02009R0152 — ES — 24.05.2017 — 006.001


Este texto es exclusivamente un instrumento de documentación y no surte efecto jurídico. Las instituciones de la UE no asumen responsabilidad alguna por su contenido. Las versiones auténticas de los actos pertinentes, incluidos sus preámbulos, son las publicadas en el Diario Oficial de la Unión Europea, que pueden consultarse a través de EUR-Lex. Los textos oficiales son accesibles directamente mediante los enlaces integrados en este documento

►B

REGLAMENTO (CE) no152/2009 DE LA COMISIÓN

de 27 de enero de 2009.

por el que se establecen los métodos de muestreo y análisis para el control oficial de los piensos

(Texto pertinente a efectos del EEE)

(DO L 054 de 26.2.2009, p. 1)

Modificado por:

 

 

Diario Oficial

  n°

página

fecha

 M1

REGLAMENTO (UE) No 278/2012 DE LA COMISIÓN de 28 de marzo de 2012

  L 91

8

29.3.2012

►M2

REGLAMENTO (UE) No 51/2013 DE LA COMISIÓN de 16 de enero de 2013

  L 20

33

23.1.2013

►M3

REGLAMENTO (UE) No 691/2013 DE LA COMISIÓN de 19 de julio de 2013

  L 197

1

20.7.2013

 M4

REGLAMENTO (UE) No 709/2014 DE LA COMISIÓN de 20 de junio de 2014

  L 188

1

27.6.2014

 M5

REGLAMENTO (UE) 2017/645 DE LA COMISIÓN de 5 de abril de 2017

  L 92

35

6.4.2017

►M6

REGLAMENTO (UE) 2017/771 DE LA COMISIÓN de 3 de mayo de 2017

  L 115

22

4.5.2017




▼B

REGLAMENTO (CE) no152/2009 DE LA COMISIÓN

de 27 de enero de 2009.

por el que se establecen los métodos de muestreo y análisis para el control oficial de los piensos

(Texto pertinente a efectos del EEE)



▼M3

Artículo 1

El muestreo para el control oficial de los piensos, en particular en lo que se refiere a la determinación de los componentes, incluido el material que esté compuesto por organismos modificados genéticamente (OMG), los contenga o haya sido producido a partir de ellos, los aditivos tal como se definen en el Reglamento (CE) no 1831/2003 del Parlamento Europeo y del Consejo ( 1 ), y las sustancias indeseables tal como se definen en la Directiva 2002/32/CE del Parlamento Europeo y del Consejo ( 2 ), se llevará a cabo de acuerdo con los métodos expuestos en el anexo I.

El método de muestreo establecido en el anexo I es aplicable al control de los piensos en lo relativo a la determinación de los residuos de plaguicidas, tal como se definen en el Reglamento (CE) no 396/2005 del Parlamento Europeo y del Consejo ( 3 ), y al control de conformidad con el Reglamento (UE) no 619/2011.

▼B

Artículo 2

La preparación de las muestras para el análisis y la expresión de los resultados se efectuarán conforme a los métodos expuestos en el anexo II.

Artículo 3

Los análisis para el control oficial de los piensos se realizarán aplicando los métodos expuestos en el anexo III (Métodos de análisis para el control de la composición de los materiales para piensos y los piensos compuestos), el anexo IV (Métodos de análisis para el control del nivel de aditivos autorizados en los piensos), el anexo V (Métodos de análisis para el control de sustancias indeseables en los piensos) y el anexo VI (Métodos de análisis para la determinación de componentes de origen animal con fines de control oficial de los piensos).

Artículo 4

El valor energético de los piensos compuestos para aves de corral se calculará conforme al anexo VII.

Artículo 5

Los métodos de análisis expuestos en el anexo VIII, utilizados para controlar la presencia ilícita de aditivos que ya no están autorizados en los piensos, se emplearán con fines de confirmación.

Artículo 6

Quedan derogadas las Directivas 71/250/CEE, 71/393/CEE, 72/199/CEE, 73/46/CEE, 76/371/CEE, 76/372/CEE, 78/633/CEE, 81/715/CEE, 84/425/CEE, 86/174/CEE, 93/70/CEE, 93/117/CE, 98/64/CE, 1999/27/CE, 1999/76/CE, 2000/45/CE, 2002/70/CE y 2003/126/CE.

Las referencias a las Directivas derogadas se entenderán hechas al presente Reglamento y se leerán con arreglo a la tabla de correspondencias que figura en el anexo IX.

Artículo 7

El presente Reglamento entrará en vigor el vigésimo día siguiente al de su publicación en el Diario Oficial de la Unión Europea.

Será aplicable a partir del 26 de agosto de 2009

El presente Reglamento será obligatorio en todos sus elementos y directamente aplicable en cada Estado miembro.

▼M3




ANEXO I

MÉTODOS DE MUESTREO

1.   OBJETO Y ÁMBITO DE APLICACIÓN

Las muestras destinadas al control oficial de los piensos se tomarán siguiendo los métodos que se describen a continuación. Las muestras así obtenidas se considerarán representativas de los lotes muestreados.

El objetivo de un muestreo representativo es obtener una pequeña fracción de un lote de forma que la determinación de una de las características particulares de tal fracción represente el valor medio de las características del lote. El muestreo del lote consistirá en tomar varias muestras elementales en distintos lugares del lote. Estas muestras elementales se mezclarán hasta constituir una muestra global, de la cual se extraerán muestras finales representativas mediante división representativa.

Si a la inspección ocular hay partes del pienso por muestrear que presentan una diferencia de calidad con respecto al resto del pienso del mismo lote, estas partes se separarán del resto y se tratarán como un sublote aparte. Si no es posible dividir el pienso en sublotes, se muestreará como un lote. En tales casos, esto se mencionará en el acta de muestreo.

Cuando un pienso muestreado con arreglo al presente Reglamento no satisface los requisitos de la UE, y forma parte de un lote de piensos de la misma clase o descripción, se considerarán afectados todos los piensos de dicho lote, salvo que una evaluación detallada ponga de manifiesto que no está demostrado que el resto del lote no satisfaga tales requisitos.

2.   DEFINICIONES

Lote : la cantidad identificable de pienso respecto de la cual se hayan determinado unas características comunes tales como el origen, la variedad, el tipo de envase, el envasador, el expedidor o el etiquetado y, en el caso de un proceso de producción, la unidad de producción de una única planta que utilice parámetros uniformes de producción o una serie de esas unidades cuando se produzcan en orden continuo y se almacenen juntas.

Lote muestreado : un lote o una parte identificada del lote o sublote que va a ser objeto de muestreo.

Muestra precintada : aquella a la que no se puede acceder sin romper o retirar el precinto.

Muestra elemental : cantidad tomada en un punto del lote muestreado.

Muestra global : suma de las muestras elementales tomadas del mismo lote muestreado.

Muestra reducida : parte representativa de la muestra global, obtenida por reducción de esta.

Muestra final : parte de la muestra reducida o de la muestra global homogeneizada.

Muestra de laboratorio : la destinada al laboratorio (tal como este la recibe), que puede ser final, reducida o global.

3.   DISPOSICIONES GENERALES

 Personal encargado del muestreo: la toma de muestras correrá a cargo de personas autorizadas al efecto por la autoridad competente.

 La muestra irá precintada de tal manera que no se pueda acceder a ella sin romper o retirar el precinto. La marca del precinto debe ser claramente identificable y claramente visible. Como alternativa, la muestra puede colocarse en un recipiente que pueda cerrarse de manera que no pueda abrirse sin quedar irreversiblemente dañado, y que imposibilite su reutilización.

 Identificación de la muestra: la muestra llevará una marca indeleble y su identificación establecerá sin ambigüedad su vínculo con el acta de muestreo.

 De cada muestra global se toman, como mínimo, dos muestras finales: al menos una como control (aplicación) y una para el explotador de la empresa de piensos (defensa). Más adelante puede tomarse una muestra final de referencia. Si se homogeneiza la totalidad de la muestra global, las muestras finales se toman de la muestra global homogeneizada, a menos que este procedimiento contravenga la normativa de los Estados miembros sobre los derechos del explotador de la empresa de piensos.

4.   INSTRUMENTAL

4.1.

El instrumental de muestreo debe estar hecho de materiales que no puedan contaminar los productos de los se hayan de tomar muestras. El instrumental destinado a múltiples utilizaciones será fácil de limpiar, para evitar la contaminación cruzada.

4.2.

Instrumental recomendado para el muestreo de piensos sólidos

4.2.1.    Muestreo manual

4.2.1.1.   Pala de fondo plano y bordes verticales

4.2.1.2.

Sonda con hendidura larga o compartimentos. Las dimensiones de la sonda deben ajustarse a las características del lote muestreado (profundidad del recipiente, dimensiones del saco, etc.) y al tamaño de las partículas del pienso.

Si la sonda de muestreo tiene varias aberturas, para garantizar que la muestra se tome en diversos puntos a lo largo de la misma, se separan las aberturas mediante compartimentos o se escalonan secuencialmente.

4.2.2.    Muestreo mecánico

Podrán utilizarse aparatos mecánicos apropiados para el muestreo de piensos en movimiento. Se entiende por «apropiados» que permitan muestrear, como mínimo, toda la sección del flujo.

El muestreo de piensos en movimiento (en grandes caudales) puede hacerse con muestreadores automáticos.

4.2.3.    Divisor

Cuando sea posible y pertinente, para preparar muestras reducidas representativas se utilizarán aparatos diseñados para dividir la muestra en partes aproximadamente iguales.

5.   REQUISITOS CUANTITATIVOS EN CUANTO AL NÚMERO DE MUESTRAS ELEMENTALES

 Los requisitos cuantitativos de los puntos 5.1 y 5.2 en cuanto al número de muestras elementales son aplicables a tamaños de lotes muestreados de hasta 500 toneladas y que pueden muestrearse de modo representativo. El procedimiento de muestreo descrito es igualmente válido para cantidades superiores al máximo prescrito si no se tiene en cuenta el número máximo de muestras elementales indicado en los cuadros siguientes, y si se incrementa proporcionalmente el número de muestras elementales determinado por la fórmula de la raíz cuadrada que figura en la parte correspondiente del procedimiento (véase el punto 5.3) y el tamaño mínimo de la muestra global. Ello no impide subdividir un lote grande en sublotes más pequeños y muestrear cada uno de estos según el procedimiento descrito en los puntos 5.1 y 5.2.

 El lote muestreado debe tener un tamaño que permita tomar muestras de todas las partes que lo compongan.

 A los lotes o sublotes muy grandes (> 500 toneladas) y a los transportados o almacenados de tal modo que no puedan muestrearse según el procedimiento descrito en los puntos 5.1 y 5.2, se aplicará el procedimiento de muestreo dispuesto en el punto 5.3.

 Si la legislación, en el marco de un sistema obligatorio de seguimiento, obliga a cumplir el presente Reglamento al explotador de la empresa de piensos, este podrá, en función de sus características operativas, apartarse de los requisitos cuantitativos establecidos en este punto, si demuestra que su procedimiento de muestreo es equivalente en cuanto a la representatividad y recibe la autorización previa de la autoridad competente.

 En casos excepcionales, si no es posible aplicar los criterios cuantitativos del método de muestreo establecido por el daño comercial inaceptable que se ocasionaría al lote (por el tipo de envase, los medios de transporte o almacenamiento, etc.), podrá aplicarse otro método de muestreo que sea lo más representativo posible y esté plenamente descrito y documentado.

5.1.    Requisitos cuantitativos de las muestras elementales para el control de sustancias o productos repartidos de manera uniforme en los piensos

5.1.1.    Piensos sólidos a granel



Tamaño del lote muestreado

Número mínimo de muestras elementales

≤ 2,5 toneladas

7

> 2,5 toneladas

√ 20 x no de toneladas que constituyen el lote muestreado (1), hasta un máximo de 40 muestras elementales

(*1)   Cuando la cifra obtenida sea decimal, deberá redondearse al siguiente número entero.

5.1.2.    Piensos líquidos a granel



Tamaño del lote muestreado

Número mínimo de muestras elementales

≤ 2,5 toneladas o ≤ 2 500 litros

Cuatro (1)

> 2,5 toneladas o > 2 500 litros

Siete (1)

(*1)   Si no es posible homogeneizar el líquido, se aumentará el número de muestras elementales.

5.1.3.    Piensos envasados

Los piensos (sólidos y líquidos) pueden envasarse en bolsas, sacos, latas, barricas, etc., denominados «unidades» en el cuadro. Las unidades grandes (≥ 500 kg o litros) se muestrearán según lo previsto para los piensos a granel (véanse los puntos 5.1.1 y 5.1.2).



Tamaño del lote muestreado

Número mínimo de unidades de las que hay que tomar (al menos) una muestra elemental (1)

1 a 20 unidades

1 unidad (2)

21 a 150 unidades

3 unidades (2)

151 a 400 unidades

5 unidades (2)

> 400 unidades

¼ del √ no de unidades que componen el lote muestreado (3), hasta 40 unidades

(*1)   Si la apertura de una unidad puede afectar el análisis (por ejemplo, piensos húmedos perecederos), constituirá una muestra elemental la unidad cerrada.

(*2)   Cuando el contenido de una unidad no exceda de 1 kg o 1 l, constituirá una muestra elemental el contenido de una unidad original.

(*3)   Cuando la cifra obtenida sea decimal, deberá redondearse al siguiente número entero.

5.1.4.    Piensos en bloques y piedras para lamer

Se muestreará al menos un bloque o una piedra para lamer por lote muestreado de 25 unidades, hasta un máximo de cuatro bloques o piedras para lamer.

Cuando cada bloque o piedra para lamer no supere un peso de 1 kg, constituirá una muestra elemental el contenido de un bloque o una piedra para lamer.

5.1.5.    Forrajes y forrajes groseros



Tamaño del lote muestreado

Número mínimo de muestras elementales (1)

≤ 5 toneladas

Cinco

> 5 toneladas

√ 5 x no de toneladas que constituyen el lote muestreado (2), hasta un máximo de 40 muestras elementales

(*1)   Se reconoce que en determinadas situaciones (por ejemplo, ensilado) no es posible tomar las muestras elementales previstas sin causar un daño inaceptable en el lote. En estas situaciones podrá aplicarse un método alternativo, y se elaborarán orientaciones sobre el muestreo de tales lotes antes de la entrada en vigor del presente Reglamento.

(*2)   Cuando la cifra obtenida sea decimal, deberá redondearse al siguiente número entero.

5.2.    Requisitos cuantitativos de las muestras elementales para el control de componentes o sustancias que pueden estar repartidos de manera no uniforme en los piensos

Estos requisitos cuantitativos de las muestras elementales se utilizarán en las siguientes situaciones:

 control de las aflatoxinas, del cornezuelo del centeno, de otras micotoxinas y de impurezas botánicas perjudiciales en las materias primas para piensos,

 control de la contaminación cruzada por un componente, incluido material modificado genéticamente, o una sustancia que no suelen estar repartidos de modo uniforme en los piensos.

Si la autoridad de control tiene la fuerte sospecha de que tal reparto no uniforme se da también en caso de contaminación cruzada por un componente o una sustancia de un pienso compuesto, pueden aplicarse los requisitos cuantitativos del cuadro siguiente.



Tamaño del lote muestreado

Número mínimo de muestras elementales

< 80 toneladas

Véanse los requisitos cuantitativos del punto 5.1; el número de muestras elementales que deben tomarse ha de multiplicarse por 2,5

≥ 80 toneladas

100

5.3.    Requisitos cuantitativos de muestras elementales de lotes muy grandes

Cuando los lotes muestreados son grandes (> 500 toneladas) se tomarán 40 muestras elementales + √ no de toneladas para el control de sustancias o productos repartidos de manera uniforme en los piensos, o 100 muestras elementales + √ no de toneladas para el control de componentes o sustancias que pueden estar repartidos de manera no uniforme en los piensos.

6.   REQUISITOS CUANTITATIVOS EN CUANTO A LA MUESTRA GLOBAL



Se requiere una sola muestra global por cada lote muestreado.

 

Tipo de pienso

Tamaño mínimo de la muestra global (1) (2)

6.1.

Piensos a granel

4 kg

6.2.

Piensos envasados

4 kg (3)

6.3.

Piensos líquidos o semilíquidos

4 litros

6.4.

Piensos en bloques o piedras para lamer

6.4.1.

De un peso superior a 1 kg cada uno

4 kg

6.4.2.

De un peso no superior a 1 kg cada uno

El peso de cuatro bloques o piedras para lamer

6.5.

Forrajes y forrajes groseros

4 kg (4)

(*1)   Si el pienso muestreado es de gran valor, puede tomarse una muestra global menor, siempre que esto se describa y documente en el acta de muestreo.

(*2)   De conformidad con las disposiciones del Reglamento (UE) no 619/2011 de la Comisión, de 24 de junio de 2011, por el que se establecen los métodos de muestreo y análisis para el control oficial de los piensos y de la presencia en ellos de material modificado genéticamente cuyo procedimiento de autorización esté pendiente o cuya autorización haya caducado (DO L 166 de 25.6.2011, p. 9), el tamaño de las muestras globales para el control de la presencia de material modificado genéticamente no será inferior al peso correspondiente a 35 000 granos o semillas. Esto significa que el tamaño de una muestra global de maíz será, como mínimo, de 10,5 kg y el de una muestra global de soja, de 7 kg. Una muestra global de 4 kg de otros granos y semillas como cebada, mijo, avena, arroz, centeno, trigo y colza corresponde a más de 35 000 semillas.

(*3)   En el caso de piensos envasados, también puede ser que no se alcance un tamaño de muestra global de 4 kg, según sea el tamaño de cada unidad.

(*4)   Si se trata de forrajes y forrajes groseros de baja densidad, como el heno o la paja, la muestra global debe tener un tamaño mínimo de 1 kg.

7.   REQUISITOS CUANTITATIVOS EN CUANTO A LAS MUESTRAS FINALES

Muestras finales

Se requiere el análisis de, por lo menos, una muestra final. La cantidad de muestra final destinada al análisis no será inferior a lo que se indica a continuación:



Piensos sólidos

500 g (1) (2) (3)

Piensos líquidos o semilíquidos

500 ml (1)

(*1)   De conformidad con las disposiciones del Reglamento (UE) no 619/2011, el tamaño de la muestra final para el control de la presencia de material modificado genéticamente no será inferior al peso correspondiente a 10 000 granos o semillas. Esto significa que el tamaño de la muestra final de maíz será, como mínimo, de 3 000 g y el de la muestra final de soja, de 2 000 g. Una muestra global de 500 g de otros granos y semillas como cebada, mijo, avena, arroz, centeno, trigo y colza corresponde a más de 10 000 semillas.

(*2)   Si el tamaño de la muestra global es significativamente inferior a 4 kg o 4 l (véanse las notas a pie de página del punto 6), puede asimismo tomarse una muestra final menor, siempre que esto se describa y documente en el acta de muestreo.

(*3)   Si se muestrean legumbres, granos de cereales y frutos de cáscara para determinar residuos de plaguicidas, el tamaño mínimo de la muestra final será de 1 kg, de conformidad con las disposiciones de la Directiva 2002/63/CE de la Comisión (DO L 187 de 16.7.2002, p. 30).

8.   MÉTODO DE MUESTREO DE LOTES MUY GRANDES, O TRANSPORTADOS O ALMACENADOS DE TAL MODO QUE NO PUEDAN MUESTREARSE EN SU TOTALIDAD

8.1.    Principios generales

Cuando el medio de transporte o almacenamiento de un lote no permite tomar muestras elementales de su totalidad, el muestreo del mismo se realizará de preferencia con el lote en movimiento.

Hay que animar a los operadores de almacenes de piensos de grandes dimensiones a que instalen equipos que hagan posible el muestreo (automático) del conjunto del lote almacenado.

Si se aplican los procedimientos de muestreo previstos en el presente punto 8, se informa del procedimiento de muestreo al explotador de la empresa de piensos o a su representante. Si el explotador de la empresa de piensos o su representante cuestionan dicho procedimiento de muestreo, deberán permitir que la autoridad competente proceda al muestreo de la totalidad del lote, y correrán con los costes.

8.2.    Lotes grandes transportados en buque

8.2.1.    Muestreo dinámico de lotes grandes transportados en buque

El muestreo de lotes grandes transportados en buque se realiza de preferencia con el lote en movimiento (muestreo dinámico).

El muestreo se realiza por bodega (espacio separable físicamente), pero las bodegas se vacían parcialmente una tras otra, con lo cual la separación inicial ya no existe una vez transferido el contenido al almacén. Por ello, el muestreo puede hacerse según la separación inicial o según la separación después de transferido el contenido al almacén.

La descarga de un buque puede durar varios días. Normalmente, el muestreo se realiza a intervalos regulares durante toda la duración de la descarga. Sin embargo, no es siempre factible o adecuado que un inspector oficial esté presente para hacer el muestreo durante toda la operación de descarga. Por eso se permite el muestreo de una parte (lote muestreado) del total. El número de muestras elementales se determina en función del tamaño del lote muestreado.

Si se muestrea una parte de un lote de piensos de la misma clase o descripción, y se determina que dicha parte no satisface los requisitos de la UE, se considerarán afectados todos los piensos de dicho lote, salvo que una evaluación detallada ponga de manifiesto que no está demostrado que el resto del lote no satisfaga los requisitos de la UE.

Aunque el muestreo oficial sea automático, tiene que estar presente un inspector. No obstante, si el muestreo automático se realiza con parámetros predeterminados que no pueden modificarse durante el mismo y las muestras elementales se recogen en un recipiente precintado, lo que impide todo posible fraude, el inspector solo tiene que estar presente al comienzo del muestreo, cada vez que se cambia el recipiente y al final del muestreo.

8.2.2.    Muestreo estático de lotes transportados en buque

El muestreo estático seguirá el mismo procedimiento establecido para los almacenes (silos) de carga superior (véase el punto 8.4.1).

El muestreo se realizará en la parte accesible (superior) del lote o la bodega. El número de muestras elementales se determina en función del tamaño del lote muestreado. Si se muestrea una parte de un lote de piensos de la misma clase o descripción, y se determina que dicha parte no satisface los requisitos de la UE, se considerarán afectados todos los piensos de dicho lote, salvo que una evaluación detallada ponga de manifiesto que no está demostrado que el resto del lote no satisfaga los requisitos de la UE.

8.3.    Muestreo de lotes grandes almacenados en depósitos

El muestreo se realizará en la parte accesible del lote. El número de muestras elementales se determina en función del tamaño del lote muestreado. Si se muestrea una parte de un lote de piensos de la misma clase o descripción, y se determina que dicha parte no satisface los requisitos de la UE, se considerarán afectados todos los piensos de dicho lote, salvo que una evaluación detallada ponga de manifiesto que no está demostrado que el resto del lote no satisfaga los requisitos de la UE.

8.4.    Muestreo en almacenes (silos)

8.4.1.    Muestreo de silos (fácilmente) accesibles por su parte superior

El muestreo se realizará en la parte accesible del lote. El número de muestras elementales se determina en función del tamaño del lote muestreado. Si se muestrea una parte de un lote de piensos de la misma clase o descripción, y se determina que dicha parte no satisface los requisitos de la UE, se considerarán afectados todos los piensos de dicho lote, salvo que una evaluación detallada ponga de manifiesto que no está demostrado que el resto del lote no satisfaga los requisitos de la UE.

8.4.2.    Muestreo de silos no accesibles por su parte superior (silos cerrados)

8.4.2.1.    Silos no accesibles por su parte superior (silos cerrados) > 100 toneladas

Los piensos almacenados en este tipo de silos no pueden someterse a un muestreo estático. Por lo tanto, si hay que muestrear el pienso de este silo y no es posible desplazarlo, hay que llegar a un acuerdo con el operador para que comunique al inspector cuándo se descargará el silo, de modo que se proceda entonces a un muestreo dinámico de los piensos.

8.4.2.2.    Silos no accesibles por su parte superior (silos cerrados) < 100 toneladas

El procedimiento de muestreo conlleva sacar a un recipiente una cantidad de 50 a 100 kg, de la cual se toma la muestra. El tamaño de la muestra global corresponde a la totalidad del lote y el número de muestras elementales corresponde a la cantidad que se ha sacado del silo al recipiente para el muestreo. Si se muestrea una parte de un lote de piensos de la misma clase o descripción, y se determina que dicha parte no satisface los requisitos de la UE, se considerarán afectados todos los piensos de dicho lote, salvo que una evaluación detallada ponga de manifiesto que no está demostrado que el resto del lote no satisfaga los requisitos de la UE.

8.5.    Muestreo de piensos a granel en grandes contenedores cerrados

Estos lotes solo suelen poder muestrearse cuando se descargan. En algunos casos no es posible descargar en el punto de importación o control, por lo cual hay que proceder al muestreo al descargar los contenedores.

9.   INSTRUCCIONES PARA LA TOMA, LA PREPARACIÓN Y EL ENVASADO DE LAS MUESTRAS

9.1.    Generalidades

Hay que tomar y preparar las muestras lo más rápidamente posible teniendo en cuenta las precauciones necesarias para evitar que el producto se altere o contamine. Los instrumentos, así como las superficies y los recipientes destinados a recibir las muestras, deben estar limpios y secos.

9.2.    Muestras elementales

Las muestras elementales deben tomarse al azar en todo el lote muestreado y tener aproximadamente el mismo tamaño.

El tamaño de la muestra elemental será de al menos 100 gramos, o 25 gramos en caso de forraje basto o forraje de baja densidad.

Si, de conformidad con las normas de muestreo establecidas en el punto 8, deben tomarse menos de 40 muestras elementales, su tamaño se determinará en función del tamaño de la muestra global que deba alcanzarse (véase el punto 6).

Si se muestrean lotes pequeños de piensos envasados cuando según los requisitos cuantitativos debe tomarse un número limitado de muestras elementales, constituirá una muestra elemental el contenido de una unidad original que no exceda de 1 kg o 1 l.

Al muestrear piensos envasados en unidades pequeñas (por ejemplo < 250 g), el tamaño de la muestra elemental dependerá del tamaño de la unidad.

9.2.1.    Piensos a granel

En su caso, el muestreo puede realizarse mientras el lote muestreado está en movimiento (carga o descarga).

9.2.2.    Piensos envasados

Una vez seleccionado el número requerido de unidades para muestreo según se indica en el punto 5, se tomará una parte del contenido de cada unidad con una sonda o una pala. Si es necesario, las muestras se tomarán después de haber vaciado por separado las unidades.

9.2.3.    Piensos líquidos o semilíquidos homogéneos u homogeneizables

Una vez seleccionado el número requerido de unidades para muestreo según se indica en el punto 5, se homogeneizará el contenido, si es necesario, y se tomará cierta cantidad de cada unidad.

Las muestras elementales pueden tomarse mientras se vacía el contenido.

9.2.4.    Piensos líquidos o semilíquidos no homogeneizables

Una vez seleccionado el número requerido de unidades para muestreo según se indica en el punto 5, se tomarán muestras en diferentes niveles.

También pueden tomarse muestras mientras se vacía el contenido, pero, en ese caso, deberán desecharse las primeras fracciones.

En cualquier caso, el volumen total recogido no será inferior a 10 l.

9.2.5.    Piensos en bloques y piedras para lamer

Una vez seleccionado el número requerido de bloques o piedras para muestreo según se indica en el punto 5, se tomará una parte de cada bloque o piedra para lamer. Si se sospecha que no son homogéneos, puede tomarse como muestra todo el bloque o la piedra.

Cuando cada bloque o piedra para lamer no supere un peso de 1 kg, constituirá una muestra elemental el contenido de un bloque o una piedra para lamer.

9.3.    Preparación de muestras globales

Las muestras elementales se mezclarán para formar una sola muestra global.

9.4.    Preparación de muestras finales

Se mezclará cuidadosamente el material de cada muestra global ( 4 ).

 Cada muestra se introducirá en un recipiente apropiado. Deberán tomarse todas las precauciones necesarias para evitar cualquier alteración en la composición de la muestra o cualquier contaminación o adulteración que pudiera sobrevenir durante el transporte o el almacenamiento.

 Al controlar componentes o sustancias repartidos de manera uniforme por el pienso, la muestra global puede reducirse representativamente al menos a 2,0 kg o 2,0 l (muestra reducida) ( 5 ), de preferencia con un divisor mecánico o automático. Si se muestrean legumbres, granos de cereales y frutos de cáscara para determinar residuos de plaguicidas, el tamaño mínimo de la muestra reducida será de 3 kg. Si el tipo de pienso no permite utilizar un separador, o si no se dispone de uno, puede reducirse la muestra por el método de cuarteo. A partir de las muestras reducidas se prepararán entonces las muestras finales (para control, defensa y referencia), con aproximadamente la misma cantidad y respetando los requisitos cuantitativos del punto 7. Al controlar componentes, incluido material modificado genéticamente, o sustancias que puedan estar repartidos de manera no uniforme en los materiales para piensos, la muestra global deberá:

 

 homogeneizarse completamente y dividirse después en muestras finales, o

 reducirse al menos a 2 kg o 2 l ( 6 ) con un divisor mecánico o automático; solo si el tipo de pienso no permite utilizar un separador puede reducirse la muestra, en caso necesario, por el método de cuarteo; para controlar la presencia de material modificado genéticamente en el marco del Reglamento (UE) no 619/2011, la muestra reducida no será inferior al peso correspondiente a 35 000 granos o semillas, para que salgan de ella las muestras finales de control, defensa y referencia cuyo tamaño no será inferior al peso correspondiente a 10 000 granos o semillas [véanse las notas a pie de página (**) del punto 6 y (*) del punto 7].

9.5.    Envasado de las muestras

Los recipientes o envases irán precintados de tal manera que no se puedan abrir sin romper el precinto. La etiqueta debe estar totalmente incorporada en el precinto.

9.6.    Envío de muestras al laboratorio

La muestra se enviará sin demora innecesaria al laboratorio de análisis designado, junto con la información necesaria para el analista.

10.   ACTA DE MUESTREO

De cada muestreo deberá levantarse un acta que permita identificar sin ambigüedad el lote muestreado y su tamaño.

En tal acta se mencionará toda desviación del procedimiento de muestreo dispuesto en el presente Reglamento.

El acta estará a disposición del laboratorio de control oficial, del explotador de la empresa de piensos y del laboratorio que este designe.




ANEXO II

DISPOSICIONES GENERALES SOBRE MÉTODOS DE ANÁLISIS PARA PIENSOS

A.   PREPARACIÓN DE LAS MUESTRAS PARA EL ANÁLISIS

1.    Objeto

Los procedimientos descritos a continuación se refieren a la preparación para el análisis de muestras enviadas a los laboratorios de control tras ser tomadas conforme a lo dispuesto en el anexo I.

Estas muestras para el laboratorio deben prepararse de manera que las cantidades pesadas según disponen los métodos de análisis sean homogéneas y representativas de las muestras finales.

2.    Precauciones que deben tomarse

El procedimiento que debe seguirse para preparar las muestras depende de los métodos de análisis que vayan a emplearse y de los componentes o sustancias que vayan a controlarse. Por tanto, es muy importante que dicho procedimiento se adecúe al método de análisis que vaya a emplearse y a los componentes o sustancias que vayan a controlarse.

Todas las operaciones necesarias deben realizarse de modo que se eviten en lo posible la contaminación de la muestra y los cambios en su composición.

La molienda, la mezcla y el tamizado deberán efectuarse lo más rápidamente posible, a fin de minimizar la exposición de la muestra al aire y a la luz. No se emplearán molinos ni moledoras que puedan calentar perceptiblemente la muestra.

Para los piensos especialmente sensibles al calor se recomienda la molienda manual. Deberá cuidarse también de que el propio instrumental no sea fuente de contaminación.

Si la muestra no puede prepararse sin que su contenido de humedad sufra cambios significativos, debe determinarse dicho contenido antes y después de prepararla, de acuerdo con el método establecido en la parte A del anexo III.

3.    Procedimiento

3.1.    Procedimiento general

La alícuota de la prueba se toma de la muestra final. No se recomienda la técnica de conos y cuarteo, pues las alícuotas resultantes pueden presentar un elevado error de división.

3.1.1.    Piensos que pueden molerse tal como se presentan

 Mezclar la muestra tamizada y recogerla en un recipiente limpio y seco adecuado, provisto de tapón hermético. Volver a mezclar para asegurar la completa homogeneización, inmediatamente antes de pesar la cantidad para análisis (alícuota de la prueba).

3.1.2.    Piensos que pueden molerse tras secarse

 Salvo que se especifique lo contrario en los métodos de análisis, secar la muestra hasta que su contenido de humedad disminuya a un nivel del 8 % al 12 %, de acuerdo con el procedimiento preliminar de secado descrito en el punto 4.3 del método de determinación de la humedad mencionado en la parte A del anexo III. Proceder a continuación como se indica en el punto 3.1.1.

3.1.3.    Piensos líquidos o semilíquidos

 Colocar la muestra en un recipiente limpio y seco adecuado, provisto de tapón hermético. Volver a mezclar para asegurar la completa homogeneización, inmediatamente antes de pesar la cantidad para análisis (alícuota de la prueba).

3.1.4.    Otros piensos

 Las muestras que no puedan prepararse conforme a uno de los procedimientos anteriores deberán someterse a cualquier otro procedimiento que garantice que las cantidades pesadas para el análisis (alícuotas de la prueba) son homogéneas y representativas de las muestras finales.

3.2.    Procedimiento específico en caso de examen por inspección visual, por microscopia o cuando se homogeneiza toda la muestra global

 En caso de inspección visual (sin microscopio), se examina toda la muestra de laboratorio.

 En caso de examen microscópico, el laboratorio puede reducir la muestra global, o volver a reducir la muestra reducida. Las muestras finales para defensa y referencia se toman según un procedimiento equivalente al seguido para la muestra final de control.

 Cuando se homogeneiza toda la muestra global, las muestras finales se toman de la muestra global homogeneizada.

4.    Almacenamiento de las muestras

Las muestras deben almacenarse a una temperatura que no altere su composición. Las destinadas al análisis de vitaminas o sustancias especialmente fotosensibles se guardarán de manera que no les afecte la luz.

B.   DISPOSICIONES RELATIVAS A LOS REACTIVOS Y EL INSTRUMENTAL EMPLEADOS EN LOS MÉTODOS DE ANÁLISIS

1. Salvo que se especifique lo contrario en el método de análisis, todos los reactivos deben ser analíticamente puros (a.p.). Si se analizan oligoelementos, debe comprobarse la pureza de los reactivos por medio de un ensayo en blanco. Dependiendo de los resultados que se obtengan, quizá sea necesaria una mayor purificación de los reactivos.

2. Siempre que en los métodos de análisis se mencionen operaciones que impliquen preparación de soluciones, dilución, enjuague o lavado sin indicar la naturaleza del disolvente o el diluyente, debe utilizarse agua. Por regla general, el agua deberá desmineralizarse o destilarse. En casos particulares, indicados en los métodos de análisis, debe someterse a procedimientos especiales de purificación.

3. Habida cuenta del equipamiento que se encuentra normalmente en los laboratorios de control, en los métodos de análisis solo se hace referencia a los instrumentos y aparatos especiales o que requieren un uso específico. Deben estar limpios, sobre todo cuando hayan de determinarse cantidades muy pequeñas de sustancias.

C.   APLICACIÓN DE LOS MÉTODOS DE ANÁLISIS Y EXPRESIÓN DE LOS RESULTADOS

1.    Procedimiento de extracción

Varios métodos establecen un procedimiento de extracción específico. Como regla general, puede aplicarse un procedimiento de extracción distinto al mencionado en el método si se ha demostrado que su eficacia de extracción es equivalente para la matriz analizada.

2.    Procedimiento de limpieza

Varios métodos establecen un procedimiento de limpieza específico. Como regla general, puede aplicarse un procedimiento de limpieza distinto al mencionado en el método si se ha demostrado que sus resultados analíticos son equivalentes para la matriz analizada.

3.    Número de determinaciones

Al analizar sustancias indeseables, si el resultado de la primera determinación es significativamente inferior (> 50 %) a la especificación que ha de controlarse, no serán necesarias más determinaciones, a condición de que se apliquen los procedimientos de calidad adecuados. En otros casos, es necesario otro análisis (segunda determinación) para descartar la posibilidad de contaminación cruzada interna o de combinación accidental de muestras. Para verificar la conformidad se usa la media de ambas determinaciones, teniendo en cuenta la incertidumbre de medida.

Si se controla el contenido declarado de una sustancia o un ingrediente y el resultado de la primera determinación confirma dicho contenido, es decir, que el resultado analítico entra en el intervalo de variación aceptable del contenido declarado, no será necesaria una segunda determinación, siempre que se apliquen los procedimientos de calidad apropiados. En otros casos, es necesario otro análisis (segunda determinación) para descartar la posibilidad de contaminación cruzada interna o de combinación accidental de muestras. Para verificar la conformidad se usa la media de ambas determinaciones, teniendo en cuenta la incertidumbre de medida.

En algunos casos, este intervalo de variación aceptable está definido en la legislación, por ejemplo en el Reglamento (CE) no 767/2009 del Parlamento Europeo y del Consejo, de 13 de julio de 2009, sobre la comercialización y la utilización de los piensos, por el que se modifica el Reglamento (CE) no 1831/2003 y se derogan las Directivas 79/373/CEE del Consejo, 80/511/CEE de la Comisión, 82/471/CEE del Consejo, 83/228/CEE del Consejo, 93/74/CEE del Consejo, 93/113/CE del Consejo y 96/25/CE del Consejo y la Decisión 2004/217/CE de la Comisión ( 7 ).

4.    Comunicación del método de análisis empleado

El informe de análisis indicará el método de análisis utilizado.

5.    Comunicación de los resultados analíticos

El resultado analítico se expresará según establezca el método de análisis, con el número adecuado de cifras significativas, y se corregirá, si es necesario, con respecto al contenido de humedad de la muestra final antes de la preparación.

6.    Incertidumbre de medida y tasa de recuperación en caso de análisis de sustancias indeseables

Por lo que se refiere a las sustancias indeseables según se definen en la Directiva 2002/32/CE, se considerará que un producto destinado a la alimentación animal no cumple los requisitos de contenido máximo si se estima que el resultado analítico de un pienso con un contenido de humedad del 12 % excede de dicho contenido máximo, teniendo en cuenta la incertidumbre ampliada de medida y la corrección en función de la recuperación. Para evaluar el cumplimiento se emplea la concentración analizada, una vez corregida en función de la recuperación y tras deducirse la incertidumbre de medida expandida. Este procedimiento solo es aplicable en los casos en que el método de análisis permite estimar la incertidumbre de medida expandida y la corrección en función de la recuperación (no es posible, por ejemplo, en caso de análisis microscópico).

El resultado analítico se comunicará como sigue (en la medida en que el método de análisis utilizado permita estimar la incertidumbre de medida y la tasa de recuperación):

a) corregido en función de la recuperación, indicando el nivel de la misma; dicha corrección no será necesaria si la tasa de recuperación es del 90 % al 110 %;

b) como «x ± U», donde x es el resultado analítico y U la incertidumbre de medida expandida, utilizando un factor de cobertura de 2, que da un nivel de confianza del 95 % aproximadamente.

Sin embargo, si el resultado del análisis fuera notablemente inferior (> 50 %) a la especificación que ha de controlarse, podría comunicarse sin corrección en función de la recuperación, y la tasa de recuperación y la incertidumbre de medida podrían omitirse, a condición de que se aplicaran los procedimientos de calidad apropiados y de que el análisis sirviera exclusivamente para comprobar el cumplimiento de las disposiciones legales..

▼B




ANEXO III

MÉTODOS DE ANÁLISIS PARA EL CONTROL DE LA COMPOSICIÓN DE LOS MATERIALES PARA PIENSOS Y LOS PIENSOS COMPUESTOS

A.   DETERMINACIÓN DE LA HUMEDAD

1.   Objeto y ámbito de aplicación

Este método permite determinar el contenido de humedad de los piensos. Si el pienso contiene sustancias volátiles, como ácidos orgánicos, debe tenerse presente que, junto con el contenido de humedad, también se determina una cantidad importante de esas sustancias.

No incluye el análisis de productos lácteos como materiales para piensos, el análisis de sustancias minerales y mezclas compuestas predominantemente de sustancias minerales, el análisis de grasas y aceites animales y vegetales, ni el análisis de semillas y frutos oleaginosos.

2.   Principio

La muestra se deseca en las condiciones especificadas, que varían en función de la naturaleza del pienso. La pérdida de peso se determina por pesada. Cuando se trata de piensos sólidos con un elevado contenido de humedad, es necesario efectuar un secado preliminar.

3.   Instrumental

3.1. Trituradora de material que no absorba la humedad, fácil de limpiar, que permita un triturado rápido y uniforme sin provocar un calentamiento sensible, evite al máximo el contacto con el aire exterior y cumpla los requisitos indicados en los puntos 4.1.1 y 4.1.2 (por ejemplo, microtrituradoras de martillos o de enfriamiento por agua, molinos de conos plegables, trituradoras de movimiento lento o de discos dentados).

3.2. Balanza analítica, con una exactitud de 1 mg

3.3. Recipientes secos de metal no corrosible o de vidrio, con tapas que garanticen un cierre hermético; la superficie de trabajo debe permitir que la muestra de ensayo se esparza a razón de 0,3 g/cm2 aproximadamente.

3.4. Estufa isotérmica de calentamiento eléctrico (± 2 oC), adecuadamente ventilada, que permita una rápida regulación de la temperatura ( 8 ).

