea

Método 2.6

— Determinación de diferentes formas de nitrógeno presentes en la misma muestra

Método 2.6.1

— Determinación de diferentes formas de nitrógeno presentes en abonos que contengan nitrógeno en forma nítrica, amoniacal, ureica y cianamídica

Método 2.6.2

— Determinación de diferentes formas de nitrógeno presentes en abonos que contengan nitrógeno solamente en forma nítrica, amoniacal y ureica

Método 3

— Fósforo

étodo 3.1

M— Extracciones

Método 3.1.1

— Extracción de fósforo soluble en ácidos minerales

Método 3.1.2

— Extracción de fósforo soluble en ácido fórmico al 2 % (20 g/l)

Método 3.1.3

— Extracción del fósforo soluble en ácido cítrico al 2 % (20 g/l)

Método 3.1.4

— Extracción de fósforo soluble en citrato de amonio neutro

Método 3.1.5

— Extracción con citrato de amonio alcalino

Método 3.1.5.1

— Extracción de fósforo soluble según Petermann, a 65 °C

Método 3.1.5.2

— Extracción de fósforo soluble según Petermann, a la temperatura ambiente

Método 3.1.5.3

— Extracción de fósforo soluble en citrato de amonio alcalino de Joulie

Método 3.1.6

— Extracción de fósforo soluble en agua

Método 3.2

— Determinación del fósforo extraído (Método gravimétrico al fosfomolibdato de quinoleína)

Método 4

— Potasio

Método 4.1

— Determinación del contenido de potasio soluble en agua

Método 5

Método 6

— Cloro

Método 6.1

— Determinación de los cloruros en ausencia de materia orgánica

Método 7

— Grado de finura de molienda

Método 7.1

— Determinación del grado de finura de molienda (en seco)

Método 7.2

— Determinación del grado de finura de molienda de los fosfatos naturales blandos

Método 8

— Elementos secundarios

Método 8.1

— Extracción del calcio total, del magnesio total, del sodio total y del azufre total en forma de sulfatos

Método 8.2

— Extracción del azufre total presente en diversas formas

Método 8.3

— Extracción de las formas solubles en agua del calcio, del magnesio, del sodio y del azufre presente (en forma de sulfato)

Método 8.4

— Extracción del azufre soluble en agua presente en diversas formas

Método 8.5

— Extracción y determinación cuantitativa del azufre elemental

Método 8.6

— Determinación manganimétrica del calcio extraído por precipitación en forma de oxalato

Método 8.7

— Determinación cuantitativa del magnesio por espectrometría de absorción atómica

Método 8.8

— Determinación cuantitativa del magnesio por complexometría

Método 8.9

— Determinación cuantitativa de los sulfatos

Método 8.10

— Determinación cuantitativa del sodio extraído

Método 9

— Micronutrientes en concentraciones iguales o inferiores al 10 %

Método 9.1

— Extracción de los micronutrientes totales

Método 9.2

— Extracción de los micronutrientes solubles en agua

Método 9.3

— Eliminación de los compuestos orgánicos en los extractos de abonos

Método 9.4

— Determinación cuantitativa de micronutrientes en los extractos de abonos por espectrometría de absorción atómica (procedimiento general)

Método 9.5

— Determinación cuantitativa del boro en los extractos de abonos por espectrometría con azometina-H

Método 9.6

— Determinación cuantitativa del cobalto en los extractos de abonos por espectrometría de absorción atómica

Método 9.7

— Determinación cuantitativa del cobre en los extractos de abonos por espectrometría de absorción atómica

Método 9.8

— Determinación cuantitativa del hierro en los extractos de abonos por espectrometría de absorción atómica

Método 9.9

— Determinación cuantitativa del manganeso en los extractos de abonos por espectrometría de absorción atómica

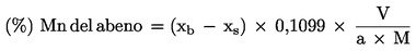
Método 9.10

— Determinación cuantitativa del molibdeno en los extractos de abonos por espectrometría de un complejo con tiocianato de amonio

Método 9.11

— Determinación cuantitativa del zinc en los extractos de abonos por espectrometría de absorción atómica

Método 10

— Micronutrientes en concentraciones superiores a 10 %

Método 10.1

— Extracción de los micronutrientes totales

Método 10.2

— Extracción de los micronutrientes solubles en agua

Método 10.3

— Eliminación de los compuestos orgánicos en los extractos de abonos

Método 10.4

— Determinación cuantitativa de micronutrientes en los extractos de abonos por espectrometría de absorción atómica (método general)

Método 10.5

— Determinación cuantitativa del boro en los extractos de abonos por acidimetría

Método 10.6

— Determinación cuantitativa del cobalto en los extractos de abonos por gravimetría con 1-nitroso-2-naftol

Método 10.7

— Determinación cuantitativa del cobre en los extractos de abonos por valoración

Método 10.8

— Determinación cuantitativa del hierro en los extractos de abonos por espectrometría de absorción atómica

Método 10.9

— Determinación cuantitativa del manganeso en los extractos de abonos por valoración

Método 10.10

— Determinación cuantitativa del molibdeno en los extractos de abonos por gravimetría con 8-hidroxiquinoleína

Método 10.11

— Determinación cuantitativa del zinc en los extractos de abonos por espectrometría de absorción atómica

ANEXO V

A.

Lista de documentos que deberán consultar los fabricantes o sus representantes para la elaboración de un expediente técnico relativo a un nuevo tipo de abonos que deberá añadirse al anexo I del presente Reglamento

B.

Normas de acreditación para los laboratorios competentes y autorizados para prestar los servicios necesarios para comprobar la conformidad de los abonos CE con lo dispuesto en el presente Reglamento y sus anexos




ANEXO I

LISTA DE TIPOS DE ABONOS CE

A.   Abonos inorgánicos simples con elementos nutrientes primarios

A.1.   Abonos nitrogenados



No

Denominación del tipo

Informaciones sobre la forma de obtención y los componentes esenciales

Contenido mínimo en elementos nutrientes (porcentaje en masa)

Informaciones sobre la evaluación de los elementos nutrientes

Otros requisitos

Otras informaciones sobre la denominación del tipo

Contenido en elementos nutrientes que debe declararse

Formas y solubilidades de los elementos nutrientes

Otros criterios

1

2

3

4

5

6

1(a)

Nitrato cálcico (de cal)

Producto obtenido químicamente que contiene como componente esencial nitrato cálcico y ocasionalmente nitrato amónico

15 % N

Nitrógeno expresado como nitrógeno total o como nitrógeno nítrico y amoniacal. Contenido máximo en nitrógeno amoniacal: 1,5 % N

 

Nitrógeno total

Información facultativa suplementaria:

Nitrógeno nítrico

Nitrógeno amoniacal

1(b)

Nitrato cálcico y magnésico (nitrato de cal y de magnesio)

Producto obtenido químicamente que contiene como componentes esenciales nitrato cálcico y nitrato magnésico

13 % N

Nitrógeno expresado como nitrógeno nítrico. Contenido mínimo en magnesio en forma de sales solubles en agua expresado como óxido de magnesio: 5 % MgO

 

Nitrógeno nítrico

Óxido de magnesio soluble en agua

1(c)

Nitrato magnésico

Producto obtenido químicamente que se compone esencialmente de nitrato magnésico hexahidratado

10 % N

Nitrógeno expresado como nitrógeno nítrico

Si se comercializa en forma de cristales, puede añadirse la indicación «en forma cristalizada»

Nitrógeno nítrico

Óxido de magnesio soluble en agua

14 % MgO

Magnesio expresado como óxido de magnesio soluble en agua

2(a)

Nitrato sódico (de sosa)

Producto obtenido químicamente que contiene como componente esencial nitrato sódico

15 % N

Nitrógeno expresado como nitrógeno nítrico

 

Nitrógeno nítrico

2(b)

Nitrato de Chile

Producto preparado a partir de caliche, que contiene como componente esencial nitrato sódico

15 % N

Nitrógeno expresado como nitrógeno nítrico

 

Nitrógeno nítrico

3(a)

Cianamida cálcica

Producto obtenido químicamente que contiene como componentes esenciales cianamida y óxido cálcico y, ocasionalmente, sales de amonio y de urea en pequeñas cantidades

18 % N

Nitrógeno expresado como nitrógeno total, del cual como mínimo el 75 % del nitrógeno declarado se encuentra en forma de nitrógeno cianamídico

 

Nitrógeno total

3(b)

Cianamida cálcica nitrada

Producto obtenido químicamente que contiene cianamida cálcica como componente esencial y óxido cálcico y, ocasionalmente, pequeñas cantidades de sales de amonio y de urea, y al que se le ha añadido nitrato

18 % N

Nitrógeno expresado como nitrógeno total, hallándose el 75 % como mínimo del nitrógeno nítrico declarado en forma de nitrógeno cianamídico. Contenido en nitrógeno nítrico:

— contenido mínimo: 1 % N

— contenido máximo: 3 % N

 

Nitrógeno total

Nitrógeno nítrico

4

Sulfato amónico

Producto obtenido químicamente que contiene como componente esencial sulfato amónico

20 % N

Nitrógeno expresado como nitrógeno amoniacal

 

Nitrógeno amoniacal

5

Nitrato amónico, nitrato amónico cálcico

Producto obtenido químicamente que contiene como componente esencial nitrato amónico, que puede contener otros productos tales como piedra caliza triturada, sulfato cálcico, dolomita triturada, sulfato de magnesio, kieserita

20 % N

Nitrógeno expresado como nitrógeno nítrico y nitrógeno amoniacal, representando cada una de estas formas de nitrógeno alrededor de la mitad del nitrógeno presente

Véanse los anexos III 1 y III 2 del presente Reglamento, en caso necesario.

La denominación «nitrato amónico cálcico» sólo podrá utilizarse para abonos que contengan, además de nitrato amónico, carbonato cálcico (por ejemplo, piedra caliza) y/o carbonato de magnesio y carbonato cálcico (por ejemplo, dolomita). El contenido mínimo del abono en carbonatos deberá ser del 20 %. El grado de pureza de tales carbonatos deberá ser como mínimo del 90 %

Nitrógeno total

Nitrógeno nítrico

Nitrógeno amoniacal

6

Nitrosulfato amónico

Producto obtenido químicamente y que contiene como componentes esenciales nitrato amónico y sulfato amónico

25 % N

Nitrógeno expresado como nitrógeno amoniacal y nítrico. Contenido mínimo en nitrógeno nítrico: 5 %

 

Nitrógeno total

Nitrógeno amoniacal

Nitrógeno nítrico

7

Nitrosulfato magnésico

Producto obtenido químicamente y que contiene como componentes esenciales nitrato amónico, sulfato amónico y sulfato magnésico

19 % N

Nitrógeno expresado como nitrógeno amoniacal y nitrógeno nítrico. Contenido mínimo en nitrógeno nítrico: 6 % N

 

Nitrógeno total

Nitrógeno amoniacal

5 % MgO

Magnesio en forma de sales solubles en agua, expresado como óxido de magnesio

 

Nitrógeno nítrico

Óxido de magnesio soluble en agua

8

Nitrato amónico con magnesio o Nitromagnesio

Producto obtenido químicamente y que contiene como componentes esenciales nitratos amónicos y sales compuestas de magnesio (dolomita, carbonato de magnesio y/o sulfato de magnesio)

19 % N

Nitrógeno expresado como nitrógeno amoniacal y nítrico. Contenido mínimo en nitrógeno nítrico: 6 % N

 

Nitrógeno total

Nitrógeno amoniacal

Nitrógeno nítrico

5 % MgO

Magnesio expresado como óxido de magnesio total

 

Óxido de magnesio total y, ocasionalmente, óxido de magnesio soluble en agua

9

Urea

Producto obtenido químicamente que contiene como componente esencial diamida carbónica (carbamida)

44 % N

Nitrógeno ureico total (incluido biuret). Contenido máximo de biuret: 1,2 %

 

Nitrógeno total, expresado como nitrógeno ureico

10

Crotonilidendiurea

Producto obtenido por reacción de la urea con el crotonaldehído

Compuesto monómero

28 % N

Nitrógeno expresado como nitrógeno total

Al menos 25 % N de la crotonilidendiurea

Contenido máximo de nitrógeno ureico: 3 %

 

Nitrógeno total

Nitrógeno ureico, si alcanza el 1 % en peso

Nitrógeno de la crotonilidendiurea

11

Isobutilidendiurea

Producto obtenido por reacción de la urea con el isobutilaldehído

Compuesto monómero

28 % N

Nitrógeno expresado como nitrógeno total

Al menos 25 % N de la isobutilidendiurea

Contenido máximo de nitrógeno ureico: 3 %

 

Nitrógeno total

Nitrógeno ureico, si alcanza el 1 % en peso

Nitrógeno de la isobutilidendiurea

12

Urea formaldehído

Producto obtenido por reacción de la urea con el formaldehído, compuesto esencialmente por moléculas de urea folmaldehído

Compuesto polímero

36 % N total

Nitrógeno expresado como nitrógeno total

Al menos 3/5 del contenido de nitrógeno total declarado debe ser soluble en agua caliente

Al menos 31 % N de la urea formaldehído

Contenido máximo de nitrógeno ureico: 5 %

 

Nitrógeno total

Nitrógeno ureico, si alcanza el 1 % en peso

Nitrógeno de la urea formaldehído soluble en agua fría

Nitrógeno de la urea formaldehído soluble únicamente en agua caliente

13

Abono nitrogenado que contiene crotonilidendiurea

Producto obtenido químicamente, que contiene crotonilidendiurea y un abono nitrogenado simple [lista A-1, a excepción de los productos 3 a), 3 b) y 5]

18 % N expresado como nitrógeno total

Al menos 3 % de nitrógeno en forma amoniacal y/o nítrica y/o ureica

Al menos 1/3 del contenido de nitrógeno total declarado debe proceder de la crotonilidendiurea

Contenido máximo de biuret:

(N ureico + N crotonilidendiurea) × 0,026

 

Nitrógeno total

Para todas las formas cuyo contenido alcance el 1 %:

nitrógeno nítrico

nitrógeno amoniacal

nitrógeno ureico

Nitrógeno de la crotonilidendiurea

14

Abono nitrogenado que contiene isobutilidendiurea

Producto obtenido químicamente, que contiene isobutilidendiurea y un abono nitrogenado simple [lista A-1, a excepción de los productos 3 a), 3 b) y 5]

18 % N expresado como nitrógeno total

Al menos 3 % de nitrógeno en forma amoniacal y/o nítrica y/o ureica

Al menos 1/3 del contenido de nitrógeno total declarado debe proceder de la isobutilidendiurea

Contenido máximo de biuret:

(N ureico + N isobutilidendiurea) × 0,026

 

Nitrógeno total

Para todas las formas cuyo contenido alcance el 1 %:

nitrógeno nítrico

nitrógeno amoniacal

nitrógeno ureico

Nitrógeno de la isobutilidendiurea

15

Abono nitrogenado que contiene urea formaldehído

Producto obtenido químicamente, que contiene urea formaldehído y un abono nitrogenado simple [lista A-1, a excepción de los productos 3 a), 3 b) y 5]

18 % N expresado como nitrógeno total

Al menos 3 % de nitrógeno en forma amoniacal y/o nítrica y/o ureica

Al menos 1/3 del contenido de nitrógeno total declarado debe proceder de la urea formaldehído

El nitrógeno de la urea formaldehído debe contener al menos 3/5 de nitrógeno soluble en agua caliente

Contenido máximo de biuret:

(N ureico + N urea formaldehído) × 0,026

 

Nitrógeno total

Para todas las formas cuyo contenido alcance el 1 %:

— nitrógeno nítrico

— nitrógeno amoniacal

— nitrógeno ureico

Nitrógeno de la urea formaldehído

Nitrógeno de la urea formaldehído soluble en agua fría

Nitrógeno de la urea formaldehído soluble únicamente en agua caliente

16

Sulfato amónico con inhibidor de la nitrificación (diciandiamida)

Producto obtenido químicamente que contiene sulfato amónico y diciandiamida

20 % N

Nitrógeno expresado como nitrógeno total

Contenido mínimo de nitrógeno amoniacal: 18 %

Contenido mínimo de nitrógeno de la diciandiamida: 1,5 %

 

Nitrógeno total

Nitrógeno amoniacal

Nitrógeno de la diciandiamida

Información técnica ()

17

Nitrosulfato amónico con inhibidor de la nitrificación (diciandiamida)

Producto obtenido químicamente que contiene nitrosulfato amónico y diciandiamida

24 % N

Nitrógeno expresado como nitrógeno total

Contenido mínimo de nitrógeno nítrico: 3 %

Contenido mínimo de nitrógeno de la diciandiamida: 1,5 %

 

Nitrógeno total

Nitrógeno nítrico

Nitrógeno amoniacal

Nitrógeno de la diciandiamida

Información técnica ()

18

Sulfato amónico-urea

Producto obtenido químicamente a partir de urea y sulfato amónico

30 % N

Nitrógeno expresado como nitrógeno amoniacal y ureico

Contenido mínimo en nitrógeno amoniacal: 4 %

Contenido mínimo en azufre expresado como trióxido de azufre: 12 %

Contenido máximo en biuret: 0,9 %

 

Nitrógeno total

Nitrógeno amoniacal

Nitrógeno ureico

Trióxido de azufre soluble en agua

(1)   El responsable de la comercialización incluirá en cada envase o en los documentos de acompañamiento si se trata de una entrega a granel, la información técnica completa que permita al usuario determinar, en concreto, los períodos de utilización y las dosis de aplicación del abono en función del cultivo a que éste se destine.

A.2.   Abonos fosfatados

Cuando se trate de abonos que se vendan en forma granulada y para cuyos componentes básicos se presenta una determinada granulometría (nos 1, 3, 4, 5, 6 y 7 ), ésta se establecerá por medio de un método de análisis apropiado



No

Denominación del tipo

Informaciones sobre la forma de obtención y los componentes esenciales

Contenido mínimo en elementos nutrientes (porcentaje en masa)

Informaciones sobre la evaluación de los elementos nutrientes

Otros requisitos

Otras informaciones sobre la denominación del tipo

Contenido en elementos nutrientes que debe declararse

Formas y solubilidades de los elementos nutrientes

Otros criterios

1

2

3

4

5

6

1

Escorias de desfosforación

— fosfatos Thomas

— escorias Thomas

Producto obtenido en siderurgia por tratamiento de la fundición fosforosa y que contiene como componentes esenciales silicofosfatos cálcico

12 % P2O5

Fósforo expresado como pentóxido de fósforo soluble en ácidos minerales, siendo soluble en ácido cítrico al 2 % el 75 % como mínimo del contenido declarado en pentóxido de fósforo, o 10 % P2O5

Fósforo expresado como pentóxido de fósforo soluble en ácido cítrico al 2 %

Granulometría:

— paso de, por lo menos, el 75 % por el tamiz de 0,160 mm de abertura de malla,

— paso de, por lo menos, el 96 % por el tamiz de 0,630 mm de abertura de malla

 

Pentóxido de fósforo total (soluble en ácidos minerales), 75 % del cual (indicar en porcentaje de peso) soluble en ácido cítrico al 2 % (para la comercialización en Francia, Italia, España, Portugal, Grecia ►M1  , República Checa, Estonia, Chipre, Letonia, Lituania, Hungría, Malta, Polonia, Eslovenia y Eslovaquia ◄ )

Pentóxido de fósforo soluble en ácidos minerales y pentóxido de fósforo soluble en ácido cítrico al 2 % (para la comercialización en el Reino Unido)

Pentóxido de fósforo soluble en ácido cítrico al 2 % (para la comercialización en Alemania, Bélgica, Dinamarca, Irlanda, Luxemburgo, Países Bajos y Austria)

2(a)

Superfosfato simple

Producto obtenido por reacción del fosfato mineral triturado con ácido sulfúrico y que contiene como componentes esenciales fosfato monocálcico y sulfato cálcico

16 % P2O5

Fósforo expresado como P2O5 soluble en citrato amónico neutro, siendo el 93 % como mínimo del contenido declarado en P2O5 soluble en agua

Muestra de análisis: 1 g

 

Pentóxido de fósforo soluble en citrato amónico neutro

Pentóxido de fósforo soluble en agua

2(b)

Superfosfato concentrado

Producto obtenido por reacción del fosfato mineral triturado con ácido sulfúrico y ácido fosfórico y que contiene como componente esencial fosfato monocálcico y sulfato cálcico

25 % P2O5

Fósforo expresado como P2O5 soluble en citrato amónico neutro, siendo el 93 % como mínimo del contenido declarado en P2O5 soluble en agua

Muestra de análisis: 1 g

 

Pentóxido de fósforo soluble en citrato amónico neutro

Pentóxido de fósforo soluble en agua

2(c)

Superfosfato triple

Producto obtenido por reacción del fosfato mineral triturado con ácido fosfórico y que contiene como componente esencial fosfato monocálcico

38 % P2O5

Fósforo expresado como P2O5 soluble en citrato amónico neutro siendo el 93 % como mínimo del contenido declarado en P2O5 soluble en agua

Muestra de análisis: 3 g

 

Pentóxido de fósforo soluble en citrato amónico neutro

Pentóxido de fósforo soluble en agua

3

Fosfato roca parcialmente solubilizado

Producto obtenido por ataque parcial del fosfato roca triturado por ácido sulfúrico o ácido fosfórico y que contiene como componentes esenciales fosfato monocálcico, fosfato tricálcico y sulfato cálcico

20 % P2O5

Fósforo expresado como P2O5 soluble en ácidos minerales, siendo el 40 % como mínimo del contenido declarado en P2O5 soluble en agua

Granulometría:

— paso de, por lo menos, el 90 % por el tamiz de 0,160 mm de abertura de malla,

— paso de, por lo menos, el 98 % por el tamiz de 0,630 mm de abertura de malla

 

Pentóxido de fósforo total (soluble en ácidos minerales)

Pentóxido de fósforo soluble en agua

4

Fosfato bicálcico

Producto obtenido por la precipitación del ácido fosfórico solubilizado de fosfatos minerales o de huesos y que contiene como componente esencial fosfato bicálcico dihidratado

38 % P2O5

Fósforo expresado como P2O5 soluble en citrato amónico alcalino (Petermann)

Granulometría:

— paso de, por lo menos, el 90 % por el tamiz de 0,160 mm de abertura de malla,

— paso de, por lo menos, el 98 % por el tamiz de 0,630 mm de abertura de malla

 

Pentóxido de fósforo soluble en citrato amónico alcalino

5

Fosfato calcinado

Producto obtenido por reacción térmica del fosfato roca molido bajo la acción de compuestos alcalinos y de ácido silícico y que contiene como componentes esenciales fosfato alcalino cálcico y silicato cálcico

25 % P2O5

Fósforo expresado como P2O5 soluble en citrato amónico alcalino (Petermann)

Granulometría:

— paso de, por lo menos, el 75 % por el tamiz de 0,160 mm de abertura de malla,

— paso de, por lo menos, el 96 % por el tamiz de 0,630 mm de abertura de malla

 

Pentóxido de fósforo soluble en citrato amónico alcalino

6

Fosfato aluminocálcico

Producto obtenido en forma amorfa por tratamiento térmico y triturado, que contiene como componentes esenciales fosfatos cálcico y de aluminio

30 % P2O5

Fósforo expresado como P2O5 soluble en ácidos minerales, siendo el 75 % como mínimo del contenido declarado en P2O5 soluble en citrato amónico alcalino (Joulie)

Granulometría:

— paso de, por lo menos, el 90 % por el tamiz de 0,160 mm de malla,

— paso de, por lo menos, el 98 % por el tamiz de 0,630 mm de abertura de malla

 

Pentóxido de fósforo total (soluble en ácidos minerales)

Pentóxido de fósforo soluble en citrato amónico alcalino

7

Fosfato roca blando

Producto obtenido por trituración de fosfatos minerales blandos y que contiene como componentes esenciales fosfato tricálcico y carbonato cálcico

25 % P2O5

Fósforo expresado como P2O5 soluble en ácidos minerales siendo el 55 % como mínimo del contenido declarado en P2O5 soluble en ácido fórmico al 2 %

Granulometría:

— paso de, por lo menos, el 90 % por el tamiz de 0,063 mm de malla,

— paso de, por lo menos, el 99 % por el tamiz de 0,125 mm de abertura de malla

 

Pentóxido de fósforo total (soluble en ácidos minerales)

Pentóxido de fósforo soluble en ácido fórmico al 2 %

Porcentaje en masa del producto que pueda pasar a través del tamiz de 0,063 m de abertura de malla

A.3.   Abonos potásicos



No

Denominación del tipo

Informaciones sobre la forma de obtención y los componentes esenciales

Contenido mínimo en elementos nutrientes (porcentaje en masa)

Informaciones sobre la evaluación de los elementos nutrientes

Otros requisitos

Otras informaciones sobre la denominación del tipo

Contenido en elementos nutrientes que debe declararse

Formas y solubilidades de los elementos nutrientes

Otros criterios

1

2

3

4

5

6

1

Sal potásica en bruto

Producto obtenido a partir de sales potásicas en bruto

10 % K2O

Potasio expresado como K2O soluble en agua

Podrán añadirse las denominaciones usuales en el comercio

Óxido de potasio soluble en agua

Óxido de magnesio soluble en agua

5 % MgO

Magnesio en forma de sales solubles en agua, expresado como óxido de magnesio

2

Sal potásica en bruto enriquecida

Producto obtenido a partir de sales potásicas en bruto enriquecidas por mezcla con cloruro potásico

18 % K2O

Potasio expresado como K2O soluble en agua

Se podrán añadir las denominaciones usuales en el comercio

Óxido de potasio soluble en agua

Indicación facultativa del contenido en óxido de magnesio soluble en agua, si es superior al 5 % de MgO

3

Cloruro potásico

Producto obtenido a partir de sales potásicas en bruto y que contiene como componente esencial cloruro potásico

37 % K2O

Potasio expresado como K2O soluble en agua

Se podrán añadir las denominaciones usuales en el comercio

Óxido de potasio soluble en agua

4

Cloruro potásico con sales de magnesio

Producto obtenido a partir de sales potásicas en bruto con adición de sales de magnesio y que contiene como componentes esenciales cloruro potásico y sales de magnesio

37 % K2O

Potasio expresado como K2O soluble en agua

 

Óxido de potasio soluble en agua

Óxido de magnesio soluble en agua

5 % MgO

Magnesio en forma de sales solubles en agua, expresado como óxido de magnesio

 

5

Sulfato potásico

Producto obtenido químicamente a partir de las sales de potasio y que contiene como componente esencial sulfato potásico

47 % K2O

Potasio expresado como K2O soluble en agua Contenido máximo en cloruro: 3 % Cl-

 

Óxido de potasio soluble en agua

Indicación facultativa del contenido en cloruro

6

Sulfato potásico con sales de magnesio

Producto obtenido químicamente a partir de sales de potasio con una posible adición de sales de magnesio y que contiene como componentes esenciales sulfato potásico y sulfato de magnesio

22 % K2O

Potasio expresado como K2O soluble en agua

Se podrán añadir las denominaciones usuales en el comercio

Óxido de potasio soluble en agua

Óxido de magnesio soluble en agua

Indicación facultativa del contenido en cloruro

8 % MgO

Magnesio en forma de sales solubles en agua, expresado como óxido de magnesio. Contenido máximo en cloruro: 3 % Cl-

7

Kieserita con sulfato potásico

Producto obtenido a base de kieserita enriquecida con sulfato potásico

8 % MgO

Magnesio expresado como MgO soluble en agua

Podrán añadirse las denominaciones usuales en el comercio

Óxido de magnesio soluble en agua

Óxido de potasio soluble en agua

Indicación facultativa del contenido en cloruro

6 % K2O

Potasio expresado como K2O soluble en agua

Total MgO + K2O: 20 %

Contenido máximo en cloruro: 3 % Cl-

B.   Abonos inorgánicos compuestos con elementos nutrientes primarios

B.1.   Abonos NPK



B.1.1.

Denominación del tipo:

Abonos NPK.

Información sobre la forma de obtención:

Producto obtenido químicamente o por mezcla sin incorporación de materia orgánica de origen animal o vegetal.

Contenidos mínimos en elementos nutrientes (porcentaje en masa):

— Total: 20 % (N + P2O5 + K2O);

— Para cada uno de los elementos nutrientes: 3 % N, 5 % P2O5, 5 % K2O.



Formas, solubilidades y contenido en elementos nutrientes que deben declararse como se especifica en las columnas 4, 5 y 6

Granulometría

Información para la identificación de los abonos

Otros requisitos

N

P2O5

K2O

N

P2O5

K2O

1

2

3

4

5

6

(1)  Nitrógeno total

(2)  Nitrógeno nítrico

(3)  Nitrógeno amoniacal

(4)  Nitrógeno ureico

(5)  Nitrógeno cianamídico

(1)  P2O5 soluble en agua

(2)  P2O5 soluble en citrato amónico neutro

(3)  P2O5 soluble en citrato amónico neutro y en agua

(4)  P2O5 soluble únicamente en ácidos minerales

(5)  P2O5 soluble en citrato amónico alcalino (Petermann)

(6 a)  P2O5 soluble en ácidos minerales, siendo el 75 % como mínimo del contenido declarado en P2O5 soluble en ácido cítrico al 2 %

(6 b)  P2O5 soluble en ácido cítrico al 2 %

(7)  P2O5 soluble en ácidos minerales, siendo el 75 % como mínimo del contenido declarado en P2O5 soluble en citrato amónico alcalino (Joulie)

(8)  P2O5 soluble en ácidos minerales, siendo el 55 % como mínimo del contenido declarado en P2O5 soluble en ácido fórmico al 2 %

K2O soluble en agua

(1)  Nitrógeno total

(2)  Si alguna de las formas de nitrógeno (2) a (5) alcanza al menos el 1 % en masa, el contenido en esa forma de nitrógeno deberá declararse y garantizarse

(3)  Si supera el 28 %, véase anexo III 2

1.  Un abono NPK sin escorias Thomas, fosfato calcinado, fosfato aluminocálcico, fosfato roca parcialmente solubilizado y fosfato roca deberá garantizarse de conformidad con la solubilidad (1), (2) o (3):

— en el caso en que el P2O5 soluble en agua no alcance el 2 %, se declarará únicamente la solubilidad (2);

— en el caso en que el P2O5 soluble en agua alcance el 2 %, se declará la solubilidad (3) con la obligación de indicar el contenido en P2O5 soluble en agua [solubilidad (1)].

El contenido de P2O5 soluble únicamente en ácidos minerales no deberá sobrepasar el 2 %.

Para este tipo 1, la muestra para la determinación de las solubilidades (2) y (3) será de l g.

2 (a)  Un abono NPK que contenga fosfato roca o fosfato roca parcialmente solubilizado no deberá contener escorias Thomas, fosfato calcinado ni fosfato aluminocálcico. Se garantizará de acuerdo con la solubilidad (1), (3) y (4).

Este tipo de abono deberá responder a las siguientes exigencias:

— contener al menos un 2 % de P2O5 soluble únicamente en ácidos minerales [solubilidad (4)].

— contener al menos un 5 % de P2O5 soluble en agua y en citrato amónico neutro [solubilidad (3)].

— contener al menos un 2,5 % de P2O5 soluble en agua [solubilidad (1)].

Este tipo de abono deberá comercializarse bajo la denominación «Abono NPK con fosfato roca» o «Abono NPK con fosfato roca parcialmente solubilizado». Para este tipo 2(a), la muestra de análisis para la determinación de la solubilidad (3) será de 3 g.

1.  Óxido de potasio soluble en agua

2.  La indicación «Pobre en cloruro» equivaldrá a un contenido máximo de 2 % Cl

3.  Se permitirá declarar el contenido en cloruro

Granulometría de los componentes fosfatados básicos

Escorias Thomas: paso de, por lo menos, el 75 % a través del tamiz de 0,160 mm de abertura de malla

Fosfato aluminocálcico: paso de, por lo menos, el 90 % a través del tamiz de 0,160 mm de abertura de malla

Fosfato calcinado: paso de, por lo menos, el 75 % a través del tamiz de 0,160 mm de abertura de malla

Fosfato roca blando: paso de, por lo menos, el 90 % a través de un tamiz de 0,063 mm de abertura de malla

Fosfato roca parcialmente solubilizado: paso de, por lo menos, el 90 % a través de un tamiz de 0,160 de abertura de malla

 

2 (b)  Un abono NPK que contenga fosfato aluminocálcico no deberá tener escorias Thomas, fosfato calcinado, fosfato roca parcialmente solubilizado ni fosfato roca.

Se garantizará de acuerdo con las solubilidades (1) y (7), aplicándose esta última una vez deducida la solubilidad en agua.

Este tipo de abono deberá responder a las siguientes exigencias:

— contener al menos un 2 % de P2O5 soluble en agua [solubilidad (1)].

— contener al menos un 5 % de P2O5 según la solubilidad (7).

Este tipo de abono deberá comercializarse bajo la denominación «Abono NPK con fosfato aluminocálcico».

3.  Cuando se trate de abono NPK que sólo contenga uno de los tipos de abonos fosfatados siguientes: escorias Thomas, fosfato aluminocálcico o fosfato roca blando, el componente fosfatado deberá indicarse a continuación de la denominación del tipo de abono.

La garantía de la solubilidad del P2O5 deberá darse de la siguiente forma:

— para los abonos a base de escorias Thomas: solubilidad (6a) (Francia, Italia, España, Portugal, Grecia ►M1  , República Checa, Estonia, Chipre, Letonia, Lituania, Hungría, Malta, Polonia, Eslovenia, Eslovaquia ◄ ), (6b) (Alemania, Bélgica, Dinamarca, Irlanda, Luxemburgo, Países Bajos, Reino Unido y Austria)

— para los abonos a base de fosfato calcinado: solubilidad (5)

— para los abonos a base de fosfato aluminocálcico: solubilidad (7)

— para los abonos a base de fosfato roca blando: solubilidad (8).

 



B.1.2.

Denominación del tipo:

Abono NPK que contiene crotonilidendiurea, isobutilidendiurea o urea formaldehído, según los casos

Información sobre la forma de obtención:

Producto obtenido químicamente, que contiene crotonilidendiurea, isobutilidendiurea o urea folmaldehído, sin adición de materia orgánica de origen animal o vegetal

Contenidos mínimos en elementos nutrientes (porcentaje en masa):

— Total: 20 % (N + P2O5 + K2O);

— Para cada uno de los elementos nutrientes:

— 

— 5 % N. Al menos ¼ del contenido de nitrógeno total declarado debe proceder de la forma de nitrógeno (5), (6) o (7). Al menos 3/5 del contenido de nitrógeno (7) declarado deben ser solubles en agua caliente

— 5 % P2O5,

— 5 % K2O.



Formas, solubilidades y contenido en elementos nutrientes que deben declararse como se especifica en las columnas 4, 5 y 6

Granulometría

Información para la identificación de los abonos

Otros requisitos

N

P2O5

K2O

N

P2O5

K2O

1

2

3

4

5

6

(1)  Nitrógeno total

(2)  Nitrógeno nítrico

(3)  Nitrógeno amoniacal

(4)  Nitrógeno ureico

(5)  Nitrógeno de la crotonilidendiurea

(6)  Nitrógeno de la isobutilidendiurea

(7)  Nitrógeno de la urea formaldehído

(8)  Nitrógeno de la urea formaldehído soluble únicamente en agua caliente

(9)  Nitrógeno de la urea formaldehído soluble en agua fría

(1)  P2O5 soluble en agua

(2)  P2O5 soluble en citrato amónico neutro

(3)  P2O5 soluble en citrato amónico neutro y en agua

K2O soluble en agua

(1)  Nitrógeno total

(2)  Si alguna de las formas de nitrógeno (2) a (4) alcanza, al menos, el 1 % en masa, deberá garantizarse

(3)  Una de las formas de nitrógeno (5) a (7) (según los casos). La forma de nitrógeno (7) deberá garantizarse en forma de nitrógeno (8) y (9)

Este abono NPK sin escorias Thomas, fosfato calcinado, fosfato aluminocálcico, fosfato roca parcialmente solubilizado, ni fosfato roca blando deberá garantizarse de acuerdo con la solubilidad (1), (2) o (3):

— en el caso en que el P2O5 soluble en agua no alcance el 2 %, se declarará únicamente la solubilidad (2)

— en el caso en que el P2O5 soluble en agua alcance el 2 %, se declarará la solubilidad (3), indicando obligatoriamente el contenido en P2O5 soluble en agua [solubilidad (1)]

El contenido de P2O5 soluble únicamente en ácidos minerales no deberá sobrepasar el 2 %

La muestra para la determinación de la solubilidad (2) y (3) será de 1 g

(1)  Óxido de potasio soluble en agua

(2)  La indicación «pobre en cloruro» equivaldrá a un contenido máximo de 2 % Cl

(3)  Podrá declararse el contenido en cloruro

B.2.   Abonos NP



B.2.1.

Denominación del tipo:

Abonos NP.

Información sobre la forma de obtención:

Producto obtenido químicamente o por mezcla, sin incorporación de materia orgánica de origen animal o vegetal.

Contenidos mínimos en elementos nutrientes (porcentaje en masa):

— Total: 18 % (N + P2O5);

— Para cada uno de los elementos nutrientes: 3 % N, 5 % P2O5.



Formas, solubilidades y contenido en elementos nutrientes que deben declararse como se especifica en las columnas 4, 5 y 6

Granulometría

Información para la identificación de los abonos

Otros requisitos

N

P2O5

K2O

N

P2O5

K2O

1

2

3

4

5

6

(1)  Nitrógeno total

(2)  Nitrógeno nítrico

(3)  Nitrógeno amoniacal

(4)  Nitrógeno ureico

(5)  Nitrógeno cianamídico

(1)  P2O5 soluble en agua

(2)  P2O5 soluble en citrato amónico neutro

(3)  P2O5 soluble en citrato amónico neutro y en agua

(4)  P2O5 soluble únicamente en ácidos minerales

(5)  P2O5 soluble en citrato amónico alcalino (Petermann)

(6 a)  P2O5 soluble en ácidos minerales, siendo el 75 % al menos del contenido declarado en P2O5 soluble en ácido cítrico al 2 %

(6 b)  P2O5 soluble en ácido cítrico al 2 %

(7)  P2O5 soluble en ácidos minerales, siendo el 75 % como mínimo del contenido declarado en P2O5 soluble en citrato amónico alcalino (Joulie)

(8)  P2O5 soluble en ácidos minerales, siendo el 55 % como mínimo del contenido declarado en P2O5 soluble en ácido fórmico al 2 %

 

(1)  Nitrógeno total

(2)  Si alguna de las formas de nitrógeno (2) a (5) alcanza al menos el 1 % en peso, el contenido en esa forma de nitrógeno deberá declararse y garantizarse

1.  Deberá garantizarse un abono NP sin escorias Thomas, fosfato calcinado, fosfato aluminocálcico, fosfato roca parcialmente solubilizado ni fosfato roca, de conformidad con la solubilidad (1), (2) o (3):

— en el caso en que el P2O5 soluble en agua no alcance el 2 %, se declarará únicamente la solubilidad (2),

— en el caso en que el P2O5 soluble en agua alcance el 2 %, se declarará la solubilidad (3) con la obligación de indicar el P2O5 soluble en agua [solubilidad (1)].

El contenido de P2O5 soluble únicamente en ácidos minerales no deberá sobrepasar el 2 %.

Para este tipo 1, la muestra de análisis para la determinación de la solubilidad será de 1 g.

2 (a)  Un abono NP que contenga fosfato roca o fosfato roca parcialmente solubilizado no deberá tener escorias Thomas, fosfato calcinado ni fosfato aluminocálcico. Se garantizará de acuerdo con las solubilidades (1), (3) y (4)

Este tipo de abono deberá responder a las siguientes exigencias:

— contener al menos un 2 % de P2O5 soluble únicamente en ácidos minerales [solubilidad (4)]

— contener al menos un 5 % de P2O5 soluble en agua y en el citrato amónico neutro [solubilidad (3)]

— contener al menos 2,5 % de P2O5 soluble en agua [solubilidad (1)].

Este tipo de abono deberá comercializarse bajo la denominación «Abono NP con fosfato roca» o «Abono NP con fosfato roca parcialmente solubilizado».

La muestra para la determinación de la solubilidad (3) en este tipo de abono será de 3 g.

 

Granulometría de los componentes fosfatados básicos:

Escorias Thomas: paso de, por lo menos, el 75 % a través del tamiz de 0,160 mm de abertura de malla

Fosfato aluminocálcico: paso de, por lo menos, el 90 % a través del tamiz de 0,160 mm de abertura de malla

Fosfato calcinado: paso de, por lo menos, el 75 % a través del tamiz de 0,160 mm de abertura de malla

Fosfato roca blando: paso de, por lo menos, el 90 % a través de un tamiz de 0,063 mm de abertura de malla

Fosfato roca parcialmente solubilizado paso de, por lo menos, el 90 % a través de un tamiz de 0,160 de abertura de malla

 

2 (b)  Un abono NP que contenga fosfato aluminocálcico no deberá tener escorias Thomas, fosfato calcinado, fosfato roca parcialmente solubilizado ni fosfato roca.

Se garantizará de acuerdo con la solubilidad (1) y (7), aplicándose esta última, una vez deducido la solubilidad en agua.

Este tipo de abono deberá responder a las siguientes exigencias:

— contener al menos 2 % de P2O5 soluble en agua [solubilidad (1)]

— contener al menos 5 % de P2O5 según la solubilidad (7).

Este tipo de abono deberá comercializarse bajo la denominación «Abono NP con fosfato aluminocálcico».

3.  Cuando se trate de abonos NP que sólo contengan uno de los tipos de abonos fosfatados siguientes: escorias Thomas, fosfato calcinado, fosfato aluminocálcico, o fosfato roca blando, el componente fosfatado deberá indicarse a continuación del tipo de abono.

La garantía de la solubilidad del P2O5 deberá darse de la siguiente forma:

— para los abonos a base de escorias Thomas: solubilidad (6a) (Francia, Italia, España, Portugal, Grecia ►M1  , República Checa, Estonia, Chipre, Letonia, Lituania, Hungría, Malta, Polonia, Eslovenia, Eslovaquia ◄ ), (6b) (Alemania, Bélgica, Dinamarca, Irlanda, Luxemburgo, Países Bajos, Reino Unido y Austria)

— para los abonos a base de fosfato calcinado: solubilidad (5)

— para los abonos a base de fosfato aluminocálcico: solubilidad (7)

— para los abonos a base de fosfato roca blando: solubilidad (8).

 



B.2.2.

Denominación del tipo:

Abono NP que contiene crotonilidendiurea, isobutilidendiurea o urea formaldehído según los casos

Información sobre la forma de obtención:

Producto obtenido químicamente, que contiene crotonilidendiurea, isobutilidendiurea o urea folmaldehído, sin adición de materia orgánica de origen animal o vegetal

Contenidos mínimos en elementos nutrientes (porcentaje en masa):

— Total: 18 % (N + P2O5);

— Para cada uno de los elementos nutrientes:

— 

— 5 % N.

— Al menos ¼ del contenido de nitrógeno total declarado debe proceder de la forma de nitrógeno (5), (6) o (7).

— Al menos 3/5 del contenido de nitrógeno (7) declarado deben ser solubles en agua caliente

— 5 % P2O5.



Formas, solubilidades y contenido en elementos nutrientes que deben declararse como se especifica en las columnas 4, 5 y 6

Granulometría

Información para la identificación de los abonos

Otros requisitos

N

P2O5

K2O

N

P2O5

K2O

1

2

3

4

5

6

(1)  Nitrógeno total

(2)  Nitrógeno nítrico

(3)  Nitrógeno amoniacal

(4)  Nitrógeno ureico

(5)  Nitrógeno de la crotonilidendiurea

(6)  Nitrógeno de la isobutilidendiurea

(7)  Nitrógeno de la urea formaldehído

(8)  Nitrógeno de la urea formaldehído soluble únicamente en agua caliente

(9)  Nitrógeno de la urea formaldehído soluble en agua fría

(1)  P2O5 soluble en agua

(2)  P2O5 soluble en citrato amónico neutro

(3)  P2O5 soluble en citrato amónico neutro y en agua

 

(1)  Nitrógeno total

(2)  Si alguna de las formas de nitrógeno (2) a (4) alcanza, al menos, el 1 % en masa, deberá declararse

(3)  Una de las formas de nitrógeno (5) a (7) (según los casos). La forma de nitrógeno (7) deberá declararse en forma de nitrógeno (8) y (9)

Este abono NP sin escorias Thomas, fosfato calcinado, fosfato aluminocálcico, fosfato roca parcialmente solubilizado, ni fosfato roca blando deberá declararse de acuerdo con la solubilidad (1), (2) o (3):

— en el caso en que el P2O5 soluble en agua no alcance el 2 %, se declarará únicamente la solubilidad (2)

— en el caso en que el P2O5 soluble en agua alcance el 2 %, se declarará la solubilidad (3), indicando obligatoriamente el contenido en P2O5 soluble en agua [solubilidad (1)].

El contenido de P2O5 soluble únicamente en ácidos minerales no deberá sobrepasar el 2 %

La muestra para la determinación de las solubilidades (2) y (3) será de 1 g.

 

B.3.   Abonos NK



B.3.1.

Denominación del tipo:

Abonos NK.

Información sobre la forma de obtención:

Producto obtenido químicamente o por mezcla, sin incorporación de materia orgánica de origen animal o vegetal

Contenidos mínimos en elementos nutrientes (porcentaje en masa):

— Total: 18 % (N + K2O);

— Para cada uno de los elementos nutrientes: 3 % N, 5 % K2O.



Formas, solubilidades y contenido en elementos nutrientes que deben declararse como se especifica en las columnas 4, 5 y 6

Granulometría

Información para la identificación de los abonos

Otros requisitos

N

P2O5

K2O

N

P2O5

K2O

1

2

3

4

5

6

(1)  Nitrógeno total

(2)  Nitrógeno nítrico

(3)  Nitrógeno amoniacal

(4)  Nitrógeno ureico

(5)  Nitrógeno cianamídico

 

K2O soluble en agua

(1)  Nitrógeno total

(2)  Si una de las formas de nitrógeno de (2) a (5) alcanza al menos el 1 % en masa, el contenido en esa forma de nitrógeno deberá declararse

 

(1)  Óxido de potasio soluble en agua

(2)  La indicación «pobre en cloruro» equivaldrá a un contenido máximo de 2 % Cl

(3)  El contenido en cloruro podrá declararse



B.3.2.

Denominación del tipo:

Abono NK que contiene crotonilidendiurea, isobutilidendiurea o urea formaldehído según los casos

Información sobre la forma de obtención:

Producto obtenido químicamente, que contiene crotonilidendiurea, isobutilidendiurea o urea folmaldehído, sin adición de materia orgánica de origen animal o vegetal

Contenidos mínimos en elementos nutrientes (porcentaje en masa):

— Total: 18 % (N + K2O);

— Para cada uno de los elementos nutrientes:

— 

— 5 % N

— Al menos ¼ del contenido de nitrógeno total declarado debe proceder de la forma de nitrógeno (5), (6) o (7).

— Al menos 3/5 del contenido de nitrógeno (7) declarado deben ser solubles en agua caliente

— 5 % K2O.



Formas, solubilidades y contenido en elementos nutrientes que deben declararse como se especifica en las columnas 4, 5 y 6

Granulometría

Información para la identificación de los abonos

Otros requisitos

N

P2O5

K2O

N

P2O5

K2O

1

2

3

4

5

6

(1)  Nitrógeno total

(2)  Nitrógeno nítrico

(3)  Nitrógeno amoniacal

(4)  Nitrógeno ureico

(5)  Nitrógeno de la crotonilidendiurea

(6)  Nitrógeno de la isobutilidendiurea

(7)  Nitrógeno de la urea formaldehído

(8)  Nitrógeno de la urea formaldehído soluble únicamente en agua caliente

(9)  Nitrógeno de la urea formaldehído soluble en agua fría

 

K2O soluble en agua

(1)  Nitrógeno total

(2)  Si alguna de las formas de nitrógeno (2) a (4) alcanza, al menos, el 1 % en masa, deberá declararse

(3)  Una de las formas de nitrógeno (5) a (7) (según los casos). La forma de nitrógeno (7) deberá declararse en forma de nitrógeno (8) y (9)

 

(1)  Óxido de potasio soluble en agua

(2)  La indicación «pobre en cloruro» equivaldrá a un contenido máximo de 2 % Cl

(3)  Podrá declararse el contenido en cloruro

B.4.   Abonos PK



Denominación del tipo:

Abonos PK.

Información sobre la forma de obtención:

Producto obtenido químicamente o por mezcla, sin incorporación de materia orgánica de origen animal o vegetal.

Contenido mínimo en elementos fertilizantes (porcentaje en masa):

— Total: 18 % (P2O5 + K2O);

— Para cada uno de los elementos nutrientes: 5 % P2O5, 5 % K2O.



Formas, solubilidades y contenido en elementos nutrientes que deben declararse como se especifica en las columnas 4, 5 y 6

Granulometría

Información para la identificación de los abonos

Otros requisitos

N

P2O5

K2O

N

P2O5

K2O

1

2

3

4

5

6

 

(1)  P2O5 soluble en agua

(2)  P2O5 soluble en citrato amónico neutro

(3)  P2O5 soluble en citrato amónico neutro y en agua

(4)  P2O5 soluble únicamente en ácidos minerales

(5)  P2O5 soluble en citrato amónico alcalino (Petermann)

(6 a)  P2O5 soluble en ácidos minerales, siendo el 75 % como mínimo del contenido declarado en P2O5 soluble en ácido cítrico al 2 %

(6 b)  P2O5 soluble en ácido cítrico al 2 %

(7)  P2O5 soluble en ácidos minerales, siendo el 75 % como mínimo del contenido declarado en P2O5 soluble en citrato amónico alcalino (Joulie)

(8)  P2O5 soluble en ácidos minerales, siendo el 55 % como mínimo del contenido declarado en P2O5 soluble en ácido fórmico al 2 %

K2O soluble en agua

 

1.  Un abono PK sin escorias Thomas, fosfato calcinado, fosfato aluminocálcico, fosfato roca parcialmente solubilizado y fosfato roca, deberá declararse de conformidad con la solubilidad (1), (2) o (3):

— en el caso en que el P2O5 soluble en agua no alcance el 2 %, se declarará solamente la solubilidad (2);

— en el caso en que el P2O5 soluble en agua alcance el 2 %, se declarará la solubilidad (3) con la obligación de indicar el contenido en P2O5 soluble en agua [solubilidad (1)].

El contenido de P2O5 soluble únicamente en ácidos minerales no deberá sobrepasar el 2 %.

Para este tipo 1, la muestra de análisis para la determinación de la solubilidad (2) y (3) será de 1 g.

2 (a)  Un abono PK que contenga fosfato roca parcialmente solubilizado no deberá tener escorias Thomas, fosfato calcinado ni fosfato aluminocálcico. Se declarará de acuerdo con las solubilidades (1), (3) y (4)

Este tipo de abono deberá responder a las siguientes exigencias:

— contener al menos un 2 % de P2O5 soluble únicamente en ácidos minerales [solubilidad (4)]

— contener al menos un 5 % de P2O5 soluble en agua y en el citrato amónico neutro [solubilidad (3)]

— contener al menos un 2,5 % de P2O5 soluble en agua [solubilidad (1)].

Este tipo de abono deberá comercializarse bajo la denominación «Abono PK con fosfato roca» o «Abono PK con fosfato roca parcialmente solubilizado».

La muestra para la determinación de la solubilidad será de 3 g.

(1)  Óxido de potasio soluble en agua

(2)  La indicación «pobre en cloruro» equivaldrá a un contenido máximo de 2 % Cl

(3)  El contenido en cloruro podrá declararse

Granulometría de los componentes fosfatados básicos

Escorias Thomas: paso de, por lo menos, el 75 % a través del tamiz de 0,160 mm de abertura de malla

Fosfato aluminocálcico: paso de, por lo menos, el 90 % a través del tamiz de 0,160 mm de abertura de malla

Fosfato calcinado: paso de, por lo menos, el 75 % a través del tamiz de 0,160 mm de abertura de malla

Fosfato roca blando: paso de, por lo menos, el 90 % a través de un tamiz de 0,063 mm de abertura de malla

Fosfato roca parcialmente solubilizado: paso de, por lo menos, el 90 % a través de un tamiz de 0,160 de abertura de malla

 

2 (b)  Un abono PK que contenga fosfato aluminocálcico no deberá tener escorias Thomas, fosfato calcinado, fosfato roca parcialmente solubilizado ni fosfato roca.

Se declarará de acuerdo con las solubilidades (1) y (7), aplicándose esta última, una vez deducida la solubilidad en agua.

Este tipo de abono deberá responder a las siguientes exigencias:

— contener al menos 2 % de P2O5 soluble en agua [solubilidad (1)].

— contener al menos 5 % de P2O5 según la solubilidad (7).

Este tipo de abono deberá comercializarse bajo la denominación «Abono PK con fosfato aluminocálcico».

3.  Cuando se trate de abonos PK que sólo contengan uno de los tipos de abonos fosfatados siguientes: escorias Thomas, fosfato calcinado, fosfato aluminocálcico, o fosfato roca blando, el componente fosfatado deberá indicarse a continuación del tipo de abono.

La garantía de la solubilidad del P2O5 deberá darse de la siguiente forma:

— para los abonos a base de escorias Thomas: solubilidad (6a) (Francia, Italia, España, Portugal, Grecia ►M1  , República Checa, Estonia, Chipre, Letonia, Lituania, Hungría, Malta, Polonia, Eslovenia, Eslovaquia ◄ ), (6b) (Alemania, Bélgica, Dinamarca, Irlanda, Luxemburgo, Países Bajos, Reino Unido y Austria)

— para los abonos a base de fosfato disgregado: solubilidad (5)

— para los abonos a base fosfato aluminocálcico: solubilidad (7)

— para los abonos a base de fosfato roca blando: solubilidad (8).

 

C.   Abonos líquidos inorgánicos

C.1.   Abonos líquidos simples



No

Denominación del tipo

Informaciones sobre la forma de obtención y los componentes esenciales

Contenido mínimo en elementos nutrientes (porcentaje en masa)

Informaciones sobre la evaluación de los elementos nutrientes

Otros requisitos

Otras informaciones sobre la denominación del tipo

Contenido en elementos nutrientes que debe declararse

Formas y solubilidades de los elementos nutrientes

Otros criterios

1

2

3

4

5

6

1

Solución de abono nitrogenado

Producto obtenido químicamente y por disolución en agua, en forma estable a la presión atmosférica sin incorporación de materia orgánica de origen animal o vegetal

15 % N

Nitrogéno expresado como nitrógeno total o, si sólo hay una forma, como nitrógeno nítrico, nitrógeno amoniacal o nitrógeno ureico

Contenido máximo en biuret:

N ureico × 0,026

 

Nitrógeno total y, para cada forma que contenga como mínimo un 1 % de nitrógeno amoniacal, nitrógeno nítrico y/o nitrógeno ureico.

Si el contenido en biuret es inferior al 0,2 %, se podrá incluir la indicación «pobre en biuret».

2

Solución de nitrato amónico-urea

Producto obtenido químicamente y por disolución en agua de nitrato amónico y urea

26 % N

Nitrógeno expresado como nitrógeno total, del cual aproximadamente la mitad representa nitrógeno ureico

Contenido máximo en biuret: 0,5 %

 

Nitrógeno total

Nitrógeno nítrico, nitrógeno amoniacal, nitrógeno ureico

Si el contenido en biuret es inferior al 0,2 %, podrá incluirse la indicación «pobre en biuret»

3

Solución de nitrato cálcico

Producto obtenido por disolución en agua de nitrato cálcico

8 % N

Nitrógeno expresado como nitrógeno nítrico, del cual un 1 % como máximo está constituido por nitrógeno amoniacal

Calcio expresado como CaO soluble en agua

La denominación del tipo podrá ir seguida, según los casos, por una de las indicaciones siguientes:

— para aplicación foliar

— para fabricación de soluciones nutritivas

— para fertirrigación

Nitrógeno total

Óxido cálcico soluble en agua para los usos mencionados en la columna 5

Facultativamente:

— nitrógeno nítrico

— nitrógeno amoniacal

4

Solución de nitrato magnésico

Producto obtenido químicamente y por disolución en agua de nitrato magnésico

6 % N

Nitrógeno expresado como nitrógeno nítrico

 

Nitrógeno nítrico

Óxido de magnesio soluble en agua

9 % MgO

Magnesio expresado como óxido de magnesio soluble en agua

pH mínimo: 4

 

5

Suspensión de nitrato cálcico

Producto obtenido por suspensión en agua de nitrato cálcico

8 % N

Nitrógeno expresado como nitrógeno total o como nitrógeno nítrico y amoniacal

Contenido máximo en nitrógeno amoniacal: 1,0 %

La denominación del tipo podrá ir seguida por una de las siguientes indicaciones:

— para aplicación foliar

— para fabricación de soluciones y suspensiones nutritivas

— para fertirrigación

Nitrógeno total

Nitrógeno nítrico

Óxido cálcico soluble en agua para los usos mencionados en la columna 5

14 % CaO

Calcio expresado como CaO soluble en agua

6

Solución de abono nitrogenado con urea formaldehído

Producto obtenido químicamente o por disolución en agua de urea formaldehído y un abono nitrogenado de la lista A-1 del presente Reglamento, excluidos los productos 3(a), 3(b) y 5

18 % N expresado como nitrógeno total

Al menos 1/3 del contenido de nitrógeno total declarado debe proceder de la urea formaldehído

Contenido máximo en biuret: (N ureico + N ureico formaldehído) x 0,026

 

Nitrógeno total

Para todas las formas cuyo contenido alcance el 1 %:

— nitrógeno nítrico

— nitrógeno amoniacal

— nitrógeno ureico

Nitrógeno de la urea formaldehído

7

Suspensión de abono nitrogenado con urea formaldehído

Producto obtenido químicamente o por suspensión en agua de urea formaldehído y un abono nitrogenado de la lista A-1 del presente Reglamento, excluidos los productos 3(a), 3(b) y 5

18 % N expresado como nitrógeno total

Al menos 1/3 del contenido de nitrógeno total declarado debe proceder de la urea formaldehído, del cual al menos 3/5 tienen que ser solubles en agua caliente

Contenido máximo en biuret: (N ureico + N ureico formaldehído) x 0,026

 

Nitrógeno total

Para todas las formas cuyo contenido alcance el 1 %:

— nitrógeno nítrico

— nitrógeno amoniacal

— nitrógeno ureico

Nitrógeno de la urea formaldehído

Nitrógeno de la urea formaldehído soluble en agua fría

Nitrógeno de la urea formaldehído soluble únicamente en agua caliente

C.2.   Abonos líquidos compuestos



C.2.1.

Denominación del tipo:

Solución de abono NPK.

Información sobre la forma de obtención:

Producto obtenido químicamente y por disolución en agua, en forma estable a la presión atmosférica, sin incorporación de materia orgánica de origen animal o vegetal.

Contenido mínimo en elementos fertilizantes (porcentaje en masa) y otros requisitos:

— Total: 15 %, (N + P2O5 + K2O);

— Para cada uno de los elementos nutrientes: 2 % N, 3 % P2O5, 3 % K2O;

— Contenido máximo en biuret: N ureico × 0,026.



Formas, solubilidades y contenido en elementos nutrientes que deben declararse como se especifica en las columnas 4, 5 y 6

Granulometría

Información para la identificación de los abonos

Otros requisitos

N

P2O5

K2O

N

P2O5

K2O

1

2

3

4

5

6

(1)  Nitrógeno total

(2)  Nitrógeno nítrico

(3)  Nitrógeno amoniacal

(4)  Nitrógeno ureico

P2O5 soluble en agua

K2O soluble en agua

(1)  Nitrógeno total

(2)  Si alguna de las formas de nitrógeno 2 a 4 alcanza al menos el 1 % en masa, deberá declararse.

(3)  Si el contenido en biuret es inferior al 0,2 %, podrá incluirse la indicación «pobre en biuret»

P2O5 soluble en agua

(1)  Óxido de potasio soluble en agua

(2)  La indicación «pobre en cloruro» sólo podrá incluirse cuando el contenido en Cl sea inferior al 2 %

(3)  Podrá indicarse el contenido en cloruro



C.2.2.

Denominación del tipo:

Suspensión de abono NPK.

Información sobre la forma de obtención:

Producto en forma líquida, cuyos elementos nutrientes proceden de sustancias tanto en suspensión como disueltas en agua, sin incorporación de materia orgánica de origen animal o vegetal.

Contenido mínimo en elementos nutrientes (porcentaje en masa) y otros requisitos:

— Total: 20 %, (N + P2O5 + K2O);

— Para cada uno de los elementos nutrientes: 3 % N, 4 % P2O5, 4 % K2O;

— Contenido máximo en biuret: N ureico × 0,026.



Formas, solubilidades y contenido en elementos nutrientes que deben declararse como se especifica en las columnas 4, 5 y 6

Granulometría

Información para la identificación de los abonos

Otros requisitos

N

P2O5

K2O

N

P2O5

K2O

1

2

3

4

5

6

(1)  Nitrógeno total

(2)  Nitrógeno nítrico

(3)  Nitrógeno amoniacal

(4)  Nitrógeno ureico

(1)  P2O5 soluble en agua

(2)  P2O5 soluble en citrato amónico neutro

(3)  P2O5 soluble en citrato amónico neutro y en agua

K2O soluble en agua

(1)  Nitrógeno total

(2)  Si alguna de las formas de nitrógeno 2 a 4 alcanza al menos el 1 % en masa, deberá declararse.

(3)  Si el contenido en biuret es inferior al 0,2 %, podrá incluirse la indicación «pobre en biuret»

Los abonos no pueden contener escorias Thomas ni fosfato de aluminio cálcico, ni fosfatos desagregados, fosfatos parcialmente solubilizados ni fosfatos roca

(1)  Cuando el P2O5 soluble en agua no alcance al menos el 2 %, se declarará sólo la solubilidad (2)

(2)  Cuando el P2O5 soluble en agua alcance el 2 %, se declarará la solubilidad (3) indicando obligatoriamente el contenido en P2O5 soluble en agua

(1)  Óxido de potasio soluble en agua

(2)  La indicación «pobre en cloruro» sólo podrá incluirse cuando el contenido en Cl sea inferior al 2 %

(3)  Podrá indicarse el contenido en cloruro



C.2.3.

Denominación del tipo:

Solución de abono NP.

Información sobre la forma de obtención:

Producto obtenido químicamente y por disolución en agua en forma estable a la presión atmosférica, sin incorporación de materia orgánica de origen animal o vegetal.

Contenido mínimo en elementos nutrientes (porcentaje en masa):

— Total: 18 %, (N + P2O5);

— Para cada uno de los elementos nutrientes: 3 % N, 5 % P2O5.

— Contenido máximo en biuret: N ureico × 0,026.



Formas, solubilidades y contenido en elementos nutrientes que deben declararse como se especifica en las columnas 4, 5 y 6

Granulometría

Información para la identificación de los abonos

Otros requisitos

N

P2O5

K2O

N

P2O5

K2O

1

2

3

4

5

6

(1)  Nitrógeno total

(2)  Nitrógeno nítrico

(3)  Nitrógeno amoniacal

(4)  Nitrógeno ureico

P2O5 soluble en agua

 

(1)  Nitrógeno total

(2)  Si alguna de las formas de nitrógeno 2 a 4 alcanza al menos el 1 % en masa, deberá declararse.

(3)  Si el contenido en biuret es inferior al 0,2 %, podrá incluirse la indicación «pobre en biuret»

P2O5 soluble en agua

 



C.2.4.

Denominación del tipo:

Suspensión de abonos NP.

Información sobre la forma de obtención:

Producto en forma líquida, cuyos elementos nutrientes proceden de sustancias tanto disueltas como en suspensión en agua, sin incorporación de materia orgánica de origen animal o vegetal.

Contenido mínimo en elementos nutrientes (porcentaje en masa):

— Total: 18 %, (N + P2O5);

— Para cada uno de los elementos nutrientes: 3 % N, 5 % P2O5.

— Contenido máximo en biuret: N ureico × 0,026.



Formas, solubilidades y contenido en elementos nutrientes que deben declararse como se especifica en las columnas 4, 5 y 6

Granulometría

Información para la identificación de los abonos

Otros requisitos

N

P2O5

K2O

N

P2O5

K2O

1

2

3

4

5

6

(1)  Nitrógeno total

(2)  Nitrógeno nítrico

(3)  Nitrógeno amoniacal

(4)  Nitrógeno ureico

(1)  P2O5 soluble en agua

(2)  P2O5 soluble en citrato amónico neutro

(3)  P2O5 soluble en citrato amónico neutro y en agua

 

(1)  Nitrógeno total

(2)  Si alguna de las formas de nitrógeno 2 a 4 alcanza al menos el 1 % en masa, deberá declararse.

(3)  Si el contenido en biuret es inferior al 0,2 %, podrá incluirse la indicación «pobre en biuret»

(1)  Cuando el P2O5 soluble en agua no alcance el 2 %, sólo se declarará la solubilidad (2).

(2)  Cuando el P2O5 soluble en agua alcance el 2 %, se declarará la solubilidad 3 indicando obligatoriamente el contenido en P2O5 soluble en agua

Los abonos no podrán contener escorias Thomas, fosfato alumino- cálcico, fosfatos desagregados, fosfatos parcialmente solubilizados ni fosfatos roca

 



C.2.5.

Denominación del tipo:

Solución de abonos NK.

Información sobre la forma de obtención:

Producto obtenido químicamente y por disolución en agua, en forma estable a la presión atmosférica, sin incorporación de materia orgánica de origen animal o vegetal.

Contenido mínimo en elementos nutrientes (porcentaje en masa):

— Total: 15 % (N + K2O);

— Para cada uno de los elementos nutrientes: 3 % N, 5 % K2O.

— Contenido máximo en biuret: N ureico × 0,026.



Formas, solubilidades y contenido en elementos nutrientes que deben declararse como se especifica en las columnas 4, 5 y 6

Granulometría

Información para la identificación de los abonos

Otros requisitos

N

P2O5

K2O

N

P2O5

K2O

1

2

3

4

5

6

(1)  Nitrógeno total

(2)  Nitrógeno nítrico

(3)  Nitrógeno amoniacal

(4)  Nitrógeno ureico

 

K2O soluble en agua

(1)  Nitrógeno total

(2)  Si alguna de las formas de nitrógeno 2 a 4 alcanza al menos el 1 % en masa, deberá declararse.

(3)  Si el contenido en biuret es inferior al 0,2 %, podrá incluirse la indicación «pobre en biuret»

 

(1)  Óxido de potasio soluble en agua

(2)  La indicación «pobre en cloruro» sólo podrá utilizarse cuando el contenido en Cl no supere el 2 %

(3)  Podrá indicarse el contenido en cloruro



C.2.6.

Denominación del tipo:

Suspensión de abonos NK.

Información sobre la forma de obtención:

Producto en forma líquida, cuyos elementos nutrientes proceden de sustancias tanto disueltas como en suspensión en agua y que no incorporan materia orgánica de origen animal o vegetal.

Contenido mínimo en elementos nutrientes (porcentaje en masa):

— Total: 18 % (N + K2O);

— Para cada uno de los elementos nutrientes: 3 % N, 5 % K2O.

— Contenido máximo en biuret: N ureico × 0,026.



Formas, solubilidades y contenido en elementos nutrientes que deben declararse como se especifica en las columnas 4, 5 y 6

Granulometría

Información para la identificación de los abonos

Otros requisitos

N

P2O5

K2O

N

P2O5

K2O

1

2

3

4

5

6

(1)  Nitrógeno total

(2)  Nitrógeno nítrico

(3)  Nitrógeno amoniacal

(4)  Nitrógeno ureico

 

K2O soluble en agua

(1)  Nitrógeno total

(2)  Si alguna de las formas de nitrógeno 2 a 4 alcanza al menos el 1 % en masa, deberá declararse.

(3)  Si el contenido en biuret es inferior al 0,2 %, podrá incluirse la indicación «pobre en biuret»

 

(1)  Óxido de potasio soluble en agua

(2)  La indicación «pobre en cloruro» sólo podrá utilizarse cuando el contenido en Cl no supere el 2 %

(3)  Podrá indicarse el contenido en cloruro



C.2.7.

Denominación del tipo:

Solución de abonos PK.

Información sobre la forma de obtención:

Producto obtenido químicamente y disuelto en agua, sin incorporación de materia orgánica de origen animal o vegetal.

Contenido mínimo en elementos nutrientes (porcentaje en masa):

— Total: 18 % (P2O5 + K2O);

— Para cada uno de los elementos nutrientes: 5 % P2O5, 5 % K2O.



Formas, solubilidades y contenido en elementos nutrientes que deben declararse como se especifica en las columnas 4, 5 y 6

Granulometría

Información para la identificación de los abonos

Otros requisitos

N

P2O5

K2O

N

P2O5

K2O

1

2

3

4

5

6

 

P2O5 soluble en agua

K2O soluble en agua

 

P2O5 soluble en agua

(1)  Óxido de potasio soluble en agua

(2)  La indicación «pobre en cloruro» sólo podrá utilizarse cuando el contenido en Cl no supere el 2 %

(3)  Podrá indicarse el contenido en cloruro



C.2.8.

Denominación del tipo:

Suspensión de abonos PK.

Información sobre la forma de obtención:

Producto en forma líquida cuyos elementos nutrientes proceden de sustancias tanto disueltas como en suspensión en agua, sin incorporación de materia orgánica de origen animal o vegetal.

Contenido mínimo en elementos nutrientes (porcentaje en masa):

— Total: 18 % (P2O5 + K2O);

— Para cada uno de los elementos nutrientes: 5 % P2O5, 5 % K2O.



Formas, solubilidades y contenido en elementos nutrientes que deben declararse como se especifica en las columnas 4, 5 y 6

Granulometría

Información para la identificación de los abonos

Otros requisitos

N

P2O5

K2O

N

P2O5

K2O

1

2

3

4

5

6

 

(1)  P2O5 soluble en agua

(2)  P2O5 soluble en citrato amónico neutro

(3)  P2O5 soluble en citrato amónico neutro y en agua

K2O soluble en agua

 

(1)  Cuando el P2O5 soluble en agua no alcance el 2 %, sólo se declarará la solubilidad (2)

(2)  Cuando el P2O5 soluble en agua alcance el 2 %, se declarará la solubilidad (3) con indicación obligatoria del contenido en P2O5 soluble en agua.

Los abonos no podrán contener escoria Thomas, fosfato aluminocálcico, fosfatos parcialmente solubilizados ni fosfatos roca

(1)  Óxido de potasio soluble en agua

(2)  La indicación «pobre en cloruro» sólo podrá utilizarse cuando el contenido en Cl no supere el 2 %

(3)  Podrá indicarse el contenido en cloruro

D.   Abonos inorgánicos con elementos nutrientes secundarios



No

Denominación del tipo

Informaciones sobre la forma de obtención y los componentes esenciales

Contenido mínimo en elementos nutrientes (porcentaje en masa):

Informaciones sobre la evaluación de los elementos nutrientes

Otros requisitos

Otras informaciones sobre la denominación del tipo

Elementos cuyo contenido debe declararse

Solubilidad de los elementos nutrientes

Otros criterios

1

2

3

4

5

6

1

Sulfato cálcico

Producto de origen natural o industrial que contiene sulfato cálcico con diferentes grados de hidratación

25 % CaO

35 % SO3

Calcio y azufre expresados como CaO + SO3 total

Granulometría:

— Paso de al menos, el 80 % a través del tamiz de 2 mm de abertura de malla,

— Paso de al menos, el 99 % a través del tamiz de 10 mm de abertura de malla

Podrán añadirse las denominaciones usuales en el comercio

Trióxido de azufre total

Facultativamente: óxido cálcico total

2

Solución de cloruro cálcico

Solución de cloruro cálcico de origen industrial

12 % CaO

Calcio expresado como CaO soluble en agua

 

Óxido cálcico

Facultativamente: para aplicación foliar

3

Azufre elemental

Producto de origen natural o industrial más o menos refinado

98 % S (245 %: SO3)

azufre expresado como SO3 total

 

Trióxido de azufre total

4

Kieserita

Producto extraído de minas que contiene como componente esencial sulfato de magnesio monohidratado

24 % MgO

45 % SO3

Magnesio y azufre expresados como óxido de magnesio y trióxido de azufre solubles en agua

Podrán añadirse las denominaciones usuales en el comercio

Óxido de magnesio soluble en agua

Facultativamente: trióxido de azufre soluble en agua

5

Sulfato de magnesio

Producto que contiene como componente esencial sulfato de magnesio heptahidratado

15 % MgO

28 % SO3

Magnesio y azufre expresados como óxido de magnesio y trióxido de azufre solubles en agua

Podrán añadirse las denominaciones usuales en el comercio

Óxido de magnesio soluble en agua

Facultativamente: trióxido de azufre soluble en agua

5.1

Solución de sulfato de magnesio

Producto obtenido mediante disolución en agua de sulfato de magnesio de origen industrial

5 % MgO

10 % SO3

Magnesio y azufre expresados como óxido de magnesio y trióxido de azufre solubles en agua

Se podrán añadir las denominaciones usuales en el comercio

Óxido de magnesio soluble en agua

Facultativamente: trióxido de azufre soluble en agua

5.2

Hidróxido de magnesio

Producto obtenido químicamente que se compone esencialmente de hidróxido de magnesio

60 % MgO

Granulometría: paso del 99 %, como mínimo, a través del tamiz de 0,063 mm de abertura de malla

 

Óxido de magnesio total

5.3

Suspensión de hidróxido de magnesio

Producto obtenido por suspensión del tipo 5.2

24 % MgO

 

Óxido de magnesio total

6

Solución de cloruro de magnesio

Producto obtenido por disolución de cloruro de magnesio de origen industrial

13 % MgO

Magnesio expresado como óxido de magnesio

Contenido máximo en calcio 3 % de CaO

 

Óxido de magnesio

E.   Abonos inorgánicos que contienen micronutrientes

Nota explicativa: Las notas siguientes se refieren al conjunto de la Parte E.

Nota 1: Los agentes quelantes podrán denominarse por sus abreviaturas, tal y como figuran en E.3.

Nota 2: Si el producto no deja ningún residuo sólido después de su disolución en agua podrá designarse «para disolución».

Nota 3: Si un micronutriente está presente en forma quelada, habrá que indicar en qué intervalo de pH se garantiza una buena estabilidad de la fracción quelada

E.1.   Abonos que sólo contienen un micronutriente

E.1.1.   Boro



No

Denominación del tipo

Informaciones sobre la forma de obtención y los componentes esenciales

Contenido mínimo en elementos nutrientes (porcentaje en masa)

Informaciones sobre la evaluación de los elementos nutrientes

Otros requisitos

Otras informaciones sobre la denominación del tipo

Elementos cuyo contenido debe declararse

Formas y solubilidades de los elementos nutrientes

Otros criterios

1

2

3

4

5

6

1(a)

Ácido bórico

Producto obtenido por la acción de un ácido sobre un borato

14 % B soluble en agua

Se podrán añadir las denominaciones usuales del comercio

Boro (B) soluble en agua

1(b)

Borato sódico

Producto obtenido químicamente que se compone esencialmente de borato sódico

10 % B soluble en agua

Se podrán añadir las denominaciones usuales del comercio

Boro (B) soluble en agua

1(c)

Borato cálcico

Producto obtenido a partir de colemanita o de pandermita y que se compone esencialmente de boratos cálcico

7 % total B

Granulometría: paso del 98 %, como mínimo, por el tamiz de 0,063 mm de abertura de malla

Se podrán añadir las denominaciones usuales del comercio

Boro (B) total

1(d)

Boro etanolamina

Producto obtenido por reacción de ácido bórico con una etanolamina

8 % B soluble en agua

 

Boro (B) soluble en agua

1(e)

Abono boratado en solución

Producto obtenido por disolución en agua de los tipos 1(a) y/o 1(b) y/o 1(d)

2 % B soluble en agua

La denominación deberá incluir el nombre de los compuestos de boro presentes

Boro (B) soluble en agua

1(f)

Abono boratado en suspensión

Producto obtenido por suspensión en agua de los tipos 1(a) y/o 1(b) y/o 1(d)

2 % B soluble en agua

La denominación deberá incluir el nombre de los compuestos de boro presentes

Boro (B) soluble en agua

E.1.2.   Cobalto



No

Denominación del tipo

Informaciones sobre la forma de obtención y los componentes esenciales

Contenido mínimo en elementos nutrientes (porcentaje en masa)

Informaciones sobre la evaluación de los elementos nutrientes

Otros requisitos

Otras informaciones sobre la denominación del tipo

Elementos cuyo contenido debe declararse

Formas y solubilidades de los elementos nutrientes

Otros criterios

1

2

3

4

5

6

2(a)

Sal de cobalto

Producto obtenido químicamente que se compone esencialmente de sal mineral de cobalto

19 % Co soluble en agua

La denominación deberá llevar el nombre del anión mineral

Cobalto (Co) soluble en agua

2(b)

Quelato de cobalto

Producto soluble en agua obtenido por combinación química del cobalto con un agente quelante

2 % Co soluble en agua (al menos 8/10 del contenido declarado deben estar quelados)

Nombre del agente quelante

Cobalto (Co) soluble en agua

Cobalto (Co) quelado

2(c)

Solución de abono a base de cobalto

Producto obtenido por disolución en agua del tipo 2(a) y/o uno solo del tipo 2(b)

2 % Co soluble en agua

La denominación deberá incluir:

(1)  el nombre del anión o aniones minerales,

(2)  el nombre del agente quelante, si procede

Cobalto (Co) soluble en agua

Cobalto (Co) quelado, si procede

E.1.3.   Cobre



No

Denominación del tipo

Informaciones sobre la forma de obtención y los componentes esenciales

Contenido mínimo en elementos nutrientes (porcentaje en masa)

Informaciones sobre la evaluación de los elementos nutrientes

Otros requisitos

Otras informaciones sobre la denominación del tipo

Elementos cuyo contenido debe declararse

Formas y solubilidades de los elementos nutrientes

Otros criterios

1

2

3

4

5

6

3(a)

Sal de cobre

Producto obtenido químicamente que se compone esencialmente de sal mineral de cobre

20 % Cu soluble en agua

La denominación deberá llevar el nombre del anión mineral

Cobre (Cu) soluble en agua

3(b)

Óxido de cobre

Producto obtenido químicamente que se compone esencialmente de óxido de cobre

70 % Cu total

Granulometría: paso del 98 %, como mínimo, por el tamiz de 0,063 mm

 

Cobre (Cu) total

3 (c)

Hidróxido de cobre

Producto obtenido químicamente que se compone esencialmente de hidróxido de cobre

45 % Cu total

Granulometría: paso del 98 %, como mínimo, por el tamiz de 0,063 mm

 

Cobre (Cu) total

3(d)

Quelato de cobre

Producto soluble en agua obtenido mediante combinación química del cobre con un agente quelante

9 % Cu soluble en agua (al menos 8/10 del contenido declarado deben estar quelados)

Nombre del agente quelante

Cobre (Cu) soluble en agua

Cobre (Cu) quelado

3(e)

Abono a base de cobre

Producto obtenido por mezcla de los tipos 3(a) y/o 3(b) y/o 3(c) y/o uno solo del tipo 3(d), y, en su caso, de una carga no nutritiva ni tóxica

5 % Cu total

La denominación deberá incluir:

(1)  el nombre de los compuestos de cobre,

(2)  el nombre del agente quelante, si procede

Cobre (Cu) total

Cobre soluble en agua, si éste alcanza, al menos, 1/4 del cobre total

Cobre (Cu) quelado, si procede

3(f)

Solución de abono a base de cobre

Producto obtenido por disolución en agua de los tipos 3(a) y/o uno solo del tipo 3(d)

3 % Cu soluble en agua

La denominación deberá incluir:

(1)  el nombre del anión o aniones minerales,

(2)  el nombre del agente quelante, si procede

Cobre (Cu) soluble en agua

Cobre (Cu) quelado, si procede

3(g)

Oxicloruro de cobre

Producto obtenido químicamente que se compone esencialmente de oxicloruro de cobre [Cu2Cl(OH)3]

50 % Cu total

Granulometría: paso del 98 %, como mínimo, por el tamiz de 0,063 mm

 

Cobre (Cu) total

3(h)

Suspensión de oxicloruro de cobre

Producto obtenido por suspensión del tipo 3 (g)

17 % Cu total

 

Cobre (Cu) total

E.1.4.   Hierro



No

Denominación del tipo

Informaciones sobre la forma de obtención y los componentes esenciales

Contenido mínimo en elementos nutrientes (porcentaje en masa)

Informaciones sobre la evaluación de los elementos nutrientes

Otros requisitos

Otras informaciones sobre la denominación del tipo

Elementos cuyo contenido debe declararse

Formas y solubilidades de los elementos nutrientes

Otros criterios

1

2

3

4

5

6

4(a)

Sal de hierro

Producto obtenido químicamente que se compone esencialmente de una sal mineral de hierro

12 % Fe soluble en agua

La denominación deberá incluir el nombre del anión mineral combinado

Hierro (Fe) soluble en agua

4(b)

Quelato de hierro

Producto obtenido por combinación química de hierro con un agente quelante mencionado en la lista del apartado E.3.1. del Anexo I

5 % Fe soluble en agua, del cual la fracción quelada es, al menos, del 80 %

Nombre de los agentes quelantes

— Hierro (Fe) soluble en agua

— Fracción quelada (EN 13366)

— Hierro (Fe) quelado por cada agente quelante siempre que supere el 2 % (EN 13368 partes 1 y 2)

4(c)

Solución de abono a base de hierro

Producto obtenido por disolución en agua del tipo 4(a) y/o uno solo del tipo 4(b)

2 % Fe soluble en agua

La denominación deberá incluir:

(1)  el nombre del anión o aniones minerales,

(2)  el nombre del agente quelante, si procede.

Hierro (Fe) soluble en agua

Hierro (Fe) quelado, si procede

E.1.5.   Manganeso



No

Denominación del tipo

Informaciones sobre la forma de obtención y los componentes esenciales

Contenido mínimo en elementos nutrientes (porcentaje en masa)

Informaciones sobre la evaluación de los elementos nutrientes

Otros requisitos

Otras informaciones sobre la denominación del tipo

Elementos cuyo contenido debe declararse

Formas y solubilidades de los elementos nutrientes

Otros criterios

1

2

3

4

5

6

5(a)

Sal de manganeso

Producto obtenido químicamente que se compone esencialmente de una sal mineral de manganeso (II)

17 % Mn soluble en agua

La denominación deberá incluir el nombre del anión mineral combinado

Manganeso (Mn) soluble en agua

5(b)

Quelato de manganeso

Producto obtenido químicamente por combinación química de manganeso con un agente quelante

5 % Mn soluble en agua (al menos 8/10 del contenido declarado deben estar quelados)

Nombre del agente quelante

Manganeso (Mn) soluble en agua

Manganeso (Mn) quelado

5(c)

Óxido de manganeso

Producto obtenido químicamente que se compone esencialmente de óxido de manganeso

40 % Mn total

Granulometría: paso del 80 %, como mínimo, por el tamiz de 0,063 mm

 

Manganeso (Mn) total

5(d)

Abono a base de manganeso

Producto obtenido por mezcla de los tipos 5(a) y 5(c)

17 % Mn total

La denominación deberá incluir el nombre de los compuestos de manganeso

Manganeso (Mn) total

Manganeso (Mn) soluble en agua si éste alcanza, al menos, 1/4 del manganeso total

5(e)

Solución de abono a base de manganeso

Producto obtenido por disolución en agua del tipo 5(a) y/o uno solo del tipo 5(b)

3 % Mn soluble en agua

La denominación deberá incluir:

(1)  el nombre del anión o aniones minerales,

(2)  el nombre del agente quelante, si procede.

Manganeso (Mn) soluble en agua

Manganeso (Mn) quelado, si procede

E.1.6.   Molibdeno



No

Denominación del tipo

Informaciones sobre la forma de obtención y los componentes esenciales

Contenido mínimo en elementos nutrientes (porcentaje en masa)

Informaciones sobre la evaluación de los elementos nutrientes

Otros requisitos

Otras informaciones sobre la denominación del tipo

Elementos cuyo contenido debe declararse

Formas y solubilidades de los elementos nutrientes

Otros criterios

1

2

3

4

5

6

6(a)

Molibdato sódico

Producto obtenido químicamente que se compone esencialmente de molibdato sódico

35 % Mo soluble en agua

 

Molibdeno (Mo) soluble en agua

6(b)

Molibdato amónico

Producto obtenido químicamente que se compone esencialmente de molibdato amónico

50 % Mo soluble en agua

 

Molibdeno (Mo) soluble en agua

6(c)

Abono a base de molibdeno

Producto obtenido por mezcla de los tipos 6(a) y 6(b)

35 % Mo soluble en agua

La denominación deberá incluir el nombre de los compuestos de molibdeno presentes

Molibdeno (Mo) soluble en agua

6(d)

Solución de abono a base de molibdeno

Producto obtenido por disolución en agua de los tipos 6(a) y/o uno solo del tipo 6(b)

3 % Mo soluble en agua

La denominación deberá incluir el nombre de los compuestos de molibdeno presentes

Molibdeno (Mo) soluble en agua

E.1.7.   Zinc



No

Denominación del tipo

Informaciones sobre la forma de obtención y los componentes esenciales

Contenido mínimo en elementos nutrientes (porcentaje en masa)

Informaciones sobre la evaluación de los elementos nutrientes

Otros requisitos

Otras informaciones sobre la denominación del tipo

Elementos cuyo contenido debe declararse

Formas y solubilidades de los elementos nutrientes

Otros criterios

1

2

3

4

5

6

7(a)

Sal de zinc

Producto obtenido químicamente que se compone esencialmente de una sal mineral de zinc

15 % Zn soluble en agua

La denominación deberá incluir el nombre del anión mineral

Zinc (Zn) soluble en agua

7(b)

Quelato de zinc

Producto obtenido por combinación química de zinc con un agente quelante

5 % Zn soluble en agua (al menos 8/10 del contenido declarado deben estar quelados)

Naturaleza del agente quelante

Zinc (Zn) soluble en agua

Zinc (Zn) quelado

7(c)

Óxido de zinc

Producto obtenido químicamente que se compone esencialmente de óxido de zinc

70 % Zn total

Granulometría: paso del 80 %, como mínimo, por el tamiz de 0,063 mm de abertura de malla

 

Zinc (Zn) total

7(d)

Abono a base de zinc

Producto obtenido por mezcla de los tipos 7(a) y 7(c)

30 % Zn total

La denominación deberá incluir el nombre de los compuestos de zinc presentes

Zinc (Zn) total

Zinc (Zn) soluble en agua si éste alcanza, al menos, 1/4 del zinc (Zn) total

7(e)

Solución de abono a base de zinc

Producto obtenido por disolución en agua del tipo 7(a) y/o uno solo del tipo 7(b)

3 % Zn soluble en agua

La denominación deberá incluir:

(1)  el nombre del anión o aniones minerales,

(2)  el nombre del agente quelante, si procede.

Zinc (Zn) soluble en agua

Zinc (Zn) quelado, si procede

E.2.   Contenido mínimo de micronutrientes expresados como porcentaje en masa del abono

E.2.1.   Mezclas sólidas o líquidas de micronutrientes



 

Cuando el micronutriente está presente en forma:

Sólo mineral

Quelada o complejada

Si el micronutriente es:

Boro (B)

0,2

0,2

Cobalto (Co)

0,02

0,02

Cobre (Cu)

0,5

0,1

Hierro (Fe)

2,0

0,3

Manganeso (Mn)

0,5

0,1

Molibdeno (Mo)

0,02

Zinc (Zn)

0,5

0,1

Total mínimo de micronutrientes en una mezcla sólida: 5 % en masa del abono.

Total mínimo de micronutrientes en una mezcla líquida: 2 % en masa del abono.

E.2.2.   Abonos CE que contienen elementos nutrientes primarios y/o secundarios con micronutrientes aportados al suelo



 

En cultivos extensivos y pastos

En usos hortícolas

Boro (B)

0,01

0,01

Cobalto (Co)

0,002

Cobre (Cu)

0,01

0,002

Hierro (Fe)

0,5

0,02

Manganeso (Mn)

0,1

0,01

Molibdeno (Mo)

0,001

0,001

Zinc (Zn)

0,01

0,002

E.2.3.   Abonos CE que contienen elementos nutrientes primarios y/o secundarios con micronutrientes para aplicación foliar



Boro (B)

0,010

Cobalto (Co)

0,002

Cobre (Cu)

0,002

Hierro (Fe)

0,020

Manganeso (Mn)

0,010

Molibdeno (Mo)

0,001

Zinc (Zn)

0,002

E.3.   Lista de agentes orgánicos autorizados quelantes y complejantes para micronutrientes

Los siguientes productos están autorizados siempre que hayan cumplido los requisitos de la Directiva 67/548/CEE ( 9 ) modificada.

E.3.1.   Agentes quelantes ( 10 )

Sales o sales ácidas de sodio, potasio o amonio:



Ácido etilendiaminotetraacético

EDTA

C10H16O8N2

Ácido dietilentriaminopentaacético

DTPA

C14H23O10N3

[o,o]: Ácido etilendiamino-di (o-hidroxifenilacético)

EDDHA

C18H20O6N2

[o,p]: ácido etilendiamino-N-(o-hidroxifenilacético)-N'-(p-hidroxifenilacético)

EDDHA

C18H20O6N2

Ácido 2-hidroxietiletilendiaminotriacético

HEEDTA

C10H18O7N2

[o,o]: ácido etilendiamino-di (o-hidroxi o-metilfenilacético)

EDDHMA

C20H24 O6N2

[o,p]: ácido etilendiamino-di (o-hidroxi-p-metilfenilacético)

EDDHMA

C20H24O6N2

[p,o] ácido etilendiamino-di (p-hidroxi-o-metilfenilacético)

EDDHMA

C20H24O6N2

[2,4]: ácido etilendiamino-di (2-hidroxi-4-carboxifenilacético)

EDDCHA

C20H20O10N2

[2,5]: ácido etilendiamino-di (2-carboxi-5-hidroxifenilacético)

EDDCHA

C20H20O10N2

[5,2]: ácido etilendiamino-di (5-carboxi-2-hidroxifenilacético)

EDDCHA

C20H20O10N2

E.3.2.   Agentes complejantes: Lista pendiente de elaboración.




ANEXO II

MÁRGENES DE TOLERANCIA

Los márgenes de tolerancia incluidos en el presente anexo son valores negativos de porcentaje en masa.

Los márgenes de tolerancia permitidos en cuanto a los contenidos declarados en elementos nutrientes de los diversos tipos de abonos CE serán los siguientes:

1.   Abonos inorgánicos simples con elementos nutrientes primarios — valores absolutos en porcentaje en masa expresados en N, P2O5, K2O, MgO, Cl.

1.1.   Abonos nitrogenados



nitrato cálcico

0,4

nitrato cálcico y magnésico

0,4

nitrato sódico

0,4

nitrato de Chile

0,4

cianamida cálcica

1,0

cianamida cálcica nitrada

1,0

sulfato amónico

0,3

Nitrato amónico o nitrato amónico cálcico:

—  hasta el 32 %

0,8

—  más del 32 %

0,6

nitrosulfato amónico

0,8

nitrosulfato magnésico

0,8

Nitrato amónico con magnesio o nitromagnesio

0,8

Urea

0,4

Solución de nitrato amónico

0,4

Suspensión de nitrato cálcico

0,4

Solución de abono nitrogenado con urea formaldehído

0,4

Suspensión de abono nitrogenado con urea formaldehído

0,4

Sulfato amónico-urea

0,5

Solución de abono nitrogenado

0,6

Solución de nitrato amónico-urea

0,6

1.2.   Abonos fosfatados



Escorias Thomas:

—  garantía expresada con un margen del 2 % en masa

0,0

—  garantía expresada con una sola cifra

1,0

Otros abonos fosfatados



Solubilidad del P2O5 en:

(número del abono en el anexo I)

 

—  ácido mineral

(3, 6, 7)

0,8

—  ácido fórmico

(7)

0,8

—  citrato amónico neutro

(2a, 2b, 2c)

0,8

—  citrato amónico alcalino

(4, 5, 6)

0,8

—  agua

(2a, 2b, 3)

0,9

 

(2c)

1,3

1.3.   Abonos potásicos



sal potásica en bruto

1,5

sal potásica en bruto enriquecida

1,0

Cloruro potásico:

—  hasta el 55 %

1,0

—  más del 55 %

0,5

cloruro potásico con sales de magnesio

1,5

sulfato potásico

0,5

sulfato potásico con sales de magnesio

1,5

1.4.   Otros elementos



Cloruro

0,2

2.   Abonos inorgánicos compuestos con elementos nutrientes primarios

2.1.   Elementos nutrientes



N

1,1

P2O5

1,1

K2O

1,1

2.2.   Valor máximo de la suma de las desviaciones negativas respecto al valor declarado



Abonos binarios

1,5

Abonos ternarios

1,9

3.   Elementos nutrientes secundarios en los abonos

Los márgenes de tolerancia permitidos en relación con los valores declarados cálcico, magnesio, sodio y azufre se fijan en una cuarta parte de los contenidos declarados en dichos elementos nutrientes, con un máximo del 0,9 % en valor absoluto para el CaO, MgO, Na2O y SO3, es decir, de 0,64 para el Ca, 0,55 para el Mg, 0,67 para el Na y 0,36 para el S.

4.   Micronutrientes en los abonos

Las tolerancias admitidas en relación con los contenidos en micronutrientes declarados se fijan en:

 0,4 % en valor absoluto, para los contenidos superiores al 2 %,

  1/5 del valor declarado, para los contenidos inferiores o iguales al 2 %.

En lo que se refiere al contenido declarado para las diferentes formas de nitrógeno y a las solubilidades declaradas del pentóxido de fósforo, el margen de tolerancia será 1/10 del contenido total del elemento de que se trate, con un máximo del 2 % en masa, siempre que la cantidad total de dicho elemento nutriente permanezca dentro de los límites que se especifican en el anexo I y de los márgenes de tolerancia especificados más arriba.




ANEXO III

DISPOSICIONES TÉCNICAS RELATIVAS A LOS ABONOS A BASE DE NITRATO AMÓNICO CON ALTO CONTENIDO EN NITRÓGENO

1.   Características y límites del abono simple a base de nitrato amónico y con alto contenido en nitrógeno

1.1.   Porosidad (retención de aceite)

La retención de aceite del abono, que deberá haber sido previamente sometido a dos ciclos térmicos de una temperatura de 25 a 50 °C y con arreglo a lo dispuesto en la parte 2 del apartado 3 del presente anexo, no deberá sobrepasar el 4 % en masa.

1.2.   Componentes combustibles

El porcentaje en masa de materia combustible expresado en carbono no deberá sobrepasar el 0,2 % en los abonos con un contenido en nitrógeno igual o superior al 31,5 % en masa, y no deberá sobrepasar el 0,4 % en los abonos con un contenido en nitrógeno igual o superior al 28 %, pero inferior al 31,5 % en masa.

1.3.   pH

Una solución constituida por 10 g de abono en 100 ml de agua deberá presentar un pH igual o superior a 4,5.

1.4.   Análisis granulométrico

La cantidad de abono que atraviese un tamiz de malla de 1 mm no deberá sobrepasar el 5 % en masa, ni el 3 % en masa cuando la malla sea de 0,5 mm.

1.5.   Cloro

El contenido máximo en cloro queda fijado en el 0,02 % en masa.

1.6.   Metales pesados

No deberían añadirse metales pesados deliberadamente, y la cantidad presente de dichos metales que resultase del proceso de fabricación no debería sobrepasar el límite fijado por el Comité.

El contenido de cobre no deberá superar los 10 mg/kg.

No se especifican límites para otros metales pesados.

2.   Descripción del ensayo de detonabilidad relativo a abonos de nitrato amónico con alto contenido en nitrógeno

El ensayo se realizará sobre una muestra representativa del abono. Antes de la realización del ensayo de detonabilidad se someterá toda la muestra a un máximo de cinco ciclos térmicos con arreglo a lo dispuesto en la parte 3 del apartado 3 del presente anexo.

El abono se someterá al ensayo de detonabilidad en un tubo de acero horizontal, en las condiciones siguientes:

 tubo de acero sin soldadura,

 longitud del tubo: 1 000 mm como mínimo,

 diámetro exterior nominal: 114 mm como mínimo,

 espesor nominal de pared: 5 mm como mínimo,

 detonador: el tipo y el tamaño del detonador serán aquellos que permitan llevar al máximo la presión de detonación aplicada a la muestra, con objeto de determinar su susceptibilidad a la transmisión de la detonación,

 temperatura de ensayo: 15-25 °C,

 cilindros-testigo de plomo para detectar la detonación: 50 mm de diámetro 100 mm de alto,

 situados a intervalos de 150 mm y colocando el tubo horizontalmente. Se realizarán dos ensayos. El ensayo se considerará concluyente si en ambos ensayos el aplastamiento de uno o varios de los cilindros de soporte de plomo es inferior al 5 %.

3.   Métodos de control del cumplimiento de los límites fijados en los anexos III-1 y III-2

Método 1   Métodos para la aplicación de ciclos térmicos 1

1.   Objeto y campo de aplicación

El presente documento describe los procedimientos para la aplicación de ciclos térmicos previos a la realización del ensayo de retención de aceite en abonos simples de nitrato amónico con alto contenido en nitrógeno y del ensayo de detonabilidad tanto en abonos simples de nitrato amónico con alto contenido en nitrógeno, como en los compuestos.

Los métodos de los ciclos térmicos cerrados que se describen en el presente apartado se considera que simulan de manera suficiente las condiciones que se han de tener en cuenta en el ámbito de aplicación del capítulo IV del título II; sin embargo, estos métodos no simulan necesariamente todas las condiciones propias del transporte y del almacenamiento.

2.   Ciclos térmicos mencionados en el anexo III-1

2.1.   Campo de aplicación

Realización de ciclos térmicos previos a la determinación de la retención de aceite del abono.

2.2.   Principio y definición

Caliéntese en un erlenmeyer la muestra desde la temperatura ambiente hasta 50 °C y manténgase a esta temperatura durante dos horas (fase a 50 °C). Después se enfría hasta la temperatura de 25 °C y se mantiene a esta temperatura durante dos horas (fase a 25 °C). La combinación de las fases sucesivas a 50 °C y 25 °C forman conjuntamente un ciclo térmico. Después de someterse a dos ciclos térmicos, la muestra problema se mantiene a la temperatura de 20 (± 3) °C para la determinación del valor de retención de aceite.

2.3.   Aparatos

Aparatos habituales de laboratorio, especialmente:

 baños de agua termostatados a 25 (± 1) et 50 (± 1) °C respectivamente,

 matraces Erlenmeyer de 150 ml de capacidad cada uno.

2.4.   Procedimiento

Cada muestra problema de 70 (± 5) g se pone en un matraz Erlenmeyer, que se cierra a continuación con un tapón.

Cada matraz se cambia cada dos horas del baño de 50 °C al baño de 25 °C, y viceversa.

El agua de cada baño se mantiene a temperatura constante y se remueve mediante agitadores rápidos; el nivel del agua debe estar por encima del de la muestra. El tapón debe protegerse de la condensación por medio de una cubierta de goma.

3.   Ciclos térmicos que se deben utilizar para el anexo III-2

3.1.   Campo de aplicación

Realización de ciclos térmicos previos a la realización del ensayo de detonabilidad.

3.2.   Principio y definición

En una caja estanca se calienta la muestra desde la temperatura ambiente hasta 50 °C y se mantiene a esta temperatura durante una hora (fase a 50 °C). A continuación se enfría la muestra hasta la temperatura de 25 °C y se mantiene a esta temperatura durante una hora (fase a 25 °C). La combinación de las dos fases sucesivas a 50 °C y 25 °C constituye un ciclo térmico. Después de pasar el número requerido de ciclos térmicos, se mantiene la muestra a la temperatura de 20 (± 3) °C durante la ejecución del ensayo de detonabilidad.

3.3.   Aparatos

 Baño de agua, regulable en la escala de temperaturas de 20 a 51 °C con la velocidad mínima de calentamiento y enfriamiento de 10 °C/h, o bien dos baños de agua, uno ajustado a la temperatura de 20 °C y el otro a 51 °C. El agua en el baño o baños estará sometida a agitación continua y el volumen del baño deberá ser suficiente para garantizar la libre circulación del agua,

 Caja de acero inoxidable, estanca en toda su superficie y provista de un termopar en el centro. La anchura externa de la caja será de 45 (± 2) mm y el espesor de la pared será de 1,5 mm (ver la figura 1). La altura y longitud de la caja pueden elegirse según las dimensiones del baño de agua, por ejemplo, 600 mm de longitud y 400 mm de altura.

3.4.   Procedimiento

Se introduce en la caja una cantidad de abono suficiente para una detonación sencilla y se cierra la tapa. Se coloca la caja en el baño de agua, se calienta el agua hasta 51 °C y se mide la temperatura en el centro del abono. Una hora después de haber alcanzado la temperatura de 50 °C en el centro, se enfría el agua. Una hora después de haber alcanzado la temperatura de 25 °C en el centro, se calienta el agua para empezar el segundo ciclo. En caso de dos baños de agua, transfiérase la caja al otro baño tras cada período de calentamiento/enfriamiento.

image

Figura 1

Método 2   Determinación de la retención de aceite

1.   Objeto y campo de aplicación

El presente documento determina el procedimiento para la determinación de la retención de aceite de los abonos simples a base de nitrato amónico con alto contenido en nitrógeno.

El método es aplicable para abonos prilados y granulados que no contengan materias solubles en aceite.

2.   Definición

Retención de aceite de un abono: cantidad de aceite retenido por el abono, determinada en las condiciones especificadas y expresada en porcentaje en masa.

3.   Principio

Inmersión total de la muestra problema en gasóleo durante un período determinado, seguida del escurrido del aceite sobrante en condiciones precisas. Medición del incremento en masa de la muestra problema.

4.   Reactivo

Gasóleo

Viscosidad máxima

:

5 mPas a 40 °C

Densidad

:

0,8 a 0,85 g/ml a 20 °C

Contenido de azufre

:

≤ 1,0 % (m/m)

Cenizas

:

≤ 0,1 % (m/m)

5.   Aparatos

Aparatos habituales de laboratorio y:

5.1. Balanza con una precisión de 0,01 g.

5.2. Vasos de 500 ml de capacidad.

5.3. Embudo de plástico, preferentemente con un reborde superior vertical cilíndrico, de unos 200 mm de diámetro.

5.4. Tamiz de ensayo, con una abertura de malla de 0,5 mm, que pueda acoplarse en el embudo (5.3.).

Nota: El embudo y el tamiz tendrán las dimensiones apropiadas para que se superpongan sólo unos pocos gránulos y para que pueda escurrirse fácilmente el aceite.

5.5. Papel de filtro, de rápida filtración, encrespado, suave y con una masa de 150 g/m2.

5.6. Tejido absorbente (calidad laboratorio).

6.   Procedimiento

6.1. Efectuar dos determinaciones en rápida sucesión sobre dos porciones distintas de la misma muestra problema.

6.2. Eliminar las partículas menores de 0,5 mm mediante el tamiz de ensayo (5.4.). Pesar unos 50 g de muestra en el vaso (5.2.) con una precisión de 0,01 g. Añadir gasóleo (punto 4) en cantidad suficiente para cubrir completamente los gránulos y remover con cuidado para asegurar la humidificación total de la superficie de los gránulos. Cubrir el vaso con un vidrio de reloj y dejar reposar durante una hora a 25 (± 2) °C.

6.3. Filtrar todo el contenido del vaso a través del embudo (5.3.) equipado con el tamiz de ensayo (5.4.). Mantener durante una hora la parte retenida en el tamiz para que pueda escurrirse la mayor parte del aceite sobrante.

6.4. Colocar dos hojas de papel de filtro (5.5.) (de unos 500 × 500 mm), una encima de otra, sobre una superficie lisa; doblar los cuatro bordes de ambas hojas de papel filtro hacia arriba, con una altura de unos 40 mm, para evitar que rueden los gránulos. Colocar dos capas de tejido absorbente (5.6.) en el centro de los papeles de filtro. Verter todo el contenido del tamiz (5.4.) sobre el tejido absorbente y repartir los gránulos uniformemente con un pincel suave y liso. Levantar, al cabo de dos minutos, un lado del tejido para pasar los gránulos a los papeles de filtro inferiores y repartirlos uniformemente con el pincel. Colocar sobre la muestra otra hoja de papel de filtro con los bordes igualmente levantados y hacer rodar los gránulos entre los dos papeles de filtro con movimientos circulares y ejerciendo una ligera presión. Interrumpir la operación cada ocho movimientos circulares levantando los bordes opuestos de los papeles de filtro para volver a colocar en el centro los gránulos que hayan rodado a la periferia. Seguir el siguiente procedimiento: efectuar cuatro movimientos circulares completos, primero en el sentido de las agujas del reloj, y después en sentido contrario. Volver a colocar los gránulos en el centro, como se ha descrito antes. Este procedimiento deberá repetirse tres veces (24 movimientos circulares, con los bordes levantados dos veces). Introducir cuidadosamente una nueva hoja de papel de filtro entre la hoja superior y la inferior y hacer rodar los gránulos sobre la nueva hoja levantando los bordes de la superior. Cubrir los gránulos con una nueva hoja de papel de filtro y repetir el procedimiento descrito. Inmediatamente después de esta operación, verter los gránulos en un cristalizador previamente tarado y volver a pesar con una precisión de 0,01 g para determinar la masa de la cantidad de gasóleo retenida.

6.5.   Repetir el procedimiento de rodaje y volver a pesar

Si la cantidad de gasóleo retenida por la porción de muestra fuese superior a 2 g, se volverá a colocar la porción sobre un nuevo juego de hojas de papel de filtro y se repetirá el procedimiento de rodaje, levantando los bordes tal y como se describe en el punto 6.4. (2 × 8 movimientos circulares, con un levantamiento). A continuación, se volverá a pesar la porción de muestra.

7.   Expresión de los resultados

7.1.   Método de cálculo y fórmula

La retención de aceite para cada determinación (6.1.), expresada en porcentaje en masa de la muestra problema tamizada, se obtiene mediante la fórmula:

image

donde:

m1 es la masa, en gramos, de la porción de muestra tamizada (6.2.);

m2 es la masa, en gramos, de la porción de muestra de acuerdo con los puntos 6.4. ó 6.5., respectivamente, como resultado de la última pesada.

Tomar como resultado la media aritmética de las dos determinaciones.

Método 3   Determinación de los componentes combustibles

1.   Objeto y campo de aplicación

El presente documento describe el procedimiento para la determinación de los componentes combustibles de los abonos simples a base de nitrato amónico con alto contenido en nitrógeno.

2.   Principio

El dióxido de carbono producido por la carga inorgánica se elimina previamente por medio de un ácido. Los compuestos orgánicos se oxidan con mezcla sulfocrómica. El dióxido de carbono formado se absorbe en una solución de hidróxido de bario. El precipitado se disuelve en un exceso de solución valorada de ácido clorhídrico y se valora por volumetría en retroceso utilizando una solución de hidróxido sódico.

3.   Reactivos

3.1. Óxido de cromo (VI) Cr2O3 para análisis;

3.2. Ácido sulfúrico al 60 % en volumen: poner 360 ml de agua en un vaso de un litro y añadir cuidadosamente 640 ml de ácido sulfúrico (densidad a 20 °C = 1,83 g/ml).

3.3. Nitrato de plata: solución 0,1 mol/l.

3.4.   Hidróxido de bario

Pesar 15 g de hidróxido de bario [Ba(OH)2 . 8H2O] y disolver completamente en agua caliente. Dejar enfriar. Pasar a un matraz de un litro. Enrasar. Agitar. Filtrar por filtro de pliegues.

3.5. Ácido clorhídrico: solución valorada 0,1 mol/l.

3.6. Hidróxido sódico: solución valorada 0,1 mol/l.

3.7. Azul de bromofenol: solución acuosa de 0,4 g por litro.

3.8. Fenolftaleína: solución de 2 g por litro en etanol de 60 % en volumen.

3.9. Cal sodada: partículas de 1,0 a 1,5 mm, aproximadamente.

3.10. Agua desmineralizada recién hervida para eliminar el dióxido de carbono.

4.   Aparatos

4.1.  Aparatos habituales de laboratorio, especialmente:

 crisol de filtración con placa de vidrio fritado, de 15 ml de capacidad; diámetro de la placa: 20 mm; altura total: 50 mm; porosidad 4 (diámetro de los poros: de 5 a 15 μm);

 vaso de 600 ml.

4.2. Fuente de nitrógeno comprimido.

4.3. Aparato formado por las partes siguientes, con uniones esmeriladas esféricas, a ser posible (ver la figura 2).

4.3.1. Tubo de absorción A, de unos 200 mm de longitud y 30 mm de diámetro, relleno de cal sodada (3.9.) mantenida en su sitio por tapones de fibra de vidrio.

4.3.2. Matraz de reacción B de 500 ml, con tubo lateral y fondo redondo.

4.3.3. Columna de fraccionamiento Vigreux, de unos 150 mm de longitud (C').

4.3.4. Condensador (C) de doble superficie, de 200 mm de longitud.

4.3.5. Botella de Drechsel (D) para retener el ácido que se pudiera destilar en exceso.

4.3.6. Baño de hielo (E) para enfriar la botella Drechsel.

4.3.7. Dos tubos de burbujeo (F1 y F2) de 32 a 35 mm de diámetro y cuyo distribuidor de gas esté formado por un disco de 10 mm de vidrio fritado de baja porosidad.

4.3.8. Bomba aspirante y dispositivo regulador de la aspiración (G), constituido por una pieza de vidrio en forma de T, inserta en el circuito y cuyo brazo libre esté unido al fino tubo capilar por un tubo corto de goma con una pinza de tornillo.

Atención: El uso de solución hirviente de ácido crómico en un equipo a presión reducida es una operación peligrosa que requiere la adopción de medidas de precaución.

5.   Procedimiento

5.1.   Muestra problema

Pesar unos 10 g de nitrato amónico con una precisión de 0,001 g.

5.2.   Eliminación de carbonatos

Poner la muestra problema en el matraz de reacción B. Añadir 100 ml de H2SO4 (3.2.). Los gránulos se disuelven en unos 10 minutos a la temperatura ambiente. Montar el aparato con arreglo al esquema: unir el tubo de absorción (A) por un lado a la fuente de nitrógeno (4.2.) por medio de un dispositivo antirretroceso del flujo que contenga una presión equivalente de 5 a 6 mm de mercurio, y por la otra parte al tubo de entrada que se introduce en el matraz de reacción. Colocar la columna de fraccionamiento Vigreux (C') y el condensador (C) alimentado con agua de refrigeración. Ajustar el flujo de nitrógeno para que sea moderado a través de la solución, llevar ésta a ebullición y calentar durante 2 minutos. Pasado este tiempo, no debería quedar efervescencia. Si se observa efervescencia, seguir calentando durante 30 minutos. Dejar enfriar durante 20 minutos al menos, manteniendo la corriente de nitrógeno.

Completar el montaje del aparato con arreglo al esquema, uniendo el tubo del condensador a la botella de Drechsel (D) y ésta a los tubos de burbujeo (F1 et F2). Durante el montaje hay que mantener la corriente de nitrógeno a través de la solución. Introducir rápidamente 50 ml de solución de hidróxido de bario (3.4.) en cada uno de los tubos de burbujeo (F1 y F2).

Hacer burbujear la corriente de nitrógeno durante unos 10 minutos. La solución ha de permanecer clara en los tubos de burbujeo. Si no es así, ha de repetirse el proceso de eliminación de carbonatos.

5.3.   Oxidación y absorción

Después de retirar el tubo de entrada del nitrógeno, introducir rápidamente por el tubo lateral del matraz de reacción (B) 20 g de óxido de cromo(III) (3.1.) y 6 ml de solución de nitrato de plata (3.3.). Conectar el aparato a la bomba aspirante y ajustar el flujo de nitrógeno de manera que las burbujas de gas formen una corriente continua a través de los tubos de burbujeo F1 y F2 de vidrio fritado.

Calentar el matraz de reacción (B) hasta ebullición y mantener ésta durante una hora y media ( 11 ). Puede ser necesario ajustar el dispositivo regulador (G) para graduar la corriente de nitrógeno, ya que es posible que el carbonato de bario precipitado durante el ensayo obstruya los discos de vidrio fritado. La operación se realiza bien cuando la solución de hidróxido de bario del tubo de burbujeo F2 sigue claro. En caso contrario, repetir el ensayo. Detener el calentamiento y desmontar el aparato. Lavar cada uno de los distribuidores por el interior y el exterior para eliminar el hidróxido de bario y recoger las aguas de lavado en el tubo de burbujeo correspondiente. Colocar sucesivamente los distribuidores en un vaso de 600 ml que servirá para la determinación cuantitativa posterior.

Filtrar rápidamente en vacío el contenido del tubo de burbujeo F2 y, después, el del tubo F1 sobre el crisol de vidrio fritado. Arrastrar el precipitado enjuagando los tubos de burbujeo con agua (3.10) y lavar el crisol con 50 ml de la misma agua. Colocar el crisol en el vaso de 600 ml y añadir unos 100 ml de agua hervida (3.10). Poner 50 ml de agua hervida en cada uno de los tubos de burbujeo y hacer pasar una corriente de nitrógeno a través de los distribuidores durante 5 minutos. Añadir estas aguas a la del vaso. Repetir otra vez la operación para asegurarse de que los distribuidores están bien enjuagados.

5.4.   Medida de los carbonatos derivados de materia orgánica

Añadir al vaso 5 gotas de fenolftaleína (3.8.). La solución se pone roja. Añadir ácido clorhídrico (3.5.) gota a gota hasta que desaparezca el color rosado. Agitar bien la solución en el crisol y comprobar que no reaparece el color rosado. Añadir 5 gotas de azul de bromofenol (3.7.) y valorar con ácido clorhídrico (3.5.) hasta que vire al amarillo. Añadir 10 ml de ácido clorhídrico en exceso.

Calentar la solución a ebullición y mantenerla durante no más de un minuto. Comprobar que no queda nada de precipitado en el seno del líquido.

Enfriar y valorar por retroceso con la solución de hidróxido sódico (3.6.).

6.   Ensayo en blanco

Realizar un ensayo en blanco siguiendo el mismo procedimiento y utilizando la misma cantidad de todos los reactivos.

7.   Expresión de los resultados

El contenido en componentes combustibles (C), expresado como porcentaje en masa de carbono de la muestra, viene dado por la expresión:

image

donde:

E

=

masa, en gramos, de la muestra;

V1

=

volumen total, en ml, de ácido clorhídrico 0,1 mol/l, añadido después del viraje de la fenolftaleína;

V2

=

volumen, en ml, de solución de hidróxido sódico 0,1 mol/l, utilizado para la valoración en retroceso.

image

Figura 2

Método 4   Determinación del pH

1.   Objeto y campo de aplicación

El presente documento define el procedimiento para medir el pH de una solución de abono simple a base de nitrato amónico con alto contenido en nitrógeno.

2.   Principio

Medida del pH de una solución de nitrato amónico utilizando un pHmetro.

3.   Reactivos

Agua destilada o desmineralizada, libre de dióxido de carbono.

3.1.   Solución tampón, pH 6,88 a 20 °C

Disolver 3,4 (± 0,01) g de dihidrogenoortofosfato de potasio (KH2PO4) en unos 400 ml de agua. Disolver 3,55 (± 0,01) g de hidrogenoortofosfato de disodio (Na2HPO4) en unos 400 ml de agua. Pasar cuantitativamente las dos soluciones a un matraz aforado de 1 000 ml, enrasar y mezclar. Mantener esta solución en un recipiente herméticamente cerrado.

3.2.   Solución tampón, pH 4,00 a 20 °C

Disolver 10,21 (± 0,01) g de hidrogenoftalato de potasio (KHC8O4H4) en agua, pasar cuantitativamente a un matraz aforado de 1 000 ml, enrasar y mezclar.

Mantener esta solución en un recipiente herméticamente cerrado.

3.3. Pueden utilizarse soluciones patrón de pH comerciales.

4.   Aparato

pH-metro, equipado con electrodos de calomelanos y vidrio o equivalentes, de 0,05 unidades de pH de sensibilidad.

5.   Procedimiento

5.1.   Calibración del pH metro

Calibrar el pH-metro (4.) a la temperatura de 20 (± 1) °C, utilizando las soluciones tampón (3.1.), (3.2.) o (3.3.). Pasar una lenta corriente de nitrógeno por la superficie de la solución y mantenerla durante todo el tiempo del ensayo.

5.2.   Determinación

Verter 100,0 ml de agua sobre 10 (± 0,01) g de la muestra en un vaso de 250 ml. Eliminar la fracción insoluble por medio de filtración, decantación o centrifugación del líquido. Medir el pH de la solución clara a la temperatura de 20 (± 1) °C, siguiendo el mismo procedimiento utilizado para la calibración del pH-metro.

6.   Expresión de los resultados

Expresar los resultados en unidades de pH, precisando la décima de unidad, e indicar la temperatura utilizada.

Método 5   Granulometría

1.   Objeto y campo de aplicación

El presente documento define el procedimiento para el ensayo de tamizado de los abonos simples a base de nitrato amónico con alto contenido en nitrógeno.