3.5. Estufa de vacío regulable de calentamiento eléctrico, provista de una bomba de aceite y un mecanismo para introducir, o bien aire desecado caliente, o bien un agente desecante (por ejemplo, óxido de calcio)

3.6. Desecador con una placa gruesa perforada de metal o porcelana, que contenga un agente desecante eficaz.

4.   Procedimiento

Nota

:

Las operaciones que se describen en esta sección deben realizarse inmediatamente después de abrir los paquetes de muestras. Los análisis deben efectuarse, como mínimo, por duplicado.

4.1.   Preparación

4.1.1.    Piensos distintos de los contemplados en los puntos 4.1.2 y 4.1.3.

Tomar, como mínimo, 50 g de la muestra. Si es necesario, triturar o dividir de manera que no se produzca variación alguna en el contenido de humedad (véase el punto 6).

4.1.2.    Cereales y grañones

Tomar, como mínimo, 50 g de la muestra. Moler en partículas de las que al menos el 50 % pasen por un tamiz con una luz de malla de 0,5 mm y no dejen más de un 10 % de desecho en un tamiz con una luz de malla redonda de 1 mm.

4.1.3.    Piensos líquidos o en forma de pasta, piensos compuestos predominantemente de aceites y grasas

Tomar unos 25 g de la muestra, pesar con una precisión de 10 mg, añadir una cantidad apropiada de arena anhidra pesada con una precisión de 10 mg y mezclar hasta obtener un producto homogéneo.

4.2.   Desecación

4.2.1.    Piensos distintos de los contemplados en los puntos 4.2.2 y 4.2.3.

Tarar un recipiente (3.3) con su tapa, con una precisión de 1 mg. En el recipiente tarado, pesar, con una precisión de 1 mg, unos 5 g de la muestra y esparcirla uniformemente. Colocar el recipiente, sin su tapa, en la estufa precalentada a 103 oC. Para impedir que la estufa se enfríe en exceso, introducir el recipiente lo más rápidamente posible. Dejar secar durante cuatro horas, contadas a partir del momento en que la estufa haya alcanzado de nuevo una temperatura de 103 oC. Volver a colocar la tapa sobre el recipiente, retirarlo de la estufa, dejarlo enfriar durante 30 a 45 minutos en el desecador (3.6) y pesar con una precisión de 1 mg.

En el caso de piensos compuestos predominantemente de aceites y grasas, secar en la estufa durante otros 30 minutos a 130 oC. La diferencia entre las dos pesadas no debe superar el 0,1 % de humedad.

4.2.2.    Cereales, harina, grañones y sémola

Tarar un recipiente (3.3) con su tapa, con una precisión de 0,5 mg. En el recipiente tarado, pesar, con una precisión de 1 mg, unos 5 g de la muestra triturada y esparcirla uniformemente. Colocar el recipiente, sin su tapa, en la estufa precalentada a 130 oC. Para impedir que la estufa se enfríe en exceso, introducir el recipiente lo más rápidamente posible. Dejar secar durante dos horas, contadas a partir del momento en que la estufa haya alcanzado de nuevo una temperatura de 130 oC. Volver a colocar la tapa sobre el recipiente, retirarlo de la estufa, dejarlo enfriar durante 30 a 45 minutos en el desecador (3.6) y pesar con una precisión de 1 mg.

4.2.3. Piensos compuestos con más de un 4 % de sacarosa o lactosa: materiales para piensos como algarrobas, productos cerealísticos hidrolizados, semillas de malta, lonchas de remolacha desecadas, pescado y azúcares solubles; piensos compuestos con más de un 25 % de sales minerales que contengan agua de cristalización.

Tarar un recipiente (3.3) con su tapa, con una precisión de 0,5 mg. En el recipiente tarado, pesar, con una precisión de 1 mg, unos 5 g de la muestra y esparcirla uniformemente. Colocar el recipiente, sin su tapa, en la estufa de vacío (3.5) precalentada a una temperatura comprendida entre 80 oC y 85 oC. Para impedir que la estufa se enfríe en exceso, introducir el recipiente lo más rápidamente posible.

Elevar la presión a 100 Torr y dejar secar durante cuatro horas a esa presión, bien en una corriente de aire seco caliente, bien mediante un agente desecante (unos 300 g para 20 muestras). En este último caso, desconectar la bomba de vacío cuando se haya alcanzado la presión prescrita. Calcular el tiempo de secado a partir del momento en que la estufa haya alcanzado de nuevo una temperatura de 80 oC a 85 oC. A continuación, restablecer con precaución la presión atmosférica en la estufa. Abrirla, tapar inmediatamente el recipiente, retirarlo de la estufa, dejarlo enfriar durante 30 a 45 minutos en el desecador (3.6) y pesar con una precisión de 1 mg. Proceder a una desecación complementaria de 30 minutos en la estufa de vacío a una temperatura de 80 oC a 85 oC y volver a pesar. La diferencia entre las dos pesadas no debe superar el 0,1 % de humedad.

4.3.   Predesecación

4.3.1.    Piensos distintos de los contemplados en el punto 4.3.2.

Los piensos sólidos con un contenido de humedad elevado que dificulte su trituración deben someterse a una predesecación, del siguiente modo:

Pesar, con una precisión de 10 mg, unos 50 g de la muestra no triturada (los piensos comprimidos o aglomerados pueden dividirse someramente, si es necesario) en un recipiente apropiado (por ejemplo, una placa de aluminio de 20 × 12 cm con un borde de 0,5 cm). Dejar secar en una estufa a una temperatura de 60 oC a 70 oC, hasta que el contenido de humedad se haya reducido a un valor comprendido entre el 8 % y el 12 %. Retirar de la estufa, dejar enfriar al descubierto en el laboratorio durante una hora y pesar con una precisión de 10 mg. Triturar inmediatamente después como se indica en el punto 4.1.1 y efectuar la desecación como se indica en el punto 4.2.1 o 4.2.3, según la naturaleza del pienso.

4.3.2.    Cereales

Los granos con un índice de humedad superior al 17 % deben someterse a una desecación preliminar del siguiente modo:

Pesar, con una precisión de 10 mg, unos 50 g de grano sin moler en un recipiente apropiado (por ejemplo, una placa de aluminio de 20 × 12 cm con un borde de 0,5 cm). Dejar secar en una estufa durante cinco a siete minutos a una temperatura de 130 oC. Retirar de la estufa, dejar enfriar al descubierto en el laboratorio durante dos horas y pesar con una precisión de 10 mg. Moler inmediatamente después como se indica en el punto 4.1.2 y efectuar la desecación como se indica en el punto 4.2.2.

5.   Cálculo de los resultados

El contenido de humedad (X), en porcentaje de la muestra, se calcula con las fórmulas siguientes:

5.1.   Desecación sin predesecación

image

donde:

m

=

peso inicial, en gramos, de la muestra de ensayo;

m0

=

peso, en gramos, de la muestra de ensayo seca.

5.2.   Desecación con predesecación

image

donde:

m

=

peso inicial, en gramos, de la muestra de ensayo;

m1

=

peso, en gramos, de la muestra de ensayo tras la predesecación;

m2

=

peso, en gramos, de la muestra de ensayo una vez triturada o molida;

m0

=

peso, en gramos, de la muestra de ensayo seca.

5.3.   Repetibilidad

La diferencia entre los resultados de dos determinaciones paralelas efectuadas con la misma muestra no excederá del 0,2 % del valor absoluto de humedad.

6.   Observación

Cuando resulte necesario efectuar una trituración y se considere que esta modifica el contenido de humedad del producto, los resultados del análisis de los componentes del pienso deben corregirse atendiendo al contenido de humedad de la muestra en su estado inicial.

B.   DETERMINACIÓN DE LA HUMEDAD EN GRASAS Y ACEITES ANIMALES Y VEGETALES

1.   Objeto y ámbito de aplicación

Este método permite determinar el contenido de agua y sustancias volátiles de las grasas y los aceites animales y vegetales.

2.   Principio

Se deseca la muestra a 103 oC con un peso constante (la pérdida de peso entre dos pesadas sucesivas debe ser inferior o igual a 1 mg). La pérdida de peso se determina mediante pesada.

3.   Instrumental

3.1. Plato de fondo plano de material resistente a la corrosión, de 8 cm a 9 cm de diámetro y de aproximadamente 3 cm de alto

3.2. Termómetro de bulbo reforzado con tubo capilar en el extremo superior, graduado entre aproximadamente 80 oC y, como mínimo, 110 oC, de unos 10 cm de longitud

3.3. Baño de arena o placa calefactora eléctrica

3.4. Desecador con un agente desecante eficaz

3.5. Balanza analítica

4.   Procedimiento

Pesar, con una precisión de 1 mg, unos 20 g de la muestra homogeneizada en el plato tarado seco (3.1) que contiene el termómetro (3.2). Calentar en el baño de arena o la placa calefactora (3.3), removiendo continuamente con el termómetro, de manera que la temperatura alcance 90 oC en unos siete minutos.

Reducir el calor, observando con qué frecuencia salen burbujas del fondo del plato. La temperatura no debe sobrepasar los 105 oC. Seguir removiendo, raspando el fondo del plato, hasta que dejen de formarse burbujas.

Para eliminar completamente la humedad, calentar varias veces a 103 oC ± 2 oC, enfriando a 93 oC entre los sucesivos calentamientos. A continuación, dejar enfriar a temperatura ambiente en el desecador (3.4) y pesar. Repetir esta operación hasta que la pérdida de peso entre dos pesadas sucesivas deje de sobrepasar los 2 mg.

Nota

:

El incremento del peso de la muestra tras varios calentamientos es indicio de una oxidación de la grasa, en cuyo caso debe calcularse el resultado a partir de la pesada efectuada inmediatamente antes de que empezara a producirse ese incremento.

5.   Cálculo de los resultados

El contenido de humedad (X), como porcentaje de la muestra, viene dado por la fórmula siguiente:

image

donde:

m

=

peso, en gramos, de la muestra de ensayo;

m1

=

peso, en gramos, del plato con su contenido, antes del calentamiento;

m2

=

peso, en gramos, del plato con su contenido, tras el calentamiento.

Los resultados inferiores al 0,05 % deben registrarse como «inferior al 0,05 %».

Repetibilidad

La diferencia de humedad entre los resultados de dos determinaciones paralelas efectuadas con la misma muestra no debe exceder del 0,05 %, en valor absoluto.

C.   DETERMINACIÓN DEL CONTENIDO DE PROTEÍNA BRUTA

1.   Objeto y ámbito de aplicación

Este método permite determinar el contenido de proteína bruta del pienso sobre la base del contenido de nitrógeno, determinado por el método Kjeldahl.

2.   Principio

La muestra se digiere con ácido sulfúrico en presencia de un catalizador. La solución ácida se alcaliniza son una solución de hidróxido de sodio. El amoniaco se destila y se recoge en una cantidad medida de ácido sulfúrico, cuyo exceso se titula con una solución patrón de hidróxido de sodio.

Alternativamente, el amoniaco desprendido se destila en un exceso de solución de ácido bórico, tras lo cual se efectúa la titulación con una solución de ácido clorhídrico o ácido sulfúrico.

3.   Reactivos

3.1. Sulfato de potasio

3.2. Catalizador: óxido de cobre (II), CuO, o sulfato de cobre (II) pentahidratado, CuSO4 5H2 O

3.3. Cinc granulado

3.4. Acido sulfúrico, ρ20 = 1,84 g/ml

3.5. Ácido sulfúrico, solución volumétrica patrón, c(H2SO4) = 0,25 mol/l

3.6. Ácido sulfúrico, solución volumétrica patrón, c(H2SO4) = 0,10 mol/l

3.7. Ácido sulfúrico, solución volumétrica patrón, c(H2SO4) = 0,05 mol/l

3.8. Indicador de rojo de metilo; disolver 300 mg de rojo de metilo en 100 ml de etanol, σ = 95-96 % (v/v).

3.9. Solución de hidróxido de sodio (puede utilizarse la calidad técnica), β = 40 g/100 ml (m/v: 40 %)

3.10. Hidróxido de sodio, solución volumétrica patrón, c(NaOH) = 0,25 mol/l

3.11. Hidróxido de sodio, solución volumétrica patrón, c(NaOH) = 0,10 mol/l

3.12. Piedra pómez granulada, lavada en ácido clorhídrico y calcinada

3.13. Acetanilida (punto de fusión = 114 oC, contenido de N = 10,36 %)

3.14. Sacarosa (exenta de nitrógeno)

3.15. Ácido bórico (H3BO3)

3.16. Solución de indicador de rojo de metilo: disolver 100 mg de rojo de metilo en 100 ml de etanol o metanol.

3.17. Solución de verde de bromocresol: disolver 100 mg de verde de bromocresol en 100 ml de etanol o metanol.

3.18. Solución de ácido bórico (10 g/l a 40 g/l, en función del instrumental empleado)

Si se aplica la detección colorimétrica del punto final, debe añadirse rojo de metilo y verde de bromocresol a las soluciones de ácido bórico. Si se prepara 1 l de solución de ácido bórico, antes de ajustar el volumen deberán añadirse 7 ml de solución de indicador de rojo de metilo (3.16) y 10 ml de solución de verde de bromocresol (3.17).

Dependiendo del agua utilizada, el pH de la solución de ácido bórico podría variar de un lote a otro. A menudo es necesario un ajuste con un pequeño volumen de álcali para obtener un blanco positivo.

Nota

:

Añadiendo de 3 ml a 4 ml aproximadamente de NaOH (3.11) a 1 l de solución de ácido bórico de 10 g/l se suelen conseguir buenos ajustes. Guardar la solución a temperatura ambiente, al abrigo de la luz y de fuentes de vapores amoniacales.

3.19 Ácido clorhídrico, solución volumétrica patrón, c(HCl) = 0,10 mol/l

Nota

:

Pueden emplearse otras concentraciones de soluciones volumétricas (3.5, 3.6, 3.7, 3.10, 3.11 y 3.19), si en los cálculos se hacen las correcciones correspondientes. Las concentraciones deberán expresarse siempre con cuatro decimales.

4.   Instrumental

El adecuado para efectuar la digestión, la destilación y la titulación conforme al procedimiento Kjeldahl.

5.   Procedimiento

5.1.   Digestión

Pesar, con una precisión de 0,001 g, 1 g de la muestra, y pasar esta al matraz del aparato de digestión. Añadir 15 g de sulfato de potasio (3.1.), una cantidad apropiada de catalizador (3.2) (de 0,3 g a 0,4 g de óxido de cobre [II] o de 0,9 g a 1,2 g de sulfato de cobre [II] pentahidratado), 25 ml de ácido sulfúrico (3.4) y, si es necesario, unos pocos gránulos de piedra pómez (3.12), y mezclar.

Calentar el matraz, moderadamente al principio, agitándolo en círculos de vez en cuando, si es necesario, hasta que la masa se haya carbonizado y la espuma haya desaparecido; a continuación, calentar más intensamente hasta que el líquido hierva de manera constante. El calentamiento es el adecuado si el ácido en ebullición se condensa en la pared del matraz. Evitar que los lados se sobrecalienten y que se adhieran a ellos partículas orgánicas.

Cuando la solución se aclare y adopte un color verde claro, seguir hirviendo durante otras dos horas, y dejar enfriar a continuación.

5.2.   Destilación

Añadir con cuidado suficiente agua para que los sulfatos se disuelvan por completo. Dejar enfriar y, a continuación, si es necesario, añadir unos pocos gránulos de cinc (3.3). Proceder conforme al punto 5.2.1 o 5.2.2.

5.2.1.    Destilación en ácido sulfúrico

Verter en el matraz receptor del aparato de destilación exactamente 25 ml de ácido sulfúrico (3.5) o (3.7), en función del supuesto contenido de nitrógeno. Añadir unas pocas gotas del indicador de rojo de metilo (3.8).

Conectar el matraz de digestión al refrigerante del aparato de destilación y sumergir el extremo del refrigerante, como mínimo, 1 cm en el líquido contenido en el matraz receptor (véase la observación del punto 8.3). Verter lentamente 100 ml de solución de hidróxido de sodio (3.9) en el matraz de digestión sin pérdida de amoniaco (véase la observación del punto 8.1). Calentar el matraz hasta que el amoniaco se haya destilado.

5.2.2.    Destilación en ácido bórico

Si la titulación del contenido de amoniaco del destilado se efectúa manualmente, se aplica el procedimiento mencionado a continuación. Si la unidad de destilación está completamente automatizada e incluye la titulación del contenido de amoniaco del destilado, seguir las instrucciones de empleo del fabricante.

Colocar un matraz receptor que contenga de 25 ml a 30 ml de la solución de ácido bórico (3.18) bajo la salida del refrigerante, de manera que el tubo de descarga quede bajo la superficie del exceso de solución de ácido bórico. Ajustar la unidad de destilación para que dispense 50 ml de solución de hidróxido de sodio (3.9). Poner en funcionamiento la unidad de destilación siguiendo las instrucciones del fabricante y destilar el amoniaco desprendido por la adición de la solución de hidróxido de sodio. Recoger el destilado en la solución receptora de ácido bórico. La cantidad de destilado (tiempo de destilación de vapor) depende de la cantidad de nitrógeno que contiene la muestra. Seguir las instrucciones del fabricante.

Nota

:

En una unidad de destilación semiautomática, la adición de exceso de hidróxido de sodio y la destilación de vapor se realizan de forma automática.

5.3.   Titulación

Proceder conforme al punto 5.3.1 o 5.3.2.

5.3.1.    Ácido sulfúrico

Titular el exceso de ácido sulfúrico en el matraz receptor con solución de hidróxido de sodio (3.10 o 3.11), dependiendo de la concentración del ácido sulfúrico empleado, hasta alcanzar el punto final.

5.3.2.    Ácido bórico

Titular, empleando una bureta, el contenido del matraz receptor con la solución volumétrica patrón de ácido clorhídrico (3.19) o con la solución volumétrica patrón de ácido sulfúrico (3.6), y leer la cantidad de titulante utilizado.

Si se aplica la detección colorimétrica del punto final, este se alcanza cuando aparece el primer rastro de coloración rosa en el contenido. Leer la bureta con una precisión de 0,05 ml. Una placa agitadora magnética iluminada o un detector fotométrico pueden ayudar a visualizar el punto final.

También puede hacerse automáticamente utilizando un destilador de vapor con titulación automática.

Utilizar el destilador o el destilador/titulador siguiendo las correspondientes instrucciones del fabricante.

Nota

:

Si se utiliza un sistema de titulación automática, la titulación empieza inmediatamente después de que comience la destilación, y se emplea la solución de ácido bórico al 1 % (3.18).

Si se utiliza una unidad de destilación completamente automática, la titulación automática del amoniaco puede también llevarse a cabo con detección del punto final mediante un sistema de pH potenciométrico.

En este caso se emplea un titulador automático con pehachímetro. El pehachímetro deberá calibrarse adecuadamente en el intervalo de pH 4 a pH 7, siguiendo los procedimientos normales de laboratorio para la calibración del pH.

El punto final del pH de la titulación se alcanza con un pH 4,6 , que es el punto álgido de la curva de titulación (punto de inflexión).

5.4.   Ensayo en blanco

Para confirmar que los reactivos no tienen nitrógeno, efectuar un ensayo en blanco (digestión, destilación y titulación) con un 1 g de sacarosa (3.14) en lugar de la muestra.

6.   Cálculo de los resultados

Los cálculos se realizan conforme al punto 6.1 o 6.2.

6.1.   Cálculo para la titulación según el punto 5.3.1

El contenido de proteína bruta, expresado en porcentaje en peso, se calcula según la fórmula siguiente:

image

donde:

V0

=

es el volumen (ml) de NaOH (3.10 o 3.11) empleado en el ensayo en blanco;

V1

=

es el volumen (ml) de NaOH (3.10 o 3.11) empleado en la titulación de la muestra;

c

=

es la concentración (mol/l) de hidróxido de sodio (3.10 o 3.11);

m

=

es el peso (g) de la muestra.

6.2   Cálculo para la titulación según el punto 5.3.2

6.2.1.    Titulación con ácido clorhídrico

El contenido de proteína bruta, expresado en porcentaje en peso, se calcula según la fórmula siguiente:

image

donde:

m

=

es el peso (g) de la porción de ensayo;

c

=

es la concentración (mol/l) de solución volumétrica patrón de ácido clorhídrico (3.19);

V0

=

es el volumen (en mililitros) de ácido clorhídrico empleado en el ensayo en blanco;

V1

=

es el volumen (en mililitros) de ácido clorhídrico empleado para la porción de ensayo.

6.2.2.    Titulación con ácido sulfúrico

El contenido de proteína bruta, expresado en porcentaje en peso, se calcula según la fórmula siguiente:

image

donde:

m

=

es el peso (g) de la porción de ensayo;

c

=

es la concentración (mol/l) de solución volumétrica patrón de ácido sulfúrico (3.6);

V0

=

es el volumen (en mililitros) de ácido sulfúrico (3.6) empleado para el ensayo en blanco;

V1

=

es el volumen (en mililitros) de ácido sulfúrico (3.6) empleado para la porción de ensayo.

7.   Verificación del método

7.1.   Repetibilidad

La diferencia entre los resultados de dos determinaciones paralelas efectuadas con la misma muestra no debe exceder del:

 0,2 % en valor absoluto, en el caso de contenidos de proteína bruta inferiores al 20 %,

 1,0 % del valor superior, en el caso de contenidos de proteína bruta del 20 % a 40 %,

 0,4 % en valor absoluto, en el caso de contenidos de proteína bruta superiores al 40 %.

7.2.   Exactitud

Efectuar el análisis (digestión, destilación y titulación) con 1,5 g a 2,0 g de acetanilida (3.13) en presencia de 1 g de sacarosa (3.14); 1 g de acetanilida consume 14,80 ml de ácido sulfúrico (3.5). La recuperación debe ser de al menos el 99 %.

8.   Observaciones

8.1. El instrumental puede ser de tipo manual, semiautomático o automático. Si requiere un transvase entre la digestión y la destilación, este debe tener lugar sin pérdidas. Si el matraz del aparato de destilación no va provisto de un embudo de decantación, añadir el hidróxido de sodio inmediatamente antes de conectarlo al refrigerante, vertiendo el líquido de forma que caiga lentamente por la pared del matraz.

8.2. Si el producto de la digestión se solidifica, recomenzar la determinación con una cantidad de ácido sulfúrico (3.4) mayor que la especificada anteriormente.

8.3. En el caso de productos con un bajo contenido de nitrógeno, el volumen de ácido sulfúrico (3.7) que se pone en el matraz receptor puede reducirse, si es necesario, a 10 ml o 15 ml, enrasando a continuación con agua hasta los 25 ml.

8.4. Aunque para los análisis ordinarios pueden emplearse métodos de determinación de la proteína bruta alternativos, el método Kjeldahl descrito en esta parte C es el método de referencia. La equivalencia de los resultados obtenidos con el método alternativo (por ejemplo, DUMAS) respecto de los obtenidos con el método de referencia debe demostrarse para cada una de las matrices. Puesto que los resultados obtenidos con un método alternativo, aun habiéndose verificado la equivalencia, pueden desviarse ligeramente de los obtenidos con el método de referencia, es necesario mencionar en el informe analítico el método de análisis empleado para la determinación de la proteína bruta.

D.   DETERMINACIÓN DE LA UREA

1.   Objeto y ámbito de aplicación

Este método permite determinar el nivel de urea en los piensos.

2.   Principio

La muestra se suspende en agua con un agente clarificante. A continuación se filtra la suspensión. El contenido de urea del filtrado se determina tras añadir 4-dimetilaminobenzaldehído (4-DMAB) midiendo la densidad óptica a una longitud de onda de 420 nm.

3.   Reactivos

3.1. Solución de 4-dimetilaminobenzaldehído: disolver 1,6 g de 4-DMAB en 100 ml de etanol al 96 % y añadir 10 ml de ácido clorhídrico (ρ201,19 g/ml). Este reactivo se conserva como máximo dos semanas.

3.2. Solución de Carrez I: disolver en agua 21,9 g de acetato de cinc, Zn(CH3COO)2 · 2H2O, y 3 g de ácido acético glacial. Enrasar con agua a 100 ml.

3.3. Solución de Carrez II: disolver en agua 10,6 g de ferrocianuro de potasio, K4Fe(CN)6 · 3H2O. Enrasar con agua a 100 ml.

3.4. Carbón activo que no absorba urea (debe comprobarse).

3.5. Solución de urea al 0,1 % (p/v)

4.   Instrumental

4.1. Mezclador (tambor): de 35 a 40 revoluciones por minuto aproximadamente

4.2. Tubos de ensayo: 160 × 16 mm con tapones esmerilados

4.3. Espectrofotómetro

5.   Procedimiento

5.1.   Análisis de la muestra

Pesar, con una precisión de 1 mg, 2 g de la muestra e introducirlos con 1 g de carbón activo (3.4) en un matraz aforado de 500 ml. Añadir 400 ml de agua y 5 ml de solución de Carrez I (3.2), mezclar durante aproximadamente 30 segundos y añadir 5 ml de solución de Carrez II (3.3). Mezclar durante 30 minutos en el tambor. Enrasar con agua, agitar y filtrar.

Retirar 5 ml de los filtrados incoloros transparentes, colocarlos en tubos de ensayo con tapones esmerilados, añadir 5 ml de solución de 4-DMAB (3.1) y mezclar. Colocar los tubos en una baño maría a 20 oC (+/- 4 oC). Transcurridos 15 minutos, medir la densidad óptica de la solución de muestra con el espectrofotómetro a 420 nm. Comparar con la solución de ensayo en blanco de los reactivos.

5.2.   Curva de calibración

Retirar de la solución de urea (3.5) unos volúmenes de 1, 2, 4, 5 y 10 ml, verterlos en matraces aforados de 100 ml y enrasar con agua. Retirar 5 ml de cada solución, añadir a cada una de ellas 5 ml de solución de 4-DMAB (3.1), homogeneizar y medir la densidad óptica, como se ha mostrado anteriormente, comparándola con una solución de control que contenga 5 ml de 4-DMAB y 5 ml de agua sin urea. Trazar la curva de calibración.

6.   Cálculo de los resultados

Determinar la cantidad de urea de la muestra empleando la curva de calibración.

Expresar el resultado en porcentaje de la muestra.

7.   Observaciones

7.1. Si el contenido de urea excede del 3 %, reducir la muestra a 1 g o diluir la solución inicial de manera que en 500 ml no haya más de 50 mg de urea.

7.2. Si los contenidos de urea son bajos, incrementar la muestra, siempre que el filtrado siga siendo transparente e incoloro.

7.3. Si la muestra contiene compuestos nitrogenados simples, como aminoácidos, la densidad óptica deberá medirse a 435 nm.

E.   DETERMINACIÓN DE LAS BASES NITROGENADAS VOLÁTILES

I.   POR MICRODIFUSIÓN

1.   Objeto y ámbito de aplicación

Este método permite determinar el contenido de bases nitrogenadas volátiles de los piensos, expresadas en amoniaco.

2.   Principio

La muestra se extrae con agua y la solución se clarifica y se filtra. Las bases nitrogenadas volátiles se desplazan por microdifusión con una solución de carbonato de potasio, se recogen en una solución de ácido bórico y se titulan con ácido sulfúrico.

3.   Reactivos

3.1. Ácido tricloroacético, solución al 20 % (p/v)

3.2. Indicador: disolver 33 mg de verde de bromocresol y 65 mg de rojo de metilo en 100 ml de etanol al 95-96 % (v/v).

3.3. Solución de ácido bórico: en un matraz aforado de 1 l, disolver 10 g de ácido bórico en 200 ml de etanol al 95-96 % (v/v) y 700 ml de agua. Añadir 10 ml de indicador (3.2). Mezclar y, si es necesario, ajustar la coloración de la solución al rojo claro añadiendo una solución de hidróxido de sodio. Con 1 ml de esta solución se fijarán, como máximo, 300 μg de NH3.

3.4. Solución saturada de carbonato de potasio: disolver 100 g de carbonato de potasio en 100 ml de agua en ebullición. Dejar enfriar y filtrar.

3.5. Acido sulfúrico de 0,01 mol/l

4.   Instrumental

4.1. Mezclador (tambor): de 35 a 40 revoluciones por minuto aproximadamente

4.2. Células de Conway de vidrio o de plástico (véase el diagrama)

4.3. Microburetas graduadas a 1/100 ml

5.   Procedimiento

Pesar, con una precisión de 1 mg, 10 g de la muestra e introducirlos con 100 ml de agua en un matraz aforado de 200 ml. Mezclar o remover en el tambor durante 30 minutos. Añadir 50 ml de solución de ácido tricloracético (3.1), enrasar con agua, agitar enérgicamente y filtrar por un filtro de pliegues.

Empleando una pipeta, verter 1 ml de solución de ácido bórico (3.3) en la parte central de la célula de Conway y 1 ml del filtrado de la muestra en la corona de la célula. Cubrir parcialmente con la tapa engrasada. Dejar caer rápidamente en la corona 1 ml de solución saturada de carbonato de potasio (3.4) y cerrar la tapa de manera que la célula quede herméticamente cerrada. Girar con precaución la célula haciéndola rotar en un plano horizontal, de forma que se mezclen los dos reactivos. Dejar incubar, bien durante al menos cuatro horas a temperatura ambiente, bien durante una hora a 40 oC.

Con ayuda de una microbureta (4.3), titular las bases volátiles en la solución de ácido bórico con ácido sulfúrico (3.5).

Efectuar un ensayo en blanco siguiendo el mismo procedimiento, pero sin la muestra que debe analizarse.

6.   Cálculo de los resultados

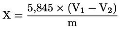
1 ml de una solución de 0,01 mol/l de H2SO4 corresponde a 0,34 mg de amoniaco.

Expresar el resultado en porcentaje de la muestra.

Repetibilidad

La diferencia entre los resultados de dos determinaciones paralelas efectuadas con la misma muestra no excederá del:

 10 % en valor relativo, en el caso de contenidos de amoniaco inferiores al 1,0 %,

 0,1 % en valor absoluto, en el caso de contenidos de amoniaco iguales o superiores al 1,0 %.

7.   Observación

Si el contenido de amoniaco de la muestra es superior al 0,6 %, diluir el filtrado inicial.

CONWAY CELL

Scale 1/1

image

II.   POR DESTILACIÓN

1.   Objeto y ámbito de aplicación

Este método permite determinar el contenido de bases nitrogenadas volátiles, expresadas en amoniaco, de la harina de pescado que no contenga prácticamente urea. Únicamente es aplicable para contenidos de amoniaco inferiores al 0,25 %.

2.   Principio

La muestra se extrae con agua y la solución se clarifica y se filtra. Las bases nitrogenadas volátiles se desplazan en el punto de ebullición añadiendo óxido de magnesio y se recogen en una cantidad determinada de ácido sulfúrico, cuyo exceso se titula por retroceso con una solución de hidróxido de sodio.

3.   Reactivos

3.1. Ácido tricloroacético, solución al 20 % (p/v)

3.2. Óxido de magnesio

3.3. Emulsión antiespumante (por ejemplo, silicona)

3.4. Acido sulfúrico de 0,05 mol/l

3.5. Solución de hidróxido de sodio de 0,1 mol/l

3.6. Solución de rojo de metilo al 0,3 % en etanol al 95 %-96 % (v/v)

4.   Instrumental

4.1. Mezclador (tambor): de 35 a 40 revoluciones por minuto aproximadamente

4.2. Aparato de destilación de tipo Kjeldahl

5.   Procedimiento

Pesar, con una precisión de 1 mg, 10 g de la muestra e introducirlos con 100 ml de agua en un matraz aforado de 200 ml. Mezclar o remover en el tambor durante 30 minutos. Añadir 50 ml de solución de ácido tricloracético (3.1), enrasar con agua, agitar enérgicamente y filtrar por un filtro de pliegues.

Tomar una cantidad de filtrado limpio que sea adecuada para el contenido supuesto de bases nitrogenadas volátiles (en general, basta con 100 ml). Diluir hasta 200 ml y añadir 2 g de óxido de magnesio (3.2) y unas pocas gotas de emulsión antiespumante (3.3). La solución debe ser alcalina en el papel de tornasol; si no lo es, añadir un poco de óxido de magnesio (3.2). Proceder conforme a los puntos 5.2 y 5.3 del método de análisis para la determinación del contenido de proteína bruta (parte C del presente anexo).

Efectuar un ensayo en blanco siguiendo el mismo procedimiento, pero sin la muestra que debe analizarse.

6.   Cálculo de los resultados

1 ml de solución de 0,05 mol/l de H2SO4 corresponde a 1,7 mg de amoniaco.

Expresar el resultado en porcentaje de la muestra.

Repetibilidad

La diferencia entre los resultados de dos determinaciones paralelas efectuadas con la misma muestra no excederá del 10 % de amoniaco, en valor relativo.

F.   DETERMINACIÓN DE LOS AMINOÁCIDOS (EXCEPTO TRIPTÓFANO)

1.   Objeto y ámbito de aplicación

Este método permite determinar la presencia en los piensos de aminoácidos libres (sintéticos y naturales) y totales (unidos en péptidos y libres), utilizando un analizador de aminoácidos. Es aplicable a los siguientes aminoácidos: cistina y cisteína, metionina, lisina, treonina, alanina, arginina, ácido aspártico, ácido glutámico, glicina, histidina, isoleucina, leucina, fenilalanina, prolina, serina, tirosina y valina.

El método no distingue entre las sales de los aminoácidos, y tampoco permite diferenciar entre sus formas D y L. No es válido para determinar el triptófano ni los análogos hidroxilados de los aminoácidos.

2.   Principio

2.1.   Aminoácidos libres

Los aminoácidos libres se extraen con ácido clorhídrico diluido. Las macromoléculas nitrogenadas extraídas a la vez se precipitan con ácido sulfosalicílico y se eliminan por filtración. El pH de la solución filtrada se ajusta a 2,20 . Los aminoácidos se separan por cromatografía de intercambio iónico y se determinan por reacción con ninhidrina mediante detección fotométrica a 570 nm.

2.2.   Aminoácidos totales

El procedimiento elegido depende de los aminoácidos estudiados. La cistina, la cisteína y la metionina deben oxidarse a ácido cisteico y metionina sulfona, respectivamente, antes de la hidrólisis. La tirosina debe determinarse en hidrolizados de muestras no oxidadas. Todos los demás aminoácidos citados en el punto 1 pueden determinarse tanto en muestras oxidadas como no oxidadas.

La oxidación se realiza a 0 oC con una mezcla de ácido perfórmico y fenol. El exceso de reactivo oxidante se descompone con disulfito de sodio. La muestra oxidada o no oxidada se hidroliza con ácido clorhídrico (3.20) durante 23 horas. El pH del hidrolizado se ajusta a 2,20 . Los aminoácidos se separan por cromatografía de intercambio iónico y se determinan por reacción con ninhidrina mediante detección fotométrica a 570 nm (440 nm en el caso de la prolina).

3.   Reactivos

Debe utilizarse agua bidestilada o agua de calidad equivalente (conductividad < 10 μS).

3.1. Peróxido de hidrógeno, p (p/p) = 30 %

3.2. Ácido fórmico, p (p/p) = 98-100 %

3.3. Fenol

3.4. Disulfito de sodio

3.5. Hidróxido de sodio

3.6. Ácido 5-sulfosalicílico dihidratado

3.7. Ácido clorhídrico, con una densidad aproximada de 1,18 g/ml

3.8. Citrato trisódico dihidratado

3.9. 2,2 ′-Tiodietanol (tiodiglicol)

3.10. Cloruro de sodio

3.11. Ninhidrina

3.12. Éter de petróleo, con un intervalo de ebullición de 40-60 oC

3.13. Norleucina, u otro compuesto adecuado para ser utilizado como patrón interno

3.14. Gas nitrógeno (< 10 ppm de oxígeno)

3.15. 1-Octanol

3.16. Aminoácidos

3.16.1. Sustancias patrón enumeradas en el punto 1. Compuestos puros sin agua de cristalización. Desecar en vacío sobre P2O5 o H2SO4 durante una semana antes de su utilización.

3.16.2. Ácido cisteico

3.16.3. Metionina sulfona

3.17. Solución de hidróxido de sodio, c = 7,5 mol/l:

Disolver 300 g de NaOH (3.5) en agua y enrasar a 1 l.

3.18. Solución de hidróxido de sodio, c = 1 mol/l:

Disolver 40 g de NaOH (3.5) en agua y enrasar a 1 l.

3.19. Solución de ácido fórmico y fenol:

Mezclar 889 g de ácido fórmico (3.2) con 111 g de agua y añadir 4,73 g de fenol (3.3).

3.20. Mezcla de hidrólisis, c = 6 mol de HCl/l, con 1 g de fenol/l:

Añadir 1 g de fenol (3.3) a 492 ml de HCl (3.7) y enrasar a 1 l con agua.

3.21. Mezcla de extracción, c = 0,1 mol de HCl/l, con un 2 % de tiodiglicol: tomar 8,2 ml de HCl (3.7), diluir con unos 900 ml de agua, añadir 20 ml de tiodiglicol (3.9) y enrasar a 1 l con agua (no mezclar 3.7 y 3.9 directamente).

3.22. Ácido 5-sulfosalicílico, ß = 6 %:

Disolver 60 g de ácido 5-sulfosalicílico (3.6) en agua y enrasar a 1 l con agua.

3.23. Mezcla de oxidación (ácido perfórmico y fenol):

Mezclar 0,5 ml de peróxido de hidrógeno (3.1) con 4,5 ml de solución de ácido fórmico y fenol (3.19) en un pequeño vaso de precipitado. Incubar a 20-30 oC durante una hora a fin de que se forme ácido perfórmico y, a continuación, enfriar sobre baño de hielo y agua (15 minutos) antes de añadir a la muestra.

Precaución: evitar el contacto con la piel y llevar vestimenta de protección.

3.24. Solución reguladora de citrato, c = 0,2 mol de Na+/l, pH = 2,20 :

Disolver 19,61 g de citrato de sodio (3.8), 5 ml de tiodiglicol (3.9), 1 g de fenol (3.3) y 16,50 ml de HCl (3.7) en unos 800 ml de agua. Ajustar el pH a 2,20 . Enrasar a 1 l con agua.

3.25. Soluciones reguladoras de elución, preparadas según las condiciones del analizador utilizado (4.9)

3.26. Reactivo de ninhidrina, preparado según las condiciones del analizador utilizado (4.9)

3.27. Soluciones patrón de aminoácidos. Estas soluciones deberán conservarse a una temperatura inferior a 5 oC.

3.27.1. Solución patrón madre de aminoácidos (3.16.1)

c = 2,5 μmol/ml de cada uno en ácido clorhídrico

Disponibles en los comercios

3.27.2. Solución patrón madre de ácido cisteico y metionina sulfona, c = 1,25 μmol/ml

Disolver 0,2115 g de ácido cisteico (3.16.2) y 0,2265 g de metionina sulfona (3.16.3) en solución reguladora de citrato (3.24) en un matraz aforado de 1 l y enrasar con solución reguladora de citrato. Conservar a menos de 5 oC durante un período máximo de 12 meses. Esta solución no se utiliza si la solución patrón madre (3.27.1) contiene ácido cisteico y metionina sulfona.

3.27.3. Solución patrón madre del patrón interno, por ejemplo, norleucina, c = 20 μmol/ml

Disolver 0,6560 g de norleucina (3.13) en solución reguladora de citrato (3.24) en un matraz aforado y enrasar a 250 ml con solución reguladora de citrato. Conservar a menos de 5 oC durante un período máximo de seis meses.

3.27.4. Solución de calibración de los aminoácidos patrón para utilizar con los hidrolizados, c = 5 nmol/50 μl de ácido cisteico y metionina sulfona y c = 10 nmol/50 μl de los demás aminoácidos. Disolver 2,2 g de cloruro de sodio (3.10) en un vaso de precipitado de 100 ml con 30 ml de solución reguladora de citrato (3.24). Añadir 4,00 ml de solución patrón madre de aminoácidos (3.27.1), 4,00 ml de solución patrón madre de ácido cisteico y metionina sulfona (3.27.2) y 0,50 ml de solución patrón madre de patrón interno (3.27.3), si se utiliza. Ajustar el pH a 2,20 con hidróxido de sodio (3.18).

Transvasar cuantitativamente a un matraz aforado de 50 ml, enrasar con solución reguladora de citrato (3.24) y mezclar.

Conservar a menos de 5 oC durante un período máximo de tres meses.

Véanse también las observaciones del punto 9.1.

3.27.5. Solución de calibración de los aminoácidos patrón para utilizar con los hidrolizados preparados según el punto 5.3.3.1 y con los extractos (5.2). La solución de calibración se prepara con arreglo al punto 3.27.4, pero sin cloruro de sodio.

Conservar a menos de 5 oC durante un período máximo de tres meses.

4.   Instrumental

4.1. Matraz de fondo redondo de 100 ml o 250 ml, provisto de refrigerante de reflujo

4.2. Frasco de vidrio borosilicato de 100 ml con tapón de rosca provisto de junta de goma/teflón (por ejemplo Duran, Schott), para uso en estufa

4.3. Estufa con ventilación forzada y con un regulador de la temperatura de exactitud superior a ± 2 oC

4.4. Pehachímetro (lectura con tres decimales)

4.5. Filtro de membrana (0,22 μm)

4.6. Centrífuga

4.7. Evaporador rotativo de vacío

4.8. Agitador mecánico o magnético

4.9. Analizador de aminoácidos o equipo de cromatografía de líquidos de alta resolución (CLAR) con columna de intercambio iónico, dispositivo para ninhidrina, derivatización postcolumna y detector fotométrico

La columna se llena con resinas de poliestireno sulfonadas capaces de separar unos aminoácidos de otros y los aminoácidos de otros materiales que reaccionan con la ninhidrina. El flujo en las conducciones de solución reguladora y de ninhidrina se regula mediante bombas con una estabilidad de flujo de ±0,5 % en el período que abarca tanto la fase de calibración del patrón como el análisis de la muestra.

Con algunos analizadores de aminoácidos pueden utilizarse procedimientos de hidrólisis en los que el hidrolizado presenta una concentración de sodio de c = 0,8 mol/l y contiene todo el ácido fórmico residual de la fase de oxidación. Otros no proporcionan una separación satisfactoria de determinados aminoácidos si el hidrolizado contiene ácido fórmico en exceso o elevadas concentraciones de ión sodio. En este caso, el volumen de ácido se reduce por evaporación hasta aproximadamente 5 ml después de la hidrólisis y antes de ajustar el pH. La evaporación deberá realizarse en vacío a 40 oC como máximo.

5.   Procedimiento

5.1.   Preparación de la muestra

La muestra se muele hasta que pase por un tamiz de 0,5 mm. Las muestras con humedad elevada deben secarse al aire a una temperatura no superior a 50 oC, o bien liofilizarse antes de la molienda. Las muestras con un elevado contenido de grasa deberán someterse a extracción con éter de petróleo (3.12) antes de la molienda.

5.2.   Determinación de los aminoácidos libres en piensos y premezclas

Pesar en un Erlenmeyer, con una precisión de 0,2 mg, una cantidad adecuada (1-5 g) de la muestra preparada (5.1), y añadir 100,0 ml de mezcla de extracción (3.21). Agitar la mezcla durante 60 minutos utilizando un agitador mecánico o magnético (4.8). Dejar que sedimente y pipetear 10,0 ml de la solución sobrenadante a un vaso de precipitado de 100 ml.

Añadir removiendo 5,0 ml de solución de ácido sulfosalicílico (3.22) y seguir removiendo con ayuda de un agitador magnético durante cinco minutos. Filtrar o centrifugar el sobrenadante para eliminar el posible precipitado. Verter 10,0 ml de la solución resultante en un vaso de precipitado de 100 ml y ajustar el pH a 2,20 con solución de hidróxido de sodio (3.18), transvasar a un matraz aforado de volumen adecuado con solución reguladora de citrato (3.24) y enrasar con esta misma solución reguladora.

Si se utiliza un patrón interno, añadir 1,00 ml de patrón interno (3.27.3) por cada 100 ml de solución final y enrasar con la solución reguladora (3.24).

Pasar a la fase de cromatografía según el punto 5.4.

Si los extractos no se examinan el mismo día, deben conservarse a menos de 5 oC.

5.3.   Determinación de los aminoácidos totales

5.3.1.    Oxidación

Pesar, con una precisión de 0,2 mg, entre 0,1 g y 1 g de la muestra preparada (5.1), en:

 un matraz de fondo redondo de 100 ml (4.1) para hidrólisis abierta (5.3.2.3), o

 un matraz de fondo redondo de 250 ml (4.1), si se requiere una baja concentración de sodio (5.3.3.1), o

 un frasco de 100 ml con tapón de rosca (4.2) para hidrólisis cerrada (5.3.2.4).

La porción de muestra pesada debe tener un contenido de nitrógeno de unos 10 mg y un contenido de humedad no superior a 100 mg.

Colocar el matraz o el frasco en un baño de hielo y agua y enfriarlo a 0 oC, añadir 5 ml de mezcla de oxidación (3.23) y mezclar con una espátula de vidrio de punta curvada. Cerrar el matraz o el frasco, con la espátula dentro, por medio de una película impermeable al aire, colocar el baño de hielo y agua con el recipiente cerrado en un frigorífico a 0 oC y dejar durante 16 horas. Transcurridas esas 16 horas, sacar del frigorífico y descomponer el exceso de reactivo de oxidación añadiendo 0,84 g de disulfito de sodio (3.4).

Pasar al punto 5.3.2.1.

5.3.2.    Hidrólisis

5.3.2.1.    Hidrólisis de muestras oxidadas

Añadir 25 ml de mezcla de hidrólisis (3.20) a la muestra oxidada preparada según el punto 5.3.1, procurando arrastrar cualquier residuo de muestra que hubiera quedado adherido a las paredes del recipiente y a la espátula.

Según el procedimiento de hidrólisis utilizado, proceder según el punto 5.3.2.3 o 5.3.2.4.

5.3.2.2.    Hidrólisis de muestras no oxidadas

Pesar en un matraz de fondo redondo de 100 ml o 250 ml (4.1), o en un frasco de 100 ml con tapón de rosca (4.2), con una precisión de 0,2 mg, entre 0,1 g y 1 g de la muestra preparada (5.1). La porción de muestra pesada debe tener un contenido de nitrógeno de unos 10 mg. Añadir cuidadosamente 25 ml de mezcla de hidrólisis (3.20) y mezclar con la muestra. Proceder según el punto 5.3.2.3 o 5.3.2.4.

5.3.2.3.    Hidrólisis abierta

Añadir 3 perlas de vidrio a la mezcla del matraz (preparada según el punto 5.3.2.1 o 5.3.2.2) y hervir con borboteo continuo y reflujo durante 23 horas. Al terminar la hidrólisis, lavar el refrigerante con 5 ml de solución reguladora de citrato (3.24). Desconectar el matraz y enfriarlo en un baño de hielo.

Proceder según el punto 5.3.3.

5.3.2.4.    Hidrólisis cerrada

Colocar el frasco con la mezcla preparada según el punto 5.3.2.1 o 5.3.2.2 en una estufa (4.3) a 110 oC. Durante la primera hora, para prevenir la formación de presión (debido a la producción de sustancias gaseosas) y evitar el peligro de explosión, poner el tapón de rosca encima del recipiente, pero sin cerrarlo. Al cabo de una hora, cerrar el recipiente con el tapón y dejarlo en la estufa (4.3) durante 23 horas. Una vez terminada la hidrólisis, sacar el frasco de la estufa, desenroscar cuidadosamente el tapón y colocar el frasco en un baño de hielo y agua. Dejar enfriar.

En función del método de ajuste del pH (5.3.3), transvasar cuantitativamente el contenido del frasco a un vaso de precipitado de 250 ml o a un matraz de fondo redondo de 250 ml, utilizando solución reguladora de citrato (3.24).

Proceder según el punto 5.3.3.

5.3.3.    Ajuste del pH

En función de la tolerancia al sodio del analizador de aminoácidos (4.9), proceder según el punto 5.3.3.1 o 5.3.3.2 para ajustar el pH.

5.3.3.1.    En el caso de sistemas cromatográficos (4.9) que requieran una baja concentración de sodio

Es recomendable utilizar una solución patrón madre de patrón interno (3.27.3) si se utilizan analizadores de aminoácidos que requieran una baja concentración de sodio (cuando haya que reducir el volumen de ácido).

En este caso, añadir al hidrolizado 2,00 ml de la solución patrón madre (3.27.3) interna antes de la evaporación.

Añadir 2 gotas de 1-octanol (3.15) al hidrolizado obtenido según el punto 5.3.2.3 o 5.3.2.4.

Por medio de un evaporador rotativo (4.7), reducir el volumen a 5-10 ml en vacío a 40 oC. Si el volumen se reduce accidentalmente a menos de 5 ml, debe desecharse el hidrolizado y recomenzarse el análisis.

Ajustar el pH a 2,20 con solución de hidróxido de sodio (3.18) y pasar al punto 5.3.4.

5.3.3.2.    Para los demás analizadores de aminoácidos (4.9)

Tomar los hidrolizados obtenidos de acuerdo con el punto 5.3.2.3 o 5.3.2.4 y neutralizarlos parcialmente añadiendo, mientras se remueve, 17 ml de solución de hidróxido de sodio (3.17), cuidando de que la temperatura se mantenga por debajo de 40 oC.

Ajustar el pH a 2,20 a temperatura ambiente con solución de hidróxido de sodio (3.17) y, finalmente, con solución de hidróxido de sodio (3.18). Pasar al punto 5.3.4.

5.3.4.    Solución de muestra para cromatografía

Transvasar cuantitativamente el hidrolizado de pH ajustado (5.3.3.1 o 5.3.3.2) con solución reguladora de citrato (3.24) a un matraz aforado de 200 ml y enrasar con solución reguladora (3.24).

Si aún no se ha utilizado un patrón interno, añadir 2,00 ml de patrón interno (3.27.3) y enrasar con solución reguladora de citrato (3.24). Mezclar perfectamente.

Pasar a la fase de cromatografía (5.4).

Si las soluciones de muestra no se van a examinar el mismo día, deben conservarse a menos de 5 oC.

5.4.   Cromatografía

Antes de realizar la cromatografía, llevar el extracto (5.2) o el hidrolizado (5.3.4) a temperatura ambiente. Agitar la mezcla y filtrar una cantidad adecuada a través de un filtro de membrana de 0,22 μm (4.5). Se obtiene una solución clara que se somete a cromatografía de intercambio iónico, utilizando un analizador de aminoácidos (4.9).

La inyección puede realizarse de forma manual o automática. Es importante que siempre se añada a la columna la misma cantidad de solución ± 0,5 % para el análisis de patrones y muestras, excepto cuando se utilice un patrón interno, y que las relaciones sodio/aminoácidos de las soluciones patrón y de muestra sean lo más parecidas posible.

En general, la frecuencia de las calibraciones depende de la estabilidad del reactivo de ninhidrina y del sistema analítico. El patrón o la muestra se diluyen con solución reguladora de citrato (3.24) para conseguir un área de pico del patrón equivalente al 30-200 % del área de pico de los aminoácidos de la muestra.

La cromatografía de aminoácidos variará ligeramente según el tipo de analizador empleado y la resina utilizada. El sistema elegido debe ser capaz de separar unos aminoácidos de otros y los aminoácidos de otros materiales que reaccionan con la ninhidrina. En el intervalo de funcionamiento, el sistema cromatográfico debe proporcionar una respuesta lineal a los cambios en las cantidades de aminoácidos que se añadan a la columna.

Durante la fase de cromatografía, cuando se analice una solución equimolar (de los aminoácidos determinados), se aplicarán las relaciones altura de valle/altura de pico que se mencionan más adelante. Esta solución equimolar debe contener al menos el 30 % de la carga máxima de cada aminoácido que puede medirse con exactitud con el sistema de análisis de aminoácidos (4.9).

Para separar la treonina de la serina, la relación altura de valle/altura de pico del más bajo de los dos aminoácidos que se solapan en el cromatograma no debe pasar de 2/10 (si solo se determinan cistina, cisteína, metionina, treonina y lisina, una separación insuficiente entre picos adyacentes afectará negativamente a la determinación). Respecto a los demás aminoácidos, la separación debe ser mejor que 1/10.

El sistema debe garantizar que la lisina se separe de los «artefactos de lisina» y de la ornitina.

6.   Cálculo de los resultados

Las áreas de los picos de la muestra y el patrón se miden para cada aminoácido y la cantidad correspondiente (X) se calcula en gramos de aminoácidos por kilogramo de muestra.

image

Si se utiliza un patrón interno, debe multiplicarse por:

image

A

=

área de pico, hidrolizado o extracto

B

=

área de pico, solución patrón de calibración

C

=

área de pico, patrón interno en el hidrolizado o el extracto

D

=

área de pico, patrón interno, solución patrón de calibración

M

=

peso molecular del aminoácido que se está determinando

c

=

concentración del patrón en μmol/ml

m

=

peso de la muestra (g) (corregido para obtener el peso original si se ha desecado o desengrasado)

V

=

mililitros de hidrolizado total (5.3.4) o mililitros de volumen de dilución total calculado del extracto (6.1).

Tanto la cistina como la cisteína se determinan como ácido cisteico en hidrolizados de la muestra oxidada, pero se calculan como cistina (C6H12N2O4S2, M 240,30 g/mol) utilizando un M de 120,15 g/mol (= 0,5 x 240,30 g/mol).

La metionina se determina como metionina sulfona en hidrolizados de muestra oxidada, pero se calcula como metionina utilizando el M de la metionina: 149,21 g/mol.

La metionina libre añadida se determina tras extracción como metionina, utilizando para el cálculo el mismo M.

6.1. El volumen total de dilución de los extractos (F) para la determinación de los aminoácidos libres (5.2) se calcula como sigue:

image

V

=

volumen del extracto final

7.   Evaluación del método

El método se puso a prueba en un estudio intercomparativo realizado a nivel internacional en 1990 con cuatro piensos diferentes (pienso mezclado para cerdos, pienso compuesto para pollos de engorde, concentrado de proteínas y premezcla). Los resultados, tras descartar los valores atípicos, de la media y de la desviación típica se indican en los cuadros que figuran en el presente punto:



Medias en g/kg

Material de referencia

Aminoácido

Treonina

Cistina y cisteína

Metionina

Lisina

Pienso mezclado para cerdos

6,94

n = 15

3,01

n = 17

3,27

n = 17

9,55

n = 13

Pienso compuesto para pollos de engorde

9,31

n = 16

3,92

n = 18

5,08

n = 18

13,93

n = 16

Concentrado de proteínas

22,32

n = 16

5,06

n = 17

12,01

n = 17

47,74

n = 15

Premezcla

58,42

n = 16

90,21

n = 16

98,03

n = 16

n = número de laboratorios participantes

7.1.   Repetibilidad

La repetibilidad del citado estudio intercomparativo, expresada como «desviación típica intralaboratorio», se indica en los cuadros siguientes:



Desviación típica intralaboratorio (Sr) en g/kg

Material de referencia

Aminoácido

Treonina

Cistina y cisteína

Metionina

Lisina

Pienso mezclado para cerdos

0,13

n = 15

0,10

n = 17

0,11

n = 17

0,26

n = 13

Pienso compuesto para pollos de engorde

0,20

n = 16

0,11

n = 18

0,16

n = 18

0,28

n = 16

Concentrado de proteínas

0,48

n = 16

0,13

n = 17

0,27

n = 17

0,99

n = 15

Premezcla

1,30

n = 16

2,19

n = 16

2,06

n = 16

n = número de laboratorios participantes



Coeficiente de variación (%) de la desviación típica intralaboratorio (Sr)

Material de referencia

Aminoácido

Treonina

Cistina y cisteína

Metionina

Lisina

Pienso mezclado para cerdos

1,9

n = 15

3,3

n = 17

3,4

n = 17

2,8

n = 13

Pienso compuesto para pollos de engorde

2,1

n = 16

2,8

n = 18

3,1

n = 18

2,1

n = 16

Concentrado de proteínas

2,7

n = 16

2,6

n = 17

2,2

n = 17

2,4

n = 15

Premezcla

2,2

n = 16

2,4

n = 16

2,1

n = 16

n = número de laboratorios participantes

7.2   Reproducibilidad

En el cuadro siguiente se indican los resultados de la desviación típica interlaboratorios obtenida en el citado estudio intercomparativo:



Desviación típica interlaboratorios (SR) en g/kg

Material de referencia

Aminoácido

Treonina

Cistina y cisteína

Metionina

Lisina

Pienso mezclado para cerdos

0,28

n = 15

0,30

n = 17

0,23

n = 17

0,30

n = 13

Pienso compuesto para pollos de engorde

0,48

n = 16

0,34

n = 18

0,55

n = 18

0,75

n = 16

Concentrado de proteínas

0,85

n = 16

0,62

n = 17

1,57

n = 17

1,24

n = 15

Premezcla

2,49

n = 16

6,20

n = 16

6,62

n = 16

n = número de laboratorios participantes



Coeficiente de variación (%) de la desviación típica interlaboratorios (SR)

Material de referencia

Aminoácido

Treonina

Cistina y cisteína

Metionina

Lisina

Pienso mezclado para cerdos

4,1

n = 15

9,9

n = 17

7,0

n = 17

3,2

n = 13

Pienso compuesto para pollos de engorde

5,2

n = 16

8,8

n = 18

10,9

n = 18

5,4

n = 16

Concentrado de proteínas

3,8

n = 16

12,3

n = 17

13,0

n = 17

3,0

n = 15

Premezcla

4,3

n = 16

6,9

n = 16

6,7

n = 16

n = número de laboratorios participantes

8.   Uso de materiales de referencia

La correcta aplicación del método se verificará haciendo mediciones reiteradas de materiales de referencia certificados, cuando estén disponibles. Se recomienda la calibración con solución de calibración de aminoácidos certificada.

9.   Observaciones

9.1. Debido a las diferencias entre los analizadores de aminoácidos, las concentraciones finales de las soluciones de calibración de los aminoácidos patrón (véanse los puntos 3.27.4 y 3.27.5) y del hidrolizado (véase el punto 5.3.4) deberán entenderse como orientativas.

El intervalo de respuesta lineal del aparato debe comprobarse con todos los aminoácidos.

La solución patrón se diluye con una solución reguladora de citrato para obtener áreas de pico en el centro del intervalo.

9.2. Si se usa un equipo de cromatografía de líquidos de alta resolución para analizar los hidrolizados, deben optimizarse las condiciones experimentales siguiendo las recomendaciones del fabricante.

9.3. Si se aplica este método a piensos que contengan más de un 1 % de cloruro (concentrados, piensos minerales, piensos complementarios), es posible que se subestimen los valores de metionina, por lo que debe aplicarse un tratamiento especial.

G.   DETERMINACIÓN DEL TRIPTÓFANO

1.   Objeto y ámbito de aplicación

Este método permite determinar el triptófano total y libre en los piensos. No distingue entre formas L y D.

2.   Principio

Para la determinación del triptófano total, la muestra se hidroliza en condiciones alcalinas con solución saturada de hidróxido de bario y se calienta a 110 oC durante veinte horas. Tras la hidrólisis se añade patrón interno.

Para la determinación del triptófano libre, la muestra se somete a extracción en condiciones de acidez suave en presencia de patrón interno.

El triptófano y el patrón interno presentes en el hidrolizado o en el extracto se determinan mediante CLAR con detección por fluorescencia.

3.   Reactivos

3.1. Debe utilizarse agua bidestilada o agua de calidad equivalente (conductividad < 10 μS/cm).

3.2. Sustancia patrón: triptófano (pureza/contenido ≥ 99 %), desecado al vacío sobre pentóxido de fósforo

3.3. Patrón interno: α-metiltriptófano (pureza/contenido ≥ 99 %), desecado al vacío sobre pentóxido de fósforo

3.4. Hidróxido de bario octahidratado (deberá procurarse no exponer excesivamente el Ba(OH)2 · 8 H2O al aire a fin de evitar la formación de BaCO3, que podría interferir en la determinación) (véase la observación del punto 9.3)

3.5. Hidróxido de sodio

3.6. Ácido ortofosfórico, p (p/p) = 85 %

3.7. Ácido clorhídrico, ρ20 = 1,19 g/ml

3.8. Metanol, equivalente al de calidad CLAR

3.9. Éter de petróleo, con un intervalo de ebullición de 40-60 oC

3.10. Solución de hidróxido de sodio, c = 1 mol/l:

Disolver 40,0 g de NaOH (3.5) en agua y enrasar a 1 l con agua (3.1).

3.11. Ácido clorhídrico, c = 6 mol/l:

Tomar 492 ml de HCl (3.7) y enrasar a 1 l con agua.

3.12. Ácido clorhídrico, c = 1 mol/l:

Tomar 82 ml de HCl (3.7) y enrasar a 1 l con agua.

3.13. Ácido clorhídrico, c = 0,1 mol/l:

Tomar 8,2 ml de HCl (3.7) y enrasar a 1 l con agua.

3.14. Ácido ortofosfórico, c = 0,5 mol/l:

Tomar 34 ml de ácido ortofosfórico (3.6) y enrasar a 1 l con agua (3.1).

3.15. Solución concentrada de triptófano (3.2), c = 2,50 μmol/ml:

En un matraz aforado de 500 ml, disolver 0,2553 g de triptófano (3.2) en ácido clorhídrico (3.13) y enrasar con ácido clorhídrico (3.13). Conservar a - 18 oC durante cuatro semanas como máximo.

3.16. Solución concentrada de patrón interno, c = 2,50 μmol/ml:

En un matraz aforado de 500 ml, disolver 0,2728 g de α-metiltriptófano (3.3) en ácido clorhídrico (3.13) y enrasar con ácido clorhídrico (3.13). Conservar a - 18 oC durante cuatro semanas como máximo.

3.17. Solución patrón de calibración de triptófano y patrón interno:

Tomar 2,00 ml de solución concentrada de triptófano (3.15) y 2,00 ml de solución concentrada de patrón interno (α-metiltriptófano) (3.16). Diluir con agua (3.1) y metanol (3.8) hasta conseguir aproximadamente el mismo volumen y la misma concentración de metanol (10-30 %) que en el hidrolizado acabado.

Esta solución debe prepararse poco antes de utilizarse.

Proteger de la luz solar directa mientras se prepara.

3.18. Ácido acético

3.19. 1,1,1-tricloro-2-metil-2-propanol

3.20. Etanolamina p (p/p) > 98 %

3.21. Solución de 1 g de 1,1,1-tricloro-2-metil-2-propanol (3.19) en 100 ml de metanol (3.8)

3.22. Fase móvil para la CLAR: 3,00 g de ácido acético (3.18) + 900 ml de agua (3.1) + 50,0 ml de solución (3.21) de 1,1,1-tricloro-2-metil-2-propanol (3.19) en metanol (3.8) (1 g/100 ml). Ajustar el pH a 5,00 con etanolamina (3.20). Enrasar a 1 000 ml con agua (3.1).

4.   Instrumental

4.1. Equipo de CLAR con detector por espectrofluorometría

4.2. Columna cromatográfica de líquidos, de 125 mm x 4 mm, C18, relleno de 3 μm, o equivalente

4.3. pH-metro

4.4. Matraz de polipropileno, de 125 ml de capacidad, cuello ancho y tapón de rosca

4.5. Filtro de membrana de 0,45 μm

4.6. Autoclave, 110 (± 2) oC, 1,4 (±0,1 ) bar

4.7. Agitador mecánico o magnético

4.8. Agitador vortex

5.   Procedimiento

5.1.   Preparación de las muestras

La muestra se muele hasta que pase por un tamiz de 0,5 mm. Las muestras con humedad elevada deben secarse al aire a una temperatura no superior a 50 oC, o bien liofilizarse antes de la molienda. Las muestras con un elevado contenido de grasa deberán someterse a extracción con éter de petróleo (3.9) antes de la molienda.

5.2.   Determinación del triptófano libre (extracto)

Pesar en un Erlenmeyer, con una precisión de 1 mg, una cantidad adecuada (1-5 g) de la muestra preparada (5.1). Añadir 100,0 ml de ácido clorhídrico (3.13) y 5,00 ml de solución concentrada de patrón interno (3.16). Agitar o mezclar durante 60 minutos utilizando un agitador mecánico o magnético (4.7). Dejar sedimentar y pipetear 10,0 ml de la solución sobrenadante a un vaso de precipitado. Añadir 5 ml de ácido ortofosfórico (3.14). Ajustar el pH a 3 utilizando hidróxido de sodio (3.10). Añadir suficiente metanol (3.8) para obtener en el volumen final una concentración de metanol del 10 % al 30 %. Transvasar a un matraz aforado de capacidad adecuada y diluir con agua hasta conseguir el volumen necesario para la cromatografía (aproximadamente el mismo volumen que la solución patrón de calibración [3.17]).

Filtrar unos pocos mililitros de la solución por un filtro de membrana de 0,45 μm (4.5) antes de inyectarla en la columna de CLAR. Pasar a la fase de cromatografía según el punto 5.4.

Proteger la solución patrón y los extractos de la luz solar directa. Si no es posible analizar los extractos el mismo día, pueden conservarse a 5 oC durante tres días como máximo.

5.3.   Determinación del triptófano total (hidrolizado)

Pesar en el matraz de polipropileno (4.4), con una precisión de 0,2 mg, entre 0,1 g y 1 g de la muestra preparada (5.1). La porción de muestra pesada deberá tener un contenido de nitrógeno de unos 10 mg. Añadir 8,4 g de hidróxido de bario octahidratado (3.4) y 10 ml de agua. Mezclar con un agitador vortex (4.8) o un agitador magnético (4.7). Dejar dentro de la mezcla el imán recubierto de teflón. Lavar las paredes del recipiente con 4 ml de agua. Poner el tapón de rosca y cerrar el matraz sin apretar. Pasar al autoclave (4.6) con agua hirviendo y dejar al vapor durante 30 a 60 minutos. Cerrar el autoclave y dejar a 110 (± 2) oC durante 20 horas.

Antes de abrir el autoclave, reducir la temperatura hasta justo por debajo de 100 oC. Para evitar la cristalización del Ba(OH)2 · 8 H2O, añadir a la mezcla caliente 30 ml de agua que esté a temperatura ambiente. Agitar o remover suavemente. Añadir 2,00 ml de solución concentrada de patrón interno (α-metiltriptófano) (3.16). Enfriar el recipiente en baño de agua y hielo durante 15 minutos.

A continuación, añadir 5 ml de ácido ortofosfórico (3.14). Mantener el recipiente en el baño frío y neutralizar con HCl (3.11), al tiempo que se remueve; ajustar el pH a 3,0 con HCl (3.12). Añadir suficiente metanol para obtener en el volumen final una concentración de metanol del 10 % al 30 %. Pasar a un matraz aforado de capacidad adecuada y diluir con agua hasta conseguir el volumen definido necesario para la cromatografía (por ejemplo, 100 ml). La adición de metanol no deberá producir precipitación.

Filtrar unos pocos mililitros de la solución por un filtro de membrana de 0,45 μm (4.5) antes de inyectarla en la columna de CLAR. Pasar a la fase de cromatografía según el punto 5.4.

Proteger la solución patrón y los hidrolizados de la luz solar directa. Si no es posible analizar los hidrolizados el mismo día, pueden conservarse a 5 oC durante tres días, como máximo.

5.4.   Determinación mediante CLAR

Las siguientes condiciones de elución isocrática tienen carácter orientativo; pueden aplicarse otras, siempre que ofrezcan resultados equivalentes (véanse también las observaciones de los puntos 9.1 y 9.2).



Columna cromatográfica de líquidos:

125 mm x 4 mm, C18, relleno de 3 μm, o equivalente

Temperatura de la columna:

Temperatura ambiente

Fase móvil (3.22):

3,00 g de ácido acético (3.18) + 900 ml de agua (3.1) +50,0 ml de solución (3.21) de 1,1,1-tricloro-2-metil-2-propanol (3.19) en metanol (3.8) (1 g/100 ml). Ajustar el pH a 5,00 con etanolamina (3.20). Enrasar a 1 000 ml con agua (3.1).

Caudal:

1 ml/min.

Tiempo total del ciclo:

Aproximadamente 34 minutos

Longitud de onda de detección:

Excitación: 280 nm, emisión: 356 nm.

Volumen de inyección:

20 μl

6.   Cálculo de los resultados

Se calcula la cantidad de triptófano (X) en gramos por cada 100 g de muestra.

image

A

=

área de pico del patrón interno, solución patrón de calibración (3.17)

B

=

área de pico del triptófano, extracto (5.2) o hidrolizado (5.3)

V1

=

volumen en mililitros (2 ml) de la solución concentrada de triptófano (3.15) añadida a la solución de calibración (3.17)

c

=

concentración en μmol/ml (= 2,50 ) de la solución concentrada de triptófano (3.15) añadida a la solución de calibración (3.17)

V2

=

volumen en mililitros de la solución concentrada de patrón interno (3.16) añadida al extracto (5.2) (= 5,00 ml) o al hidrolizado (5.3) (= 2,00 ml)

C

=

área de pico del patrón interno, extracto (5.2) o hidrolizado (5.3)

D

=

área de pico del triptófano, solución patrón de calibración (3.17)

V3

=

volumen en mililitros (= 2,00 ml) de la solución concentrada de patrón interno (3.16) añadida a la solución patrón de calibración (3.17)

m

=

peso de la muestra en gramos (corregido al peso original si se ha desecado o desengrasado)

M

=

peso molecular del triptófano (= 204,23 g/mol)

7.   Repetibilidad

La diferencia entre los resultados de dos determinaciones paralelas efectuadas con la misma muestra no debe rebasar el 10 % del resultado más elevado.

8.   Resultados de un estudio colaborativo

Se organizó un estudio colaborativo de la Comunidad Europea (cuarta comparación interlaboratorios), en el cual hasta 12 laboratorios analizaron tres muestras para certificar el método de hidrólisis. Con cada muestra se repitieron varios análisis (5). Los resultados se recogen en el cuadro siguiente:



 

Muestra 1

Pienso para cerdos

Muestra 2

Pienso para cerdos con complemento de L-triptófano

Muestra 3

Pienso concentrado para cerdos

L

12

12

12

n

50

55

50

Media [g/kg]

2,42

3,40

4,22

sr [g/kg]

0,05

0,05

0,08

r [g/kg]

0,14

0,14

0,22

CVr [ %]

1,9

1,6

1,9

SR [g/kg]

0,15

0,20

0,09

R [g/kg]

0,42

0,56

0,25

CVR [ %]

6,3

6,0

2,2

L

=

número de laboratorios que presentaron resultados

n

=

número de resultados individuales aceptados tras eliminar los valores atípicos (identificados mediante las pruebas de Cochran y Dixon)

sr

=

desviación típica de la repetibilidad

SR

=

desviación típica de la reproducibilidad

r

=

repetibilidad

R

=

reproducibilidad

CVr

=

coeficiente de variación de la repetibilidad, en tanto por ciento

CVR

=

coeficiente de variación de la reproducibilidad, en tanto por ciento

En otro estudio colaborativo de la Comunidad Europea (tercera comparación interlaboratorios), hasta trece laboratorios analizaron dos muestras para certificar el método de extracción del triptófano libre. Con cada muestra se repitieron varios análisis (5). Los resultados se recogen en el cuadro siguiente:



 

Muestra 4

Mezcla de trigo y soja

Muestra 5

Mezcla de trigo y soja (= muestra 4) con triptófano añadido (0,457 g/kg)

L

12

12

n

55

60

Media [g/kg]

0,391

0,931

sr [g/kg]

0,005

0,012

r [g/kg]

0,014

0,034

CVr [ %]

1,34

1,34

SR [g/kg]

0,018

0,048

R [g/kg]

0,050

0,134

CVR [ %]

4,71

5,11

L

=

número de laboratorios que presentaron resultados

n

=

número de resultados individuales aceptados tras eliminar los valores atípicos (identificados mediante las pruebas de Cochran y Dixon)

sr

=

desviación típica de la repetibilidad

SR

=

desviación típica de la reproducibilidad

r

=

repetibilidad

R

=

reproducibilidad

CVr

=

coeficiente de variación de la repetibilidad, en tanto por ciento

CVR

=

coeficiente de variación de la reproducibilidad, en tanto por ciento

En otro estudio intercomparativo de la Comunidad Europea, hasta siete laboratorios analizaron cuatro muestras para certificar el método de hidrólisis de triptófano. A continuación figuran los resultados del estudio. Con cada muestra se repitieron varios análisis (5).



 

Muestra 1

Pienso mezclado para cerdos

(CRM 117)

Muestra 2

Harina de pescado con poca grasa

(CRM 118)

Muestra 3

Sémola de soja

(CRM 119)

Muestra 4

Leche desnatada en polvo

(CRM 120)

L

7

7

7

7

n

25

30

30

30

Media [g/kg]

2,064

8,801

6,882

5,236

sr [g/kg]

0,021

0,101

0,089

0,040

r [g/kg]

0,059

0,283

0,249

0,112

CVr [ %]

1,04

1,15

1,30

0,76

SR [g/kg]

0,031

0,413

0,283

0,221

R [g/kg]

0,087

1,156

0,792

0,619

CVR [ %]

1,48

4,69

4,11

4,22

L

=

número de laboratorios que presentaron resultados

n

=

número de resultados individuales aceptados tras eliminar los valores atípicos (identificados mediante las pruebas de Cochran y Dixon)

sr

=

desviación típica de la repetibilidad

SR

=

desviación típica de la reproducibilidad

r

=

repetibilidad

R

=

reproducibilidad

CVr

=

coeficiente de variación de la repetibilidad, en tanto por ciento

CVR

=

coeficiente de variación de la reproducibilidad, en tanto por ciento

9.   Observaciones

9.1. Las siguientes condiciones cromatográficas pueden ofrecer una mejor separación entre el triptófano y el α-metiltriptófano.

Elución isocrática, seguida de lavado de la columna de gradiente:



Columna cromatográfica de líquidos:

125 mm x 4 mm, C18, relleno de 5 μm, o equivalente

Temperatura de la columna:

32 oC

Fase móvil:

A: 0,01 mol/l KH2PO4/metanol, 95 + 5 (V + V)

B: Metanol

Programa de gradientes:

0 min.

100 % A

0 % B

 

15 min.

100 % A

0 % B

 

17 min.

60 % A

40 % B

 

19 min.

60 % A

40 % B

 

21 min.

100 % A

0 % B

 

33 min.

100 % A

0 % B

Caudal:

1,2 ml/min.

Tiempo total del ciclo:

aproximadamente 33 minutos

9.2. La cromatografía variará en función del tipo de CLAR y del material de relleno de la columna. El sistema elegido debe proporcionar una separación en la línea base entre el triptófano y el patrón interno. Asimismo, es importante que los productos de degradación se separen bien del triptófano y del patrón interno. Deberán pasarse hidrolizados sin patrón interno para comprobar las impurezas de la línea base bajo el patrón interno. También es importante que el ciclo dure lo suficiente para que se eluyan todos los productos de degradación, pues, de lo contrario, los picos de elución tardía pueden interferir en los ciclos cromatográficos posteriores.

En el intervalo de funcionamiento, el sistema cromatográfico deberá dar una respuesta lineal. Esta deberá medirse con una concentración constante (la normal) del patrón interno y con concentraciones variables de triptófano. Es importante que el tamaño de los picos tanto de triptófano como de patrón interno estén dentro del intervalo lineal del sistema de CLAR/fluorescencia. Si los picos de triptófano o de patrón interno son demasiado pequeños o demasiado grandes, deberá repetirse el análisis con otro tamaño de muestra o con un volumen final distinto.

9.3.  Hidróxido de bario

Con el tiempo, el hidróxido de bario es más difícil de disolver. Esto hace que la solución para la determinación por CLAR esté turbia, lo que puede dar unos resultados bajos de triptófano.

H.   DETERMINACIÓN DE LOS ACEITES Y LAS GRASAS BRUTOS

1.   Objeto y ámbito de aplicación

Este método sirve para determinar el contenido de aceites y grasas brutos de los piensos. No abarca el análisis de semillas y frutos oleaginosos.

La aplicación de uno u otro de los dos procedimientos que se describen a continuación dependerá de la naturaleza y la composición del pienso y de la razón por la que se lleve a cabo el análisis.

1.1.   Procedimiento A. Aceites y grasas brutos directamente extraíbles

Este método es aplicable a los materiales para piensos de origen vegetal, excepto los incluidos en el ámbito de aplicación del procedimiento B.

1.2.   Procedimiento B. Aceites y grasas brutos totales

Este método es aplicable a los materiales para piensos de origen animal y a todos los piensos compuestos. Se ha de utilizar con todos los materiales de los que los aceites y las grasas no puedan extraerse completamente sin hidrólisis previa (por ejemplo, los glútenes, las levaduras, las proteínas de patata y los productos sujetos a procesos como la extrusión, la floculación y el calentamiento).

1.3.   Interpretación de los resultados

En todos los casos en que el resultado obtenido con el procedimiento B sea mayor que el obtenido con el procedimiento A, el resultado obtenido con el procedimiento B se aceptará como el valor real.

2.   Principio

2.1.   Procedimiento A

La muestra se somete a extracción con éter de petróleo. El disolvente se extrae por destilación y el residuo se seca y se pesa.

2.2.   Procedimiento B

La muestra se trata en caliente con ácido clorhídrico. La mezcla se enfría y se filtra. Una vez lavado y secado, el residuo se somete a la determinación según el procedimiento A.

3.   Reactivos

3.1. Éter de petróleo con un intervalo de ebullición de 40 oC a 60 oC. El índice de bromo debe ser inferior a 1 y el residuo en evaporación inferior a 2 mg/100 ml.

3.2. Sulfato de sodio, anhidro

3.3. Ácido clorhídrico, c = 3 mol/l

3.4. Coadyuvante de filtración, como, por ejemplo, Kieselgur o Hyflo Supercel

4.   Instrumental

4.1. Aparato de extracción. Si el aparato está provisto de un sifón (aparato Soxhtel), el caudal de reflujo deberá regularse de forma que se obtengan como mínimo diez ciclos por hora; si se trata de un aparato sin sifón, el caudal de reflujo deberá ser de alrededor de 10 ml por minuto.

4.2. Cartuchos de extracción, exentos de sustancias solubles en el éter de petróleo y de porosidad compatible con las exigencias del punto 4.1

4.3. Estufa de secado, bien de vacío a 75 oC ± 3 oC, bien de aire a 100 oC ± 3 oC

5.   Procedimiento

5.1.   Procedimiento A (véase el punto 8.1)

Pesar, con una precisión de 1 mg, 5 g de la muestra, pasarlos a un cartucho de extracción (4.2) y cubrirlos con un poco de algodón hidrófilo exento de grasa.

Colocar el cartucho en un extractor (4.1) y extraer durante seis horas con éter de petróleo (3.1). Recoger el extracto de éter de petróleo en un matraz seco tarado que contenga fragmentos de piedra pómez ( 9 ).

Extraer el disolvente por destilación. Secar el residuo dejando el matraz hora y media en la estufa de secado (4.3). Dejar enfriar en un desecador y pesar. Volver a secar durante 30 minutos para que el peso de los aceites y las grasas se mantenga constante (la pérdida de peso entre dos pesadas sucesivas debe ser inferior o igual a 1 mg).

5.2.   Procedimiento B

Pesar, con una precisión de 1 mg, 2,5 g de la muestra (véase el punto 8.2), introducirlos en un vaso de precipitado de 400 ml o en un Erlenmeyer de 300 ml y añadir 100 ml de ácido clorhídrico (3.3), junto con algunos fragmentos de piedra pómez. Cubrir el vaso de precipitado con un vidrio de reloj o dotar al Erlenmeyer de un refrigerante de reflujo. Llevar la mezcla a ebullición suave sobre una llama pequeña o una placa calefactora eléctrica y mantenerla así durante una hora. No dejar que el producto se adhiera a las paredes del recipiente.

Enfriar y añadir una cantidad de coadyuvante de filtración (3.4) suficiente para evitar que se pierda aceite o grasa durante la filtración. Filtrar sobre un papel de filtro doble humedecido exento de grasa. Lavar el residuo con agua fría hasta obtener un filtrado neutro. Comprobar que el filtrado no contiene aceites ni grasas. Si los contiene, la muestra debe someterse a extracción con éter de petróleo, según el procedimiento A, antes de la hidrólisis.

Colocar el papel de filtro doble que contiene el residuo sobre un vidrio de reloj y secar durante hora y media en la estufa de aire (4.3) a 100 oC ± 3 oC.

Introducir el papel de filtro doble que contiene el residuo seco en un cartucho de extracción (4.2) y cubrirlo con un poco de algodón hidrófilo exento de grasa. Colocar el cartucho en un extractor (4.1) y proceder según se indica en los párrafos segundo y tercero del punto 5.1.

6.   Expresión de los resultados

Expresar el peso del residuo en porcentaje de la muestra.

7.   Repetibilidad

La diferencia entre los resultados de dos determinaciones paralelas efectuadas con la misma muestra por el mismo analista no deberá superar:

 el 0,2 % en valor absoluto, en el caso de contenidos de aceites y grasas brutos inferiores al 5 %,

 el 4,0 % del resultado más elevado, en relación con contenidos del 5 % al 10 %,

 el 0,4 % en valor absoluto, en el caso de contenidos superiores al 10 %.

8.   Observaciones

8.1. Con los productos que tienen un alto contenido de aceites y grasas y son difíciles de triturar o inapropiados para obtener una muestra de ensayo reducida homogénea, proceder del modo siguiente:

Pesar, con una precisión de 1 mg, 20 g de la muestra y mezclarlos con 10 g o más de sulfato de sodio anhidro (3.2). Extraer con éter de petróleo (3.1) según se indica en el punto 5.1. Enrasar el extracto obtenido a 500 ml con éter de petróleo (3.1) y mezclar. Tomar 50 ml de la solución y ponerlos en un matraz pequeño, seco y tarado con fragmentos de piedra pómez. Extraer el disolvente por destilación, secar y proceder según se indica en el último párrafo del punto 5.1.

Eliminar el disolvente del residuo de extracción que haya quedado en el cartucho, triturar el residuo a una finura de 1 mm, colocarlo de nuevo en el cartucho de extracción (no añadir sulfato de sodio) y proceder según se indica en los párrafos segundo y tercero del punto 5.1.

Calcular el contenido de aceites y grasas en porcentaje de la muestra aplicando la siguiente fórmula:

(10 m1 + m2) × 5

donde:

m1

=

peso en gramos del residuo tras la primera extracción (parte alícuota del extracto);

m2

=

peso en gramos del residuo tras la segunda extracción.

8.2. En el caso de productos pobres en aceites y grasas, la muestra de ensayo puede aumentarse a 5 g.

8.3. Es posible que los piensos para animales de compañía con un alto contenido de agua deban mezclarse con sulfato de sodio anhidro antes de la hidrólisis y la extracción conforme al procedimiento B.

8.4. En el punto 5.2 puede resultar más eficaz utilizar agua caliente en lugar de agua fría para lavar el residuo tras la filtración.

8.5. Con algunos piensos quizá sea necesario aumentar el tiempo de secado de hora y media. Se evitará un secado excesivo, ya que puede producir resultados bajos. También puede utilizarse un horno microondas.

8.6. Si el contenido de aceites o grasas brutos es superior al 15 %, se recomienda la preextracción por el procedimiento A antes de la hidrólisis y la reextracción por el procedimiento B. Hasta cierto punto, esto depende de la naturaleza del pienso y de la naturaleza del aceite o la grasa que contenga.