2.   Principio

Se tamiza la muestra problema por un conjunto de tres tamices a mano o mecánicamente. Se anota la cantidad recogida en cada tamiz y se calculan los porcentajes de producto que atraviesan los tamices requeridos.

3.   Aparatos

3.1. Tamices de ensayo de tejido de alambre de 200 mm de diámetro y con aperturas de 2,0 mm, 1,0 mm y 0,5 mm, respectivamente, de serie estándar. Una tapa y un recipiente para estos tamices.

3.2. Balanza de 0,1 g de precisión.

3.3. Agitador mecánico de tamices (si se dispone de él) capaz de imprimir movimientos verticales y horizontales a la muestra problema.

4.   Procedimiento

4.1. La muestra se divide representativamente en porciones de unos 100 g.

4.2. Pesar una de estas porciones con una precisión de 0,1 g.

4.3. Colocar el conjunto de tamices en orden ascendente: recipiente, 0,5 mm, 1 mm, 2 mm, y colocar la porción pesada de ensayo en el tamiz superior. Ajustar la tapa en la parte superior del conjunto de tamices.

4.4. Agitar a mano o mecánicamente, imprimiendo un movimiento tanto vertical como horizontal; si se hace a mano, dar golpecitos de vez en cuando. Continuar este proceso durante 10 minutos o bien hasta que la cantidad que pase a través de cada tamiz en un minuto sea menor de 0,1 g.

4.5. Separar los tamices del conjunto por orden y recoger las fracciones retenidas, en caso necesario; cepillar suavemente la cara del reverso con un cepillo suave.

4.6. Pesar las fracciones retenidas en cada tamiz y la parte recogida en el recipiente con una precisión de 0,1 g.

5.   Evaluación de los resultados

5.1. Convertir las masas de las fracciones a porcentajes de la masa total de las fracciones (no de la carga original).

Calcular el porcentaje en el recipiente (es decir, < 0,5 mm): A %

Calcular el porcentaje retenido en el tamiz de 0,5 mm: B %

Calcular el porcentaje que pasa a través del tamiz de 1,0 mm, es decir, (A + B) %

La suma de las masas de las fracciones no deberá diferir de la masa tomada inicialmente en más del 2 %.

5.2. Deben realizarse al menos dos análisis distintos; los resultados individuales de A no deben diferir en más de 1,0 % ni los de B en más de 1,5 %. En caso contrario, repetir el ensayo.

6.   Expresión de los resultados

Indicar la media de los dos resultados obtenidos para A, por una parte, y para A + B, por otra.

Método 6   Determinación del contenido de cloro (en forma de ión cloruro)

1.   Objeto y campo de aplicación

El presente documento define el procedimiento para la determinación del contenido de cloro (en forma de ión cloruro) de los abonos a base de nitrato amónico con alto contenido en nitrógeno.

2.   Principio

Los iones cloruro disueltos en agua se determinan por valoración potenciométrica con nitrato de plata en medio ácido.

3.   Reactivos

Agua destilada o desmineralizada, libre de iones de cloruro.

3.1. Acetona.

3.2. Ácido nítrico concentrado (densidad a 20 °C = 1,40 g/ml).

3.3. Solución patrón de nitrato de plata 0,1 mol/l. Conservar dicha solución en un frasco de vidrio marrón.

3.4. Solución patrón de nitrato de plata 0,004 mol/l. Preparar en el momento de empleo.

3.5. Solución patrón de referencia de cloruro de potasio 0,1 mol/l. Pesar, con una precisión de 0,1 mg, 3,7276 g de cloruro de potasio para análisis, previamente secado en el horno a 130 °C durante una hora y enfriado en un desecador a la temperatura ambiente. Disolver en un poco de agua y trasladar toda la disolución a un matraz aforado de 500 ml, enrasar y agitar.

3.6. Solución patrón de referencia de cloruro de potasio 0,004 mol/l. Preparar en el momento de empleo.

4.   Aparatos

4.1. Potenciómetro con electrodo indicador de plata y electrodo de referencia de calomelanos: precisión de 2 mV (escala de - 500 a + 500 mV).

4.2. Puente, con solución saturada de nitrato potásico, unido al electrodo de calomelanos (4.1.), equipado con tapones porosos en los extremos.

4.3. Agitador magnético, con varilla revestida de teflón.

4.4. Microbureta de punta afilada, con divisiones de 0,01 ml.

5.   Procedimiento

5.1.   Valoración de la solución de nitrato de plata.

Tomar 5,00 ml y 10,00 ml de la solución patrón de referencia de cloruro de potasio (3.6.) y colocarlos en dos vasos bajos de capacidad suficiente (por ejemplo 250 ml). Llevar a cabo la siguiente valoración del contenido de cada vaso.

Añadir 5 ml de solución de ácido nítrico (3.2.), 120 ml de acetona (3.1.) y agua en cantidad suficiente para obtener un volumen total de unos 150 ml. Colocar la varilla del agitador magnético (4.3.) en el vaso y poner éste en marcha. Sumergir el electrodo de plata (4.1.) y el extremo libre del puente (4.2.) en la solución. Conectar los electrodos al potenciómetro (4.1.) y, tras haber verificado el cero del aparato, anotar el valor del potencial inicial.

Valorar con la microbureta (4.4.), añadiendo inicialmente 4 ó 9 ml, respectivamente, de la solución de nitrato de plata correspondiente a la solución patrón de referencia de cloruro potásico. Continuar la adición en fracciones de 0,1 ml para las soluciones 0,004 mol/l y en fracciones de 0,05 ml para las soluciones 0,1 mol/l. Esperar, después de cada adición, hasta la estabilización del potencial.

Anotar, en las dos primeras columnas de un cuadro, los volúmenes añadidos y los valores correspondientes del potencial.

Anotar en la tercera columna del cuadro los incrementos sucesivos (Δ1E) del potencial E. En la cuarta, anotar las diferencias (Δ2E), positivas o negativas, entre los incrementos del potencial (Δ1E). El final de la valoración corresponde a la adición de la fracción (V1) de 0,1 o 0,05 ml de la solución de nitrato de plata, que arroja al valor máximo de Δ1E.

Para calcular el volumen exacto (Veq) de la solución de nitrato de plata correspondiente al final de la reacción, utilícese la fórmula:

image

donde:

V0 es el volumen total, en mililitros, de la solución de nitrato de plata, inmediatamente inferior al volumen que ha provocado el incremento máximo de Δ1E,

V1 es el volumen, en mililitros, de la última fracción añadida de la solución de nitrato de plata (0,1 ó 0,05 ml);

b es el último valor positivo de Δ2E;

B es la suma de los valores absolutos del último valor positivo de Δ2E y del primer valor negativo de Δ2E (ver ejemplo en la tabla 1).

5.2.   Ensayo en blanco

Efectuar un ensayo en blanco y tenerlo en cuenta a la hora de calcular el resultado final.

El resultado V4 del ensayo en blanco de los reactivos se obtiene en mililitros, mediante la fórmula:

image

donde:

V2 es el valor, en mililitros, del volumen exacto (Veq) de la solución de nitrato de plata correspondiente a la valoración de 10 ml de la solución patrón de referencia de cloruro de potasio utilizada;

V3 es el valor, en mililitros, del volumen exacto (Veq) de la solución de nitrato de plata correspondiente a la valoración de 5 ml de la solución patrón de referencia de cloruro de potasio utilizada.

5.3.   Ensayo de control

El ensayo en blanco puede servir al mismo tiempo para controlar el buen funcionamiento del equipo y la correcta ejecución del procedimiento.

5.4.   Determinación

Tomar una porción de muestra de 10 a 20 g y pesarla con una precisión de 0,01 g. Trasladarla a un vaso de 250 ml. Añadir 20 ml de agua, 5 ml de solución de ácido nítrico (3.2.), 120 ml de acetona (3.1.) y agua en cantidad suficiente para obtener un volumen total de unos 150 ml.

Colocar la varilla del agitador magnético (4.3.) en el vaso, colocarlo en el agitador y poner éste en marcha. Sumergir el electrodo de plata (4.1.) y el extremo libre del puente (4.2.) en la solución, conectar los electrodos al potenciómetro (4.1.) y, tras haber verificado el cero del aparato, anotar el valor del potencial inicial.

Valorar con la solución de nitrato de plata, mediante adiciones de la microbureta (4.4.) en fracciones de 0,1 ml. Después de cada adición, esperar hasta la estabilización del potencial.

Continuar la valoración como se especifica en 5.1. a partir del cuarto párrafo: «Anotar, en las dos primeras columnas de un cuadro, los volúmenes añadidos y los valores correspondientes del potencial …».

6.   Expresión de los resultados

Expresar el resultado del análisis en porcentaje del cloro contenido en la muestra tal y como se ha recibido para el análisis. Calcular el porcentaje de cloro (Cl) mediante la fórmula:

image

donde:

T es la concentración de la solución de nitrato de plata utilizada, en mol/l;

V4 es el resultado, en mililitros, del ensayo en blanco (5.2.);

V5 es el valor, en mililitros, de Veq correspondiente a la determinación (5.4.);

m es la masa, en gramos, de la porción de muestra.



Cuadro 1: Ejemplo

Volumen de la solución de nitrato de plata

V

(ml)

Potencial

Estado miembro

(mV)

Δ1E

Δ2E

4,80

176

 
 

4,90

211

35

+ 37

5,00

283

72

– 49

5,10

306

23

– 10

5,20

319

13

 

image

Método 7   Determinación del cobre

1.   Objeto y campo de aplicación

El presente documento define el procedimiento para la determinación del contenido en cobre de los abonos simples a base de nitrato amónico con alto contenido en nitrógeno.

2.   Principio

La muestra se disuelve en ácido clorhídrico diluido y el contenido en cobre se determina por espectrometría de absorción atómica.

3.   Reactivos

3.1. Ácido clorhídrico (densidad a 20 °C = 1,18 g/ml).

3.2. Ácido clorhídrico, solución 6 mol/l.

3.3. Ácido clorhídrico, solución 0,5 mol/l.

3.4. Nitrato amónico.

3.5. Peróxido de hidrógeno, al 30 % p/v.

3.6. Solución de cobre ( 12 ) (madre): pesar 1 g de cobre puro con precisión de 0,001 g, disolver en 25 ml de solución de ácido clorhídrico 6 mol/l (3.2.), añadir 5 ml de peróxido de hidrógeno (3.5.) en fracciones y diluir hasta 1 litro con agua. 1 ml de esta solución contiene 1 000 μg de cobre (Cu).

3.6.1. Solución de cobre (diluida): diluir 10 ml de la solución madre (3.6.) hasta 100 ml con agua y diluir después 10 ml de la solución obtenida hasta 100 ml con agua. 1 ml de la disolución final contiene 10 μg de cobre (Cu).

Preparar esta solución cuando se vaya a utilizar.

4.   Aparatos

Espectrofotómetro de absorción atómica con lámpara de cobre (324,8 nm).

5.   Procedimiento

5.1.   Preparación de la solución para análisis

Pesar 25 g de la muestra con precisión de 0,001 g, colocarlos en un vaso de 400 ml, añadir cuidadosamente 20 ml de ácido clorhídrico (3.1.) (puede haber una reacción fuerte debido a la formación de dióxido de carbono). Añadir más ácido clorhídrico en caso necesario. Cuando haya cesado la efervescencia, evaporar a sequedad en un baño de vapor, agitando de vez en cuando con una varilla de vidrio. Añadir 15 ml de la solución de ácido clorhídrico 6 mol/l (3.2.) y 120 ml de agua. Agitar con la varilla de vidrio, que debe quedarse en el vaso, y cubrir éste con un vidrio de reloj. Hervir la solución suavemente hasta disolución completa y enfriar a continuación.

Pasar cuantitativamente la solución a un matraz aforado de 250 ml, lavando el vaso con 5 ml de ácido clorhídrico 6 mol/l (3.2.), y dos veces con 5 ml de agua hirviendo. Enrasar con ácido clorhídrico 0,5 mol/l (3.3.) y mezclar cuidadosamente.

Filtrar a través de un papel de filtro sin cobre ( 13 ), desechando los primeros 50 ml.

5.2.   Solución en blanco

Preparar una solución en blanco en la cual falte solamente la muestra, y tenerla en cuenta en el cálculo de los resultados finales.

5.3.   Determinación

5.3.1.   Preparación de la solución problema y de la solución en blanco

Diluir la solución de la muestra (5.1.) y la solución en blanco (5.2.) con solución de ácido clorhídrico 0,5 mol/l (3.3.) hasta una concentración que esté dentro de la zona óptima de medida del espectrofotómetro. Normalmente no hace falta diluir.

5.3.2.   Preparación de las soluciones de calibración

Mediante dilución de la solución patrón (3.6.1.) con solución de ácido clorhídrico 0,5 mol/l (3.3.), preparar al menos 5 soluciones patrón correspondientes a la zona óptima de medida del espectrofotómetro (de 0 a 5,0 mg/l Cu). Antes de enrasar, añadir a cada solución nitrato amónico (3.4.) para obtener una concentración de 100 mg por ml.

5.4.   Medida

Ajustar el espectrofotómetro (4.) a la longitud de onda de 324,8 nm. Utilizar una llama oxidante de aire-acetileno. Vaporizar sucesivamente, por triplicado, la solución de calibración (5.3.2.), la solución problema y la solución en blanco (5.3.1.), lavando a fondo el instrumento con agua destilada antes de cada vaporización. Trazar la curva de calibración representando en el eje de ordenadas las absorbancias medias de cada patrón utilizado y en el eje de abscisas las concentraciones correspondientes de cobre en μg/ml.

Determinar la concentración de cobre en las soluciones finales problema y en blanco utilizando la curva de calibración.

6.   Expresión de los resultados

Calcular el contenido en cobre de la muestra teniendo en cuenta la masa de la muestra, las diluciones realizadas durante el análisis y el valor del blanco. Expresar el resultado como mg Cu/kg.

4.   Ensayo de detonabilidad

4.1.   Objeto y campo de aplicación

El presente documento define el procedimiento para la determinación de la resistencia a la detonabilidad de los abonos a base de nitrato amónico con alto contenido en nitrógeno.

4.2.   Principio

La muestra problema se introduce en un tubo de acero y se somete a un choque de detonación provocado por una carga detonante de explosivo. La propagación de la detonación se determina por el grado de compresión de unos cilindros de plomo sobre los que reposa el tubo horizontalmente durante el ensayo.

4.3.   Materiales

4.3.1.   Explosivo plástico con un contenido en pentrita entre el 83 y el 86 %.

Densidad : 1 500 y 1 600 kg/m3

Velocidad de detonación : entre 7 300 y 7 700 m/s

Masa : 500 ± 1 g.

4.3.2.   Siete largos de mecha detonante flexible con funda no metálica.

Masa del relleno : entre 11 y 13 g/m

Longitud de cada mecha : 400 ± 2 mm.

4.3.3.   Comprimido de explosivo secundario, con una cavidad para alojar al detonador.

Explosivo : Hexógeno/cera (95/5) o tetril u otro explosivo secundario análogo, con o sin adición de grafito.

Densidad : 1 500 y 1 600 kg/m3

Diámetro : 19 y 21 mm

Altura : 19 y 23 mm

Cavidad central para alojar al detonador : entre 7 y 7,3 mm de diámetro y 12 mm de profundidad.

4.3.4.   Tubo de acero sin soldadura, conforme a la norma ISO 65-1981 — Serie fuerte, con dimensiones nominales DN 100 (4″)

Diámetro exterior : entre 113,1 y 115,0 mm

Espesor de la pared : entre 5,0 y 6,5 mm

Longitud : 1 005 (± 2) mm.

4.3.5.   Placa de fondo

Material : acero fácilmente soldable

Dimensiones : 160 × 160 mm

Espesor : entre 5 y 6 mm.

4.3.6.   Seis cilindros de plomo

Diámetro : 50 (± 1) mm

Altura : entre 100 y 101 mm

Material : plomo refinado, del 99,5 % de pureza mínima.

4.3.7.   Lingote de acero

Longitud mínima : 1 000 mm

Anchura mínima : 150 mm

Altura mínima : 150 mm

Masa mínima : 300 kg si no hay una base firme bajo el lingote de acero.

4.3.8.   Cilindro de plástico o cartón para la carga detonante.

Espesor de la pared : entre 1,5 y 2,5 mm

Diámetro : entre 92 y 96 mm

Altura : entre 64 y 67 mm.

4.3.9. Detonador (eléctrico o no eléctrico), con fuerza de iniciación entre 8 y 10.

4.3.10.   Disco de madera

Diámetro : entre 92 y 96 mm, que se ajustará al diámetro interior del cilindro de plástico o cartón (4.3.8.)

Espesor : 20 mm.

4.3.11. Varilla de madera de las mismas dimensiones que el detonador (4.3.9.).

4.3.12. Alfileres de costura (de 20 mm de longitud máxima)

4.4.   Procedimiento

4.4.1.   Preparación de la carga detonante para su introducción en el tubo de acero

Para iniciar la explosión de la carga detonante existen dos procedimientos según el material disponible.

4.4.1.1.   Iniciación simultánea en 7 puntos

(En la figura 1 se representa la carga detonante lista para su empleo).

4.4.1.1.1. Se perfora un disco de madera (4.3.10.) paralelamente a su eje, en su centro y en seis puntos distribuidos simétricamente sobre una circunferencia concéntrica de 55 mm de diámetro. El diámetro de las perforaciones será de 6 a 7 mm (ver sección A-B de la figura 1), según el diámetro de la mecha detonante utilizada (4.3.2.).

4.4.1.1.2. Se preparan siete trozos de 400 mm de longitud de mecha detonante flexible (4.3.2.); debe evitarse cualquier pérdida de pólvora en los extremos haciendo un corte limpio y sellando el extremo inmediatamente con adhesivo. Cada uno de los siete trozos se hace pasar por las siete perforaciones del disco de madera (4.3.10.), hasta que sus extremos sobresalgan algunos centímetros por el otro lado del disco. A continuación se introduce transversalmente un pequeño alfiler de costura (4.3.12.) en la funda textil de cada trozo de mecha a unos 5-6 mm del extremo y se aplica adhesivo alrededor de la parte exterior de los trozos de mecha formando una banda de 2 cm de anchura junto al alfiler. Finalmente, se tira del extremo largo de cada mecha para poner el alfiler en contacto con el disco de madera.

4.4.1.1.3. Se da al explosivo plástico (4.3.1.) la forma de un cilindro de 92 a 96 mm de diámetro adaptado al diámetro del cilindro de plástico (4.3.8.), en el cual se introduce poniéndolo en posición vertical sobre una superficie plana. A continuación se introduce en el cilindro desde arriba el disco de madera ( 14 ) provisto de sus siete trozos de mecha detonante y se presiona sobre el explosivo. La altura del cilindro (64-67 mm) deberá ajustarse finalmente de forma que su borde superior no sobrepase el nivel de la madera. Por último, se fija el cilindro al disco de madera a lo largo de todo su perímetro, por ejempo por medio de grapas o pequeños clavos.

4.4.1.1.4. Los extremos libres de los siete trozos de mecha detonante se agrupan sobre el perímetro de la varilla (4.3.11) de manera que se encuentren todos al mismo nivel en un plano perpendicular a ésta, y a continuación se unen en haz alrededor de la varilla utilizando cinta adhesiva ( 15 ).

4.4.1.2.   Iniciación central por comprimido explosivo.

En la figura 2 se representa la carga detonante lista para su empleo.

4.4.1.2.1.   Preparación del comprimido

Tomando las necesarias medidas de seguridad, se introducen en un molde, de diámetro interior de 19 a 21 mm, 10 g de un explosivo secundario (4.3.3.), y se comprimen hasta conseguir la forma y la densidad adecuadas.

(La relación diámetro: altura debe ser aproximadamente 1:1).

El fondo del molde incluye en su centro un pitón de 12 mm de altura y de 7,0 a 7,3 mm de diámetro (según el diámetro del detonador utilizado), que forma en el comprimido una cavidad cilíndrica a fin de colocar después el detonador en ella.

4.4.1.2.2.   Preparación de la carga detonante

Se coloca el explosivo (4.3.1.) en el cilindro (4.3.8.) en posición vertical sobre una superficie sobre una superficie plana y a continuación se hace presión con un troquel de madera para dar al explosivo una forma cilíndrica con un hueco central. Se introduce el comprimido en dicho hueco. Se cubre el explosivo de forma cilíndrica que contiene el comprimido con un disco de madera (4.3.10.) que tenga un agujero central de 7,00 a 7,3 mm de diámetro para la inserción de un detonador. Se sujetan unidos el disco de madera y el cilindro con una cruz de cinta adhesiva. Hay que asegurarse de que el agujero perforado en el disco y el hueco del comprimido son coaxiales introduciendo la varilla de madera (4.3.11.).

4.4.2.   Preparación de los tubos de acero para los ensayos de detonabilidad.

Se perfora perpendicularmente la pared de un extremo del tubo de acero (4.3.4.) a una distancia de 4 mm del borde del tubo, haciendo dos agujeros diametralmente opuestos, de 4 mm de diámetro.

Se suelda a tope la placa de fondo (4.3.5.) con el extremo opuesto del tubo, rellenándose el ángulo recto entre la placa y la pared del tubo con metal de soldadura a lo largo de todo el perímetro del tubo.

4.4.3.   Rellenado y carga del tubo de acero

Ver las figuras 1 y 2.

4.4.3.1. La muestra problema, el tubo de acero y la carga detonante se acondicionan a la temperatura de 20 (± 5) °C. Se necesitan, para dos ensayos de detonabilidad, de 16 a 18 kg de la muestra problema.

4.4.3.2. Se coloca el tubo en posición vertical, reposando su placa de fondo cuadrada sobre una superficie plana y sólida, a ser posible de hormigón. Se rellena el tubo con la muestra problema hasta aproximadamente 1/3 de su altura; se deja caer 10 cm verticalmente sobre el suelo cinco veces, a fin de compactar al máximo los gránulos o gránulos dentro del tubo. Para acelerar la compactación, se hace vibrar el tubo, entre caída y caída, mediante un total de diez golpes dados en la pared lateral con un martillo de 750 a 1 000 g.

Se repite este método de carga tras la adición de otra parte de la muestra. Se añadirá una última cantidad tal que, tras la compactación obtenida por diez elevaciones y caídas del tubo y por un total de veinte golpes intermitentes de martillo, el tubo se halle relleno de carga hasta la distancia de 70 mm de su orificio.

Deberá ajustarse la altura rellenada por la muestra en el tubo de acero de manera que la carga detonante que debe colocarse posteriormente (4.4.1.1. ó 4.4.1.2.) se halle en toda su superficie en contacto íntimo con la muestra.

4.4.3.3. Se introduce la carga detonante en el tubo de forma que se ponga en contacto con la muestra; la cara superior del disco de madera deberá quedar a 6 mm por debajo del borde del tubo. Se consigue el contacto íntimo indispensable entre el explosivo y la muestra problema añadiendo o retirando pequeñas cantidades de muestra. Tal y como se indica en las figuras 1 y 2, se introducen clavijas partidas en los agujeros situados cerca del extremo abierto del tubo y se abren sus patas hasta que se pongan en contacto con el tubo.

4.4.4.   Colocación del tubo de acero y cilindros de plomo (ver figura 3)

4.4.4.1. Se numeran las bases de los cilindros de plomo (4.3.6.) del 1 al 6. Se practican seis marcas a intervalos de 150 mm sobre la línea media de un lingote de acero (4.3.7.) puesto sobre una base horizontal, situándose la primera marca a una distancia mínima de 75 mm del borde del lingote. Sobre cada una de estas marcas se coloca en posición vertical un cilindro de plomo, con la base de cada cilindro central sobre su marca respectiva.

4.4.4.2. El tubo de acero, preparado tal y como se ha indicado en 4.4.3., se coloca horizontalmente sobre los cilindros de plomo, con su eje paralelo a la línea media del lingote de acero y sobrepasando el borde soldado del tubo al cilindro de plomo no 6 en 50 mm. Para evitar que el tubo gire, se intercalan pequeñas cuñas de madera entre los extremos superiores de los cilindros de plomo y la pared del tubo (una de cada lado), o se coloca entre el tubo y el lingote de acero una cruz de madera.

Nota: Procúrese que el tubo se encuentre en contacto con todos los cilindros de plomo; si la superficie del tubo está ligeramente combada, puede compensarse haciendo girar el tubo alrededor de su eje longitudinal; si alguno de los cilindros es demasiado alto, martillear cuidadosamente el cilindro de que se trate hasta conseguir la altura requerida.

4.4.5.   Preparación de la detonación

4.4.5.1. La instalación del equipo, descrita en 4.4.4., se efectuará en un búnker o en un lugar subterráneo habilitado a este efecto (por ejemplo, mina o túnel). Debe asegurarse una temperatura de 20 (± 5) °C para el tubo de acero antes de la detonación.

Nota: En caso de no existencia de tales lugares de tiro, el trabajo puede realizarse, si es necesario, en una fosa revestida de hormigón y cubierta mediante vigas de madera. En razón de los fragmentos de acero de alta energía cinética provocados por la detonación, se deberá mantener una distancia adecuada de lugares habitados o vías de comunicación.

4.4.5.2. En caso de utilización de carga detonante con iniciación en 7 puntos, se procurará disponer lo más horizontalmente posible las mechas detonantes, tensadas tal como se indica en la nota a pie de página de 4.4.1.1.4.

4.4.5.3. En último lugar, se sustituye la varilla de madera por el detonador. Sólo se efectúa la detonación tras haber evacuado la zona peligrosa y cuando todo el personal del ensayo se halla bajo cobijo.

4.4.5.4. Se hace detonar el explosivo.

4.4.6. Transcurrido el tiempo suficiente para que se disipen los humos (productos de descomposición gaseosos, a veces tóxicos, por ejemplo gases nitrosos), se recogen los cilindros de plomo y se mide su altura mediante un pie de rey.

Registrar, para cada uno de los cilindros de plomo marcados, el grado de compresión expresado como porcentaje de la altura inicial de 100 mm. En caso de aplastamiento oblicuo de los cilindros de plomo, se registrarán el valor más elevado y el más bajo para calcular la media.

4.4.7. Puede utilizarse una sonda para la medida continua de la velocidad de detonación; la sonda debe introducirse longitudinalmente en el eje del tubo o a lo largo de su pared lateral.

4.4.8. Deben efectuarse dos ensayos de detonabilidad por muestra.

4.5.   Informe del ensayo

El informe del ensayo indicará los parámetros siguientes para cada uno de los dos ensayos de detonabilidad:

 valores realmente medidos del diámetro exterior del tubo de acero y del espesor de su pared;

 dureza Brinell del tubo de acero;

 temperatura del tubo y de la muestra justo antes de la detonación;

 densidad (en kg/m3) de la muestra cargada en el tubo de acero;

 altura tras la detonación de cada uno de los cilindros de plomo; precisando el número de cilindro correspondiente;

 el método utilizado para la carga detonadora.

4.5.1.   Evaluación de los resultados del ensayo

El ensayo se considerará concluyente y se establecerá que la muestra cumple los requisitos del anexo III 2 si, para cada detonación, la compresión de al menos un cilindro de plomo es inferior al 5 %.

image

Figura 1

image

Figura 2

image

Figura 3




ANEXO IV

MÉTODO DE TOMA DE MUESTRAS Y DE ANÁLISIS

A.   MÉTODO DE TOMA DE MUESTRAS PARA EL CONTROL DE LOS ABONOS

INTRODUCCIÓN

Una toma de muestras correcta es una operación difícil que requiere el máximo cuidado. No es ocioso, por tanto, insistir en la necesidad de obtener, con vistas al control oficial de los abonos, muestras que sean lo suficientemente representativas.

El método de toma de muestras que se describe a continuación requiere una aplicación estricta por parte de especialistas que tengan experiencia en la toma de muestras tradicional.

1.   Objeto y ámbito de aplicación

Las muestras destinadas al control oficial de los abonos en lo que se refiere a su calidad y composición se extraerán siguiendo los métodos que se indican a continuación. Las muestras así obtenidas se considerarán representativas de las porciones de muestra.

2.   Agentes autorizados para la toma de muestras

Extraerán las muestras los agentes autorizados al efecto por los Estados miembros.

3.   Definiciones

Porción de muestra : cantidad de productos que constituyen una unidad y que tienen características supuestamente uniformes.

Muestra elemental : cantidad extraída en un punto de la porción de muestra.

Muestra global : conjunto de muestras elementales que se efectúan en la misma porción de muestra.

Muestra reducida : parte representativa de la muestra, que se obtiene por reducción de ésta.

Muestra final : parte de la muestra reducida.

4.   Equipo

4.1. Los aparatos para toma de muestras deberán construirse en materiales que no contaminen los productos de los que aquéllas vayan a extraerse. Dichos aparatos podrán ser homologados por los Estados miembros.

4.2.   Aparatos recomendados para recoger muestras de abonos sólidos

4.2.1.   Recogida de muestras manual

4.2.1.1.   Pala de fondo plano y bordes verticales.

4.2.1.2.   Sonda con hendidura larga o en compartimentos. Las dimensiones de la sonda deberán adaptarse a las características de la porción de muestra (profundidad del recipiente, dimensiones del saco, etc.) y al tamaño de las partículas que compongan el abono.

4.2.2.   Recogida mecánica de muestras

Podrán utilizarse aparatos mecánicos homologados para recoger muestras de los abonos cuando se proceda a su carga o descarga.

4.2.3.   Divisor

Los aparatos destinados a dividir la muestra en partes aproximadamente iguales podrán utilizarse tanto para las muestras elementales como para la preparación de muestras reducidas y de muestras finales.

4.3.   Aparatos recomendados para recoger muestras de abonos fluidos

4.3.1.   Recogida de muestras manual

Tubo abierto, sonda, frasco u otro material adecuado que permita recoger muestras de manera aleatoria de la porción de muestra.

4.3.2.   Recogida mecánica de muestras

Podrán utilizarse aparatos mecánicos homologados para recoger muestras de los abonos cuando se proceda a su carga o descarga.

5.   Requisitos cuantitativos

5.1.   Porción de muestra

La dimensión de la porción de muestra deberá ser de un tamaño que permita recoger muestras de todas las partes que lo compongan.

5.2.   Muestras elementales

5.2.1.   Abonos sólidos o fluidos a granel en recipientes con un contenido superior a 100 kg

5.2.1.1. Porción de muestra que no sobrepase las 2,5 toneladas:

Número mínimo de muestras elementales: siete

5.2.1.2. Porción de muestra de más de 2,5 toneladas y menos de 80 toneladas:

Número mínimo de muestras elementales:

image

 ( 16 )

5.2.1.3. Porción de muestra de más de 80 toneladas:

Número mínimo de muestras elementales: 40

5.2.2.   Abonos sólidos o abonos fluidos envasados en recipientes (= envases con un contenido no superior a los 100 kg)

5.2.2.1. Envases con un contenido superior a 1 kg

5.2.2.1.1. Porción de muestra compuesta de menos de 5 envases:

Número mínimo de envases en los que deberán recogerse muestras ( 17 ): todos los envases.

5.2.2.1.2. Porción de muestra compuesta de 5 a 16 envases:

Número mínimo de envases en los que deberán recogerse muestras (17) : cuatro.

5.2.2.1.3. Porción de muestra compuesta de 17 a 400 envases:

Número mínimo de envases en los que deberán recogerse muestras (17) :

image

 (17) 

5.2.2.1.4. Porción de muestra compuesta de más de 400 envases:

Número mínimo de envases en los que deberán recogerse muestras (17) : 20.

5.2.2.2. Envases cuyo contenido no sea superior a 1 kg:

Número mínimo de envases en los que deberán recogerse muestras (17) : cuatro.

5.3.   Muestra global

Se requiere sólo una muestra global por porción de muestra. La masa total de las muestras elementales destinadas a formar la muestra global no podrá ser inferior a las cantidades siguientes:

5.3.1. Abonos sólidos o abonos fluidos a granel en recipientes con un contenido superior a 100 kg: 4 kg.

5.3.2. Abonos sólidos o abonos fluidos envasados en recipientes (= envases con un contenido no superior a los 100 kg)

5.3.2.1. Envases con un contenido superior a 1 kg: 4 kg

5.3.2.2. Envases con un contenido inferior a 1 kg: masa del contenido de cuatro envases de origen

5.3.3. Muestra de abonos a base de nitrato amónico para la realización de ensayos con arreglo al anexo III 2: 75 kg

5.4.   Muestras finales

La muestra global dará lugar, después de reducirla si es necesario, a la obtención de muestras finales. Se requiere el análisis de por lo menos una muestra final. La masa de la muestra final que se destina al análisis no será inferior a 500 g.

5.4.1. Abonos sólidos y fluidos

5.4.2.   Muestra de abonos a base de nitrato amónico para la realización de ensayos

La muestra global dará lugar, después de reducirla si es necesario, a la obtención de muestras finales para la realización de ensayos.

5.4.2.1. Masa mínima de la muestra final para la realización de los ensayos que figuran en el anexo III 1: 1 kg

5.4.2.2. Masa mínima de la muestra final para la realización de los ensayos que figuran en el anexo III 2: 25 kg

6.   Instrucciones para la toma, la preparación y el envasado de las muestras

6.1.   Observaciones generales

Extraer y preparar las muestras lo más rápidamente posible tomando las precauciones necesarias para asegurarse de que sean representativas del abono del que se extraen. Tanto los instrumentos como las superficies y los recipientes donde vayan a depositarse las muestras deberán estar limpios y secos.

En el caso de los abonos fluidos, si es posible, la porción de muestra deberá mezclarse antes del muestreo.

6.2.   Muestras elementales

Las muestras elementales deberán tomarse al azar en el total de la porción de muestra. Sus tamaños deberán ser aproximadamente iguales.

6.2.1.   Abonos sólidos o abonos fluidos a granel en recipientes con un contenido superior a 100 kg

Dividir la porción de muestra en partes imaginarias aproximadamente iguales. Escoger al azar un número de partes que corresponda al número de muestras elementales prevista en el apartado 5.2 y tomar por lo menos una muestra en cada una de dichas partes. Cuando, en el caso de los abonos a granel o de los abonos fluidos en recipientes con un contenido superior a 100 kg, sea imposible cumplir las condiciones indicadas en el apartado 5.1, la recogida se efectuará cuando se proceda a la carga o descarga de la porción de muestra. En tal caso las muestras se tomarán de las partes imaginarias escogidas al azar, como se ha indicado anteriormente, cuando la porción de muestra esté en movimiento (esto es, cuando haya comenzado su carga o descarga).

6.2.2.   Abonos sólidos o abonos fluidos envasados en recipientes (= envases) con un contenido no superior a 100 kg

Tomar una parte del contenido de cada envase; el número de envases sobre el que deberá efectuarse esta operación viene dado en el apartado 5.2. Si es necesario, tomar las muestras después de haber vaciado los envases por separado.

6.3.   Preparación de la muestra global

Reunir todas las muestras elementales y mezclarlas cuidadosamente.

6.4.   Preparación de las muestras finales

Mezclar cuidadosamente cada muestra global para obtener una muestra homogénea ( 18 ).

Si es necesario, reducir la muestra global hasta un mínimo de 2 kg (muestra reducida), ya sea con un divisor mecánico o por el método de cuarteo.

Preparar a continuación un mínimo de tres muestras finales que contengan aproximadamente la misma cantidad y que cumplan los requisitos cuantitativos que figuran en el apartado 5.4. Introducir cada muestra en un recipiente hermético apropiado. Tomar todas las precauciones necesarias para evitar cualquier modificación de las características de la muestra.

Para la realización de los ensayos que figuran en los apartados 1 y 2 del anexo III, las muestras finales deberán mantenerse a una temperatura situada entre 0 °C y 25 °C.

7.   Envasado de las muestras finales

Precintar y etiquetar los envases o sus envoltorios (la etiqueta deberá ir situada sobre el precinto) de manera que sea imposible abrirlos sin dañar los precintos.

8.   Acta de toma de muestras

De cada toma de muestras se levantará un acta que permita identificar la porción de muestra de que se trate sin posibilidad de error.

9.   Estino de las muestras

Por lo menos una muestra final de cada porción de muestra deberá remitirse en el plazo más breve posible a un laboratorio autorizado, con todas las informaciones que se consideren necesarias para efectuar los análisis.

B.   MÉTODOS DE ANÁLISIS DE LOS ABONOS

(Véase índice, p. 2.)

Observaciones generales

Material de laboratorio

Al hacer la descripción de los distintos métodos, no se ha definido con precisión el material ordinario de laboratorio, excepción hecha de matraces y pipetas graduadas. Dicho material deberá estar siempre muy limpio, y especialmente cuando deban determinarse cantidades muy pequeñas de elementos.

Ensayo de control

Antes de efectuar los análisis, será necesario asegurarse del buen funcionamiento del equipo y de la ejecución correcta de las distintas técnicas analíticas analizando compuestos químicos de composición teórica bien definida (por ejemplo, sulfato de amonio, dihidrogenofosfato de potasio, etc.). No obstante, si no se sigue rigurosamente la técnica analítica, el resultado de los análisis podrá indicar una composición química errónea de los abonos analizados. Por otra parte, un cierto número de determinaciones serán estrictamente convencionales y relativas a productos de composición química compleja. Por ello, se recomienda que, cuando el laboratorio pueda disponer de ellas, se utilicen muestras de referencia estándar de composición bien definidas.

Disposiciones generales acerca de los métodos de análisis de los abonos

1.   Reactivos

Salvo disposiciones contrarias especificadas en el método de análisis, todos los reactivos deberán poseer un grado de pureza analítica (p.a.). Para analizar los micronutrientes, se deberá controlar la pureza de los reactivos mediante un ensayo en blanco. Según el resultado que se obtenga, habrá que realizar una purificación suplementaria.

2.   Agua

En las operaciones de disolución, dilución, aclarado o lavado mencionadas en los métodos de análisis, cuando no se especifique el tipo de disolvente o de diluyente, se empleará agua. Por regla general, el agua será desmineralizada o destilada. En determinados casos indicados en los métodos de análisis, dicha agua deberá someterse a procedimientos específicos de purificación.

3.   Material de laboratorio

Al margen del equipo habitual de los laboratorios de control, el equipo descrito en los métodos de análisis se limitará a los instrumentos y aparatos especiales o que tienen requisitos específicos. Dicho material deberá estar completamente limpio, sobre todo para determinar pequeñas cantidades. En el caso de los objetos de vidrio graduado, el laboratorio habrá de verificar su precisión, siguiendo las normas metrológicas pertinentes.

Método 1

Preparación de la muestra que se ha de analizar

1.   Objeto

El presente documento define el procedimiento que deberá seguirse para la preparación de la muestra que se ha de analizar a partir de la muestra final.

2.   Principio

La preparación de una muestra final recibida en el laboratorio consta de una serie de operaciones -tamizado, triturado y homogeneizado-, realizadas de manera que:

 por una parte, la más pequeña de las muestras de ensayo previstas por los métodos de análisis sea representativa de la muestra final,

 por otra, la granulometría del abono no pueda haber sido modificada por la preparación hasta el punto de afectar sensiblemente a su solubilidad en los distintos reactivos de extracción.

3.   Equipo

Divisor de muestras (facultativo).

Tamices con malla de 0,2 y 0,5 mm.

Frascos de 250 ml con cierre hermético.

Mortero con mano de porcelana o triturador.

4.   Elección del tratamiento que se efectuará

Nota previa

Se puede conservar sólo una parte representativa de la muestra final, si el producto se presta a ello.

4.1.   Muestras finales que no deberán triturarse

Nitrato cálcico, nitrato cálcico y de magnesio, nitrato sódico, nitrato de Chile, cianamida cálcica, cianamida cálcica nitratada, sulfato de amonio, nitratos amónico con más del 30 % N, urea, fosfato Thomas, fosfato roca parcialmente soluble, fosfato de dicalcio dihidratado precipitado, fosfato calcinado, fosfato de aluminio y calcio, fosfato roca blando.

4.2.   Muestras finales que en parte deben dividirse y en parte triturarse

Se trata de productos con los que se efectuarán ciertas determinaciones sin trituración previa (por ejemplo, la granulometría) y otras después de la trituración. Comprenden todos los abonos compuestos que contengan como componente fosfatado: escoria Thomas, fosfato de aluminio y calcio, fosfato calcinado, fosfato roca blando, fosfato roca solubilizado parcialmente. Con este fin, separar la muestra final en dos fracciones idénticas en la medida de lo posible, con la ayuda de un divisor o por el método de cuarteo.

4.3.   Muestras finales cuyas determinaciones se efectuarán en su totalidad sobre un producto triturado

Podrá triturarse sólo una parte representativa de la muestra final. Se trata de todos los demás abonos de la lista que no figuren en los apartados 4.1 y 4.2.

5.   Método

La parte de la muestra final a que se refieren los apartados 4.2 y 4.3 se tamizará rápidamente en un tamiz de 0,5 mm de apertura de malla. El residuo se triturará brevemente de forma que se obtenga un producto que contenga un mínimo de partículas finas, y se tamizará. El triturado deberá efectuarse de forma que el producto no se caliente en exceso. Se repetirá la operación tantas veces como sea necesario hasta que no quede absolutamente ningún residuo, efectuándola lo más rápidamente posible para evitar cualquier aumento o pérdida de sustancia (agua, amoníaco). La totalidad del producto triturado y tamizado se introducirá en un frasco limpio con cierre hermético.

Antes de efectuar cualquier pesada para el análisis deberá homogeneizarse cuidadosamente toda la muestra.

6.   Casos particulares

a) Abonos que contengan varias clases de cristales

En estos casos se producirán a menudo fenómenos de estratificación. Deberá por tanto triturarse la muestra y hacerla pasar por el tamiz de 0,2 mm de apertura de malla. Ejemplo: mezcla de fosfato de amonio y de nitrato de potasio. Se recomienda para tales productos triturar la totalidad de la muestra final.

b) Residuo difícil de triturar que no contenga sustancias fertilizantes

Pesar el residuo y tener en cuenta su masa en el cálculo del resultado final.

c) Productos que pueden descomponerse por el calor

La trituración deberá efectuarse de manera que se evite cualquier calentamiento. Será preferible, en estos casos, triturar en el mortero. Por ejemplo: abonos compuestos que contengan cianamida cálcica o urea.

d) Productos anormalmente húmedos o que hayan adquirido una textura pastosa por el triturado

Para garantizar una cierta homogeneidad, se elegirá un tamiz de apertura mínima sobre el que puedan deshacerse los grumos con la mano o con la mano del mortero al mismo tiempo que se efectúa el tamizado. Ello puede ser aconsejable cuando se trate de mezclas en las que alguno de los componentes contenga agua de cristalización.

Método 2

Nitrógeno

Método 2.1

Determinación del nitrógeno amoniacal

1.   Objeto

El presente documento define el procedimiento que deberá seguirse para la determinación del nitrógeno amoniacal.

2.   Ámbito de aplicación

El presente método se aplicará a todos los abonos nitrogenados, incluidos los abonos compuestos, en los que el nitrógeno se encuentre exclusivamente en forma de sales de amonio o de sales de amonio y de nitratos.

No se aplicará a los abonos que contengan urea, cianamida u otros compuestos orgánicos nitrogenados.

3.   Principio

Desplazamiento del amoníaco por medio de un exceso de hidróxido sódico; destilación del amoníaco y determinación del mismo en un volumen conocido de ácido sulfúrico valorado; valoración del exceso de ácido por medio de una solución valorada de hidróxido sódico o de potasio.

4.   Reactivos

Agua destilada o desmineralizada exenta de dióxido de carbono o de compuestos nitrogenados.

4.1. Ácido clorhídrico diluido: un volumen de HCl (d20 = 1,18 g /ml) por un volumen de agua.



4.2.  Ácido sulfúrico: 0,05 mol/l

right accolade Para la variante a).

4.3.  Solución de hidróxido sódico o de potasio sin carbonatos: 0,1 mol/l

4.4.  Ácido sulfúrico: 0,1 mol/l

right accolade Para la variante b) (véase nota 2).

4.5.  Solución de hidróxido sódico o de potasio sin carbonatos: 0,2 mol/l

4.6.  Ácido sulfúrico: 0,25 mol/l

right accolade Para la variante c) (véase nota 2).

4.7.  Solución de hidróxido sódico o de potasio sin carbonatos: 0,5 mol/l

4.8. Hidróxido sódico, sin amoníaco, que contenga aproximadamente el 30 % de NaOH (d20 = 1,33 g/ml)

4.9.   Soluciones indicadoras

4.9.1.   Indicador mixto

Solución A: disolver 1 g de rojo de metilo en 37 ml de solución de hidróxido sódico 0,1 mol/l y completar hasta 1 l con agua.

Solución B: disolver 1 g de azul de metileno en agua y completar hasta 1 l.

Mezclar un volumen de la solución A con dos volúmenes de la solución B.

Este indicador será violeta en solución ácida, gris en solución neutra y verde en solución alcalina. Utilizar 0,5 ml (10 gotas) de esta solución indicadora.

4.9.2.   Solución indicadora de rojo de metilo.

Disolver 0,1 g de rojo de metilo en 50 ml de etanol de 95 %, completar hasta 100 ml con agua y filtrar si fuese necesario. Se podrá utilizar este indicador (4 o 5 gotas) en lugar del anterior.

4.10. Piedra pómez en fragmentos, lavada con ácido clorhídrico y calcinada.

4.11. Sulfato de amonio para análisis.

5.   Equipo

5.1. Destilador consistente en un matraz de fondo redondo de capacidad apropiada unido a un refrigerador por medio de una columna fraccionadora provista de un balón de seguridad eficaz.

Nota 1

Los diferentes tipos de aparatos aprobados y aconsejados para efectuar esta determinación se reproducen, con todas las características de construcción, en las figuras 1, 2, 3 y 4.

5.2. Pipetas de precisión de 10, 20, 25, 50, 100 y 200 ml.

5.3. Matraz aforado de 500 ml.

5.4. Agitador rotatorio regulado de 35 a 40 revoluciones por minuto.

6.   Preparación de la muestra

Véase método 1.

7.   Método

7.1.   Preparación de la solución para el análisis

Efectuar con la muestra una prueba de solubilidad en agua, a temperatura ambiente y en la proporción del 2 % (P/V). Pesar a continuación, con aproximación de 1 mg, según las indicaciones del cuadro 1, una cantidad de 5, 7 o 10 g de la muestra preparada para el análisis e introducirla en un matraz aforado de 500 ml. Según sea el resultado de la prueba de solubilidad se procederá como sigue:

a) Productos completamente solubles en agua

Añadir al matraz la cantidad de agua necesaria para disolver la muestra; agitar y, después de que se haya disuelto por completo, enrasar y homogeneizar cuidadosamente.

b) Productos no completamente solubles en agua

Añadir al matraz 50 ml de agua y a continuación 20 ml de ácido clorhídrico (4.1). Agitar y dejar reposar hasta que cese el posible desprendimiento de dióxido de carbono. Añadir 400 ml de agua y agitar con el agitador rotatorio (5.4) durante una media hora. Enrasar con agua, homogeneizar y filtrar con un filtro seco en un recipiente seco.

7.2.   Análisis de la solución

Según la variante escogida, colocar en el recipiente donde se recoja el destilado la cantidad exactamente medida de solución valorada de ácido sulfúrico que se indica en el cuadro 1. Añadir la cantidad apropiada de la solución indicadora que se haya escogido (4.9.1 o 4.9.2) y, si fuese necesario, agua para conseguir un volumen mínimo de 50 ml. El extremo de la alargadera conectada a la salida del refrigerador deberá encontrarse por debajo de la superficie de la solución.

Extraer con una pipeta de precisión y según las modalidades del cuadro, una parte alícuota ( 19 ) de la solución nítida. Introducirla en el matraz de destilar. Añadir agua para conseguir un volumen total de aproximadamente 350 ml y algunos fragmentos de piedra pómez (4.10) para que la ebullición sea regular.

Montar el destilador. Tomando las precauciones necesarias para impedir cualquier pérdida de amoníaco, añadir al contenido del matraz de destilar 10 ml de solución concentrada de hidróxido sódico (4.8) o 20 ml de esta misma solución en el caso de se hubieren utilizado 20 ml de ácido clorhídrico (4.1) para la disolución de la muestra de análisis. Calentar progresivamente el matraz para evitar una ebullición demasiado violenta. Cuando haya comenzado la ebullición, destilar a razón de aproximadamente 100 ml cada diez a quince minutos; el volumen total de destilado deberá ser de unos 250 ml ( 20 ). Cuando ya no se tema ninguna pérdida de amoníaco, bajar el recipiente en el que se recoja el destilado de forma que el extremo de la alargadera del refrigerador se sitúe por encima de la superficie del líquido.

Comprobar, por medio de un reactivo apropiado, que el destilado que circula ya no contiene amoníaco. Lavar el extremo del refrigerador con un poco de agua y valorar el exceso de ácido con la solución valorada de hidróxido sódico o de potasio prescrita para la variante adoptada (véase nota 2).

Para la valoración por retroceso se podrán utilizar soluciones valoradas de concentraciones diferentes, a condición de que los volúmenes utilizados no sean superiores a 40-45 ml.

7.3.   Ensayo en blanco

Hacer un ensayo en blanco en las mismas condiciones y tenerlo en cuenta en el cálculo del resultado final.

7.4.   Ensayo de control

Antes de efectuar los análisis, será necesario asegurarse del buen funcionamiento de los aparatos y de la aplicación correcta de la técnica analítica, utilizando para ello una parte alícuota de una solución de sulfato de amonio recién preparada (4.11) que contenga la cantidad máxima de nitrógeno prescrita para la variante escogida.

8.   Expresión del resultado

Expresar el resultado analítico en porcentaje de nitrógeno amoniacal en el abono tal como éste se recibió para el análisis.

9.   Anexos

Teniendo en cuenta la nota 1 del apartado 5.1, equipo, remitirse a las figuras 1, 2, 3 y 4 para las características de montaje de los diferentes tipos de aparatos a los que se hace referencia en este documento.



Variante a

Contenido declarado del abono

(% N)

Muestra de ensayo

(g)

Disolución

(ml)

Alícuota de muestra que se destilará

(ml)

Expresión del resultado ()

[% N = (50 — A) F]

0-5

10

500

50

(50 — A) × 0,14

5-10

10

500

25

(50 — A) × 0,28

10-15

7

500

25

(50 — A) × 0,40

15-20

5

500

25

(50 — A) × 0,56

20-40

7

500

10

(50 — A) × 1,00

(1)   Para la fórmula de expresión del resultado:



Variante b

Contenido declarado del abono

(% N)

Muestra de ensayo

(g)

Disolución

(ml)

Alícuota de muestra que se destilará

(ml)

Expresión del resultado ()

[% N = (50 — A) F]

0-5

10

500

100

(50 — A) × 0,14

5-10

10

500

50

(50 — A) × 0,28

10-15

7

500

50

(50 — A) × 0,40

15-20

5

500

50

(50 — A) × 0,56

20-40

7

500

20

(50 — A) × 1,00

(1)   Para la fórmula de expresión del resultado:



Variante c

Contenido declarado del abono

(% N =)

Muestra de ensayo

(g)

Disolución

(ml)

Alícuota de muestra que se destilará

(ml)

Expresión del resultado ()

[% N = (35 — A) F]

0-5

10

500

200

(35 — A) × 0,175

5-10

10

500

100

(35 — A) × 0,350

10-15

7

500

100

(35 — A) × 0,500

15-20

5

500

100

(35 — A) × 0,700

20-40

5

500

50

(35 — A) × 1,400

(1)   Para la fórmula de expresión del resultado:

image

Figura 1

image

Figura 2

image

Figura 3

image

Figura 4

Explicación de las figuras 1, 2, 3 y 4

a) Matraz de 1 000 ml de fondo redondo y cuello largo con borde ensanchado.

b) Tubo de destilación con bola de seguridad unido al refrigerante por medio de una junta esférica (no 18) (dicha junta esférica podrá sustituirse por un tubo apropiado de goma).

c) Embudo con llave de teflón para introducir el hidróxido sódico (la llave podrá sustituirse por un tubo de goma provisto de una pinza Hofmann).

d) Refrigerante de bolas (seis) con junta esférica (no 18) a la entrada y conectado a la salida a una alargadera de vidrio por medio de un tubo de goma (cuando la conexión al tubo de destilación se realice por medio de un tapón de goma perforado, la junta esférica podrá sustituirse por un cuello ensanchado de goma del diámetro apropiado).

e) Recipiente de 500 ml para recoger el destilado.

El equipo estará hecho de vidrio de borosilicato.

a) Matraz de 1 000 ml de fondo redondo y cuello corto con una junta esférica (no 35).

b) Tubo de destilación con bola de seguridad, provisto de una junta esférica (no 35) a la entrada y una junta esférica (no 18) a la salida, y conectado por uno de sus lados a un embudo con llave de teflón, para la introducción del hidróxido sódico.

c) Refrigerante de bolas (seis) con junta esférica (no 18) a la entrada y conectada a la salida a una alargadera de vidrio por medio de un tubo de goma.

d) Recipiente de 500 ml para recoger el destilado.

El equipo estará hecho de vidrio de borosilicato.

a) Matraz de 750 o 1 000 ml de fondo redondo y cuello largo con borde ensanchado.

b) Tubo de destilación con bola de seguridad y junta esférica (no 18) a la salida.

c) Tubo acodado con junta esférica (no 18) a la entrada y extremo en bisel a la salida (la conexión al tubo de destilación podrá realizarse igualmente por medio de un tubo de goma en lugar de la junta esférica).

d) Refrigerante de bolas (seis) conectado a la salida a una alargadera de vidrio por medio de un tubo de goma.

e) Recipiente de 500 ml para recoger el destilado.

El equipo estará hecho de vidrio de borosilicato.

a) Matraz de 1 000 ml de fondo redondo y cuello largo con borde ensanchado.

b) Tubo de destilación con bola de seguridad y junta esférica (no 18) a la salida, y conectado por uno de sus lados a un embudo con llave de teflón, destinado a introducir el hidróxido sódico (en sustitución de la junta esférica, se podrá utilizar igualmente un tubo de goma apropiado; la llave podrá sustituirse por un tubo de goma provisto de una pinza Hofmann apropiada).

c) Refrigerante de bolas (seis) con junta esférica (no 18) a la entrada y conectado a la salida a una alargadera de vidrio por medio de un tubo de goma (cuando la conexión al tubo de alimentación se realice por medio de un tubo de goma, la junta esférica se sustituirá por un cuello ensanchado del diámetro apropiado).

d) Recipiente de 500 ml para recoger el destilado.

El equipo estará hecho de vidrio de borosilicato.

Método 2.2

Determinación del nitrógeno nítrico y amoniacal

Método 2.2.1

Determinación del nitrógeno nítrico y amoniacal según Ulsch

1.   Objeto

El presente documento define el procedimiento que deberá seguirse para la determinación del nitrógeno nítrico y amoniacal con reducción según Ulsch.

2.   Ámbito de aplicación

El presente método se aplicará a todos los abonos nitrogenados, incluidos los abonos compuestos en los que el nitrógeno se encuentre exclusivamente en forma nítrica o en forma amoniacal y nítrica.

3.   Principio

Reducción de los nitratos y de los nitritos a amoníaco con hierro metálico en un medio ácido. Desplazamiento del amoníaco formado por adición de un exceso de hidróxido sódico; destilación del amoníaco y determinación del mismo en un volumen conocido de solución de ácido sulfúrico valorado. Valoración del exceso de ácido sulfúrico por medio de una solución valorada de hidróxido sódico o de potasio.

4.   Reactivos

Agua destilada o desmineralizada, exenta de dióxido de carbono o de compuestos nitrogenados.

4.1. Ácido clorhídrico diluido: un volumen de HCl (d20 = 1,18 g/ml) por un volumen de agua.

4.2. Solución valorada de ácido sulfúrico: 0,5 mol/l

4.3. Solución valorada de hidróxido sódico o de potasio sin carbonatos: 0,1 mol/l

4.4. Solución de ácido sulfúrico que contenga aproximadamente el 30 % H2SO4 (P/V), sin amoníaco.

4.5. Hierro en polvo reducido con hidrógeno (la cantidad prescrita de hierro deberá poder reducir por lo menos 0,05 g de nitrógeno nítrico).

4.6. Solución de hidróxido sódico que contenga aproximadamente el 30 % NaOH (d20 = 1,33 g/ml), sin amoníaco.

4.7.   Soluciones indicadoras

4.7.1.   Indicador mixto.

Solución A: disolver 1 g de rojo de metilo en 37 ml de solución de hidróxido sódico 0,1 mol/l y completar hasta 1 l con agua.

Solución B: disolver 1 g de azul de metileno en agua y completar hasta 1 l con agua.

Mezclar un volumen de la solución A con dos volúmenes de la solución B.

Este indicador será violeta en solución ácida, gris en solución neutra y verde en solución alcalina, utilizar 0,5 ml (10 gotas) de esta solución indicadora.

4.7.2.   Solución indicadora de rojo de metilo.

Disolver 0,1 g de rojo de metilo en 50 ml de etanol de 95 %, completar hasta 100 ml con agua y filtrar si es necesario.

Se podrá utilizar este indicador (4 a 5 gotas) en lugar del anterior.

4.8. Piedra pómez en fragmentos, lavada con ácido clorhídrico y calcinada.

4.9. Nitrato sódico para análisis.

5.   Equipo

Véase método 2.1, «Determinación del nitrógeno amoniacal».

6.   Preparación de la muestra

Véase método 1, «Preparación de la muestra».

7.   Método

7.1.   Preparación de la solución para el análisis

Véase método 2.1, «Determinación del nitrógeno amoniacal».

7.2.   Análisis de la solución

Poner en el recipiente donde se recoja el destilado 50 ml medidos con exactitud de la solución de ácido sulfúrico valorado indicada en la variante a) del cuadro del método 2.1, y añadir después la cantidad apropiada de la solución indicadora elegida (4.7.1 o 4.7.2). El extremo de la alargadera conectado a la salida del refrigerador deberá encontrarse por debajo de la superficie del ácido valorado contenido en el recipiente donde se recoja el destilado.

Por medio de una pipeta de precisión extraer, según las indicaciones de la variante a) del cuadro del método 2.1, una parte alícuota de la solución nítida y ponerla en el matraz de destilar. Añadir 350 ml de agua, 20 ml de solución de ácido sulfúrico al 30 % (4.4), agitar y añadir 5 g de hierro reducido (4.5). Lavar el cuello del matraz por medio de una pipeta con varios ml de agua y colocar sobre el cuello del matraz un pequeño embudo de vidrio con vástago largo. Calentar al baño maría hirviendo durante una hora y lavar a continuación con varios ml de agua el vástago del embudo.

Tomando precauciones para impedir cualquier pérdida de amoníaco, añadir al contenido del matraz de destilar 50 ml de solución concentrada de hidróxido sódico (4.6), o 60 ml de la misma solución en el caso de que para disolver la muestra se hubieran utilizado 20 ml de HCl (1 + 1) (4.1). Montar el destilador. Destilar a continuación el amoníaco según las indicaciones del método 2.1.