I.   DETERMINACIÓN DE LA FIBRA BRUTA

1.   Objeto y ámbito de aplicación

Este método permite determinar las sustancias orgánicas de los piensos exentas de grasa, que son insolubles en medios ácidos y alcalinos y se designan convencionalmente como fibra bruta.

2.   Principio

La muestra, si es necesario desengrasada, se trata sucesivamente con soluciones en ebullición de ácido sulfúrico e hidróxido de potasio de concentraciones determinadas. El residuo se separa por filtración en un filtro de vidrio sinterizado, se lava, se deseca, se pesa y se calcina en un intervalo de 475 oC a 500 oC. La pérdida de peso resultante de la calcinación corresponde a la fibra bruta presente en la muestra de ensayo.

3.   Reactivos

3.1. Acido sulfúrico, c = 0,13 mol/l

3.2. Agente antiespumante (por ejemplo, n-octanol)

3.3. Coadyuvante de filtración (Celite 545 o equivalente), calentado a 500 oC durante cuatro horas (8.6)

3.4. Acetona

3.5. Éter de petróleo, con un intervalo de ebullición de 40 oC a 60 oC

3.6. Ácido clorhídrico, c = 0,5 mol/l

3.7. Solución de hidróxido de sodio, c = 0,23 mol/l

4.   Instrumental

4.1. Unidad de calentamiento para digestión con ácido sulfúrico y solución de hidróxido de potasio, provista de un soporte para el crisol filtrante (4.2) y de un tubo de salida con una llave conectada a la salida de líquidos y al vacío, posiblemente con aire comprimido. Antes de usarla, precalentar la unidad todos los días con agua hirviendo durante cinco minutos.

4.2. Crisol de vidrio filtrante, con placa filtrante de vidrio sinterizado fundido de porosidad comprendida entre 40 μm y 90 μm. Antes de utilizarlo por primera vez, calentarlo a 500 oC durante unos minutos y enfriarlo (8.6).

4.3. Probeta apta para ebullición, de 270 ml como mínimo, con refrigerante de reflujo

4.4. Horno de secado con termostato

4.5. Horno de mufla con termostato

4.6. Unidad de extracción consistente en una placa soporte para el crisol filtrante (4.2), con un tubo de descarga provisto de llave conectada al vacío y a la salida de líquidos

4.7. Aros de conexión para unir la unidad de calentamiento (4.1), el crisol (4.2) y la probeta (4.3) y conectar la unidad de extracción en frío (4.6) y el crisol

5.   Procedimiento

Pesar, con una precisión de 1 mg, 1 g de la muestra, ponerlo en el crisol (4.2) (véanse las observaciones 8.1, 8.2 y 8.3) y añadir 1 g de coadyuvante de filtración (3.3).

Tras ensamblar la unidad de calentamiento (4.1) y el crisol filtrante (4.2), unir a este último la probeta (4.3). Verter 150 ml de ácido sulfúrico (3.1) en ebullición en la probeta y el crisol ensamblados y, si es necesario, añadir unas pocas gotas de agente antiespumante (3.2).

Llevar el líquido a ebullición en 5 ± 2 minutos y dejar hervir con fuerza durante 30 minutos exactos.

Abrir la llave del tubo de descarga (4.1), filtrar al vacío el ácido sulfúrico a través del crisol filtrante y lavar tres veces consecutivas con 30 ml de agua hirviendo cada vez, cuidando de que el residuo se filtre seco después de cada lavado.

Cerrar la llave de salida y verter 150 ml de solución de hidróxido de potasio (3.7) hirviendo en la probeta y el crisol ensamblados, añadiendo después unas pocas gotas de agente antiespumante (3.2). Llevar el líquido al punto de ebullición en 5 ± 2 minutos y dejar hervir con fuerza durante 30 minutos exactos. Filtrar y repetir el proceso de lavado empleado en la fase de ácido sulfúrico.

Después del lavado y secado finales, desconectar el crisol con su contenido y volverlo a conectar a la unidad de extracción en frío (4.6). Aplicar el vacío y lavar el residuo en el crisol tres veces consecutivas con 25 ml de acetona (3.4) cada vez, cuidando de que el residuo se filtre seco después de cada lavado.

Secar el crisol en la estufa a 130 oC hasta alcanzar un peso constante. Después de cada secado, enfriar en el desecador y pesar rápidamente. Colocar el crisol en un horno de mufla y calcinar, hasta alcanzar un peso constante (la pérdida de peso entre dos pesadas sucesivas debe ser inferior o igual a 2 mg), a 475 oC durante 30 minutos como mínimo.

Después de cada calentamiento, enfriar, primero en el horno y después en el desecador, antes de pesar.

Realizar una prueba en blanco sin la muestra. La pérdida de peso debida a la calcinación no debe exceder de 4 mg.

6.   Cálculo de los resultados

El contenido de fibra bruta en porcentaje de la muestra viene dado por la fórmula:

image

donde:

m

=

peso de la muestra, en gramos;

m0

=

pérdida de peso tras la calcinación durante la determinación, en gramos;

m1

=

pérdida de peso tras la calcinación durante el ensayo en blanco, en gramos.

7.   Repetibilidad

La diferencia entre dos determinaciones paralelas efectuadas con la misma muestra no debe exceder:

 del 0,6 % en valor absoluto, en el caso de contenidos de fibra bruta inferiores al 10 %,

 del 6 % del resultado superior, en el caso de contenidos de fibra bruta iguales o superiores al 10 %.

8.   Observaciones

8.1. Los piensos con más de un 10 % de grasa bruta deben desengrasarse antes de efectuar el análisis con éter de petróleo (3.5). Conectar el crisol filtrante (4.2), con su contenido, a la unidad de extracción en frío (4.6), aplicar vacío y lavar tres veces consecutivas con 30 ml de éter de petróleo cada vez, cuidando de que el residuo esté seco. Conectar el crisol, con su contenido, a la unidad de calentamiento (4.1) y continuar según se describe en el punto 5.

8.2. Los piensos que contengan grasas que no puedan extraerse directamente con éter de petróleo (3.5) deben desengrasarse con arreglo al punto 8.1 y someterse a un nuevo desengrasado después de haber sido hervidos con ácido. Tras el hervor con ácido y el subsiguiente lavado, unir el crisol, con su contenido, a la unidad de extracción en frío (4.6) y lavar tres veces con 30 ml de acetona y otras tres veces con 30 ml de éter de petróleo cada vez. Filtrar en vacío hasta sequedad y continuar el análisis como se describe en el punto 5, comenzando por el tratamiento con hidróxido de potasio.

8.3. Si los piensos contienen más de un 5 % de carbonatos, expresados en carbonato de calcio, conectar el crisol (4.2), con la muestra pesada, a la unidad de calentamiento (4.1). Lavar la muestra tres veces con 30 ml de ácido clorhídrico (3.6). Después de cada adición, dejar reposar la muestra durante un minuto aproximadamente antes de filtrar. Lavar una vez con 30 ml de agua y proseguir como se describe en el punto 5.

8.4. Si se utiliza una batería de aparatos (varios crisoles unidos a la misma unidad de calentamiento), no pueden realizarse dos determinaciones distintas de la misma muestra en la misma serie.

8.5. Si, tras el hervor, resulta difícil filtrar las soluciones ácidas y alcalinas, introducir aire comprimido por el tubo de descarga de la unidad de calentamiento y seguir filtrando a continuación.

8.6. Con objeto de alargar la duración de los crisoles filtrantes de vidrio, la temperatura de calcinación no superará los 500 oC. Asimismo, deben evitarse los cambios bruscos de temperatura en los ciclos de calentamiento y enfriamiento.

J.   DETERMINACIÓN DEL AZÚCAR

1.   Objeto y ámbito de aplicación

Este método permite determinar la cantidad de azúcares reductores y azúcares totales tras la inversión, expresados en glucosa o, si procede, en sacarosa, por conversión mediante un factor de 0,95 . Es aplicable a los piensos compuestos. Para otros piensos se establecen métodos especiales. Si es necesario, la lactosa deberá medirse por separado y tenerse en cuenta al calcular los resultados.

2.   Principio

Los azúcares se extraen en etanol diluido; la solución se clarifica con las soluciones de Carrez I y II. Tras eliminar el etanol se determinan las cantidades antes y después de la inversión, siguiendo el método de Luff-Schoorl.

3.   Reactivos

3.1. Solución de etanol al 40 % (v/v), de 0,948 g/ml de densidad a 20 oC, neutralizada frente a la fenolftaleína.

3.2. Solución de Carrez I: disolver en agua 21,9 g de acetato de cinc, Zn(CH3COO)2 · 2H2O, y 3 g de ácido acético glacial. Enrasar con agua a 100 ml.

3.3. Solución de Carrez II: disolver en agua 10,6 g de ferrocianuro de potasio, K4Fe(CN)6 · 3H2O. Enrasar con agua a 100 ml.

3.4. Naranja de metilo, solución al 0,1 % (p/v).

3.5. Acido clorhídrico de 4 mol/l.

3.6. Acido clorhídrico de 0,1 mol/l.

3.7. Solución de hidróxido de sodio de 0,1 mol/l.

3.8. Reactivo de Luff-Schoorl:

Verter la solución de ácido cítrico (3.8.2) en la solución de carbonato de sodio (3.8.3), removiendo con cuidado. Añadir la solución de sulfato de cobre (3.8.1) y enrasar a 1 l con agua. Dejar reposar una noche y filtrar.

Comprobar la concentración del reactivo así obtenido (0,05 mol de Cu/l; 1 mol de Na2 CO3/l), véase el punto 5.4, último párrafo. El pH de la solución deberá ser de 9,4 aproximadamente.

3.8.1. Solución de sulfato de cobre: disolver 25 g de sulfato de cobre, Cu SO4 · 5H2O, exento de hierro, en 100 ml de agua.

3.8.2. Solución de ácido cítrico: disolver 50 g de ácido cítrico, C6H8O7· H2O, en 50 ml de agua.

3.8.3. Solución de carbonato de sodio: disolver 143,8 g de carbonato de sodio anhidro en 300 ml aproximadamente de agua caliente. Dejar enfriar.

3.9. Solución de tiosulfato de sodio de 0,1 mol/l

3.10. Solución de almidón: añadir una mezcla de 5 g de almidón soluble en 30 ml de agua a 1 l de agua hirviendo. Hervir durante tres minutos, dejar enfriar y, si es necesario, añadir 10 mg de yoduro de mercurio como conservante.

3.11. Acido sulfúrico de 3 mol/l

3.12. Yoduro de potasio, solución al 30 % (p/v)

3.13. Piedra pómez granulada, hervida en ácido clorhídrico, lavada en agua y desecada

3.14. 3-metilbutan-l-ol

4.   Instrumental

Mezclador (tambor): de 35 a 40 revoluciones por minuto aproximadamente

5.   Procedimiento

5.1.   Extracción de la muestra

Pesar, con una precisión de 1 mg, 2,5 g de la muestra e introducirlos en un matraz aforado de 250 ml. Añadir 200 ml de etanol (3.1) y mezclar en el tambor durante una hora. Añadir 5 ml de solución de Carrez I (3.2) y remover durante 30 segundos aproximadamente. Añadir 5 ml de solución de Carrez II (3.3) y volver a remover durante un minuto. Enrasar con etanol (3.1), homogeneizar y filtrar. Tomar 200 ml del filtrado y evaporar alrededor de la mitad del volumen, con el fin de eliminar la mayor parte del etanol. Transvasar cuantitativamente el residuo de evaporación, por medio de agua caliente, a un matraz aforado de 200 ml, enfriar, enrasar con agua, homogeneizar y filtrar, si es necesario. Esta solución se empleará para determinar la cantidad de azúcares reductores y, tras la inversión, la cantidad de azúcares totales.

5.2.   Determinación de los azúcares reductores

Pipetear no más de 25 ml de la solución que contenga menos de 60 mg de azúcares reductores, expresados en glucosa. Si es necesario, enrasar a 25 ml con agua destilada y determinar el contenido de azúcares reductores siguiendo el método de Luff-Schoorl. El resultado se expresará en porcentaje de glucosa de la muestra.

5.3.   Determinación de los azúcares totales tras la inversión

Pipetear 50 ml de solución y transvasarlos a un matraz aforado de 100 ml. Añadir a continuación unas pocas gotas de solución de naranja de metilo (3.4), con cuidado y sin parar de remover, y añadir ácido clorhídrico (3.5) hasta que el líquido se vuelva definitivamente rojo. Añadir 15 ml de ácido clorhídrico (3.6), sumergir el matraz en un baño maría en fuerte ebullición y mantenerlo allí durante 30 minutos. Enfriar rápidamente a unos 20 oC y añadir 15 ml de solución de hidróxido de sodio (3.7). Enrasar a 100 ml con agua y homogeneizar. Retirar no más de 25 ml con un contenido de azúcares reductores inferior a 60 mg, expresados en glucosa. Si es necesario, enrasar a 25 ml con agua destilada y determinar el contenido de azúcares reductores siguiendo el método de Luff-Schoorl. El resultado se expresa en porcentaje de glucosa o, si procede, de sacarosa, multiplicando por un factor de 0,95 .

5.4.   Titulación por el método de Luff-Schoorl

Pipetear 25 ml del reactivo de Luff-Schoorl (3.8) y transvasarlos a un Erlenmeyer de 300 ml; añadir exactamente 25 ml de la solución de azúcares clarificada. Añadir dos gránulos de piedra pómez (3.13), calentar, removiendo manualmente, sobre una llama desnuda de altura media y llevar el líquido a ebullición en dos minutos aproximadamente. Colocar inmediatamente el Erlenmeyer sobre una tela metálica revestida de amianto con un orificio de unos 6 cm de diámetro, bajo el cual se habrá encendido una llama. La llama se regulará de forma que solo se caliente el fondo del Erlenmeyer. Ajustar a este último un refrigerante de reflujo. Hervir durante diez minutos exactos. Enfriar inmediatamente en agua fría y, transcurridos unos cinco minutos, titular como se indica a continuación:

Añadir 10 ml de solución de yoduro de potasio (3.12), e inmediatamente después (con cuidado, ya que puede formarse mucha espuma) 25 ml de ácido sulfúrico (3.11). Titular con solución de tiosulfato de sodio (3.9) hasta que aparezca una coloración amarilla mate, añadir el indicador de almidón (3.10) y completar la titulación.

Efectuar la misma titulación en una mezcla exactamente medida de 25 ml de reactivo de Luff-Schoorl (3.8) y 25 ml de agua, después de añadir 10 ml de solución de yoduro de potasio (3.12) y 25 ml de ácido sulfúrico (3.11) sin hervir.

6.   Cálculo de los resultados

Establecer, con ayuda de la tabla, la cantidad de glucosa en miligramos que corresponde a la diferencia entre los valores de las dos titulaciones, expresados en miligramos de tiosulfato de sodio de 0,1 mol/l. Expresar el resultado en porcentaje de la muestra.

7.   Procedimientos especiales

7.1. En el caso de piensos ricos en melaza y otros piensos no muy homogéneos, pesar 20 g e introducirlos con 500 ml de agua en un matraz aforado de 1 l. Mezclar durante una hora en el tambor. Clarificar con los reactivos de Carrez I (3.2) y II (3.3) según se describe en el punto 5.1, empleando esta vez una cantidad cuatro veces superior de cada reactivo. Enrasar con etanol al 80 % (v/v).

Homogeneizar y filtrar. Eliminar el etanol como se describe en el punto 5.1. En ausencia de almidón dextrinado, enrasar con agua destilada.

7.2. En el caso de melazas y materiales para piensos que sean ricos en azúcares y no tengan prácticamente almidón (algarrobos, peladuras desecadas de remolachas, etc.), pesar 5 g e introducirlos en un matraz aforado de 250 ml, añadir 200 ml de agua destilada y mezclar en el tambor durante una hora o más, si es necesario. Clarificar con los reactivos de Carrez I (3.2) y II (3.3) según se describe en el punto 5.1. Enrasar con agua fría, homogeneizar y filtrar. Para determinar la cantidad de azúcares totales, proseguir como se describe en el punto 5.3.

8.   Observaciones

8.1. Es recomendable añadir (sea cual sea el volumen) aproximadamente 1 ml de 3-metilbutan-l-ol (3.14) antes de hervir con el reactivo de Luff-Schoorl, a fin de evitar la formación de espuma.

8.2. La diferencia entre el contenido de azúcares totales después de la inversión, expresados en glucosa, y el contenido de azúcares reductores, expresados en glucosa, multiplicada por 0,95 , da el porcentaje de sacarosa.

8.3. Para determinar el contenido de azúcares reductores, excluida la lactosa, pueden adoptarse dos métodos:

8.3.1. Para un cálculo aproximado, multiplicar por 0,675 el contenido de lactosa establecido mediante un método de análisis diferente y restar el resultado obtenido al contenido de azúcares reductores.

8.3.2. Para un cálculo exacto de los azúcares reductores, excluida la lactosa, debe emplearse la misma muestra en las dos determinaciones finales. Uno de los análisis se efectúa con una parte de la solución obtenida según el punto 5.1, y el otro con una parte de la solución obtenida al determinar la lactosa conforme al método establecido al efecto (previa fermentación de los otros tipos de azúcares y clarificación).

En ambos casos, la cantidad de azúcar presente se determina según el método de Luff-Schoorl y se calcula en miligramos de glucosa. Los dos valores se restan y la diferencia se expresa en porcentaje de la muestra.

Ejemplo

Los dos volúmenes tomados corresponden, para cada determinación, a una muestra de 250 mg.

En el primer caso se consumen 17 ml de solución de tiosulfato de sodio de 0,1 mol/l, lo que corresponde a 44,2 mg de glucosa; en el segundo, 11 ml, que corresponden a 27,6 mg de glucosa.

La diferencia es de 16,6 mg de glucosa.

El contenido de azúcares reductores (excluida la lactosa), calculado en glucosa, es pues de:

image



Tabla de valores correspondientes a 25 ml de reactivo de Luff-Schoorl

mililitros de Na2 S2 O3 de 0,1 mol/l, calentamiento de dos minutos, hervor de diez minutos

Na2 S2 O3

0,1 mol/l

Glucosa, fructosa y azúcares invertidos

C6 H12 O6

Lactosa

C12 H22 O11

Maltosa

C12 H22 O11

Na2 S2 O3

0,1 mol/l

ml

mg

diferencia

mg

diferencia

mg

diferencia

ml

1

2

3

4

5

6

7

8

9

10

11

12

13

14

15

16

17

18

19

20

21

22

23

2,4

4,8

7,2

9,7

12,2

14,7

17,2

19,8

22,4

25,0

27,6

30,3

33,0

35,7

38,5

41,3

44,2

47,1

50,0

53,0

56,0

59,1

62,2

2,4

2,4

2,5

2,5

2,5

2,5

2,6

2,6

2,6

2,6

2,7

2,7

2,7

2,8

2,8

2,9

2,9

2,9

3,0

3,0

3,1

3,1

3,6

7,3

11,0

14,7

18,4

22,1

25,8

29,5

33,2

37,0

40,8

44,6

48,4

52,2

56,0

59,9

63,8

67,7

71,7

75,7

79,8

83,9

88,0

3,7

3,7

3,7

3,7

3,7

3,7

3,7

3,7

3,8

3,8

3,8

3,8

3,8

3,8

3,9

3,9

3,9

4,0

4,0

4,1

4,1

4,1

3,9

7,8

11,7

15,6

19,6

23,5

27,5

31,5

35,5

39,5

43,5

47,5

51,6

55,7

59,8

63,9

68,0

72,2

76,5

80,9

85,4

90,0

94,6

3,9

3,9

3,9

4,0

3,9

4,0

4,0

4,0

4,0

4,0

4,0

4,1

4,1

4,1

4,1

4,1

4,2

4,3

4,4

4,5

4,6

4,6

1

2

3

4

5

6

7

8

9

10

11

12

13

14

15

16

17

18

19

20

21

22

23

K.   DETERMINACIÓN DE LA LACTOSA

1.   Objeto y ámbito de aplicación

Este método permite determinar el contenido de lactosa de los piensos que contienen más de un 0,5 % de este azúcar.

2.   Principio

Los azúcares se disuelven en agua. La solución se somete a fermentación por la levadura Saccharomyces cerevisiae, que deja intacta la lactosa. Tras clarificación y filtración se determina el contenido de lactosa por el método de Luff-Schoorl.

3.   Reactivos

3.1. Suspensión de Saccharomyces cerevisiae: suspender 25 g de levadura fresca en 100 ml de agua. En el frigorífico, el período máximo de conservación de la suspensión es de una semana.

3.2. Solución de Carrez I: disolver en agua 21,9 g de acetato de cinc, Zn(CH3COO)2 · 2H2O, y 3 g de ácido acético glacial. Enrasar con agua a 100 ml.

3.3. Solución de Carrez II: disolver en agua 10,6 g de ferrocianuro de potasio, K4Fe(CN)6 · 3H2O. Enrasar con agua a 100 ml.

3.4. Reactivo de Luff-Schoorl:

Verter la solución de ácido cítrico (3.4.2) en la solución de carbonato de sodio (3.4.3), removiendo con cuidado. Añadir la solución de sulfato de cobre (3.4.1) y enrasar a 1 l con agua. Dejar reposar una noche y filtrar. Comprobar la concentración del reactivo así obtenido (0,05 mol de Cu/l; 1 mol de Na2 CO3/l). El pH de la solución deberá ser de 9,4 aproximadamente.

3.4.1. Solución de sulfato de cobre: disolver 25 g de sulfato de cobre, Cu SO4 · 5H2O, exento de hierro, en 100 ml de agua.

3.4.2. Solución de ácido cítrico: disolver 50 g de ácido cítrico, C6H8O7· H2O, en 50 ml de agua.

3.4.3. Solución de carbonato de sodio: disolver 143,8 g de carbonato de sodio anhidro en 300 ml aproximadamente de agua caliente. Dejar enfriar.

3.5. Piedra pómez granulada, hervida en ácido clorhídrico, lavada en agua y desecada.

3.6. Yoduro de potasio, solución al 30 % (p/v).

3.7. Acido sulfúrico de 3 mol/l.

3.8. Solución de tiosulfato de sodio de 0,1 mol/l.

3.9. Solución de almidón: añadir una mezcla de 5 g de almidón soluble en 30 ml de agua a 1 l de agua hirviendo. Hervir durante tres minutos, dejar enfriar y, si es necesario, añadir 10 mg de yoduro de mercurio como conservante.

4.   Instrumental

Baño maría con termostato, regulado a 38-40 oC

5.   Procedimiento

Pesar, con una precisión de 1 mg, 1 g de la muestra e introducirlo en un matraz aforado de 100 ml. Añadir de 25 ml a 30 ml de agua. Colocar el matraz durante 30 minutos en un baño maría hirviendo y, a continuación, enfriar a 35 oC aproximadamente. Añadir 5 ml de suspensión de levadura (3.1) y homogeneizar. Dejar reposar el matraz durante dos horas en un baño maría, a una temperatura de 38-40 oC. Enfriar a 20 oC aproximadamente.

Añadir 2,5 ml de solución de Carrez I (3.2) y remover durante 30 segundos, añadiendo a continuación 2,5 ml de solución de Carrez II (3.3) y volviendo a remover durante otros 30 segundos. Enrasar a 100 ml con agua, mezclar y filtrar. Pipetear no más de 25 ml de filtrado que contenga preferiblemente de 40 mg a 80 mg de lactosa y transvasarlos a un Erlenmeyer de 300 ml. Si es necesario, enrasar a 25 ml con agua.

Efectuar de la misma manera un ensayo en blanco con 5 ml de suspensión de levadura (3.1). Determinar, como se indica a continuación, el contenido de lactosa siguiendo el método de Luff-Schoorl: añadir exactamente 25 ml de reactivo de Luff-Schoorl (3.4) y dos gránulos de piedra pómez (3.5). Remover manualmente sobre una llama desnuda de media altura y llevar el líquido a ebullición en dos minutos aproximadamente. Colocar inmediatamente el Erlenmeyer sobre una tela metálica revestida de amianto con un orificio de unos 6 cm de diámetro, bajo el cual se habrá encendido una llama. La llama se regulará de forma que solo se caliente el fondo del Erlenmeyer. Ajustar a este último un refrigerante de reflujo. Hervir durante diez minutos exactos. Enfriar inmediatamente en agua fría y, transcurridos unos cinco minutos, titular como se indica a continuación:

Añadir 10 ml de solución de yoduro de potasio (3.6), e inmediatamente después (con cuidado, ya que puede formarse mucha espuma) 25 ml de ácido sulfúrico (3.7). Titular con solución de tiosulfato de sodio (3.8) hasta que aparezca una coloración amarilla mate, añadir el indicador de almidón (3.9) y completar la titulación.

Efectuar la misma titulación en una mezcla exactamente medida de 25 ml de reactivo de Luff-Schoorl (3.4) y 25 ml de agua, después de añadir 10 ml de solución de yoduro de potasio (3.6) y 25 ml de ácido sulfúrico (3.7) sin hervir.

6.   Cálculo de los resultados

Establecer, con ayuda de la tabla aneja, la cantidad de lactosa en miligramos que corresponde a la diferencia entre los resultados de las dos titulaciones, expresados en mililitros de tiosulfato de sodio de 0,1 mol/l.

Expresar el resultado de lactosa anhidra como porcentaje de la muestra.

7.   Observación

Para productos que contengan más de un 40 % de azúcares fermentables, emplear más de 5 ml de suspensión de levadura (3.1).



Tabla de valores correspondientes a 25 ml de reactivo de Luff-Schoorl

mililitros de Na2 S2 O3 de 0,1 mol/l, calentamiento de dos minutos, hervor de diez minutos

Na2 S2 O3

0,1 mol/l

Glucosa, fructosa y azúcares invertidos

C6 H12 O6

Lactosa

C12 H22 O11

Maltosa

C12 H22 O11

Na2 S2 O3

0,1 mol/l

ml

mg

diferencia

mg

diferencia

mg

diferencia

ml

1

2

3

4

5

6

7

8

9

10

11

12

13

14

15

16

17

18

19

20

21

22

23

2,4

4,8

7,2

9,7

12,2

14,7

17,2

19,8

22,4

25,0

27,6

30,3

33,0

35,7

38,5

41,3

44,2

47,1

50,0

53,0

56,0

59,1

62,2

2,4

2,4

2,5

2,5

2,5

2,5

2,6

2,6

2,6

2,6

2,7

2,7

2,7

2,8

2,8

2,9

2,9

2,9

3,0

3,0

3,1

3,1

3,6

7,3

11,0

14,7

18,4

22,1

25,8

29,5

33,2

37,0

40,8

44,6

48,4

52,2

56,0

59,9

63,8

67,7

71,7

75,7

79,8

83,9

88,0

3,7

3,7

3,7

3,7

3,7

3,7

3,7

3,7

3,8

3,8

3,8

3,8

3,8

3,8

3,9

3,9

3,9

4,0

4,0

4,1

4,1

4,1

3,9

7,8

11,7

15,6

19,6

23,5

27,5

31,5

35,5

39,5

43,5

47,5

51,6

55,7

59,8

63,9

68,0

72,2

76,5

80,9

85,4

90,0

94,6

3,9

3,9

3,9

4,0

3,9

4,0

4,0

4,0

4,0

4,0

4,0

4,1

4,1

4,1

4,1

4,1

4,2

4,3

4,4

4,5

4,6

4,6

1

2

3

4

5

6

7

8

9

10

11

12

13

14

15

16

17

18

19

20

21

22

23

L.   DETERMINACIÓN DEL ALMIDÓN

MÉTODO POLARIMÉTRICO

1.   Objeto y ámbito de aplicación

Este método permite determinar los niveles de almidón y de productos de la degradación del almidón de elevado peso molecular presentes en los piensos, a fin de comprobar que se cumple el valor energético declarado (disposiciones del anexo VII) y lo dispuesto en la Directiva 96/25/CE del Consejo ( 10 ).

2.   Principio

El método comprende dos determinaciones. En la primera, la muestra se trata con ácido clorhídrico diluido. Tras clarificación y filtración, se mide la rotación óptica de la solución por polarimetría.

En la segunda, la muestra se extrae con etanol al 40 %. Tras acidificación del filtrado con ácido clorhídrico, clarificación y filtración, se mide la rotación óptica como en la primera determinación.

La diferencia entre las dos mediciones, multiplicada por un factor conocido, da el contenido de almidón de la muestra.

3.   Reactivos

3.1. Ácido clorhídrico, solución al 25 % (p/p), con una densidad de 1,126 g/ml

3.2. Ácido clorhídrico, solución al 1,13 % (p/v)

La concentración debe comprobarse por titulación con una solución de hidróxido de sodio de 0,1 mol/l en presencia de rojo de metilo al 0,1 % (p/v) en etanol al 94 % (v/v). Para la neutralización de 10 ml se necesitan 30,94 ml de NaOH de 0,1 ml/l.

3.3. Solución de Carrez I: disolver en agua 21,9 g de acetato de cinc, Zn(CH3COO)2 · 2H2O, y 3 g de ácido acético glacial. Enrasar con agua a 100 ml.

3.4. Solución de Carrez II: disolver en agua 10,6 g de ferrocianuro de potasio, K4Fe(CN)6 · 3H2O. Enrasar con agua a 100 ml.

3.5. Etanol, solución al 40 % (v/v), con una densidad de 0,948 g/ml a 20 oC

4.   Instrumental

4.1. Erlenmeyer de 250 ml con junta esmerilada estándar y refrigerante de reflujo.

4.2. Polarímetro o sacarímetro.

5.   Procedimiento

5.1.   Preparación de la muestra

Triturar la muestra hasta que sea lo suficientemente fina para pasar en su totalidad por un tamiz con una luz de malla redonda de 0,5 mm.

5.2.   Determinación de la rotación óptica total (P o S) (véase la observación del punto 7.1)

Pesar, con una precisión de 1 mg , 2,5 g de la muestra triturada e introducirlos en un matraz aforado de 100 ml. Añadir 25 ml de ácido clorhídrico (3.2), agitar para obtener una distribución uniforme de la muestra de ensayo y añadir otros 25 ml de ácido clorhídrico (3.2). Sumergir el matraz en un baño maría hirviendo y, durante los tres primeros minutos, agitar enérgica y constantemente para evitar la formación de aglomerados. La cantidad de agua del baño maría debe ser suficiente para que pueda mantenerse en ebullición cuando se introduzca en él el matraz. Este no debe retirarse del baño mientras se agita. Transcurridos exactamente 15 minutos, sacarlo del baño, añadir 30 ml de agua fría y enfriar inmediatamente a 20 oC.

Añadir 5 ml de solución de Carrez I (3.3) y agitar durante 30 segundos aproximadamente. Añadir 5 ml de solución de Carrez I (3.4) y agitar durante 30 segundos aproximadamente. Enrasar con agua, mezclar y filtrar. Si el filtrado no está perfectamente claro (lo cual es raro), repetir la determinación con una cantidad mayor de soluciones de Carrez I y II, por ejemplo 10 ml.

Medir la rotación óptica de la solución en un tubo de 200 mm con el polarímetro o el sacarímetro.

5.3.   Determinación de la rotación óptica (P' o S') de sustancias solubles en etanol al 40 %

Pesar, con una precisión de 1 mg, 5 g de la muestra, introducirlos en un matraz aforado de 100 ml y añadir unos 80 ml de etanol (3.5) (véase la observación 7.2). Dejar reposar el matraz durante una hora a temperatura ambiente; durante este tiempo, agitar enérgicamente seis veces de manera que la muestra se mezcle completamente con el etanol. Enrasar con etanol (3.5), mezclar y filtrar.

Pipetear 50 ml del filtrado (correspondientes a 2,5 g de la muestra) y transvasarlos a un Erlenmeyer de 250 ml, añadiendo a continuación 2,1 ml de ácido clorhídrico (3.1) y agitando enérgicamente. Ajustar un refrigerante de reflujo al Erlenmeyer y sumergir este último en un baño maría hirviendo. Transcurridos exactamente 15 minutos, retirar el Erlenmeyer del baño, transvasar su contenido a un matraz aforado de 100 ml, enjuagando con un poco de agua fría, y enfriar a 20 oC.

Clarificar con soluciones de Carrez I (3.3) y II (3.4), enrasar con agua, mezclar, filtrar y medir la rotación óptica como se indica en los párrafos segundo y tercero del punto 5.2.

6.   Cálculo de los resultados

El contenido de almidón (%) se calcula como sigue:

6.1.   Medición con polarímetro

image

P

=

rotación óptica total en grados de ángulo

P'

=

rotación óptica en grados de ángulo de las sustancias solubles en etanol al 40 % (V/V)

image

=

rotación óptica específica del almidón puro. Los valores numéricos D aceptados convencionalmente para este factor son los siguientes:



+185,9 o:

almidón de arroz

+185,7 o:

fécula de patata

+184,6 o:

almidón de maíz

+182,7 o:

almidón de trigo

+181,5 o:

almidón de cebada

+181,3 o:

almidón de avena

+184,0 o:

otros tipos de almidón y mezclas de almidón en piensos compuestos

6.2.   Medición con sacarímetro

image

S

=

rotación óptica total, en grados de sacarímetro

S'

=

rotación óptica, en grados de sacarímetro, de las sustancias solubles en etanol al 40 % (v/v)

N

=

peso (g) de la sacarosa en 100 ml de agua que da una rotación óptica de 100 grados de sacarímetro cuando se mide con un tubo de 200 mm

16,29 g para sacarímetros franceses

26,00 g para sacarímetros alemanes

20,00 g para sacarímetros mixtos

image

=

rotación óptica específica del almidón puro (véase el punto 6.1)

6.3.   Repetibilidad

La diferencia entre los resultados de dos determinaciones paralelas efectuadas con la misma muestra no debe exceder de 0,4 en valor absoluto, en el caso de un contenido de almidón inferior al 40 %, ni del 1 % en el caso de contenidos de almidón iguales o superiores al 40 %.

7.   Observaciones

7.1. Si la muestra contiene más de un 6 % de carbonatos, calculados en carbonato de calcio, deben destruirse mediante un tratamiento con la cantidad exacta apropiada de ácido sulfúrico diluido antes de proceder a la determinación de la rotación óptica total.

7.2. En el caso de productos con un elevado contenido de lactosa, como el suero de leche en polvo o la leche desnatada en polvo, proceder como sigue tras añadir 80 ml de etanol (3.5). Ajustar un refrigerante de reflujo al Erlenmeyer y sumergir este último en un baño maría a 50 oC durante 30 minutos. Dejar enfriar y seguir con el análisis como se indica en el punto 5.3.

7.3. Cuando están presentes en cantidades importantes en los piensos, los siguientes materiales producen interferencias en la determinación del contenido de almidón por el método polarimétrico, lo que podría dar lugar a resultados incorrectos:

 productos de la remolacha (azucarera), como la pulpa de remolacha (azucarera), las melazas de remolacha (azucarera), la pulpa de remolacha (azucarera) melazada, la vinaza de remolacha (azucarera) o el azúcar (de remolacha),

 pulpa de cítricos,

 linaza; torta de linaza obtenida por presión; torta de linaza obtenida por extracción,

 semillas de colza; torta de semillas de colza obtenida por presión; torta de semillas de colza obtenida por extracción; cáscaras de semillas de colza,

 semillas de girasol; torta de semillas de girasol obtenida por extracción; torta de semillas de girasol parcialmente peladas obtenida por extracción,

 torta de copra obtenida por presión; torta de copra obtenida por extracción,

 pulpa de patata,

 levadura deshidratada,

 productos ricos en inulina (por ejemplo, rodajas y sémola de patacas),

 chicharrones.

M.   DETERMINACIÓN DE LA CENIZA BRUTA

1.   Objeto y ámbito de aplicación

Este método permite determinar el contenido de ceniza bruta de los piensos.

2.   Principio

La muestra se incinera a 550 oC; el residuo se pesa.

3.   Reactivos

Nitrato de amonio, solución al 20 % (p/v).

4.   Instrumental

4.1. Placa calefactora.

4.2. Horno eléctrico de mufla con termostato.

4.3. Crisoles de incineración de sílice, porcelana o platino, bien rectangulares (60 x 40 x 25 mm, aproximadamente), bien redondos (60 mm a 75 mm de diámetro y 20 mm a 40 mm de altura).

5.   Procedimiento

Pesar, con una precisión de 1 mg, 5 g aproximadamente de la muestra (2,5 g en el caso de productos con tendencia a hincharse) e introducirlos en un crisol de incineración previamente calentado a 550 oC, enfriado y tarado. Colocar el crisol sobre la placa calefactora y calentar gradualmente hasta que se carbonice la sustancia. Incinerar conforme al punto 5.1 o 5.2.

5.1. Introducir el crisol en el horno de mufla calibrado, regulado a 550 oC. Mantener a esta temperatura hasta obtener una ceniza blanca, gris claro o rojiza aparentemente exenta de partículas carbonosas. Colocar el crisol en un desecador, dejar enfriar y pesar inmediatamente.

5.2. Introducir el crisol en el horno de mufla calibrado, regulado a 550 oC. Incinerar durante tres horas. Colocar el crisol en un desecador, dejar enfriar y pesar inmediatamente. Volver a incinerar durante 30 minutos para que el peso de la ceniza se mantenga constante (la pérdida de peso entre dos pesadas sucesivas debe ser inferior o igual a 1 mg).

6.   Cálculo de los resultados

Calcular el peso del residuo deduciendo la tara.

Expresar el resultado en porcentaje de la muestra.

7.   Observaciones

7.1. La ceniza de sustancias difíciles de incinerar debe someterse a una primera incineración de, como mínimo, tres horas y después enfriarse, para a continuación añadirle unas pocas gotas de una solución de nitrato de amonio al 20 % o agua (con cuidado de que no se disperse la ceniza ni se formen grumos). Continuar la calcinación después de desecar en la estufa. Repetir la operación las veces necesarias hasta que la incineración sea completa.

7.2. En el caso de sustancias resistentes al tratamiento descrito en el punto 7.1, proceder como sigue: tras incinerar durante tres horas, poner la ceniza en agua caliente y filtrar por un filtro pequeño sin cenizas. Incinerar el filtro y su contenido en el crisol inicial. Colocar el filtrado en el crisol enfriado, evaporar hasta que esté seco, incinerar y pesar.

7.3. En el caso de aceites y grasas, pesar con exactitud una muestra de 25 g en un crisol de tamaño adecuado. Carbonizar inflamando la sustancia con una tira de papel de filtro sin cenizas. Tras la combustión, humedecer con el mínimo estrictamente necesario de agua. Secar e incinerar como se describe en el punto 5.

N.   DETERMINACIÓN DE LA CENIZA INSOLUBLE EN ÁCIDO CLORHÍDRICO

1.   Objeto y ámbito de aplicación

Este método permite determinar el nivel de sustancias minerales de los piensos que son insolubles en ácido clorhídrico. Pueden seguirse dos métodos, en función de la naturaleza de la muestra.

1.1.  Método A: aplicable a los materiales para piensos orgánicos y a la mayor parte de los piensos compuestos.

1.2.  Método B: aplicable a los compuestos y mezclas minerales y a los piensos compuestos cuyo contenido de sustancias insolubles en ácido clorhídrico, determinado por el método A, sea superior al 1 %.

2.   Principio

2.1.  Método A: la muestra se incinera, la ceniza se hierve en ácido clorhídrico y el residuo insoluble se filtra y se pesa.

2.2.  Método B: la mezcla se trata con ácido clorhídrico. La solución se filtra, el residuo se incinera y la ceniza así obtenida se trata conforme al método A.

3.   Reactivos

3.1. Acido clorhídrico de 3 mol/l.

3.2. Ácido tricloroacético, solución al 20 % (p/v).

3.3. Ácido tricloroacético, solución al 1 % (p/v).

4.   Instrumental

4.1. Placa calefactora.

4.2. Horno eléctrico de mufla con termostato.

4.3. Crisoles de incineración de sílice, porcelana o platino, bien rectangulares (60 x 40 x 25 mm, aproximadamente), bien redondos (60 mm a 75 mm de diámetro y 20 mm a 40 mm de altura).

5.   Procedimiento

5.1.   Método A:

Incinerar la muestra según el método descrito para la determinación de la ceniza bruta. También puede emplearse la ceniza obtenida en ese análisis.

Introducir la ceniza en un vaso de precipitado de 250 ml a 400 ml, empleando 75 ml de ácido clorhídrico (3.1). Llevar lentamente a ebullición y hervir suavemente durante 15 minutos. Filtrar la solución caliente por un papel de filtro sin cenizas y lavar el residuo con agua caliente hasta que deje de ser visible la reacción ácida. Secar el filtro que contiene el residuo e incinerarlo en un crisol tarado a una temperatura no inferior a 550 oC ni superior a 700 oC. Enfriar en un desecador y pesar.

5.2.   Método B

Pesar, con una precisión de 1 mg , 5 g de la muestra e introducirlos en un vaso de precipitado de 250 ml a 400 ml. Añadir sucesivamente 25 ml de agua y 25 ml de ácido clorhídrico (3.1), mezclar y esperar a que cese la efervescencia. Añadir otros 50 ml de ácido clorhídrico (3.1). Esperar a que cese cualquier posible desprendimiento de gas, colocar a continuación el vaso de precipitado en un baño maría hirviendo y mantenerlo allí durante 30 minutos o más, si fuera necesario, con el fin de hidrolizar completamente el almidón que pueda estar presente. Filtrar en caliente por un filtro sin cenizas y lavar el filtro en 50 ml de agua caliente (véase la observación del punto 7). Colocar el filtro que contiene el residuo en un crisol de incineración, secar e incinerar a una temperatura no inferior a 550 oC ni superior a 700 oC. Introducir la ceniza en un vaso de precipitado de 250 ml a 400 ml, empleando 75 ml de ácido clorhídrico (3.1); continuar como se describe en el punto 5.1, párrafo segundo.

6.   Cálculo de los resultados

Calcular el peso del residuo deduciendo la tara. Expresar el resultado en porcentaje de la muestra.

7.   Observación

Si la filtración resultara difícil, recomenzar el análisis sustituyendo los 50 ml de ácido clorhídrico (3.1) por 50 ml de ácido tricloracético al 20 % (3.2) y lavando el filtro en una solución caliente de ácido tricloracético al 1 % (3.3).

O.   DETERMINACIÓN DE LOS CARBONATOS

1.   Objeto y ámbito de aplicación

Este método permite determinar la cantidad de carbonatos, convencionalmente expresados en carbonato de calcio, en la mayoría de los piensos.

Sin embargo, en determinados casos (carbonato de hierro, por ejemplo), es necesario emplear un método especial.

2.   Principio

Los carbonatos se descomponen en ácido clorhídrico; el dióxido de carbono desprendido se recoge en un tubo graduado y su volumen se compara con el desprendido, en las mismas condiciones, por una cantidad conocida de carbonato de calcio.

3.   Reactivos

3.1. Ácido clorhídrico de 1,10 g/ml de densidad.

3.2. Carbonato de calcio.

3.3. Ácido sulfúrico, de aproximadamente 0,05 mol/l, coloreado con rojo de metilo.

4.   Instrumental

Aparato de Scheibler-Dietrich (véase el diagrama) o equivalente.

5.   Procedimiento

Según el contenido de carbonatos de la muestra, pesar una porción de muestra según se indica a continuación:

 0,5 g en el caso de productos que contengan del 50 % al 100 % de carbonatos, expresados en carbonato de calcio,

 1 g en el caso de productos que contengan del 40 % al 50 % de carbonatos, expresados en carbonato de calcio,

 2 g a 3 g en los demás casos.

Introducir la porción de muestra en el matraz especial (4) del aparato, provisto de un pequeño tubo de material irrompible con 10 ml de ácido clorhídrico (3.1), y conectar el matraz al aparato. Girar el grifo de tres vías (5) de forma que el tubo (1) se conecte con el exterior. Con ayuda del tubo móvil (2), que está lleno de ácido sulfúrico coloreado (3.3) y conectado al tubo graduado (1), llevar el nivel del líquido a la marca cero. Girar el grifo (5) para conectar los tubos (1) y (2) y comprobar que el nivel está en cero.

Dejar correr lentamente el ácido clorhídrico (3.1) sobre la porción de muestra, inclinando el matraz (4). Igualar la presión bajando el tubo (2). Agitar el matraz (4) hasta que deje de desprenderse dióxido de carbono por completo.

Restablecer la presión llevando el líquido al mismo nivel en los tubos (1) y (2). Hacer la lectura cuando hayan transcurrido unos pocos minutos y el volumen de gas se haya hecho constante.

Efectuar un ensayo de control en las mismas condiciones con 0,5 g de carbonato de calcio (3.2).

6.   Cálculo de los resultados

El contenido de carbonatos, expresados en carbonato de calcio, se calcula con la siguiente fórmula:

image

donde:

X

=

porcentaje (p/p) de carbonatos de la muestra, expresados en carbonato de calcio;

V

=

mililitros de CO2 desprendidos por la porción de muestra;

V1

=

mililitros de CO2 desprendidos por 0,5 g de CaCO3;

m

=

peso en gramos de la porción de muestra.

7.   Observaciones

7.1. Cuando la porción de muestra pese más de 2 g, introducir previamente en el matraz (4) 15 ml de agua destilada y mezclar antes de comenzar el ensayo. Emplear el mismo volumen de agua para el ensayo de control.

7.2. Si el aparato utilizado tiene un volumen diferente al del aparato de Scheibler-Dietrich, deben adaptarse en consecuencia tanto las porciones de muestra y de sustancia de control como el cálculo de los resultados.

image

P.   DETERMINACIÓN DEL FÓSFORO TOTAL

MÉTODO FOTOMÉTRICO

1.   Objeto y ámbito de aplicación

Este método permite determinar el contenido de fósforo total de los piensos. Está indicado, en particular, para el análisis de los productos pobres en fósforo. En determinados casos (productos ricos en fósforo), puede aplicarse un método gravimétrico.

2.   Principio

La muestra se mineraliza, bien por combustión seca (en el caso de piensos orgánicos), bien por digestión ácida (en el caso de compuestos minerales y piensos líquidos), y se pone en una solución ácida. La solución se trata con el reactivo de molibdovanadato. La densidad óptica de la solución amarilla así formada se mide en el espectrofotómetro a 430 nm.

3.   Reactivos

3.1. Carbonato de calcio.

3.2. Ácido clorhídrico, ρ20 = 1,10 g/ml (aproximadamente 6 mol/l).

3.3. Ácido nítrico, ρ20 = 1,045 g/ml.

3.4. Ácido nítrico, ρ20 = 1,38 a 1,42 g/ml.

3.5. Ácido sulfúrico, ρ20 = 1,84 g/ml.

3.6. Reactivo de molibdovanadato: mezclar 200 ml de solución de heptamolibdato de amonio (3.6.1), 200 ml de solución de monovanadato de amonio (3.6.2) y 134 ml de ácido nítrico (3.4) en un matraz aforado de 1 l. Enrasar con agua.

3.6.1. Solución de heptamolibdato de amonio: disolver en agua caliente 100 g de heptamolibdato de amonio, (NH4) 6Mo7O24 · 4H2O. Añadir 10 ml de amoniaco (densidad 0,91 g/ml) y enrasar a 1 l con agua.

3.6.2. Solución de monovanadato de amonio: disolver 2,35 g de monovanadato de amonio, NH4VO3, en 400 ml de agua caliente. Añadir lentamente y sin parar de remover 20 ml de ácido nítrico diluido (7 ml de HNO3 (3.4) + 13 ml de H2O) y enrasar a 1 l con agua.

3.7. Solución patrón de 1 mg de fósforo por mililitro: disolver en agua 4,387 g de dihidrogenofosfato de potasio, KH2PO4. Enrasar a 1 l con agua.

4.   Instrumental

4.1. Crisoles de incineración de sílice, porcelana o platino.

4.2. Horno eléctrico de mufla con termostato, regulado a 550 oC.

4.3. Matraz Kjeldahl de 250 ml.

4.4. Matraces aforados y pipetas de precisión.

4.5. Espectrofotómetro.

4.6. Tubos de ensayo de 16 mm de diámetro aproximadamente, con tapones rebajados a un diámetro de 14,5 mm y con una capacidad de 25 ml a 30 ml.

5.   Procedimiento

5.1.   Preparación de la solución

Según la naturaleza de la muestra, preparar una solución como se indica en el punto 5.1.1 o 5.1.2.

5.1.1.    Procedimiento habitual

Pesar, con una precisión de 1 mg, 1 g o más de la muestra. Introducirla en un matraz Kjeldahl, añadir 20 ml de ácido sulfúrico (3.5), agitar para impregnar completamente la sustancia de ácido y evitar que se adhiera a las paredes del matraz, calentar y mantener durante diez minutos en el punto de ebullición. Dejar enfriar ligeramente, añadir 2 ml de ácido nítrico (3.4), calentar suavemente, dejar enfriar ligeramente, añadir un poco más de ácido nítrico (3.4) y llevar de nuevo al punto de ebullición. Repetir este procedimiento hasta obtener una solución incolora. Enfriar, añadir un poco de agua y decantar el líquido en un matraz aforado de 500 ml, enjuagando el matraz Kjeldahl con agua caliente. Dejar enfriar, enrasar con agua, homogeneizar y filtrar.

5.1.2.    Muestras que contengan sustancias orgánicas y estén exentas de dihidrogenofosfatos de calcio y de magnesio

Pesar, con una precisión de 1 mg, 2,5 g aproximadamente de la muestra en un crisol de incineración. Mezclar la muestra de ensayo hasta su completa fusión con 1 g de carbonato de calcio (3.1). Incinerar en el horno a 550 oC hasta obtener una ceniza blanca o gris (no importa que quede algo de carbón). Transferir la ceniza a un vaso de precipitado de 250 ml. Añadir 20 ml de agua y de ácido clorhídrico (3.2) hasta que cese la efervescencia. Añadir otros 10 ml de ácido clorhídrico (3.2). Poner el vaso de precipitado sobre un baño de arena y evaporar hasta sequedad para insolubilizar la sílice. Volver a disolver el residuo en 10 ml de ácido nítrico (3.3) y hervir durante cinco minutos sobre el baño de arena o la placa calefactora, sin evaporación, hasta sequedad. Decantar el líquido en un matraz aforado de 500 ml, enjuagando el vaso de precipitado varias veces con agua caliente. Dejar enfriar, enrasar con agua, homogeneizar y filtrar.

5.2.   Desarrollo de la coloración y medición de la densidad óptica

Diluir una parte alícuota del filtrado obtenido con el procedimiento del punto 5.1.1 o 5.1.2 para obtener una concentración de fósforo no superior a 40 μg/ml. Introducir 10 ml de esta solución en un tubo de ensayo (4.6) y añadir 10 ml del reactivo de molibdovanadato (3.6). Homogeneizar y dejar reposar un mínimo de diez minutos a 20 oC. Medir la densidad óptica en un espectrofotómetro a 430 nm por comparación con una solución obtenida añadiendo 10 ml del reactivo de molibdovanadato (3.6) a 10 ml de agua.

5.3.   Curva de calibración

A partir de la solución patrón (3.7), preparar soluciones que contengan, respectivamente, 5, 10, 20, 30 y 40 μg de fósforo por mililitro. Tomar 10 ml de cada una de estas soluciones y añadirles 10 ml del reactivo de molibdovanadato (3.6). Homogeneizar y dejar reposar un mínimo de diez minutos a 20 oC. Medir la densidad óptica como se indica en el punto 5.2. Trazar la curva de calibración relacionando las densidades ópticas con las correspondientes cantidades de fósforo. La curva será lineal para concentraciones comprendidas entre 0 μg/ml y 40 μg/ml.

6.   Cálculo de los resultados

Determinar la cantidad de fósforo de la muestra de ensayo por medio de la curva de calibración.

Expresar el resultado en porcentaje de la muestra.

Repetibilidad

La diferencia entre los resultados de dos determinaciones paralelas efectuadas con la misma muestra no excederá del:

 3 % del resultado superior, en el caso de contenidos de fósforo inferiores al 5 %,

 0,15 % en valor absoluto, en el caso de contenidos de fósforo iguales o superiores al 5 %.

Q.   DETERMINACIÓN DEL CLORO DE LOS CLORUROS

1.   Objeto y ámbito de aplicación

Este método permite determinar la cantidad de cloro de los cloruros solubles en agua, expresada convencionalmente en cloruro de sodio. Es aplicable a todos los piensos.

2.   Principio

Los cloruros se disuelven en agua. Si el producto contiene materia orgánica, se procede a una clarificación. La solución se acidifica ligeramente con ácido nítrico y los cloruros se precipitan en forma de cloruro de plata por medio de una solución de nitrato de plata. El exceso de nitrato de plata se titula con una solución de tiocianato de amonio por el método de Volhard.

3.   Reactivos

3.1. Solución de tiocianato de amonio de 0,1 mol/l.

3.2. Solución de nitrato de plata de 0,1 mol/l.

3.3. Solución saturada de sulfato férrico de amonio (NH4)Fe(SO4)2.

3.4. Ácido nítrico, de 1,38 g/ml de densidad.

3.5. Éter dietílico.

3.6. Acetona.

3.7. Solución de Carrez I: disolver en agua 21,9 g de acetato de cinc, Zn(CH3COO)2 · 2H2O, y 3 g de ácido acético glacial. Enrasar con agua a 100 ml.

3.8. Solución de Carrez II: disolver en agua 10,6 g de ferrocianuro de potasio, K4Fe(CN)6 · 3H2O. Enrasar con agua a 100 ml.

3.9. Carbón activo, exento de cloruros y que no los absorba.

4.   Instrumental

Mezclador (tambor): de 35 a 40 revoluciones por minuto aproximadamente.

5.   Procedimiento

5.1.   Preparación de la solución

Según la naturaleza de la muestra, preparar una solución como se muestra en el punto 5.1.1, 5.1.2 o 5.1.3.

Al mismo tiempo, efectuar un ensayo en blanco sin la muestra que debe analizarse.

5.1.1.    Muestras exentas de materia orgánica

Pesar, con una precisión de 1 mg, una muestra de no más de 10 g que no contenga más de 3 g de cloro en forma de cloruros. Introducirla con 400 ml de agua en un matraz aforado de 500 ml a unos 20 oC. Mezclar durante 30 minutos en el tambor, enrasar, homogeneizar y filtrar.

5.1.2.    Muestras que contienen materia orgánica, excepto los productos mencionados en el punto 5.1.3

Pesar, con una precisión de 1 mg, 5 g aproximadamente de la muestra e introducirlos con 1 g de carbón activo en un matraz aforado de 500 ml. Añadir 400 ml de agua a unos 20 oC y 5 ml de solución de Carrez I (3.7), remover durante 30 segundos y, a continuación, añadir 5 ml de solución de Carrez II (3.8). Mezclar durante 30 minutos en el tambor, enrasar, homogeneizar y filtrar.

5.1.3.    Piensos cocidos, tortas y harina de lino, productos ricos en harina de lino y otros productos ricos en mucílago o en sustancias coloidales (por ejemplo, almidón dextrinado)

Preparar la solución como se describe en el punto 5.1.2, pero no filtrar. Decantar (si fuera necesario, centrifugar), retirar 100 ml del líquido sobrenadante y transvasar a un matraz aforado de 200 ml. Mezclar con acetona (3.6) y enrasar con este disolvente, homogeneizar y filtrar.

5.2.   Titulación

Transvasar con una pipeta al Erlenmeyer de 25 ml a 100 ml del filtrado (según el contenido supuesto de cloro) obtenido según se describe en el punto 5.1.1, 5.1.2 o 5.1.3. La parte alícuota no debe contener más de 150 mg de cloro (Cl). Diluir, si es necesario, a no menos de 50 ml con agua, añadir 5 ml de ácido nítrico (3.4), 20 ml de solución saturada de sulfato férrico de amonio (3.3) y dos gotas de solución de triocianato de amonio (3.1) transvasadas mediante una bureta llena hasta la marca cero. Transvasar con una bureta la solución de nitrato de plata (3.2) de forma que se obtenga un exceso de 5 ml. Añadir 5 ml de éter dietílico (3.5) y agitar fuertemente para coagular el precipitado. Titular el exceso de nitrato de plata con la solución de tiocianato de amonio (3.1) hasta que la tinción marrón rojiza haya persistido un minuto.

6.   Cálculo de los resultados

El contenido de cloro, expresado en porcentaje de cloruro de sodio, se calcula con la fórmula siguiente:

image

donde:

V1

=

mililitros de solución de nitrato de plata de 0,1 mol/l añadidos;

V2

=

mililitros de solución de tiocianato de amonio de 0,1 mol/l empleados para la titulación;

m

=

peso de la muestra.

Si el ensayo en blanco indica un consumo de solución de nitrato de plata de 0,1 mol/l, deducir este valor del volumen (V1–V2).

7.   Observaciones

7.1. La titulación también puede hacerse por potenciometría.

7.2. En el caso de productos muy ricos en aceites y grasas, proceder primero a un desengrasado con éter dietílico o éter de petróleo.

7.3. En el caso de las harinas de pescado, la titulación puede efectuarse por el método Mohr.




ANEXO IV

MÉTODOS DE ANÁLISIS PARA EL CONTROL DEL NIVEL DE ADITIVOS AUTORIZADOS EN LOS PIENSOS

A.   DETERMINACIÓN DE LA VITAMINA A

1.   Objeto y ámbito de aplicación

Este método permite determinar el nivel de vitamina A (retinol) en piensos y premezclas. La vitamina A incluye el alcohol todo-trans-retinilo y sus isómeros cis, que se determinan con este método. El contenido de vitamina A se expresa en unidades internacionales (UI) por kilogramo. Una UI corresponde a la actividad de 0,300 μg de alcohol todo-trans-retinilo, 0,344 μg de acetato de todo-trans-retinilo o 0,550 μg de palmitato de todo-trans-retinilo.

El límite de cuantificación es de 2 000 UI de vitamina A por kilogramo.

2.   Principio

La muestra se hidroliza con solución etanólica de hidróxido de potasio y la vitamina A se extrae en éter de petróleo. El disolvente se elimina por evaporación y el residuo se disuelve en metanol y, en caso necesario, se diluye hasta conseguir la concentración necesaria. El contenido de vitamina A se determina mediante cromatografía de líquidos de alta resolución (CLAR) de fase reversa con detector de UV o de fluorescencia. Los parámetros cromatográficos se seleccionan de forma que no haya separación entre el alcohol todo-trans-retinilo y sus isómeros cis.

3.   Reactivos

3.1. Etanol, σ = 96 %.

3.2. Éter de petróleo, con un intervalo de ebullición de 40 oC-60 oC.

3.3. Metanol.

3.4. Solución de hidróxido de potasio, c = 50 g/100 ml.

3.5. Solución de ascorbato de sodio, c = 10 g/100 ml (véanse las observaciones del punto 7.7).

3.6. Sulfuro de sodio, Na2S· x H2O (x = 7 — 9).

3.6.1. Solución de sulfuro de sodio, c = 0,5 mol/l en glicerol, ß = 120 g/l (para x = 9) (véanse las observaciones del punto 7.8).

3.7. Solución de fenolftaleína, c = 2 g/100 ml en etanol (3.1).

3.8. 2-Propanol.

3.9. Fase móvil para la CLAR: mezcla de metanol (3,3 ) y agua, por ejemplo 980 + 20 (v+v). La proporción exacta se determinará en función de las características de la columna empleada.

3.10. Nitrógeno, exento de oxígeno.

3.11. Acetato de todo-trans-retinilo, extra puro, de actividad certificada, por ejemplo 2,80 x 106 UI/g.

3.11.1. Solución madre de acetato de todo-trans-retinilo: pesar, con una precisión de 0,1 mg, 50 mg de acetato de vitamina A (3.11) en un matraz aforado de 100 ml. Disolver en 2-propanol (3.8) y enrasar con el mismo disolvente. La concentración nominal de esta solución es de 1 400 UI de vitamina A por mililitro. El contenido exacto ha de determinarse según el punto 5.6.3.1.

3.12. Palmitato de todo-trans-retinilo, extra puro, de actividad certificada, por ejemplo 1,80 x 106 UI/g.

3.12.1. Solución madre de palmitato de todo-trans-retinilo: pesar, con una precisión de 0,1 mg, 80 mg de palmitato de vitamina A (3.12) en un matraz aforado de 100 ml. Disolver en 2-propanol (3.8) y enrasar con el mismo disolvente. La concentración nominal de esta solución es de 1 400 UI de vitamina A por mililitro. El contenido exacto ha de determinarse según el punto 5.6.3.2.

3.13. 2,6-Di-tert-butil-4-metilfenol (BHT) (véanse las observaciones del punto 7.5).

4.   Instrumental

4.1. Evaporador rotativo de vacío.

4.2. Material de vidrio ámbar.

4.2.1. Matraces Erlenmeyer o de fondo plano, de 500 ml, con boca esmerilada.

4.2.2. Matraces aforados con tapón esmerilado, de cuello estrecho, de 10, 25, 100 y 500 ml.

4.2.3. Embudos cónicos de decantación, de 1 000 ml, con tapón esmerilado.

4.2.4. Matraces piriformes, de 250 ml, con boca esmerilada.

4.3. Condensador de Allihn, con camisa de 300 mm de longitud, junta esmerilada y adaptador para tubo de alimentación de gas.

4.4. Papel de filtro de pliegues para separación de fases, de 185 mm de diámetro (por ejemplo, Schleicher & Schuell 597 HY 1/2).

4.5. Equipo de CLAR con sistema de inyección.

4.5.1. Columna cromatográfica de líquidos, de 250 mm x 4 mm, C18, relleno de 5 μm o 10 μm, o equivalente (criterio de funcionamiento: un único pico para todos los isómeros de retinol en las condiciones de CLAR).

4.5.2. Detector de UV o de fluorescencia, con ajuste de longitud de onda variable.

4.6. Espectrofotómetro con cubetas de cuarzo de 10 mm.

4.7. Baño maría con agitador magnético.

4.8. Aparato de extracción (véase la figura 1) con los siguientes elementos:

4.8.1. Probeta de 1 l de capacidad con cuello y tapón esmerilados.

4.8.2. Pieza esmerilada provista de una oliva lateral y de un tubo ajustable que la atraviesa por el centro. El extremo inferior del tubo ajustable deberá tener forma de U, mientras que el superior debe ser una tobera, de forma que pueda transvasarse la fase superior de líquido de la probeta a un embudo de decantación.

5.   Procedimiento

Nota

:

La vitamina A es sensible a la luz (UV) y a la oxidación. Todas las operaciones deberán realizarse en ausencia de luz (utilizando material de vidrio ámbar o protegido con papel de aluminio) y de oxígeno (chorro de nitrógeno). Durante la extracción, el aire que se encuentre por encima del líquido deberá sustituirse por nitrógeno (evitar un exceso de presión aflojando el tapón de vez en cuando).

5.1.   Preparación de la muestra

Triturar la muestra de modo que pase por un tamiz con una luz de malla de 1 mm, cuidando de que no se produzca calor. La trituración debe hacerse inmediatamente antes de la pesada y la saponificación, pues, de lo contrario, puede haber pérdidas de vitamina A.

5.2.   Saponificación

En función del contenido de vitamina A, pesar, con una precisión de 1 mg, entre 2 g y 25 g de la muestra en un matraz Erlenmeyer o de fondo plano de 500 ml (4.2.1). Añadir sucesivamente, agitando en círculos, 130 ml de etanol (3.1), unos 100 mg de BHT (3.13), 2 ml de solución de ascorbato de sodio (3.5) y 2 ml de solución de sulfuro de sodio (3.6). Ajustar un refrigerante (4.3) al matraz y sumergir este en un baño maría con agitador magnético (4.7). Calentar hasta ebullición y dejar refluir durante cinco minutos. Añadir entonces 25 ml de solución de hidróxido de potasio (3.4) a través del refrigerante (4.3) y dejar refluir durante otros 25 minutos, removiendo bajo una corriente lenta de nitrógeno. Enjuagar después el refrigerante con unos 20 ml de agua y enfriar el contenido del matraz hasta la temperatura ambiente.

5.3.   Extracción

Transvasar cuantitativamente por decantación la solución de saponificación a un embudo de decantación de 1 000 ml (4.2.3) o al aparato de extracción (4.8), enjuagando con un volumen total de 250 ml de agua. Enjuagar el matraz de saponificación sucesivamente con 25 ml de etanol (3.1) y 100 ml de éter de petróleo (3.2) y transvasar los líquidos de enjuague al embudo de decantación o al aparato de extracción. La proporción de agua y etanol en las soluciones combinadas debe ser aproximadamente de 2/1. Agitar enérgicamente durante dos minutos y dejar reposar durante otros dos minutos.

5.3.1.    Extracción con embudo de decantación (4.2.3)

Cuando se hayan separado las fases (véase la observación del punto 7.3), transvasar la fase de éter de petróleo a otro embudo de decantación (4.2.3). Repetir esta extracción dos veces con 100 ml de éter de petróleo (3.2) y dos veces con 50 ml de éter de petróleo (3.2).

Lavar dos veces los extractos combinados en el embudo de decantación, agitando suavemente en círculos (para evitar la formación de emulsiones), con sendas porciones de 100 ml de agua y después, agitando repetidas veces, con más porciones de 100 ml de agua hasta que el agua no se coloree al añadir solución de fenolftaleína (3.7) (normalmente es suficiente con lavar cuatro veces). Pasar el extracto lavado a un matraz aforado de 500 ml (4.2.2) a través de un filtro de pliegues seco para separación de fases (4.4), a fin de eliminar el agua que pudiera quedar en suspensión. Enjuagar el embudo de decantación y el filtro con 50 ml de éter de petróleo (3.2), enrasar con éter de petróleo (3.2) y mezclar bien.

5.3.2.    Extracción con aparato de extracción (4.8)

Cuando se hayan separado las fases (véase la observación del punto 7.3), sustituir el tapón de la probeta (4.8.1) por la pieza esmerilada (4.8.2) y colocar el extremo inferior con forma de U del tubo ajustable de manera que quede justo por encima del nivel de la interfase. Aplicando a la oliva la presión de un conducto de nitrógeno, transvasar la fase superior de éter de petróleo a un embudo de decantación de 1 000 ml (4.2.3). Añadir 100 ml de éter de petróleo (3.2) a la probeta, tapar y agitar bien. Dejar que se separen las fases y transvasar la fase superior al embudo de decantación, como antes. Repetir el procedimiento de extracción con otros 100 ml de éter de petróleo (3.2) y otras dos veces con sendas porciones de 50 ml de éter de petróleo (3.2), añadiendo a continuación las fases de éter de petróleo al embudo de decantación.

Lavar los extractos combinados de éter de petróleo como se describe en el punto 5.3.1 y seguir el procedimiento allí descrito.

5.4.   Preparación de la solución de muestra para la CLAR

Pipetear una parte alícuota de la solución de éter de petróleo (de 5.3.1 o 5.3.2) a un matraz piriforme de 250 ml (4.2.4). Evaporar el disolvente casi hasta sequedad en el evaporador rotativo (4.1) a presión reducida y a una temperatura del baño no superior a 40 oC. Restaurar la presión atmosférica introduciendo nitrógeno (3.10) y sacar el matraz del evaporador rotativo. Eliminar el disolvente restante con una corriente de nitrógeno (3.10) y disolver inmediatamente el residuo en un volumen conocido (10-100 ml) de metanol (3.3) (la concentración de vitamina A debe quedar en un intervalo de 5 UI/ml a 30 UI/ml).

5.5.   Determinación mediante CLAR

La vitamina A se separa en una columna de fase reversa de C18 (4.5.1) y su concentración se mide mediante un detector de UV (325 nm) o un detector de fluorescencia (excitación: 325 nm, emisión: 475 nm) (4.5.2).

Inyectar una parte alícuota (por ejemplo, 20 μl) de la solución metanólica obtenida según el punto 5.4 y eluir con la fase móvil (3.9). Calcular la altura (área) media de pico de varias inyecciones de la misma solución de muestra, así como la altura (área) media de pico de varias inyecciones de las soluciones de calibración (5.6.2).

Condiciones de la CLAR

Las siguientes condiciones se ofrecen con carácter orientativo; pueden aplicarse otras si arrojan resultados equivalentes.



Columna cromatográfica de líquidos (4.5.1):

250 mm x 4 mm, C18, relleno de 5 μm o 10 μm, o equivalente

Fase móvil (3.9):

Mezcla de metanol (3.3) y agua, por ejemplo 980 + 20 (v+v)

Caudal:

1-2 ml/min.

Detector (4.5.2):

Detector de UV (325 nm) o detector de fluorescencia

(excitación: 325 nm; emisión: 475 nm)

5.6.   Calibración

5.6.1.    Preparación de las soluciones patrón de trabajo

Pipetear a un matraz Erlenmeyer o de fondo plano de 500 ml (4.2.1) 20 ml de la solución madre de acetato de vitamina A (3.11.1) o 20 ml de la solución madre de palmitato de vitamina A (3.12.1), e hidrolizar según se describe en el punto 5.2, pero sin añadir BHT. Extraer después con éter de petróleo (3.2) según el punto 5.3 y enrasar a 500 ml con éter de petróleo (3.2). Evaporar 100 ml de este extracto casi hasta sequedad en el evaporador rotativo (véase el punto 5.4), eliminar el disolvente restante con una corriente de nitrógeno (3,10 ) y volver a disolver el residuo en 10,0 ml de metanol (3.3). La concentración nominal de esta solución es de 560 UI de vitamina A por mililitro. El contenido exacto debe determinarse según el punto 5.6.3.3. La solución patrón de trabajo debe prepararse poco antes de utilizarse.

Pipetear 2,0 ml de esta solución patrón de trabajo a un matraz aforado de 20 ml, enrasar con metanol (3.3) y mezclar. La concentración nominal de esta solución patrón de trabajo diluida es de 56 UI de vitamina A por mililitro.

5.6.2.    Preparación de las soluciones de calibración y de la curva de calibración

Transvasar 1,0 , 2,0 , 5,0 y 10,0 ml de la solución patrón de trabajo diluida a una serie de matraces aforados de 20 ml, enrasar con metanol (3.3) y mezclar. Las concentraciones nominales de estas soluciones son de 2,8 , 5,6 , 14,0 y 28,0 UI de vitamina A por mililitro.

Inyectar varias veces 20 μl de cada solución de calibración y determinar las alturas (áreas) medias de pico. Utilizar estas últimas para trazar la curva de calibración teniendo en cuenta los resultados del control de UV (5.6.3.3).

5.6.3.    Normalización UV de las soluciones patrón.

5.6.3.1.    Solución madre de acetato de vitamina A.

Pipetear 2,0 ml de la solución madre de acetato de vitamina A (3.11.1) a un matraz aforado de 50 ml (4.2.2) y enrasar con 2-propanol (3.8). La concentración nominal de esta solución es de 56 UI de vitamina A por mililitro. Pipetear 3,0 ml de esta solución diluida de acetato de vitamina A a un matraz aforado de 25 ml y enrasar con 2-propanol (3.8). La concentración nominal de esta solución es de 6,72 UI de vitamina A por mililitro. Medir en el espectrofotómetro (4.6) a 300-400 nm el espectro de UV de esta solución frente al 2-propanol (3.8). El coeficiente máximo de extinción debe ser de 325 nm a 327 nm.

Cálculo del contenido de vitamina A:

UI de vitamina A/ml = E326 × 19,0

(

image

para el acetato de vitamina A = 1 530 a 326 nm en 2-propanol)

5.6.3.2.    Solución madre de palmitato de vitamina A.

Pipetear 2,0 ml de la solución madre de palmitato de vitamina A (3.12.1) a un matraz aforado de 50 ml (4.2.2) y enrasar con 2-propanol (3.8). La concentración nominal de esta solución es de 56 UI de vitamina A por mililitro. Pipetear 3,0 ml de esta solución diluida de palmitato de vitamina A a un matraz aforado de 25 ml y enrasar con 2-propanol (3.8). La concentración nominal de esta solución es de 6,72 UI de vitamina A por mililitro. Medir en el espectrofotómetro (4.6) a 300-400 nm el espectro de UV de esta solución frente al 2-propanol (3.8). El coeficiente máximo de extinción debe ser de 325 nm a 327 nm.

Cálculo del contenido de vitamina A:

UI de vitamina A/ml = E326 × 19,0

(

image

para el palmitato de vitamina A = 957 a 326 nm en 2-propanol)

5.6.3.3.    Solución patrón de trabajo de vitamina A.

Pipetear a un matraz aforado de 50 ml (4.2.2) 3,0 ml de la solución patrón de trabajo de vitamina A sin diluir, preparada de acuerdo con el punto 5.6.1, y enrasar con 2-propanol (3.8). Pipetear 5,0 ml de esta solución a un matraz aforado de 25 ml y enrasar con 2-propanol (3.8). La concentración nominal de esta solución es de 6,72 UI de vitamina A por mililitro. Medir en el espectrofotómetro (4.6) a 300-400 nm el espectro de UV de esta solución frente al 2-propanol (3.8). El coeficiente máximo de extinción debe ser de 325 nm a 327 nm.

Cálculo del contenido de vitamina A:

UI de vitamina A/ml = E326 × 18,3

(

image

para el alcohol de vitamina A = 1 821 a 325 nm en 2-propanol)

6.   Cálculo de los resultados

A partir de la altura (área) media de los picos de vitamina A de la solución de muestra, determinar la concentración de esta última en UI/ml tomando como referencia la curva de calibración (5.6.2).

El contenido p de vitamina A de la muestra en UI/kg viene dado por la siguiente fórmula:

image

[UI/kg]

en la cual:

c

=

concentración de vitamina A de la solución de muestra (5.4), en UI/ml;

V1

=

volumen de la solución de muestra (5.4), en mililitros;

V2

=

volumen de la parte alícuota tomada en el punto 5.4, en mililitros;

m

=

peso de la porción de ensayo, en gramos.

7.   Observaciones

7.1. En caso de muestras con baja concentración de vitamina A puede ser útil combinar los extractos de éter de petróleo de dos cargas de saponificación (cantidad pesada: 25 g) en una única solución de muestra para la determinación por CLAR.

7.2. La muestra tomada para el análisis no contendrá en peso más de 2 g de grasa.

7.3. Si no se produce la separación de las fases, añadir unos 10 ml de etanol (3.1) para romper la emulsión.

7.4. Con aceite de hígado de bacalao y otras grasas puras, el tiempo de saponificación deberá prolongarse hasta durar de 45 a 60 minutos.

7.5. Puede utilizarse hidroquinona en lugar de BHT.

7.6. Con una columna de fase normal se pueden separar los isómeros del retinol. Pero, en ese caso, para hacer los cálculos deben sumarse las alturas (áreas) de todos los picos de los isómeros cis y trans.

7.7. En lugar de la solución de ascorbato de sodio pueden utilizarse unos 150 mg de ácido ascórbico.

7.8. En lugar de la solución de sulfuro de sodio pueden utilizarse unos 50 mg de EDTA.

7.9. Cuando se analice la vitamina A de sustitutivos de la leche, debe prestarse una atención especial a:

 la saponificación (5.2): debido a la cantidad de grasa presente en la muestra, quizá sea necesario incrementar la cantidad de solución de hidróxido de potasio (3.4),

 la extracción (5.3): debido a la presencia de emulsiones, puede ser necesario adaptar la relación agua/etanol de 2/1.

Para comprobar si el método de análisis aplicado arroja resultados fiables para esta matriz concreta (sustitutivo de la leche), deberá efectuarse un ensayo de recuperación con una porción de ensayo adicional. Si el porcentaje de recuperación es inferior al 80 %, el resultado analítico debe corregirse para tener en cuenta la recuperación.

8.   Repetibilidad

La diferencia entre los resultados de dos determinaciones paralelas efectuadas con la misma muestra no debe rebasar el 15 % del resultado superior.

9.   Resultados de un estudio colaborativo ( 11 )



 

Premezcla

Pienso de premezcla

Concentrado de minerales

Pienso proteínico

Lechón

L

13

12

13

12

13

n

48

45

47

46

49

media [UI/kg]

17,02 x 106

1,21 x 106

537 100

151 800

18 070

Sr [UI/kg]

0,51 x 106

0,039 x 106

22 080

12 280

682

r [UI/kg]

1,43 x 106

0,109 x 106

61 824

34 384

1 910

CVr [ %]

3,0

3,5

4,1

8,1

3,8

SR [UI/kg]

1,36 x 106

0,069 x 106

46 300

23 060

3 614

R [UI/kg]

3,81 x 106

0,193 x 106

129 640

64 568

10 119

CVR [ %]

8,0

6,2

8,6

15

20

L

=

número de laboratorios

n

=

número de valores individuales

Sr

=

desviación típica de la repetibilidad

SR

=

desviación típica de la reproducibilidad

r

=

repetibilidad

R

=

reproducibilidad

CVr

=

coeficiente de variación de la repetibilidad

CVR

=

coeficiente de variación de la reproducibilidad.

image

B.   DETERMINACIÓN DE LA VITAMINA E

1.   Objeto y ámbito de aplicación

Este método permite determinar el nivel de vitamina E en piensos y premezclas. El contenido de vitamina E se expresa en miligramos de acetato de DL-α-tocoferol por kilogramo. Un miligramo de acetato de DL-α-tocoferol corresponde a 0,91 mg de DL-α-tocoferol (vitamina E).

El límite de cuantificación es de 2 mg de vitamina E por kilogramo. Este límite de cuantificación solo puede alcanzarse con un detector de fluorescencia. Con un detector de UV, el límite de cuantificación es de 10 mg/kg.

2.   Principio

La muestra se hidroliza con solución etanólica de hidróxido de potasio y la vitamina E se extrae en éter de petróleo. El disolvente se elimina por evaporación y el residuo se disuelve en metanol y, en caso necesario, se diluye hasta conseguir la concentración necesaria. El contenido de vitamina E se determina mediante cromatografía de líquidos de alta resolución (CLAR) de fase reversa con detector de fluorescencia o de UV.

3.   Reactivos

3.1. Etanol, σ = 96 %.

3.2. Éter de petróleo con un intervalo de ebullición de 40 oC-60 oC.

3.3. Metanol.

3.4. Solución de hidróxido de potasio, c = 50 g/100 ml.

3.5. Solución de ascorbato de sodio, c = 10 g/100 ml (véanse las observaciones del punto 7.7).

3.6. Sulfuro de sodio, Na2S· x H2O (x = 7 — 9).

3.6.1. Solución de sulfuro de sodio, c = 0,5 mol/l en glicerol, β = 120 g/l (para x = 9) (véanse las observaciones del punto 7.8).

3.7. Solución de fenolftaleína, c = 2 g/100 ml en etanol (3.1).

3.8. Fase móvil para la CLAR: mezcla de metanol (3.3) y agua, por ejemplo 980 + 20 (v+v). La proporción exacta estará en función de las características de la columna empleada.

3.9. Nitrógeno, exento de oxígeno.

3.10. Acetato de DL-α-tocoferol, extra puro, de actividad certificada.

3.10.1. Solución madre de acetato de DL-α-tocoferol: pesar, con una precisión de 0,1 mg, 100 mg de acetato de DL-α-tocoferol (3.10) en un matraz aforado de 100 ml. Disolver en etanol (3.1) y enrasar con el mismo disolvente. Un mililitro de esta solución contiene 1 mg de acetato de DL-α-tocoferol. (Con respecto al control de UV, véase el punto 5.6.1.3; con respecto a la estabilización, véanse las observaciones del punto 7.4).

3.11. Acetato de DL-α-tocoferol, extra puro, de actividad certificada.

3.11.1. Solución madre de DL-α-tocoferol: pesar, con una precisión de 0,1 mg, 100 mg de DL-α-tocoferol (3.10) en un matraz aforado de 100 ml. Disolver en etanol (3.1) y enrasar con el mismo disolvente. Un mililitro de esta solución contiene 1 mg de DL-α-tocoferol. (Con respecto al control de UV, véase el punto 5.6.2.3; con respecto a la estabilización, véanse las observaciones del punto 7.4).

3.12. 2,6-Di-tert-butil-4-metilfenol (BHT) (véanse las observaciones del punto 7.5).

4.   Instrumental

4.1. Evaporador rotativo de película.

4.2. Material de vidrio ámbar.

4.2.1. Matraces Erlenmeyer o de fondo plano, de 500 ml, con boca esmerilada.

4.2.2. Matraces aforados con tapón esmerilado, de cuello estrecho, de 10, 25, 100 y 500 ml.

4.2.3. Embudos cónicos de decantación, de 1 000 ml, con tapón esmerilado.

4.2.4. Matraces piriformes, de 250 ml, con boca esmerilada.

4.3. Condensador de Allihn, con camisa de 300 mm de longitud, junta esmerilada y adaptador para tubo de alimentación de gas.

4.4. Papel de filtro de pliegues para separación de fases, de 185 mm de diámetro (por ejemplo, Schleicher & Schuell 597 HY 1/2).

4.5. Equipo de CLAR con sistema de inyección.

4.5.1. Columna cromatográfica de líquidos, de 250 mm x 4 mm, C18, relleno de 5 μm o 10 μm, o equivalente.

4.5.2. Detector de fluorescencia o de UV, con ajuste de longitud de onda variable.

4.6. Espectrofotómetro con cubetas de cuarzo de 10 mm.

4.7. Baño maría con agitador magnético.

4.8. Aparato de extracción (véase la figura 1) con los siguientes elementos:

4.8.1. Probeta de 1 l de capacidad con cuello y tapón esmerilados.

4.8.2. Pieza esmerilada provista de una oliva lateral y de un tubo ajustable que la atraviesa por el centro. El extremo inferior del tubo ajustable deberá tener forma de U, mientras que el superior debe ser una tobera, de forma que pueda pasarse la fase superior de líquido de la probeta a un embudo de decantación.

5.   Procedimiento

Nota

:

La vitamina E es sensible a la luz (UV) y a la oxidación. Todas las operaciones deberán realizarse en ausencia de luz (utilizando material de vidrio ámbar o protegido con papel de aluminio) y de oxígeno (chorro de nitrógeno). Durante la extracción, el aire que se encuentre por encima del líquido deberá sustituirse por nitrógeno (evitar un exceso de presión aflojando el tapón de vez en cuando).

5.1.   Preparación de la muestra.

Triturar la muestra de modo que pase por un tamiz con una luz de malla de 1 mm, cuidando de que no se produzca calor. La trituración debe hacerse inmediatamente antes de la pesada y la saponificación, pues, de lo contrario, puede haber pérdidas de vitamina E.

5.2.   Saponificación.

En función del contenido de vitamina E, pesar, con una precisión de 0,01 g, entre 2 g y 25 g de la muestra en un matraz Erlenmeyer o de fondo plano de 500 ml (4.2.1). Añadir sucesivamente, agitando en círculos, 130 ml de etanol (3.1), unos 100 mg de BHT (3.12), 2 ml de solución de ascorbato de sodio (3.5) y 2 ml de solución de sulfuro de sodio (3.6). Ajustar el refrigerante (4.3) al matraz y sumergir este en un baño maría con agitador magnético (4.7). Calentar hasta ebullición y dejar refluir durante cinco minutos. Añadir entonces 25 ml de solución de hidróxido de potasio (3.4) a través del refrigerante (4.3) y dejar refluir durante otros 25 minutos, removiendo bajo una corriente lenta de nitrógeno. Enjuagar después el refrigerante con unos 20 ml de agua y enfriar el contenido del matraz hasta la temperatura ambiente.