7.3.   Ensayo en blanco

Hacer un ensayo en blanco (omitiendo la muestra) en las mismas condiciones y tenerlo en cuenta en el cálculo del resultado final.

7.4.   Ensayo de control

Antes de efectuar los análisis, será necesario asegurarse del buen funcionamiento del aparato y de la aplicación correcta de la técnica analítica, utilizando para ello una parte alícuota de una solución de nitrato sódico recién preparada (4.9) que contenga de 0,045 a 0,050 g de nitrógeno.

8.   Expresión del resultado

Expresar el resultado analítico en porcentaje de nitrógeno nítrico o de nitrógeno amoniacal y nítrico reunidos contenido en el abono tal como se recibió para el análisis.

Método 2.2.2

Determinación de nitrógeno nítrico y amoniacal según Arnd

1.   Objeto

El presente documento define el procedimiento que deberá seguirse para la determinación del nitrógeno nítrico y amoniacal con reducción según Arnd [modificado para las tres variantes a), b) y c)].

2.   Ámbito de aplicación

Véase método 2.2.1.

3.   Principio

Reducción de los nitratos y nitritos a amoníaco en una solución acuosa neutra por medio de una aleación metálica compuesta de 60 % de cobre (Cu) y de 40 % de magnesio (Mg) (aleación de Arnd), en presencia de cloruro de magnesio.

Destilación del amoníaco y determinación del mismo en un volumen conocido de solución de ácido sulfúrico valorado; valoración del exceso de ácido sulfúrico por medio de una solución valorada de hidróxido sódico o de potasio.

4.   Reactivos

Agua destilada o desmineralizada, exenta de dióxido de carbono o de compuestos nitrogenados.

4.1. Ácido clorhídrico diluido: un volumen de HCl (d20 = 1,18) por un volumen de agua.



4.2.  Solución valorada de ácido sulfúrico: 0,05 mol/l

right accolade Para la variante a).

4.3.  Solución valorada de hidróxido sódico o de potasio sin carbonatos: 0,1 mol/l

4.4.  Solución valorada de ácido sulfúrico: 0,2 mol/l

right accolade Para la variante b) (véase nota 2, método 2.1).

4.5.  Solución valorada de hidróxido sódico o de potasio sin carbonatos: 0,2 mol/l

4.6.  Solución valorada de ácido sulfúrico: 0,5 mol/l

right accolade Para la variante c) (véase nota 2, método 2.1).

4.7.  Solución valorada de hidróxido sódico o de potasio sin carbonatos: 0,5 mol/l

4.8. Solución de hidróxido sódico, aproximadamente 2 mol/l

4.9. Aleación de Arnd para análisis, granulometría inferior a 1,0 mm

4.10.   Solución de cloruro de magnesio al 20 %

Disolver 200 g de cloruro de magnesio (MgCl2 · 6H2O) en unos 600 o 700 ml de agua en un matraz de 1 l de fondo plano. Para impedir que se produzca espuma, añadir 15 g de sulfato de magnesio (MgSO4 · 7H2O).

Una vez disueltos, añadir 2 g de óxido de magnesio y algunos fragmentos de piedra pómez y concentrar la suspensión en 200 ml por ebullición eliminando así cualquier resto de amoníaco que pudiera estar presente en los reactivos. Enfriar, completar el volumen hasta 1 l y filtrar.

4.11.   Soluciones indicadoras

4.11.1.   Indicador mixto.

Solución A: disolver 1 g de rojo de metilo en 37 ml de solución de hidróxido sódico 0,1 mol/l y completar hasta 1 litro con agua.

Solución B: disolver 1 g de azul de metileno en agua y completar hasta 1 litro.

Mezclar un volumen de la solución A con dos volúmenes de la solución B.

Este indicador será violeta en solución ácida, gris en solución neutra y verde en solución alcalina, utilizar 0,5 ml (10 gotas) de esta solución indicadora.

4.11.2.   Solución indicadora de rojo de metilo.

Disolver 0,1 g de rojo de metilo en 50 ml de etanol de 95 %, completar hasta 100 ml con agua y filtrar si es necesario. Se podrá utilizar este indicador (4 a 5 gotas) en lugar del anterior.

4.11.3.   Solución indicadora de rojo Congo.

Disolver 3 g de rojo Congo en 1 l de agua caliente y filtrar, si es necesario, después de enfriado. Este indicador podrá utilizarse facultativamente, en lugar de los descritos anteriormente, en la neutralización de los extractos ácidos antes de la destilación, utilizando 0,5 ml por cada 100 ml de líquido que deba neutralizarse.

4.12. Piedra pómez en fragmentos, lavada con ácido clorhídrico y calcinada.

4.13. Nitrato sódico para análisis.

5.   Equipo

Véase método 2.1, «Determinación del nitrógeno amoniacal».

6.   Preparación de la muestra

Véase método 1.

7.   Método

7.1.   Preparación de la solución para el análisis

Véase método 2.1, «Determinación del nitrógeno amoniacal».

7.2.   Análisis de la solución

Según la variante elegida, poner en el recipiente donde se recoja el destilado la cantidad exactamente medida de solución valorada de ácido sulfúrico indicada en el cuadro 1 del método 2.1. Añadir la cantidad apropiada de la solución indicadora elegida (4.11.1 o 4.11.2) y, si fuese necesario, la cantidad de agua que se precise para obtener un volumen mínimo de 50 ml. El extremo de la alargadera conectada a la salida del refrigerante deberá encontrarse por debajo de la superficie de la solución.

Extraer con una pipeta de precisión, según las indicaciones del cuadro 1, una parte alícuota de solución nítida. Introducirla en el matraz de destilar.

Añadir agua para obtener un volumen total de aproximadamente 350 ml (véase nota 1), 10 g de la mezcla de Arnd (4.9), 50 ml de la solución de cloruro de magnesio (4.10) y algunos fragmentos de piedra pómez (4.12). Acoplar rápidamente el matraz al destilador. Calentar ligeramente durante unos treinta minutos. Luego aumentar la temperatura para destilar el amoníaco. Prolongar la destilación alrededor de una hora. Transcurrido ese tiempo, el residuo que haya en el matraz deberá haber tomado una consistencia de jarabe. Cuando haya terminado la destilación, valorar el excedente de ácido en el recipiente donde se recoja el destilado según las indicaciones del método 2.1.

Cuando la solución del abono sea ácida [adición de 20 ml de HCl (1 + 1) (4.1) para disolver la muestra], la parte alícuota tomada para el análisis se neutralizará de la siguiente forma: poner en el matraz de destilar que contenga la alícuota tomada 250 ml de agua aproximadamente y la cantidad que sea necesaria de uno de los indicadores (4.11.1, 4.11.2, 4.11.3). Agitar con cuidado.

Neutralizar empleando la solución 2 mol/l de hidróxido sódico (4.8) y acidificar de nuevo con una gota de HCl (1 + 1) (4.1). Proceder a continuación como se indica en el segundo párrafo del apartado 7.2.

7.3.   Ensayo en blanco

Efectuar un ensayo en blanco (omitiendo la muestra) en las mismas condiciones y tenerlo en cuenta en el cálculo del resultado final.

7.4.   Ensayo de control

Antes de efectuar el análisis, será necesario asegurarse del buen funcionamiento del aparato y de la aplicación correcta de la técnica analítica utilizando para ello una parte alícuota de una solución de nitrato sódico recién preparada (4.13) que contenga de 0,050 a 0,150 g de nitrógeno nítrico según la variante elegida.

8.   Expresión del resultado

Véase método 2.2.1.

Método 2.2.3

Determinación del nitrógeno nítrico y amoniacal según Devarda

1.   Objeto

El presente documento define el procedimiento que deberá seguirse para la determinación del nitrógeno nítrico y amoniacal con reducción según Devarda [modificado para las tres variantes a), b) y c)].

2.   Ámbito de aplicación

Véase método 2.2.1.

3.   Principio

Reducción de los nitratos y nitritos a amoníaco en una solución fuertemente alcalina por medio de una aleación metálica compuesta por un 45 % de aluminio (Al), un 5 % de zinc (Zn) y un 50 % de cobre (Cu) (aleación Devarda); destilación del amoníaco y determinación del mismo en un volumen conocido de ácido sulfúrico valorado; valoración del exceso de ácido sulfúrico por medio de una solución valorada de hidróxido sódico o de potasio.

4.   Reactivos

Agua destilada o desmineralizada, exenta de dióxido de carbono o de compuestos nitrogenados.

4.1. Ácido clorhídrico diluido: un volumen de HCl (d20 = 1,18) por un volumen de agua.



4.2.  Solución valorada de ácido sulfúrico: 0,05 mol/l

right accolade Para la variante a).

4.3.  Solución valorada de hidróxido sódico o de potasio sin carbonatos: 0,1 mol/l

4.4.  Solución valorada de ácido sulfúrico: 0,2 mol/l

right accolade Para la variante b) (véase nota 2, método 2.1).

4.5.  Solución valorada de hidróxido sódico o de potasio sin carbonatos: 0,2 mol/l

4.6.  Solución valorada de ácido sulfúrico: 0,25 mol/l

right accolade Para la variante c) (véase nota 2, método 2.1).

4.7.  Solución valorada de hidróxido sódico o de potasio sin carbonatos: 0,5 mol/l

4.8.   Aleación de Devarda para análisis

Granulometría: de 90 a 100 % inferior a 0,25 mm, de 50 a 75 % inferior a 0,075 mm.

Se aconseja envasarlo en frascos de 100 g como máximo.

4.9. Solución de hidróxido sódico, sin amoníaco, que contenga aproximadamente el 30 % de NaOH (d20 = 1,33 g/ml)

4.10.   Soluciones indicadoras

4.10.1.   Indicador mixto.

Solución A: disolver 1 g de rojo de metilo en 37 ml de solución de hidróxido sódico 0,1 mol/l y completar hasta 1 litro de agua.

Solución B: disolver 1 g de azul de metileno en agua y completar hasta 1 l.

Mezclar un volumen de la solución A con dos volúmenes de la solución B.

Este indicador será violeta en solución ácida, gris en solución neutra y verde en solución alcalina. Utilizar 0,5 ml (10 gotas) de esta solución indicadora.

4.10.2.   Solución indicadora de rojo de metilo.

Disolver 0,1 g de rojo de metilo en 50 ml de etanol de 95 %, completar hasta 100 ml con agua y filtrar si es necesario.

Se podrá utilizar este indicador (4 a 5 gotas) en lugar del anterior.

4.11. Etanol de 95-96 %

4.12. Nitrato sódico para análisis.

5.   Equipo

Véase método 2.1.

5.1. Destilador consistente en un matraz de fondo redondo de capacidad apropiada unido a un refrigerante por medio de una bola de seguridad eficaz y provisto, además, sobre el recipiente donde se recoge el destilado, de una botella lavagases para impedir posibles pérdidas de amoníaco.

El tipo de aparato aprobado para efectuar esta determinación se reproduce con todas las características de montaje en la figura 5.

5.2. Pipetas de precisión de 10, 20, 25, 50, 100 y 200 ml.

5.3. Matraz aforado de 500 ml.

5.4. Agitador rotatorio regulado de 35 a 40 revoluciones por minuto.

6.   Preparación de la muestra

Véase método 1.

7.   Método

7.1.   Preparación de la solución para el análisis

Véase método 2.1, «Determinación del nitrógeno amoniacal».

7.2.   Análisis de la solución

La cantidad de nitrógeno nítrico presente en la parte alícuota tomada para el análisis no deberá sobrepasar la cantidad máxima que resulta del cuadro 1.

Según la variante elegida, poner en el recipiente donde se recoja el destilado la cantidad exactamente medida de solución valorada de ácido sulfúrico indicada en el cuadro del método 2.1. Añadir la cantidad apropiada de la solución indicadora elegida (4.10.1 o 4.10.2) y, si fuese necesario, agua para obtener un volumen mínimo de 50 ml. El extremo de la alargadera conectada a la salida del refrigerante deberá encontrarse por debajo de la superficie de la solución. Llenar la botella lavagases de agua destilada.

Por medio de una pipeta de precisión tomar, según las indicaciones del cuadro 1 del método 2.1, una parte alícuota de la solución y ponerla en el matraz de destilar.

Añadir agua al matraz de destilar para obtener un volumen de 250-300 ml, 5 ml de etanol (4.11) y 4 g de la aleación Devarda (4.8) (véase nota 2).

Tomando las precauciones que sean necesarias para evitar cualquier pérdida de amoníaco, añadir al matraz 30 ml aproximadamente de solución de hidróxido sódico al 30 % (4.9) y, si fuera necesario, en el caso de solubilización ácida de la muestra, una cantidad suplementaria suficiente para neutralizar el ácido clorhídrico (4.1) presente en la parte alícuota tomada para el análisis. Acoplar el matraz de destilar al aparato y asegurarse de que las conexiones queden herméticas. Agitar el matraz con precaución para mezclar el contenido.

Calentar a fuego lento de forma que el desprendimiento de hidrógeno disminuya de manera sensible al cabo de una media hora y que el líquido empiece a hervir. Aumentar la llama para que se destilen un mínimo de 200 ml de líquido en unos treinta minutos (no sobrepasar los cuarenta y cinco minutos de destilación).

Una vez terminada la destilación se separará del aparato el recipiente donde se haya recogido el destilado y se lavarán cuidadosamente la alargadera y la botella lavagases, recogiendo el agua del lavado en el recipiente de valoración. Se valora a continuación el exceso de ácido según el método 2.1.

En presencia de sales cálcicas, tales como nitrato cálcico y nitrato amónico cálcico, será conveniente añadir, antes de la destilación y por cada gramo de abono presente en la parte alícuota, 0,700 g de fosfato sódico (Na2HPO4. 2H2O) para impedir la formación de Ca(OH)2.

7.3.   Ensayo en blanco

Hacer un ensayo en blanco (omitiendo la muestra) en las mismas condiciones y tenerlo en cuenta en el cálculo del resultado final.

7.4.   Ensayo de control

Antes de proceder a efectuar el análisis, será necesario asegurarse del buen funcionamiento del aparato y de la ejecución correcta de la técnica analítica, utilizando para ello una parte alícuota de una solución de nitrato sódico recién preparada (4.12) que contenga de 0,050 a 0,150 g de nitrógeno nítrico según la variante elegida.

8.   Expresión del resultado

Véase método 2.2.1.

image

Figura 5

Explicación de la figura 5

a) Matraz de 1 000 ml (750 ml) de fondo redondo y cuello largo con borde ensanchado.

b) Tubo de destilación con bola de seguridad y junta esférica no 18 a la salida.

c) Tubo acodado con junta esférica no 18 a la entrada y «extremo en bisel» a la salida (en lugar de la junta esférica podrá utilizarse un tubo de goma apropiado para conectar el tubo al refrigerante).

d) Refrigerante de bolas (seis) unido a la salida, por medio de un tubo de goma, a una alargadera de vidrio montada sobre un tapón que sostiene igualmente una botella lavagases.

e) Recipiente de 750 ml para recoger el destilado.

f) Botella lavagases para impedir las pérdidas de amoníaco.

El equipo estará hecho de vidrio de borosilicato.

Método 2.3

Determinación del nitrógeno total

Método 2.3.1

Determinación del nitrógeno total en cianamida cálcica sin nitrato

1.   Objeto

El presente documento define el procedimiento que deberá seguirse para la determinación del nitrógeno total en la cianamida cálcica sin nitrato.

2.   Ámbito de aplicación

El presente método se aplicará exclusivamente a la cianamida cálcica sin nitrato.

3.   Principio

Después del ataque Kjeldahl, el nitrógeno amoniacal formado será desplazado con hidróxido sódico, recogido y dosificado en una solución valorada de ácido sulfúrico.

4.   Reactivos

Agua destilada o desmineralizada, exenta de dióxido de carbono o de compuestos nitrogenados.

4.1. Ácido sulfúrico diluido (d20 = 1,54 g/ml): un volumen de ácido sulfúrico (d20 = 1,84 g/ml) por un volumen de agua.

4.2. Sulfato de potasio para análisis.

4.3. Óxido de cobre (CuO): 0,3 a 0,4 g por determinación o una cantidad equivalente de sulfato de cobre pentahidratado, de 0,95 a 1,25 g por determinación.

4.4. Solución de hidróxido sódico sin amoníaco, que contenga aproximadamente el 30 % NaOH (d20 = 1,33 g/ml).



4.5.  Solución valorada de ácido sulfúrico: 0,5 mol/l

right accolade Para la variante a) (véase método 2.1).

4.6.  Solución valorada de hidróxido sódico o de potasio sin carbonatos: 0,1 mol/l

4.7.  Solución valorada de ácido sulfúrico: 0,2 mol/l

right accolade Para la variante b) (véase nota 2, método 2.1).

4.8.  Solución valorada de hidróxido sódico o de potasio sin carbonatos: 0,2 mol/l

4.9.  Solución valorada de ácido sulfúrico: 0,25 mol/l

right accolade Para la variante c) (véase nota 2, método 2.1).

4.10.  Solución valorada de hidróxido sódico o de potasio sin carbonatos: 0,5 mol/l

4.11.   Soluciones indicadoras

4.11.1.   Indicador mixto.

Solución A: disolver 1 g de rojo de metilo en 37 ml de solución de hidróxido sódico 0,1 mol/l y completar hasta 1 l con agua.

Solución B: disolver 1 g de azul de metileno en agua y completar hasta 1 l.

Mezclar un volumen de la solución A con dos volúmenes de la solución B.

Este indicador será violeta en solución ácida, gris en solución neutra y verde en solución alcalina; se utilizarán 0,5 ml (10 gotas) de esta solución indicadora.

4.11.2.   Solución indicadora de rojo de metilo.

Disolver 0,1 g de rojo de metilo en 50 ml de etanol de 95 % y completar hasta 100 ml con agua; filtrar si es necesario. Se podrá utilizar este indicador (4 a 5 gotas) en lugar del anterior.

4.12. Piedra pómez en fragmentos, lavada con ácido clorhídrico y calcinada.

4.13. Tiocianato de potasio para análisis.

5.   Equipo

5.1. Destilador, véase método 2.1, «Determinación del nitrógeno amoniacal».

5.2. Matraz de ataque Kjeldahl de capacidad apropiada y cuello largo.

5.3. Pipetas de precisión de 50, 100 y 200 ml.

5.4. Matraz aforado de 250 ml.

6.   Preparación de la muestra

Véase método 1.

7.   Método

7.1.   Preparación de la solución para el análisis

Pesar, con precisión de 1 mg, una cantidad de muestra para el análisis de 1 g e introducirla en el matraz Kjeldahl. Añadir 50 ml de ácido sulfúrico diluido (4.1), 10 a 15 g de sulfato de potasio (4.2) y uno de los catalizadores (4.3). Calentar lentamente para eliminar el agua, mantener en ebullición moderada durante dos horas, dejar enfriar y diluir con 100 a 150 ml de agua. Enfriar de nuevo, trasvasar cuantitativamente la suspensión a un matraz aforado de 250 ml, enrasar con agua, agitar y filtrar con un filtro seco en un recipiente seco.

7.2.   Análisis de la solución

Extraer con una pipeta, según la variante elegida (véase método 2.1), una alícuota de 50, 100 o 200 ml de la solución así obtenida. Destilar el amoníaco de la forma que se ha descrito en el método 2.1, teniendo cuidado de añadir al matraz de destilar una cantidad suficiente de solución de NaOH (4.4) de manera que se obtenga un gran exceso.

7.3.   Ensayo en blanco

Hacer un ensayo en blanco (omitiendo la muestra) en las mismas condiciones y tenerlo en cuenta en el cálculo del resultado final.

7.4.   Ensayo de control

Antes de los análisis, será necesario asegurarse del buen funcionamiento del aparato y de la aplicación correcta de la técnica analítica, utilizando para ello una alícuota de una solución valorada de tiocianato de potasio para análisis (4.13) que corresponda más o menos a la concentración de nitrógeno de la muestra.

8.   Expresión del resultado

Expresar el resultado en porcentaje de nitrógeno (N) contenido en el abono tal como se recibió para el análisis.

Variante a): % N = (50 — A) × 0,7.

Variante b): % N = (50 — A) × 0,7.

Variante c): % N = (35 — A) × 0,875.

Método 2.3.2

Determinación del nitrógeno total en cianamida cálcica con nitratos

1.   Objeto

El presente documento define el procedimiento que deberá seguirse para la determinación del nitrógeno total en cianamida cálcica con nitratos.

2.   Ámbito de aplicación

El presente método se aplicará a la cianamida cálcica que contenga nitratos.

3.   Principio

La aplicación directa del ataque Kjeldahl no es posible en el caso de las cianamidas cálcicas que contienen nitratos. Por ello, el nitrógeno nítrico se reduce al estado de nitrógeno amoniacal con ayuda de hierro metálico y de cloruro de estaño antes del ataque Kjeldahl.

4.   Reactivos

Agua destilada o desmineralizada, exenta de dióxido de carbono o de compuestos nitrogenados.

4.1. Ácido sulfúrico (d20 = 1,84 g/ml).

4.2. Polvo de hierro reducido en hidrógeno.

4.3. Sulfato de potasio para análisis finamente pulverizado.



4.4.  Solución valorada de ácido sulfúrico: 0,05 mol/l

right accolade Para la variante a) (véase método 2.1).

4.5.  Solución valorada de hidróxido sódico o de potasio sin carbonatos: 0,1 mol/l

4.6.  Solución valorada de ácido sulfúrico: 0,2 mol/l

right accolade Para la variante b) (véase nota 2, método 2.1).

4.7.  Solución valorada de hidróxido sódico o de potasio sin carbonatos: 0,2 mol/l

4.8.  Solución valorada de ácido sulfúrico: 0,5 mol/l

right accolade Para la variante c) (véase nota 2, método 2.1).

4.9.  Solución valorada de hidróxido sódico o de potasio sin carbonatos: 0,5 mol/l

4.10.   Soluciones indicadoras

4.10.1.   Indicador mixto.

Solución A: disolver 1 g de rojo de metilo en 37 ml de solución de hidróxido sódico 0,1 mol/l y completar hasta 1 l con agua.

Solución B: disolver 1 g de azul de metileno en agua y completar hasta 1 l.

Mezclar un volumen de la solución A con dos volúmenes de la solución B.

Este indicador será violeta en solución ácida, gris en solución neutra y verde en solución alcalina. Utilizar 0,5 ml (10 gotas) de esta solución indicadora.

4.10.2.   Indicador de rojo de metilo.

Disolver 0,1 g de rojo de metilo en 50 ml de etanol de 95 %, completar hasta 100 ml con agua y filtrar si es necesario. Se podrá utilizar este indicador (4 o 5 gotas) en lugar del anterior.

4.11.   Solución de cloruro de estaño

Disolver 120 g de SnCl2 · 2H2O para análisis en 400 ml de ácido clorhídrico concentrado puro (d20 = 1,18 g/ml) y completar hasta 1 l con agua. La solución deberá estar completamente nítida y prepararse inmediatamente antes de su uso. Es indispensable comprobar el poder reductor del cloruro de estaño.

Disolver 0,5 g de SnCl2 · 2H2O en 2 ml de ácido clorhídrico concentrado puro (d20 = 1,18 g/ml) y completar hasta 50 ml con agua. Añadir a continuación 5 g de sal de Seignette para análisis (tartrato doble sódico y de potasio), y luego una cantidad suficiente de bicarbonato sódico para análisis a fin de que la solución sea alcalina al papel de tornasol.

Valorar con ayuda de una solución de iodo 0,05 mol/l en presencia de una solución de almidón como indicador.

1 ml de solución de iodo 0,05 mol/l corresponde a 0,01128 g de SnCl2 · 2H2O.

Por lo menos el 80 % del estaño total presente en la solución preparada deberá encontrarse en forma divalente. Para la valoración deberán utilizarse por lo menos 35 ml de solución de iodo 0,05 mol/l.

4.12. Solución de hidróxido sódico que contenga aproximadamente el 30 % de NaOH (d20 = 1,33 g/ml), sin amoníaco.

4.13.   Solución patrón nítrico-amoniacal

Pesar 2,5 g de nitrato de potasio para análisis y 10,16 g de sulfato de amonio para análisis y ponerlos en un matraz aforado con una precisión de 250 ml. Disolver con agua y completar hasta 250 ml. 1 ml de esta solución contiene 0,01 g de nitrógeno.

4.14. Piedra pómez en fragmentos, lavada con ácido clorhídrico y calcinada.

5.   Equipo

Véase método 2.3.1.

6.   Preparación de la muestra

Véase método 1.

7.   Método

7.1.   Preparación de la solución

Pesar, con precisión de 1 mg, una cantidad de muestra para el análisis de 1 g e introducirla en el matraz Kjeldahl. Añadir 0,5 g de polvo de hierro (4.2) y 50 ml de cloruro de estaño, agitar y dejar reposar durante media hora aproximadamente. Transcurridos entre 10 y 20 minutos del tiempo de reposo agitar de nuevo. Añadir a continuación 10 g de sulfato de potasio (4.3) y 30 ml de ácido sulfúrico (4.1). Hervir y continuar el proceso durante una hora a contar desde la aparición de humos blancos. Enfriar y diluir con 100 o 150 ml de agua. Trasvasar la suspensión a un matraz aforado de 250 ml, enfriar, completar el volumen con agua, agitar y filtrar con un filtro seco en un recipiente seco. En lugar de trasvasar a continuación la suspensión para aplicar las variantes a), b) o c) utilizadas en el método 2.1, el nitrógeno amoniacal de esta solución se podrá igualmente destilar directamente después de haber añadido un exceso suficiente de hidróxido sódico (4.12).

7.2.   Análisis de la solución

Extraer con una pipeta, según la variante a), b) o c) utilizada en el método 2.1, una parte alícuota de 50, 100 o 200 ml de la solución obtenida. Destilar el amoníaco según el procedimiento descrito en el método 2.1, teniendo cuidado de añadir al matraz de destilación un exceso suficiente de solución de hidróxido sódico (4.12).

7.3.   Ensayo en blanco

Hacer un ensayo en blanco (omitiendo la muestra) en las mismas condiciones y tenerlo en cuenta en el cálculo del resultado final.

7.4.   Ensayo de control

Antes de efectuar el análisis será necesario asegurarse del buen funcionamiento del aparato y de la aplicación correcta de la técnica analítica, utilizando alícuotas de la solución patrón que contengan cantidades de nitrato amoniacal y nítrico comparables a las cantidades de nitrógeno cianamídico y nítrico contenidas en cianamida cálcica con nitratos.

A tal efecto, poner en el matraz Kjeldahl 20 ml de la solución patrón (4.13).

Efectuar el análisis siguiendo la técnica indicada en los apartados 7.1 y 7.2.

8.   Expresión del resultado

El resultado del análisis deberá expresarse en porcentaje de nitrógeno total (N) presente en el abono tal como se recibió para el análisis.

Variante a): % N = (50 — A) × 0,7.

Variante b): % N = (50 — A) × 0,7.

Variante c): % N = (35 — A) × 0,875.

Método 2.3.3

Determinación del nitrógeno total en urea

1.   Objeto

El presente documento define el procedimiento que deberá seguirse para la determinación del nitrógeno total en urea.

2.   Ámbito de aplicación

El presente método se aplicará exclusivamente a los abonos de urea exenta de nitratos.

3.   Principio

La urea se transforma cuantitativamente en amoníaco por ebullición en presencia de ácido sulfúrico. El amoníaco así obtenido se destila en medio alcalino y el destilado se recoge en un exceso de solución valorada de ácido sulfúrico. El exceso de ácido se determina por medio de una solución valorada alcalina.

4.   Reactivos

Agua destilada o desmineralizada, exenta de dióxido de carbono o de compuestos nitrogenados.

4.1. Ácido sulfúrico concentrado (d20 = 1,84 g/ml).

4.2. Solución de hidróxido sódico, sin amoníaco, que contenga aproximadamente el 30 % NaOH (d20 = 1,33 g/ml).



4.3.  Solución valorada de ácido sulfúrico: 0,1 mol/l

right accolade Para la variante a) (método 2.1).

4.4.  Solución valorada de hidróxido sódico o de potasio sin carbonatos: 0,1 mol/l

4.5.  Solución valorada de ácido sulfúrico: 0,2 mol/l

right accolade Para la variante b) (véase nota 2, método 2.1).

4.6.  Solución valorada de hidróxido sódico o de potasio sin carbonatos: 0,2 mol/l

4.7.  Solución valorada de ácido sulfúrico: 0,5 mol/l

right accolade Para la variante c) (véase nota 2, método 2.1).

4.8.  Solución valorada de hidróxido sódico o de potasio sin carbonatos: 0,5 mol/l

4.9.   Solución indicadora

4.9.1.   Indicador mixto.

Solución A: disolver 1 g de rojo de metilo en 37 ml de solución de hidróxido sódico 0,1 mol/l y completar hasta 1 l con agua.

Solución B: disolver 1 g de azul de metileno en agua y completar hasta 1 l.

Mezclar un volumen de la solución A con dos volúmenes de la solución B.

Este indicador será violeta en solución ácida, gris en solución neutra y verde en solución alcalina; utilizar 0,5 ml (10 gotas) de esta solución indicadora.

4.9.2.   Solución indicadora de rojo de metilo.

Disolver 0,1 g de rojo de metilo en 50 ml de etanol de 95 %, completar hasta 100 ml con agua y filtrar si es necesario. Podrán utilizarse de 4 a 5 gotas de este indicador en lugar del anterior.

4.10. Piedra pómez en fragmentos, lavada con ácido clorhídrico y calcinada.

4.11. Urea para análisis.

5.   Equipo

5.1. Destilador, véase método 2.1, «Determinación del nitrógeno amoniacal».

5.2. Matraz aforado de 500 ml.

5.3. Pipetas de precisión de 25, 50 y 100 ml.

6.   Preparación de la muestra

Véase método 1.

7.   Método

7.1.   Preparación de la solución

Pesar, con precisión de 1 mg, 2,5 g de muestra. Introducir esta muestra de análisis en un matraz Kjeldahl de 300 ml y humedecerla con 20 ml de agua. Añadir, agitando al tiempo, 20 ml de ácido sulfúrico concentrado (4.1) y algunas perlas de vidrio para regular la ebullición. Para evitar salpicaduras, introducir en el cuello del matraz un embudo de vidrio con vástago largo y calentar, primero a fuego lento y luego a fuego más fuerte, hasta que se desprendan humos blancos (treinta a cuarenta minutos).

Después de enfriar, diluir con 100 a 150 ml de agua. Trasvasar el líquido a un matraz aforado de 500 ml despreciando el posible poso insoluble y dejar enfriar hasta la temperatura ambiente. Completar el volumen con agua, mezclar y, si fuese necesario, filtrar con un filtro seco en un recipiente seco.

7.2.   Análisis de la solución

Pipetear, según la variante elegida (véase método 2.1), una parte alícuota de 25, 50 o 100 ml de la solución obtenida y destilar al amoníaco según la forma de actuar descrita en el método 2.1, teniendo cuidado de añadir al matraz de destilación una cantidad suficiente de solución de NaOH (d20 = 1,33 g/ml) (4.2) para garantizar la presencia de un fuerte exceso.

7.3.   Ensayo en blanco

Efectuar un ensayo en blanco (omitiendo la muestra) en las mismas condiciones y tenerlo en cuenta en el cálculo del resultado final.

7.4.   Ensayo de control

Antes de efectuar el análisis será necesario asegurarse del buen funcionamiento del aparato y de la aplicación correcta de la técnica analítica, utilizando para ello una alícuota de una solución de urea para análisis recién preparada (4.11).

8.   Expresión del resultado

Expresar el resultado analítico en porcentaje de nitrógeno N contenido en el abono tal como se recibió para el análisis.

Variante a): % N = (50 — A) × 1,12.

Variante b): % N = (50 — A) × 1,12.

Variante c): % N = (35 — A) × 1,40.

Método 2.4

Determinación del nitrógeno cianamídico

1.   Objeto

El presente documento define el procedimiento que deberá seguirse para la determinación del nitrógeno cianamídico.

2.   Ámbito de aplicación

El presente documento se aplicará a la cianamida cálcica y a las mezclas de cianamida y nitrato cálcico.

3.   Principio

El nitrógeno cianamídico se precipitará en forma de complejo argéntico y se determinará en el precipitado por el método Kjeldahl.

4.   Reactivos

Agua destilada o completamente desmineralizada, exenta de dióxido de carbono o de compuestos nitrogenados.

4.1. Ácido acético glacial.

4.2. Hidróxido de amonio con un contenido de amoníaco de un 10 % en masa (d20 = 0,96 g/ml).

4.3.   Solución amoniacal de plata de Tollens

Mezclar 500 ml de solución de nitrato de plata (AgNO3) al 10 % en agua, con 500 ml de una solución de amoníaco al 10 % (4.2) en agua.

No exponer innecesariamente la solución a la luz, al calor o al aire. La solución se conservará normalmente durante años. En tanto que permanezca nítida el reactivo será de buena calidad.

4.4. Ácido sulfúrico concentrado (d20 = 1,84 g/ml).

4.5. Sulfato de potasio para análisis.

4.6. Óxido de cobre (CuO): de 0,3 a 0,4 g por determinación, o una cantidad equivalente de sulfato de cobre pentahidratado de 0,95 a 1,25 g por determinación.

4.7. Solución de hidróxido sódico, sin amoníaco, que contenga aproximadamente el 30 % de NaOH (d20 = 1,33 g/ml)

4.8. Solución valorada de ácido sulfúrico: 0,05 mol/l.

4.9. Solución valorada de hidróxido sódico o de potasio: 0,1 mol/l.

4.10.   Solución indicadora

4.10.1.   Indicador mixto.

Solución A: disolver 1 g de rojo de metilo en 37 ml de solución de hidróxido sódico 0,1 mol/l y completar hasta 1 l con agua.

Solución B: disolver 1 g de azul de metileno con agua y completar hasta 1 l.

Mezclar un volumen de la solución A con dos volúmenes de la solución B.

Este indicador será violeta en solución ácida, gris en solución neutra y verde en solución alcalina; utilizar 0,5 ml (10 gotas) de esta solución indicadora.

4.10.2.   Solución indicadora de rojo de metilo.

Disolver 0,1 g de rojo de metilo en 50 ml de etanol de 95 %, completar hasta 100 ml y filtrar si es necesario. Se podrá utilizar este indicador (4 a 5 gotas) en lugar del anterior.

4.11. Piedra pómez en fragmentos, lavada con ácido clorhídrico y calcinada.

4.12. Tiocianato de potasio para análisis.

5.   Equipo

5.1. Destilador, véase método 2.1, «Determinación del nitrógeno amoniacal».

5.2. Matraz aforado de 500 ml (por ejemplo: matraz de Stohmann).

5.3. Matraz Kjeldahl de una capacidad apropiada, con cuello largo (300 a 500 ml).

5.4. Pipeta de precisión de 50 ml.

5.5. Agitador rotatorio, regulado de 35 a 40 revoluciones por minuto.

6.   Preparación de la muestra

Véase método 1.

7.   Método

7.1.   Medida de seguridad

Al emplear cualquier solución amoniacal de plata, será absolutamente obligatorio llevar gafas de seguridad. Desde el momento en que se forme una fina membrana en la superficie del líquido, puede producirse una explosión al agitarlo y es necesario poner el máximo cuidado.

7.2.   Preparación de la solución para el análisis

Pesar, con precisión de 1 mg, una cantidad de muestra para el análisis de 2,5 g y ponerla en un mortero de vidrio pequeño; sirviéndose de la mano del mortero triturar tres veces con agua y después de cada trituración decantar el líquido en un matraz aforado de Stohmann de 500 ml. Lavar con un frasco lavador el mortero, la mano del mortero y el embudo, de forma que se haga pasar cuantitativamente la muestra al matraz aforado. Añadir agua al matraz hasta alcanzar un volumen aproximado de 400 ml, y 15 ml de ácido acético glacial (4.1). Agitar en un agitador rotatorio (5.5) durante dos horas a 30-40 revoluciones por minuto.

Completar con agua hasta los 500 ml, homogeneizar y filtrar con un filtro seco en un recipiente seco.

El análisis deberá realizarse lo más rápidamente posible.

7.3.   Análisis de la solución

Trasvasar con una pipeta 50 ml del filtrado a un vaso de precipitados de 250 ml.

Alcalinizar ligeramente con la solución de amoníaco (4.2) y añadir mientras se agita, 30 ml de solución amoniacal de nitrato de plata (4.3), caliente, para precipitar el complejo argéntico amarillo de la cianamida.

Dejar reposar hasta el día siguiente; filtrar y lavar el precipitado con agua fría hasta que desaparezca totalmente el amoníaco.

Poner el filtro y el precipitado, todavía húmedos, en un matraz Kjeldahl, añadir de 10 a 15 g de sulfato de potasio (4.5), el catalizador (4.6) en la dosis prevista y a continuación 50 ml de agua y 25 ml de ácido sulfúrico concentrado (4.4).

Calentar lentamente el matraz, agitando ligeramente, hasta que el contenido comience a hervir. Aumentar la llama y hacer hervir hasta que el contenido del matraz sea incoloro o ligeramente verde.

Mantener la ebullición durante una hora y dejar enfriar.

Trasvasar el líquido del matraz de ataque al matraz de destilación, añadir unos fragmentos de piedra pómez (4.11) y diluir con agua para conseguir un volumen total de unos 350 ml. Homogeneizar y enfriar.

Destilar el amoníaco según la variante a) del método 2.1, teniendo cuidado de añadir al matraz de destilación una cantidad suficiente de solución de NaOH (4.7) para garantizar la presencia de un exceso considerable.

7.4.   Ensayo en blanco

Hacer un ensayo en blanco (omitiendo la muestra) en las mismas condiciones y tenerlo en cuenta en el cálculo del resultado final.

7.5.   Ensayo de control

Antes de efectuar los análisis será necesario asegurarse del buen funcionamiento del aparato y de la aplicación correcta de la técnica analítica utilizando para ello una parte alícuota, correspondiente a 0,05 g de nitrógeno, de una solución valorada de tiocianato de potasio (4.12).

8.   Expresión del resultado

Expresar el resultado en porcentaje de nitrógeno cianamídico contenido en el abono tal como se recibió para el análisis.

% N = (50 - A) × 0,56

Método 2.5

Determinación fotométrica del biuret en la urea

1.   Objeto

El presente documento define el procedimiento que deberá seguirse para la determinación del biuret en la urea.

2.   Ámbito de aplicación

El presente método se aplicará exclusivamente a la urea.

3.   Principio

En medio alcalino, en presencia de tartrato sódico y de potasio, el biuret formará con el cobre divalente un compuesto cúprico violeta. La absorbancia de la solución se medirá a una longitud de onda aproximada de 546 nm (nanómetros).

4.   Reactivos

Agua destilada o desmineralizada, sin dióxido de carbono ni amoníaco; la calidad del agua es particularmente importante para esta determinación.

4.1. Metanol.

4.2. Solución de ácido sulfúrico: aproximadamente 0,1 mol/l

4.3. Solución de hidróxido sódico: aproximadamente 0,1 mol/l.

4.4.   Solución alcalina de tartrato sódico y de potasio.

En un matraz aforado de 1 l disolver 40 g de hidróxido sódico puro en 500 ml de agua y dejar enfriar. Añadir 50 g de tartrato sódico y potasio (NaKC4H4O6 · 4H2O). Enrasar. Dejar reposar veinticuatro horas antes de usarla.

4.5.   Solución de sulfato de cobre.

En un matraz aforado de 1 l disolver 15 g de sulfato de cobre (CuSO4 · 5H2O) en 500 ml de agua. Enrasar.

4.6.   Solución patrón de biuret recién preparada.

En un matraz aforado de 250 ml, disolver 0,250 g de biuret puro en agua. Enrasar. 1 ml de esta solución contiene 0,001 g de biuret ( 21 ).

4.7.   Solución indicadora.

En un matraz aforado de 100 ml, disolver 0,1 g de rojo de metilo en 50 ml de etanol de 95 % y enrasar con agua. Filtrar si fuese necesario.

5.   Equipo

5.1. Espectrómetro o fotómetro de filtros, con una sensibilidad y precisión tales que permitan medidas reproducibles al 0,5 % T como mínimo ( 22 ).

5.2. Matraces aforados de 100, 250 y 1 000 ml.

5.3. Pipetas de precisión aforadas de 2, 5, 10, 20, 25 y 50 ml o bureta de precisión de 25 ml, graduada cada 0,05 ml.

5.4. Vaso de precipitados de 250 ml.

6.   Preparación de la muestra

Véase método 1.

7.   Método

7.1.   Curva de calibración

Ayudándose con pipetas de precisión, transferir alícuotas de 0, 2, 5, 10, 20, 25 y 50 ml de la solución patrón de biuret (4.6) a una serie de siete matraces aforados de 100 ml. Completar con agua destilada hasta un volumen aproximado de 50 ml, añadir una gota de indicador (4.7) y neutralizar, si es necesario, con ácido sulfúrico 0,1 mol/l (4.2). Añadir mientras se agita 20 ml de la solución alcalina de tartrato (4.4) y 20 ml de la solución de sulfato de cobre (4.5).

Dichas soluciones deberán medirse con dos buretas de precisión o, mejor, con dos pipetas de precisión aforadas.

Enrasar con agua destilada, homogeneizar y dejar reposar durante 15 minutos a 30 (± 2) °C.

Efectuar las medidas fotométricas de cada solución de calibración a una longitud de onda aproximadamente de 546 nm, utilizando como líquido de referencia la solución 0 de biuret, y cubetas de un espesor apropiado.

Trazar a continuación la curva de calibración llevando a las ordenadas las absorbancias, y a las abcisas las cantidades de biuret expresadas en mg presentes en cada ensayo.

7.2.   Preparación de la solución para el análisis

Pesar, con precisión de 1 mg, 10 g de la muestra preparada. Disolverlos en un matraz aforado de 250 ml con aproximadamente 150 ml de agua y enrasar. Filtrar si es necesario.

Si la muestra para análisis contuviese más de 0,015 g de nitrógeno amoniacal, disolverla en un vaso de precipitados de 250 ml con 50 ml de metanol (4.1). Reducir por evaporación hasta un volumen de 25 ml. Trasvasar cuantitativamente a un matraz aforado de 250 ml. Enrasar con agua. Filtrar, si es preciso, a través de un filtro de pliegues seco, a un recipiente seco.

Eliminación de la opalescencia: si se hallasen presentes sustancias coloidales, que pudieran producir dificultades durante la filtración, en estos casos, la solución destinada al análisis se preparará de la siguiente forma: disolver los 10 g de muestra en 150 ml de agua, añadir 2 ml de ácido clorhídrico 1 mol/l y filtrar la solución a través de dos filtros planos muy finos en un matraz aforado de 250 ml. Lavar los filtros con agua y enrasar. Continuar la operación según el procedimiento descrito en el apartado 7.3, «Determinación».

7.3.   Determinación

Pipetear 25 o 50 ml de la solución indicada en el apartado 7.2 según el contenido en biuret e introducirlos en un matraz aforado de 100 ml. Neutralizar si es necesario con el reactivo 0,1 mol/l (4.2 o 4.3) según el caso, utilizando rojo de metilo como indicador y añadir, con la misma precisión que para establecer la curva de calibración, 20 ml de la solución alcalina de tartrato sódico y potasio (4.4) y 20 ml de la solución de sulfato de cobre (4.5). Enrasar, agitar cuidadosamente y dejar reposar quince minutos a 30 (± 2) °C.

Efectuar entonces las mediciones fotométricas y calcular la cantidad de biuret presente en la urea.

8.   Expresión del resultado

image

donde

Si C es la masa en miligramos de biuret leído en la curva de calibración

V el volumen de la alícuota

9.   Anexo

Si Jo es la intensidad de un haz de rayos monocromáticos (de una longitud de onda determinada) antes de su paso a través de un cuerpo transparente y J la intensidad de dicho haz después de pasar:

 transmitancia:

image

 opacidad:

image

 absorbancia:

image

 absorbancia por unidad de recorrido óptico:

image

 coeficiente de absorbancia específica:

image

donde

s

=

espesor de la capa en cm.

c

=

concentración en mg/l.

k

=

factor específico para cada sustancia según la ley de Lambert-Beer.

Método 2.6

Determinación de diferentes formas de nitrógeno presentes en la misma muestra

Método 2.6.1

Determinación de diferentes formas de nitrógeno presentes en abonos que contengan nitrógeno en forma nítrica, amoniacal, ureica y cianamídica

1.   Objeto

El presente documento define el procedimiento para la determinación de una forma cualquiera de nitrógeno en presencia de cualquier otra forma.

2.   Ámbito de aplicación

El presente método se aplicará a todos los abonos previstos en el anexo I que contengan nitrógeno en distintas formas.

3.   Principio

3.1.   Nitrógeno total soluble e insoluble

Según la lista de los abonos tipo (anexo I), esta determinación se limitará a los productos que contengan cianamida cálcica.

3.1.1. En ausencia de nitratos, la muestra de análisis se mineralizará por ataque Kjeldahl directo.

3.1.2. En presencia de nitratos, la muestra de análisis se mineralizará por ataque Kjeldahl después de reducirla por medio de hierro metálico y de cloruro de estaño (II).

En ambos casos se determinará el amoníaco según el método 2.1.

Si el análisis da un contenido en nitrógeno insoluble superior al 0,5 %, se da por supuesto que el abono contiene otras formas de nitrógeno insoluble no incluidas en la lista del anexo I.

3.2.   Formas de nitrógeno soluble

A partir de una misma solución de la muestra, se determinará sobre distintas partes alícuotas:

3.2.1. el nitrógeno total soluble:

3.2.1.1. en ausencia de nitratos, por ataque Kjeldahl directo,

3.2.1.2. en presencia de nitratos, por ataque Kjeldahl sobre una alícuota tomada de la solución después de reducirla según el método de Ulsch, determinándose el amoníaco, en ambos casos, según el método 2.1;

3.2.2. el nitrógeno total soluble, con excepción del nitrógeno nítrico, por ataque Kjeldahl después de haber eliminado en medio ácido el nitrógeno nítrico por medio de sulfato de hierro(II), determinándose el amoníaco según el método 2.1;

3.2.3. el nitrógeno nítrico por diferencia:

3.2.3.1. en ausencia de cianamida cálcica, entre 3.2.1.2 y 3.2.2 o entre el nitrógeno total soluble (3.2.1.2) y la suma del nitrógeno amoniacal y del nitrógeno ureico (3.2.4 + 3.2.5),

3.2.3.2. en presencia de cianamida cálcica, entre 3.2.1.2 y 3.2.2 o entre 3.2.1.2 y la suma de 3.2.4 + 3.2.5 + 3.2.6;

3.2.4. el nitrógeno amoniacal:

3.2.4.1. en presencia únicamente de nitrógeno amoniacal y amoniacal más nítrico, aplicando el método 1,

3.2.4.2. en presencia de nitrógeno ureico y/o cianamídico por destilación en frío después de una ligera alcalinización, recogiéndose el amoníaco en una solución valorada de ácido sulfúrico y determinándose según el método 2.1;

3.2.5. el nitrógeno ureico:

3.2.5.1. por transformación por medio de ureasa en amoníaco, que se determinará por medio de una solución valorada de ácido clorhídrico,

o

3.2.5.2. por gravimetría con xantidrol; el biuret coprecipitado podrá asimilarse al nitrógeno ureico sin cometer un gran error, pues su concentración en los abonos compuestos es, en general, muy baja,

o

3.2.5.3. por diferencia según el cuadro siguiente:



Caso

Nitrógeno nítrico

Nitrógeno amoniacal

Nitrógeno cianamídico

Diferencia

1

Ausente

Presente

Presente

(3.2.1.1) — (3.2.4.2 + 3.2.6)

2

Presente

Presente

Presente

(3.2.2) — (3.2.4.2 + 3.2.6)

3

Ausente

Presente

Ausente

(3.2.1.1) — (3.2.4.2)

4

Presente

Presente

Ausente

(3.2.2) — (3.2.4.2)

3.2.6. el nitrógeno cianamídico, por precipitación como compuesto argéntico, determinándose el nitrógeno en el precipitado por ataque Kjeldahl.

4.   Reactivos

Agua destilada o desmineralizada.

4.1. Sulfato de potasio para análisis.

4.2. Hierro en polvo, reducido con hidrógeno (la cantidad de hierro prescrita deberá poder reducir como mínimo 50 mg de nitrógeno nítrico).

4.3. Tiocianato de potasio para análisis.

4.4. Nitrato de potasio para análisis.

4.5. Sulfato de amonio para análisis.

4.6. Urea para análisis.

4.7. Ácido sulfúrico diluido 1:1 en volumen: un volumen de ácido sulfúrico (d20 = 1,84 g/ml) en un volumen de agua.

4.8. Solución valorada de ácido sulfúrico: 0,2 mol/l.

4.9. Solución concentrada de hidróxido sódico. Solución acuosa de aproximadamente el 30 % (p/v) NaOH, sin amoníaco.

4.10. Solución valorada de hidróxido sódico o de potasio 0,2 mol/l, sin carbonatos.

4.11.   Solución de cloruro de estaño (II).

Disolver 120 g de SnCl2. 2H2O en 400 ml de ácido clorhídrico concentrado (d20 = 1,18 g/ml) y completar hasta 1 l con agua. La solución deberá ser perfectamente clara y prepararse inmediatamente antes de su uso.

Será imprescindible comprobar el poder reductor del cloruro de estaño(II): para ello, disolver 0,5 g de SnCl2. 2H2O en 2 ml de ácido clorhídrico concentrado (d20 = 1,18 g/ml) y completar hasta 50 ml con agua. Añadir a continuación 5 g de tartrato sódico y potasio y a continuación una cantidad suficiente de bicarbonato sódico para análisis para que la solución sea alcalina al papel de tornasol.

Valorar con una solución de iodo 0,05 mol/l en presencia de una solución de almidón como indicador.

1 ml de solución de iodo 0,05 mol/l corresponde a 0,01128 g de SnCl2. 2H2O.

El 80 % como mínimo del estaño total presente en la solución preparada deberá encontrarse en forma divalente. Por tanto, para la valoración deberán utilizarse como mínimo 35 ml de solución de iodo 0,05 mol/l.

4.12. Ácido sulfúrico (d20 = 1,84 g/ml).

4.13. Ácido clorhídrico diluido: un volumen de ácido clorhídrico (d20 = 1,18 g/ml) más un volumen de agua.

4.14. Ácido acético: 96-100 %.

4.15. Ácido sulfúrico: solución que contenga aproximadamente el 30 % de H2SO4 (p/v).

4.16. Sulfato de hierro(II): (FeSO4. 7H2O) cristalino.

4.17. Solución valorada de ácido sulfúrico: 0,05 mol/l.

4.18. Alcohol octílico.

4.19. Solución saturada de carbonato de potasio.

4.20. Solución valorada de hidróxido sódico o de hidróxido de potasio 0,1 mol/l, sin carbonatos.

4.21. Solución saturada de hidróxido de bario.

4.22. Solución de carbonato sódico al 10 % (p/v).

4.23. Ácido clorhídrico: 2 mol/l.

4.24. Solución valorada de ácido clorhídrico: 0,1 mol/l.

4.25.   Solución de ureasa.

Poner en suspensión 0,5 g de ureasa activa en 100 ml de agua destilada. Con ácido clorhídrico 0,1 mol/l (4.24), ajustar el pH a 5,4 medido con un pH-metro.

4.26.   Xantidrol.

Solución al 5 % en etanol o metanol (4.31) (no utilizar productos que den una fuerte proporción de materias insolubles). La solución podrá conservarse tres meses en un frasco bien tapado protegido de la luz.

4.27. Óxido de cobre (CuO): 0,3 a 0,4 g por determinación o una cantidad equivalente de sulfato de cobre pentahidratado de 0,95 a 1,25 g por determinación.

4.28. Piedra pómez en fragmentos, lavada con ácido clorhídrico y calcinada.

4.29.   Soluciones indicadoras.

4.29.1.   Solución A: disolver 1 g de rojo de metilo en 37 ml de solución de hidróxido sódico 0,1 mol/l y completar hasta 1 l con agua.

Solución B: disolver 1 g de azul de metileno en agua y completar hasta 1 l.

Mezclar un volumen de la solución A con dos volúmenes de la solución B.

Este indicador será violeta en solución ácida, gris en solución neutra y verde en solución alcalina; utilizar 0,5 g (10 gotas) de esta solución indicadora.

4.29.2.   Solución indicadora de rojo de metilo.

Disolver 0,1 g de rojo de metilo en 50 ml de etanol de 95 %, completar hasta 100 ml con agua y filtrar si es necesario. Se podrá utilizar este indicador (4 a 5 gotas) en lugar del anterior.

4.30.   Papeles indicadores.

Tornasol, azul de bromotimol (u otros papeles sensibles a pH entre 6 y 8).

4.31. Etanol o metanol: solución al 95 %.

5.   Equipo

5.1.   Destilador.

Véase método 2.1.

5.2.   Aparato para la determinación del nitrógeno amoniacal según la técnica analítica 7.2.5.3 (véase figura 6).

El aparato estará constituido por un recipiente cilíndrico de forma especial, provisto de un cuello lateral obturable, de un tubo de unión con bola de seguridad y de un tubo perpendicular para la entrada del aire. Los tubos podrán ir acoplados al recipiente por medio de un simple tapón de caucho perforado. Será importante dar una forma conveniente a la parte final de los tubos de llegada de aire, pues las burbujas gaseosas deberán estar perfectamente repartidas en las soluciones contenidas en el recipiente y el erlenmeyer. El mejor dispositivo será el que esté constituido por pequeñas piezas fungiformes de un diámetro exterior de 20 mm, provistas en su extremo de 6 orificios de 1 mm de diámetro.

5.3.   Aparato para la valoración del nitrógeno ureico según la técnica de la ureasa (7.2.6.1).

Está formado por un erlenmeyer de 300 ml, provisto de un embudo con llave y un pequeño absorbedor (véase figura 7).

5.4. Agitador mecánico rotatorio, regulado de 35 a 40 revoluciones por minuto.

5.5. pH-metro.

5.6. Horno regulable.

5.7.   Material de vidrio:

pipetas de precisión de 2, 5, 10, 20, 25, 50 y 100 ml,

matraces Kjeldahl de cuello largo, de 300 y 500 ml,

matraces aforados de 100, 250, 500 y 1 000 ml,

crisoles de vidrio de placa filtrante: diámetro de los poros de 5 a 15 μm,

morteros.

6.   Preparación de la muestra

Véase método 1.

7.   Técnica analítica

7.1.   Nitrógeno total soluble e insoluble

7.1.1.   En ausencia de nitrato

7.1.1.1.   Ataque

Pesar, con precisión de 1 mg, una cantidad de muestra que contenga como máximo 100 mg de nitrógeno. Introducirla en el matraz del destilador (5.1). Añadir de 10 a 15 g de sulfato de potasio (4.1), el catalizador (4.27) y algunos fragmentos de piedra pómez (4.28). Añadir a continuación 50 ml de ácido sulfúrico diluido (4.7) y homogeneizar bien. Calentar primero moderadamente removiendo de vez en cuando hasta que deje de formarse espuma. Calentar a continuación de modo que se obtenga una ebullición regular del líquido y mantenerlo así durante una hora después de que la solución se haya puesto clara, evitando con agitaciones periódicas que partículas de materia orgánica se adhieran a las paredes del matraz. Dejar enfriar. Añadir con prudencia, mientras se agita, unos 350 ml de agua. Agitar de nuevo para que la disolución sea lo más completa posible. Dejar enfriar y conectar el matraz al destilador (5.1).

7.1.1.2.   Destilación del amoníaco

Sirviéndose de una pipeta, poner en el vaso donde se recoja el destilado 50 ml de solución valorada de ácido sulfúrico 0,1 mol/l (4.8). Añadir el indicador (4.29.1 o 4.29.2). Asegurarse de que el extremo del refrigerante se encuentre por lo menos 1 cm por debajo del nivel de la solución.

Tomando las precauciones necesarias para evitar cualquier pérdida de amoníaco, añadir con prudencia al matraz de destilación una cantidad de solución concentrada de hidróxido sódico (4.9) suficiente para alcalinizar fuertemente el líquido (en general bastarán 120 ml; podrá efectuarse un control añadiendo algunas gotas de fenolftaleína. Al final de la destilación la solución del matraz deberá ser todavía fuertemente alcalina). Regular el calentamiento del matraz para que destile aproximadamente 150 ml de líquido en media hora. Comprobar con el papel de tornasol (4.30) que la destilación se haya completado. Si no fuera así, destilar 50 ml más de líquido y repetir el control hasta que el destilado suplementario dé una reacción neutra al papel de tornasol (4.30). Bajar entonces el vaso receptor, destilar algunos ml más de líquido y enjuagar el extremo del refrigerante. Valorar el exceso de ácido por medio de una solución valorada de hidróxido sódico o de potasio 0,2 mol/l (4.10) hasta que el indicador cambie de color.

7.1.1.3.   Ensayo en blanco

Hacer un ensayo en blanco (omitiendo la muestra) en las mismas condiciones y tenerlo en cuenta en el cálculo del resultado final.

7.1.1.4.   Expresión del resultado

image

donde

a

=

ml de solución valorada de hidróxido sódico o de potasio 0,2 mol/l, utilizados para el ensayo en blanco, efectuada transfiriendo al vaso receptor del aparato (5.1) 50 ml de solución valorada de ácido sulfúrico 0,1 mol/l (4.8),

A

=

ml de solución valorada de hidróxido sódico o de potasio 0,2 mol/l, utilizados para el análisis,

M

=

masa en gramos de la muestra analizada.

7.1.2.   En presencia de nitratos

7.1.2.1.   Muestra de análisis

Pesar, con precisión de 1 mg, una cantidad de muestra que no contenga más de 40 mg de nitrógeno nítrico.

7.1.2.2.   Reducción de los nitratos

Diluir la cantidad de muestra pesada en un mortero pequeño con 50 ml de agua. Trasvasar con el mínimo posible de agua destilada a un matraz Kjeldahl de 500 ml. Añadir 5 g de hierro reducido (4.2) y 50 ml de solución de cloruro de estaño(II) (4.11). Agitar y dejar reposar media hora. Durante el reposo, agitar de nuevo a los diez y veinte minutos.

7.1.2.3.   Ataque Kjeldahl

Añadir 30 ml de ácido sulfúrico (4.12), 5 g de sulfato de potasio (4.1), la cantidad prescrita de catalizador (4.27) y algunos fragmentos de piedra pómez (4.28). Calentar lentamente el matraz ligeramente inclinado. Aumentar poco a poco la temperatura de calentamiento y agitar frecuentemente la solución para que el posible sedimento vuelva a estar en suspensión. El líquido se oscurecerá y luego se aclarará, formándose una suspensión amarillo-verdosa de sulfato de hierro anhidro. Continuar el calentamiento durante una hora después de que se haya obtenido una solución clara, manteniendo una ligera ebullición. Dejar enfriar. Diluir con precaución con un poco de agua y añadir poco a poco otros 100 ml de agua. Agitar y trasvasar el contenido del matraz a un matraz aforado de 500 ml. Enrasar con agua. Homogeneizar. Filtrar con filtro seco en un recipiente seco.