5.3.   Extracción.

Pasar cuantitativamente por decantación la solución de saponificación, enjuagando con un volumen total de 250 ml de agua, a un embudo de decantación de 1 000 ml (4.2.3) o al aparato de extracción (4.8). Enjuagar el matraz de saponificación sucesivamente con 25 ml de etanol (3.1) y 100 ml de éter de petróleo (3.2) y transvasar los líquidos de enjuague al embudo de decantación o al aparato de extracción. La proporción de agua y etanol en las soluciones combinadas debe ser aproximadamente de 2/1. Agitar enérgicamente durante dos minutos y dejar reposar durante otros dos minutos.

5.3.1.    Extracción con embudo de decantación (4.2.3).

Cuando se hayan separado las fases (véase la observación del punto 7.3), transvasar la fase de éter de petróleo a otro embudo de decantación (4.2.3). Repetir esta extracción dos veces con 100 ml de éter de petróleo (3.2) y dos veces con 50 ml de éter de petróleo (3.2).

Lavar dos veces los extractos combinados en el embudo de decantación, agitando en círculos suavemente (para evitar la formación de emulsiones), con sendas porciones de 100 ml de agua y después, agitando repetidas veces, con más porciones de 100 ml de agua hasta que el agua no se coloree al añadir solución de fenolftaleína (3.7) (normalmente es suficiente con lavar cuatro veces). Pasar el extracto lavado a un matraz aforado de 500 ml (4.2.2) a través de un filtro de pliegues seco para separación de fases (4.4), a fin de eliminar el agua que pudiera quedar en suspensión. Enjuagar el embudo de decantación y el filtro con 50 ml de éter de petróleo (3.2), enrasar con éter de petróleo (3.2) y mezclar bien.

5.3.2.    Extracción con aparato de extracción (4.8)

Cuando se hayan separado las fases (véase la observación del punto 7.3), sustituir el tapón de la probeta (4.8.1) por la pieza esmerilada (4.8.2) y colocar el extremo inferior con forma de U del tubo ajustable de manera que quede justo por encima del nivel de la interfase. Aplicando a la oliva la presión de un conducto de nitrógeno, transvasar la fase superior de éter de petróleo a un embudo de decantación de 1 000 ml (4.2.3). Añadir 100 ml de éter de petróleo (3.2) a la probeta, tapar y agitar bien. Dejar que se separen las fases y transvasar la fase superior al embudo de decantación, como antes. Repetir el procedimiento de extracción con otros 100 ml de éter de petróleo (3.2) y otras dos veces con sendas porciones de 50 ml de éter de petróleo (3.2), añadiendo a continuación las fases de éter de petróleo al embudo de decantación.

Lavar los extractos combinados de éter de petróleo como se describe en el punto 5.3.1 y seguir el procedimiento allí descrito.

5.4.   Preparación de la solución de muestra para la CLAR

Pipetear una parte alícuota de la solución de éter de petróleo (de 5.3.1 o 5.3.2) a un matraz piriforme de 250 ml (4.2.4). Evaporar el disolvente casi hasta sequedad en el evaporador rotativo (4.1) a presión reducida y a una temperatura del baño no superior a 40 oC. Restaurar la presión atmosférica introduciendo nitrógeno (3.9) y sacar el matraz del evaporador rotativo. Eliminar el disolvente restante con una corriente de nitrógeno (3.9) y disolver inmediatamente el residuo en un volumen conocido (10-100 ml) de metanol (3.3) (la concentración de DL-α-tocoferol debe quedar en un intervalo de 5 μg/ml a 30 μg/ml).

5.5.   Determinación mediante CLAR

La vitamina E se separa en una columna de fase reversa de C18 (4.5.1) y su concentración se mide mediante un detector de fluorescencia (excitación: 295 nm, emisión: 330 nm) o un detector de UV (292 nm) (4.5.2).

Inyectar una parte alícuota (por ejemplo, 20 μl) de la solución metanólica obtenida según el punto 5.4 y eluir con la fase móvil (3.8). Calcular las alturas (áreas) medias de pico de varias inyecciones de la misma solución de muestra, así como las alturas (áreas) medias de pico de varias inyecciones de las soluciones de calibración (5.6.2).

Condiciones de la CLAR

Las siguientes condiciones se ofrecen con carácter orientativo; pueden aplicarse otras si arrojan resultados equivalentes.



Columna cromatográfica de líquidos (4.5.1):

250 mm x 4 mm, C18, relleno de 5 μm o 10 μm, o equivalente

Fase móvil (3.8):

Mezcla de metanol (3.3) y agua, por ejemplo 980 + 20 (v+v)

Caudal:

1-2 ml/min.

Detector (4.5.2):

Detector de fluorescencia

(excitación: 295 nm/emisión: 330 nm) o detector de UV (292 nm)

5.6.   Calibración (acetato de DL-α-tocoferol o DL-α-tocoferol)

5.6.1.    Patrón de acetato de DL-α-tocoferol

5.6.1.1.    Preparación de la solución patrón de trabajo

Pipetear a un matraz Erlenmeyer o de fondo plano de 500 ml (4.2.1) 25 ml de la solución madre de acetato de DL-α-tocoferol (3.10.1) e hidrolizar según se describe en el punto 5.2 Extraer después con éter de petróleo (3.2) según el punto 5.3 y enrasar a 500 ml con éter de petróleo. Evaporar 25 ml de este extracto casi hasta sequedad en el evaporador rotativo (véase el punto 5.4), eliminar el disolvente restante con una corriente de nitrógeno (3.9) y volver a disolver el residuo en 25,0 ml de metanol (3.3). La concentración nominal de esta solución es de 45,5 μg de DL-α-tocoferol por mililitro, equivalente a 50 μg de acetato de DL-α-tocoferol por mililitro. La solución patrón de trabajo debe prepararse poco antes de utilizarse.

5.6.1.2.    Preparación de las soluciones de calibración y de la curva de calibración

Transvasar 1,0 , 2,0 , 4,0 y 10,0 ml de la solución patrón de trabajo a una serie de matraces aforados de 20 ml, enrasar con metanol (3.3) y mezclar. Las concentraciones nominales de estas soluciones son de 2,5 , 5,0 , 10,0 y 25,0 μg/ml de acetato de DL-α-tocoferol, es decir, 2,28 , 4,55 , 9,10 y 22,8 μg/ml de DL-α-tocoferol.

Inyectar varias veces 20 μl de cada solución de calibración y determinar las alturas (áreas) medias de pico. Utilizar las alturas (áreas) medias de pico para trazar una curva de calibración.

5.6.1.3.    Normalización UV de la solución madre de acetato de DL-α-tocoferol (3.10.1)

Diluir 5,0 ml de solución madre de acetato de DL-α-tocoferol (3.10.1) con etanol hasta un volumen de 25 ml y medir en el espectrofotómetro (4.6) a 250-320 nm el espectro de UV de esta solución frente al etanol (3.1).

El máximo de absorción a 284 nm deberá ser de:

image

= 43,6 a 284 nm en etanol

Con esta dilución debe obtenerse un valor de extinción de 0,84 a 0,88 .

5.6.2.    Patrón de DL-α-tocoferol.

5.6.2.1.    Preparación de la solución patrón de trabajo.

Pipetear 2 ml de la solución madre de DL-α-tocoferol (3.11.1) a un matraz aforado de 50 ml, disolver en metanol (3.3) y enrasar con metanol. La concentración nominal de esta solución es de 40 μg de DL-α-tocoferol por mililitro, equivalente a 44,0 μg de acetato de DL-α-tocoferol por mililitro. La solución patrón de trabajo debe prepararse poco antes de utilizarse.

5.6.2.2.    Preparación de las soluciones de calibración y de la curva de calibración.

Transvasar 1,0 , 2,0 , 4,0 y 10,0 ml de la solución patrón de trabajo a una serie de matraces aforados de 20 ml, enrasar con metanol (3.3) y mezclar. Las concentraciones nominales de estas soluciones son de 2,0 , 4,0 , 8,0 y 20,0 μg/ml de DL-α-tocoferol, es decir, 2,20 , 4,40 , 8,79 y 22,0 μg/ml de acetato de DL-α-tocoferol.

Inyectar varias veces 20 μl de cada solución de calibración y determinar las alturas (áreas) medias de pico. Utilizar las alturas (áreas) medias de pico para trazar una curva de calibración.

5.6.2.3.    Normalización UV de la solución madre de DL-α-tocoferol (3.11.1).

Diluir 2,0 ml de solución madre de DL-α-tocoferol (3.11.1) con etanol hasta un volumen de 25 ml y medir en el espectrofotómetro (4.6) a 250-320 nm el espectro de UV de esta solución frente al etanol (3.1). El máximo de absorción a 292 nm deberá ser de:

image

= 75,8 a 292 nm en etanol

Con esta dilución debe obtenerse un valor de extinción de 0,6 .

6.   Cálculo de los resultados

A partir de la altura (área) media de los picos de vitamina E de la solución de muestra, determinar la concentración de esta última en microgramos por mililitro (calculada en acetato de α-tocoferol) tomando como referencia la curva de calibración (5.6.1.2 o 5.6.2.2).

El contenido p de vitamina E de la muestra, en miligramos por kilogramo, viene dado por la siguiente fórmula:

image

[mg/kg]

en la cual:

c

=

concentración de vitamina E (en acetato de α-tocoferol) de la solución de muestra (5.4), en microgramos por mililitro;

V1

=

volumen de la solución de muestra (5.4), en mililitros;

V2

=

volumen de la parte alícuota tomada en el punto 5.4, en mililitros;

m

=

peso de la porción de ensayo, en gramos.

7.   Observaciones

7.1. En caso de muestras con baja concentración de vitamina E puede ser útil combinar los extractos de éter de petróleo de dos cargas de saponificación (cantidad pesada: 25 g) en una única solución de muestra para la determinación por CLAR.

7.2. La muestra tomada para el análisis no contendrá en peso más de 2 g de grasa.

7.3. Si no se produce la separación de las fases, añadir unos 10 ml de etanol (3.1) para romper la emulsión.

7.4. Tras la medición espectrofotométrica de la solución de acetato de DL-α-tocoferol o de la solución de DL-α-tocoferol conforme al punto 5.6.1.3 o 5.6.2.3, respectivamente, añadir unos 10 mg de BHT (3.12) a la solución (3.10.1 o 3.10.2) y guardarla en el frigorífico (período máximo de conservación: cuatro semanas).

7.5. Puede utilizarse hidroquinona en lugar de BHT.

7.6. Con una columna de fase normal se pueden separar el α-tocoferol, el β-tocoferol, el γ-tocoferol y el δ-tocoferol.

7.7. En lugar de la solución de ascorbato de sodio pueden utilizarse unos 150 mg de ácido ascórbico.

7.8. En lugar de la solución de sulfuro de sodio pueden utilizarse unos 50 mg de EDTA.

7.9. El acetato de vitamina E se hidroliza muy deprisa en condiciones alcalinas y, por tanto, es muy sensible a la oxidación, especialmente en presencia de oligoelementos como el hierro o el cobre. La vitamina E puede degradarse si se determina en premezclas a niveles superiores a 5 000 mg/kg. Por consiguiente, se recomienda confirmar los resultados mediante una CLAR que incluya la digestión enzimática de la formulación de vitamina E, sin la fase de saponificación alcalina.

8.   Repetibilidad

La diferencia entre los resultados de dos determinaciones paralelas efectuadas con la misma muestra no debe rebasar el 15 % del resultado superior.

9.   Resultados de un estudio colaborativo ( 12 )



 

Premezcla

Pienso de premezcla

Concentrado de minerales

Pienso proteínico

Lechón

L

12

12

12

12

12

n

48

48

48

48

48

media [mg/kg]

17 380

1 187

926

315

61,3

Sr [mg/kg]

384

45,3

25,2

13,0

2,3

r [mg/kg]

1 075

126,8

70,6

36,4

6,4

CVr [ %]

2,2

3,8

2,7

4,1

3,8

SR mg/kg]

830

65,0

55,5

18,9

7,8

R [mg/kg]

2 324

182,0

155,4

52,9

21,8

CVR [ %]

4,8

5,5

6,0

6,0

12,7

L

=

número de laboratorios

n

=

número de valores individuales

S

=

desviación típica de la repetibilidad

SR

=

desviación típica de la reproducibilidad

r

=

repetibilidad

R

=

reproducibilidad

CVr

=

coeficiente de variación de la repetibilidad

CVR

=

coeficiente de variación de la reproducibilidad.

image

C.   DETERMINACIÓN DE LOS OLIGOELEMENTOS HIERRO, COBRE, MANGANESO Y CINC

1.   Objeto y ámbito de aplicación

Este método permite determinar los oligoelementos hierro, cobre, manganeso y cinc en los piensos. Los límites de cuantificación son:

 hierro (Fe): 20 mg/kg,

 cobre (Cu): 10 mg/kg,

 manganeso (Mn): 20 mg/kg,

 cinc (Zn): 20 mg/kg.

2.   Principio

Tras destruir las posibles materias orgánicas, la muestra se disuelve en ácido clorhídrico. Los oligoelementos hierro, cobre, manganeso y cinc se determinan, tras la dilución apropiada, por espectrometría de absorción atómica.

3.   Reactivos

Observaciones preliminares

Para preparar los reactivos y las soluciones analíticas, utilizar agua exenta de los cationes por determinar, obtenida bien por destilación doble en un frasco de vidrio borosilicato o un alambique de cuarzo, bien por tratamiento doble en resina de intercambio iónico.

Los reactivos deben ser al menos de calidad analítica. La ausencia del elemento por determinar debe comprobarse en un ensayo en blanco. Si es necesario, los reactivos deben someterse a una purificación más profunda.

Las soluciones patrón descritas a continuación pueden sustituirse por soluciones patrón comerciales, siempre que estén garantizadas y se hayan comprobado antes de ser utilizadas.

3.1. Ácido clorhídrico (d: 1,19 g/ml).

3.2. Acido clorhídrico (6 mol/l).

3.3. Acido clorhídrico (0,5 mol/l).

3.4. Ácido fluorhídrico al 38-40 % (v/v), con un contenido de hierro (Fe) inferior a 1 mg/l y un residuo de evaporación inferior a 10 mg (en sulfatos)/l.

3.5. Ácido sulfúrico (d: 1,84 g/ml).

3.6. Peróxido de hidrógeno (aproximadamente 100 volúmenes de oxígeno [30 % en peso]).

3.7. Solución patrón de hierro (1 000 μg Fe/ml), preparada como sigue, o solución comercial equivalente: disolver 1 g de alambre de hierro en 200 ml de ácido clorhídrico de 6 mol/l (3.2), añadir 16 ml de peróxido de hidrógeno (3.6) y enrasar a 1 l con agua.

3.7.1. Solución patrón de hierro de trabajo (100 μg Fe/ml), preparada diluyendo una parte de solución patrón (3.7) con nueve partes de agua.

3.8. Solución patrón de cobre (1 000 μg Cu/ml), preparada como sigue, o solución comercial equivalente:

 disolver 1 g de cobre en polvo en 25 ml de ácido clorhídrico de 6 mol/l (3.2), añadir 5 ml de peróxido de hidrógeno (3.6) y enrasar a 1 l con agua.

3.8.1. Solución patrón de cobre de trabajo (10 μg Cu/ml), preparada diluyendo una parte de solución patrón (3.8) con nueve partes de agua, y diluyendo a continuación una parte de la solución resultante con nueve partes de agua.

3.9. Solución patrón de manganeso (1 000 μg Mn/ml), preparada como sigue, o solución comercial equivalente:

 disolver 1 g de manganeso en polvo en 25 ml de ácido clorhídrico de 6 mol/l (3.2) y enrasar a 1 l con agua.

3.9.1. Solución patrón de manganeso de trabajo (10 μg Mn/ml), preparada diluyendo una parte de solución patrón (3.9) con nueve partes de agua, y diluyendo a continuación una parte de la solución resultante con nueve partes de agua.

3.10. Solución patrón de cinc (1 000 μg Zn/ml), preparada como sigue, o solución comercial equivalente:

 disolver 1 g de cinc en tira o en hoja en 25 ml de ácido clorhídrico de 6 mol/l (3.2) y enrasar a 1 l con agua.

3.10.1. Solución patrón de cinc de trabajo (10 μg Zn/ml), preparada diluyendo una parte de solución patrón (3.10) con nueve partes de agua, y diluyendo a continuación una parte de la solución resultante con nueve partes de agua.

3.11. Solución de cloruro de lantano: disolver 12 g de óxido de lantano en 150 ml de agua, añadir 100 ml de ácido clorhídrico de 6 mol/l (3.2) y enrasar a 1 l con agua.

4.   Instrumental

4.1. Horno de mufla de temperatura regulable y, preferiblemente, con registrador.

4.2. El material de vidrio debe ser de borosilicato resistente, y se recomienda utilizar un instrumental que esté reservado exclusivamente a la determinación de oligoelementos.

4.3. Espectrofotómetro de absorción atómica que responda a las exigencias del método en cuanto a sensibilidad y precisión en el intervalo requerido.

5.   Procedimiento ( 13 )

5.1.   Muestras que contienen materia orgánica

5.1.1.    Incineración y preparación de la solución para análisis ( 14 )

5.1.1.1. Introducir de 5 g a 10 g de la muestra, pesados con una precisión de 0,2 mg, en un crisol de cuarzo o de platino [véase la nota b)], secar en una estufa a 105 oC e introducir el crisol en el horno de mufla (4.1) frío. Cerrar el horno [véase la nota c)] y elevar progresivamente la temperatura hasta alcanzar de 450 oC a 475 oC en 90 minutos aproximadamente. Mantener dicha temperatura durante cuatro a 16 horas (por ejemplo, durante la noche) para eliminar el material carbonoso, abrir a continuación el horno y dejar enfriar [véase la nota d)].

Humedecer las cenizas con agua e introducirlas en un vaso de precipitado de 250 ml. Lavar el crisol con no más de 5 ml de ácido clorhídrico (3.1) y añadir este último lentamente y con precaución al vaso de precipitado (puede producirse una fuerte reacción debido a la formación de CO2). Añadir gota a gota, agitando, ácido clorhídrico (3.1) hasta que cese la efervescencia. Evaporar hasta sequedad, removiendo de vez en cuando con una varilla de vidrio.

A continuación, añadir al residuo 15 ml de ácido clorhídrico de 6 mol/l (3.2), y luego unos 120 ml de agua. Remover con la varilla de vidrio, que deberá dejarse en el vaso de precipitado, y cubrir este con un vidrio de reloj. Llevar suavemente a ebullición y mantener en el punto de ebullición hasta que aparentemente ya no se disuelvan las cenizas. Filtrar en un papel de filtro exento de cenizas y recoger el filtrado en un matraz aforado de 250 ml. Lavar el vaso de precipitado y el filtro con 5 ml de ácido clorhídrico de 6 mol/l (3.2) caliente y dos veces con agua hirviendo. Enrasar el matraz aforado con agua (concentración de HCl: 0,5 mol/l aproximadamente).

5.1.1.2. Si el residuo que queda en el filtro es negro (carbón), volver a introducirlo en el horno y a incinerarlo a una temperatura de 450 oC a 475 oC. Esta incineración, que solo requiere unas horas (de tres a cinco horas, aproximadamente), se termina cuando la ceniza tiene un aspecto blanco o casi blanco. Disolver el residuo con unos 2 ml de ácido clorhídrico (3.1), evaporar hasta sequedad y añadir 5 ml de ácido clorhídrico de 6 mol/l (3.2). Calentar, filtrar la solución en el matraz aforado y enrasar con agua (concentración de HCl: 0,5 mol/l, aproximadamente).

Notas:

a) Al determinar los oligoelementos, es importante estar alerta ante los riesgos de contaminación, en particular por el cinc, el cobre y el hierro. Por consiguiente, el equipo utilizado para preparar las muestras no debe contener estos metales.

Para reducir el riesgo general de contaminación, trabajar en atmósfera sin polvo con un equipo escrupulosamente limpio y material de vidrio cuidadosamente lavado. La determinación del cinc es especialmente sensible a muchos tipos de contaminación, por ejemplo la producida por el material de vidrio, los reactivos, el polvo, etc.

b) El peso de la muestra que va a incinerarse se calcula partiendo del contenido aproximado de oligoelementos del pienso en relación con la sensibilidad del espectrofotómetro utilizado. Para determinados piensos pobres en oligoelementos, quizá sea necesario comenzar con una muestra de 10 g a 20 g y enrasar la solución final tan solo a 100 ml.

c) La incineración debe efectuarse en un horno cerrado sin inyección de aire ni de oxígeno.

d) La temperatura indicada por el pirómetro no debe sobrepasar los 475 oC.

5.1.2.    Determinación espectrofotométrica

5.1.2.1.    Preparación de las soluciones de calibración.

Preparar, para cada elemento por determinar, una gama de soluciones de calibración a partir de las soluciones patrón de trabajo de los puntos 3.7.1, 3.8.1, 3.9.1 y 3.10.1, de forma que cada solución de calibración tenga una concentración de HCl de 0,5 mol/l aproximadamente y (en el caso del hierro, del manganeso y del cinc) una concentración de cloruro de lantano equivalente a 0,1 % La (p/v).

Las concentraciones escogidas de oligoelementos deben encontrarse en el intervalo de sensibilidad del espectrofotómetro utilizado. Los cuadros siguientes muestran, a título de ejemplo, las composiciones de gamas típicas de soluciones de calibración; sin embargo, en función del tipo y la sensibilidad del espectrofotómetro utilizado, puede ser necesario escoger otras concentraciones.



μg Fe/ml

0

0,5

1

2

3

4

5

ml de solución patrón de trabajo (3.7.1) (1 ml = 100 μg Fe)

0

0,5

1

2

3

4

5

ml HCl (3.2)

7

7

7

7

7

7

7

añadir 10 ml de solución de cloruro de lantano (3.11) y enrasar a 100 ml con agua



μg Cu/ml

0

0,1

0,2

0,4

0,6

0,8

1,0

ml de solución patrón de trabajo (3.8.1) (1 ml = 10 μg Cu)

0

1

2

4

6

8

10

ml HCl (3.2)

8

8

8

8

8

8

8



μg Mn/ml

0

0,1

0,2

0,4

0,6

0,8

1,0

ml de solución patrón de trabajo (3.9.1) (1 ml = 10 μg Mn)

0

1

2

4

6

8

10

ml HCl (3.2)

7

7

7

7

7

7

7

añadir 10 ml de solución de cloruro de lantano (3.11) y enrasar a 100 ml con agua



μg Zn/ml

0

0,05

0,1

0,2

0,4

0,6

0,8

ml de solución patrón de trabajo (3.10.1) (1 ml = 10 μg Zn)

0

0,5

1

2

4

6

8

ml HCl (3.2)

7

7

7

7

7

7

7

añadir 10 ml de solución de cloruro de lantano (3.11) y enrasar a 100 ml con agua

5.1.2.2.    Preparación de la solución para el análisis.

Para la determinación del cobre, la solución preparada según el punto 5.1.1 puede, en general, utilizarse directamente. Si es necesario ajustar su concentración a la gama de las soluciones de calibración, puede pipetearse una parte alícuota a un matraz aforado de 100 ml, enrasando a continuación con ácido clorhídrico de 0,5 mol/l (3.3).

Para la determinación del hierro, del manganeso y del cinc, pipetear una parte alícuota de la solución preparada según el punto 5.1.1 a un matraz aforado de 100 ml, añadir 10 ml de solución de cloruro de lantano (3.11) y enrasar con ácido clorhídrico de 0,5 mol/l (3.3) (véase también la observación del punto 8).

5.1.2.3.    Experimento en blanco.

El experimento en blanco debe incluir todas las etapas prescritas del procedimiento, pero omitiendo el material de muestra. La solución de calibración «0» no debe utilizarse como blanco.

5.1.2.4.    Medición de la absorción atómica.

Medir la absorción atómica de las soluciones de calibración y de la solución objeto de análisis utilizando una llama oxidante aire-acetileno con las siguientes longitudes de onda:

Fe: 248,3 nm

Cu: 324,8 nm

Mn: 279,5 nm

Zn: 213,8 nm

Realizar cuatro veces cada medición.

5.2.   Piensos minerales

Si la muestra no contiene materia orgánica, no es necesaria la incineración previa. Proceder como se describe en el punto 5.1.1.1, comenzando a partir del párrafo segundo. Puede omitirse la evaporación con ácido fluorhídrico.

6.   Cálculo de los resultados

Por medio de una curva de calibración, calcular la concentración de oligoelementos de la solución objeto de análisis y expresar el resultado en miligramos de oligoelemento por kilogramo de muestra (ppm).

7.   Repetibilidad

La diferencia entre los resultados de dos determinaciones paralelas efectuadas con la misma muestra por el mismo analista no deberá superar:

 5 mg/kg en valor absoluto, en el caso de que el contenido del oligoelemento en cuestión no supere los 50 mg/kg,

 el 10 % del resultado superior, en el caso de que el contenido del oligoelemento en cuestión sea de 50-100 mg/kg,

 10 mg/kg en valor absoluto, en el caso de que el contenido del oligoelemento en cuestión sea de 100-200 mg/kg,

 el 5 % del resultado superior, en el caso de que el contenido del oligoelemento en cuestión supere los 200 mg/kg.

8.   Observación

La presencia de grandes cantidades de fosfatos puede interferir en la determinación del hierro, del manganeso y del cinc. Tal interferencia debe corregirse añadiendo solución de cloruro de lantano (3.11). Si, de todas formas, la relación de peso Ca + Mg/P de la muestra es > 2, no es necesario añadir solución de cloruro de lantano (3.11) a la solución objeto de análisis ni a las soluciones de calibración.

D.   DETERMINACIÓN DE LA HALOFUGINONA

Bromhidrato de DL-trans-7-bromo-6-cloro-3-[3-(3-hidroxi-2-piperidil)acetonil]-quinazolin-4-(3H)-ona

1.   Objeto y ámbito de aplicación

Este método permite determinar el nivel de halofuginona en los piensos. El límite de cuantificación es de 1 mg/kg.

2.   Principio

Tras tratamiento con agua caliente, la halofuginona se extrae como base libre en acetato de etilo y posteriormente se somete a separación como clorhidrato en una solución ácida acuosa. El extracto se purifica mediante cromatografía de intercambio iónico. El contenido de halofuginona se determina mediante cromatografía de líquidos de alta resolución (CLAR) de fase reversa, empleando un detector de UV.

3.   Reactivos

3.1. Acetonitrilo, equivalente al de calidad CLAR.

3.2. Resina Amberlite XAD-2.

3.3. Acetato de amonio.

3.4. Acetato de etilo.

3.5. Ácido acético glacial.

3.6. Halofuginona patrón (hidrobromuro de DL-trans-7-bromo-6-cloro-3-[3-(3-hidroxi-2-piperidil)acetonil]-quinazolin-4-(3H)-ona, E 764).

3.6.1.  Solución patrón madre de halofuginona de 100 μg/ml.

Pesar, con una precisión de 0,1 mg, 50 mg de halofuginona (3.6) en un matraz aforado de 500 ml, disolver en solución reguladora de acetato de amonio (3.18), enrasar con la solución reguladora y mezclar. Esta solución se mantiene estable durante tres semanas a 5 oC, si se guarda al abrigo de la luz.

3.6.2.  Soluciones de calibración.

Transvasar 1,0 , 2,0 , 3,0 , 4,0 y 6,0 ml de la solución patrón madre (3.6.1) a una serie de matraces aforados de 100 ml. Enrasar con fase móvil (3.21) y mezclar. Estas soluciones tienen concentraciones de halofuginona de 1,0 , 2,0 , 3,0 , 4,0 y 6,0 μg/ml, respectivamente. Deben prepararse poco antes de utilizarse.

3.7. Ácido clorhídrico (ρ20 = 1,16 g/ml aproximadamente).

3.8. Metanol.

3.9. Nitrato de plata.

3.10. Ascorbato de sodio.

3.11. Carbonato de sodio.

3.12. Cloruro de sodio.

3.13. EDTA (ácido etilendiaminotetracético, sal disódica).

3.14. Agua, equivalente a la de calidad CLAR.

3.15. Solución de carbonato de sodio, c = 10 g/100 ml.

3.16. Solución de carbonato de sodio saturada de cloruro de sodio, c = 5 g/100 ml.

Disolver 50 g de carbonato de sodio (3.11) en agua, diluir hasta 1 l y añadir cloruro de sodio (3.12) hasta que la solución esté saturada.

3.17. Ácido clorhídrico de aproximadamente 0,1 mol/l.

Diluir 10 ml de HCl (3.7) con agua, hasta 1 l.

3.18. Solución reguladora de acetato de amonio de aproximadamente 0,25 mol/l.

Disolver 19,3 g de acetato de amonio (3.3) y 30 ml de ácido acético (3.5) en agua (3.14) y diluir hasta 1 l.

3.19. Preparado de resina Amberlite XAD-2.

Lavar una cantidad adecuada de resina Amberlite (3.2) con agua hasta que se hayan eliminado todos los iones de cloruro, lo cual se comprobará mediante una prueba con nitrato de plata (3.20) en la fase acuosa desechada. A continuación, lavar la resina con 50 ml de metanol (3.8), desechar el metanol y guardar la resina bajo metanol nuevo.

3.20. Solución de nitrato de plata de aproximadamente 0,1 mol/l.

Disolver 0,17 g de nitrato de plata (3.9) en 10 ml de agua.

3.21. Fase móvil para la CLAR.

Mezclar 500 ml de acetonitrilo (3.1) con 300 ml de solución reguladora de acetato de amonio (3.18) y 1 200 ml de agua (3.14). Ajustar el pH a 4,3 empleando ácido acético (3.5). Filtrar por un filtro de 0,22 μm (4.8) y desgasificar la solución (por ejemplo, aplicando ultrasonidos durante diez minutos). Esta solución, almacenada al abrigo de la luz y en un recipiente cerrado, es estable durante un mes.

4.   Instrumental

4.1. Baño ultrasónico.

4.2. Evaporador rotativo de película.

4.3. Centrífuga.

4.4. Equipo para CLAR con detector ultravioleta de longitud de onda variable o detector de red de diodos.

4.4.1. Columna cromatográfica de líquidos, de 300 mm x 4 mm, C18, relleno de 10 μm, o equivalente.

4.5. Columna de vidrio (300 mm x 10 mm) provista de filtro de vidrio sinterizado y llave de cierre.

4.6. Filtros de fibra de vidrio de un diámetro de 150 mm.

4.7. Filtros de membrana de 0,45 μm.

4.8. Filtros de membrana de 0,22 μm.

5.   Procedimiento

Nota

:

La halofuginona como base libre es inestable en soluciones alcalinas y de acetato de etilo. No deberá permanecer en acetato de etilo durante más de 30 minutos.

5.1.   Generalidades

5.1.1. Deberá analizarse un pienso en blanco para comprobar la ausencia de halofuginona y de sustancias interferentes.

5.1.2. Asimismo, deberá realizarse un ensayo de recuperación analizando el pienso en blanco, que se habrá enriquecido añadiendo una cantidad de halofuginona similar a la presente en la muestra. Para enriquecer a un nivel de 3 mg/kg, añadir 300 μl de la solución patrón madre (3.6.1) a 10 g del pienso en blanco, mezclar y esperar diez minutos antes de proceder a la extracción (5.2).

Nota

:

A los efectos de este método, el pienso en blanco deberá ser de tipo similar al de la muestra y en su análisis no deberá detectarse halofuginona.

5.2.   Extracción

Pesar, con una precisión de 0,1 g, 10 g de la muestra preparada en un tubo de centrífuga de 200 ml, añadir 0,5 g de ascorbato de sodio (3.10), 0,5 g de EDTA (3.13) y 20 ml de agua, y mezclar. Poner el tubo en un baño maría a (80 oC) durante cinco minutos. Tras enfriar a temperatura ambiente, añadir 20 ml de solución de carbonato de sodio (3.15) y mezclar. Añadir inmediatamente 100 ml de acetato de etilo (3.4) y agitar enérgicamente a mano durante 15 segundos. Colocar después el tubo en el baño ultrasónico (4.1) durante tres minutos y aflojar el tapón. Centrifugar durante dos minutos y decantar la fase de acetato de etilo en un embudo de decantación de 500 ml a través de un filtro de fibra de vidrio (4.6). Repetir la extracción de la muestra con una segunda porción de 100 ml de acetato de etilo. Lavar los extractos combinados durante un minuto con 50 ml de solución de carbonato de sodio saturada de cloruro de sodio (3.16) y desechar la fase acuosa.

Extraer la fase orgánica durante un minuto con 50 ml de ácido clorhídrico (3.17). Pasar la fase ácida inferior a un embudo de decantación de 250 ml. Extraer de nuevo la fase orgánica durante minuto y medio con otros 50 ml de ácido clorhídrico y combinar con el primer extracto. Lavar los extractos ácidos combinados agitando en círculos durante aproximadamente diez segundos con 10 ml de acetato de etilo (3.4).

Transvasar cuantitativamente la fase acuosa a un matraz de fondo redondo de 250 ml y desechar la fase orgánica. Evaporar todo el acetato de etilo que quede en la solución ácida empleando un evaporador rotativo de película (4.2). La temperatura del baño maría no debe superar los 40 oC. A un vacío de aproximadamente 25 mbar, todo el acetato de etilo residual se eliminará en cinco minutos a 38 oC.

5.3.   Limpieza (cleanup)

5.3.1.    Preparación de la columna de Amberlite

Preparar una columna de XAD-2 para cada extracto de muestra. Pasar 10 g de resina Amberlite preparada (3.19) a una columna de vidrio (4.5) con metanol (3.8). Poner un trozo pequeño de lana de vidrio encima del lecho de resina. Dejar salir el metanol de la columna y lavar la resina con 100 ml de agua, cortando el flujo cuando el líquido alcance la parte superior del lecho de resina. Antes de utilizarla, dejar que la columna se equilibre durante diez minutos. No dejar nunca que se seque.

5.3.2.    Limpieza de la muestra

Transferir el extracto (5.2) cuantitativamente a la parte superior de la columna de resina Amberlite preparada (5.31) y eluir, desechando el eluido. La velocidad de elución no debe exceder de 20 ml/min. Enjuagar el matraz de fondo redondo con 20 ml de ácido clorhídrico (3.17) y emplear este líquido para lavar la columna de resina. Eliminar todo resto de solución ácida con un chorro de aire. Desechar los líquidos de lavado. Añadir 100 ml de metanol (3.8) a la columna y dejar eluir de 5 ml a 10 ml, recogiendo el eluido en un matraz de fondo redondo de 250 ml. Dejar que el metanol restante se equilibre durante diez minutos con la resina y continuar con la elución a una velocidad que no supere los 20 ml/min., recogiendo el eluido en el mismo matraz de fondo redondo. Evaporar el metanol en el evaporador rotativo de película (4.2) sin que la temperatura del baño maría sobrepase los 40 oC. Transferir cuantitativamente el residuo a un matraz aforado de 10 ml empleando la fase móvil (3.21). Enrasar con fase móvil y mezclar. Filtrar una parte alícuota por un filtro de membrana (4.7). Reservar esta solución para la determinación mediante CLAR (5.4).

5.4.   Determinación mediante CLAR

5.4.1.    Parámetros.

Las siguientes condiciones se ofrecen con carácter orientativo; pueden aplicarse otras si arrojan resultados equivalentes.

Columna cromatográfica de líquidos (4.4.1).

Fase móvil para la CLAR (3.21).

Caudal: 1,5 -2 ml/min.

Longitud de onda de detección: 243 nm.

Volumen de inyección: 40-100 μl.

Comprobar la estabilidad del sistema cromatográfico inyectando varias veces la solución de calibración (3.6.2) de 3,0 μg/ml, hasta que se alcancen alturas (o áreas) de pico y tiempos de retención constantes.

5.4.2.    Curva de calibración.

Inyectar varias veces cada solución de calibración (3.6.2) y medir las alturas (áreas) de pico de cada concentración. Trazar una curva de calibración empleando las alturas o áreas de pico medias de las soluciones de calibración como ordenadas y las concentraciones correspondientes, en microgramos por mililitro, como abscisas.

5.4.3.    Solución de muestra.

Inyectar varias veces el extracto de muestra (5.3.2) empleando el mismo volumen que para las soluciones de calibración, y determinar la altura (área) media de los picos de halofuginona.

6.   Cálculo de los resultados

Determinar la concentración de la solución de muestra, en microgramos por mililitro, a partir de la altura (área) media de sus picos de halofuginona, tomando como referencia la curva de calibración (5.4.2).

El contenido de halofuginona p (mg/kg) de la muestra viene dado por la siguiente fórmula:

image

en la cual:

c

=

concentración de halofuginona de la solución de muestra, en microgramos por mililitro;

m

=

peso de la porción de ensayo, en gramos.

7.   Validación de los resultados

7.1.   Identidad

La identidad del analito puede confirmarse mediante cocromatografía, o utilizando un detector de red de diodos con el cual se comparan los espectros del extracto de muestra y de la solución de calibración (3.6.2) de 6,0 μg/ml.

7.1.1.    Cocromatografía.

Enriquecer un extracto de muestra añadiéndole una cantidad apropiada de solución de calibración (3.6.2). La cantidad de halofuginona añadida debe ser similar a la cantidad estimada de halofuginona hallada en el extracto de muestra.

Solo la altura del pico de halofuginona deberá aumentar en función de la cantidad añadida y de la dilución del extracto. La anchura del pico, a la mitad de su altura máxima, debe ser igual ± 10 % a la anchura original.

7.1.2.    Detección por red de diodos.

Los resultados se evalúan con arreglo a los siguientes criterios:

a) la longitud de onda de absorción máxima de los espectros de la muestra y del patrón, registrados en el vértice del pico del cromatograma, debe ser la misma dentro de un margen determinado por el poder de resolución del sistema de detección; en el caso de la detección por red de diodos, el margen típico se sitúa en ± 2 nm;

b) entre 225 nm y 300 nm, los espectros de la muestra y del patrón registrados en el vértice del pico del cromatograma no deben ser diferentes por lo que respecta a aquellas partes del espectro que se encuentran en un intervalo del 10 % al 100 % de la absorbancia relativa; se cumple este criterio cuando están presentes los mismos máximos y en ningún punto observado la desviación entre los dos espectros excede del 15 % de la absorbancia del analito patrón;

c) entre 225 nm y 300 nm, los espectros de la pendiente ascendente, del vértice y de la pendiente descendente del pico producido por el extracto de muestra no deben diferir entre sí por lo que respecta a las partes del espectro que se encuentran en un intervalo del 10 % al 100 % de la absorbancia relativa; se cumple este criterio cuando están presentes los mismos máximos y en ningún punto observado la desviación entre los espectros excede del 15 % de la absorbancia del espectro del vértice.

Si no se cumple alguno de estos criterios, la presencia del analito no queda confirmada.

7.2.   Repetibilidad

La diferencia entre los resultados de dos determinaciones paralelas llevadas a cabo con la misma muestra no debe superar los 0,5 mg/kg, en relación con contenidos de halofuginona de hasta 3 mg/kg.

7.3.   Recuperación

La recuperación de la muestra en blanco enriquecida deberá ser al menos del 80 %.

8.   Resultados de un estudio colaborativo

Se organizó un estudio colaborativo ( 15 ) en el que ocho laboratorios analizaron tres muestras.



Resultados

 

Muestra A

(blanco)

A la recepción

Muestra B (sémola)

Muestra C (gránulos)

 

 

A la recepción

Tras dos meses

A la recepción

Tras dos meses

Media [mg/kg]

ND

2,80

2,42

2,89

2,45

SR [mg/kg]

0,45

0,43

0,40

0,42

CVR [ %]

16

18

14

17

Rec. [ %]

 

86

74

88

75

ND

=

no detectada

SR

=

desviación típica de la reproducibilidad

CVR

=

coeficiente de variación de la reproducibilidad (%)

Rec.

=

recuperación (%)

E.   DETERMINACIÓN DE LA ROBENIDINA

Clorhidrato de 1,3-bis [(4-clorobencilideno)amino]guanidina

1.   Objeto y ámbito de aplicación

Este método permite determinar el nivel de robenidina en los piensos. El límite de cuantificación es de 5 mg/kg.

2.   Principio

La muestra se extrae con metanol acidificado. El extracto se deseca y una parte alícuota se limpia en una columna de óxido de aluminio. La robenidina se eluye de la columna con metanol, se concentra y se enrasa a un volumen adecuado con fase móvil. El contenido de robenidina se determina mediante cromatografía de líquidos de alta resolución (CLAR) de fase reversa, empleando un detector de UV.

3.   Reactivos

3.1. Metanol

3.2. Metanol acidificado

Transvasar 4,0 ml de ácido clorhídrico (ρ20 = 1,18 g/ml) a un matraz aforado de 500 ml, enrasar con metanol (3.1) y mezclar. Esta solución deberá prepararse poco antes de utilizarse.

3.3. Acetonitrilo, equivalente al de calidad CLAR

3.4. Tamiz molecular

Tipo 3A, perlas de 8-12 mallas (perlas de 1,6 - 2,5 mm, aluminosilicato cristalino, poros de 0,3 mm de diámetro).

3.5. Óxido de aluminio de actividad ácida de grado I para cromatografía de columna

Transferir 100 g de óxido de aluminio a un recipiente apropiado y añadir 2,0 ml de agua. Tapar y agitar durante 20 minutos aproximadamente. Almacenar en un recipiente bien cerrado.