7.1.2.4.   Análisis de solución

Trasvasar con una pipeta de precisión una parte alícuota de la solución que contenga como máximo 100 mg de nitrógeno al matraz del destilador (5.1). Diluir hasta 350 ml con agua destilada, añadir algunos fragmentos de piedra pómez (4.28), conectar el matraz al destilador y continuar la determinación como se describe en el apartado 7.1.1.2.

7.1.2.5.   Ensayo en blanco

Véase el apartado 7.1.1.3.

7.1.2.6.   Expresión del resultado

image

donde

a

=

ml de solución valorada de hidróxido sódico 0,2 mol/l utilizados para el ensayo en blanco, efectuado transfiriendo al vaso receptor del destilador (5.1) 50 ml de solución valorada de ácido sulfúrico 0,1 mol/l (4.8),

A

=

ml de solución valorada de hidróxido sódico o de potasio 0,2 mol/l utilizados para el análisis,

M

=

masa expresada en gramos de la muestra presente en la parte alícuota extraída conforme al apartado 7.1.2.4.

7.2.   Formas de nitrógeno soluble

7.2.1.   Preparación de la solución para el análisis

Pesar, con precisión de 1 mg, 10 g de muestra e introducirla en un matraz aforado de 500 ml.

7.2.1.1.   Abonos que no contengan nitrógeno cianamídico

Añadir al matraz 50 ml de agua y a continuación 20 ml de ácido clorhídrico diluido (4.13). Agitar y dejar reposar hasta que cese el posible desprendimiento de dióxido de carbono. Añadir a continuación 400 ml de agua y agitar durante media hora con el agitador mecánico rotatorio (5.4). Enrasar con agua, homogeneizar y filtrar con filtro seco en un recipiente seco.

7.2.1.2.   Abonos que contengan nitrógeno cianamídico

Añadir al matraz 400 ml de agua y algunas gotas de rojo de metilo (4.29.2). Si fuera necesario, acidificar la solución con ácido acético (4.14). Añadir 15 ml de ácido acético (4.14). Agitar con el agitador rotatorio durante dos horas (5.4). Si fuese necesario, reacidificar la solución en el transcurso de la operación con ácido acético (4.14). Enrasar con agua, homogeneizar, filtrar inmediatamente con un filtro seco en un recipiente seco y proceder sin demora a efectuar la determinación del nitrógeno cianamídico.

En ambos casos, determinar las distintas formas solubles de nitrógeno el mismo día en que se haga la solución, comenzando por el nitrógeno cianamídico y el nitrógeno ureico si estuvieren presentes.

7.2.2.   Nitrógeno total soluble

7.2.2.1.   En ausencia de nitratos

Pipetear a un matraz Kjeldahl de 300 ml una alícuota del filtrado (7.2.1.1 o 7.2.1.2.) que contenga como máximo 100 mg de nitrógeno. Añadir 15 ml de ácido sulfúrico concentrado (4.12), 0,4 g de óxido de cobre o 1,25 g de sulfato de cobre (4.27), y algunos fragmentos de piedra pómez (4.28). Calentar primero moderadamente para iniciar el ataque y a continuación más vivamente hasta que el líquido se vuelva incoloro o ligeramente verdoso y aparezcan claramente humos blancos. Después de enfriada, trasvasar la solución al matraz de destilación, diluir hasta 500 ml con agua y añadir algunos fragmentos de piedra pómez (4.28). Conectar el matraz al destilador (5.1) y continuar la determinación como se describe en el apartado 7.1.1.2.

7.2.2.2.   En presencia de nitratos

Pipetear a un erlenmeyer de 500 ml una alícuota del filtrado (7.2.1.1 o 7.2.1.2) que no contenga más de 40 g de nitrógeno (en esta fase de análisis, la cantidad total de nitrógeno presente en la solución no tiene importancia). Añadir 10 ml de ácido sulfúrico al 30 % (4.15), 5 g de hierro reducido (4.2) y cubrir inmediatamente el erlenmeyer con un vidrio de reloj. Calentar ligeramente hasta que la reacción sea viva pero no tumultuosa. En ese momento detener el calentamiento y dejar reposar un mínimo de tres horas a temperatura ambiente. Con agua, trasvasar el líquido a un matraz aforado de 250 ml despreciando el hierro no disuelto. Enrasar con agua. Homogeneizar bien. Con una pipeta poner en un matraz Kjeldahl de 300 ml una alícuota que contenga como máximo 100 mg de nitrógeno. Añadir 15 ml de ácido sulfúrico concentrado (4.12), 0,4 g de óxido de cobre o 1,25 g de sulfato de cobre (4.27), y algunos fragmentos de piedra pómez (4.28). Calentar primero moderadamente para iniciar el ataque y a continuación más vivamente hasta que el líquido se vuelva incoloro o ligeramente verdoso y aparezcan claramente humos blancos. Después de enfriada, trasvasar la solución al matraz de destilación, diluir hasta 500 ml con agua y añadir algunos fragmentos de piedra pómez (4.28). Conectar el matraz al destilador (5.1) y continuar la determinación como se describe en el apartado 7.1.1.2.

7.2.2.3.   Ensayo en blanco

Véase apartado 7.1.1.3.

7.2.2.4.   Expresión del resultado

image

donde

a

=

ml de solución valorada de hidróxido sódico o de potasio 0,2 mol/l utilizados para el ensayo en blanco, efectuado poniendo en el vaso receptor del destilador (5.1) 50 ml de solución valorada de ácido sulfúrico 0,2 mol/l (4.8),

A

=

ml de solución valorada de hidróxido sódico o de potasio 0,2 mol/l utilizados para el análisis,

M

=

masa expresada en gramos de la muestra presente en la parte alícuota extraída conforme a los apartados 7.2.2.1 o 7.2.2.2.

7.2.3.   Nitrógeno total soluble excluido el nitrógeno nítrico

Con una pipeta de precisión, transferir a un matraz Kjeldahl de 300 ml una alícuota del filtrado (7.2.1.1 o 7.2.1.2) que no contenga más de 50 mg de nitrógeno para determinar. Diluir hasta 100 ml con agua, añadir 5 g de sulfato de hierro(II) (4.16), 20 ml de ácido sulfúrico concentrado (4.12) y algunos fragmentos de piedra pómez (4.28). Calentar moderadamente y a continuación aumentar el calor hasta que aparezcan humos blancos. Continuar el ataque durante quince minutos. Detener el calentamiento, introducir óxido de cobre (4.27) como catalizador y mantener la solución a la temperatura necesaria para que sigan desprendiéndose humos blancos durante quince minutos. Después de enfriado, trasvasar el contenido del matraz Kjeldahl al matraz del destilador (5.1). Diluir hasta 500 ml con agua y añadir algunos fragmentos de piedra pómez (4.28). Acoplar el matraz al destilador y continuar la valoración como se describe en el apartado 7.1.1.2.

7.2.3.1.   Ensayo en blanco

Véase apartado 7.1.1.3.

7.2.3.2.   Expresión del resultado

image

donde

a

=

ml de solución valorada de hidróxido sódico o de potasio 0,2 mol/l utilizados para el ensayo en blanco, efectuado poniendo en el vaso receptor del destilador (5.1) 50 ml de la solución valorada de ácido sulfúrico 0,1 mol/l (4.8),

A

=

ml de la solución valorada de hidróxido sódico o de potasio 0,2 mol/l utilizados para el análisis,

M

=

masa expresada en gramos de la muestra presente en la alícuota tomada para la determinación.

7.2.4.   Nitrógeno nítrico

7.2.4.1.   En ausencia de cianamida cálcica

Se obtendrá por la diferencia entre los resultados obtenidos en los apartados 7.2.2.4 y 7.2.3.2 y/o entre el resultado obtenido en el apartado 7.2.2.4 y la suma de los resultados obtenidos en los apartados (7.2.5.2 ó 7.2.5.5) y (7.2.6.3 ó 7.2.6.5 ó 7.2.6.6).

7.2.4.2.   En presencia de cianamida cálcica

Se obtendrá por la diferencia entre los resultados obtenidos en los apartados 7.2.2.4 y 7.2.3.2 y entre el resultado obtenido en el apartado 7.2.2.4 y la suma de los resultados obtenidos en los apartados (7.2.5.5), (7.2.6.3 ó 7.2.6.5 ó 7.2.6.6) y (7.2.7).

7.2.5.   Nitrógeno amoniacal

7.2.5.1.   En presencia únicamente de nitrógeno amoniacal o de nitrógeno amoniacal más nitrógeno nítrico.

Pipetear en el matraz del destilador (5.1) una alícuota del filtrado (7.2.1.1) que contenga como máximo 100 mg de nitrógeno amoniacal. Añadir agua para obtener un volumen total aproximado de 350 ml y algunos fragmentos de piedra pómez (4.28) para facilitar la ebullición. Acoplar el matraz al destilador, añadir 20 ml de solución de hidróxido sódico (4.9) y destilar como se describe en el apartado 7.1.1.2.

7.2.5.2.   Expresión del resultado

image

donde

a

=

ml de solución valorada de hidróxido sódico o de potasio 0,2 mol/l utilizados para el ensayo en blanco, efectuado transfiriendo al vaso receptor del destilador (5.1) 50 ml de solución valorada de ácido sulfúrico 0,1 mol/l (4.8),

A

=

ml de solución valorada de hidróxido sódico o de potasio 0,2 mol/l utilizados para el análisis,

M

=

masa expresada en gramos de la muestra presente en la parte alícuota tomada para la determinación.

7.2.5.3.   En presencia de nitrógeno ureico y/o cianamídico

Con una pipeta, poner en el matraz bien seco del aparato (5.2) una alícuota del filtrado (7.2.1.1 ó 7.2.1.2) que contenga como máximo 20 mg de nitrógeno amoniacal. Montar a continuación el destilador. Con una pipeta, poner en el erlenmeyer de 300 ml 50 ml de una solución valorada de ácido sulfúrico 0,1 mol/l (4.17) y suficiente agua destilada para que el nivel del líquido se sitúe unos 5 cm por encima de la boca del tubo de llegada. Introducir, por el cuello lateral del recipiente de desprendimiento, agua destilada de manera que se alcance un volumen aproximado de 50 ml. Para evitar la formación de espuma durante el paso de la corriente de aire, añadir algunas gotas de alcohol octílico (4.18). Alcalinizar con 50 ml de solución saturada de carbonato de potasio (4.19) y comenzar inmediatamente a expulsar de la suspensión fría el amoníaco liberado. La fuerte corriente de aire necesaria para ello (caudal de 3 l/min aproximadamente) se purificará previamente haciéndola pasar por frascos de lavado que contengan ácido sulfúrico diluido e hidróxido sódico diluido. En lugar de utilizar aire a presión se podrá también operar haciendo el vacío, por medio de una bomba, a condición de que la conexión entre el recipiente que sirva para recoger el amoníaco y el tubo de introducción sea lo suficientemente hermética. Normalmente, la eliminación del amoníaco se habrá completado en tres horas. No obstante, convendrá asegurarse de ello cambiando el vaso receptor. Una vez terminada la operación, retirar dicho vaso del destilador, enjuagar el extremo del tubo de llegada y las paredes del vaso con un poco de agua destilada. Valorar el exceso de ácido con una solución valorada de hidróxido sódico 0,1 mol/l (4.20) hasta que indicador vire al gris (4.29.1).

7.2.5.4.   Ensayo en blanco

Véase apartado 7.1.1.3.

7.2.5.5.   Expresión del resultado

image

donde

a

=

ml de solución valorada de hidróxido sódico o de potasio 0,1 mol/l utilizados para el ensayo en blanco, efectuado transfiriendo al erlenmeyer del aparato (5.2) 50 ml de la solución valorada de ácido sulfúrico 0,05 mol/l (4.17),

A

=

ml de solución valorada de hidróxido sódico o de potasio 0,1 mol/l utilizados para el análisis,

M

=

peso expresado en gramos de la muestra presente en la alícuota tomada para el análisis.

7.2.6.   Nitrógeno ureico

7.2.6.1.   Método de la ureasa

Con una pipeta, poner en un matraz aforado de 50 ml una alícuota del filtrado (7.2.1.1 ó 7.2.1.2) que no contenga más de 250 mg de nitrógeno ureico. Para precipitar los fosfatos, añadir solución saturada de hidróxido de bario (4.21) hasta que deje de producirse precipitado. Eliminar a continuación el exceso de iones de bario y de calcio que pudiera haber disueltos con ayuda de la solución de carbonato sódico al 10 % (4.22).

Dejar que se deposite y comprobar si la precipitación es total. Enrasar, homogeneizar y filtrar a través de un filtro plegado. Pipetear 50 ml del filtrado y ponerlos en el erlenmeyer de 300 ml del aparato (5.3). Acidificar por medio de ácido clorhídrico 2 mol/l (4.23) hasta un pH de 3,0 medido con el pH-metro (5.5). Aumentar a continuación el pH a 5,4 con ayuda de hidróxido sódico 0,1 mol/l (4.20).

Para evitar las pérdidas de amoníaco durante la descomposición por la ureasa, cerrar el erlenmeyer con un tapón provisto de un embudo con llave y de una pequeña botella lavagases que contendrá exactamente 2 ml de solución valorada de ácido clorhídrico 0,1 mol/l (4.24). Introducir por el embudo 20 ml de solución de ureasa (4.25) y dejar reposar durante una hora a 20-25 °C. Con una pipeta de precisión introducir a continuación 25 ml de solución valorada de ácido clorhídrico 0,1 mol/l (4.24) en el embudo, dejarla caer en la solución y enjuagar a continuación con un poco de agua. Transferir el contenido del recipiente protector a la solución contenida en el erlenmeyer. Valorar por retroceso el exceso de ácido con la solución valorada de hidróxido sódico 0,1 mol/l (4.20) hasta la obtención de un pH de 5,4 medido con el pH-metro (5.5).

7.2.6.2.   Ensayo en blanco

Véase apartado 7.1.1.3.

7.2.6.3.   Expresión del resultado

image

donde

a

=

ml de solución valorada de hidróxido sódico o de potasio 0,1 mol/l utilizados para el ensayo en blanco, efectuado exactamente en las mismas condiciones que el análisis,

A

=

ml de solución valorada de hidróxido sódico o de potasio 0,1 mol/l utilizados para el análisis,

M

=

masa expresada en gramos de la muestra presente en la alícuota tomada para el análisis.

(1) Después de la precipitación de las soluciones de hidróxido de bario y de carbonato sódico, enrasar, filtrar y neutralizar lo más rápidamente posible.

(2) El control de la valoración podrá efectuarse igualmente por medio del indicador (4.29.2), pero entonces el punto de viraje resultará más difícil de observar.

7.2.6.4.   Método gravimétrico con xantidrol

Con una pipeta de precisión, poner en un vaso de precipitados de 250 ml una alícuota del filtrado (7.2.1.1 ó 7.2.1.2) que no contenga más de 20 mg de urea. Añadir 40 ml de ácido acético (4.14). Agitar con una varilla de vidrio durante un minuto. Dejar que se deposite el posible precipitado durante cinco minutos. Filtrar con un filtro plano en un vaso de precipitados de 100 ml, lavar con algunos ml de ácido acético (4.14) y luego añadir al filtrado, gota a gota, 10 ml de xantidrol (4.26) agitando continuamente con una varilla de vidrio. Dejar reposar hasta que aparezca el precipitado y entonces agitar de nuevo durante uno o dos minutos. Dejar reposar una hora y media. Filtrar a través de un crisol de vidrio de placa filtrante previamente secado y tarado, haciendo un ligero vacío; lavar tres veces con 5 ml de etanol (4.31) sin tratar de eliminar todo el ácido acético. Colocarlo en la estufa y mantenerlo una hora a 130 °C (no sobrepasar los 145 °C). Dejar enfriar en un desecador y pesar.

7.2.6.5.   Expresión del resultado

image

donde

m1

=

masa en gramos del precipitado obtenido,

M2

=

masa expresada en gramos de la muestra, presente en la alícuota tomada para la determinación.

Efectuar las correcciones para el ensayo en blanco. El biuret, en general, puede ser asimilado al nitrógeno ureico sin gran error, pues la cantidad del mismo presente en los abonos compuestos es pequeña, en valor absoluto.

7.2.6.6.   Método por diferencia

El nitrógeno ureico podrá también calcularse conforme a la tabla siguiente:



Caso

N nítrico

N amoniacal

N cianamídico

N ureico

1

Ausente

Presente

Presente

(7.2.2.4) — (7.2.5.5 + 7.2.7)

2

Presente

Presente

Presente

(7.2.3.2.) — (7.2.5.5 + 7.2.7)

3

Ausente

Presente

Ausente

(7.2.2.4) — (7.2.5.5)

4

Presente

Presente

Ausente

(7.2.3.2) — (7.2.5.5)

7.2.7.   Nitrógeno cianamídico

Tomar del filtrado (7.2.1.2) una alícuota que contenga de 10 a 30 mg de nitrógeno cianamídico e introducirla en un vaso de precipitados de 250 ml. Continuar el análisis según el método 2.4.

8.   Comprobación de los resultados

8.1. En ciertos casos podrá encontrarse una diferencia entre el nitrógeno total obtenido directamente sobre una pesada de la muestra (7.1) y el nitrógeno total soluble (7.2.2). No obstante, esta diferencia no deberá ser superior al 0,5 %. En caso contrario, el abono contendrá formas de nitrógeno insoluble no incluidas en la lista que figura en el anexo I.

8.2. Antes de cada análisis, será necesario asegurarse del buen funcionamiento de los aparatos y de la aplicación correcta de las técnicas analíticas, utilizando para ello una solución patrón que contenga las diferentes formas de nitrógeno en proporciones parecidas a la de la muestra para análisis. Esta solución patrón se preparará a partir de soluciones valoradas de tiocianato de potasio (4.3), de nitrato de potasio (4.4), de sulfato de amonio (4.5) y de urea (4.6).

image

Figura 6

Aparato para la determinación del nitrógeno amoniacal (7.2.5.3)

image

Figura 7

Aparato para la valoración del nitrógeno ureico (7.2.6.1)

Método 2.6.2

Determinación de diferentes formas de nitrógeno presentes en abonos que contengan nitrógeno solamente en forma nítrica, amoniacal y ureica

1.   Objeto

El presente documento define un método simplificado para la determinación de las diferentes formas de nitrógeno en abonos que sólo lo contengan en forma nítrica, amoniacal y ureica.

2.   Ámbito de aplicación

El presente método se aplicará a todos los abonos enumerados en el anexo I que contengan exclusivamente nitrógeno en forma nítrica, amoniacal o ureica.

3.   Principio

A partir de una misma solución de la muestra, se determinará sobre distintas partes alícuotas:

3.1.  el nitrógeno total:

3.1.1. en ausencia de nitratos, por ataque Kjeldahl directo de la solución,

3.1.2. en presencia de nitratos, por ataque Kjeldahl sobre una alícuota procedente de la solución después de reducirla según Ulsch, y habiéndose determinado el amoníaco, en ambos casos, como se describe en el método 2.1;

3.2. el nitrógeno total soluble, con excepción del nitrógeno nítrico, por ataque Kjeldahl, previa eliminación en medio ácido del nitrógeno nítrico por medio de sulfato de hierro(II), habiéndose determinado el amoníaco como se describe en el método 2.1;

3.3. el nitrógeno nítrico, por la diferencia entre los apartados 3.1.2 y 3.2 o entre el nitrógeno total soluble (3.1.2) y la suma del nitrógeno amoniacal y ureico (3.4 + 3.5);

3.4. el nitrógeno amoniacal, por destilación en frío en medio ligeramente alcalino; el amoníaco se recogerá en un volumen conocido de una solución valorada de ácido sulfúrico y se determinará según el método 2.1;

3.5.  el nitrógeno ureico, bien sea:

3.5.1. por transformación en amoníaco utilizando ureasa, valorándose el amoníaco con una solución valorada de ácido clorhídrico,

3.5.2. por gravimetría con xantidrol; el biuret coprecipitado podrá asimilarse al nitrógeno ureico sin gran error, pues la cantidad del mismo presente en los abonos compuestos es generalmente baja, en valor absoluto,

3.5.3. o por diferencia, según el cuadro siguiente:



Caso

Nitrógeno nítrico

Nitrógeno amoniacal

Diferencia

1

Ausente

Presente

(3.1.1) — (3.4)

2

Presente

Presente

(3.2) — (3.4)

4.   Reactivos

Agua destilada o desmineralizada.

4.1. Sulfato de potasio para análisis.

4.2. Hierro para análisis, reducido por hidrógeno (la cantidad indicada de hierro deberá poder reducir por lo menos 50 mg de nitrógeno nítrico).

4.3. Nitrato de potasio para análisis.

4.4. Sulfato de amonio para análisis.

4.5. Urea para análisis.

4.6. Solución valorada de ácido sulfúrico 0,1 mol/l.

4.7. Solución concentrada de hidróxido sódico: solución acuosa al 30 % (p/v) aproximadamente de NaOH sin amoníaco.

4.8. Solución valorada de hidróxido sódico o de potasio 0,2 mol/l, sin carbonatos.

4.9. Ácido sulfúrico (d20 = 1,84 g/ml).

4.10. Ácido clorhídrico diluido: un volumen de ácido clorhídrico (d20 = 1,18 g/ml) por un volumen de agua.

4.11. Ácido acético: 96-100 %.

4.12. Solución de ácido sulfúrico que contenga aproximadamente el 30 % de H2SO4 (p/v), sin amoníaco.

4.13. Sulfato de hierro(II) cristalino (FeSO4. 7H2O).

4.14. Solución valorada de hidróxido sódico o de potasio 0,05 mol/l.

4.15. Alcohol octílico.

4.16. Solución saturada de carbonato de potasio.

4.17. Solución valorada de hidróxido sódico o de potasio: 0,1 mol/l.

4.18. Solución saturada de hidróxido de bario.

4.19. Solución de carbonato sódico al 10 % (p/v)

4.20. Ácido clorhídrico: 2 mol/l.

4.21. Solución valorada de ácido clorhídrico: 0,1 mol/l.

4.22.   Solución de ureasa.

Poner en suspensión 0,5 mg de ureasa activa en 100 ml de agua destilada. Con ayuda de ácido clorhídrico 0,1 mol/l (4.21), ajustar el pH a 5,4; medirlo con el pH-metro (5.5).

4.23.   Xantidrol.

Solución al 5 % en etanol o metanol (4.28) (no utilizar productos con fuerte contenido de insolubles). La solución podrá conservarse hasta tres meses en un frasco bien cerrado, protegido de la luz.

4.24.   Catalizador.

Óxido de cobre (CuO): 0,3 a 0,4 g por determinación o una cantidad equivalente de sulfato de cobre pentahidratado de 0,95 a 1,25 g por determinación.

4.25. Piedra pómez en fragmentos, lavada con ácido clorhídrico y calcinada.

4.26.   Soluciones indicadoras.

4.26.1.   Indicador mixto.

Solución A: disolver 1 g de rojo de metilo en 37 ml de solución de hidróxido sódico 0,1 mol/l y completar hasta 1 l con agua.

Solución B: disolver 1 g de azul de metileno en agua y completar hasta 1 l.

Mezclar un volumen de la solución A con dos volúmenes de la solución B.

Este indicador será violeta en solución ácida, gris en solución neutra y verde en solución alcalina. Utilizar 0,5 ml (10 gotas) de esta solución indicadora.

4.26.2.   Solución indicadora de rojo de metilo.

Disolver 0,1 g de rojo de metilo en 50 ml de etanol de 95 %; completar hasta 100 ml con agua y filtrar si es necesario. Se podrá utilizar este indicador (4 ó 5 gotas) en lugar del anterior.

4.27.   Papeles indicadores.

Tornasol, azul de bromotimol (u otros papeles sensibles a pH entre 6 y 8).

4.28. Etanol o metanol: solución al 95 % (p/v).

5.   Equipo

5.1.   Destilador.

Véase método 2.1

5.2.   Aparato para la determinación del nitrógeno amoniacal (7.5.1).

Véanse método 2.6.1 y figura 6.

5.3.   Aparato para la valoración del nitrógeno ureico según la técnica de la ureasa (7.6.1).

Véanse método 2.6.1 y figura 7.

5.4. Agitador mecánico rotatorio de 35 a 40 revoluciones por minuto.

5.5. pH-metro.

5.6.   Material de vidrio:

pipetas de precisión de 2, 5, 10, 20, 25, 50 y 100 ml,

matraz Kjeldahl de cuello largo de 300 y 500 ml,

matraces aforados de 100, 250, 500 y 1 000 ml,

crisoles de placa filtrante: diámetro de los poros 5 a 15 μm,

morteros.

6.   Preparación de la muestra

Véase método 1.

7.   Método

7.1.   Preparación de la solución para el análisis

Pesar, con precisión de 1 mg, 10 g de muestra e introducirlos en un matraz aforado de 500 ml. Añadir al matraz 50 ml de agua y luego 20 ml de ácido clorhídrico diluido (4.10). Agitar y dejar reposar hasta que cese el posible desprendimiento de dióxido de carbono. Añadir a continuación 400 ml de agua y agitar durante media hora con el agitador (5.4). Enrasar con agua, homogeneizar y filtrar con un filtro seco en un recipiente seco.

7.2.   Nitrógeno total

7.2.1.   En ausencia de nitratos

Pipetear a un matraz Kjeldahl de 300 ml una alícuota del filtrado (7.1) que contenga como máximo 100 g de nitrógeno. Añadir 15 ml de ácido sulfúrico concentrado (4.9), 0,4 g de óxido de cobre o 1,25 g de sulfato de cobre (4.24) y algunas perlas de vidrio para que la ebullición sea regular. Calentar moderadamente para iniciar el ataque, luego más vivamente hasta que el líquido se vuelva incoloro o ligeramente verdoso y aparezcan claramente humos blancos. Después de enfriada, trasvasar la solución al matraz de destilación, diluir hasta 500 ml con agua y añadir algunos fragmentos de piedra pómez (4.25). Acoplar el matraz al destilador (5.1) y continuar el análisis como se describe en el apartado 7.1.1.2 del método 2.6.1.

7.2.2.   En presencia de nitratos

Pipetear a un erlenmeyer de 500 ml una alícuota del filtrado (7.1) que no contenga más de 40 mg de nitrógeno nítrico. En esta fase del análisis, la cantidad total de nitrógeno carece de importancia. Añadir 10 ml de ácido sulfúrico al 30 % (4.12), 5 g de hierro reducido (4.2) y cubrir inmediatamente el erlenmeyer con un vidrio de reloj. Calentar ligeramente hasta que la reacción sea viva pero no tumultuosa. En ese momento retirar del fuego y dejar reposar un mínimo de tres horas a temperatura ambiente. Trasvasar el líquido a un matraz aforado de 250 ml prescindiendo del hierro no disuelto. Enrasar con agua. Homogeneizar cuidadosamente. Pipetear a un matraz Kjeldahl de 300 ml una alícuota que contenga como máximo 100 mg de nitrógeno. Añadir 15 ml de ácido sulfúrico concentrado (4.9), 0,4 g de óxido de cobre o 1,25 g de sulfato de cobre (4.24) y algunas perlas de vidrio para que la ebullición sea regular. Calentar moderadamente para iniciar el ataque y luego más vivamente hasta que el líquido se vuelva incoloro o ligeramente verdoso y aparezcan claramente humos blancos. Después de enfriada, trasvasar la solución al matraz de destilación, diluir hasta 500 ml con agua y añadir algunos fragmentos de piedra pómez (4.25). Acoplar el matraz al destilador (5.1) y proseguir el análisis como se describe en el apartado 7.1.1.2 del método 2.6.1.

7.2.3.   Ensayo en blanco

Hacer un ensayo en blanco (omitiendo la muestra) en las mismas condiciones y tenerlo en cuenta en el cálculo del resultado final.

7.2.4.   Expresión del resultado

image

donde:

a

=

ml de solución valorada de hidróxido sódico o de potasio 0,2 mol/l (4.8) utilizados para el ensayo en blanco, efectuado utilizando 50 ml de solución valorada de ácido sulfúrico 0,1 mol/l (4.6),

A

=

ml de solución valorada de hidróxido sódico o de potasio 0,2 mol/l (4.8) utilizados para el análisis,

M

=

masa expresada en gramos de la muestra presente en la alícuota tomada conforme a los apartados 7.2.1 o 7.2.2.

7.3.   Nitrógeno total excluido el nitrógeno nítrico

7.3.1.   Análisis

Pipetear a un matraz Kjeldahl de 300 ml una alícuota del filtrado (7.1) que no contenga más de 50 mg de nitrógeno para valorar. Diluir hasta 100 ml con agua, añadir 5 g de sulfato de hierro(II) (4.13), 20 ml de ácido sulfúrico concentrado (4.9) y algunas perlas de vidrio para que la ebullición sea regular. Calentar primero moderadamente y a continuación aumentar el calor hasta que aparezcan humos blancos. Continuar el ataque durante quince minutos. Detener el calentamiento y añadir 04, g de óxido de cobre o 1,25 g de sulfato de cobre (4.24). Calentar de nuevo y mantener la producción de humos blancos de 10 a 15 minutos. Después de enfriado, trasvasar el contenido del matraz Kjeldahl al matraz del destilador (5.1). Diluir hasta 500 ml con agua y añadir algunos fragmentos de piedra pómez (4.2). Acoplar el matraz al destilador (5.1) y proseguir el análisis como se describe en el apartado 7.1.1.2 del método 2.6.1.

7.3.2.   Ensayo en blanco

Véase apartado 7.2.3.

7.3.3.   Expresión del resultado

image

donde

a

=

ml de solución valorada de hidróxido sódico o de potasio 0,2 mol/l (4.8) utilizados para el ensayo en blanco, efectuado transfiriendo al vaso receptor del destilador (4.8) 50 ml de solución valorada de ácido sulfúrico 0,1 mol/l (4.6).

A

=

ml de solución valorada de hidróxido sódico o de potasio 0,2 mol/l (4.8) utilizados para el análisis.

M

=

masa expresada en gramos de la muestra presente en la alícuota utilizada para la determinación.

7.4.   Nitrógeno nítrico

Se obtendrá por diferencia entre los resultados:

7.2.4 — (7.5.3 + 7.6.3)

o

7.2.4 — (7.5.3 + 7.6.5)

o

7.2.4 — (7.5.3 + 7.6.6)

7.5.   Nitrógeno amoniacal

7.5.1.   Análisis

Pipetear al matraz bien seco del aparato (5.2) una alícuota del filtrado (7.1) que contenga como máximo 20 mg de nitrógeno amoniacal. Montar a continuación el aparato. Transferir al erlenmeyer de 300 ml 50 ml exactos de solución valorada de ácido sulfúrico 0,1 mol/l (4.14), la cantidad prevista de indicador (4.26.1 ó 4.26.2) y suficiente agua destilada para que el nivel de líquido se sitúe a unos 5 cm por encima de la boca del tubo de llegada. Introducir agua por el cuello lateral del recipiente de desprendimiento, de manera que el volumen llegue a unos 50 ml. Agitar. Para evitar la formación de espuma al introducir la corriente de aire, añadir algunas gotas de alcohol octílico (4.15). Alcalinizar con 50 ml de solución saturada de carbonato de potasio (4.16) y comenzar inmediatamente a expulsar de la suspensión fría el amoníaco liberado. La intensa corriente de aire necesaria (caudal de 3 l/min aproximadamente) se purificará previamente haciéndola pasar por frascos de lavado que contengan ácido sulfúrico diluido e hidróxido sódico diluido. En lugar de aire a presión, se podrá usar vacío, a condición de que las conexiones del aparato sean herméticas.

Por regla general, la eliminación del amoníaco se habrá completado en tres horas.

No obstante, convendrá cerciorarse de ello cambiando el erlenmeyer. Una vez terminada la operación, separar el erlenmeyer del aparato, enjuagar el extremo del tubo de llegada y las paredes del erlenmeyer con un poco de agua destilada y valorar el exceso de ácido por medio de una solución valorada de hidróxido sódico 0,1 mol/l (4.17).

7.5.2.   Ensayo en blanco

Véase apartado 7.2.3.

7.5.3.   Expresión del resultado

image

donde:

a

=

ml de solución valorada de hidróxido sódico o de potasio 0,1 mol/l (4.17) utilizados para el ensayo en blanco, efectuado transfiriendo al erlenmeyer de 300 ml (5.2) 50 ml de la solución valorada de ácido sulfúrico 0,05 mol/l (4.14).

A

=

ml de solución valorada de hidróxido sódico o de potasio 0,1 mol/l (4.17), utilizados para el análisis.

M

=

masa expresada en gramos de la muestra presente en la alícuota tomada para el análisis.

7.6.   Nitrógeno ureico

7.6.1.   Método de la ureasa

Pipetear a un matraz aforado de 500 ml una alícuota del filtrado (7.1) que no contenga más de 250 mg de nitrógeno ureico. Para precipitar los fosfatos, añadir solución saturada de hidróxido de bario (4.18) hasta que deje de producirse precipitado. Eliminar a continuación el excedente de iones de bario y calcio que pudiera haber disueltos con ayuda de la solución de carbonato sódico al 10 % (4.19). Dejar que se deposite y comprobar que la precipitación sea total. Enrasar, homogeneizar y filtrar a través de un filtro de pliegues. Transferir 50 ml del filtrado al erlenmeyer de 300 ml del aparato (5.3). Acidificar con ácido clorhídrico 2 mol/l (4.20) hasta alcanzar un pH de 3,0 medido con el pH-metro. Aumentar a continuación el pH 5,4 con hidróxido sódico 0,1 mol/l (4.17). Para evitar las pérdidas de amoníaco en el momento de la hidrólisis por la ureasa, cerrar el erlenmeyer con un tapón provisto de un embudo con llave y de una pequeña botella lavagases que contendrá exactamente 2 ml de solución valorada de ácido clorhídrico 0,1 mol/l (4.21). Introducir por el embudo 20 ml de solución de ureasa (4.22) y dejar reposar durante una hora a 20-25 °C. Transferir 25 ml de solución valorada de ácido clorhídrico 0,1 mol/l (4.2) al embudo, dejarlo caer en la solución y enjuagar con un poco de agua. Transferir el contenido del recipiente protector a la solución del erlenmeyer. Valorar por retroceso el exceso de ácido con la solución valorada de hidróxido sódico 0,1 mol/l (4.17) hasta obtener un pH de 5,4 medido con el pH-metro.

1. Después de la precipitación por las soluciones de hidróxido de bario y de carbonato sódico, enrasar, filtrar y neutralizar lo más rápidamente posible.

2. La valoración podrá controlarse igualmente con el indicador (4.26), pero entonces el punto de viraje será más difícil de observar.

7.6.2.   Ensayo en blanco

Véase apartado 7.2.3.

7.6.3.   Expresión del resultado

image

donde:

a

=

ml de solución valorada de hidróxido sódico o de potasio 0,1 mol/l (4.17) utilizados para el ensayo en blanco, efectuado exactamente en las mismas condiciones que el análisis,

A

=

ml de solución valorada de hidróxido sódico o de potasio 0,1 mol/l (4.17) utilizados para el análisis.

M

=

masa expresada en gramos de la muestra presente en la alícuota tomada para el análisis.

7.6.4.   Método gravimétrico con xantidrol

Pipetear a un vaso de precipitados de 100 ml una alícuota del filtrado (7.1) que no contenga más de 20 g de urea. Añadir 40 ml de ácido acético (4.11). Agitar con una varilla de vidrio durante un minuto. Dejar que se deposite el posible precipitado durante cinco minutos. Filtrar, lavar con algunas gotas de ácido acético (4.11), y luego añadir al filtrado, gota a gota, 10 ml de xantidrol, (4.23) agitando continuamente con una varilla de vidrio. Dejar reposar hasta que aparezca el precipitado y entonces agitar de nuevo durante uno o dos minutos. Dejar reposar una hora y media. Filtrar sobre un crisol de vidrio de placa filtrante, previamente secado y tarado, haciendo un ligero vacío; lavar tres veces con 5 ml de etanol (4.28) sin tratar de eliminar todo el ácido acético. Ponerlo en la estufa y mantenerlo una hora a 130 °C (no sobrepasar los 145 °C). Dejar enfriar en un desecador y pesar.

7.6.5.   Expresión del resultado

image

donde:

m

=

masa en gramos del precipitado obtenido,

M

=

masa expresada en gramos de la muestra presente en la alícuota tomada para la determinación.

Efectuar las correcciones para el ensayo en blanco. El biuret, en general, podrá asimilarse al nitrógeno ureico sin gran error, puesto que la cantidad del mismo presente en los abonos compuestos es muy pequeña, en valor absoluto.

7.6.6.   Método por diferencia

El nitrógeno ureico podrá también calcularse según el cuadro siguiente:



Caso

N nítrico

N amoniacal

N ureico

1

Ausente

Presente

(7.2.4) — (7.5.3)

2

Presente

Presente

(7.3.3) — (7.5.3)

8.   Comprobación de los resultados

Antes de cada análisis, cerciorarse del buen funcionamiento de los aparatos y de la aplicación correcta de las técnicas analíticas utilizando para ello una solución patrón que contenga las diferentes formas de nitrógeno en proporciones parecidas a las de la muestra de ensayo. Esta solución patrón se preparará a partir de soluciones valoradas de nitrato de potasio (4.3), sulfato de amonio (4.4) y urea (4.5).

Método 3

Fósforo

Método 3.1

Extracciones

Método 3.1.1

Extracción de fósforo soluble en ácidos minerales

1.   Objeto

El presente documento describe el procedimiento que deberá seguirse para la determinación de fósforo soluble en ácidos minerales.

2.   Ámbito de aplicación

El presente método se aplicará exclusivamente a los abonos fosfatados que figuran en el anexo I.

3.   Principio

Extracción del fósforo existente en el abono con una mezcla de ácido nítrico y de ácido sulfúrico.

4.   Reactivos

Agua destilada o desmineralizada.

4.1. Ácido sulfúrico (d20 = 1,84 g/ml).

4.2. Ácido nítrico (d20 = 1,40 g/ml).

5.   Equipo

Equipo normal de laboratorio.

5.1. Matraz Kjeldahl de una capacidad mínima de 500 ml o matraz de 250 ml provisto de un tubo de vidrio a modo de refrigerante de reflujo.

5.2. Matraz aforado de 500 ml.

6.   Preparación de la muestra

Véase método 1.

7.   Método

7.1.   Muestra de análisis

Pesar, con precisión de 1 mg, 2,5 g de la muestra preparada e introducirla en el matraz Kjeldahl.

7.2.   Extracción

Añadir 15 ml de agua y agitar para poner la sustancia en suspensión. Añadir 20 ml de ácido nítrico (4.2) y, con prudencia, 30 ml de ácido sulfúrico (4.1).

Una vez que haya cesado la fuerte reacción inicial, poner lentamente el contenido del matraz en ebullición y mantenerlo así treinta minutos. Dejar enfriar y añadir a continuación, con prudencia y agitando al tiempo, 150 ml de agua aproximadamente. Ponerlo en ebullición de nuevo durante quince minutos.

Enfriarlo completamente y trasvasar el líquido a un matraz aforado de 500 ml. Enrasar, homogeneizar y filtrar con filtro plegado seco, sin fosfatos, rechazando la primera porción del filtrado.

7.3.   Determinación

La determinación del fósforo extraído se efectuará sobre una alícuota de la solución así obtenida siguiendo el método 3.2.

Método 3.1.2

Extracción de fósforo soluble en ácido fórmico al 2 % (20 g/l)

1.   Objeto

El presente documento define el procedimiento que deberá seguirse para la determinación del fósforo soluble en ácido fórmico al 2 % (20 g/l).

2.   Ámbito de aplicación

El presente método se aplicará exclusivamente a los fosfatos naturales blandos.

3.   Principio

Extracción de fósforo soluble en ácido fórmico en condiciones determinadas, para diferenciar los fosfatos naturales duros de los fosfatos naturales blandos.

4.   Reactivo

4.1.  Ácido fórmico al 2 % (20 g/l)

Diluir 82 ml de ácido fórmico (concentración 98-100 %, d20 = 1,22 g/ml) en 5 l de agua destilada.

5.   Equipo

Equipo normal de laboratorio.

5.1. Matraz aforado de 500 ml (ejemplo: matraz de Stohmann).

5.2. Agitador rotatorio regulado a la velocidad de 35 a 40 revoluciones por minuto

6.   Preparación de la muestra

Véase método 1.

7.   Método

7.1.   Muestra de análisis

Pesar, con precisión de 1 mg, 5 g de la muestra preparada e introducirla en un matraz aforado de Stohmann de 500 ml de cuello ancho bien seco (5.1).

7.2.   Extracción

Mientras con la mano se imprime un movimiento de rotación continuo al matraz, añadir el ácido fórmico (4.1) a la temperatura de 20 ± 1 °C hasta alcanzar aproximadamente 1 cm por debajo del aforo y enrasar. Cerrar el matraz con un tapón de caucho y agitar durante treinta minutos en un agitador rotatorio, manteniendo la temperatura a 20 ± 2 °C (5.2).

Filtrar con un filtro plegado seco, sin fosfatos, en un recipiente seco de vidrio. Desechar la primera porción del filtrado.

7.3.   Determinación

Determinar el fósforo en una alícuota del filtrado completamente nítida, según el método 3.2.

Método 3.1.3

Extracción del fósforo soluble en ácido cítrico al 2 % (20 g/l)

1.   Objeto

El presente documento define el procedimiento que deberá seguirse para la determinación del fósforo soluble en ácido cítrico al 2 % (20 g/l).

2.   Ámbito de aplicación

El presente método se aplicará exclusivamente a las escorias de desfosforación (anexo I A).

3.   Principio

Extracción del fósforo del abono por medio de una solución de ácido cítrico al 2 % en condiciones determinadas.

4.   Reactivo

Agua destilada o desmineralizada.

4.1.  Solución de ácido cítrico al 2 % (20 g/l), preparada a partir de ácido cítrico, cristalizado (C6H8O7 . H2O)

Comprobar la concentración de esta solución de ácido cítrico valorando 10 ml de ella con una solución valorada de hidróxido sódico 0,1 mol/l y utilizando fenolftaleína como indicador.

Si la solución es correcta, deberán utilizarse 28,55 ml de solución de hidróxido sódico.

5.   Equipo

5.1. Agitador rotatorio regulado a la velocidad de 35 a 40 revoluciones por minuto.

6.   Preparación de la muestra

El análisis se efectuará después de haber mezclado cuidadosamente la muestra original para asegurar su homogeneidad. Véase método 1.

7.   Método

7.1.   Muestra de análisis

Pesar, con precisión de 1 mg, una muestra de análisis de 5 g e introducirla en un matraz seco con cuello suficientemente ancho de una capacidad mínima de 600 ml que permita agitar bien el contenido.

7.2.   Extracción

Añadir 500 ± 1 ml de solución de ácido cítrico a la temperatura de 20 ± 1 °C. Al añadir los primeros ml de reactivo, agitar fuertemente para evitar la formación de grumos y para impedir que la sustancia se adhiera a las paredes. Cerrar el recipiente con un tapón de caucho y agitador en el agitador rotatorio durante treinta minutos exactos a la temperatura de 20 ± 2 °C.

Filtrar inmediatamente con un filtro plegado seco, sin fosfatos, en un recipiente de vidrio seco y desechar los 20 primeros ml del filtrado. Proseguir la filtración hasta que se obtenga una cantidad de filtrado que sea suficiente para la determinación del fósforo.

7.3.   Determinación

La determinación del fósforo así extraído se efectuará sobre una parte alícuota de la solución filtrada obtenida, siguiendo el método 3.2.

Método 3.1.4

Extracción de fósforo soluble en citrato amónico neutro

1.   Objeto

El presente documento define el procedimiento que deberá seguirse para la determinación del fósforo soluble en citrato amónico neutro.

2.   Ámbito de aplicación

El presente método se aplicará a todos los abonos cuya solubilidad en citrato amónico neutro haya sido establecida (véase anexo I).

3.   Principio

Extracción del fósforo a la temperatura de 65 °C por medio de una solución de citrato amónico neutro (pH = 7) en condiciones determinadas.

4.   Reactivo

Agua destilada o desmineralizada.

4.1.   Solución neutra de citrato de amoníaco (pH = 7).

Esta solución deberá contener 185 g de ácido cítrico puro cristalizado por litro y tener una densidad de 1,09 a 20 °C y un pH igual a 7,0.

El reactivo se preparará de la forma siguiente:

Disolver 370 g de ácido cítrico cristalizado (C6H8O7. H2O) en aproximadamente 1,5 l de agua y neutralizar esta solución añadiendo 345 ml de solución de hidróxido de amonio (28-29 % de NH3). Si la concentración de NH3 fuera inferior al 28 %, añadir una cantidad proporcionalmente mayor de solución de hidróxido de amonio y diluir el ácido cítrico en cantidades de agua proporcionalmente menores.

Enfriar y neutralizar la solución manteniendo los electrodos de un pH-metro sumergidos en ella. Añadir gota a gota y agitando continuamente (con un agitador mecánico) el amoníaco al 28-29 % NH3 hasta obtener exactamente el pH de 7 a la temperatura de 20 °C. En este punto completar el volumen a 2 l y comprobar de nuevo el pH. Conservar el reactivo en un recipiente cerrado y comprobar periódicamente el pH.

5.   Equipo

5.1. Un vaso de precipitados de 2 l.

5.2. pH-metro.

5.3. Erlenmeyer de 200 a 250 ml.

5.4. Matraces aforados de 500 ml y uno de 2 000 ml.

5.5. Baño maría regulable por termostato a 65 °C, provisto de un agitador apropiado (véase figura 8).

6.   Preparación de la muestra

Véase método 1.

7.   Método

7.1.   Muestra de análisis

Poner 1 o 3 g de muestra en un erlenmeyer de 200 o 250 ml que contenga 100 ml de solución de citrato amónico previamente calentado a 65 °C (véanse anexos I A y I B del Reglamento).

7.2.   Análisis de la solución

Cerrar herméticamente el erlenmeyer y agitar para poner el abono en suspensión sin que se formen grumos. Quitar un momento el tapón para que se equilibre la presión y volver a cerrar de nuevo el erlenmeyer. Poner el matraz en un baño maría regulado para mantener el contenido del matraz exactamente a 65 °C y acoplarlo al agitador (véase figura 8). Durante la agitación, el nivel de la suspensión en el matraz deberá encontrarse siempre por debajo del nivel del agua en el baño maría ( 23 ). La agitación mecánica se regulará de modo que la suspensión sea completa.

Después de agitarlo una hora exactamente, retirar el erlenmeyer del baño maría.

Enfriar inmediatamente en agua corriente hasta la temperatura ambiente y trasvasar inmediatamente el contenido del erlenmeyer a un matraz aforado de 500 ml con ayuda de un chorro de agua (frasco lavador). Completar el volumen con agua. Mezclar cuidadosamente. Filtrar con un filtro plegado, seco, de velocidad de filtración media, sin fosfatos, en un recipiente seco, desechando los 50 ml primeros del filtrado.

Se recogerán a continuación 100 ml aproximadamente de filtrado nítido.

7.3.   Determinación

Determinar el fósforo en el extracto así obtenido, siguiendo el método 3.2.

image

Figura 8

Métodos 3.1.5

Extracción con citrato amónico alcalino

1.   Objeto

El presente documento define el procedimiento que deberá seguirse para la determinación del fósforo soluble en citrato amónico alcalino.

2.   Ámbito de aplicación

El presente método se aplicará exclusivamente al fosfato dicálcico precipitado dihidratado (CaHPO4 · 2H2O).

3.   Principio

Extracción del fósforo a la temperatura de 65 °C por medio de una solución alcalina de citrato amónico (Petermann) en condiciones determinadas.

4.   Reactivos

Agua destilada o desmineralizada que tenga las mismas características que el agua destilada.

4.1. Solución de Petermann.

4.2.   Características

Ácido cítrico (C6H8O7 · H2O): 173 g/l.

Amoníaco: 42 g/l de nitrógeno amoniacal.

Un pH comprendido entre 9,4 y 9,7.

En un matraz de 5 000 ml disolver 931 g de citrato de diamonio (masa molecular 226,19) en 3 500 ml de agua destilada. Mientras se agita y se enfría bajo un chorro de agua, añadir en pequeñas fracciones el amoníaco. Por ejemplo, para d20 = 906 g/ml correspondiente a un contenido de 20,81 % en peso de nitrógeno amoniacal, habrá que utilizar 502 ml de líquido amoniacal. Ajustar la temperatura a 20 °C y completar hasta 5 000 ml con agua destilada. Homogeneizar.

En un recipiente de 5 l de capacidad disolver 865 g de ácido cítrico puro monohidratado en 2 500 ml de agua destilada. Poner el recipiente en un baño frío y añadir en pequeñas porciones y mientras se agita constantemente el amoníaco por medio de un embudo cuyo vástago estará sumergido en la solución cítrica. Para d20 = 906 g/ml, que corresponde a un contenido de 20,81 % en peso de nitrógeno amoniacal, habrá que utilizar 1 114 ml de líquido amoniacal. Ajustar la temperatura a 20 °C, y trasvasar a un matraz aforado de 5 000 ml. Enrasar con agua destilada y mezclar.

Tomar 25 ml de la solución e introducirlos en un matraz aforado de 250 ml, enrasar con agua destilada y homogeneizar. Determinar el contenido en nitrógeno amoniacal de 25 ml de esta solución según el método 2.1. Si la solución es correcta, deberán utilizarse 15 ml de H2SO4 0,25 mol/l.

Si el contenido en nitrógeno amoniacal fuera superior a 42 g/l, se podrá eliminar NH3 mediante una corriente de gas inerte o calentando con moderación para llevar el pH a 9,7. Se efectuará una segunda comprobación.

Si el contenido en nitrógeno amoniacal fuese inferior a 42 g/l, habrá que añadir una masa M de solución de amoníaco:

image

o un volumen

image

 a 20 °C.

Si V fuese inferior a 25 ml, se añadirán directamente en el matraz de 5 l una masa de V x 0,173 g de ácido cítrico pulverizado.

Si V fuese superior a 25 ml, convendrá preparar 1 l más de reactivo de la forma siguiente:

Pesar 173 g de ácido cítrico. Disolverlos en 500 ml de agua. Añadir, con las precauciones señaladas más arriba, 225 + V × 1 206 ml de la solución de amoníaco que sirvió para preparar los 5 l de reactivo. Enrasar con agua y homogeneizar.

Mezclar este litro con los 4 975 ml preparados anteriormente.

5.   Equipo

5.1. Baño maría que permita mantener la temperatura a 65 (± 1) °C.

5.2. Matraz aforado de 500 ml (ejemplo: matraz Stohmann).

6.   Preparación de la muestra

Véase método 1.

7.   Método

7.1.   Muestra de análisis

Pesar, con precisión de 1 mg, una cantidad de muestra de análisis de 1 g e introducirla en el matraz aforado de Stohmann de 500 ml de cuello ancho (5.2).

7.2.   Extracción

Añadir 200 ml de solución alcalina de citrato amónico (4.1). Tapar el frasco y agitar con fuerza a mano para evitar que se formen grumos e impedir que la sustancia se adhiera a las paredes.

Colocar el frasco en el baño maría regulado a 65 °C y agitar cada cinco minutos durante la primera media hora. Cada vez que se agite se quitará después el tapón para que se equilibre la presión. El nivel del agua en el baño maría deberá encontrarse por encima del nivel de la solución en el matraz. Dejar el frasco una hora más en el baño maría a 65 °C y agitar cada diez minutos. Retirar el frasco, enfriarlo a la temperatura ambiente (alrededor de 20 °C), completar el volumen de 500 ml con agua destilada, homogeneizar y filtrar con un filtro plegado seco, sin fosfatos, desechando la primera porción de filtrado.

7.3.   Determinación

La determinación del fósforo extraído se efectuará sobre una alícuota de la solución así obtenida, siguiendo el método 3.2.

1.   Objeto

El presente documento define el procedimiento que deberá seguirse para la determinación del fósforo soluble en citrato amónico alcalino.

2.   Ámbito de aplicación

El presente método se aplicará exclusivamente a los fosfatos calcinados.

3.   Principio

Extracción del fósforo a una temperatura aproximada de 20 °C mediante una solución alcalina de citrato amónico (Petermann) en condiciones determinadas.

4.   Reactivos

Véase método 3.1.5.1.

5.   Equipo

5.1. Material propio de laboratorio y un matraz aforado de 250 ml (ejemplo: matraz de Stohmann).

5.2. Agitador rotatorio regulado a la velocidad de 35 a 40 revoluciones por minuto.

6.   Preparación de la muestra

Véase método 1.

7.   Método

7.1.   Muestra de análisis

Pesar, con precisión de 1 mg, 2,5 g de la muestra preparada e introducirlos en un matraz aforado de 250 ml (5.1).

7.2.   Extracción

Añadir una pequeña cantidad de solución de Petermann a 20 °C y agitar rápidamente para evitar que se formen grumos y para impedir que la sustancia se adhiera a las paredes; enrasar con la solución de Petermann y tapar el matraz con un tapón de caucho.

Agitar a continuación durante dos horas en un agitador rotatorio (5.2). Filtrar inmediatamente a través de un filtro plegado seco, sin fosfatos, en un recipiente seco, desechando la primera porción del filtrado.

7.3.   Determinación

La determinación del fósforo extraído se efectuará sobre una alícuota de la solución así obtenida, siguiendo el método 3.2.

1.   Objeto

El presente documento define el procedimiento que deberá seguirse para la determinación del fósforo soluble en citrato amónico alcalino de Joulie.

2.   Ámbito de aplicación

El presente método se aplicará a todos los abonos fosfatados simples o compuestos en los que el fósforo se encuentre en forma de fosfatos aluminocálcicos.

3.   Principio

Extracción del fósforo a una temperatura aproximada de 20 °C, en condiciones bien definidas y en su caso en presencia de oxina, con una solución alcalina de citrato amónico de especificación definida.

4.   Reactivos

Agua destilada o desmineralizada.

4.1.   Solución alcalina de citrato amónico según Joulie.

Esta solución contiene 400 g de ácido cítrico y 153 g de NH3 por litro. Su contenido en amoníaco libre es de 55 g/l aproximadamente. Podrá prepararse siguiendo alguno de los procedimientos descritos a continuación:

4.1.1. En un matraz aforado de 1 l provisto de tapón, disolver 400 g de ácido cítrico puro (C6H8O7 · H2O) en unos 600 ml de amoníaco (d20 = 0,925 g/ml = 200 g NH3). El ácido cítrico se agregará en porciones sucesivas de 50 a 80 g manteniendo siempre la temperatura por debajo de 50 °C. Enrasar con amoníaco.

4.1.2. En un matraz aforado de 1 000 ml disolver 432 g de citrato de diamonio (C6H14N2O7). Añadir 440 ml de amoníaco (d20 = 0,925 g/ml). Enrasar con agua.

Comprobación del contenido total de amoníaco.

Tomar 10 ml de la solución de citrato. Ponerlos en un matraz de 250 ml y enrasar con agua destilada. Tomar 25 ml y determinar el nitrógeno amoniacal según el método 2.1.

1 ml de H2SO4 0,5 mol/l = 0,008516 g de NH3

En tales condiciones, el reactivo se considerará correcto cuando el número de ml de ácido hallados al hacer la valoración esté comprendido entre 17,7 y 18.

Si no fuera así, deberán añadirse 4,25 ml de amoníaco (d20 = 0,925 g/l) por cada 0,1 ml por debajo de los 18 ml indicados más arriba.

4.2. 8-hidroxiquinoleína (oxina) en polvo.

5.   Equipo

5.1. Material propio de laboratorio y mortero pequeño de vidrio o porcelana con su correspondiente mano.

5.2. Matraces aforados de 500 ml.

5.3. Matraz aforado de 1 000 ml.

5.4. Agitador rotatorio regulado a la velocidad de 35 a 40 revoluciones por minuto.

6.   Preparación de la muestra

Véase método 1.

7.   Método

7.1.   Muestra de análisis

Pesar 1 g de la muestra preparada, con una precisión de 0,5 mg, en un mortero pequeño, añadir unas diez gotas de citrato (4.1) para humedecerlo y deshacer con mucho cuidado con la mano del mortero.

7.2.   Extracción

Añadir a la pasta así formada 20 ml de citrato (4.1) y homogeneizar. Dejar reposar alrededor de un minuto.

Decantar el líquido en un matraz aforado de 500 ml evitando que caigan fragmentos de abono que no estén bien deshechos. Añadir a este residuo 20 ml de solución de citrato (4.1), deshacer con la mano del mortero y decantar el líquido en el matraz aforado. Repetir esta operación cuatro veces más, de modo que concluida la quinta y última, todo el producto haya podido verterse en el matraz. La cantidad total de citrato utilizado para efectuar estas operaciones deberá ser de 100 ml aproximadamente.

Enjuagar el mortero y la mano del mortero con 40 ml de agua destilada y verter este líquido en el matraz.

El matraz tapado se agitará mecánicamente durante tres horas (5.4).

Dejar reposar 15-16 horas y volver a agitarlo en las mismas condiciones durante tres horas. La temperatura durante toda la operación se mantendrá a 20 ± 2 °C.

Enrasar con agua destilada. Filtrar con un filtro seco, desechar las primeras porciones del filtrado y recoger el filtrado claro en un recipiente seco.

7.3.   Determinación

La determinación del fósforo extraído se efectuará sobre una parte alícuota de la solución así obtenida, siguiendo el método 3.2.

8.   Anexo

El uso de la oxina hará posible aplicar este método a los abonos que contengan magnesio. Se recomienda su uso cuando la relación entre los contenidos en magnesio y en pentóxido de fósforo sea superior a 0,03 (Mg/P2O5 > 0,03). En tal caso, añadir a la muestra de análisis ya humedecida en el mortero 3 g de oxina. Por otra parte, el uso de la oxina en ausencia de magnesio no perturba posteriormente la valoración. No obstante, sólo cuando se tenga la certeza de que no hay magnesio será posible no hacer uso de la oxina.

Método 3.1.6

Extracción de fósforo soluble en agua

1.   Objeto

El presente documento define el procedimiento que deberá seguirse para la determinación del fósforo soluble en agua.

2.   Ámbito de aplicación

El presente método se aplicará a todos los abonos, incluidos los compuestos, en los que deba determinarse el fósforo soluble en agua.

3.   Principio

Extracción en agua por agitación en condiciones determinadas.

4.   Reactivo

Agua destilada o desmineralizada.

5.   Equipo

5.1. Matraz aforado de 500 ml (por ejemplo: matraz de Stohmann).

5.2. Agitador rotatorio, regulado a la velocidad de 35 a 40 revoluciones por minuto.

6.   Preparación de la muestra

Véase método 1.

7.   Método

7.1.   Muestra de análisis

Pesar, con precisión de 1 mg, 5 g de la muestra preparada e introducirlos en el matraz aforado de 500 ml (5.1).

7.2.   Extracción

Añadir al matraz 450 ml de agua a una temperatura comprendida entre los 20 y 25 °C.

Agitar en el agitador rotatorio (5.2) durante 30 minutos.

Enrasar a continuación con agua. Homogeneizar cuidadosamente por agitación y filtrar a través de un filtro plegado seco sin fosfato en un recipiente seco.

7.3.   Determinación

La determinación del fósforo extraído se efectuará sobre una parte alícuota de la solución así obtenida, siguiendo el método 3.2.

Método 3.2

Determinación del fósforo extraído

(método gravimétrico al fosfomolibdato de quinoleína)

1.   Objeto

El presente documento define el procedimiento que deberá seguirse para la determinación del fósforo en los extractos de abonos.

2.   Ámbito de aplicación

El presente método se aplicará a todos los extractos de abonos ( 24 ) que sirvan para la determinación de las diferentes formas del fósforo.

3.   Principio

Después de una posible hidrólisis de las diferentes formas de fósforo distintas de los ortofosfatos, los iones ortofosfatados se precipitarán en medio ácido en forma de fosfomolibdato de quinoleína.

Después de filtrado y lavado, el precipitado se secará a 250 °C y se pesará.

En las condiciones señaladas, los compuestos que posiblemente pudieran hallarse en la solución (ácidos minerales y orgánicos, iones amonio, silicatos solubles, etc.) no ejercerán acción perturbadora alguna si se utiliza para la precipitación un reactivo a base de molibdato sódico o de molibdato de amonio.

4.   Reactivos

Agua destilada o desmineralizada.

4.1. Ácido nítrico concentrado (d20 = 1,40 g/ml)

4.2.   Preparación del reactivo

4.2.1.   Preparación del reactivo a base de molibdato sódico.

Solución A: disolver 70 g de molibdato sódico dihidratado para análisis en 100 ml de agua destilada.

Solución B: disolver 60 g de ácido cítrico monohidratado en 100 ml de agua destilada y añadir 85 ml de ácido nítrico concentrado (4.1).

Solución C: añadir agitando la solución A a la solución B para obtener la solución C.

Solución D: añadir a 50 ml de agua destilada 35 ml de ácido nítrico concentrado (4.1), y luego 5 ml de quinoleína pura recién destilada. Añadir esta solución a la solución C, homogeneizar con cuidado y dejar reposar una noche en la oscuridad. Pasado ese plazo, completar hasta 500 ml con agua destilada, homogeneizar de nuevo y filtrar con un embudo filtrante (5.6).

4.2.2.   Preparación del reactivo a base de molibdato de amonio.

Solución A: disolver 100 g de molibdato de amonio para análisis en 300 ml de agua destilada, calentando lentamente y agitando de vez en cuando.

Solución B: disolver 120 g de ácido cítrico puro monohidratado en 200 ml de agua destilada; añadir a continuación 170 ml de ácido nítrico concentrado (4.1).

Solución C: añadir 10 ml de quinoleína pura recién destilada a 70 ml de ácido nítrico concentrado (4.1).

Solución D: verter lentamente, agitando bien, la solución A en la solución B. Después de haber homogeneizado con cuidado, añadir la solución C a esta mezcla y completar hasta 1 l. Dejar reposar durante dos días en la oscuridad y filtrar con un embudo filtrante (5.6).

Los reactivos 4.2.1 y 4.2.2 son de aplicación equivalente: ambos deberán conservarse en la oscuridad en recipientes de polietileno herméticos.

5.   Equipo

5.1. Material propio de laboratorio y un Erlenmeyer de 500 ml de cuello ancho.

5.2. Pipetas de precisión aforadas de 10, 25 y 50 ml.

5.3. Crisol filtrante de porosidad de 5 a 20 μm.

5.4. Matraz para filtración en vacío.

5.5. Estufa regulada a 250 (+ 10) °C.

5.6. Embudo de vidrio con placa filtrante de una porosidad de 5 a 20 μm.

6.   Método

6.1.   Tratamiento de la solución

Tomar con una pipeta una alícuota del extracto de abono (véase cuadro 2) que contenga unos 0,010 g de P2O5 e introducirla en un erlenmeyer de 500 ml. Añadir 15 ml de ácido nítrico concentrado ( 25 ) (4.1) y diluir con agua hasta 100 ml aproximadamente.



Cuadro 2

Determinación de las partes alícuotas de las soluciones de fosfato

% P2O5 en el abono

% P en el abono

Muestra de ensayo

(g)

Disolución

(à ml)

Muestra

(ml)

Disolución

(ml)

Extracción para la precipitación

(ml)

Factor «F» de conversión del fosfomolibdato de quinoleína en % P2O5

Factor «F» de conversión del fosfomolibdato de quinoleína en % P

5-10

2,2-4,4 left accolade

1

500

50

32,074

13,984

5

500

10

32,074

13,984

10-25

4,4-11,0 left accolade

1

500

25

64,148

27,968

5

500

50

500

50

64,148

27,968

+ 25

+ 11 left accolade

1

500

10

160,370

69,921

5

500

50

500

25

128,296

55,937

6.2.   Hidrólisis

Si se sospecha la presencia en la solución de metafosfatos, pirofosfatos o polifosfatos, se efectuará la hidrólisis de la forma siguiente:

Poner el contenido del erlenmeyer en ebullición lenta y mantenerlo así hasta que se complete la hidrólisis (en general una hora). Procurarán evitarse pérdidas por salpicaduras y una evaporación excesiva que pudiera reducir en más de la mitad el volumen inicial instalando, por ejemplo, un refrigerante de reflujo. Una vez terminada la hidrólisis, restablecer el volumen inicial con agua destilada.

6.3.   Tara del crisol

Secar el crisol filtrante (5.3) durante quince minutos en la estufa regulada a 250 ± 10 °C. Tararlo después de enfriarlo en un desecador.

6.4.   Precipitación

La solución ácida contenida en el erlenmeyer se calentará hasta que comience a hervir y a continuación se procederá a la precipitación del fosfomolibdato de quinoleína añadiendo gota a gota mientras se agita continuamente 40 ml del reactivo precipitante (4.2.1 o 4.2.2) ( 26 ). Poner el erlenmeyer en un baño maría hirviendo durante quince minutos agitando de vez en cuando. Se podrá filtrar inmediatamente o una vez que se haya enfriado.

6.5.   Filtrado y lavado

Filtrar la solución al vacío por decantación. Lavar el precipitado en el erlenmeyer con 30 ml de agua. Decantar y filtrar la solución. Repetir cinco veces esta operación. Transferir cuantitativamente el resto del precipitado al crisol ayudándose con un frasco lavador. Lavar cuatro veces con 20 ml de agua total, dejando que cada porción de agua de lavado se filtre completamente antes de añadir la siguiente. Secar a fondo el precipitado.

6.6.   Secado y pesado

Secar el exterior del crisol con un papel de filtro. Colocar el crisol en la estufa (5.5) y mantenerlo allí hasta que la masa sea constante a una temperatura de 250 °C (en general quince minutos); dejar enfriar en el desecador hasta la temperatura ambiente y pesar rápidamente.

6.7.   Ensayo en blanco

Por cada serie de determinaciones, efectuar un ensayo en blanco utilizando únicamente los reactivos y los disolventes en las proporciones utilizadas para la extracción (solución de citrato, etc.) y tenerlo en cuenta en el cálculo del resultado final.

6.8.   Comprobación

Efectuar la determinación sobre una parte alícuota de una solución acuosa de dihidrogenofosfato de potasio para análisis que contenga 0,01 g de P2O5.

7.   Expresión del resultado

Si se utilizan las muestras de ensayo y las disoluciones señaladas en el cuadro 2, aplíquese la fórmula siguiente:

image

o

image

donde

A = masa, en gramos, del fosfomolibdato de quinoleína,

a = masa, en gramos, del fosfomolibdato de quinoleína obtenido en el ensayo en blanco,

F y F′ = los factores que sean apropiados para las dos últimas columnas del cuadro 2.

Con muestras de ensayo y disoluciones diferentes a las del cuadro 2, la fórmula que se aplicará será la siguiente:

image

o

image

donde

f y f′ = factores de transformación del fosfomolibdato de quinoleína en P2O5 = 0,032074, (f) y en P = 0,013984 (f'),

D = factor de dilución,

M = masa, en gramos, de la muestra analizada.

Método 4

Potasio

Método 4.1

Determinación del contenido de potasio soluble en agua

1.   Objeto

El presente documento define el procedimiento que deberá seguirse para determinar la cantidad de potasio soluble en agua.

2.   Ámbito de aplicación

El presente método se aplicará a todos los abonos potásicos que figuran en el anexo I.

3.   Principio

El potasio de la muestra que se vaya a analizar se disolverá en agua. Después de eliminar o de fijar las sustancias que puedan afectar a la determinación, el potasio se precipitará en medio ligeramente alcalino, en forma de tetrafenilborato de potasio.

4.   Reactivos

Agua destilada o desmineralizada.

4.1.   Formaldehído.

Solución nítida al 25-35 % de formaldehído.

4.2. Cloruro de potasio puro para análisis.

4.3.   Solución de hidróxido sódico: 10 mol/l.

Utilizar solamente hidróxido sódico para análisis, sin potasio.

4.4.   Solución indicadora.

Disolver 0,5 g de fenolftaleína en etanol al 90 % y completar el volumen hasta 100 ml.

4.5.   Solución de EDTA.

Disolver 4 g de sal disódica dihidratada del ácido etilendiaminotetraacético en un matraz aforado de 100 ml. Completar el volumen y homogeneizar.

Conservar este reactivo en un recipiente de plástico.

4.6.   Solución de TFBS.

En 480 ml de agua, disolver 32,5 g de tetrafenilborato sódico, añadir 2 ml de solución de hidróxido sódico (4.3) y 20 ml de una solución de cloruro de magnesio (100 g de MgCl2 . 6H2O por litro).

Agitar durante quince minutos y filtrar con un filtro sin cenizas de filtración lenta.

Conservar este reactivo en un recipiente de plástico.

4.7.   Líquido de lavado

Diluir 20 ml de la solución de TFBS (4.6) con 1 000 ml de agua.

4.8.   Agua de bromo.

Solución saturada de bromo agua.

5.   Equipo

5.1. Matraces aforados de 1 000 ml

5.2. Vaso de precipitados de 250 ml.

5.3. Crisoles filtrantes con una porosidad de 5 a 20 μm.

5.4. Estufa regulable a 120 (± 10) °C

5.5. Desecador.

6.   Preparación de la muestra

Véase método 1.

En el caso de las sales potásicas, la granulometría de la muestra deberá ser tal que la muestra de análisis sea lo suficientemente representativa; se recomienda atenerse, respecto a estos productos, a lo que prescribe la letra a) del apartado 6 del método 1.

7.   Método

7.1.   Muestra de análisis

Pesar, con precisión de 1 mg, una cantidad de 10 g de la muestra preparada (5 g en el caso de sales de potasio que contengan más del 50 % de óxido de potasio). Introducirla en un vaso de precipitados de 600 ml junto con 400 ml de agua aproximadamente.

Ponerlo a hervir durante treinta minutos. Enfriarlo, transvasarlo a un matraz aforado de 1 000 ml, enrasar, homogeneizar y filtrar en un recipiente seco. Desechar los 50 primeros ml de filtrado (véase 7.6, nota sobre el método).

7.2.   Preparación de la alícuota para la precipitación

Tomar con la pipeta una alícuota del filtrado que contenga de 25 a 50 mg de potasio (véase cuadro 3) y ponerla en un vaso de precipitados de 250 ml. Si fuese necesario, completar con agua hasta los 50 ml.

Para evitar posibles interferencias, añadir 10 ml de solución de EDTA (4.5), algunas gotas de solución de fenolftaleína (4.4) y agitar, gota a gota, solución de hidróxido sódico (4.3) hasta que el líquido se coloree de rojo, y por último añadir algunas gotas de hidróxido sódico en exceso (normalmente 1 ml de hidróxido sódico bastará para la neutralización y el exceso).

Para eliminar la mayor parte del amoníaco [véase 7.6 (b), nota sobre el método], hacer hervir poco a poco durante quince minutos.

Si fuera necesario, añadir agua hasta el volumen de 60 ml.

Poner la solución en ebullición, retirar el vaso de precipitados del fuego y añadir 10 ml de formaldehído (4.1). Añadir algunas gotas de fenolftaleína y, si fuese necesario, algunas gotas más de hidróxido sódico hasta que la coloración roja esté bien marcada. Poner el vaso de precipitados tapado con un vidrio de reloj durante quince minutos al baño maría hirviendo.

7.3.   Tara del crisol

Secar el crisol filtrante (véase 5, «Equipo») hasta peso constante (alrededor de quince minutos) en la estufa (5.4) regulado a 120 °C.

Dejar enfriar el crisol en un desecador y tararlo.

7.4.   Precipitación

Retirar el vaso de precipitados del baño maría y, mientras se agita, añadir gota a gota 10 ml de solución de TFBS (4.6). (Esta adición se realizará en unos dos minutos). Esperar por lo menos diez minutos antes de filtrar.

7.5.   Filtrado y lavado

Filtrar al vacío con el crisol tarado, enjuagar el vaso de precipitados con el líquido de lavado (4.7), lavar el precipitado tres veces con el líquido de lavado (unos 60 ml en total) y dos veces con 5 a 10 ml de agua.

Secar a fondo el precipitado.

7.6.   Secado y pesado

Secar el exterior del crisol con un papel filtro. Poner el crisol con su contenido en la estufa durante una hora y media a una temperatura de 120 °C. Dejar enfriar en un desecador a la temperatura ambiente y pesar rápidamente.

a) Si el filtrado tuviera una coloración oscura, extraer con la pipeta una alícuota que contenga como máximo 0,10 g de K2O, ponerla en un matraz aforado de 100 ml, añadir agua de bromo y ponerlo a hervir para eliminar el exceso de bromo. Después de enfriado, enrasar, filtrar y valorar el potasio en una alícuota del filtrado.

b) En caso de que el nitrógeno amoniacal esté ausente o sólo esté presente en cantidades reducidas, no será necesario hervir durante quince minutos.

7.7.   Partes alícuotas que deberán tomarse y factores de conversión



Cuadro 3

Para el método 4

% K2O en el abono

% K en el abono

Muestra de ensayo

(g)

Alícuota de extracto para la disolución

(ml)

Disolución

(ml)

Alícuota para la precipitación

(ml)

Factor de conversión (F)

image

Factor de conversión (F′)

image

5-10

4,2-8,3

10

50

26,280

21,812

10-20

8,3-16,6

10

25

52,560

43,624

20-50

16,6-41,5

10 left accolade

sea —

 

10

131,400

109,060

 
 

o bien 50

250

50

131,400

109,060

más de 50

más de 41,5

45 left accolade

sea —

10

262,800

218,120

 
 

o bien 50

250

50

262,800

218,120

7.8.   Ensayo en blanco

Para cada serie de determinaciones, efectuar un ensayo en blanco empleando únicamente los reactivos en las proporciones utilizadas en el análisis y tenerlo en cuenta en el cálculo del resultado final.

7.9.   Ensayo de control

Para controlar la técnica analítica, efectuar una determinación sobre una alícuota de una solución acuosa de cloruro de potasio, alícuota que contendrá como máximo 40 mg de K2O.

8.   Expresión del resultado

Si se utilizan las muestras de ensayo y las disoluciones señaladas en el cuadro 3, se aplicarán las fórmulas siguientes:

image

o

image

donde

A = masa, en gramos, del precipitado obtenido a partir de la muestra,

a = masa, en gramos, del precipitado obtenido a partir del ensayo en blanco,

F y F′ = factores (cuadro 3).

Con muestras de ensayo y disoluciones distintas a las del cuadro 3, la fórmula que se aplicará será la siguiente:

image

o

image

donde

f

=

factor de conversión del TPBK en K2O = 0,1314,

f′

=

factor de conversión del TPBK en K = 0,109,

D

=

factor de disolución,

M

=

masa, en gramos, de la muestra objeto del análisis.

Método 5

Sin contenido.

Método 6

Cloro

Método 6.1

Determinación de los cloruros en ausencia de materia orgánica

1.   Objeto

El presente documento define el procedimiento que deberá seguirse para la determinación de los cloruros en ausencia de materia orgánica.

2.   Ámbito de aplicación

El presente método se aplicará a todos los abonos que no tengan materia orgánica.

3.   Principio

Los cloruros, disueltos en agua, se precipitarán en medio ácido con un exceso de solución valorada de nitrato de plata. El exceso se valorará con una solución de tiocianato de amonio en presencia de sulfato de hierro(III) y amonio (método Volhard).

4.   Reactivos

Agua destilada o completamente desmineralizada, sin cloruros.

4.1. Nitrobenceno para análisis o éter etílico.

4.2. Ácido nítrico 10 mol/l.

4.3.   Solución indicadora

Disolver 40 g de sulfato de hierro (III) y amonio Fe2(SO4)3 . (NH4)2SO4 . 24H2O en agua y completar hasta 1 000 ml.

4.4.   Solución valorada de nitrato de plata 0,1 mol/l

Como esta sal es higroscópica y no puede desecarse sin el peligro de que se descomponga, se aconseja pesar 9 g aproximadamente, disolverlos en agua y completar el volumen hasta 1 000 ml. Ajustar la concentración a 0,1 mol/l por medio de valoraciones con la solución de AgNO3 0,1 mol/l.

5.   Equipo

5.1. Agitador rotatorio regulado a una velocidad de 35 a 40 revoluciones por minuto.

5.2. Buretas.

5.3. Un matraz aforado de 500 ml.

5.4. Erlenmeyer de 250 ml.

6.   Preparación de la muestra

Véase método 1.

7.   Método

7.1.   Muestra de análisis y preparación de la solución

Introducir 5 g de la muestra, pesados con precisión de 1 mg, en un matraz aforado de 500 ml y añadir 450 ml de agua. Agitar durante media hora, enrasar con agua destilada, homogeneizar y filtrar en un vaso de precipitados.

7.2.   Determinación

Tomar una alícuota del filtrado que no contenga más de 0,150 g de cloro. Por ejemplo 25 ml (0,25 g), 50 ml (0,5 g) o 100 ml (1 g). Si la cantidad tomada fuese inferior a 50 ml, se completará el volumen hasta 50 ml con agua destilada.

Añadir 5 ml de ácido nítrico 10 mol/l (4.2), 20 ml de solución indicadora (4.3) y dos gotas de solución valorada de tiocianato de amonio (este último reactivo se extraerá con un bureta previamente ajustada a cero).

Con otra bureta, añadir a continuación solución valorada de nitrato de plata (4.4) hasta que haya un exceso de 2 a 5 ml. Añadir 5 ml de Nitrobenceno o 5 ml de éter etílico (4.1) y agitar bien para aglutinar el precipitado. Valorar el exceso de nitrato de plata con el tiocianato de amonio 0,1 mol/l (4.5) hasta que aparezca un color amarillo-pardo que persista después de una ligera agitación.

El Nitrobenceno o el éter etílico (pero sobre todo el Nitrobenceno) impiden que el cloruro de plata reaccione con los iones de tiocianato. De esta manera se obtiene un cambio de color muy claro.

7.3.   Ensayo en blanco

Hacer un ensayo en blanco (omitiendo la muestra) en las mismas condiciones y tenerlo en cuenta en el cálculo del resultado final.

7.4.   Ensayo de control

Antes de cada determinación, compruébese la precisión del método utilizando una solución recién preparada de cloruro de potasio que contenga una cantidad conocida de cloruro del orden de 0,1 g.

8.   Expresión del resultado

Expresar el resultado del análisis en porcentaje de cloruro contenido en la muestra tal como ésta se recibió para el análisis.

Calcular el porcentaje de cloruro con la fórmula:

image

donde

Vz

=

mililitros de nitrato de plata 0,1 mol/l,

Vcz

=

mililitros de nitrato de plata 0,1 mol/l utilizados para el ensayo en blanco,

Va

=

mililitros de tiocianato de amonio 0,1 mol/l,

Vca

=

mililitros de tiocianato de amonio 0,1 mol/l, utilizados para el ensayo en blanco,

M

=

masa, en gramos, de la alícuota extraída (7.2).

Métodos 7

Granulometría

Método 7.1

Determinación de la granulometría

(en seco)

1.   Objeto

El presente documento define el procedimiento que deberá seguirse para la determinación de la granulometría en seco.

2.   Ámbito de aplicación

El presente método se aplicará exclusivamente a los abonos CE para los que esté prevista la determinación de la granulometría utilizando tamices de 0,63 mm y 0,160 mm de abertura de malla.

3.   Principio

Se determinarán por tamizado mecánico las cantidades de producto de granulometría superior a 0,63 mm y las de granulometría comprendida entre 0,16 y 0,63 mm, calculándose a continuación los porcentajes de granulometría.

4.   Equipo

4.1. Aparato mecánico para tamizar.

4.2. Tamices de 0,16 y 0,63 mm de abertura de malla, de 20 cm de diámetro y 5 cm de altura, con sus correspondientes recipientes de recogida.

5.   Método

Pesar 50 g de producto con precisión de 0,05 g. Adaptar los dos tamices y sus recipientes de recogida al aparato para tamizar, colocando arriba el tamiz de 0,63 mm de abertura de malla. Tamizar durante diez minutos y retirar la fracción contenida en los recipientes de recogida. Volver a poner el aparato en marcha y, transcurrido un minuto, comprobar si la cantidad contenida en los recipientes de recogida no es superior a 250 mg. Si no fuese así, repetir la operación (cada vez un minuto), hasta que la cantidad recogida sea inferior a 250 mg. Pesar por separado los residuos de cada tamiz.

6.   Expresión del resultado

image

image

donde:

M1

=

masa, en gramos, del residuo en el tamiz de 0,63 mm,

M2

=

masa, en gramos, del residuo en el tamiz de 0,16 mm.

Ya deberá haberse eliminado el residuo en el tamiz de 0,63 mm.

Los resultados se redondearán a la unidad más próxima.

Método 7.2

Determinación de la granulometría de los fosfatos naturales blandos

1.   Objeto

El presente documento define el procedimiento que deberá seguirse para la determinación de la granulometría de los fosfatos naturales blandos.

2.   Ámbito de aplicación

El presente método se aplicará exclusivamente a los fosfatos naturales blandos.

3.   Principio

Dada la extrema finura que es conveniente determinar, el tamizado en seco es difícil de efectuar, porque las partículas más finas tienden a aglomerarse formando grumos. Por esta razón se recurre normalmente al tamizado con agua.

4.   Reactivos

Solución de hexametafosfato sódico al 1 %.

5.   Equipo

5.1. Tamices de 0,063 y 0,125 mm de abertura de malla, de 20 cm de diámetro y 5 cm de altura, con sus correspondientes recipientes de recogida.

5.2. Embudo de vidrio de 20 cm de diámetro montado sobre un soporte.

5.3. Vasos de precipitados de 250 ml.

5.4. Estufa de desecación.

6.   Técnica analítica

6.1.   Muestra de análisis

Pesar 50 g de la muestra con precisión de 50 mg. Lavar con agua ambas caras de cada uno de los tamices e introducir el tamiz de 0,125 mm de abertura en el tamiz de 0,063 mm.

6.2.   Método

Poner la muestra de análisis en el tamiz superior. Tamizar bajo un chorrito de agua fría (se puede utilizar agua del grifo) hasta que ésta pase prácticamente clara. Se procurará que el caudal del chorro sea tal que el tamiz inferior no se llene de agua.

Cuando el residuo en el tamiz superior parezca más o menos constante, retirar el tamiz y dejarlo, por el momento, sobre el recipiente de recogida.

Utilizando siempre agua, continuar el tamizado con el tamiz inferior durante algunos minutos, hasta que el agua pase prácticamente clara.

Colocar el tamiz de 0,125 mm en el lugar que ocupaba de 0,063 mm. Transferir el contenido del recipiente de recogida al tamiz superior y reemprender el tamizado bajo un chorrito de agua hasta que ésta sea prácticamente clara.

Transferir cuantitativamente los residuos de cada tamiz a un vaso de precipitados diferente con ayuda del embudo. Ponerlos en suspensión llenando los vasos de agua. Después de un minuto más o menos de reposo, decantar eliminando la mayor cantidad de agua posible.

Poner los vasos en la estufa a 150 °C durante dos horas.

Dejar enfriar, separar los residuos con ayuda de un pincel y pesarlos.

7.   Expresión del resultado

Los resultados de los cálculos se redondearán a la unidad más próxima.

image

image

donde:

M1

=

masa, en gramos, del residuo del tamiz de 0,125 mm,

M2

=

masa, en gramos, del residuo del tamiz de 0,063 mm.

8.   Observaciones

En el caso de que al terminar el tamizado se constatara la presencia de grumos en alguno de los tamices, debería efectuarse de nuevo el análisis de la forma siguiente:

Verter lentamente, mientras se agita, 50 g de la muestra en un frasco de alrededor de 1 l que contenga 500 ml de solución de hexametafosfato sódico. Tapar herméticamente el frasco y agitar a mano con fuerza para deshacer los grumos. Transferir toda la suspensión al tamiz superior teniendo cuidado de lavar el frasco. Continuar el análisis como se indica en el apartado 6.2.

Métodos 8

Elementos secundarios

Método 8.1

Extracción del calcio total, del magnesio total, del sodio total y del azufre total en forma de sulfatos

1.   Objeto

El presente documento define el método de extracción del calcio total, del magnesio total, del sodio total y del azufre total en forma de sulfato, para efectuar, en la media de lo posible, una única extracción a partir de la cual poder determinar cada uno de estos elementos.

2.   Ámbito de aplicación

El presente método se aplica a los abonos CE en los que, según lo dispuesto en el presente Reglamento, hay que declarar el calcio total, el magnesio total, el sodio total y el azufre total en forma de sulfato.

3.   Principio

Solubilización en ácido clorhídrico diluido mediante ebullición.

4.   Reactivos

4.1.   Ácido clorhídrico diluido

Un volumen de ácido clorhídrico (d20 = 1,18 g/ml) por un volumen de agua.

5.   Equipo

Placa calefactora eléctrica de temperatura regulable.

6.   Preparación de la muestra

Véase método 1.

7.   Método

7.1.   Toma de muestra

El calcio, el magnesio, el sodio y el azufre presentes en forma de sulfato se determinarán a partir de una muestra de 5 g que se habrá pesado con una precisión de 1 mg.

No obstante, cuando el contenido en azufre (S) del abono sea superior al 15 %, esto es, un 37,5 % de SO3, y el contenido en calcio (Ca) sea superior al 18,8 %, esto es, un 26,3 % de CaO, el calcio y el azufre se determinarán a partir de una muestra de 1 g que se habrá pesado con una precisión de 1 mg. Las muestras se introducirán en vasos de precipitados de 600 ml.

7.2.   Disolución

Añadir aproximadamente 400 ml de agua y 50 ml de ácido clorhídrico diluido (4.1) en pequeñas porciones y con precaución si el producto contiene una cantidad importante de carbonatos. Hervir y mantener en ebullición durante 30 minutos. Dejar enfriar agitando de vez en cuando. Trasvasar cuantitativamente a un matraz aforado de 500 ml. Añadir agua hasta alcanzar este volumen. Homogeneizar por agitación. Filtrar a través de un filtro seco en un recipiente seco. Desechar las primeras porciones. El extracto ha de estar perfectamente límpido. Tapar si el filtrado no va a utilizarse inmediatamente.

Método 8.2

Extracción del azufre total presente en diversas formas

1.   Objeto

El presente documento define el método de extracción del azufre total presente en los abonos en forma elemental y/o en diversas formas.

2.   Ámbito de aplicación

El presente método se aplica a los abonos CE en los que, según lo dispuesto en el presente Reglamento, hay que declarar el azufre total presente en diversas formas (elemental, tiosulfato, sulfito, sulfato).

3.   Principio

Transformación en medio fuertemente alcalino del azufre elemental en polisulfuros y tiosulfatos, y oxidación de éstos y de los sulfitos eventualmente presentes con peróxido de hidrógeno. Las diversas formas de azufre se transforman así en sulfato que se cuantifica en forma de sulfato de bario precipitado (método 8.9).

4.   Reactivos

4.1.   Ácido clorhídrico diluido:

Un volumen de ácido clorhídrico (d = 1,18) por un volumen de agua.

4.2. Solución de hidróxido sódico al 30 % como mínimo (d = 1,33)

4.3. Solución de peróxido de hidrógeno al 30 % (p/p).

4.4. Cloruro de bario BaCl2 · 2H2O, solución acuosa de 122 g/l.

5.   Equipo

Placa calefactora eléctrica de temperatura regulable.

6.   Preparación de la muestra

Véase método 1.

7.   Método

7.1.   Toma de muestra

Pesar, con precisión de 1 mg, una cantidad de abono que contenga entre 80 y 350 mg de azufre (S), esto es, de 200 a 875 mg de SO3.

En la mayoría de los casos (si S < 15 %), se pesarán 2,5 g. Introducir la muestra en un vaso de precipitados de 400 ml.

7.2.   Oxidación

Añadir 20 ml de solución de hidróxido sódico (4.2) y 20 ml de agua. Tapar con un vidrio de reloj. Hervir durante 5 minutos sobre la placa calefactora (5.1). Retirar de la placa. Arrastrar el azufre adherido a las paredes del vaso de precipitados con un chorro de agua caliente. Hervir y mantener en ebullición durante 20 minutos. Dejar enfriar.

Añadir el peróxido de hidrógeno (4.3) en dosis de 2 ml hasta que desaparezca la reacción. Normalmente son necesarios de 6 a 8 ml de peróxido de hidrógeno. Dejar que prosiga la oxidación en frío durante una hora, luego hervir durante media hora. Dejar enfriar.

7.3.   Preparación de la solución problema

Añadir aproximadamente 50 ml de agua y 50 ml de la solución de ácido clorhídrico (4.1).

 Si el contenido en azufre (S) es inferior al 5 %:

 Filtrar la solución en un vaso de precipitados de 600 ml. Lavar repetidas veces con agua fría el residuo del filtro. Al terminar el lavado, comprobar que no queden sulfatos en las últimas gotas del filtrado con ayuda de una solución de cloruro de bario (4.4). El filtrado debe estar perfectamente límpido. La determinación cuantitativa de los sulfatos se efectuará en la totalidad del filtrado siguiendo el método 8.9.

 Si el contenido en azufre (S) es igual o superior al 5 %:

 Trasvasar cuantitativamente el contenido del vaso de precipitados a un matraz aforado de 250 ml. Enrasar con agua. Homogeneizar por agitación. Filtrar a través de un filtro seco en un recipiente seco. El filtrado debe estar perfectamente límpido. Tapar el recipiente si la solución no va a utilizarse inmediatamente. La determinación cuantitativa de los sulfatos se efectuará en una alícuota de esta solución por precipitación en forma de sulfato de bario siguiendo el método 8.9.

Método 8.3

Extracción de las formas solubles en agua del calcio, del magnesio, del sodio y del azufre presente

(en forma de sulfato)

1.   Objeto

El presente documento define el método de extracción de la fracción soluble en agua del calcio, del magnesio, del sodio y del azufre en forma de sulfato, para efectuar una única extracción a partir de la cual poder determinar la cantidad de cada uno de estos elementos contenida en los abonos.

2.   Ámbito de aplicación

El presente método se aplica a los abonos en los que, según lo dispuesto en el anexo I, hay que declarar el calcio, el magnesio, el sodio y el azufre presentes en forma de sulfato, solubles en agua.

3.   Principio

Disolución de los elementos en agua hirviendo.

4.   Reactivo

Agua destilada o desmineralizada de calidad equivalente.

5.   Equipo

Placa calefactora eléctrica de temperatura regulable.

6.   Preparación de la muestra

Véase método 1.

7.   Método

7.1.   Toma de muestra

a) Abono sin azufre o que contenga simultáneamente, y a lo sumo, un 3 % de azufre (S) (= 7,5 % SO3) y un 4 % de calcio (Ca) (= 5,6 % CaO): pesar 5 g de abono y con precisión de 1 mg.

b) Abono que contenga más de un 3 % de azufre (S) y de un 4 % de calcio (Ca): pesar 1 g de abono con precisión de 1 mg.

Introducir la muestra en un vaso de precipitados de 600 ml.

7.2.   Preparación de la solución

Añadir aproximadamente 400 ml de agua. Hervir durante 30 minutos. Dejar enfriar agitando de vez en cuando. Trasvasar cuantitativamente a un matraz aforado de 500 ml. Enrasar con agua. Homogeneizar por agitación.

Filtrar a través de un filtro seco en un recipiente seco. Desechar las primeras porciones del filtrado. El filtrado ha de estar perfectamente límpido.

Tapar el recipiente si la solución no va a utilizarse inmediatamente.

Método 8.4

Extracción del azufre soluble en agua presente en diversas formas

1.   Objeto

El presente documento define el método de extracción del azufre soluble en agua presente en los abonos en diversas formas.

2.   Ámbito de aplicación

El presente método se aplica a los abonos en los que, según lo dispuesto en anexo I, hay que declarar el trióxido de azufre soluble en agua.

3.   Principio

Disolución en agua fría del azufre y transformación en sulfato por oxidación con peróxido de hidrógeno en un medio alcalino.

4.   Reactivos

4.1.   Ácido clorhídrico diluido:

Un volumen de ácido clorhídrico (d20 = 1,18 g/ml) por un volumen de agua.

4.2. Solución de hidróxido sódico al 30 % como mínimo (d20 = 1,33 g/ml).

4.3. Solución de peróxido de hidrógeno al 30 % (p/p).

5.   Equipo

5.1. Matraz aforado de 500 ml (Stohmann).

5.2. Agitador rotativo regulado a 30/40 revoluciones por minuto.

5.3. Placa calefactora eléctrica de temperatura regulable.

6.   Preparación de la muestra

Véase método 1.

7.   Método

7.1.   Toma de muestra

a) Abono que contenga simultáneamente, y a lo sumo, un 3 % de azufre (S) (= 7,5 % SO3) y un 4 % de calcio (Ca) (= 5,6 % de CaO): pesar 5 g de abono con precisión de 1 mg.

b) Abono que contenga simultáneamente más de un 3 % de azufre (S) y de un 4 % de calcio (Ca): pesar 1 g de abono con precisión de 1 mg.

Introducir la muestra en un matraz de 500 ml (5.1).

7.2.   Preparación de la solución

Añadir aproximadamente 400 ml de agua. Tapar. Agitar (5.2) durante 30 minutos. Enrasar con agua. Homogeneizar por agitación. Filtrar a través de un filtro seco en un recipiente seco. Tapar si la solución no va a utilizarse inmediatamente.

7.3.   Oxidación de la alícuota que va a analizarse

Tomar una alícuota de la solución de extracción que no sea superior a 50 ml y, si fuese posible, contenga entre 20 y 100 mg de azufre (S).

Introducirla en un vaso de precipitados de capacidad adecuada. En caso necesario, llevar el volumen a unos 50 ml con agua. Añadir 3 ml de solución de hidróxido sódico (4.2) y 2 ml de solución de peróxido de hidrógeno (4.3). Tapar con un vidrio de reloj y dejar hervir moderadamente durante una hora sobre la placa calefactora (5.3). Añadir, en dosis de 1 ml, solución de peróxido de hidrógeno hasta que cese la reacción (a lo sumo, 5 ml).

Dejar enfriar y retirar y lavar el vidrio de reloj del vaso de precipitados. Acidificar con aproximadamente 20 ml de ácido clorhídrico diluido (4.1). Añadir agua hasta completar 300 ml.

Efectuar la determinación cuantitativa de los sulfatos de toda la solución oxidada siguiendo el método 8.9.

Método 8.5

Extracción y determinación cuantitativa del azufre elemental

Advertencia

En este método de análisis se utiliza disulfuro de carbono (CS2). Ello obliga a tomar medidas de seguridad especiales, en particular respecto a los puntos siguientes:

 almacenamiento de CS2,

 equipo de protección del personal,

 higiene en el trabajo,

 protección contra incendios y explosiones,

 eliminación del reactivo.

Este método requiere un personal altamente cualificado y el equipo de laboratorio adecuado.

1.   Objeto

El presente documento define el método de extracción y determinación cuantitativa del azufre elemental contenido en los abonos.

2.   Ámbito de aplicación

El presente método se aplica a los abonos CE en los que, según el anexo I, hay que declarar el azufre total en forma elemental.

3.   Principio

Extracción del azufre elemental con disulfuro de carbono previa eliminación de los compuestos solubles. Gravimetría del azufre extraído.

4.   Reactivo

Disulfuro de carbono.

5.   Equipo

5.1. Matraz de extracción de 100 ml de cuello esmerilado.

5.2. Aparato de Soxhlet, con sus correspondientes cartuchos filtrantes.

5.3. Evaporador rotatorio de vacío.

5.4. Estufa eléctrica con ventilación, regulada a 90 ± 2 °C.

5.5. Cápsulas de Petri de porcelana, con un diámetro de 5 a 7 cm y una altura no superior a 5 cm.

5.6. Placa calefactora eléctrica de temperatura regulable.

6.   Preparación de la muestra

Véase método 1.

7.   Método

7.1.   Toma de muestra

Introducir de 5 a 10 g de muestra pesados con precisión de 1 mg en un cartucho del aparato Soxhlet (5.2).

7.2.   Extracción del azufre

Lavar a fondo con agua caliente el contenido del cartucho para eliminar todos los compuestos solubles. Secar en estufa a 90 °C (5.4) durante, al menos, 1 hora. Introducir el cartucho en el aparato de Soxhlet (5.2).

Después de introducir en el matraz (5.1) unas cuantas perlas de vidrio, se tara (P0) y se introducen 50 ml de disulfuro de carbono (4.1).

Conectar el aparato y extraer el azufre elemental durante 6 horas. Suprimir el calentamiento, dejar enfriar y desconectar el matraz del aparato. Poner el matraz en el evaporador rotatorio (5.3) hasta que el contenido del matraz se solidifique en una masa esponjosa.

Secar el matraz en la estufa a 90 °C (5.4) hasta obtener una masa constante (P1). Suele bastar con una hora.

7.3.   Determinación de la pureza del azufre extraído

Es posible que se extraigan otras substancias a la vez que el azufre elemental con el disulfuro de carbono. Para determinar la pureza del azufre elemental, se procederá de la siguiente forma:

Después de homogeneizar lo mejor posible el contenido del matraz, tomar de 2 a 3 g de substancia y pesar con una precisión de 1 mg (n). Ponerlos en una cápsula de Petri (5.5) y pesarlo todo (P2). Ponerlo luego sobre la placa calefactora (5.6) regulada de tal forma que no supere los 220 °C para no provocar una combustión del azufre. Continuar la sublimación entre 3 y 4 horas hasta alcanzar una masa constante (P3).

Para algunos abonos no hará falta conocer la pureza del azufre, en cuyo caso se omitirá el punto 7.2.

8.   Expresión del resultado

El porcentaje en azufre elemental (S) del abono es igual a:

image

image

image

donde

m

=

la masa de la muestra de abono en g,

P0

=

la masa del matraz de Soxhlet en g,

P1

=

la masa del matraz de Soxhlet y del azufre impuro, una vez seco, en g,

n

=

la masa del azufre impuro utilizado para la purificación, en g,

P2

=

la masa de la cápsula de Petri,

P3

=

la masa de la cápsula de Petri después de la sublimación del azufre, en g.

Método 8.6

Determinación manganimétrica del calcio extraído por precipitación en forma de oxalato

1.   Objeto

El presente documento define el método para determinar el calcio presente en los extractos de abonos.

2.   Ámbito de aplicación

El presente método se aplica a los abonos CE en los que, según lo dispuesto en el anexo I, hay que declarar el calcio total y/o soluble en agua.

3.   Principio

Precipitación del calcio presente en una alícuota de la solución de extracción en forma de oxalato, tras separación y disolución de este último, por valoración del ácido oxálico con permanganato de potasio.

4.   Reactivos

4.1.   Ácido clorhídrico diluido:

Un volumen de ácido clorhídrico (d20 = 1,18 g/ml) por un volumen de agua.

4.2.   Ácido sulfúrico diluido (1:10):

Un volumen de ácido sulfúrico (d20 = 1,84 g/ml) por diez volúmenes de agua.

4.3.   Solución de amoníaco (1:1):

Un volumen de amoníaco (d20 = 0,88 g/ml) diluido en un volumen de agua.

4.4. Solución saturada de oxalato de amonio [(NH4)2 C2O4 · H2O] a temperatura ambiente (40 g/l aproximadamente).

4.5. Solución de ácido cítrico al 30 % (m/v).

4.6. Solución de cloruro de amonio al 5 % (m/v).

4.7. Solución de azul de bromotimol al 0,1 % (m/v) en etanol de 95 %.

4.8. Solución de verde de bromocresol al 0,04 % (m/v) en etanol de 95 %.

4.9. Solución valorada de permanganato de potasio 0,02 mol/l.

5.   Equipo

5.1. Crisol filtrante de vidrio sinterizado con una porosidad de 5 a 20 μ.

5.2. Baño maría.

6.   Preparación de la alícuota que va a analizarse

Con una pipeta de precisión, tomar una alícuota de la solución de extracción obtenida por el método 8.1 o por el 8.3, que contenga de 15 a 50 mg de Ca (= 21 a 70 mg de CaO). El volumen de esta alícuota será v2. Introducirla en un vaso de precipitados de 400 ml. Neutralizar, si fuera necesario, con unas gotas de la solución de amoníaco (4.3) (viraje del indicador 4.7 de verde a azul).

Añadir 1 ml de la solución de ácido cítrico (4.5) y 5 ml de la solución de cloruro de amonio (4.6).

7.   Precipitación del oxalato cálcico

Añadir aproximadamente 100 ml de agua. Hervir y añadir de 8 a 10 gotas de solución del indicador (4.8) y, gota a gota, 50 ml de solución caliente de oxalato de amonio (4.4). Si se forma un precipitado, disolverlo añadiendo unas gotas de ácidos clorhídrico (4.1). Neutralizar muy lentamente con la solución de amoníaco (4.3), agitando continuamente hasta alcanzar un pH de 4,4 a 4,6 (viraje del indicador 4.8 de verde a azul). Poner el vaso de precipitados al baño maría (5.2) y mantenerlo hirviendo durante 30 minutos.

Sacar el vaso de precipitados del baño maría, dejarlo en reposo durante una hora y filtrar sobre el crisol (5.1).

8.   Valoración del oxalato precipitado

Lavar el vaso de precipitados y el crisol hasta eliminar por completo el exceso de oxalato de amonio (lo que se podrá verificar comprobando la ausencia de cloruro en el agua de lavado). Introducir el crisol en el vaso de precipitados de 400 ml y disolver el precipitado con 50 ml de ácido sulfúrico caliente (4.2). Añadir agua al vaso de precipitados hasta 100 ml aproximadamente. Calentar hasta alcanzar una temperatura de 70 a 80 °C y valorar, gota a gota con la solución de permanganato (4.9) hasta que el color rosa se mantenga durante un minuto. Este volumen será n.

9.   Expresión del resultado

El contenido en calcio (Ca) del abono es igual a:

image

donde

n

=

volumen de permanganato utilizado, en ml

m

=

masa de la muestra en g,

v2

=

volumen de la alícuota en ml,

v1

=

volumen de la solución de extracción en ml,

t

=

concentración de la solución de permanganato en mol/l.

CaO (%) = Ca (%) × 1,400

Método 8.7

Determinación cuantitativa del magnesio por espectrometría de absorción atómica

1.   Objeto

El presente documento define el método para determinar el magnesio presente en extractos de abonos.

2.   Ámbito de aplicación

El presente método se aplica a los extractos de abonos CE obtenidos con los métodos 8.1 y 8.3 en los que hay que declarar el magnesio total y/o el magnesio soluble en agua, exceptuando los abonos siguientes, que figuran en el anexo I D, relativo a elementos nutrientes secundarios:

 tipo 4 (kieserita),

 tipo 5 (sulfato de magnesio) y tipo 5.1 (solución de sulfato de magnesio)

 y con la excepción así mismo del siguiente abono que figura en el anexo I A 3 relativo a los abonos potásicos:

 tipo 7 (kieserita con sulfato de potasio)

 a los que se aplicará el método 8.8.

El presente método se aplica a todos los extractos de abonos que contengan elementos en cantidad tal que puedan interferir en la determinación complexométrica del magnesio.

3.   Principio

Una vez diluido el extracto de forma adecuada, se determina el magnesio por espectrometría de absorción atómica.

4.   Reactivos

4.1. Ácido clorhídrico, 1 mol/l.

4.2. Ácido clorhídrico, 0,5 mol/l.

4.3.   Solución de calibración de magnesio, 1,00 m g/ml

4.3.1. Disolver 1,013 g de sulfato de magnesio (MgSO4 . 7H2O) en la solución de ácido clorhídrico 0,5 mol/l (4.2).

4.3.2. Alternativa 1: Pesar 1,658 g de óxido de magnesio (MgO) previamente calcinado para eliminar las trazas de recarbonatación. Introducirlo en un vaso de precipitados con 100 ml de agua y 120 ml de ácido clorhídrico 1 mol/l (4.1). Una vez disuelto, trasvasar cuantitativamente a un matraz aforado de 1 000 ml, enrasar con agua y homogeneizar por agitación.

o

4.3.3. Alternativa 2: Solución de calibración comercial

El laboratorio es responsable del control de estas soluciones de calibración.

4.4.   Solución de cloruro de estroncio

Disolver 75 g de cloruro de estroncio (SrCl2 · 6H2O) en una solución de ácido clorhídrico (4.2) y llevar a 500 ml con este mismo ácido.

5.   Equipo

Espectrómetro de absorción atómica provisto de una lámpara de magnesio y regulado a 285,2 nm.

Llama de acetileno y aire.

6.   Preparación de la solución problema

Véanse métodos 8.1 y 8.3.

7.   Método

7.1. Si el contenido declarado en magnesio (Mg) del abono es superior al 6 % (= 10 % de MgO), tomar 25 ml (V1) de la solución de extracción (6) e introducirla en un matraz aforado de 100 ml. Enrasar con agua. Homogeneizar. El factor de dilución será D1 = 100/V1.

7.2. Con una pipeta, tomar 10 ml de la solución de extracción (6) o de la solución (7.1); introducirla en un matraz aforado de 200 ml. Enrasar con la solución de ácido clorhídrico 0,5 mol/l (4.2). Homogeneizar. Factor de dilución: 200/10.

7.3. Diluir esta solución (7.2) con la solución de ácido clorhídrico 0,5 mol/l (4.2), hasta obtener una concentración correspondiente al intervalo óptimo de medidas del espectrómetro (5.1). V2 será el volumen de la extracción en 100 ml. El factor de dilución será D2 = 100/V2.

La solución final deberá contener un 10 % v/v de la solución de cloruro de estroncio (4.4).

7.4.   Preparación de la solución en blanco

Preparar una solución en blanco siguiendo todo el procedimiento desde la extracción (métodos de extracción 8.1 u 8.3) y omitiendo únicamente la toma de muestra de abono.

7.5.   Preparación de las soluciones para trazar la curva de calibración

Diluir la solución de calibración (4.3) con ácido clorhídrico 0,5 mol/l; preparar, como mínimo, 5 soluciones de calibración de concentración creciente que correspondan al intervalo óptimo de medidas del aparato (5.1).

Estas soluciones deberán contener un 10 % v/v de la solución de cloruro de estroncio (4.4).

7.6.   Mediciones

Preparar el espectrómetro (5.1) para medir a 285,2 nm.

Pulverizar sucesivamente las soluciones de calibración (7.5), la solución del problema (7.3) y la solución en blanco (7.4), lavando el instrumento con la solución que vaya a medirse a continuación. Repetir esta operación 3 veces. Representar la curva de calibración poniendo en ordenadas las absorbancias de cada una de las calibraciones (7.5) en el espectrómetro y, en abscisas, las concentraciones en magnesio correspondientes expresadas en μ g/ml. Partiendo de esta curva, determinar la concentración en magnesio de la muestra (7.3), esto es Xs, y la concentración de la solución en blanco (7.4), esto es Xb.

8.   Expresión del resultado

Calcular la cantidad de magnesio (Mg) o de óxido de magnesio (MgO) de la muestra partiendo de las soluciones de calibración y teniendo en cuenta el ensayo en blanco.

El contenido en magnesio (Mg) del abono en porcentaje es igual a:

image

donde

Xs

=

concentración de la solución problema dada en la curva de calibración, en μ g/ml.

Xb

=

concentración de la solución en blanco dada en la curva de calibración, en μ g/ml.

D1

=

factor de dilución después de la dilución especificada en el punto 7.1.

 Éste será igual a 4 cuando se extraigan 25 ml

 Éste será igual a 1 cuando no se haga la dilución.

 D2 = factor de dilución del punto 7.3.

 M = masa de la muestra en el momento de la extracción.

 MgO (%) = Mg (%)/0,6

Método 8.8

Determinación cuantitativa del magnesio por complexometría

1.   Objeto

El presente documento define un procedimiento para la determinación del magnesio en los extractos de abonos.

2.   Ámbito de aplicación

El presente método se aplica a los extractos de abonos CE siguientes, para los que se establece la determinación cuantitativa del magnesio total y/o del magnesio soluble en agua:

 abonos que figuran en el anexo I: abonos simples nitrogenados de tipo 1 b + 1 c (nitrato cálcico y de magnesio), tipo 7 (sulfonitrato de magnesio), tipo 8 (abono nitrogenado con magnesio) y abonos simples potásicos del tipo 2 (sal bruta de potasa enriquecida), tipo 4 (cloruro de potasio con magnesio) y tipo 6 (sulfato de potasio con sal de magnesio),

 abonos que figuran en el anexo I, relativo a elementos nutrientes secundarios.

3.   Principio

Disolución del magnesio por uno de los métodos 8.1 y/o 8.3. Primera valoración con EDTA de Ca+Mg, en presencia de negro de eriocromo T. Segunda valoración con EDTA de Ca, en presencia de calceína o de ácido calconcarbónico. Determinación del magnesio por diferencia.

4.   Reactivos

4.1.   Solución de calibración de magnesio 0,05 mol/l:

4.1.1. Alternativa 1: disolver 1,232 g de sulfato de magnesio (MgSO4 . 7H2O) en la solución de ácido clorhídrico 0,5 mol/l (4.11) y llevar a 100 ml con este mismo ácido,

o

4.1.2. Alternativa 2: pesar 2,016 g de óxido de magnesio previamente calcinado para eliminar cualquier recarbonatación. Introducirlos en un vaso de precipitados con 100 ml de agua.

Añadir, mientras se agita, unos 120 ml de ácido clorhídrico aproximadamente 1 mol/l (4.12).

Conseguida la disolución, trasvasar cuantitativamente a un matraz aforado de 1 000 ml, enrasar y homogeneizar.

Un ml de dichas soluciones deberá contener 1,216 mg de Mg (= 2,016 mg de MgO).

El laboratorio ha de controlar el título de esta solución de calibración.

4.2.   Solución 0,05 mol/l de EDTA

Pesar 18,61 g de sal disódica dihidratada de ácido etilendiaminotetraacético (C10H14N2Na2O8 . 2H2O), introducirlos en un vaso de precipitados de 1 000 ml y disolver en unos 600 a 800 ml de agua. Trasvasar la solución cuantitativamente a un matraz aforado de 1 000 ml. Enrasar y homogeneizar. Controlar esta solución con la solución de calibración (4.1), extrayendo 20 ml de esta última y valorando según la técnica analítica descrita en el punto (7.2).

Un ml de la solución de EDTA deberá corresponder a 1,216 mg de Mg (= 2,016 mg de MgO) y a 2,004 mg de Ca (= 2,804 mg de CaO) (véanse las observaciones de los puntos 10.1 y 10.6).

4.3.   Solución de calibración de calcio 0,05 mol/l

Pesar 5,004 g de carbonato cálcico para análisis en seco e introducirlos en un vaso de precipitados con 100 ml de agua. Añadir progresivamente, mientras se agita, 120 ml de ácido clorhídrico aproximadamente 1 mol/l (4.12).

Hervir para expulsar el anhídrido carbónico, enfriar y trasvasar cuantitativamente a un matraz aforado de 1 l. Completar el volumen con agua y homogeneizar. Controlar la correspondencia de esta solución con la solución (4.2) según la técnica analítica (7.3). Un ml de esta solución deberá contener 2,004 mg de Ca (= 2,804 mg de CaO) y corresponder a 1 ml de la solución de EDTA 0,05 mol/l (4.2).

4.4.   Indicador de calceína

Mezclar cuidadosamente en un mortero 1 g de calceína con 100 g de cloruro sódico. Utilizar 0,010 g de esta mezcla. El indicador cambiará de verde a naranja. Se deberá valorar hasta que se obtenga un naranja sin reflejos verdes.

4.5.   Indicador ácido calconcarbónico

Disolver 400 mg de ácido calconcarbónico en 100 ml de metanol. Esta solución se conserva estable durante 4 semanas aproximadamente. Utilizar 3 gotas de dicha solución. El indicador cambiará de rojo a azul. Se deberá valorar hasta obtener un azul sin reflejos rojos.

4.6.   Indicador negro de eriocromo T

Disolver 300 mg de negro de eriocromo T en un mezcla de 25 ml de 1-propanol y de 15 ml de trietanolamina. Esta solución se conserva estable durante 4 semanas aproximadamente. Utilizar 3 gotas de esta solución. Este indicador cambiará de rojo a azul y deberá valorarse hasta que se obtenga un azul sin reflejos rojos. Sólo cambiará en presencia de magnesio. Si fuera necesario, añadir 1 ml de la solución de calibración (4.1).

En presencia simultánea de calcio y de magnesio, el EDTA se combinará primero con el calcio y, a continuación, con el magnesio. En tal caso, se valorarán conjuntamente ambos elementos.

4.7.   Solución de cianuro de potasio

Solución acuosa de KCN al 2 % (no se puede pipetear con la boca, véase 10.7).

4.8.   Solución de hidróxido de potasio y de cianuro de potasio

Disolver 280 g de KOH y 66 g de KCN en agua, completar el volumen hasta 1 l y homogeneizar.

4.9.   Solución tampón pH 10,5

En un matraz aforado de 500 ml, disolver 33 g de cloruro de amonio en 200 ml de agua, añadir 250 ml de amoníaco (d20 = 0,91 g/ml), enrasar con agua y homogeneizar. Comprobar con regularidad el pH de esta solución.

4.10. Ácido clorhídrico diluido: un volumen de ácido clorhídrico (d20 = 1,18 g/ml) por un volumen de agua.

4.11. Solución de ácido clorhídrico, aproximadamente 0,5 mol/l.

4.12. Solución de ácido clorhídrico, aproximadamente 1 mol/l.

4.13. Solución de hidróxido sódico 5 mol/l.

5.   Equipo

5.1. Agitador magnético o mecánico.

5.2. Medidor de pH (pH-metro).

6.   Ensayo de control

Efectuar una determinación en alícuotas de las soluciones 4.1 y 4.3, de tal forma que se tenga una relación Ca/Mg aproximadamente igual a la de la solución problema. A tal efecto, tomar (a) ml de la solución de calibración Mg (4.3) y (b-a) ml de la solución de calibración (4.1), siendo (a) y (b) los ml de solución de EDTA utilizados en las dos valoraciones efectuadas con la solución problema. Este procedimiento sólo es correcto si las soluciones de EDTA, de calcio y de magnesio son exactamente equivalentes. En caso contrario, deberán efectuarse las correcciones pertinentes.

7.   Preparación de la solución problema

Véanse métodos 8.1 y 8.3.

8.   Determinación cuantitativa

8.1.   Alícuotas que han de extraerse

Dentro de los posible, la alícuota deberá contener entre 9 y 18 mg de magnesio (= 15 a 30 mg de MgO).

8.2.   Valoración en presencia de negro de eriocromo T

Pipetear una alícuota (7.1) de la solución problema e introducirla en un vaso de precipitados de 400 ml. Neutralizar, utilizando el pH-metro, el exceso de ácido con la solución de hidróxido sódico 5 mol/l (4.13). Diluir con agua hasta unos 100 ml. Añadir 5 ml de solución tampón (4.9). El pH medido con el pH-metro deberá ser de 10,5 ± 0,1. Añadir 2 ml de solución de cianuro de potasio (4.7) y 3 gotas de indicador negro de eriocromo T (4.6). Valorar con una solución de EDTA (4.2), mientras se agita con moderación en el agitador (5.1). (Véanse los puntos 10.2, 10.3 y 10.4). Serán «b» los ml de solución de EDTA 0,05 mol/l.

8.3.   Valoración en presencia de calceína o de ácido calconcarbónico

Pipetear una alícuota de la solución problema, igual a la utilizada para la valoración anterior, e introducirla en un vaso de precipitados de 400 ml. Neutralizar, utilizando el pH-metro, el exceso de ácido con la solución de hidróxido sódico 5 mol/l (4.13). Diluir con agua hasta unos 100 ml. Añadir 10 ml de la solución de KOH/KCN (4.8) y el indicador 4.4 o 4.5. Valorar con una solución de EDTA (4.2) mientras se agita con moderación en el agitador (5.1). (Véanse los apartados 10.2, 10.3 y 10.4). Serán «a» los ml de solución EDTA 0,05 mol/l.

9.   Expresión del resultado

Para los abonos CE a los que se aplica el presente método (5 g de abono por 500 ml de extracto), el contenido del abono es igual a:

image

image

donde

a

=

ml de EDTA 0,05 mol/l utilizados para la valoración en presencia de calceína o de ácido calconcarbónico,

b

=

ml de EDTA 0,05 mol/l utilizados para la valoración en presencia de negro de eriocromo T,

M

=

masa de la muestra, expresada en gramos, presente en la alícuota tomada,

T

=

0,2016 × mol/l de la solución de EDTA/0,05 (véase 4.2),

T′

=

0,1216 × mol/l de la solución de EDTA/0,05 (véase 4.2).

10.   Observaciones

10.1. La relación estequiométrica EDTA/metal en los análisis por complexometría siempre es de 1:1, sea cual sea la valencia del metal y aunque el EDTA sea tetravalente. Por lo tanto, la solución de valoración de EDTA y las soluciones de calibración serán molares y no normales.

10.2. Los indicadores complexométricos suelen ser sensibles al aire. La solución puede perder color durante la valoración. Deberá añadirse entonces una o dos gotas de indicador. Esto ocurre sobre todo con el negro de eriocromo T y el ácido calconcarbónico.