3.6. Solución de dihidrogenofosfato de potasio, c = 0,025 mol/l

Disolver 3,40 g de dihidrogenofosfato de potasio en agua (de calidad CLAR) en un matraz aforado de 1 000 ml, enrasar y mezclar.

3.7. Solución de hidrogenofosfato de disodio, c = 0,025 mol/l

Disolver 3,55 g de hidrogenofosfato de disodio anhidro (o 4,45 g de dihidrato u 8,95 g de dodecahidrato) en agua (equivalente a la de calidad CLAR) en un matraz aforado de 1 l, enrasar y mezclar.

3.8. Fase móvil para la CLAR

Mezclar los reactivos siguientes:

650 ml de acetonitrilo (3.3),

250 ml de agua (equivalente a la de calidad CLAR),

50 ml de solución de dihidrogenofosfato de potasio (3.6),

50 ml de solución de hidrogenofosfato de disodio (3.7).

Filtrar por un filtro de 0,22 μm (4.6) y desgasificar la solución (por ejemplo, aplicando ultrasonidos durante diez minutos).

3.9. Sustancia patrón

Robenidina pura: clorhidrato de 1,3 -bis [(4-clorobencilideno)amino]guanidina

3.9.1.  Solución patrón madre de robenidina de 300 μg/ml

Pesar, con una precisión de 0,1 mg, 30 mg de sustancia patrón de robenidina (3.9). Disolver en metanol acidificado (3.2) en un matraz aforado de 100 ml, enrasar con el mismo disolvente y mezclar. Envolver el matraz con papel de aluminio y guardar al abrigo de la luz.

3.9.2.  Solución patrón intermedia de robenidina de 12 μg/ml

Transvasar 10,0 ml de la solución patrón madre (3.9.1) a un matraz aforado de 250 ml, enrasar con la fase móvil (3.8) y mezclar. Envolver el matraz con papel de aluminio y guardar al abrigo de la luz.

3.9.3.  Soluciones de calibración

Transvasar 5,0 , 10,0 , 15,0 , 20,0 y 25,0 ml de la solución patrón intermedia (3.9.2) a una serie de matraces aforados de 50 ml. Enrasar con fase móvil (3.8) y mezclar. Estas soluciones corresponden, respectivamente, a 1,2 , 2,4 , 3,6 , 4,8 y 6,0 μg/ml de robenidina. Deben prepararse poco antes de utilizarse.

3.10. Agua, equivalente a la de calidad CLAR

4.   Instrumental

4.1. Columna de vidrio

Columna de vidrio ámbar provista de llave de cierre y de un depósito de aproximadamente 150 ml de capacidad, con un diámetro interior de 10-15 mm y una longitud de 250 mm.

4.2. Agitador mecánico o magnético

4.3. Evaporador rotativo de película

4.4. Equipo para CLAR con detector ultravioleta de longitud de onda variable o detector de red de diodos que funcione en el intervalo de 250-400 nm

4.4.1. Columna cromatográfica de líquidos: 300 mm x 4 mm, C18, relleno de 10 μm, o equivalente.

4.5.  Papel de filtro de fibra de vidrio (Whatman GF/A o equivalente)

4.6. Filtros de membrana de 0,22 μm

4.7. Filtros de membrana de 0,45 μm

5.   Procedimiento

Nota

:

La robenidina es sensible a la luz. Deberá utilizarse material de vidrio ámbar en todas las operaciones.

5.1.   Generalidades

5.1.1. Deberá analizarse un pienso en blanco para comprobar la ausencia de robenidina y de sustancias interferentes.

5.1.2. Asimismo, deberá realizarse un ensayo de recuperación analizando el pienso en blanco (5.1.1), que se habrá enriquecido añadiendo una cantidad de robenidina similar a la presente en la muestra. Para enriquecer a un nivel de 60 mg/kg, transvasar 3,0 ml de la solución patrón madre (3.9.1) a un Erlenmeyer de 250 ml. Evaporar la solución en una corriente de nitrógeno hasta que resten 0,5 ml, aproximadamente. Añadir 15 g del pienso en blanco, mezclar y esperar diez minutos antes de proceder a la extracción (5.2).

Nota

:

A los efectos de este método, el pienso en blanco deberá ser de tipo similar al de la muestra y en su análisis no deberá detectarse robenidina.

5.2.   Extracción

Pesar, con una precisión de 0,01 g, 15 g aproximadamente de la muestra preparada. Transferirlos a un Erlenmeyer de 250 ml y añadir 100,0 ml de metanol acidificado (3.2), tapar y agitar durante una hora en el agitador (4.2). Filtrar la solución por un papel de filtro de fibra de vidrio (4.5) y recoger todo el filtrado en un Erlenmeyer de 150 ml. Añadir 7,5 g de tamiz molecular (3.4), tapar y agitar durante cinco minutos. Filtrar inmediatamente por un papel de filtro de fibra de vidrio. Conservar esta solución para la fase de purificación (5.3).

5.3.   Purificación

5.3.1.    Preparación de la columna de óxido de aluminio

Introducir un pequeño tapón de lana de vidrio en el extremo inferior de la columna de vidrio (4.1) y atacarlo con una varilla de vidrio. Pesar 11,0 g del óxido de aluminio preparado (3.5) y transferirlos a la columna. Durante esta fase deberá procurarse minimizar la exposición a la atmósfera. Golpear suavemente el extremo inferior de la columna cargada a fin de que se sedimente el óxido de aluminio.

5.3.2.    Purificación de la muestra

Pipetear a la columna 5,0 ml del extracto de muestra preparado según el punto 5.2, colocando la punta de la pipeta cerca de la pared de la columna y dejando que la solución se absorba en el óxido de aluminio. Eluir la robenidina de la columna con 100 ml de metanol (3.1), manteniendo un caudal de 2-3 ml/min., y recoger el eluido en un matraz de fondo redondo de 250 ml. Evaporar hasta sequedad la solución de metanol a presión reducida y a una temperatura de 40 oC, utilizando un evaporador rotativo de película (4.3). Disolver nuevamente el residuo en 3-4 ml de fase móvil (3.8) y transvasar cuantitativamente a un matraz aforado de 10 ml. Enjuagar el matraz con varias porciones de 1-2 ml de fase móvil y transvasar estos líquidos de enjuague al matraz aforado. Enrasar con el mismo disolvente y mezclar. Filtrar una parte alícuota por un filtro de membrana de 0,45 μm (4.7). Reservar esta solución para la determinación mediante CLAR (5.4).

5.4.   Determinación mediante CLAR.

5.4.1.    Parámetros.

Las siguientes condiciones se ofrecen con carácter orientativo; pueden aplicarse otras si arrojan resultados equivalentes.

Columna cromatográfica de líquidos (4.4.1).

Fase móvil para la CLAR (3.8).

Caudal: 1,5 -2 ml/min.

Longitud de onda del detector: 317 nm.

Volumen de inyección: 20-50 μl.

Comprobar la estabilidad del sistema cromatográfico inyectando varias veces la solución de calibración (3.9.3) de 3,6 μg/ml, hasta que se alcancen alturas de pico y tiempos de retención constantes.

5.4.2.    Curva de calibración.

Inyectar varias veces cada solución de calibración (3.9.3) y medir las alturas (áreas) de pico de cada concentración. Trazar una curva de calibración empleando las alturas o áreas de pico medias de las soluciones de calibración como ordenadas y las concentraciones correspondientes, en microgramos por mililitro, como abscisas.

5.4.3.    Solución de muestra.

Inyectar varias veces el extracto de muestra (5.3.2) empleando el mismo volumen que para las soluciones de calibración, y determinar la altura (área) media de los picos de robenidina.

6.   Cálculo de los resultados

Determinar la concentración de la solución de muestra, en microgramos por mililitro, a partir de la altura (área) media de sus picos de robenidina, tomando como referencia la curva de calibración (5.4.2).

El contenido de robenidina p (mg/kg) de la muestra viene dado por la siguiente fórmula:

image

en la cual:

c

=

concentración de robenidina de la solución de muestra, en microgramos por mililitro;

m

=

peso de la porción de ensayo, en gramos.

7.   Validación de los resultados

7.1.   Identidad.

La identidad del analito puede confirmarse mediante cocromatografía, o utilizando un detector de red de diodos con el cual se comparan los espectros del extracto de muestra y de la solución de calibración (3.9.3) de 6 μg/ml.

7.1.1.    Cocromatografía.

Enriquecer un extracto de muestra añadiéndole una cantidad apropiada de solución de calibración (3.9.3). La cantidad de robenidina añadida debe ser similar a la cantidad estimada de robenidina hallada en el extracto de muestra.

Solo la altura del pico de robenidina deberá aumentar en función de la cantidad añadida y de la dilución del extracto. La anchura del pico, a la mitad de su altura máxima, debe ser igual ± 10 % a la anchura original.

7.1.2.    Detección por red de diodos.

Los resultados se evalúan con arreglo a los siguientes criterios:

a) la longitud de onda de absorción máxima de los espectros de la muestra y del patrón, registrados en el vértice del pico del cromatograma, debe ser la misma dentro de un margen determinado por el poder de resolución del sistema de detección; en el caso de la detección por red de diodos, el margen típico se sitúa en aproximadamente 2 nm;

b) entre 250 nm y 400 nm, los espectros de la muestra y del patrón registrados en el vértice del pico del cromatograma no deben ser diferentes por lo que respecta a aquellas partes del espectro que se encuentran en un intervalo del 10 % al 100 % de la absorbancia relativa; se cumple este criterio cuando están presentes los mismos máximos y en ningún punto observado la desviación entre los dos espectros excede del 15 % de la absorbancia del analito patrón;

c) entre 250 nm y 400 nm, los espectros de la pendiente ascendente, del vértice y de la pendiente descendente del pico producido por el extracto de muestra no deben diferir entre sí por lo que respecta a las partes del espectro que se encuentran en un intervalo del 10 % al 100 % de la absorbancia relativa; se cumple este criterio cuando están presentes los mismos máximos y en ningún punto observado la desviación entre los espectros excede del 15 % de la absorbancia del espectro del vértice.

Si no se cumple alguno de estos criterios, la presencia del analito no queda confirmada.

7.2.   Repetibilidad.

La diferencia entre los resultados de dos determinaciones paralelas efectuadas con la misma muestra no debe rebasar el 10 % del resultado superior en el caso de contenidos de robenidina mayores de 15 mg/kg.

7.3.   Recuperación.

La recuperación de la muestra en blanco enriquecida deberá ser al menos del 85 %.

8.   Resultados de un estudio colaborativo

Se organizó un estudio colaborativo de la Comunidad Europea en el que 12 laboratorios analizaron cuatro muestras de piensos para aves de corral y conejos, en forma de sémola o de gránulos. De cada muestra se hicieron análisis por duplicado. Los resultados se recogen en el cuadro siguiente:



 

Aves de corral

Conejos

 

Sémola

Gránulos

Sémola

Gránulos

Media [mg/kg]

27,00

27,99

43,6

40,1

sr [mg/kg]

1,46

1,26

1,44

1,66

CVr [ %]

5,4

4,5

3,3

4,1

SR [mg/kg]

4,36

3,36

4,61

3,91

CVR [ %]

16,1

12,0

10,6

9,7

Recuperación [ %]

90,0

93,3

87,2

80,2

sr

=

desviación típica de la repetibilidad

CVr

=

coeficiente de variación de la repetibilidad, en tanto por ciento

SR

=

desviación típica de la reproducibilidad

CVR

=

coeficiente de variación de la reproducibilidad, en tanto por ciento

F)   DETERMINACIÓN DEL DICLAZURILO

(+)-4-clorofenil [2,6-dicloro-4-(2,3,4,5-tetrahidro-3,5-dioxo-1,2,4-triazin-2-il)fenil]acetonitrilo

1.   Objeto y ámbito de aplicación

Este método permite determinar el nivel de diclazurilo en piensos y premezclas. El límite de detección es de 0,1 mg/kg; el de cuantificación, de 0,5 mg/kg.

2.   Principio

Tras añadir un patrón interno, la muestra se extrae con metanol acidificado. En el caso de los piensos, se purifica una parte alícuota del extracto en un cartucho de extracción en fase sólida de C18. El diclazurilo se eluye del cartucho con una mezcla de metanol acidificado y agua. Previa evaporación, el residuo se disuelve en DMF/agua. En el caso de las premezclas, el extracto se evapora y el residuo se disuelve en DMF/agua. El contenido de diclazurilo se determina mediante cromatografía de líquidos de alta resolución (CLAR) de fase reversa y gradiente ternario, empleando un detector de UV.

3.   Reactivos

3.1. Agua, equivalente a la de calidad CLAR.

3.2. Acetato de amonio.

3.3. Hidrogenosulfato de tetrabutilamonio.

3.4. Acetonitrilo, equivalente al de calidad CLAR.

3.5. Metanol, equivalente al de calidad CLAR.

3.6. N, N-dimetilformamida (DMF).

3.7. Ácido clorhídrico, ρ20 = 1,19 g/ml.

3.8. Sustancia patrón: diclazurilo II-24, es decir, (+)-4-clorofenil [2,6-dicloro-4-(2,3,4,5-tetrahidro-3,5-dioxo-1,2,4-triazin-2-il)fenil]acetonitrilo de pureza garantizada, E 771.

3.8.1.  Solución patrón madre de diclazurilo de 500 μg/ml.

Pesar, con una precisión de 0,1 mg, 25 mg de sustancia patrón de diclazurilo (3.8) en un matraz aforado de 50 ml. Disolver en DMF (3.6), enrasar con DMF (3.6) y mezclar. Envolver el matraz con papel de aluminio, o utilizar un matraz ámbar, y guardarlo en el frigorífico. A una temperatura de ≤ 4 oC, la solución es estable durante un mes.

3.8.2.  Solución patrón de diclazurilo de 50 μg/ml.

Transvasar 5,00 ml de la solución patrón madre (3.8.1) a un matraz aforado de 50 ml, enrasar con DMF (3.6) y mezclar. Envolver el matraz con papel de aluminio, o utilizar un matraz ámbar, y guardarlo en el frigorífico. A una temperatura de ≤ 4 oC, la solución es estable durante un mes.

3.9. Patrón interno: 2,6-dicloro-α-(4-clorofenil)-4-(4,5-dihidro-3,5-dioxo-1,2,4-triazina-2 (3H)-il)-α-metilbenceno-acetonitrilo.

3.9.1.  Solución patrón madre de patrón interno de 500 μg/ml.

Pesar, con una precisión de 0,1 mg, 25 mg de patrón interno (3.9) en un matraz aforado de 50 ml. Disolver en DMF (3.6), enrasar con DMF (3.6) y mezclar. Envolver el matraz con papel de aluminio, o utilizar un matraz ámbar, y guardarlo en el frigorífico. A una temperatura de ≤ 4 oC, la solución es estable durante un mes.

3.9.2.  Solución de patrón interno de 50 μg/ml.

Transvasar 5,00 ml de la solución patrón madre de patrón interno (3.9.1) a un matraz aforado de 50 ml, enrasar con DMF (3.6) y mezclar. Envolver el matraz con papel de aluminio, o utilizar un matraz ámbar, y guardarlo en el frigorífico. A una temperatura de ≤ 4 oC, la solución es estable durante un mes.

3.9.3.  Solución de patrón interno para premezclas, p/1 000 mg/ml.

(p = contenido nominal de diclazurilo en la premezcla, en miligramos por kilogramo).

Pesar, con una precisión de 0,1 mg, p/10 mg de patrón interno en un matraz aforado de 100 ml, disolver en DMF (3.6) en un baño ultrasónico (4.6), enrasar con DMF y mezclar. Envolver el matraz con papel de aluminio, o utilizar un matraz ámbar, y guardarlo en el frigorífico. A una temperatura de ≤ 4 oC, la solución es estable durante un mes.

3.10. Solución de calibración de 2 μg/ml.

Pipetear 2,00 ml de la solución patrón de diclazurilo (3.8.2) y 2,00 ml de la solución de patrón interno (3.9.2) a un matraz aforado de 50 ml. Añadir 16 ml de DMF (3.6), enrasar con agua y mezclar. Esta solución debe prepararse poco antes de utilizarse.

3.11. Cartucho de extracción en fase sólida C18, por ejemplo Bond Elut; tamaño: 1 cc; peso del sorbente: 100 mg.

3.12. Disolvente de extracción: metanol acidificado.

Pipetear 5,0 ml de ácido clorhídrico (3.7) a 1 000 ml de metanol (3.5) y mezclar.

3.13. Fase móvil para la CLAR.

3.13.1. Eluyente A: solución de acetato de amonio e hidrogenosulfato de tetrabutilamonio.

Disolver 5 g de acetato de amonio (3.2) y 3,4 g de hidrogenosulfato de tetrabutilamonio (3.3) en 1 000 ml de agua (3.1) y mezclar.

3.13.2. Eluyente B: acetonitrilo (3.4).

3.13.3. Eluyente C: metanol (3.5).

4.   Instrumental

4.1. Agitador mecánico.

4.2. Equipo para CLAR de gradiente ternario.

4.2.1. Columna cromatográfica de líquidos, Hypersil ODS, relleno de 3 μm, de 100 mm x 4,6 mm, o equivalente.

4.2.2. Detector de UV de longitud de onda variable, o detector de red de diodos.

4.3. Evaporador rotativo de película.

4.4. Filtro de membrana de 0,45 μm.

4.5. Colector de vacío.

4.6. Baño ultrasónico.

5.   Procedimiento

5.1.   Generalidades.

5.1.1.    Pienso en blanco.

Deberá analizarse un pienso en blanco para comprobar la ausencia de diclazurilo y de sustancias interferentes. El pienso en blanco deberá ser de tipo similar al de la muestra y en su análisis no deberá detectarse diclazurilo ni sustancias interferentes.

5.1.2.    Ensayo de recuperación.

Deberá realizarse un ensayo de recuperación analizando el pienso en blanco, que se habrá enriquecido añadiendo una cantidad de diclazurilo similar a la presente en la muestra. Para enriquecer a un nivel de 1 mg/kg, añadir 0,1 ml de la solución patrón madre (3.8.1) a 50 g del pienso en blanco, mezclar completamente y esperar diez minutos, volviendo a mezclar varias veces antes de proceder a la extracción (5.2).

Si no se dispone de un pienso en blanco de tipo similar al de la muestra (véase el punto 5.1.1), también puede realizarse un ensayo de recuperación por el método de adición de patrón. En este caso, la muestra que debe analizarse se enriquece con una cantidad de diclazurilo similar a la que ya esté presente en ella. Esta muestra se analiza junto con la muestra sin enriquecer, y la recuperación puede calcularse por sustracción.

5.2.   Extracción.

5.2.1.    Piensos.

Pesar, con una precisión de 0,01 g, unos 50 g de la muestra. Pasarlos a un Erlenmeyer de 500 ml, añadir 1,00 ml de solución de patrón interno (3.9.2) y 200 ml de disolvente de extracción (3.12) y tapar el matraz. Agitar la mezcla en el agitador (4.1) hasta el día siguiente. Dejar reposar durante diez minutos. Transvasar una parte alícuota de 20 ml del sobrenadante a un recipiente de vidrio adecuado y diluir con 20 ml de agua. Transvasar esta solución a un cartucho de extracción (3.11) y pasarla a su través aplicando vacío (4.5). Lavar el cartucho con 25 ml de una mezcla de disolvente de extracción (3.12) y agua, 65 + 35 (V + V). Desechar las fracciones recogidas y eluir los compuestos con 25 ml de una mezcla de disolvente de extracción (3.12) y agua, 80 + 20 (V + V). Evaporar esta fracción hasta llegar justo a la sequedad mediante el evaporador rotativo (4.3) a 60 oC. Disolver el residuo en 1,0 ml de DMF (3.6), añadir 1,5 ml de agua (3.1) y mezclar. Filtrar a través de un filtro de membrana (4.4). Proceder a la determinación mediante CLAR (5.3).

5.2.2.    Premezclas.

Pesar, con una precisión de 0,001 g, aproximadamente 1 g de la muestra. Pasarlo a un Erlenmeyer de 500 ml, añadir 1,00 ml de solución de patrón interno (3.9.3) y 200 ml de disolvente de extracción (3.12) y tapar el matraz. Agitar la mezcla en el agitador (4.1) hasta el día siguiente. Dejar reposar durante diez minutos. Pasar una parte alícuota de 10 000 /p ml (p = contenido nominal de diclazurilo en la premezcla, en miligramos por kilogramo) del sobrenadante a un matraz de fondo redondo de tamaño adecuado. Evaporar hasta llegar justo a la sequedad a presión reducida y a 60 oC, por medio del evaporador rotativo (4.3). Volver a disolver el residuo en 10,0 ml de DMF (3.6), añadir 15,0 ml de agua (3.1) y mezclar. Proceder a la determinación mediante CLAR (5.3).

5.3.   Determinación mediante CLAR.

5.3.1.    Parámetros.

Las siguientes condiciones se ofrecen con carácter orientativo; pueden aplicarse otras si arrojan resultados equivalentes.



Columna cromatográfica de líquidos (4.2.1.):

100 mm × 4,6 mm, Hypersil ODS, relleno de 3 μm, o equivalente

 

Fase móvil:

Eluyente A (3.13.1):

Solución acuosa de acetato de amonio e hidrogenosulfato de tetrabutilamonio

 

Eluyente B (3.13.2):

Acetonitrilo

 

Eluyente C (3.13.3):

Metanol

Modo de elución:

— Gradiente lineal

— Condiciones iniciales: A + B + C = 60 + 20 + 20(V + V + V)

— Tras diez minutos de elución de gradiente durante 30 minutos a: A + B + C = 45 + 20 + 35 (V + V + V)

Chorro de B durante diez minutos

Caudal:

1,5 -2 ml/min.

 

Volumen de inyección:

20 μl

 

Longitud de onda del detector:

280 nm

 

Comprobar la estabilidad del sistema cromatográfico inyectando varias veces la solución de calibración (3.10) de 2 μg/ml, hasta que se alcancen alturas de pico y tiempos de retención constantes.

5.3.2.    Solución de calibración.

Inyectar varias veces 20 μl de la solución de calibración (3.10) y determinar la altura (área) media de los picos de diclazurilo y patrón interno.

5.3.3.    Solución de muestra.

Inyectar varias veces 20 μl de la solución de muestra (5.2.1 o 5.2.2) y determinar la altura (área) media de los picos de diclazurilo y patrón interno.

6.   Cálculo de los resultados

6.1.   Piensos.

El contenido p (mg/kg) de diclazurilo de la muestra viene dado por la siguiente fórmula:

image

[mg/kg]

donde:

hd, s

=

altura (área) del pico de diclazurilo en la solución de muestra (5.2.1);

hi, s

=

altura (área) del pico de patrón interno en la solución de muestra (5.2.1);

hd, c

=

altura (área) del pico de diclazurilo en la solución de calibración (3.10);

hi, c

=

altura (área) del pico de patrón interno en la solución de calibración (3.10);

cd, c

=

concentración de diclazurilo en la solución de calibración (3.10), en microgramos por mililitro;

m

=

peso de la porción de ensayo, en gramos;

V

=

volumen del extracto de muestra según el punto 5.2.1 (es decir, 2,5 ml).

6.2.   Premezclas.

El contenido p (mg/kg) de diclazurilo de la muestra viene dado por la siguiente fórmula:

image

[mg/kg]

donde:

hd, c

=

altura (área) del pico de diclazurilo en la solución de calibración (3.10);

hi, c

=

altura (área) del pico de patrón interno en la solución de calibración (3.10);

hd, s

=

altura (área) del pico de diclazurilo en la solución de muestra (5.2.2);

hi, s

=

altura (área) del pico de patrón interno en la solución de muestra (5.2.2);

cd, c

=

concentración de diclazurilo en la solución de calibración (3.10), en microgramos por mililitro;

m

=

peso de la porción de ensayo, en gramos;

V

=

volumen del extracto de muestra según el punto 5.2.2 (es decir, 25 ml);

p

=

contenido nominal de diclazurilo de la premezcla, en miligramos por kilogramo.

7.   Validación de los resultados

7.1.   Identidad.

La identidad del analito puede confirmarse mediante cocromatografía, o utilizando un detector de red de diodos con el cual se comparan los espectros del extracto de muestra (5.2.1 o 5.2.2) y de la solución de calibración (3.10).

7.1.1.    Cocromatografía.

Enriquecer un extracto de muestra (5.2.1 o 5.2.2) añadiéndole una cantidad apropiada de solución de calibración (3.10). La cantidad de diclazurilo añadida debe ser similar a la hallada en el extracto de muestra.

Solo la altura del pico de diclazurilo y del pico de patrón interno deberá aumentar en función de la cantidad añadida y de la dilución del extracto. La anchura del pico, a la mitad de su altura, debe ser igual ± 10 % a la anchura original del pico de diclazurilo o el pico de patrón interno del extracto de muestra sin enriquecer.

7.1.2.    Detección por red de diodos.

Los resultados se evalúan con arreglo a los siguientes criterios:

a) la longitud de onda de absorción máxima de los espectros de la muestra y del patrón, registrados en el vértice del pico del cromatograma, debe ser la misma dentro de un margen determinado por el poder de resolución del sistema de detección; en el caso de la detección por red de diodos, el margen típico se sitúa en ± 2 nm;

b) entre 230 nm y 320 nm, los espectros de la muestra y del patrón registrados en el vértice del pico del cromatograma no deben ser diferentes por lo que respecta a aquellas partes del espectro que se encuentran en un intervalo del 10 % al 100 % de la absorbancia relativa; se cumple este criterio cuando están presentes los mismos máximos y en ningún punto observado la desviación entre los dos espectros excede del 15 % de la absorbancia del analito patrón;

c) entre 230 nm y 320 nm, los espectros de la pendiente ascendente, del vértice y de la pendiente descendente del pico producido por el extracto de muestra no deben diferir entre sí por lo que respecta a las partes del espectro que se encuentran en un intervalo del 10 % al 100 % de la absorbancia relativa; se cumple este criterio cuando están presentes los mismos máximos y en ningún punto observado la desviación entre los espectros excede del 15 % de la absorbancia del espectro del vértice del pico.

Si no se cumple alguno de estos criterios, la presencia del analito no queda confirmada.

7.2.   Repetibilidad.

La diferencia entre los resultados de dos determinaciones paralelas efectuadas con la misma muestra no debe exceder de:

 el 30 % del valor superior, en el caso de contenidos de diclazurilo de 0,5 mg/kg a 2,5 mg/kg,

 0,75 mg/kg, en el caso de contenidos de diclazurilo de 2,5 mg/kg a 5 mg/kg,

 el 15 % del valor superior, en el caso de contenidos de diclazurilo superiores a 5 mg/kg.

7.3.   Recuperación.

La recuperación de la muestra (en blanco) enriquecida deberá ser al menos del 80 %.

8.   Resultados de un estudio colaborativo

Se organizó un estudio colaborativo en el que 11 laboratorios analizaron cinco muestras. Estas muestras consistieron en dos premezclas; una se mezcló con una matriz orgánica (O 100) y otra con una matriz inorgánica (A 100). El contenido teórico de diclazurilo fue de 100 mg por kilogramo. Los tres piensos mezclados para aves de corral fueron preparados por tres fabricantes diferentes (NL) (L1/Z1/K1). El contenido teórico de diclazurilo fue de 1 mg por kilogramo. Se dijo a los laboratorios que analizaran cada muestra una vez o por duplicado. (Puede encontrarse información más detallada sobre este estudio colaborativo en Journal of AOAC International, volumen 77, no 6, 1994, pp. 1359-1361). Los resultados se recogen en el cuadro siguiente:



 

Muestra 1

A 100

Muestra 2

O 100

Muestra 3

L1

Muestra 4

Z1

Muestra 5

K1

L

11

11

11

11

6

n

19

18

19

19

12

Media

100,8

103,5

0,89

1,15

0,89

Sr (mg/kg)

5,88

7,64

0,15

0,02

0,03

CVr (%)

5,83

7,38

17,32

1,92

3,34

SR (mg/kg)

7,59

7,64

0,17

0,11

0,12

CVR (%)

7,53

7,38

18,61

9,67

13,65

Contenido nominal (mg/kg)

100

100

1

1

1

L

=

número de laboratorios

n

=

número de valores individuales

Sr

=

desviación típica de la repetibilidad

CVr

=

coeficiente de variación de la repetibilidad

SR

=

desviación típica de la reproducibilidad

CVR

=

coeficiente de variación de la reproducibilidad

9.   Observaciones

Previamente debe haberse demostrado que la respuesta del diclazurilo es lineal en todo el intervalo de concentraciones sometidas a medición.

G)   DETERMINACIÓN DEL LASALOCID SÓDICO

Sal sódica de un poliéter de ácido monocarboxílico producido por Streptomyces lasaliensis

1.   Objeto y ámbito de aplicación

Este método permite determinar el nivel de lasalocid sódico en piensos y premezclas. El límite de detección es de 5 mg/kg; el de cuantificación, de 10 mg/kg.

2.   Principio

El lasalocid sódico se extrae de la muestra en metanol acidificado y se determina mediante cromatografía de líquidos de alta resolución (CLAR) de fase reversa, empleando un detector espectrofluorométrico.

3.   Reactivos

3.1. Dihidrogenofosfato de potasio (KH2PO4).

3.2. Ácido ortofosfórico, p (p/p) = 85 %.

3.3. Solución de ácido ortofosfórico, c = 20 %.

Diluir 23,5 ml de ácido ortofosfórico (3.2) con agua hasta 100 ml.

3.4. 6-metil-2-heptilamina (1,5 -dimetilhexilamina), p (p/p) = 99 %.

3.5. Metanol, equivalente al de calidad CLAR.

3.6. Ácido clorhídrico, de 1,19 g/ml de densidad.

3.7. Solución reguladora de fosfato, c = 0,01 mol/l.

Disolver 1,36 g de KH2PO4 (3.1) en 500 ml de agua (3.11), añadir 3,5 ml de ácido ortofosfórico (3.2) y 10,0 ml de 6-metil-2-heptilamina (3.4). Ajustar el pH a 4,0 con solución de ácido ortofosfórico (3.3) y diluir con agua (3.11) hasta 1 000 ml.

3.8. Metanol acidificado.

Transvasar 5,0 ml de ácido clorhídrico (3.6) a un matraz aforado de 1 000 ml, enrasar con metanol (3.5) y mezclar. Esta solución debe prepararse poco antes de utilizarse.

3.9. Fase móvil para la CLAR: solución reguladora de fosfato y metanol, 5 + 95 (V + V).

Mezclar 5 ml de solución reguladora de fosfato (3.7) con 95 ml de metanol (3.5).

3.10. Sustancia patrón de lasalocid sódico de pureza garantizada, C34H53O8Na (sal sódica de un poliéter de ácido monocarboxílico producido por Streptomyces lasaliensis), E 763.

3.10.1.  Solución patrón madre de lasalocid sódico, 500 μg/ml.

Pesar, con una precisión de 0,1 mg, 50 mg de lasalocid sódico (3.10) en un matraz aforado de 100 ml, disolver con metanol acidificado (3.8), enrasar con este mismo disolvente y mezclar. Esta solución debe prepararse poco antes de utilizarse.

3.10.2.  Solución patrón intermedia de lasalocid sódico, 50 μg/ml.

Pipetear 10,0 ml de solución patrón madre (3.10.1) a un matraz aforado de 100 ml, enrasar con metanol acidificado (3.8) y mezclar. Esta solución debe prepararse poco antes de utilizarse.

3.10.3.  Soluciones de calibración

Transvasar 1,0 , 2,0 , 4,0 , 5,0 y 10,0 ml de la solución patrón intermedia (3.10.2) a una serie de matraces aforados de 50 ml. Enrasar con metanol acidificado (3.8) y mezclar. Estas soluciones corresponden, respectivamente, a 1,0 , 2,0 , 4,0 , 5,0 y 10,0 μg de lasalocid sódico por mililitro. Deben prepararse poco antes de utilizarse.

3.11. Agua, equivalente a la de calidad CLAR.

4.   Instrumental

4.1. Baño ultrasónico (o baño de agua con agitación), con control de temperatura.

4.2. Filtros de membrana de 0,45 μm.

4.3. Equipo para CLAR con un sistema de inyección que permita inyectar volúmenes de 20 μl.

4.3.1. Columna cromatográfica de líquidos, de 125 mm x 4 mm, fase reversa, C18, relleno de 5 μm, o equivalente.

4.3.2. Espectrofluorímetro con ajuste variable de las longitudes de onda de excitación y emisión.

5.   Procedimiento

5.1.   Generalidades.

5.1.1.    Pienso en blanco.

Para el ensayo de recuperación (5.1.2) deberá analizarse un pienso en blanco, a fin de comprobar la ausencia de lasalocid sódico y de sustancias interferentes. El pienso en blanco deberá ser de tipo similar al de la muestra y en su análisis no deberá detectarse lasalocid sódico ni sustancias interferentes.

5.1.2.    Ensayo de recuperación.

Deberá realizarse un ensayo de recuperación analizando el pienso en blanco, que se habrá enriquecido añadiendo una cantidad de lasalocid sódico similar a la presente en la muestra. Para enriquecer a un nivel de 100 mg/kg, transvasar 10,0 ml de la solución patrón madre (3.10.1) a un Erlenmeyer de 250 ml y evaporar la solución a unos 0,5 ml. Añadir 50 g del pienso en blanco, mezclar completamente y esperar diez minutos, mezclando varias veces más antes de proceder a la extracción (5.2).

Si no se dispone de un pienso en blanco de tipo similar al de la muestra (véase el punto 5.1.1), también puede realizarse un ensayo de recuperación por el método de adición de patrón. En este caso, la muestra que debe analizarse se enriquece con una cantidad de lasalocid sódico similar a la que ya esté presente en ella. Esta muestra se analiza junto con la muestra sin enriquecer, y la recuperación se calcula por sustracción.

5.2.   Extracción.

5.2.1.    Piensos.

Pesar, con una precisión de 0,01 g, de 5 g a 10 g de la muestra en un Erlenmeyer de 250 ml con tapón. Añadir con la pipeta 100,0 ml de metanol acidificado (3.8). Tapar sin apretar y agitar en círculos para dispersar. Colocar el matraz en un baño ultrasónico (4.1) a unos 40 oC durante 20 minutos, remover a continuación y enfriar a temperatura ambiente. Dejar reposar durante aproximadamente una hora hasta que la materia en suspensión se haya sedimentado; a continuación, verter una parte alícuota en un recipiente adecuado filtrándola por un filtro de membrana de 0,45 μm. Proceder a la determinación mediante CLAR (5.3).

5.2.2.    Premezclas.

Pesar, con una precisión de 0,001 g, unos 2 g de premezcla sin moler en un matraz aforado de 250 ml. Añadir 100,0 ml de metanol acidificado (3.8) y agitar en círculos para dispersar. Colocar el matraz con su contenido en un baño ultrasónico (4.1) a unos 40 oC durante 20 minutos, remover a continuación y enfriar a temperatura ambiente. Diluir hasta la marca con metanol acidificado (3.8) y mezclar completamente. Dejar reposar durante una hora hasta que la materia en suspensión se haya sedimentado; a continuación, filtrar una parte alícuota por un filtro de membrana de 0,45 μm (4.2). Diluir un volumen apropiado del filtrado limpio con metanol acidificado (3.8) para producir una solución final de ensayo que contenga en torno a 4 μm/ml de lasalocid sódico. Proceder a la determinación mediante CLAR (5.3).

5.3.   Determinación mediante CLAR.

5.3.1.    Parámetros.

Las siguientes condiciones se ofrecen con carácter orientativo; pueden aplicarse otras si arrojan resultados equivalentes.



Columna cromatográfica de líquidos (4.3.1):

125 mm × 4 mm, fase reversa C18, relleno de 5 μm, o equivalente

Fase móvil (3.9):

Mezcla de solución reguladora de fosfato(3.7) y metanol (3.5), 5+95 (V+V)

Caudal:

1,2 ml/min.

Longitudes de onda de detección:

 

Excitación:

10 nm

Emisión:

419 nm

Volumen de inyección:

20 μl

Comprobar la estabilidad del sistema cromatográfico inyectando varias veces la solución de calibración (3.10.3) de 4,0 μg/ml, hasta que se alcancen alturas (o áreas) de pico y tiempos de retención constantes.

5.3.2.    Curva de calibración.

Inyectar varias veces cada solución de calibración (3.10.3) y determinar las alturas (áreas) de pico medias de cada concentración. Trazar una curva de calibración empleando las alturas (áreas) de pico medias como ordenadas y las concentraciones correspondientes, en microgramos por mililitro, como abscisas.

5.3.3.    Solución de muestra.

Inyectar varias veces los extractos de muestra obtenidos en el punto 5.2.1 o 5.2.2 empleando el mismo volumen que para la solución de calibración, y determinar las alturas (áreas) medias de los picos de lasalocid sódico.

6.   Cálculo de los resultados

Determinar la concentración de lasalocid sódico (μg/ml) a partir de la altura (área) de pico media producida por la inyección de la solución de muestra (5.3.3), tomando como referencia la curva de calibración.

6.1.   Piensos.

El contenido p (mg/kg) de lasalocid sódico de la muestra viene dado por la siguiente fórmula:

image

[mg/kg]

donde:

c

=

concentración de lasalocid sódico de la solución de muestra (5.2.1), en microgramos por mililitro;

V1

=

volumen del extracto de muestra según el punto 5.2.1, en mililitros (es decir, 100);

m

=

peso de la porción de ensayo, en gramos.

6.2.   Premezclas.

El contenido p (mg/kg) de lasalocid sódico de la muestra viene dado por la siguiente fórmula:

image

[mg/kg]

donde:

c

=

concentración de lasalocid sódico de la solución de muestra (5.2.2), en microgramos por mililitro;

V2

=

volumen del extracto de muestra según el punto 5.2.2, en mililitros (es decir, 250);

f

=

factor de dilución según el punto 5.2.2;

m

=

peso de la porción de ensayo, en gramos.

7.   Validación de los resultados

7.1.   Identidad.

Los métodos basados en la espectrofluorometría están menos sujetos a interferencias que aquellos en los que se emplea la detección de UV. La identidad del analito puede confirmarse por cocromatografía.

7.1.1.    Cocromatografía.

Enriquecer un extracto de muestra (5.2.1 o 5.2.2) añadiéndole una cantidad apropiada de solución de calibración (3.10.3). La cantidad de lasalocid sódico añadida debe ser similar a la hallada en el extracto de muestra. Solo la altura del pico de lasalocid sódico deberá aumentar en función de la cantidad de lasalocid sódico añadida y de la dilución del extracto. La anchura del pico, a la mitad de su altura, debe ser igual ± 10 % a la anchura del pico original producida por el extracto de muestra sin enriquecer.

7.2.   Repetibilidad.

La diferencia entre los resultados de dos determinaciones paralelas efectuadas con la misma muestra no debe exceder de:

 el 15 % del valor superior, en el caso de contenidos de lasalocid sódico de 30 mg/kg a 100 mg/kg,

 15 mg/kg, en el caso de contenidos de lasalocid sódico de 100 mg/kg a 200 mg/kg,

 el 7,5 % del valor superior, en el caso de contenidos de lasalocid sódico superiores a 200 mg/kg.

7.3.   Recuperación.

La recuperación de la muestra (en blanco) de pienso enriquecida deberá ser al menos del 80 %. En el caso de las muestras de premezclas enriquecidas, la recuperación deberá ser al menos del 90 %.

8.   Resultados de un estudio colaborativo

Se organizó un estudio colaborativo ( *1 ) en el que 12 laboratorios analizaron dos premezclas (muestras 1 y 2) y cinco piensos (muestras 3 a 7). De cada muestra se hicieron análisis por duplicado. Los resultados se recogen en el cuadro siguiente:



 

Muestra 1

Premezcla para pollos

Muestra 2

Premezcla para pavos

Muestra 3

Gránulos para pavos

Muestra 4

Migajas para pollos

Muestra 5

Pienso para pavos

Muestra 6

Pienso A para pollos

Muestra 7

Pienso B para pollos

L

12

12

12

12

12

12

12

n

23

23

23

23

23

23

23

Media [mg/kg]

5 050

16 200

76,5

78,4

92,9

48,3

32,6

Sr [mg/kg]

107

408

1,71

2,23

2,27

1,93

1,75

CVr [ %]

2,12

2,52

2,24

2,84

2,44

4,00

5,37

SR [mg/kg]

286

883

3,85

7,32

5,29

3,47

3,49

CVR [ %]

5,66

5,45

5,03

9,34

5,69

7,18

10,70

Contenido nominal [mg/kg]

5 000  (1)

16 000  (1)

80 (1)

105 (1)

120 (1)

50 (2)

35 (2)

(*1)   contenido declarado por el fabricante

(*2)   pienso preparado en el laboratorio

L

=

número de laboratorios

n

=

número de resultados individuales

Sr

=

desviación típica de la repetibilidad

SR

=

desviación típica de la reproducibilidad

CVr

=

coeficiente de variación de la repetibilidad, en tanto por ciento

CVR

=

coeficiente de variación de la reproducibilidad, en tanto por ciento




ANEXO V

MÉTODOS DE ANÁLISIS PARA EL CONTROL DE SUSTANCIAS INDESEABLES EN LOS PIENSOS

A.   DETERMINACIÓN DEL GOSIPOL LIBRE Y TOTAL

1.   Objeto y ámbito de aplicación

Este método permite determinar el gosipol libre, el gosipol total y las sustancias químicamente relacionadas presentes en las semillas de algodón y en las sémolas y tortas de semillas de algodón, así como en los piensos compuestos que contengan estos materiales para piensos, cuando los contenidos de gosipol libre, gosipol total y sustancias químicamente relacionadas superen los 20 mg/kg.