10.3. Los complejos metal-indicador son a veces relativamente estables y pueden tardar en virar. Por ello se deberán añadir lentamente las últimas gotas de EDTA y comprobar que no se ha superado el viraje añadiendo una gota de la solución 0,05 mol/l de magnesio (4.1) o de calcio (4.3), especialmente para el complejo eriocromo-magnesio.

10.4. El viraje del indicador no deberá observarse de arriba abajo, sino horizontalmente a través de la solución, y el vaso de precipitados deberá colocarse sobre un fondo blanco en una posición adecuada con relación a la luz. El viraje también puede observarse fácilmente colocando el vaso de precipitados sobre un vidrio esmerilado, alumbrado por debajo con una luz moderada (lámpara de 25 W).

10.5. Este análisis requiere cierta experiencia y conviene ejercitarse, por ejemplo, observando los virajes de las soluciones de calibración 4.1 y 4.3. Es preferible que sea el mismo analista del laboratorio quien efectúe las determinaciones.

10.6. Para facilitar el control de la equivalencia entre las soluciones de calibración 4.1, 4.2 y 4.3 se puede utilizar una solución de EDTA de título declarado (Tritisol o Normex, por ejemplo).

10.7. No deben verterse a la red de alcantarillado las soluciones que contengan cianuro de potasio sin haber transformado previamente el cianuro en un compuesto inocuo, por ejemplo, por oxidación con hipoclorito sódico, después de alcalinizarlo.

Método 8.9

Determinación cuantitativa de los sulfatos

1.   Objeto

El presente documento define el método para determinar el azufre en forma de sulfato presente en extractos de abonos.

2.   Ámbito de aplicación

El presente método se aplica a la determinación cuantitativa de los sulfatos presentes en las extracciones efectuadas según los métodos 8.1, 8.2, 8.3 y 8.4.

3.   Principio

Determinación gravimétrica de los sulfatos por precipitación en forma de sulfato de bario.

4.   Reactivos

4.1.   Ácido clorhídrico diluido:

Un volumen de ácido clorhídrico (d20 = 1,18 g/ml) por un volumen de agua.

4.2. Solución de cloruro de bario BaCl2 . 2H2O, de 122 g/l.

4.3. Solución de nitrato de plata, 5 g/l.

5.   Equipo

5.1. Crisoles de porcelana.

5.2. Baño maría.

5.3. Estufa de secado regulada a 105 °C (± 1) °C

5.4. Horno eléctrico, con circulación de aire, regulado a 800 °C (± 50) °C

6.   Método

6.1.   Preparación de la solución

Con una pipeta tomar una alícuota de una de las soluciones de extracción mencionadas en el punto 2 que contenga entre 20 y 100 mg de S, es decir, entre 50 y 250 mg de SO3.

Introducir esta alícuota en un vaso de precipitados de capacidad adecuada. Añadir 20 ml de ácido clorhídrico diluido (4.1). Añadir agua hasta 300 ml.

6.2.   Obtención del precipitado

Hervir la solución, añadiendo, gota a gota, aproximadamente 20 ml de la solución de cloruro de bario (4.2) agitando enérgicamente la solución en el vaso de precipitados. Continuar la ebullición durante unos minutos.

Poner al baño maría hirviendo (5.2) el vaso de precipitados cubierto con un vidrio de reloj durante 1 hora. A continuación, dejar en reposo y en caliente (aproximadamente 60 °C) hasta que el líquido sobrenadante quede claro. Decantar la solución clara a través de un filtro sin cenizas de filtración lenta. Lavar el precipitado varias veces por decantación con un volumen adecuado de agua caliente. Seguir lavando el precipitado en el filtro hasta la eliminación de los cloruros, lo cual se comprobará con la solución de nitrato de plata (4.3).

6.3.   Calcinación y pesaje del precipitado

Introducir el filtro con el precipitado en un crisol de porcelana (5.1), previamente tasado con precisión de 0,1 mg. Secar en la estufa (5.3) y calcinar a 800 °C (5.4) aproximadamente, durante media hora. Dejar enfriar en un desecador y pesar con precisión de 0,1 mg.

7.   Expresión del resultado

Un mg de sulfato de bario corresponde a 0,137 mg de S o a 0,343 mg de SO3.

El contenido del abono en % de S es igual a:

image

image

donde

w

=

masa del precipitado de sulfato de bario, en mg,

v1

=

volumen de la solución de extracción, en ml,

v2

=

volumen de la alícuota, en ml,

m

=

masa de la muestra, en g.

Método 8.10

Determinación cuantitativa del sodio extraído

1.   Objeto

El presente documento define el método de determinación cuantitativa del sodio presente en los extractos de abonos.

2.   Ámbito de aplicación

El presente método se aplica a los abonos CE en los que, según lo dispuesto en el anexo I, hay que declarar el sodio.

3.   Principio

Tras haber diluido convenientemente el extracto obtenido con los métodos 8.1 y/o 8.3, se determinará por espectrometría de emisión de llama el contenido en sodio de la solución.

4.   Reactivos

4.1.   Ácido clorhídrico diluido:

Un volumen de ácido clorídrico (d20 = 1,18 g/ml) por un volumen de agua.

4.2. Nitrato de aluminio, Al(NO3)3 . 9H2O.

4.3. Cloruro de cesio, CsCl.

4.4. Cloruro sódico anhidro, NaCl.

4.5.   Solución de cloruro de cesio y de nitrato de aluminio

En un matraz aforado de 1 000 ml, disolver en agua 50 g de cloruro de cesio (4.3) y 250 g de nitrato de aluminio (4.2). Enrasar con agua y homogeneizar por agitación.

4.6.   Solución de calibración de sodio de 1 m g/ml Na

En un matraz aforado de 1 000 ml, disolver en agua 2,542 g de cloruro sódico (4.4). Añadir 10 ml de ácido clorhídrico (4.1). Enrasar con agua. Homogeneizar por agitación.

5.   Equipo

Espectrómetro de emisión de llama regulado a 589,3 nm.

6.   Soluciones de calibración

6.1. Introducir 10 ml de solución de calibración (4.6) en un matraz aforado de 250 ml. Enrasar con agua. Homogeneizar por agitación. Concentración de la solución: 40 μg/ml de Na.

6.2. En matraces aforados de 100 ml introducir 0, 5, 10, 15, 20 y 25 ml de la solución intermedia (6.1). Añadir 10 ml de la solución (4.5). Enrasar con agua. Homogeneizar por agitación. Concentración de las soluciones: 0, 2, 4, 6, 8 y 10 μg/ml de Na.

7.   Preparación de las soluciones problema

Dependiendo del contenido en sodio previsto de la solución de extracción (5 g de abono en 500 ml) obtenida siguiendo el método 8.1 o el método 8.3, efectuar las diluciones según el siguiente cuadro:



Na2O (%)

Na (%)

Dilución intermedia

Dilución final

Factor de dilución

Alícuota (ml)

(v2)

Dilución en ml (v3)

Alícuota (ml)

(v4)

Dilución en ml

3-5

2,2-3,7

10

50

10

100

50

5-10

3,7-7,4

10

100

10

100

100

10-20

7,4-15

10

100

5

100

200

20-38

15-28

5

100

5

100

400

La dilución intermedia se hará con agua. Para la dilución final, se añadirán 10 ml de la solución (4.5) en el matraz aforado de 100 ml.

Para una muestra de 1 g, multiplíquese por 5 la alícuota de la dilución final (v4).

8.   Determinación

Preparar el espectrómetro (5.1) para efectuar mediciones a 589,3 nm. Calibrar el aparato midiendo la respuesta de las soluciones de calibración (6.2). Regular después la sensibilidad del aparato de forma que se utilice totalmente su escala cuando se emplee la solución de calibración más concentrada. A continuación, medir la respuesta de la solución de la muestra que vaya a analizarse (7). Repetir la operación 3 veces.

9.   Expresión del resultado

Representar la curva de calibración poniendo en ordenadas las medias de las respuestas de cada una de las soluciones de calibración y, en abscisas, la concentraciones correspondientes expresadas en μ g/ml. A partir de ésta, calcular la concentración en sodio de la solución de la muestra. Calcular la cantidad de sodio a partir de las soluciones de calibración teniendo en cuenta las diluciones. Expresar los resultados en porcentajes de la muestra.

El porcentaje en sodio (Na) del abono es igual a:

image

image

donde

x

=

concentración de la solución introducida en el espectrómetro, en μg/ml.

v1

=

volumen de la solución de extracción, en ml.

v2

=

volumen de la alícuota en la disolución intermedia, en ml.

v3

=

volumen de la dilución intermedia, en ml.

v4

=

volumen de la alícuota en ml en la dilución final (a 100 ml).

m

=

masa de la muestra, en g.

Método 9

Micronutrientes en concentraciones iguales o inferiores al 10 %

Método 9.1

Extracción de los micronutrientes totales

1.   Objeto

En el presente documento se establece el método de extracción de los siguientes micronutrientes: boro total, cobalto total, cobre total, hierro total, manganeso total, molibdeno total y zinc total. El objetivo consiste en efectuar un mínimo de extracciones de forma que pueda utilizarse, siempre que ello sea posible, el mismo extracto para determinar el contenido total de cada uno de los micronutrientes citados.

2.   Ámbito de aplicación

El presente método se aplica a los abonos CE contemplados en el anexo I E en los que hay que declarar uno o varios de los siguientes micronutrientes: boro, cobalto, cobre, hierro, manganeso, molibdeno y zinc. Se puede usar para la determinación de cada uno de los micronutrientes cuyos contenidos declarados sean iguales o inferiores al 10 %.

3.   Principio

Disolución en ácido clorhídrico diluido en ebullición.

Nota

La extracción es empírica y puede ser más o menos cuantitativa según el producto o los demás componentes del abono. En particular, para determinados dióxidos de manganeso, las cantidades extraídas pueden ser muy inferiores a la totalidad del manganeso contenido en el producto. Es responsabilidad de los fabricantes de abonos garantizar que el contenido declarado corresponde efectivamente a la cantidad solubilizada en las condiciones del método.

4.   Reactivos

4.1.   Solución de ácido clorhídrico diluido, aproximadamente 6 mol/l

Mezclar 1 volumen de ácido clorhídrico (d20 = 1,18 g/ml) con 1 volumen de agua.

4.2. Amoníaco concentrado (NH4OH, d20 = 0,9 g/ml).

5.   Equipo

Placa calefactora eléctrica de temperatura regulable.

Nota

Si se prevé la determinación del boro, debe descartarse el empleo de vidrio de borosilicato. Será más conveniente el uso de teflón o sílice en la extracción por ebullición. Si se utilizan detergentes que contengan boratos para lavar los utensilios de vidrio, éstos deben aclararse cuidadosamente.

6.   Reparación de la muestra

Véase el método 1.

7.   Método

7.1.   Toma de muestra

Pesar una cantidad de abono comprendida entre 2 y 10 g, dependiendo del contenido declarado de elemento en el producto. Debe utilizarse el cuadro siguiente para obtener una solución final que, una vez diluida convenientemente, se sitúe en el intervalo de medida de cada método. Las muestras se pesarán con una precisión de 1 mg.



Contenido declarado de micronutriente en el abono (%)

< 0,01

0,01-< 5

≥ 5-10

Masa de la toma de muestra (g)

10

5

2

Masa del elemento en la toma de muestra (mg)

1

0,5-250

100-200

Volumen del extracto V (ml)

250

500

500

Concentración del elemento en el extracto (mg/l)

4

1-500

200-400

Introducir las tomas de muestra en vasos de precipitados de 250 ml.

7.2.   Preparación de la solución

Si fuera necesario, humectar la toma de muestra con un poco de agua, añadir primeramente 1 volumen de ácido clorhídrico diluido (4.1) en pequeñas fracciones y con precaución, a razón de 10 ml por gramo de abono utilizado, luego añadir aproximadamente 50 ml de agua. Tapar el vaso de precipitados con un vidrio de reloj y mezclar. Hervir durante 30 minutos sobre la placa calefactora. Dejar enfriar, agitando de vez en cuando. Trasvasar cuantitativamente a un matraz aforado de 250 o 500 ml (véase el cuadro). Enrasar con agua. Homogeneizar. Pasar a través de un filtro seco a un recipiente seco. Desechar las primeras porciones del filtrado. El extracto ha de estar perfectamente límpido.

Proceder lo más rápidamente posible a la determinación sobre partes alícuotas del filtrado claro. Si no es así, tapar el recipiente.

Extractos en los que se debe determinar el contenido de boro: deben ser llevados a un pH comprendido entre 4 y 6 con amoníaco concentrado (4.2).

8.   Determinación

La determinación de cada micronutriente se efectuará sobre partes alícuotas adaptadas a los métodos específicos de cada uno de los micronutrientes.

Sobre una parte alícuota eliminar, si procede, los agentes quelatantes o complejantes orgánicos según el método 9.3. Se recuerda que esta eliminación no suele ser necesaria en la determinación por espectrometría de absorción atómica.

Método 9.2

Extracción de los micronutrientes solubles en agua

1.   Objeto

En el presente documento se define el método de extracción de las formas solubles en agua de los siguientes micronutrientes: boro, cobalto, cobre, hierro, manganeso, molibdeno y zinc. El objetivo consiste en efectuar un mínimo de extracciones de forma que pueda utilizarse, siempre que sea posible, el mismo extracto para determinar el contenido de cada uno de estos micronutrientes.

2.   Ámbito de aplicación

El presente método se aplica a los abonos CE contemplados en el anexo I en los que hay que declarar uno o varios de los micronutrientes siguientes: boro, cobalto, cobre, hierro, manganeso, molibdeno y zinc. Se aplica a la determinación de cada uno de los micronutrientes cuyos contenidos declarados sean iguales o inferiores al 10 %.

3.   Principio

La extracción de los micronutrientes se efectúa agitando el abono en agua a una temperatura de 20 °C + 2 °C.

Nota

La extracción es empírica y puede ser más o menos cuantitativa.

4.   Reactivos

4.1.   Solución de ácido clorhídrico (HCl) diluido, aproximadamente 6 mol/l:

Mezclar 1 volumen de ácido clorhídrico (d20 = 1,18 g/ml) con 1 volumen de agua.

5.   Equipo

5.1. Agitador rotatorio ajustado a 35 a 40 revoluciones por minuto, aproximadamente.

5.2. pH-metro

Nota

Si se prevé la determinación cuantitativa del boro presente en el extracto, debe descartarse el uso de vidrio borosilicatado. Para esta extracción puede ser conveniente el teflón o la sílice. Si se utilizan detergentes que contengan boratos para lavar los utensilios de vidrio, éstos deben aclararse a fondo.

6.   Preparación de la muestra

Véase el método 1.

7.   Método

7.1.   Toma de muestra

Tomar una cantidad de abono comprendida entre 2 y 10 g dependiendo del contenido en elemento que se espere encontrar en el producto. Debe utilizarse el cuadro siguiente para obtener una solución final que, una vez diluida convenientemente, se sitúe en el intervalo de medida de cada método. Las tomas de muestra se pesarán con una precisión de 1 mg.



Contenido declarado de micronutriente en el abono (%)

< 0,01

0,01-< 5

≥ 5-10

Masa de la toma de muestra (g)

10

5

2

Masa del elemento en la toma de muestra (mg)

1

0,5-250

100-200

Volumen del extracto V (ml)

250

500

500

Concentración del elemento en el extracto (mg/l)

4

1-500

200-400

Colocar la toma de muestra en un matraz de 250 ml o de 500 ml (según el cuadro).

7.2.   Preparación de la solución

Añadir aproximadamente 200 ml de agua, si el matraz es de 250 ml, y 400 ml de agua si es de 500 ml.

Tapar el frasco con cuidado. Agitar enérgicamente a mano para obtener una buena dispersión del producto. Colocar el matraz en el agitador. Tener el aparato en funcionamiento por espacio de 30 minutos.

Enrasar con agua. Homogeneizar.

7.3.   Preparación de la solución para la determinación.

Filtrar inmediatamente en un frasco limpio y seco. Tapar el frasco. Proceder a la determinación inmediatamente después de la filtración.

Si se produjese un enturbiamiento progresivo del extracto, efectuar una nueva extracción según 7.1 y 7.2 en un matraz de volumen Ve. Filtrar sobre un matraz aforado de volumen (W), previamente seco en el que se habrán vertido 5 ml exactamente medido de una solución de ácido clorhídrico (4.1). Interrumpir la filtración en el momento preciso en el que se alcanza la línea de enrase. Homogeneizar.

En estas condiciones el valor de V que figura en la expresión de resultado es:

image

Las diluciones que figuran en la expresión de resultados se basan en este valor de V.

8.   Determinación

La determinación de cada micronutriente se efectuará en partes alícuotas adaptadas a los métodos específicos de cada uno de los micronutrientes.

En una parte alícuota, eliminar, si procede, los agentes quelatantes o complejantes orgánicos según el método 9.3. Se recuerda que esta eliminación no suele ser necesaria en la determinación por espectrometría de absorción atómica.

Método 9.3

Eliminación de los compuestos orgánicos en los extractos de abonos

1.   Objeto

En el presente documento se define el método de eliminación de los compuestos orgánicos en los extractos de abonos.

2.   Ámbito de aplicación

El presente método se aplica a los extractos de abonos obtenidos por los métodos 9.1 y 9.2 para los cuales se establece en el anexo I E del presente Reglamento una determinación cuantitativa del elemento total y/o del elemento soluble en agua.

Nota

La presencia de materia orgánica en pequeñas cantidades casi nunca influye en las determinaciones por espectrometría de absorción atómica.

3.   Principio

Los compuestos orgánicos contenidos en una alícuota del extracto se oxidan con peróxido de hidrógeno.

4.   Reactivos

4.1.   Solución de ácido clorhídrico (HCl) diluido, aproximadamente 0,5 mol/l:

Mezclar 1 volumen de ácido clorhídrico (d20 = 1,18 g/ml) con 20 volúmenes de agua.

4.2. Solución de peróxido de hidrógeno (30 % H2O2, d20 = 1,11 g/ml), exenta de micronutrientes.

5.   Equipo

Placa calefactora eléctrica de temperatura regulable.

6.   Método

Tomar 25 ml de la solución de extracción siguiendo el método 9.1 o el método 9.2 e introducirlos en un vaso de precipitados de 100 ml. Si se trata de la extracción 9.2, añadir 5 ml de la solución de ácido clorhídrico diluido (4.1). Añadir a continuación 5 ml de la solución de peróxido de hidrógeno (4.2). Cubrir con un vidrio de reloj. Dejar oxidar en frío durante aproximadamente 1 hora y, a continuación, hervir progresivamente y mantener en ebullición durante media hora. Si es necesario, añadir otros 5 ml de peróxido de hidrógeno a la solución templada y proseguir la destrucción de los compuestos orgánicos; después, eliminar el exceso de peróxido de hidrógeno mediante ebullición. Dejar enfriar y trasvasar cuantitativamente a un matraz aforado de 50 ml. Ajustar al volumen con agua. Homogeneizar. Filtrar si es necesario.

Se contará con esta dilución al 50 % a la hora de tomar las alícuotas y al calcular el porcentaje de micronutriente del producto.

Método 9.4

Determinación cuantitativa de micronutrientes en los extractos de abonos por espectrometría de absorción atómica

(procedimiento general)

1.   Objeto

El presente documento define el método general para la determinación cuantitativa por medio de la espectrometría de absorción atómica de determinados micronutrientes contenidos en extractos de abonos.

2.   Ámbito de aplicación

El presente método se aplica a los extractos de abonos obtenidos por los métodos 9.1 y 9.2 para los cuales se establece en el anexo I E del presente Reglamento una determinación cuantitativa de elemento total y/o elemento soluble en agua.

Las adaptaciones particulares de este procedimiento a cada micronutriente se especifican en los métodos relativos al elemento en cuestión.

Nota

La presencia de materia orgánica en pequeñas cantidades casi nunca influye en las determinaciones por espectrometría de absorción atómica.

3.   Principio

Tras un posible tratamiento del extracto para reducir o eliminar las especies químicas que interfieren, se diluye el extracto de manera tal que su concentración se sitúe en la zona de respuesta óptima del espectrómetro para una longitud de onda adaptada al micronutriente en cuestión.

4.   Reactivos

4.1.   Solución de ácido clorhídrico (HCl) diluido, aproximadamente 6 mol/l:

Mezclar 1 volumen de ácido clorhídrico (d20 = 1,18 g/ml) con 1 volumen de agua.

4.2.   Solución de ácido clorhídrico (HCl) diluido, aproximadamente 0,5 mol/l:

Mezclar 1 volumen de ácido clorhídrico (d20 = 1,18 g/ml) con 20 volúmenes de agua.

4.3.   Solución de sal de lantano, de 10 g de La por litro

Este reactivo se emplea para la determinación cuantitativa del cobalto, hierro, manganeso y zinc. Puede prepararse a partir de:

a) En un matraz aforado de 1 l, verter 11,73 g de óxido de lantano (La2O3) en 150 ml de agua y añadir a continuación 120 ml de ácido clorhídrico 6 mol/l (4.1). Dejar que se disuelva y enrasar con agua. Homogeneizar. La concentración de esta solución en ácido clorhídrico libre es 0,5 mol/l, aproximadamente. O bien

b) En un matraz aforado de 1 l, disolver 26,7 g de cloruro de lantano heptahidratado (LaCl3 . 7H2O) o 31,2 g de nitrato de lantano hexahidratado [La(NO3)3 . 6H2O] o 26,2 g de sulfato de lantano nonahidratado [La2(SO4)3 . 9H2O] en 150 ml de agua; añadir 85 ml de ácido clorhídrico 6 mol/l (4.1) y enrasar con agua. Homogeneizar. La concentración de esta solución en ácido clorhídrico es 0,5 mol/l, aproximadamente.

4.4.   Soluciones de calibración

Para su preparación, véanse los métodos de determinación cuantitativa propios de cada micronutriente.

5.   Equipo

Espectrómetro de absorción atómica capaz de recibir las fuentes que emitan las líneas características de los micronutrientes estudiados.

Para su utilización, el químico se ajustará a las instrucciones del fabricante del aparato y deberá estar familiarizado con su manipulación. El aparato debe permitir corregir el fondo de llama, por si fuera necesario (Co y Zn). Los gases empleados serán el aire y el acetileno.

6.   Preparación de la solución problema

6.1.   Disolución de los micronutrientes que deben determinarse

Véanse los métodos 9.1 y/o 9.2 y, si procede, el método 9.3.

6.2.   Preparación de la solución de ensayo

Diluir una alícuota del extracto obtenido siguiendo los métodos 9.1, 9.2 o 9.3 con agua o ácido clorhídrico (4.1) o (4.2) de manera que se obtenga, en la solución final para la medida, una concentración del elemento en cuestión adecuada al intervalo de calibración empleada (7.2) y una concentración de ácido clorhídrico como mínimo 0,5 mol/l, pero no más de 2,5 mol/l. Esta operación puede requerir una o varias diluciones sucesivas.

Tomar una alícuota de la última solución de dilución del extracto, siendo (a) el volumen en ml, y verterla en un matraz aforado de 100 ml. Para la determinación del cobalto, hierro, manganeso y zinc, añadir 10 ml de la solución de sal de lantano elegida (4.3). Enrasar con la solución de ácido clorhídrico 0,5 mol/l (4.2) y homogeneizar. Esta será la solución final para la medida, siendo D el factor de dilución.

7.   Método

7.1.   Preparación del ensayo en blanco

Preparar una solución en blanco siguiendo todo el proceso desde la extracción y omitiendo únicamente la toma de muestra de abono.

7.2.   Preparación de las soluciones de calibración

A partir de la solución de calibración de trabajo preparada según el método descrito para cada micronutriente, preparar, en matraces aforados de 100 ml, una serie de, como mínimo, 5 soluciones de calibración de concentración creciente que correspondan al intervalo óptimo de medida del aparato. Si es preciso, ajustar la concentración de ácido clorhídrico para que se aproxime lo más posible a la de la solución diluida para el ensayo (6.2). Para la determinación del cobalto, del hierro, del manganeso y del zinc, añadir 10 ml de la misma solución de sal de lantano (4.3) que se haya empleado en 6.2. Enrasar con la solución de ácido clorhídrico 0,5 mol/l (4.2) y homogeneizar.

7.3.   Mediciones

Preparar el espectrómetro (5) para las mediciones y regular la longitud de onda al valor que se precise en el método propio del micronutriente que vaya a determinarse.

Pulverizar tres veces sucesivas las soluciones de calibración (7.2), la solución problema (6.2) y la solución en blanco (7.1), anotando cada resultado; lavar a fondo el instrumento con agua destilada entre cada pulverización.

Representar la curva de calibración poniendo en ordenadas el valor medio de los resultados de cada una de las soluciones de calibración (7.2) leídos en el espectrómetro y, en abscisas, las concentraciones correspondientes del elemento que se determine, expresadas en μg por ml.

Partiendo de esta curva, determinar las concentraciones de dicho micronutriente en la solución de ensayo xs (6.2) y en la solución en blanco xb (7.1). Dichas concentraciones se expresarán en μg/ml.

8.   Expresión del resultado

El porcentaje de micronutriente (E) en el abono es igual a:

image

Si se ha seguido el método 9.3:

image

donde:

E cantidad de micronutriente que se determine, expresada en porcentaje del abono;

xs concentración de la solución de ensayo (6.2), en μg/ml;

xb concentración de la solución de ensayo en blanco (7.1), en μg/ml;

V volumen del extracto obtenido con el método 9.1 o 9.2, en ml;

D factor correspondiente a la dilución efectuada en 6.2;

M masa de la toma de muestra realizada según el método 9.1 o 9.2, en g.

Cálculo del factor de dilución D:

Si (a1), (a2), (a3),.,.,., (ai) y (a) son las alícuotas y (v1), (v2), (v3),.,.,., (vi) y (100) los volúmenes en ml correspondientes a las diluciones respectivas, el factor de dilución D será igual a:

image

Método 9.5

Determinación cuantitativa del boro en los extractos de abonos por espectrometría con azometina-H

1.   Objeto

El presente documento describe un método para determinar el boro presente en los extractos de abonos.

2.   Ámbito de aplicación

El presente método se aplica a los extractos de abonos obtenidos por los métodos 9.1 y 9.2 para los cuales se establece en el anexo I del presente Reglamento una determinación cuantitativa del boro y/o del boro soluble en agua.

3.   Principio

El ión borato forma, en contacto con una solución de azometina-H, un complejo amarillo cuya concentración se determina por espectrometría de absorción molecular a 410 nm. Los iones que puedan interferir se enmascaran con EDTA.

4.   Reactivos

4.1.   Solución tampón de EDTA

Introducir en un matraz aforado de 500 ml que contenga 300 ml de agua:

 75 g de acetato de amonio (NH4OOCCH3);

 10 g de sal disódica del ácido etilendiaminotetraacético (Na2EDTA);

 40 ml de ácido acético (CH3COOH d20 = 1,05 g/ml).

Enrasar a 500 ml con agua. Homogeneizar cuidadosamente. El pH de la solución, medido con electrodo de vidrio, ha de ser 4,8 ± 0,1.

4.2.   Solución de azometina-H

En un matraz aforado de 200 ml, introducir

 10 ml de la solución tampón (4.1);

 400 mg de azometina-H (C17H12NNaO8S2);

 2 g de ácido abscórbico (C6H8O6).

 Enrasar y homogeneizar. No han de prepararse grandes cantidades de este reactivo por ser estable sólo durante algunos días.

4.3.   Soluciones de calibración de boro

4.3.1.   Solución madre de boro de 100 μg/ml

En un matraz aforado de 1 000 ml, disolver en agua 0,5719 g de ácido bórico (H2BO3), pesado con una precisión de 0,1 mg. Enrasar con agua a 1 000 ml, homogeneizar. Trasvasar a un frasco de plástico para guardarlo en el frigorífico.

4.3.2.   Solución de calibración de trabajo de 10 μg/ml

Introducir 50 ml de la solución madre (4.3.1) en un matraz aforado de 500 ml. Enrasar con agua. Homogeneizar.

5.   Equipo

Espectrómetro de absorción molecular, provisto de cubetas de 10 mm de camino óptico y regulado para trabajar a una longitud de onda de 410 nm.

6.   Preparación de la solución problema

6.1.   Disolución de boro

Véanse los métodos 9.1 y/o 9.2 y, si procede, el método 9.3.

6.2.   Preparación de la solución de ensayo

Diluir en agua una alícuota del extracto (6.1), de manera que se obtenga una concentración de boro apropiada para la determinación, según 7.2. Puede ser necesario hacer dos diluciones sucesivas. Se llamará D al factor de dilución.

6.3.   Preparación de la solución correctora

Si la solución de ensayo (6.2) tiene color, preparar una solución correctora correspondiente, vertiendo en un matraz de plástico 5 ml de la solución de ensayo (6.2), 5 ml de la solución tampón de EDTA (4.1) y 5 ml de agua. Homogeneizar.

7.   Método

7.1.   Preparación del ensayo en blanco

Preparar una solución en blanco siguiendo todo el proceso desde la extracción y omitiendo únicamente la toma de muestra de abono.

7.2.   Preparación de las soluciones de calibración

Introducir en una serie de matraces aforados de 100 ml, 0, 5, 10, 15, 20 y 25 ml de la solución de calibración de trabajo (4.3.3). Enrasar con agua a 100 ml y homogeneizar. Estas soluciones contienen entre 0 y 2,5 μg/ml B.

7.3.   Desarrollo del color

Introducir en una serie de matraces de plástico 5 ml de las soluciones de calibración (7.2), de la solución de ensayo (6.2) y del ensayo en blanco (7.1). Añadir 5 ml de la solución tampón de EDTA (4.1). Añadir 5 ml de la solución de azometina-H (4.2).

Homogeneizar y desarrollar el color entre 2 horas y media y 3 horas en la oscuridad.

7.4.   Mediciones

Medir la absorbancia de las soluciones obtenidas según lo dispuesto en 7.3 y, si procede, de la solución correctora (6.3), a la longitud de onda de 410 nm utilizando el agua como referencia. Enjuagar las cubetas antes de medir la solución siguiente.

8.   Expresión del resultado

Representar la curva de calibración poniendo en abscisas las concentraciones de las soluciones de calibración (7.2) y en ordenadas los valores correspondientes de las absorbancias (7.4), proporcionados por el espectrómetro.

Partiendo de esta curva, determinar la concentración de boro de la solución en blanco (7.1), la concentración de boro de la solución de ensayo (6.2) y, si es necesario, cuando la solución de ensayo tenga color, la concentración corregida de ésta. Para calcular dicha concentración, sustraer el valor de la absorbancia de la solución correctora (6.3) del valor de la absorbancia de la solución de ensayo (6.2) y determinar la concentración corregida de la solución de ensayo. La concentración de la solución de ensayo (6.2), o la misma corregida, se llamará X (xs), y la concentración del ensayo en blanco, (xb).

El porcentaje de boro del abono es:

image

Si se ha seguido el método 9.3:

image

donde:

B

=

porcentaje de boro en el abono;

xs

=

concentración de la solución de ensayo (6.2) o la concentración corregida de la misma, en μg/ml;

xb

=

concentración del ensayo en blanco (7.1), en μg/ml;

V

=

volumen del extracto obtenido con el método 9.1 ó 9.2, en gramos;

D

=

factor correspondiente a la dilución efectuada en 6.2;

M

=

masa de la toma de muestra realizada con el método 9.1 ó 9.2, en gramos.

Cálculo del factor de dilución D: si (a1) y (a2) son las alícuotas sucesivas y (v1) y (v2) los volúmenes correspondientes a las diluciones respectivas, el factor de dilución D será igual a:

image

Método 9.6

Determinación cuantitativa del cobalto en los extractos de abonos por espectrometría de absorción atómica

1.   Objeto

En el presente documento se describe un método para la determinación del cobalto en los extractos de abonos.

2.   Ámbito de aplicación

El presente método se aplica a los extractos de abonos obtenidos por los métodos 9.1 y 9.2 para los cuales se establece en el anexo I E del presente Reglamento una determinación cuantitativa de cobalto y/o del cobalto soluble en agua.

3.   Principio

Una vez tratados y diluidos los extractos de forma adecuada, se determina cuantitativamente el cobalto por espectrometría de absorción atómica.

4.   Reactivos

4.1.   Solución de ácido clorhídrico, aproximadamente 6 mol/l

Véase el apartado 4.1 del método 9.4.

4.2.   Solución de ácido clorhídrico, aproximadamente 0,5 mol/l

Véase el apartado 4.2 del método 9.4.

4.3.   Soluciones de sal de lantano, de 10 g de (La) por litro

Véase el apartado 4.3 del método 9.4.

4.4.   Soluciones de calibración de cobalto

4.4.1.   Solución madre de cobalto de 1 000 μg/ml

En un vaso de precipitados de 250 ml, disolver 1 g de cobalto metálico, pesado con una precisión de 0,1 mg, en 25 ml de ácido clorhídrico 6 mol/l (4.1). Calentar en placa calefactora hasta su completa disolución. Dejar enfriar y trasvasar cuantitativamente a un matraz aforado de 1 000 ml. Enrasar con agua. Homogeneizar.

4.4.2.   Solución de trabajo de cobalto de 100 μg/ml

Introducir 10 ml de la solución madre (4.4.1) en un matraz aforado de 100 ml. Enrasar con la solución de ácido clorhídrico 0,5 mol/l (4.2). Homogeneizar.

5.   Equipo

Espectrómetro de absorción atómica: véase el apartado 5 del método 9.4. El aparato deberá estar provisto de una fuente de líneas características del cobalto (240,7 nm) y de un corrector de fondo de llama.

6.   Preparación de la solución problema

6.1.   Preparación de la solución de cobalto

Véase el método 9.1 y/o 9.2 y, si procede, el método 9.3.

6.2.   Preparación de la solución de ensayo

Véase el apartado 6.2 del método 9.4. La solución de ensayo debe contener un 10 % (v/v) de una solución de sal de lantano (4.3).

7.   Método

7.1.   Preparación del ensayo en blanco

Véase el apartado 7.1 del método 9.4. Esta solución debe contener un 10 % (v/v) de la solución de sal de lantano utilizada en 6.2.

7.2.   Preparación de las soluciones de calibración

Véase el apartado 7.2 del método 9.4.

En el intervalo óptimo de determinación comprendido entre 0 y 5 μg/ml de cobalto (Co), introducir respectivamente en una serie de matraces aforados de 100 ml: 0, 0,5, 1, 2, 3, 4 y 5 ml de la solución de trabajo (4.4.2). Si es necesario, ajustar la concentración de ácido clorhídrico para que se aproxime lo más posible a la de la solución de ensayo. Añadir en cada matraz 10 ml de la solución de sal de lantano utilizada en 6.2. Enrasar a 100 ml con la solución de ácido clorhídrico 0,5 mol/l (4.2). Homogeneizar. Estas soluciones contienen respectivamente 0, 0,5, 1, 2, 3, 4 y 5 μg/ml de cobalto (Co).

7.3.   Mediciones

Véase el apartado 7.3 del método 9.4. Preparar el espectrómetro (5) para realizar las mediciones con una longitud de onda de 240,7 nm.

8.   Expresión del resultado

Véase el apartado 8 del método 9.4.

El porcentaje de cobalto en el abono es igual a:

image

Si se ha seguido el método 9.3:

image

donde:

Co

=

cantidad de cobalto, en porcentaje del abono;

xs

=

concentración de la solución de ensayo (6.2) en μg/ml;

xb

=

concentración de la solución de ensayo en blanco (7.1) en μg/ml;

V

=

volumen del extracto obtenido con el método 9.1 ó 9.2, en ml;

D

=

factor correspondiente a la dilución efectuada en (6.2);

M

=

masa de la toma de muestra obtenida con el método 9.1 ó 9.2, en gramos.

Cálculo del factor de dilución D: si (a1), (a2), (a3), ., ., ., (ai) y (a) son las alícuotas y (v1), (v2), (v3), ., ., ., (vi) y (100) los volúmenes en ml correspondientes a las diluciones respectivas, el factor de dilución D será igual a:

image

Método 9.7

Determinación cuantitativa del cobre en los extractos de abonos por espectrometría de absorción atómica

1.   Objeto

En el presente documento se define un método para la determinación del cobre en los extractos de abonos.

2.   Ámbito de aplicación

El presente método se aplica a los extractos de abonos obtenidos por los métodos 9.1 y 9.2 para los cuales se establece en el anexo I E del presente Reglamento una determinación cuantitativa del cobre y/o del cobre soluble en agua.

3.   Principio

Una vez tratados y diluidos los extractos de forma adecuada, se determina el cobre por espectrometría de absorción atómica.

4.   Reactivos

4.1.   Solución de ácido clorhídrico, aproximadamente 6 mol/l

Véase el apartado 4.1 del método 9.4.

4.2.   Solución de ácido clorhídrico, aproximadamente 0,5 mol/l

Véase el apartado 4.2 del método 9.4.

4.3. Solución de peróxido de hidrógeno (H2O2, d20 = 1,11 g/ml), 30 %, exenta de micronutrientes.

4.4.   Soluciones de calibración de cobre

4.4.1.   Solución madre de cobre de 1 000 μg/ml

En un matraz aforado de 250 ml, disolver 1 g de cobre en polvo, pesado con una precisión de 0,1 mg, en 25 ml de ácido clorhídrico 6 mol/l (4.1). Añadir 5 ml de solución de peróxido de hidrógeno (4.3). Calentar en placa calefactora hasta disolución completa. Dejar enfriar y trasvasar cuantitativamente a un matraz aforado de 1 000 ml. Enrasar con agua. Homogeneizar.

4.4.2.   Solución de trabajo de cobre de 100 μg/ml

Introducir, en un matraz aforado de 200 ml, 20 ml de la solución madre (4.4.1). Enrasar con la solución de ácido clorhídrico 0,5 mol/l (4.2). Homogeneizar.

5.   Equipo

Espectrómetro de absorción atómica: véase el apartado 5 del método 9.4. El aparato debe estar provisto de una fuente de líneas características del cobre (324,8 nm).

6.   Preparación de la solución problema

6.1.   Preparación de la solución de cobre

Véase el método 9.1 y/o 9.2 y, si procede, el método 9.3.

6.2.   Preparación de la solución de ensayo

Véase el apartado 6.2 del método 9.4.

7.   Método

7.1.   Preparación del ensayo en blanco

Véase el apartado 7.1 del método 9.4.

7.2.   Preparación de las soluciones de calibración

Véase el apartado 7.2 del método 9.4.

En el intervalo óptimo de determinación comprendido entre 0 y 5 μg/ml de cobre introducir, en una serie de matraces aforados de 100 ml, respectivamente: 0, 0,5, 1, 2, 3, 4 y 5 ml de la solución de trabajo (4.4.2). Si es necesario, ajustar la concentración de ácido clorhídrico para que se aproxime lo más posible a la de la solución de ensayo (6.2). Enrasar con la solución de ácido clorhídrico 0,5 mol/l (4.2). Homogeneizar. Estas soluciones contienen 0, 0,5, 1, 2, 3, 4 y 5 μg/ml de cobre.

7.3.   Mediciones

Véase el apartado 7.3 del método 9.4. Preparar el espectrómetro (5) para realizar las mediciones con una longitud de onda de 324,8 nm.

8.   Expresión del resultado

Véase el apartado 8 del método 9.4.

El porcentaje de cobre en el abono será igual a:

image

Si se ha seguido el método 9.3:

image

donde:

Cu

=

cantidad de cobalto, en porcentaje del abono

xs

=

concentración de la solución de ensayo (6.2) en μg/ml;

xb

=

concentración de la solución de ensayo en blanco (7.1) en μg/ml;

V

=

volumen del extracto obtenido con el método 9.1 o 9.2, en ml;

D

=

factor correspondiente a la dilución efectuada en 6.2;

M

=

masa de la toma de muestra obtenida con el método 9.1 o 9.2, en gramos.

Cálculo del factor de dilución D: si (a1), (a2), (a3), ., ., ., (ai) y (a) son las alícuotas y (v1), (v2), (v3), ., ., ., (vi) y (100) los volúmenes en ml correspondientes a las diluciones respectivas, el factor de dilución D será igual a:

image

Método 9.8

Determinación cuantitativa del hierro en los extractos de abonos por espectrometría de absorción atómica

1.   Objeto

En el presente documento se describe un método para la determinación del hierro en los extractos de abonos.

2.   Ámbito de aplicación

El presente método se aplica a los extractos de abonos obtenidos por los métodos 9.1 y 9.2 para los cuales se establece en el anexo I E del presente Reglamento una determinación cuantitativa del hierro y/o del hierro soluble en agua.

3.   Principio

Una vez tratados y diluidos los extractos de forma adecuada, se determina el hierro por espectrometría de absorción atómica.

4.   Reactivos

4.1.   Solución de ácido clorhídrico, aproximadamente 6 mol/l

Véase el apartado 4.1 del método 9.4.

4.2.   Solución de ácido clorhídrico, aproximadamente 0,5 mol/l

Véase el apartado 4.2 del método 9.4.

4.3. Solución de peróxido de hidrógeno (H2O2, d20 = 1,11 g/ml), 30 %, exenta de micronutrientes.

4.4.   Soluciones de sal de lantano con 10 g de (La) por litro

Véase el apartado 4.3 del método 9.4.

4.5.   Soluciones de calibración de hierro

4.5.1.   Solución madre de hierro de 1 000 μg/ml

En un matraz aforado de 500 ml, disolver 1 g de alambre de hierro puro, pesado con una precisión de 0,1 mg, en 200 ml de ácido clorhídrico 6 mol/l (4.1), añadiendo 15 ml de disolución de peróxido de hidrógeno (4.3). Calentar en placa calefactora hasta la disolución completa, dejar enfriar y trasvasar cuantitativamente a un matraz aforado de 1 000 ml. Enrasar con agua. Homogeneizar.

4.5.2.   Solución de trabajo de hierro de 100 μg/ml

Introducir en un matraz aforado de 200 ml, 20 ml de la solución madre (4.5.1). Completar con la solución de ácido clorhídrico 0,5 mol/l (4.2). Homogeneizar.

5.   Equipo

Espectrómetro de absorción atómica: véase el apartado 5 del método 9.4. El aparato debe estar provisto de una fuente de líneas características del hierro (248,3 nm).

6.   Preparación de la solución problema

6.1.   Preparación de la solución de hierro

Véase el método 9.1 y/o 9.2 y, si procede, el método 9.3.

6.2.   Preparación de la solución de ensayo

Véase el apartado 6.2 del método 9.4. La solución de ensayo debe contener un 10 % (v/v) de una solución de sal de lantano.

7.   Método

7.1.   Preparación del ensayo en blanco

Véase el apartado 7.1 del método 9.4. La solución de ensayo en blanco debe contener un 10 % (v/v) de la solución de sal de lantano utilizada en 6.2.

7.2.   Preparación de las soluciones de calibración

Véase el apartado 7.2 del método 9.4.

En el intervalo óptimo de determinación comprendido entre 0 y 10 μg/ml de hierro, introducir en matraces aforados de 100 ml, respectivamente, 0, 2, 4, 6, 8 y 10 ml de la solución de trabajo (4.5.2). Si es necesario, ajustar la concentración de ácido clorhídrico para que se aproxime lo más posible a la de la solución de ensayo. Añadir 10 ml de la solución de sal de lantano utilizada en 6.2. Enrasar con la solución de ácido clorhídrico 0,5 mol/l (4.2). Homogeneizar. Estas soluciones contienen, respectivamente, 0, 2, 4, 6, 8 y 10 μg/ml de hierro.

7.3.   Mediciones

Véase el apartado 7.3 del método 9.4. Preparar el espectrómetro (5) para realizar las mediciones con una longitud de onda de 248,3 nm.

8.   Expresión del resultado

Véase el punto 8 del método 9.4.

El porcentaje de hierro en el abono es igual a:

image

Si se ha seguido el método 9.3:

image

donde:

Fe

=

cantidad de hierro, expresada en porcentaje del abono;

xs

=

concentración de la solución de ensayo (6.2), en μg/ml;

xb

=

concentración de la solución de ensayo en blanco (7.1), en μg/ml;

V

=

volumen del extracto obtenido con el método 9.1 o 9.2, en ml;

D

=

factor correspondiente a la dilución efectuada en 6.2;

M

=

masa de la toma de muestra obtenida con el método 9.1 o 9.2, en gramos.

Cálculo del factor de dilución D: si (a1), (a2), (a3), ., ., ., (ai) y (a) son las alícuotas y (v1), (v2), (v3), ., ., ., (vi) y (100) los volúmenes correspondientes a las diluciones respectivas, el factor de dilución D será igual a:

image

Método 9.9

Determinación cuantitativa del manganeso en los extractos de abonos por espectrometría de absorción atómica

1.   Objeto

En el presente documento se describe un método para determinar el manganeso presente en los extractos de abonos.

2.   Ámbito de aplicación

El presente método se aplica a los extractos de abonos obtenidos por los métodos 9.1 y 9.2 para los cuales se establece en el anexo I E del presente Reglamento una determinación cuantitativa del manganeso y/o del manganeso soluble en agua.

3.   Principio

Una vez tratado y diluido el extracto de forma adecuada, se determina el manganeso por espectrometría de absorción atómica.

4.   Reactivos

4.1.   Solución de ácido clorhídrico, aproximadamente 6 mol/l

Véase el apartado 4.1 del método 9.4.

4.2.   Solución de ácido clorhídrico, aproximadamente 0,5 mol/l

Véase el apartado 4.2 del método 9.4.

4.3.   Soluciones de sal de lantano de 10 g de (La) por litro

Véase el apartado 4.3 del método 9.4.

4.4.   Soluciones de calibración de manganeso

4.4.1.   Solución madre de manganeso de 1 000 μg/ml

En un matraz aforado de 250 ml, disolver 1 g de manganeso en polvo, pesado con una precisión de 0,1 mg, en 25 ml de ácido clorhídrico 6 mol/l (4.1). Calentar en una placa calefactora hasta disolución completa. Dejar enfriar, trasvasar cuantitativamente a un matraz aforado de 1 000 ml. Enrasar con agua. Homogeneizar.

4.4.2.   Solución de trabajo de manganeso de 100 μg/ml

En un matraz aforado de 200 ml, diluir 20 ml de la solución madre (4.4.1) con la solución de ácido clorhídrico 0,5 mol/l (4.2). Enrasar con la solución de ácido clorhídrico 0,5 mol/l (4.2). Homogeneizar.

5.   Equipo

Espectrómetro de absorción atómica: véase el apartado 5 del método 9.4. El aparato debe estar provisto de una fuente de líneas características del manganeso (279,6 nm).

6.   Preparación de la solución problema

6.1.   Preparación de la solución de manganeso

Véase el método 9.1 y/o 9.2 y, si procede, el método 9.3.

6.2.   Preparación de la solución de ensayo

Véase el apartado 6.2 del método 9.4. La solución de ensayo debe contener un 10 % (v/v) de una solución de sal de lantano (4.3).

7.   Método

7.1.   Preparación del ensayo en blanco

Véase el apartado 7.1 del método 9.4. La solución de ensayo en blanco debe contener un 10 % (v/v) de la solución de sal de lantano utilizada en 6.2.

7.2.   Preparación de las soluciones de calibración

Véase el apartado (7.2) del método 9.4.

En el intervalo óptimo de determinación comprendido entre 0 y 5 μg/ml de manganeso, introducir, respectivamente, 0, 0,5, 1, 2, 3, 4 y 5 ml de la solución de trabajo (4.4.2) en matraces aforados de 100 ml. Si es necesario, ajustar la concentración de ácido clorhídrico para que se aproxime lo más posible a la de la solución de ensayo. Añadir a cada matraz 10 ml de la solución de sal de lantano utilizada en 6.2. Enrasar con la solución de ácido clorhídrico 0,5 mol/l (4.2). Homogeneizar. Estas soluciones contienen, respectivamente, 0, 0,5, 1, 2, 3, 4 y 5 μg/ml de manganeso.

7.3.   Mediciones

Véase el apartado 7.3 del método 9.4. Preparar el espectrómetro (5) para realizar las mediciones con una longitud de onda de 279,6 nm.

8.   Expresión del resultado

Véase el punto 8 del método 9.4.

El porcentaje de manganeso en el abono es igual a:

image

Si se ha seguido el método 9.3:

image

donde:

Mn

=

cantidad de manganeso, expresada en porcentaje del abono;

xs

=

concentración de la solución de ensayo (6.2), en μg/ml;

xb

=

concentración de la solución de ensayo en blanco (7.1), en μg/ml;

V

=

volumen del extracto obtenido con el método 9.1 ó 9.2, en ml;

D

=

factor correspondiente a la dilución efectuada en 6.2;

M

=

masa de la toma de muestra obtenida con el método 9.1 ó 9.2, en gramos.

Cálculo del factor de dilución D: si (a1), (a2), (a3), ., ., ., (ai) y (a) son las alícuotas y (v1), (v2), (v3), ., ., ., (vi) y (100) los volúmenes correspondientes a las diluciones respectivas, el factor de dilución D será igual a:

image

Método 9.10

Determinación cuantitativa del molibdeno en los extractos de abonos por espectrometría de un complejo con tiocianato de amonio

1.   Objeto

En el presente documento se describe un método para la determinación del molibdeno en los extractos de abonos.

2.   Ámbito de aplicación

El presente método se aplica a los extractos de abonos obtenidos por los métodos 9.1 y 9.2 para los cuales se establece en el anexo I E del presente Reglamento una determinación cuantitativa del molibdeno y/o del molibdeno soluble en agua.

3.   Principio

En medio ácido, el molibdeno (v) forma con las iones SCN un complejo [MoO (SCN)5].

El complejo molíbdico se extrae con acetato de n-butilo. Los iones que interfieren, como el hierro, se queda en la fase acuosa. La coloración amarillo-anaranjada se determina mediante espectrometría de absorción molecular a 470 nm.

4.   Reactivos

4.1.   Solución de ácido clorhídrico (HCl), aproximadamente 6 mol/l

Véase apartado 4.1 del método 9.4.

4.2.   Solución de 70 mg/l de cobre en ácido clorhídrico, 1,5 mol/l

En un matraz aforado de 1 000 ml, disolver 275 mg de sulfato de cobre (CuSO4 . 5H2O), pesado con una precisión de 0,1 mg, con 250 ml de la solución de ácido clorhídrico 6 mol/l (4.1). Enrasar con agua y homogeneizar.

4.3.   Solución de ácido ascórbico de 50 g/l

En un matraz aforado de 1 000 ml, disolver en agua 50 g de ácido ascórbico (C6H8O6). Enrasar con agua, homogeneizar y conservar en el frigorífico.

4.4. Acetato de n-butilo.

4.5.   Solución de tiocianato de amonio 0,2 mol/l

En un matraz aforado de 1 000 ml, disolver en agua 15,224 g de NH4SCN. Enrasar con agua, homogeneizar y conservar en un matraz topacio.

4.6.   Solución de cloruro de estaño(II) de 50 g/l en ácido clorhídrico 2 mol/l

Debe prepararse en el acto y estar perfectamente clara. Utilizar cloruro de estaño(II) muy puro, de lo contrario la solución no estará límpida.

Para la preparación de 100 ml de solución, disolver 5 g de cloruro de estaño(II) (SnCl22 . H2O) en 35 ml de la solución de ácido clorhídrico 6 mol/l (4.1). Añadir 10 ml de la solución de cobre (4.2). Completar hasta 100 ml con agua y homogeneizar.

4.7.   Soluciones de calibración de molibdeno

4.7.1.   Solución madre de molibdeno de 500 μg/ml

En un matraz aforado de 1 000 ml, disolver 0,920 g de molibdato de amonio [(NH4)6Mo7O24 . 4H2O] pesado con una precisión de 0,1 mg, con el ácido clorhídrico 6 mol/l (4.1). enrasar con esta misma solución y homogeneizar.

4.7.2.   Solución intermedia de molibdeno de 25 μg/ml

En un matraz de 500 ml, introducir 25 ml de la solución madre (4.7.1). Enrasar con ácido clorhídrico 6 mol/l (4.1) y homogeneizar.

4.7.3.   Solución de trabajo de molibdeno de 2,5 μg/ml

Introducir 10 ml de solución intermedia (4.7.2) en un matraz aforado de 100 ml. Enrasar con ácido clorhídrico 6 mol/l (4.1) y homogeneizar.

5.   Equipo

5.1. Espectrómetro de absorción molecular, regulado a 470 nm y provisto de cubetas de 20 mm de camino óptico.

5.2. Embudos de decantación de 200 o 250 ml.

6.   Preparación de la solución problema

6.1.   Preparación de la solución de molibdeno

Véase el método 9.1 y/o 9.2 y, si procede, el método 9.3.

6.2.   Preparación de la solución de ensayo

Diluir una alícuota del extracto (6.1) con la solución de ácido clorhídrico 6 mol/l (4.1) para obtener una concentración adecuada de molibdeno. Se llamará D al factor de dilución.

Tomar una alícuota (a) de la última solución de dilución, que contenga entre 1 y 12 μg de molibdeno e introducirla en el embudo de decantación (5.2). Completar hasta 50 ml con la solución de ácido clorhídrico 6 mol/l (4.1).

7.   Método

7.1.   Preparación del ensayo en blanco

Preparar una solución en blanco siguiendo todo el proceso desde la extracción y omitiendo únicamente la toma de muestra de abono.

7.2.   Preparación de la serie de soluciones de calibración

Preparar, como mínimo, una serie de 6 soluciones de contenido creciente que correspondan a la zona óptima de respuesta del aparato.

En el intervalo comprendido entre 0 y 12,5 μg de molibdeno, introducir, respectivamente, 0, 1, 2, 3, 4 y 5 ml de la solución de trabajo (4.7.3) en los embudos de decantación (5.2). Completar hasta 50 ml con el ácido clorhídrico 6 mol/l (4.1). Los embudos contienen, respectivamente, 0, 2,5, 5,0, 7,5, 10 y 12,5 μg de molibdeno.

7.3.   Desarrollo y separación del complejo

En cada embudo (6.2, 7.1 y 7.2) añadir en orden sucesivo:

 10 ml de la solución de cobre (4.2),

 20 ml de la solución de ácido ascórbico (4.3).

Homogeneizar y esperar 2 o 3 minutos. Añadir:

 10 ml de acetato de n-butilo (4.4), con la pipeta de precisión,

 20 ml de la solución de tiocianato (4.5).

Agitar durante 1 minuto para extraer el complejo en la fase orgánica; dejar decantar; tras la separación de las dos fases, trasvasar totalmente la fase acuosa y desecharla. Lavar a continuación la fase orgánica con:

 10 ml de la solución de cloruro de estaño(II) (4.6).

Agitar durante 1 minuto. Dejar decantar y eliminar por completo la fase acuosa. Recoger la fase orgánica en un tubo de ensayo, lo que permite reunir las gotas de agua en suspensión.

7.4.   Mediciones

Regular la longitud de onda a 470 nm y utilizar la solución de calibración (7.2) de 0 μg/ml de molibdeno como referencia. Medir la absorbancia de las soluciones.

8.   Expresión del resultado

Representar la curva de calibración poniendo en abscisas las masas correspondientes de molibdeno de las soluciones de calibración (7.2), expresadas en μg, y en ordenadas los valores correspondientes de las absorbancias (7.4), dados por el espectrómetro.

Partiendo de esta curva de calibración, determinar la masa de molibdeno en la solución de ensayo (6.2) y en la de ensayo en blanco (7.1). Dichas masas se llamarán, respectivamente, (xs) y (xb).

El porcentaje de molibdeno en el abono es igual a:

image

Si se ha seguido el método 9.3:

image

donde:

Mo

=

cantidad de molibdeno expresada en porcentaje del abono;

a

=

volumen de alícuota tomada de la última solución de dilución (6.2), en ml;

xs

=

masa de molibdeno (Mo) en la solución de ensayo (6.2), en μg;

xb

=

masa de molibdeno (Mo) en el ensayo en blanco (7.1), correspondiente al mismo volumen (a) que la alícuota de ensayo (6.2), en μg;

V

=

volumen del extracto obtenido con el método 9.1 ó 9.2, en ml;

D

=

factor correspondiente a la dilución efectuada en 6.2;

M

=

masa de la toma de muestra obtenida con el método 9.1 ó 9.2, en gramos.

Cálculo del factor de dilución D: si (a1) y (a2) son las alícuotas sucesivas y (v1) y (v2) los volúmenes correspondientes a las diluciones respectivas, el factor de dilución D será igual a:

image

Método 9.11

Determinación cuantitativa del zinc en los extractos de abonos por espectrometría de absorción atómica

1.   Objeto

En el presente documento se describe un método para la determinación del zinc en los extractos de abonos.

2.   Ámbito de aplicación

El presente método se aplica a los extractos abonos obtenidos por los métodos 9.1 y 9.2 para los cuales se establece en el anexo I E del presente Reglamento una determinación cuantitativa del zinc y/o del zinc soluble en agua.

3.   Principio

Una vez tratados y diluidos los extractos de forma adecuada, se determina el zinc por espectrometría de absorción atómica.

4.   Reactivos

4.1.   Solución de ácido clorhídrico, aproximadamente 6 mol/l

Véase el apartado 4.1 del método 9.4.

4.2.   Solución de ácido clorhídrico, aproximadamente 0,5 mol/l

Véase el apartado 4.2 del método 9.4.

4.3.   Soluciones de sal de lantano de 10 g de (La) por litro

Véase el apartado 4.3 del método 9.4.

4.4.   Soluciones de calibración de zinc

4.4.1.   Solución madre de zinc de 1 000 μg/ml

En un matraz aforado de 1 000 ml, disolver 1 g de zinc en polvo o en placas, pesado con una precisión de 0,1 mg, en 25 ml de ácido clorhídrico 6 mol/l (4.1). Después de la disolución completa, enrasar a 1 000 ml con agua. Homogeneizar.

4.4.2.   Solución de trabajo de zinc de 100 μg/ml

En un matraz aforado de 200 ml, diluir 20 ml de la solución (4.4.1) con la solución de ácido clorhídrico 0,5 mol/l (4.2). Enrasar con la solución de ácido clorhídrico 0,5 mol/l (4.2). Homogeneizar.

5.   Equipo

Espectrómetro de absorción atómica: véase el punto 5 del método 9.4. El aparato debe estar provisto de una fuente de líneas características del zinc (213,8 nm). El apartado deberá estar provisto de un corrector de fondo de llama.

6.   Preparación de la solución problema

6.1.   Preparación de la solución de zinc

Véase el método 9.1 y/o 9.2 y, si procede, el método 9.3.

6.2.   Preparación de la solución de ensayo

Véase el apartado 6.2 del método 9.4. La solución de ensayo debe contener un 10 % (v/v) de una solución de sal de lantano.

7.   Método

7.1.   Preparación del ensayo en blanco

Véase el apartado 7.1. del método 9.4. La solución de ensayo en blanco debe contener un 10 % (v/v) de la solución de sal de lantano utilizada en 6.2.

7.2.   Preparación de las soluciones de calibración

Véase el apartado 7.2 del 9.4 (7.2).

En el intervalo óptimo de determinación comprendido entre 0 y 5 μg/ml de zinc, introducir, respectivamente, 0, 0,5, 1, 2, 3, 4 y 5 ml de la solución de trabajo (4.4.2) en matraces aforados de 100 ml. Si es necesario, ajustar la concentración de ácido clorhídrico para que se aproxime lo más posible a la de la solución de ensayo. Añadir en cada matraz 10 ml de la solución de sal de lantano utilizada en 6.2. Enrasar con la solución de ácido clorhídrico 0,5 mol/l (4.2). Homogeneizar. Estas soluciones contienen, respectivamente, 0, 0,5, 1, 2, 3, 4 y 5 μg/ml de zinc.

7.3.   Mediciones

Véase el apartado 7.3 del método 9.4. Preparar el espectrómetro (5) para realizar las mediciones con una longitud de onda de 213,8 nm.

8.   Expresión del resultado

Véase el punto 8 del método 9.4.

El porcentaje de zinc en el abono es igual a:

image

Si se ha seguido el método 9.3:

image

donde:

Zn

=

cantidad de zinc, expresada en porcentaje del abono;

xs

=

concentración de la solución de ensayo (6.2) en μg/ml;

xb

=

concentración de la solución de ensayo en blanco (7.1), en μ g/ml;

V

=

volumen del extracto obtenido con el método 9.1 ó 9.2, en ml;

D

=

factor correspondiente a la dilución efectuada en 6.2;

M

=

masa de la toma de muestra obtenida con el método 9.1 ó 9.2, en gramos.

Cálculo del factor de dilución D: si (a1), (a2), (a3), ., . , ., (ai) y (a) son las alícuotas y (v1), (v2), (v3), ., ., ., (vi) y (100) los volúmenes correspondientes a las diluciones respectivas, el factor de dilución D será igual a:

image

Métodos 10

Micronutrientes en concentraciones superiores a 10 %

Método 10.1

Extracción de los micronutrientes totales

1.   Objeto

En el presente documento se define el método de extracción de los siguientes micronutrientes: boro total, cobalto total, cobre total, hierro total, manganeso total, molibdeno total y zinc total. El objetivo consiste en efectuar un mínimo de extracciones de forma que pueda utilizarse, siempre que ello sea posible, el mismo extracto para determinar el contenido total de cada uno de los micronutrientes citados.

2.   Ámbito de aplicación

El presente método concierne a los abonos CE contemplados en el anexo I E del presente Reglamento que contengan uno o varios de los siguientes micronutrientes: boro, cobalto, cobre, hierro, manganeso, molibdeno y zinc. Puede usarse para cada uno de los micronutrientes cuyos contenidos declarados sean superiores al 10 %.

3.   Principio

Disolución en ácido clorhídrico diluido en ebullición.

Nota

La extracción es empírica y puede no ser cuantitativa, según el producto o los demás componentes del abono. En particular, en el caso de determinados óxidos de manganeso, las cantidades extraídas pueden ser muy inferiores a la totalidad del manganeso contenido en el producto. Es responsabilidad de los fabricantes de abonos garantizar que el contenido declarado corresponde efectivamente a la cantidad solubilizada en las condiciones del método.

4.   Reactivos

4.1.   Solución diluida de ácido clorhídrico (HCl), aproximadamente 6 mol/l

Mezclar 1 volumen de ácido clorhídrico (d20 = 1,18 g/ml) con 1 volumen de agua.

4.2. Solución de amoníaco concentrado (NH4OH, d20 = 0,9 g/ml).

5.   Equipo

5.1. Placa calefactora eléctrica de temperatura regulable.

5.2.  pH-metro

Nota

Si se prevé la determinación cuantitativa del boro presente en el extracto, debe descartarse el empleo de utensilios de vidrio de borosilicato. Será más conveniente el uso de teflón o sílice, dado que la extracción es por ebullición. Si se utilizan detergentes que contengan boratos para lavar los utensilios de vidrio, estos deben aclararse cuidadosamente.

6.   Preparación de la muestra

Véase el método 1.

7.   Método

7.1.   Muestra

Pesar una cantidad de abono de 1 ó 2 g dependiendo del contenido declarado de elemento en el producto. Debe utilizarse el cuadro siguiente para obtener una solución final que, una vez diluida convenientemente, se sitúe en el intervalo de medida de cada método. Las muestras se pesarán con una precisión de 1 mg.



Contenido declarado del micronutriente en el abono (%)

> 10 < 25

≥ 25

Masa de la muestra (g)

2

1

Masa del elemento en la muestra (mg)

> 200 < 500

≥ 250

Volumen del extracto V (ml)

500

500

Concentración del elemento en el extracto (mg/l)

> 400 < 1 000

≥ 500

Introducir la muestra en un vaso de precipitados de 250 ml.

7.2.   Preparación de la solución

Si fuera necesario, humectar la muestra con un poco de agua; añadir ácido clorhídrico diluido (4.1) en pequeñas fracciones y con precaución, a razón de 10 ml por gramo de abono utilizado; luego añadir aproximadamente 50 ml de agua. Tapar el vaso de precipitados con un vidrio de reloj y mezclar. Hervir durante 30 minutos sobre la placa calefactora. Dejar enfriar, agitando de vez en cuando. Trasvasar cuantitativamente a un matraz aforado de 500 ml. Enrasar con agua. Homogeneizar. Pasar a través de un filtro seco a un recipiente seco. Desechar la primera porción del filtrado. El extracto ha de estar perfectamente límpido.

Proceder lo más rápidamente posible a las determinaciones sobre partes alícuotas del filtrado claro. Si no es así, tapar el recipiente.

Los extractos en los que se deba determinar el contenido de boro se llevarán a un pH comprendido entre 4 y 6 con amoníaco concentrado (4.2).

8.   Determinación

La determinación de cada micronutriente se efectuará en las partes alícuotas indicadas en los métodos específicos de cada uno de los micronutrientes.

Los métodos 10.5, 10.6, 10.7, 10.9 y 10.10 no pueden utilizarse para determinar elementos presentes en forma quelatada o complejada. En tales casos, debe seguirse el método 10.3 antes de la determinación.

Este tratamiento puede no ser necesario en las determinaciones por espectrometría de absorción atómica (métodos 10.8 y 10.11).

Método 10.2

Extracción de los micronutrientes solubles en agua

1.   Objeto

En el presente documento se define el método de extracción de las formas solubles en agua de los siguientes micronutrientes: boro, cobalto, cobre, hierro, manganeso, molibdeno y zinc. El objetivo consiste en efectuar un mínimo de extracciones de forma que pueda utilizarse, siempre que sea posible, el mismo extracto para determinar el contenido de cada uno de estos micronutrientes.

2.   Ámbito de aplicación

El presente método se aplica a los abonos CE contemplados en el anexo I E del presente Reglamento, que contengan uno o varios de los micronutrientes siguientes: boro, cobalto, cobre, hierro, manganeso, molibdeno y zinc. Se aplica a cada uno de los micronutrientes cuyos contenidos declarados sean superiores al 10 %.

3.   Principio

La extracción de los micronutrientes se efectúa agitando el abono en agua a una temperatura de 20 °C (± 2) °C.

Nota

La extracción es empírica y puede no ser cuantitativa.

4.   Reactivos

4.1.   Solución diluida de ácido clorhídrico (HCl), aproximadamente 6 mol/l

Mezclar 1 volumen de ácido clorhídrico (d20 = 1,18 g/ml) con 1 volumen de agua.

5.   Equipo

5.1. Agitador rotatorio ajustado a 35 o 40 revoluciones por minuto, aproximadamente.

Nota

Si se prevé la determinación cuantitativa del boro presente en el extracto, debe descartarse el uso de utensilios de vidrio borosilicatado. Para esta extracción es preferible el teflón o la sílice. Si se utilizan detergentes que contengan boratos para lavar los utensilios de vidrio, éstos deben aclararse cuidadosamente.

6.   Preparación de la muestra

Véase el método 1.

7.   Método

7.1.   Muestra

Tomar una cantidad de abono de 1 ó 2 g dependiendo del contenido declarado de elemento en el producto. Debe utilizarse el cuadro siguiente para obtener una solución final que, una vez diluida convenientemente, se sitúe en el intervalo de medida de cada método. Las muestras se pesarán con una precisión de 1 mg.



Contenido declarado del micronutriente en el abono (%)

> 10 < 25

≥ 25

Masa de la muestra (g)

2

1

Masa del elemento en la muestra (mg)

> 200 < 500

≥ 250

Volumen del extracto V (ml)

500

500

Concentración del elemento en el extracto (mg/l)

> 400 < 1 000

≥ 500

Colocar la muestra en un matraz de 500 ml.

7.2.   Preparación de la solución

Añadir aproximadamente 400 ml de agua.

Tapar el matraz con cuidado. Agitar enérgicamente a mano para obtener una buena dispersión del producto. Colocar el matraz en el agitador. Tener el aparato en funcionamiento por espacio de 30 minutos.

Enrasar con agua. Homogeneizar.

7.3.   Preparación de la solución de ensayo

Filtrar inmediatamente sobre un matraz limpio y seco. Tapar el matraz. Proceder a la determinación immediatamente después de la filtración.

Si se produjese un enturbiamiento progresivo del extracto, efectuar una nueva extracción según 7.1 y 7.2 en un matraz de volumen Ve. Filtrar sobre un matraz aforado de volumen W, previamente seco, en el que se habrán vertido 5 ml de ácido clorhídrico diluido (4.1). Interrumpir la filtración en el momento en el que se alcance la línea de enrase. Homogeneizar.

En estas condiciones, el valor de V que figura en la expresión del resultado es:

image

Las diluciones que figuran en la expresión del resultado dependen de este valor de V.

8.   Determinación

La determinación de cada micronutriente se efectuará en las partes alícuotas indicadas en los métodos específicos de cada uno de los micronutrientes.

Los métodos 10.5, 10.6, 10.7, 10.9 y 10.10 no pueden utilizarse para determinar elementos presentes en forma quelatada o acomplejada. En tales casos, debe seguirse el método 10.3 antes de la determinación.

Este tratamiento puede no ser necesario en las determinaciones por espectrometría de absorción atómica (métodos 10.8 y 10.11).

Método 10.3

Eliminación de los compuestos orgánicos en los extractos de abonos

1.   Objeto

En el presente documento se describe un método de eliminación de los compuestos orgánicos en los extractos de abonos.

2.   Ámbito de aplicación

El presente método se aplica a los extractos de abonos obtenidos por los métodos 10.1 y 10.2 para los cuales se establece en el anexo I e del presente Reglamento una declaración del elemento total y/o del elemento soluble en agua.

Nota

La presencia de materia orgánica en pequeñas cantidades no suele influir en las determinaciones por espectrometría de absorción atómica.

3.   Principio

Los compuestos orgánicos contenidos en una alícuota del extracto se oxidan con peróxido de hidrógeno.

4.   Reactivos

4.1.   Solución diluida de ácido clorhídrico (HCl), aproximadamente 0,5 mol/l:

Mezclar 1 volumen de ácido clorhídrico (d20 = 1,18 g/ml) con 20 volúmenes de agua.

4.2. Solución de peróxido de hidrógeno (30 % H2O2, d20 = 1,11 g/ml), exenta de micronutrientes.

5.   Equipo

Placa calefactora eléctrica de temperatura regulable.

6.   Procedimiento

Tomar 25 ml de la solución obtenida por extracción siguiendo el método 10.1 o el método 10.2 e introducirlos en un vaso de precipitados de 100 ml. Si se trata de la extracción 10.2, añadir 5 ml de la solución de ácido clorhídrico diluido (4.1). Añadir a continuación 5 ml de la solución de peróxido de hidrógeno (4.2). Cubrir con un vidrio de reloj. Dejar oxidar a temperatura ambiente durante aproximadamente 1 hora y, a continuación, calentar progresivamente y mantener en ebullición durante media hora. Si es necesario, añadir otros 5 ml de peróxido de hidrógeno a la solución enfriada. Después, eliminar el exceso de peróxido de hidrógeno mediante ebullición. Dejar enfriar y trasvasar cuantitativamente a un matraz aforado de 50 ml. Enrasar con agua. Filtrar si es necesario.

Se contará con esta dilución al 50 % a la hora de tomar las alícuotas y al calcular el porcentaje de micronutriente del producto.

Método 10.4

Determinación cuantitativa de micronutrientes en los extractos de abonos por espectrometría de absorción atómica

(método general)

1.   Objeto

El presente documento define el método general para la determinación cuantitativa por espectrometría de absorción atómica de hierro y zinc contenidos en extractos de abonos.

2.   Ámbito de aplicación

El presente método se aplica a los extractos de abonos obtenidos por los métodos 10.1 y 10.2 para los cuales se establece en el anexo I E del presente Reglamento una declaración de hierro o zinc totales y/o solubles en agua.

Las adaptaciones particulares de este procedimiento a cada micronutriente se especifican en los métodos relativos al elemento en cuestión.

Nota

La presencia de materia orgánica en pequeñas cantidades no suele influir en las determinaciones por espectrometría de absorción atómica.

3.   Principio

Tras un posible tratamiento del extracto para reducir o eliminar las sustancias químicas que interfieran, se diluye de manera tal que su concentración se sitúe en la zona de respuesta óptima del espectrómetro para una longitud de onda adaptada al micronutriente en cuestión.

4.   Reactivos

4.1.   Solución diluida de ácido clorhídrico (HCl), aproximadamente 6 mol/l

Mezclar 1 volumen de ácido clorhídrico (d20 = 1,18 g/ml) con 1 volumen de agua.

4.2.   Solución diluida de ácido clorhídrico (HCl), aproximadamente 0,5 mol/l

Mezclar 1 volumen de ácido clorhídrico (d20 = 1,18 g/ml) con 20 volúmenes de agua.

4.3.   Solución de sal de lantano, de 10 g de La por litro

Este reactivo se emplea para la determinación cuantitativa del hierro y del zinc. Puede prepararse de dos maneras:

a) Con óxido de lantano disuelto en ácido clorhídrico (4.1). En un matraz aforado de 1 l, poner 11,73 g de óxido de lantano (La2O3) en 150 ml de agua y añadir a continuación 120 ml de ácido clorhídrico 6 mol/l (4.1). Dejar que se disuelva y enrasar con agua. Homogeneizar. La concentración de esta solución en ácido clorhídrico es 0,5 mol/l, aproximadamente.

b) Con soluciones de cloruro, sulfato o nitrato de lantano. En un matraz aforado de 1 l, disolver 26,7 g de cloruro de lantano heptahidrato (LaCl3 . 7H2O) o 31,2 g de nitrato de lantano hexahidrato [La(NO3)3 . 6H2O] o 26,2 de sulfato de lantano nonahidrato [La2(SO4)3 . 9H2O] en 150 ml de agua; añadir 85 ml de ácido clorhídrico 6 mol/l (4.1). Dejar que se disuelva y enrasar con agua. Homogeneizar. La concentración de esta solución en ácido clorhídrico es 0,5 mol/l, aproximadamente.

4.4.   Soluciones de calibración

Para su preparación, véanse los métodos de determinación cuantitativa de cada micronutriente.

5.   Equipo

Espectrómetro de absorción atómica equipado con fuentes que emitan las líneas características de radiación de los micronutrientes estudiados.

El químico se ajustará a las instrucciones del fabricante del aparato y deberá estar familiarizado con su manipulación. El aparato debe permitir corregir el fondo de llama, por si fuera necesario (por ejemplo, Zn). Los gases empleados serán el aire y el acetileno.

6.   Preparación de la solución problema

6.1.   Disolución de los elementos que deben determinarse

Véanse los métodos 10.1 y/o 10.2 y, si procede, 10.3.

6.2.   Preparación de la solución de ensayo

Diluir una alícuota del extracto obtenido siguiendo los métodos 10.1, 10.2 ó 10.3 con agua o ácido clorhídrico (4.1) o (4.2) de manera que se obtenga, en la solución final para la medida, una concentración del elemento en cuestión adecuada a la gama empleada de soluciones de calibración (7.2) y una concentración de ácido clorhídrico no inferior a 0,5 mol/l, ni superior a 2,5 mol/l. Esta operación puede requerir una o varias diluciones sucesivas.

La solución final debe obtenerse poniendo una alícuota del extracto diluido en un matraz aforado de 100 ml, siendo (a) ml el volumen de esta alícuota. Añadir 10 ml de la solución de sal de lantano elegida (4.3). Enrasar con la solución de ácido clorhídrico 0,5 mol/l (4.2) y homogeneizar. D será el factor de dilución.

7.   Método

7.1.   Preparación de la solución en blanco

Preparar una solución en blanco siguiendo todo el proceso desde la extracción y omitiendo únicamente la muestra de abono.

7.2.   Preparación de las soluciones de calibración

A partir de la solución de calibración de trabajo preparada según el método descrito para cada micronutriente, preparar, en matraces aforados de 100 ml una serie de, como mínimo, 5 soluciones de calibración de concentración creciente que correspondan al intervalo óptimo de medida del espectrómetro. Si es preciso, ajustar la concentración de ácido clorhídrico para que se aproxime lo más posible a la de la solución problema diluida (6.2.). Para la determinación de hierro o de zinc, añadir 10 ml de la misma solución de sal de lantano (4.3) que se haya empleado en 6.2. Enrasar con la solución de ácido clorhídrico 0,5 mol/l (4.2) y homogeneizar.

7.3.   Mediciones

Preparar el espectrómetro (5) para la determinación y regular la longitud de onda al valor que se precise en el método propio del micronutriente que vaya a determinarse.

Medir tres veces sucesivamente las soluciones de calibración (7.2), la solución problema (6.2) y la solución en blanco (7.1), anotando cada resultado; lavar a fondo el instrumento con agua destilada entre cada medida.

Representar la curva de calibración poniendo en ordenadas el valor medio de los resultados de cada una de las soluciones de calibración (7.2) leídos en el espectrómetro y, en abscisas, las concentraciones correspondientes del elemento que se determine, expresadas en μg/ml.

Partiendo de esta curva, determinar las concentraciones de dicho micronutriente en la solución problema xs (6.2) y en la solución en blanco xb (7.1). Dichas concentraciones se expresarán en μg/ml.

8.   Expresión del resultado

El porcentaje de micronutriente (E) en el abono es igual a:

image

Si se ha seguido el método 10.3:

image

donde:

E

=

cantidad de micronutriente que se determine, expresada en porcentaje del abono;

xs

=

concentración de la solución de ensayo (6.2), en μg/ml;

xb

=

concentración de la solución de ensayo en blanco (7.1), en μg/ml;

V

=

volumen del extracto obtenido con el método 10.1 o 10.2, en ml;

D

=

factor correspondiente a la dilución efectuada en 6.2;

M

=

masa de la toma de muestra realizada según el método 10.1 o 10.2, en gramos.

Cálculo del factor de dilución D:

Si (a1), (a2), (a3), ., ., ., (ai) y (a) son las alícuotas y (v1), (v2), (v3), ., ., ., (vi) y (100) los volúmenes en ml correspondientes a las diluciones respectivas, el factor de dilución D será igual a:

image

Método 10.5

Determinación cuantitativa del boro en los extractos de abonos por acidimetría

1.   Objeto

En el presente documento se describe un método para la determinación del boro en los extractos de abonos.

2.   Ámbito de aplicación

El presente método se aplica a los extractos de las muestras de abonos obtenidos por los métodos 10.1 ó 10.2, para los que el anexo I E del presente Reglamento establece la declaración del contenido de boro total y/o del contenido de boro soluble en agua.

3.   Principio

El ion borato forma con el manitol un complejo manitobórico según la siguiente reacción:

C6H8 (OH)6 + H3BO3 C6H15O8B + H2O

El complejo se valora con una solución de hidróxido sódico hasta un pH de 6,3.

4.   Reactivos

4.1.   Solución indicadora de rojo de metilo

En un matraz aforado de 100 ml, disolver 0,1 g de rojo de metilo (C15H15N3O2) en 50 ml de etanol al 95 %. Enrasar con agua. Homogeneizar.

4.2.   Solución diluida de ácido clorhídrico (HCl), aproximadamente 0,5 mol

Mezclar 1 volumen de ácido clorhídrico (HCl, d20 = 1,18 g/ml) y 20 volúmenes de agua.

4.3.   Solución de hidróxido sódico, aproximadamente 0,5 mol/l

Debe estar exenta de dióxido de carbono. En un matraz aforado de 1 l que contenga unos 800 ml de agua hervida, disolver 20 g de hidróxido sódico (NaOH) en lentejas. Cuando la solución se haya enfriado, enrasar con agua hervida. Homogeneizar.

4.4.   Solución de calibración de hidróxido sódico, aproximadamente 0,025 mol/l

Debe estar exenta de dióxido de carbono. Diluir 20 veces la solución de hidróxido sódico 0,5 mol/l (4.3) con agua hervida y homogeneizar. Se determinará su valor expresado en boro (B) (véase el punto 9).

4.5.   Solución de calibración de boro (100 μg/ml de B)

En un matraz aforado de 1 000 ml, disolver con agua 0,5719 g de ácido bórico (H3BO3), pesado con precisión de 0,1 mg. Enrasar con agua y homogeneizar. Pasar a un frasco de plástico para conservar en el frigorífico.

4.6. D-manitol (C6H14O6) en polvo

4.7. Cloruro sódico (NaCl)

5.   Equipo

5.1. pH-metro con electrodo de vidrio

5.2. Agitador magnético

5.3. Vaso de precipitados de 400 ml con barra de teflón

6.   Preparación de la solución problema

6.1.   Preparación de la solución de boro

Véanse los métodos 10.1, 10.2 y, en su caso, el 10.3.

7.   Método

7.1.   Ensayo

En el vaso de precipitados de 400 ml (5.3), introducir una alícuota (a) tomada del extracto (6.1) y que contenga entre 2 y 4 mg de boro (B). Añadir 150 ml de agua.

Añadir algunas gotas de la solución indicadora de rojo de metilo (4.1).

En caso de extracción por el método 10.2, acidificar añadiendo ácido clorhídrico 0,5 mol/l (4.2) hasta que vire el indicador y añadir después un exceso de 0,5 ml de ácido clorhídrico 0,5 mol/l (4.2).

Añadir 3 g de cloruro sódico (4.7) y llevar a ebullición para eliminar el dióxido de carbono. Dejar enfriar. Poner el vaso de precipitados en el agitador magnético (5.2) e introducir en él los electrodos del pH-metro (5.1), que habrá sido calibrado con anterioridad.

Ajustar el pH a 6,3 exactamente, primero con la solución de hidróxido sódico 0,5 mol/l y después con la solución 0,025 mol/l.

Añadir 20 g de D-manitol (4.6), disolver completamente y homogeneizar. Valorar con la solución de hidróxido sódico 0,025 mol/l (4.4) hasta alcanzar el pH de 6,3 (estabilidad de 1 minuto como mínimo). Llamaremos x1 al volumen necesario.

8.   Ensayo en blanco

Ejecutar un ensayo en blanco en las mismas condiciones desde la disolución y omitiendo únicamente el abono. Llamaremos x0 al volumen necesario.

9.   Cantidad de boro (B) de la solución de hidróxido sódico (4.4)

Tomar con una pipeta 20 ml [equivalentes a 2,0 mg de boro (B)] de la solución de calibración (4.5) y pasarlos a un vaso de precipitados de 400 ml; añadir algunas gotas de solución indicadora de rojo de metilo (4.1). Añadir 3 g de cloruro sódico (4.7) y solución de ácido clorhídrico (4.2) hasta que vire la solución indicadora (4.1).

Completar el volumen hasta, aproximadamente, 150 ml y llevar lentamente a ebullición para eliminar el dióxido de carbono. Dejar enfriar. Poner el vaso de precipitados en el agitador magnético (5.2) e introducir en él los electrodos del pH-metro (5.1), que habrá sido calibrado con anterioridad. Ajustar el pH a 6,3 exactamente, primero con la solución de hidróxido sódico 0,5 mol/l y después con la solución 0,025 mol/l.

Añadir 20 g de D-manitol (4.6), disolver completamente y homogeneizar. Valorar con la solución de hidróxido sódico 0,025 mol/l (4.4) hasta alcanzar el pH de 6,3 (estabilidad de 1 minuto como mínimo). Llamaremos V1 al volumen necesario.

Efectuar un ensayo en blanco del mismo modo, sustituyendo la solución de calibración por 20 ml de agua. Llamaremos V0 al volumen necesario.

La equivalencia en boro (F) en m g/ml de la solución valorada de NaOH (4.4) es la siguiente:

image

La correspondencia de 1 ml de solución de hidróxido sódico exactamente 0,025 mol/l es de 0,27025 mg de B.

10.   Expresión del resultado

El porcentaje de boro del abono es:

image

donde:

% B

=

porcentaje en boro del abono;

x1

=

volumen de la solución de hidróxido sódico 0,025 mol/l (4.4), en ml, necesario para la solución de ensayo;

x0

=

volumen de la solución M de hidróxido sódico 0,025 mol/l (4.4), en ml, necesario para la solución en blanco;

F

=

equivalencia en boro (B) de la solución mol/l de hidróxido sódico 0,025 mol/l (4.4), en mg/ml;

V

=

volumen del extracto obtenido según el método 10.1 ó 10.2, en ml;

a

=

volumen de la alícuota (7.1) tomada del extracto (6.1), en ml;

M

=

masa de la muestra de abono tomada según el método 10.1 ó 10.2, en gramos.

Método 10.6

Determinación cuantitativa del cobalto en los extractos de abonos por gravimetría con 1-nitroso-2-naftol

1.   Objeto

En el presente documento se describe un método para la determinación del cobalto en los extractos de abonos.

2.   Ámbito de aplicación

El procedimiento descrito se aplica a los extractos de las muestras de abonos obtenidos por los métodos 10.1 ó 10.2, para los que el anexo I E del presente Reglamento establece la declaración del contenido de cobalto.

3.   Principio

El cobalto(III) forma con el 1-nitroso-2-naftol un precipitado rojo de Co(C10H6ONO)3 . 2H2O. Tras llevar el cobalto presente en el extracto al estado de cobalto(III), el cobalto se precipita en medio acético mediante una solución de 1-nitroso-2-naftol. Después de filtrar, el precipitado se lava y se seca hasta masa constante y posteriormente se pesa como Co (C10H6ONO)3 . 2H2O.

4.   Reactivos

4.1. Solución de peróxido de hidrógeno al 30 % (H2O2 d20 = 1,11 g/ml).

4.2.   Solución de hidróxido sódico, aproximadamente 2 mol/l

Disolver 8 g de hidróxido sódico en lentejas en 100 ml de agua.

4.3.   Solución diluida de ácido clorhídrico, aproximadamente 6 mol/l

Mezclar 1 volumen de ácido clorhídrico (d20 = 1,18 g/ml) y 1 volumen de agua.

4.4. Ácido acético (99,7 % de CH3CO2H) (d20 = 1,05 g/ml).

4.5.   Solución de ácido acético (1:2), aproximadamente 6 mol/l

Mezclar 1 volumen de ácido acético (4.4) y 2 volúmenes de agua.

4.6. Disolver 4 g de 1-nitroso-2-naftol en 100 ml de ácido acético (4.4). Añadir 100 ml de agua tibia. Homogeneizar. Filtrar inmediatamente. La solución obtenida debe ser utilizada en el momento.

5.   Equipo

5.1. Crisol filtrante P 16/ISO 4 793, porosidad 4, capacidad 30 ó 50 ml.

5.2. Estufa de desecación regulada a 130 (± 2) °C

6.   Preparación de la solución de ensayo

6.1.   Preparación de la solución de cobalto

Véanse los métodos 10.1 ó 10.2.

6.2.   Preparación de la solución de ensayo

Introducir una alícuota del extracto que no contenga más de 20 mg de Co en un vaso de precipitados de 400 ml. Si el extracto se ha obtenido siguiendo el método 10.2, acidificar con cinco gotas de ácido clorhídrico (4.3). Añadir unos 10 ml de la solución de peróxido de hidrógeno (4.1). Dejar que el oxidante actúe en frío durante 15 minutos y añadir después agua hasta unos 100 ml. Tapar el vaso de precipitados con un vidrio de reloj. Calentar y mantener en ebullición durante 10 minutos aproximadamente. Enfriar. Alcalinizar añadiendo gota a gota solución de hidróxido sódico (4.2) hasta que el hidróxido de cobalto negro comience a precipitar.

7.   Método

Añadir 10 ml de ácido acético (4.4) y completar con agua hasta 200 ml, aproximadamente. Calentar hasta que comience a hervir. Añadir gota a gota con bureta 20 ml de la solución de 1-nitroso-2-naftol (4.6) agitando constantemente. Finalizar con una enérgica agitación a fin de que el precipitado se coagule.

Filtrar sobre un crisol filtrante (5.1) previamente tarado, evitando la colmatación del crisol. Para ello, comprobar que haya líquido por encima del precipitado a lo largo de toda la filtración.

Lavar el vaso de precipitados con ácido acético diluido (4.5) para arrastrar todo el precipitado, lavar el precipitado sobre el filtro con ácido acético diluido (4.5) y luego 3 veces con agua caliente.

Secar en una estufa (5.2) a 130 ± 2 °C hasta que alcance una masa constante.

8.   Expresión del resultado

1 mg de precipitado de Co (C10H6ONO)3 . 2H2O corresponde a 0,096381 mg de Co.

El porcentaje de cobalto (Co) en el abono es:

image

donde:

X

=

masa del precipitado, en mg;

V

=

volumen de la solución del extracto, obtenido según el método 10.1 ó 10.2, en ml;

a

=

volumen de la alícuota tomada de la última dilución, en ml;

D

=

factor de dilución de esta alícuota;

M

=

masa de la muestra, en gramos.

Método 10.7

Determinación cuantitativa del cobre en los extractos de abonos por valoración

1.   Objeto

En el presente documento se describe un método para la determinación del cobre en los extractos de abonos.

2.   Ámbito de aplicación

El procedimiento descrito se aplica a los extractos de las muestras de abonos obtenidos por los métodos 10.1 ó 10.2, para los que el anexo I E del presente Reglamento establece la declaración del contenido de cobre.

3.   Principio

Los iones cúpricos se reducen en medio ácido con yoduro de potasio:

2Cu++ + 4I- → 2CuI + I2

El yodo así liberado se valora con una solución de calibración de tiosulfato sódico en presencia de almidón como indicador, según la siguiente reacción:

I2 + 2Na2S2O3 → 2NaI + Na2S4O6

4.   Reactivos

4.1. Ácido nítrico (HNO3, d20 = 1,40 g/ml)

4.2. Urea [(NH2)2 C = 0]

4.3.   Solución al 10 % (p/v) de difluoruro de amonio (NH4HF2)

Guardar la solución en un recipiente de plástico.

4.4.   Solución de hidróxido de amonio (1 + 1)

Mezclar un volumen de solución de hidróxido de amonio (NH4OH, d20 = 0,9 g/ml) y un volumen de agua.

4.5.   Solución de calibración de tiosulfato sódico

En un matraz aforado de 1 l, disolver 7,812 g de tiosulfato sódico pentahidratado (Na2S2O35 . H2O) en agua. Esta solución ha de ser preparada de forma que 1 ml equivalga a 2 mg de Cu. Estabilizar la solución añadiendo unas gotas de cloroformo. La solución debe guardarse en un recipiente de vidrio y protegerse de la luz directa.

4.6. Yoduro de potasio (KI)

4.7.   Solución de tiocianato de potasio (KSCN) al 25 % (p/v)

Conservar esta solución en un frasco de plástico.

4.8.   Solución de almidón al 0,5 %, aproximadamente

Introducir en un vaso de precipitados de 600 ml 2,5 g de almidón. Añadir 500 ml de agua aproximadamente. Llevar a ebullición agitando. Enfriar a temperatura ambiente. La solución no se conserva mucho tiempo. Su conservación puede prolongarse añadiendo unos 10 mg de yoduro de mercurio.

5.   Preparación de la solución problema

Preparación de la solución de cobre

Véanse los métodos 10.1 y 10.2.

6.   Método

6.1.   Preparación de la solución de ensayo

Introducir una alícuota de la solución del extracto que no contenga menos de 20 ó 40 mg de Cu en un erlenmeyerde 500 ml.

Eliminar el exceso de oxígeno eventualmente presente mediante una breve ebullición. Completar el volumen hasta 100 ml, aproximadamente, con agua. Añadir 5 ml de ácido nítrico (4.1) y hervir durante medio minuto, aproximadamente.

Retirar el erlenmeyer de la fuente de calor, añadir 3 g, aproximadamente, de urea (4.2) y volver a hervir durante otro medio minuto, aproximadamente.

Retirar de la fuente de calor y añadir 200 ml de agua fría. Si es preciso, enfriar el contenido del erlenmeyer a temperatura ambiente.

Añadir poco a poco amoníaco (4.4) hasta que la solución se vuelva azul. A continuación adicionar 1 ml más.

Añadir 50 ml de solución de difluoruro de amonio (4.3) y mezclar.

Introducir 10 g de yoduro de potasio (4.6) y disolver.

6.2.   Valoración de la solución

Colocar el erlenmeyer sobre un agitador magnético. Introducir la varilla en el erlenmeyer y regular el agitador a la velocidad deseada.

Añadir con una bureta solución de calibración de tiosulfato sódico (4.5) hasta que disminuya la intensidad del color marrón del yodo liberado de la solución.

Introducir 10 ml de la solución de almidón (4.8).

Continuar la valoración con la solución de tiosulfato sódico (4.5) hasta la práctica desaparición del color púrpura.

Añadir 20 ml de solución de tiocianato de potasio (4.7) y proseguir la valoración hasta la desaparición total del color azul violeta.

Anotar el volumen empleado de la solución de tiosulfato.

7.   Expresión del resultado

1 ml de la solución de calibración de tiosulfato sódico (4.5) corresponde a 2 mg de Cu.

El porcentaje de cobre en el abono es:

image

donde:

X

=

volumen utilizado de la solución de tiosulfato sódico, en ml;

V

=

volumen de la solución de extracto, obtenido según los métodos 10.1 ó 10.2, en ml;

a

=

volumen de la parte alícuota, en ml;

M

=

masa de la muestra tratada según los métodos 10.1 y 10.2, en gramos.

Método 10.8

Determinación cuantitativa del hierro en los extractos de abonos por espectrometría de absorción atómica

1.   Objeto

En el presente documento se describe un método para la determinación del hierro en los extractos de abonos.

2.   Ámbito de aplicación

El presente método se aplica a los extractos de las muestras de abonos obtenidos por los métodos 10.1 y 10.2 para los cuales el anexo I E del presente Reglamento establece la declaración del contenido de hierro total y/o de hierro soluble en agua.

3.   Principio

Una vez tratados y diluidos los extractos de forma adecuada, se determina el hierro por espectrometría de absorción atómica.

4.   Reactivos

4.1.   Solución de ácido clorhídrico, aproximadamente 6 mol/l

Véase el apartado 4.1 del método 10.4.

4.2.   Solución de ácido clorhídrico, aproximadamente 0,5 mol/l

Véase el apartado 4.2 del método 10.4.

4.3. Solución de peróxido de hidrógeno (H2O2 al 30 %, d20 = 1,11 g/ml) exenta de micronutrientes.

4.4.   Soluciones de sal de lantano (10 g de La por litro)

Véase el apartado 4.3 del método 10.4.

4.5.   Soluciones de calibración del hierro

4.5.1.   Solución madre de hierro (1 000 μg/ml)

En un vaso de precipitados de 500 ml, pesar 1 g de alambre de hierro puro, con una precisión de 0,1 mg, y añadir 200 ml de ácido clorhídrico 6 mol/l (4.1) y 15 ml de solución de peróxido de hidrógeno (4.3). Calentar en placa calefactora hasta disolución completa, dejar enfriar y pasar cuantitativamente a un matraz aforado de 1 000 ml. Enrasar con agua. Homogeneizar.

4.5.2.   Solución de trabajo de hierro (100 μg/ml)

En un matraz aforado de 200 ml, introducir 20 ml de la solución madre (4.5.1). Enrasar con la solución de ácido clorhídrico 0,5 mol/l (4.2). Homogeneizar.

5.   Equipo

Espectrómetro de absorción atómica: véase el apartado 5 del método 10.4. El aparato debe estar provisto de una fuente de radiación emitida característica del hierro (248,3 nm).

6.   Preparación de la solución problema

6.1.   Preparación de la solución de hierro

Véanse los métodos 10.1, 10.2 y, si procede, 10.3.

6.2.   Preparación de una solución de ensayo

Véase el apartado 6.2 del método 10.4. La solución de ensayo debe contener un 10 % (v/v) de una solución de sal de lantano.

7.   Método

7.1.   Preparación de la solución en blanco

Véase el apartado 7.1 del método 10.4. La solución en blanco debe contener un 10 % (v/v) de una solución de sal de lantano utilizada en 6.2.

7.2.   Preparación de las soluciones de calibración

Véase el apartado 7.2 del método 10.4.

Para un intervalo óptimo de determinación comprendido entre 0 y 10 μg/ml de hierro, introducir en matraces aforados de 100 ml, respectivamente, 0, 2, 4, 6, 8 y 10 ml de la solución de trabajo (4.5.2). Si es necesario, ajustar la concentración de ácido clorhídrico para que se aproxime lo más posible a la de la solución de ensayo. Añadir 10 ml de la solución de sal de lantano utilizada en 6.2. Enrasar con solución de ácido clorhídrico 0,5 mol/l (4.2). Homogeneizar. Estas soluciones contienen, respectivamente, 0, 2, 4, 6, 8 y 10 μg/ml de hierro.

7.3.   Mediciones

Véase el apartado 7.3 del método 10.4. Preparar el espectrómetro (5) para realizar las mediciones a una longitud de onda de 248,3 nm.

8.   Expresión del resultado

Véase el apartado 8 del método 10.4.

El porcentaje de hierro en el abono es igual a:

image

Si se ha seguido el método 10.3:

image

donde:

Fe

=

cantidad de hierro, expresada en porcentaje del abono;

xs

=

vconcentración de la solución de ensayo (6.2), en μg/ml;

xb

=

concentración de la solución en blanco (7.1), en μg/ml;

V

=

volumen del extracto obtenido con el método 10.1 ó 10.2, en ml;

D

=

factor correspondiente a la dilución efectuada en 6.2;

M

=

masa de la muestra tomada con arreglo al método 10.1 ó 10.2, en gramos.

Cálculo del factor de dilución D: si (a1), (a2), (a3), …, (ai) y (a) son las alícuotas y (v1), (v2), (v3), …, (vi) y (100) los volúmenes en ml correspondientes a las diluciones respectivas, el factor de dilución D será igual a:

image

Método 10.9

Determinación cuantitativa del manganeso en los extractos de abonos por valoración

1.   Objeto

En el presente documento se describe un método para la determinación del manganeso en los extractos de abonos.

2.   Ámbito de aplicación

El presente método se aplica a los extractos de las muestras de abonos obtenidos por los métodos 10.1 y 10.2 para los que el anexo I E del presente Reglamento establece la declaración del contenido del manganeso.

3.   Principio

En caso de que haya iones cloruro presentes en el extracto, se eliminan mediante ebullición del extracto, al que se habrá añadido ácido sulfúrico. El manganeso se oxida por medio de bismutato sódico en ácido nítrico. El permanganato que se forma se reduce mediante un exceso de sulfato de hierro(II). Este exceso se valora con una solución de permanganato de potasio.

4.   Reactivos

4.1. Ácido sulfúrico concentrado (H2SO4, d20 = 1,84 g/ml)

4.2.   Ácido sulfúrico, aproximadamente 9 mol/l

Mezclar con cuidado 1 volumen de ácido sulfúrico concentrado (4.1) y 1 volumen de agua.

4.3.   Ácido nítrico 6 mol/l

Mezclar 3 volúmenes de ácido nítrico (HNO3, d20 = 1,40 g/ml) y 4 volúmenes de agua.

4.4.   Ácido nítrico, 0,3 mol/l

Mezclar 1 volumen de ácido nítrico 6 mol/l y 19 volúmenes de agua.

4.5. Bismutato sódico (NaBiO3) al 85 %.

4.6. Tierra de diatomeas.

4.7. Ácido ortofosfórico, 15 mol/l (H3PO4, d20 = 1,71 g/ml)

4.8.   Solución de sulfato de hierro(II) 0,15 mol/l

En un matraz aforado de 1 l, disolver 41,6 g de sulfato de hierro(II) heptahidrato (FeSO4 . 7H2O).

Añadir 25 ml de ácido sulfúrico concentrado (4.1) y 25 ml de ácido fosfórico (4.7). Enrasar y homogeneizar.

4.9.   Solución de permanganato de potasio 0,020 mol/l

Pesar, con una precisión de 0,1 mg, 3,160 g de permanganato de potasio (KMnO4), disolver y llevar a 1 000 ml con agua.

4.10.   Solución de nitrato de plata 0,1 mol/l

Disolver 1,7 g de nitrato de plata (AgNO3) y llevar a 100 ml con agua

5.   Equipo

5.1. Crisol filtrante P16/ISO 4 793, porosidad 4, capacidad 50 ml, instalado sobre un matraz de filtración de 500 ml.

5.2. Agitador magnético.

6.   Preparación de la solución problema

6.1.   Preparación de la solución de manganeso

Véanse los métodos 10.1 y 10.2. Si hay dudas sobre la presencia de iones cloruro, someter a prueba la solución con una gota de la solución de nitrato de plata (4.10).

6.2. En caso de que no haya iones cloruro, introducir en un vaso de precipitados de 400 ml una alícuota del extracto que contenga entre 10 y 20 mg de manganeso. Llevar a un volumen de 25 ml, aproximadamente, bien por evaporación o bien añadiendo agua. Añadir 2 ml de ácido sulfúrico concentrado (4.1).

6.3.  Si hay iones cloruro, es necesario eliminarlos de la siguiente forma:

En un vaso de precipitados alto y de capacidad apropiada, introducir una alícuota del extracto que contenga entre 10 y 20 mg de manganeso. Añadir 5 ml de ácido sulfúrico 9 mol/l (4.2). Bajo una campana extractora, llevar a ebullición sobre placa calefactora y mantener la ebullición hasta que haya una liberación abundante de humos blancos. Proseguir hasta que el volumen se reduzca a 2 ml, aproximadamente (fina capa de líquido almibarado en el fondo del vaso). Llevar de nuevo el vaso de precipitados a temperatura ambiente.

Añadir con cuidado 25 ml de agua y comprobar una vez más la ausencia de cloruros con una gota de la solución de nitrato de plata (4.10). Si quedan aún cloruros, comenzar de nuevo la operación tras haber añadido 5 ml de ácido sulfúrico 9 mol/l (4.2).

7.   Método

En el vaso de precipitados de 400 ml que contiene la solución problema, poner 25 ml de ácido nítrico 6 mol/l (4.3) y 2,5 g de bismutato sódico (4.5). Con el agitador magnético (5.2), agitar enérgicamente durante 3 minutos.

Añadir 50 ml de ácido nítrico 0,3 mol/l (4.4) y agitar de nuevo. Filtrar en vacío con un crisol (5.1) cuyo fondo se ha cubierto de tierra de diatomeas (4.6). Lavar varias veces el crisol con ácido nítrico 0,3 mol/l (4.4) hasta obtener un filtrado incoloro.

Transferir el filtrado y la solución de lavado a un vaso de precipitados de 500 ml. Mezclar y añadir 25 ml de solución de sulfato de hierro(II) 0,15 mol/l (4.8). Si el filtrado se vuelve amarillo tras la adición de sulfato de hierro(II), añadir 3 ml de ácido ortofosfórico 15 mol/l (4.7).

Valorar mediante una bureta el exceso de sulfato de hierro(II) con la solución de permanganato de potasio 0,02 mol/l (4.9) hasta obtener un color rosa estable durante 1 minuto. Efectuar una determinación en blanco en las mismas condiciones omitiendo únicamente la muestra.

Nota

La solución oxidada no debe entrar en contacto con caucho.

8.   Expresión del resultado

1 ml de solución de permanganato de potasio 0,02 mol/l corresponde a 1,099 mg de manganeso (Mn).

El porcentaje de manganeso en el abono es igual a:

image

donde:

xb

=

volumen del permanganato utilizado en el ensayo en blanco, en ml;

xs

=

volumen del permanganato utilizado en el ensayo con la muestra, en ml;

V

=

volumen del extracto obtenido según los métodos 10.1 y 10.2, en ml;

a

=

volumen de la alícuota tomada del extracto, en ml;

M

=

masa de la muestra, en gramos.

Método 10.10

Determinación cuantitativa del molibdeno en los extractos de abonos por gravimetría con 8-hidroxiquinoleína

1.   Objeto

En el presente documento se describe un método para la determinación del molibdeno en los extractos de abonos.

2.   Ámbito de aplicación

El procedimiento descrito se aplica a los extractos de las muestras de abonos obtenidos por los métodos 10.1 y 10.2 para los que el anexo I E del presente Reglamento establece la declaración del contenido de molibdeno.

3.   Principio

La determinación cuantitativa del molibdeno se realiza por precipitación como oxinato de molibdenilo en unas condiciones determinadas.

4.   Reactivos

4.1.   Solución de ácido sulfúrico, aproximadamente 1 mol/l

En un matraz aforado de 1 l que contenga 800 ml de agua, poner con cuidado 55 ml de ácido sulfúrico (H2SO4, d20 = 1,84 g/ml). Homogeneizar. Dejar enfriar y completar hasta 1 l. Homogeneizar.

4.2.   Solución amoniacal diluida (1:3)

Mezclar 1 volumen de amoníaco concentrado (NH4OH, d20 = 0,9 g/ml) y 3 volúmenes de agua.

4.3.   Solución de ácido acético diluido (1:3)

Mezclar 1 volumen de ácido acético concentrado (99,7 % CH3COOH, d20 = 1,049 g/ml) y 3 volúmenes de agua.

4.4.   Solución de sal disódica de ácido etilendiaminotetraacético (EDTA)

En un matraz aforado de 100 ml, disolver en agua 5 g de Na2EDTA. Enrasar y homogeneizar.

4.5.   Solución tampón

En un matraz aforado de 100 ml, disolver 15 ml de ácido acético concentrado y 30 g de acetato de amonio en agua. Enrasar.

4.6.   Solución de 7-hidroxiquinoleína (oxina)

En un matraz aforado de 100 ml, disolver 3 g de hidroxiquinoleína en 5 ml de ácido acético concentrado. Añadir 80 ml de agua. Añadir gota a gota solución amoniacal (4.2) hasta que la solución se enturbie, y a continuación ácido acético (4.3) hasta que la solución vuelva a estar límpida.

Enrasar con agua.

5.   Equipo

5.1. Crisol filtrante P16/ISO 4793, porosidad 4, capacidad 30 ml.

5.2. pH-metro con electrodo de vidrio.

5.3. Estufa de secado regulada a 130 ± 135 °C.

6.   Preparación de la solución problema

6.1. Preparación de la solución de molibdeno. Véanse los métodos 10.1 y 10.2.

7.   Método

7.1.   Preparación de la solución de ensayo

Introducir en un vaso de precipitados de 250 ml una alícuota que contenga entre 25 y 100 mg de Mo. Completar el volumen con agua hasta 50 ml.

Llevar esta solución a pH 5 añadiendo gota a gota solución de ácido sulfúrico (4.1). Añadir 15 ml de solución de EDTA (4.4) y, a continuación, 5 ml de solución tampón (4.5). Completar hasta 80 ml, aproximadamente, con agua.

7.2.   Obtención y lavado del precipitado

Calentar ligeramente la solución. Mientras se agita constantemente, añadir la solución de oxina (4.6). Proseguir la precipitación hasta que ya no se observe formación de sedimento. Añadir un exceso de reactivo hasta que la solución sobrenadante tome un ligero color amarillo. Normalmente, deberían bastar 20 ml. Continuar calentando levemente el precipitado durante 2 ó 3 minutos.

Filtrar con un crisol filtrante (5.1). Aclarar varias veces con volúmenes de 20 ml de agua caliente. El agua del aclarado debe hacerse progresivamente incolora, lo que indica que ya no hay oxina.

7.3.   Pesada del precipitado

Secar el precipitado a 130-135 °C hasta que alcance una masa constante (1 hora como mínimo).

Dejar enfriar en un desecador y pesar.

8.   Expresión del resultado

1 mg de oxinato de molibdenilo, MoO2(C9H6ON)2, corresponde a 0,2305 mg de Mo.

El porcentaje de molibdeno en el abono es igual a:

image

donde:

X

=

masa del precipitado de oxinato de molibdenilo, en mg;

V

=

volumen de la solución del extracto, obtenido según el método 10.1 ó 10.2, en ml;

a

=

volumen de la alícuota tomada de la última dilución, en ml;

D

=

factor de dilución de esta alícuota;

M

=

masa de la muestra, en gramos.

Método 10.11

Determinación cuantitativa del zinc en los extractos de abonos por espectrometría de absorción atómica

1.   Objeto

En el presente documento se describe un método para la determinación del zinc en los extractos de abonos.

2.   Ámbito de aplicación

El presente método se aplica a los extractos de las muestras de abonos obtenidos por los métodos 10.1 y 10.2 para los cuales se establece en el anexo I E del presente Reglamento una declaración del contenido de zinc.

3.   Principio

Una vez tratados y diluidos los extractos de forma adecuada, se determina el zinc por espectrometría de absorción atómica.

4.   Reactivos

4.1.   Solución de ácido clorhídrico, aproximadamente 6 mol/l

Véase el apartado 4.1 del método 10.4.

4.2.   Solución de ácido clorhídrico, aproximadamente 0,5 mol/l

Véase el apartado 4.2 del método 10.4.

4.3.   Soluciones de sal de lantano (10 g de La por litro)

Véase el apartado 4.3 del método 10.4.

4.4.   Soluciones de calibración del zinc

4.4.1.   Solución madre de zinc (1 000 μg/ml)

En un matraz aforado de 1 000 ml, disolver 1 g de zinc en polvo o en placas, pesado con una precisión de 0,1 mg en 25 ml de ácido clorhídrico 6 mol/l (4.1). Después de la disolución completa, enrasar con agua. Homogeneizar.

4.4.2.   Solución de trabajo de zinc (100 μg/ml)

En un matraz aforado de 200 ml, diluir 20 ml de la solución madre (4.4.1) con solución de ácido clorhídrico 0,5 mol/l (4.2). Enrasar con la solución de ácido clorhídrico 0,5 mol/l. Homogeneizar.

5.   Equipo

Espectrómetro de absorción atómica.

Véase el apartado 5 del método 10.4. El aparato debe estar provisto de una fuente de radiación característica del zinc (213,8 nm) y debe permitir hacer correcciones de fondo.

6.   Preparación de la solución problema

6.1.   Preparación de la solución de zinc

Véanse los métodos 10.1 y, si procede, 10.2.

6.2.   Preparación de la solución de ensayo

Véase el apartado 6.2 del método 10.4. La solución de ensayo debe contener un 10 % (v/v) de una solución de sal de lantano.

7.   Método

7.1.   Preparación de la solución en blanco

Véase el apartado 7.1 del método 10.4. La solución en blanco debe contener un 10 % (v/v) de la solución de sal de lantano utilizada en 6.2.

7.2.   Preparación de las soluciones de calibración

Véase el apartado 7.2 del método 10.4. Para un intervalo óptimo de determinación comprendido entre 0 y 5 μg/ml de zinc, introducir, respectivamente, 0, 0,5, 1, 2, 3, 4 y 5 ml de la solución de trabajo (4.4.2) en matraces aforados de 100 ml. Si es necesario, ajustar la concentración de ácido clorhídrico para que se aproxime lo más posible a la de la solución de ensayo. Añadir en cada matraz 10 ml de la solución de sal de lantano utilizada en 6.2. Enrasar con solución de ácido clorhídrico 0,5 mol/l (4.2). Homogeneizar.

Estas soluciones contienen, respectivamente, 0, 0,5, 1, 2, 3, 4 y 5 μg/ml de zinc.

7.3.   Mediciones

Véase el apartado 7.3 del método 10.4. Preparar el espectrómetro (5) para realizar las mediciones a una longitud de onda de 213,8 nm.

8.   Expresión del resultado

Véase el apartado 8 del método 10.4.

El porcentaje de zinc en el abono es igual a:

image

Si se ha seguido el método 10.3:

image

donde:

Zn

=

cantidad de zinc, expresada en porcentaje del abono;

xs

=

concentración de la solución de ensayo (6.2) en μg/ml;

xb

=

concentración de la solución en blanco en μg/ml;

V

=

volumen del extracto obtenido con el método 10.1 ó 10.2, en ml;

D

=

factor correspondiente a la dilución efectuada en 6.2;

M

=

masa de la muestra tomada con arreglo al método 10.1 ó 10.2, en gramos.

Cálculo del factor de dilución D:

si (a1), (a2), (a3), …, (ai) y (a) son las alícuotas y (v1), (v2), (v3), …, (vi) y (100) los volúmenes correspondientes a las diluciones respectivas, el factor de dilución D será igual a:

image




ANEXO V

A.   LISTA DE DOCUMENTOS QUE DEBERÁN CONSULTAR LOS FABRICANTES O SUS REPRESENTANTES PARA LA ELABORACIÓN DE UN EXPEDIENTE TÉCNICO RELATIVO A UN NUEVO TIPO DE ABONO QUE DEBERÁ AÑADIRSE AL ANEXO I DEL PRESENTE REGLAMENTO

1. Instrucciones para la elaboración del expediente técnico de los abonos para los que se solicita la denominación Abono CEE.

Diario Oficial de las Comunidades Europeas C 138 de 20.5.1994, p. 4.

2. Directiva 91/155/CEE de la Comisión, de 5 de marzo de 1991, por la que se definen y fijan, en aplicación del artículo 10 de la Directiva 88/379/CEE del Consejo, las modalidades del sistema de información específica, relativo a los preparados peligrosos.

Diario Oficial de las Comunidades Europeas L 76 de 22.3.1991, p. 35.

3. Directiva 93/112/CE de la Comisión de 10 de diciembre de 1993 por la que se modifica la Directiva 91/155/CEE por la que se definen y fijan, en aplicación del artículo 10 de la Directiva 88/379/CEE, las modalidades del sistema de información específica relativo a los preparados peligrosos.

Diario Oficial de las Comunidades Europeas L 314 de 16.12.1993, p. 38.

B.   NORMAS DE ACREDITACIÓN PARA LOS LABORATORIOS COMPETENTES Y AUTORIZADOS PARA PRESTAR LOS SERVICIOS NECESARIOS PARA COMPROBAR LA CONFORMIDAD DE LOS ABONOS CE CON LO DISPUESTO EN EL PRESENTE REGLAMENTO Y SUS ANEXOS

1. Norma aplicable a los laboratorios:

EN ISO/IEC 17025, Requisitos generales para la competencia de los laboratorios de ensayo y calibración.

2. Norma aplicable a los organismos de acreditación:

EN 45003, Sistema de acreditación de laboratorios de calibración y ensayo, requisitos generales de funcionamiento y reconocimiento.



( 1 ) DO C 51 E de 26.2.2002, p. 1 y DO C 227 E de 24.9.2002, p. 503.

( 2 ) DO C 80 de 3.4.2002, p. 6.

( 3 ) Dictamen del Parlamento Europeo de 10 de abril de 2002 (DO C 127 E de 29.5.2003, p. 160), Posición Común del Consejo de 14 de abril de 2003 (DO C 153 E de 1.7.2003, p. 56) y Decisión del Parlamento Europeo de 2 de septiembre de 2003 (no publicada aún en el Diario Oficial).

( 4 ) DO L 24 de 30.1.1976, p. 21. Directiva cuya última modificación la constituye la Directiva 98/97/CE del Parlamento Europeo y del Consejo (DO L 18 de 23.1.1999, p. 60).

( 5 ) DO L 250 de 23.9.1980, p. 7. Directiva modificada por la Directiva 97/63/CE del Parlamento Europeo y del Consejo (DO L 335 de 6.12.1997, p. 15).

( 6 ) DO L 38 de 7.2.1987, p. 1. Directiva modificada por la Directiva 88/126/CEE (DO L 63 de 9.3.1988, p. 12).

( 7 ) DO L 213 de 22.8.1977, p. 1. Directiva cuya última modificación la constituye la Directiva 95/8/CE (DO L 86 de 20.4.1995, p. 41).

( 8 ) DO L 184 de 17.7.1999, p. 23.

( 9 ) DO L 196 de 16.8.1967, p. 1.

( 10 ) Los agentes quelantes se identificarán y cuantificarán conforme a la norma Europea EN 13368 parte 1 y 2, siempre que dicha norma cubra los mencionados agentes.

( 11 ) Para la mayoría de las sustancias orgánicas en presencia de catalizador de nitrato de plata, es suficiente un tiempo de reacción de una hora y media.

( 12 ) Podrá utilizarse cualquier solución de cobre comercial.

( 13 ) Whatman 541 o equivalente.

( 14 ) El diámetro del disco debe siempre corresponder al diámetro interior del cilindro.

( 15

NB: Cuando se tensen los seis trozos externos de mecha detonante después de agruparlos, la mecha central debe quedar ligeramente floja.

( 16 ) Cuando la cifra obtenida contenga decimales, deberán redondearse a la unidad superior.

( 17 ) Cuando el contenido de los envases sea inferior a 1 kg, el contenido de un envase constituirá una muestra elemental.

( 18 ) Los grumos deberán deshacerse (si es necesario apartándolos y reintegrándolos luego a la muestra).

( 19 ) La cantidad de nitrógeno amoniacal contenido en la parte alícuota con arreglo al Cuadro 1 será aproximadamente:

 0,05 g para la variante a,

 0,10 g para la variante b,

 0,20 g para la variante c.

( 20 ) El refrigerador habrá de regularse de modo que se obtenga un flujo continuo de condensado. La destilación debería durar de 30 a 40 minutos.

( 21 ) El biuret puede purificarse previamente lavándolo con una solución amoniacal (10 %), luego con acetona y secándolo al vacío.

( 22 ) Véase el punto 9 «Anexo».

( 23 ) Si no se dispone de un agitador mecánico, habrá de agitarse el frasco manualmente cada cinco minutos.

( 24 ) Fósforo soluble en ácidos minerales, fósforo soluble en agua, fósforo soluble en soluciones de citrato de amonio, fósforo soluble en ácido cítrico al 2 % y fósforo soluble en ácido fórmico al 2 %.

( 25 ) 21 ml cuando la solución para precipitar contenga más de 15 ml de solución de citrato (citrato neutro, citrato alcalino de Petermann o de Joulie).

( 26 ) Utilizar 80 ml de reactivo para precipitar soluciones de fosfato que contengan más de 15 ml de solución de citrato (neutra, de Petermann o de Joulie) y que hayan sido acidificadas con 21 ml de ácido nítrico concentrado.