2.   Principio

El gosipol se extrae en presencia de 3-aminopropan-1-ol, ya sea mediante una mezcla de propan-2-ol y hexano, para la determinación del gosipol libre, ya con dimetilformamida, para la determinación del gosipol total. El gosipol se transforma mediante anilina en gosipol-dianilina, cuya densidad óptica se mide a 440 nm.

3.   Reactivos

3.1. Mezcla de propan-2-ol y hexano: mezclar 60 partes en volumen de propan-2-ol con 40 partes en volumen de n-hexano.

3.2. Disolvente A: verter en un matraz aforado de 1 l unos 500 ml de la mezcla de propan-2-ol y hexano (3.1), 2 ml de 3-aminopropan-1-ol, 8 ml de ácido acético glacial y 50 ml de agua. Enrasar con la mezcla de propan-2-ol y hexano (3.1). Este reactivo se mantiene estable durante una semana.

3.3. Disolvente B: pipetear 2 ml de 3-aminopropan-1-ol y 10 ml de ácido acético glacial a un matraz aforado de 100 ml. Enfriar a temperatura ambiente y enrasar con N, N-dimetilformamida. Este reactivo se mantiene estable durante una semana.

3.4. Anilina: si la densidad óptica del ensayo en blanco excede de 0,022 , destilar la anilina sobre polvo de cinc, desechando la primera y la última fracción del destilado, cada una de ellas equivalente a un 10 % del mismo. Este reactivo se conserva varios meses si está refrigerado y se guarda en un matraz de vidrio oscuro tapado.

3.5. Solución patrón de gosipol A: introducir 27,9 mg de acetato de gosipol en un matraz aforado de 250 ml. Disolver y enrasar con el disolvente A (3.2). Pipetear 50 ml de esta solución a un matraz aforado de 250 ml y enrasar con el disolvente A. La concentración de gosipol de esta solución es de 0,02 mg/ml. Dejarla reposar durante una hora a temperatura ambiente antes de utilizarla.

3.6. Solución patrón de gosipol B: introducir 27,9 mg de acetato de gosipol en un matraz aforado de 50 ml. Disolver y enrasar con el disolvente B (3.3). La concentración de gosipol de esta solución es de 0,5 mg/ml.

Las soluciones patrón de gosipol A y B se mantendrán estables durante veinticuatro horas si están al abrigo de la luz.

4.   Instrumental

4.1. Mezclador (tambor): aproximadamente 35 revoluciones por minuto.

4.2. Espectrofotómetro.

5.   Procedimiento

5.1.    Muestra de ensayo

La cantidad de muestra de ensayo empleada depende del contenido supuesto de gosipol de la muestra. Es preferible trabajar con una muestra de ensayo pequeña y una parte alícuota del filtrado relativamente grande, de forma que se obtenga una cantidad de gosipol suficiente para poder efectuar una medición fotométrica precisa. Para la determinación del gosipol libre en las semillas de algodón y en las sémolas y tortas de semillas de algodón, la muestra de ensayo no excederá de 1 g; en el caso de los piensos compuestos, puede llegar a 5 g. En la mayoría de los casos, una parte alícuota de 10 ml de filtrado es adecuada; deberá contener de 50 μg a 100 μg de gosipol. Para la determinación del gosipol total, la muestra de ensayo deberá ser de 0,5 g a 5 g, de modo que una parte alícuota de 2 ml de filtrado contenga de 40 μg a 200 μg de gosipol.

El análisis deberá efectuarse a una temperatura ambiente en torno a los 20 oC.

5.2.    Determinación del gosipol libre

Introducir la muestra en un matraz de cuello esmerilado de 250 ml, cuyo fondo esté cubierto de vidrio triturado. Añadir con la pipeta 50 ml de disolvente A (3.2), tapar el matraz y mezclar durante una hora en el mezclador. Filtrar por un filtro seco y recoger el filtrado en un matraz pequeño de cuello esmerilado. Durante la filtración, cubrir el embudo con un vidrio de reloj.

Pipetear a dos matraces aforados de 25 ml (A y B) partes alícuotas idénticas de filtrado que contengan de 50 μg a 100 μg de gosipol. Si es necesario, enrasar a 10 ml con disolvente A (3.2). A continuación, enrasar el matraz (A) con la mezcla de propan-2-ol y hexano (3.1). Esta solución servirá de referencia para medir la solución de muestra.

Pipetear a otros dos matraces aforados de 25 ml (C y D), respectivamente, 10 ml de disolvente A (3.2). Enrasar el matraz (C) con la mezcla de propan-2-ol y hexano (3.1). Esta solución servirá de referencia para medir la solución de ensayo en blanco.

Añadir 2 ml de anilina (3.4) al matraz (D) y al matraz (B). Calentar durante 30 minutos sobre un baño maría en ebullición para colorar. Enfriar a temperatura ambiente, enrasar con la mezcla de propan-2-ol y hexano (3.1), homogeneizar y dejar reposar durante una hora.

Determinar las densidades ópticas de la solución de ensayo en blanco (D) y de la solución de muestra (B) comparándolas, respectivamente, con la solución de referencia (C) y la solución de referencia (A) en el espectrofotómetro a 440 nm, empleando cubetas de vidrio de 1 cm.

Restar la densidad óptica de la solución de ensayo en blanco a la de la solución de muestra (= densidad óptica corregida). Partiendo de este valor, calcular el contenido de gosipol libre como se indica en el punto 6.

5.3.    Determinación del gosipol total

Introducir una muestra de ensayo que contenga de 1 mg a 5 mg de gosipol en un matraz aforado de 50 ml y añadir 10 ml de disolvente B (3.3). Preparar simultáneamente un ensayo en blanco vertiendo 10 ml de disolvente B (3.3) en otro matraz aforado de 50 ml. Calentar ambos matraces durante 30 minutos sobre un baño maría en ebullición. Enfriar a temperatura ambiente y enrasar los dos matraces con la mezcla de propan-2-ol y hexano (3.1). Homogeneizar y dejar reposar durante diez a 15 minutos, filtrando a continuación y recogiendo los filtrados en matraces de cuello esmerilado.

Pipetear a dos matraces aforados de 25 ml, respectivamente, 2 ml del filtrado de muestra, y a otros dos matraces de 25 ml, respectivamente, 2 ml del filtrado de ensayo en blanco. Enrasar a 25 ml un matraz de cada serie con la mezcla de propan-2-ol y hexano (3.1). Estas soluciones se emplearán como soluciones de referencia.

Añadir 2 ml de anilina (3.4) a cada uno de los otros dos matraces. Calentar durante 30 minutos sobre un baño maría en ebullición para colorar. Enfriar a temperatura ambiente, enrasar a 25 ml con la mezcla de propan-2-ol y hexano (3.1), homogeneizar y dejar reposar durante una hora.

Determinar la densidad óptica como se indica en el punto 5.2 para el gosipol libre. Partiendo de este valor, calcular el contenido de gosipol total como se indica en el punto 6.

6.   Cálculo de los resultados

Los resultados pueden calcularse, o bien a partir de la densidad óptica específica (6.1), o bien tomando como referencia una curva de calibración (6.2).

6.1.    A partir de la densidad óptica específica

Las densidades ópticas específicas, en las condiciones descritas, serán las siguientes:



Gosipol libre

image

Gosipol total

image

El contenido de gosipol libre o total de la muestra se calcula por medio de la siguiente fórmula:

image

donde

E

=

densidad óptica corregida, determinada según se indica en el punto 5.2;

p

=

muestra de ensayo, en gramos;

a

=

parte alícuota del filtrado, en mililitros.

6.2.    A partir de una curva de calibración

6.2.1.    Gosipol libre

Preparar dos series de cinco matraces aforados de 25 ml. Pipetear partes alícuotas de 2,0 , 4,0 , 6,0 , 8,0 y 10,0 ml de la solución patrón de gosipol A (3.5) en cada serie de matraces. Enrasar a 10 ml con el disolvente A (3.2). Completar cada serie con un matraz aforado de 25 ml que contenga únicamente 10 ml del disolvente A (3.2) (ensayo en blanco).

Enrasar a 25 ml los matraces de la primera serie (incluido el matraz para el ensayo en blanco) con la mezcla de propan-2-ol y hexano (3.1) (serie de referencia).

Añadir 2 ml de anilina (3.4) a cada uno de los matraces de la segunda serie (incluido el matraz para el ensayo en blanco). Calentar durante 30 minutos sobre un baño maría en ebullición para colorar. Enfriar a temperatura ambiente, enrasar con la mezcla de propan-2-ol y hexano (3.1), homogeneizar y dejar reposar durante una hora (serie de referencia).

Determinar la densidad óptica de las soluciones de la serie patrón como se indica en el punto 5.2, comparándola con las correspondientes soluciones de la serie de referencia. Trazar la curva de calibración relacionando las densidades ópticas con las cantidades de gosipol (en microgramos).

6.2.2.    Gosipol total

Preparar seis matraces aforados de 50 ml. Verter 10 ml del disolvente B (3.3) en el primer matraz y, en el resto, 2,0 , 4,0 , 6,0 , 8,0 y 10,0 ml, respectivamente, de solución patrón de gosipol B (3.6). Enrasar cada matraz a 10 ml con disolvente B (3.3). Calentar durante 30 minutos sobre un baño maría en ebullición. Enfriar a temperatura ambiente, enrasar con la mezcla de propan-2-ol y hexano (3.1) y homogeneizar.

Verter respectivamente 2,0 ml de estas soluciones en dos series de seis matraces aforados de 25 ml. Enrasar los matraces de la primera serie a 25 ml con la mezcla de propan-2-ol y hexano (3.1) (serie de referencia).

Añadir 2 ml de anilina (3.4) a cada matraz de la segunda serie. Calentar durante 30 minutos sobre un baño maría en ebullición. Enfriar a temperatura ambiente, enrasar con la mezcla de propan-2-ol y hexano (3.1), homogeneizar y dejar reposar durante una hora (serie de referencia).

Determinar la densidad óptica de las soluciones de la serie patrón como se indica en el punto 5.2, comparándola con las correspondientes soluciones de la serie de referencia. Trazar la curva de calibración relacionando las densidades ópticas con las cantidades de gosipol (en microgramos).

6.3.    Repetibilidad

La diferencia entre los resultados de dos determinaciones paralelas efectuadas con la misma muestra no debe exceder de:

 el 15 % del valor superior, en el caso de contenidos de gosipol inferiores a 500 ppm,

 75 ppm en valor absoluto, en el caso de contenidos no inferiores a 500 ppm ni superiores a 750 ppm,

 el 10 % del valor superior, en el caso de contenidos superiores a 750 ppm.

▼M6

B.   DETERMINACIÓN DE LOS CONTENIDOS DE DIOXINAS (PCDD/PCDF) Y PCB

CAPÍTULO I

Métodos de muestreo e interpretación de los resultados analíticos

1.    Ámbito de aplicación y definiciones

Las muestras destinadas al control oficial de los contenidos de policlorodibenzodioxinas (PCDD), de policlorodibenzofuranos (PCDF), de policlorobifenilos (PCB) similares a las dioxinas ( 16 ) y de PCB no similares a las dioxinas en los piensos se tomarán conforme a las disposiciones del anexo I. Serán de aplicación los requisitos cuantitativos relacionados con el control de las sustancias o los productos distribuidos uniformemente por el pienso que se establecen en el punto 5.1 del anexo I. Las muestras globales así obtenidas se considerarán representativas de los lotes o sublotes de los que se obtengan. El respeto de los contenidos máximos establecidos en la Directiva 2002/32/CE se determinará en función de los contenidos hallados en las muestras de laboratorio.

A efectos de la presente parte B, se aplicarán las definiciones establecidas en el anexo I de la Decisión 2002/657/CE de la Comisión ( 17 ).

Además de dichas definiciones, a efectos de la presente parte B se entenderá por:

«Métodos de cribado» : los utilizados para seleccionar las muestras con contenidos de PCDD, PCDF y PCB similares a las dioxinas que superan los contenidos máximos o los umbrales de intervención. Deberán permitir procesar un elevado número de muestras en poco tiempo con una buena relación coste-eficacia, aumentando así la oportunidad de descubrir nuevos incidentes con una alta exposición y riesgos para la salud de los consumidores. Los métodos de cribado serán bioanalíticos o por cromatografía de gases/espectrometría de masas (CG/EM). Los resultados de las muestras que superen el valor de corte utilizado para comprobar el cumplimiento del contenido máximo serán verificados por un nuevo análisis completo de la muestra original utilizando un método de confirmación.

«Métodos de confirmación» : los que proporcionan una información completa o complementaria que permite la identificación y cuantificación inequívocas de PCDD, PCDF y PCB similares a las dioxinas al nivel del contenido máximo o, en caso de necesidad, del umbral de intervención. Estos métodos utilizan la cromatografía de gases/espectrometría de masas de alta resolución (CG-EMAR) o la cromatografía de gases/espectrometría de masas en tándem (CG-EM/EM).

2.    Conformidad del lote o sublote con el contenido máximo

2.1.    Respecto de los PCB no similares a las dioxinas

El lote o sublote es conforme al contenido máximo si el resultado del análisis de la suma de PCB 28, PCB 52, PCB 101, PCB 138, PCB 153 y PCB 180 (en lo sucesivo, PCB no similares a las dioxinas) no supera el contenido máximo de PCB fijado en la Directiva 2002/32/CE, teniendo en cuenta la incertidumbre ampliada de medición ( 18 ). El lote o sublote no es conforme al contenido máximo fijado en la Directiva 2002/32/CE si la media de dos resultados analíticos del límite superior ( 19 ) obtenidos mediante un análisis por duplicado ( 20 ), teniendo en cuenta la incertidumbre ampliada de medición, supera el contenido máximo fuera de toda duda razonable, es decir, si la concentración analizada tras deducirse la incertidumbre ampliada de medición se emplea para evaluar el cumplimiento.

La incertidumbre ampliada de medición se calcula aplicando un factor de cobertura de 2 que da un nivel de confianza de aproximadamente un 95 %. Un lote o sublote no es conforme si la media de los valores medidos menos la incertidumbre ampliada de la media está por encima del contenido máximo.

Las normas mencionadas en los precedentes apartados de este punto se aplicarán al resultado analítico obtenido con la muestra para control oficial. En caso de análisis con fines de defensa o referencia serán de aplicación las normas nacionales.

2.2.    Por lo que respecta a las PCDD, los PCDF y los PCB similares a las dioxinas

El lote o sublote es conforme al contenido máximo si el resultado analítico de un análisis único:

 realizado por un método de cribado que arroje menos del 5 % de falsos negativos, indica que no se supera el contenido máximo respectivo de PCDD y de PCDF ni la suma de PCDD, PCDF y PCB similares a las dioxinas establecidos en la Directiva 2002/32/CE,

 realizado por un método de confirmación, indica que no se supera el contenido máximo de PCDD y de PCDF ni la suma de PCDD, PCDF y PCB similares a las dioxinas establecidos en la Directiva 2002/32/CE, teniendo en cuenta la incertidumbre ampliada de medición.

Para los ensayos de cribado se establecerá un valor de corte para decidir si la muestra respeta los contenidos máximos respectivos que se hayan establecido para las PCDD, los PCDF o para la suma de PCDD, PCDF y PCB similares a las dioxinas.

El lote o sublote no es conforme al contenido máximo fijado en la Directiva 2002/32/CE si la media de dos resultados analíticos del límite superior ( 21 ) obtenidos mediante un análisis por duplicado ( 22 ) mediante un método de confirmación, teniendo en cuenta la incertidumbre ampliada de medición, supera el contenido máximo fuera de toda duda razonable, es decir, si la concentración analizada tras deducirse la incertidumbre ampliada de medición se emplea para evaluar el cumplimiento.

La incertidumbre ampliada de medición se calcula aplicando un factor de cobertura de 2 que da un nivel de confianza de aproximadamente un 95 %. Un lote o sublote no es conforme si la media de los valores medidos menos la incertidumbre ampliada de la media está por encima del contenido máximo.

Para la suma de PCDD, PCDF y PCB similares a las dioxinas se usará la suma de las incertidumbres ampliadas calculadas, correspondiente a los resultados analíticos obtenidos por separado para PCDD/PCDF y PCB similares a las dioxinas.

Las normas mencionadas en los precedentes apartados de este punto se aplicarán al resultado analítico obtenido con la muestra para control oficial. En caso de análisis con fines de defensa o referencia serán de aplicación las normas nacionales.

3.    Resultados que superan los umbrales de intervención establecidos en el anexo II de la Directiva 2002/32/CE

Los umbrales de intervención sirven como instrumento para seleccionar las muestras en los casos en los que es necesario determinar la fuente de contaminación y tomar medidas para su reducción o eliminación. Los métodos de cribado deberán establecer los valores de corte adecuados para seleccionar dichas muestras. Cuando sean necesarios esfuerzos significativos para identificar la fuente y reducir o eliminar la contaminación, es apropiado confirmar que se han superado los umbrales de intervención mediante un análisis por duplicado, con un método de confirmación y teniendo en cuenta la incertidumbre ampliada de medición ( 23 ).

CAPÍTULO II

Preparación de las muestras y requisitos aplicables a los métodos de análisis utilizados en el control oficial de los contenidos de dioxinas (PCDD/PCDF) y PCB similares a las dioxinas en los piensos

1.    Campo de aplicación

Los requisitos establecidos en el presente capítulo se aplicarán al análisis de piensos realizado para el control oficial de los contenidos de los PCDD, PCDF y PCB similares a las dioxinas sustituidos en las posiciones 2, 3, 7 y 8 y en lo que respecta a la preparación de las muestras y los requisitos analíticos con otros fines reglamentarios, incluidos los controles llevados a cabo por el explotador de la empresa de piensos para garantizar el cumplimiento de lo dispuesto en el Reglamento (CE) n.o 183/2005 del Parlamento Europeo y del Consejo ( 24 ).

El control de la presencia de PCDD, PCDF y PCB similares a las dioxinas en los piensos puede realizarse mediante dos tipos de métodos de análisis:

a)  Métodos de cribado

El objetivo de los métodos de cribado es seleccionar las muestras con contenidos de PCDD, PCDF y PCB similares a las dioxinas que superan los contenidos máximos o los umbrales de intervención. Permitirán procesar un elevado número de muestras en poco tiempo con una buena relación coste-eficacia, aumentando así la oportunidad de descubrir nuevos incidentes con una alta exposición y riesgos para la salud de los consumidores. Su aplicación perseguirá que no se produzcan falsos negativos. Los métodos de cribado podrán ser bioanalíticos o de cromatografía de gases/espectrometría de masas (CG/EM).

Los métodos de cribado comparan el resultado analítico con un valor de corte, lo que permite establecer si se ha superado o no el contenido máximo o el umbral de intervención. La concentración de PCDD o PCDF y la suma de PCDD, PCDF y PCB similares a las dioxinas en las muestras que no cumplen el contenido máximo se determinará o confirmará mediante un método de confirmación.

Además, los métodos de cribado pueden dar una indicación de los niveles de PCDD, PCDF y PCB similares a las dioxinas presentes en la muestra. Si se aplican métodos bioanalíticos de cribado, el resultado se expresa en equivalentes bioanalíticos (EQB), mientras que, si se aplican métodos fisicoquímicos de CG/EM, se expresa en equivalentes tóxicos (EQT). Los resultados de los métodos de cribado, indicados de forma numérica, son adecuados para demostrar el cumplimiento o la sospecha de incumplimiento, o bien la superación de los umbrales de intervención, y ofrecen una indicación de la serie de niveles en caso de seguimiento mediante métodos de confirmación. No son adecuados para fines como la evaluación de los niveles de fondo, la estimación de la dosis, el seguimiento de las tendencias temporales de los contenidos o la nueva evaluación de los umbrales de intervención y los contenidos máximos.

b)  Métodos de confirmación

Los métodos de confirmación permiten la identificación y cuantificación inequívocas de PCDD, PCDF y PCB similares a las dioxinas presentes en una muestra y proporcionan información completa a nivel de los congéneres. Por lo tanto, esos métodos permiten el control de los contenidos máximos y los umbrales de intervención, incluida la confirmación de los resultados obtenidos por métodos de cribado. Además, los resultados pueden utilizarse para otros fines, como la determinación de niveles bajos en el seguimiento de los piensos, para el seguimiento de sus tendencias temporales, la evaluación de la exposición y la creación de una base de datos para poder evaluar de nuevo los umbrales de intervención y los contenidos máximos. Son importantes también para elaborar patrones de congéneres con objeto de identificar la fuente de una posible contaminación. Estos métodos utilizan la CG-EMAR. Para confirmar la conformidad con el contenido máximo, también puede recurrirse a la CG-EM/EM.

2.    Antecedentes

Para calcular las concentraciones de EQT se multiplicará la concentración de cada sustancia de una muestra dada por su respectivo factor de equivalencia tóxica (FET) (véase la nota a pie de página 1 del capítulo I) y se suman luego los resultados para obtener la concentración total de compuestos similares a dioxinas expresados en EQT.

A efectos de la presente parte B, el límite de cuantificación específico aceptado de un congénere individual será el contenido más bajo de análito que puede medirse con una certeza estadística razonable y que cumple requisitos de identificación como los descritos en normas reconocidas internacionalmente, por ejemplo, en la norma EN 16215:2012 (Alimentos para animales. Determinación de dioxinas, de PCB como dioxinas y de PCB indicadores mediante GC/HRMS) o en los métodos EPA 1613 y 1668 modificados.

El límite de cuantificación de cada congénere puede identificarse como:

a) la concentración de un análito en el extracto de una muestra que produce una respuesta instrumental a dos iones diferentes que debe controlarse con una relación señal/ruido (S/R) de 3/1 para la señal de datos brutos menos intensiva; o

b) si, por razones técnicas, el cálculo de señal a ruido no ofrece resultados fiables, el punto de concentración más bajo en una curva de calibración que presenta una desviación aceptable (≤ 30 %) y coherente (medida, al menos, al principio y al final de una serie analítica de muestras) con respecto al factor de respuesta relativo medio calculado para todos los puntos en la curva de calibración en cada serie de muestras; el límite de cuantificación se calcula a partir del punto de concentración más bajo teniendo en cuenta la recuperación de los patrones internos y la dosis de muestra.

Los métodos bioanalíticos de cribado no darán resultados a nivel de congénere, sino una simple indicación ( 25 ) del nivel de EQT, expresado en EQB, como signo de que no todos los compuestos presentes en un extracto de muestra que producen una respuesta en la prueba pueden cumplir o cumplen todos los requisitos del principio EQT.

Los métodos de cribado y los de confirmación solo pueden aplicarse para el control de una matriz determinada si son suficientemente sensibles para detectar de forma fiable los contenidos al nivel de umbral de intervención o de contenido máximo.

3.    Requisitos de aseguramiento de la calidad

3.1.

Deberán tomarse las medidas pertinentes para evitar la contaminación cruzada en cada fase del procedimiento de toma de muestras y de análisis.

3.2.

Las muestras deberán almacenarse y transportarse en recipientes adecuados de vidrio, aluminio, polipropileno o polietileno, que no influyan en los contenidos de PCDD, PCDF y PCB similares a las dioxinas de las muestras. Deberán eliminarse los restos de polvo de papel del recipiente que contiene la muestra.

3.3.

El almacenamiento y el transporte de las muestras de piensos deberán realizarse de modo que se preserve la integridad de las mismas.

3.4.

En su caso, cada muestra de laboratorio deberá triturarse finamente y mezclarse a conciencia mediante un procedimiento con el que esté demostrado que se obtiene una homogeneización completa (por ejemplo, triturar hasta que pase por un tamiz de 1 mm). Las muestras deberán secarse antes de triturarse si su contenido de humedad es muy elevado.

3.5.

Deberán controlarse los reactivos, los recipientes de vidrio y el resto del equipo para comprobar que no influyen en los resultados de EQT o EQB.

3.6.

Deberá efectuarse un análisis en blanco realizando todo el procedimiento analítico, únicamente sin la muestra.

3.7.

Para los métodos bioanalíticos, deberá comprobarse que todo el material de vidrio y los disolventes utilizados en el análisis están libres de compuestos que interfieran con la detección de los compuestos objeto de estudio en el intervalo de trabajo. El material de vidrio deberá enjuagarse con disolventes o calentarse a temperaturas adecuadas para eliminar de su superficie los restos de PCDD, PCDF, compuestos similares a dioxinas y demás compuestos que puedan interferir.

3.8.

La cantidad de la muestra utilizada para la extracción deberá ser la suficiente para que se cumplan los requisitos relativos a un intervalo de trabajo lo suficientemente bajo, incluidas las concentraciones máximas o los umbrales de intervención.

3.9.

Los procedimientos concretos de preparación de muestras que se empleen para los productos en cuestión deberán cumplir directrices aceptadas a nivel internacional.

4.    Requisitos que deben cumplir los laboratorios

4.1.

De conformidad con lo dispuesto en el Reglamento (CE) n.o 882/2004, los laboratorios deberán estar acreditados por un organismo reconocido que opere de conformidad con la Guía ISO 58, de modo que esté garantizado que aplican un aseguramiento de la calidad analítica. Dicha acreditación deberá efectuarse conforme a la norma EN ISO/IEC 17025. Deberán aplicarse, cuando proceda, los principios que se describen en las «Technical Guidelines for the estimation of measurement uncertainty and limits of quantification for PCDD/F and PCB analysis» ( 26 ),

4.2.

La aptitud del laboratorio se demostrará mediante su participación continua y exitosa en estudios interlaboratorios para la determinación de PCDD, PCDF y PCB similares a las dioxinas en las matrices de piensos y los intervalos de concentración pertinentes.

4.3.

Los laboratorios que apliquen métodos de cribado para los controles sistemáticos de muestras colaborarán estrechamente con los que aplican el método de confirmación, tanto para el control de calidad como para la confirmación del resultado analítico de muestras sospechosas.

5.    Requisitos básicos que deben cumplir los procedimientos analíticos aplicables a las dioxinas (PCDD/PCDF) y a los PCB similares a las dioxinas

5.1.    Intervalo de trabajo y límites de cuantificación bajos

En el caso de las PCDD o los PCDF, las cantidades detectables deberán encontrarse en el intervalo superior de los femtogramos (10– 15 g), dada la extrema toxicidad de algunos de estos compuestos. Para la mayoría de los congéneres del grupo de los PCB, es suficiente un límite de cuantificación en el intervalo de nanogramos (10– 9 g). Para medir los congéneres más tóxicos de los PCB similares a las dioxinas (en particular, los congéneres no ortosustituidos), el extremo inferior del intervalo de trabajo deberá bajar hasta el nivel de picogramos (10– 12 g). Para todos los demás congéneres de PCB, es suficiente una sensibilidad en el intervalo de los nanogramos (10– 9 g).

5.2.    Selectividad elevada (especificidad)

5.2.1.

Es necesario establecer una distinción entre PCDD/PCDF y PCB similares a las dioxinas y una multitud de otros compuestos extraídos simultáneamente de la muestra, capaces de interferir, y que están presentes en concentraciones de hasta varios órdenes de magnitud superiores a las de los análitos considerados. Por lo que respecta a los métodos de CG/EM, es necesario distinguir entre varios congéneres, en particular entre los tóxicos (por ejemplo, los diecisiete PCDD y PCDF sustituidos en las posiciones 2, 3, 7 y 8 y los doce PCB similares a las dioxinas) y los demás.

5.2.2.

Los métodos bioanalíticos estarán en condiciones de detectar los compuestos objeto de estudio como la suma de PCDD/PCDF y/o PCB similares a las dioxinas. La limpieza de las muestras irá destinada a eliminar compuestos que provoquen falsos positivos o compuestos que puedan disminuir la respuesta, dando lugar a falsos negativos.

5.3.    Alto grado de exactitud (veracidad y precisión, recuperación aparente del bioensayo)

5.3.1.

Para los métodos de CG/EM, la determinación deberá proporcionar una estimación válida de la concentración real en una muestra. Es necesario alcanzar una exactitud elevada a fin de evitar que el resultado del análisis de una muestra sea rechazado debido a la escasa fiabilidad de la estimación de EQT. La exactitud se expresa como veracidad (diferencia entre el valor medio medido de un análito en un material certificado y su valor certificado, expresado como porcentaje de este valor) y precisión (desviación estándar relativa RSDR, calculada a partir de los resultados obtenidos en condiciones de reproducibilidad).

5.3.2.

Para los métodos bioanalíticos, deberá determinarse la recuperación aparente del bioensayo. La recuperación aparente del bioensayo es el valor EQB calculado a partir de la curva de calibración de la TCDD o del PCB 126 corregida en función del resultado de ensayo en blanco y dividida después por el valor EQT determinado por el método de confirmación. Con ello se pretende corregir factores como la pérdida de PCDD, PCDF y compuestos similares a las dioxinas durante la extracción y la limpieza, los compuestos que se extraen simultáneamente y aumentan o reducen la respuesta (efectos agonista y antagonista), la calidad del ajuste de la curva, o las diferencias entre los valores del FET y de la potencia relativa (REP). La recuperación aparente del bioensayo se calcula a partir de muestras de referencia adecuadas que tengan pautas de congéneres representativas en torno al nivel considerado.

5.4.    Validación en el intervalo del nivel considerado y medidas generales de control de calidad

5.4.1.

Los laboratorios deberán demostrar el funcionamiento de un método en el intervalo del contenido máximo, por ejemplo 0,5, 1 y 2 veces el contenido máximo, con un coeficiente de variación aceptable para análisis repetidos durante el procedimiento de validación y durante análisis sistemáticos.

5.4.2.

Como medidas internas de aseguramiento de la calidad, deberán realizarse regularmente controles en blanco y experimentos con muestras enriquecidas o análisis de muestras de control (de preferencia, si existe, material de referencia certificado). Estos controles en blanco y experimentos con muestras enriquecidas o análisis de muestras de control se registrarán en fichas de control y se comprobarán para verificar que el análisis cumple los requisitos de funcionamiento.

5.5.    Límite de cuantificación

5.5.1.

No es indispensable establecer un límite de cuantificación para los métodos bioanalíticos de cribado, pero deberá demostrarse que el método discrimina entre el blanco y el valor de corte. Cuando se ofrezca un nivel de EQB, se establecerá un nivel de referencia para tratar las muestras que presenten una respuesta por debajo de este nivel. Debe demostrarse que el nivel de notificación es diferente, al menos, por un factor de tres, de las muestras en blanco con una respuesta inferior al intervalo de trabajo. Por lo tanto, debe calcularse a partir de muestras que contengan los compuestos objeto de estudio en torno al nivel mínimo exigido, y no de una relación señal/ruido (S/R) ni de un ensayo en blanco.

5.5.2.

En un método de confirmación, el límite de cuantificación debe ser aproximadamente de un quinto del contenido máximo.

5.6.    Criterios de análisis

Para obtener resultados fiables con los métodos de confirmación o de cribado, en el intervalo del contenido máximo deberán cumplirse los siguientes criterios para el valor EQT o EQB, respectivamente, ya se determinen como EQT total o EQB total (suma de PCDD/PCDF y PCB similares a las dioxinas) o por separado para PCDD, PCDF y PCB similares a las dioxinas:



 

Cribado por métodos bioanalíticos o fisicoquímicos

Métodos de confirmación

Porcentaje de falsos negativos (1)

< 5 %

 

Veracidad

 

– 20 % a + 20 %

Repetibilidad (RSDr)

< 20 %

 

Precisión intermedia (RSDR)

< 25 %

< 15 %

(1)   Con respecto a los contenidos máximos.

5.7.    Requisitos específicos para métodos de cribado

5.7.1.

El cribado podrá realizarse tanto utilizando métodos de CG/EM como métodos bioanalíticos. En el caso de los métodos de CG/EM deben cumplirse los requisitos establecidos en el punto 6. Para los métodos bioanalíticos en células se establecen requisitos específicos en el punto 7.

5.7.2.

Los laboratorios que aplican métodos de cribado para los controles sistemáticos de muestras cooperarán estrechamente con los que aplican el método de confirmación.

5.7.3.

Durante los análisis sistemáticos es necesario verificar el rendimiento del método de cribado, mediante un control de la calidad analítica y la validación del método en curso. Existirá un programa continuo para controlar la conformidad de los resultados.

5.7.4.

Comprobación de la posible supresión de la respuesta celular y la citotoxicidad.

Un 20 % de los extractos de muestra se medirán a través de un cribado sistemático con y sin adición de TCDD en las posiciones 2, 3, 7 y 8, correspondientes al contenido máximo o al umbral de intervención, para comprobar si se ha podido suprimir la respuesta a causa de sustancias interfirientes presentes en el extracto de muestra. La concentración medida de la muestra enriquecida se compara a la suma de la concentración del extracto no enriquecido más la concentración de enriquecimiento. Si esta concentración medida es inferior en más de un 25 % a la concentración (sumatoria) calculada, constituye una indicación de posible supresión de la señal, y la muestra en cuestión ha de someterse a análisis de confirmación mediante GC/HRMS. Los resultados se controlarán por medio de gráficos de control de calidad.

5.7.5.

Control de calidad de las muestras conformes.

Aproximadamente entre un 2 % y un 10 % de las muestras conformes, en función de la matriz de la muestra y de la experiencia de laboratorio, deberán confirmarse por CGAR o EMAR.

5.7.6.

Determinación de los porcentajes de falsos negativos a partir de los datos de control de calidad.

Deberá determinarse el porcentaje de resultados falsos negativos en el cribado de muestras por debajo y por encima del contenido máximo o del umbral de intervención. Los porcentajes reales de falsos negativos deberán ser inferiores al 5 %. Cuando se disponga de un mínimo de veinte resultados confirmados por matriz o grupo de matrices a partir del control de calidad de las muestras conformes, de esta base de datos se extraerán conclusiones sobre el porcentaje de falsos negativos. Los resultados de las muestras analizadas en ensayos interlaboratorios o durante incidentes de contaminación, que cubran un intervalo de concentración de, por ejemplo, hasta el doble del contenido máximo, pueden también incluirse en el mínimo de veinte resultados para la evaluación del porcentaje de falsos negativos. Las muestras cubrirán los patrones de congéneres más frecuentes, que representen diversas fuentes.

Aunque el cribado se destina sobre todo a detectar muestras que superan el umbral de intervención, el criterio para determinar el porcentaje de falsos negativos es el contenido máximo, teniendo en cuenta la incertidumbre ampliada de medición del método de confirmación.

5.7.7.

Tras un cribado, las posibles muestras no conformes se verificarán siempre mediante un nuevo análisis completo de la muestra original por un método analítico de confirmación. Esas muestras se pueden usar asimismo para evaluar el porcentaje de falsos positivos. Para los métodos de cribado, el porcentaje de falsos positivos será la fracción de resultados confirmados conformes mediante análisis de confirmación, cuando en el cribado previo la muestra había sido declarada presuntamente no conforme. La evaluación de las ventajas del método de cribado se basará en la comparación de las muestras falsas positivas con el número total de muestras comprobadas. Ese índice deberá ser lo suficientemente bajo para que la herramienta de cribado resulte ventajosa.

5.7.8.

En condiciones de validación, los métodos bioanalíticos deberán proporcionar una indicación válida del nivel de EQT, calculado y expresado como EQB.

También en el caso de métodos bioanalíticos empleados en condiciones repetidas, la RSDr intralaboratorio suele ser inferior que en condiciones de reproducibilidad (RSDR).

6.    Requisitos específicos que deben cumplir los métodos CG/EM utilizados con fines de cribado o de confirmación

6.1.    Diferencias aceptables entre los resultados de límite superior y límite inferior de EQT-OMS

La diferencia entre el límite superior y el límite inferior no superará el 20 % para la confirmación de la superación del contenido máximo o, en caso de necesidad, de los umbrales de intervención.

6.2.    Control de la recuperación

6.2.1.

A fin de validar el procedimiento analítico, será preciso añadir, desde el mismo comienzo del método analítico —por ejemplo, antes de la extracción—, patrones internos de PCDD/PCDF marcados con C13 clorosustituidos en las posiciones 2, 3, 7 y 8 y patrones internos de PCB similares a las dioxinas marcados con C13. Se añadirá al menos un congénere por cada grupo homólogo tetra a octoclorado de PCDD/PCDF y al menos un congénere por cada grupo homólogo de PCB similares a las dioxinas (otra posibilidad es añadir al menos un congénere por cada función de registro de iones seleccionada por espectrometría de masas y utilizada para el control de PCDD/PCDF y PCB similares a las dioxinas). En los métodos de confirmación, se utilizarán los diecisiete patrones internos de PCDD/PCDF sustituidos en las posiciones 2, 3, 7 y 8 y marcados con C13, así como los doce patrones internos de PCB similares a las dioxinas marcados con C13.

6.2.2.

Habrán de determinarse asimismo los factores de respuesta relativos en el caso de los congéneres para los que no se añada ningún análogo marcado con C13, por medio de soluciones de calibración apropiadas.

6.2.3.

Para los piensos de origen vegetal y de origen animal con un contenido de grasa inferior al 10 %, será obligatorio añadir patrones internos antes de proceder a la extracción. En el caso de los piensos de origen animal con un contenido de grasa superior al 10 %, los patrones internos pueden añadirse antes o después de la extracción de grasas. Deberá validarse adecuadamente la eficacia de la extracción, en función de la fase en la que se introduzcan los patrones internos.

6.2.4.

Con anterioridad al análisis mediante CG/EM, deberán añadirse uno o dos patrones de recuperación (sustitutos).

6.2.5.

Es preciso realizar un control de la recuperación. Para los métodos de confirmación, los porcentajes de recuperación de cada patrón interno deberán situarse en un intervalo del 60 % al 120 %. En el caso de congéneres individuales, en particular en relación con algunas dibenzo-p-dioxinas y algunos dibenzofuranos hepta y octoclorados, podrán aceptarse porcentajes de recuperación inferiores o superiores, siempre y cuando su contribución al valor de EQT no supere el 10 % del valor total de EQT (suma de PCDD/PCDF y PCB similares a las dioxinas). Para los métodos de cribado por CG/EM, los porcentajes de recuperación deberán situarse en un intervalo del 30 % al 140 %.

6.3.    Eliminación de sustancias interfirientes

 Los PCDD/PCDF se separarán de los compuestos clorados interfirientes, tales como los PCB no similares a las dioxinas y los éteres difenílicos clorados, mediante técnicas de cromatografía adecuadas (de preferencia con una columna de florisil, alúmina o carbono, o de varios de ellos).

 La separación de los isómeros por cromatografía de gases será < 25 % de pico a pico entre 1,2,3,4,7,8-HxCDF y 1,2,3,6,7,8-HxCDF.

6.4.    Calibración con curva estándar

El intervalo de la curva de calibración cubrirá el intervalo pertinente del contenido máximo o de los umbrales de intervención.

6.5.    Requisitos específicos para métodos de confirmación

 Para CG/EMAR:

 

En EMAR, la resolución será normalmente mayor o igual a 10 000 para todo el intervalo de masa a un valle del 10 %.

Cumplimiento de otros criterios de identificación y confirmación, tal como se describen en normas reconocidas internacionalmente, por ejemplo en la norma EN 16215:2012 (Alimentos para animales. Determinación de dioxinas, de PCB como dioxinas y de PCB indicadores mediante GC/HRMS) o en los métodos EPA 1613 y 1668 modificados.

 Para CG-EM/EM:

 

Control de al menos dos iones precursores específicos, cada uno con un ion de transición correspondiente específico producido para todos los análitos marcados y no marcados en el ámbito de aplicación de los análisis.

Tolerancia máxima permitida de las intensidades relativas del ion de ± 15 % para iones de transición seleccionados producidos en comparación con los valores calculados o medidos (media de los patrones de calibración), en condiciones idénticas de EM/EM, en particular energía de colisión y presión del gas de colisión, para cada transición de un análito.

La resolución de cada cuadripolo debe ser igual o superior a la resolución de masa unitaria (resolución de masa unitaria: resolución suficiente para separar dos picos de una unidad de masa) con el fin de minimizar las posibles interferencias con los análitos considerados.

Cumplimiento de los demás criterios de identificación y confirmación, tal como se describen en normas reconocidas internacionalmente, por ejemplo en la norma EN 16215:2012 (Alimentos para animales. Determinación de dioxinas, de PCB como dioxinas y de PCB indicadores mediante GC/HRMS) o en los métodos EPA 1613 y 1668 modificados, excepto la obligación de utilizar CG/EMAR.

7.    Requisitos específicos para métodos bioanalíticos

Los métodos bioanalíticos son métodos basados en el uso de principios biológicos como los ensayos celulares, los ensayos sobre el receptor o los inmunoensayos. El presente punto 7 establece requisitos para los métodos bioanalíticos en general.

Un método de cribado en principio clasifica una muestra como conforme o presuntamente no conforme. Para ello, se compara el nivel de EQB calculado con el valor de corte (véase el punto 7.3). Las muestras por debajo del valor de corte se consideran conformes, y las muestras iguales o superiores al valor de corte, presuntamente no conformes, lo que exige un análisis mediante un método de confirmación. En la práctica, un EQB correspondiente a dos tercios del contenido máximo puede servir como valor de corte siempre que se garantice un porcentaje de falsos negativos inferior a 5 % y un porcentaje aceptable de falsos positivos. Con contenidos máximos separados de PCDD/PCDF y de la suma de PCDD/PCDF y PCB similares a las dioxinas, comprobar la conformidad de las muestras sin fraccionamiento requiere unos valores de corte de bioensayo adecuados de PCDD/PCDF. Para el control de las muestras que superan los umbrales de intervención, podrá tomarse como valor de corte un porcentaje adecuado de los mismos.

Si un valor indicativo se expresa en EQB, los resultados de las muestras estarán en el intervalo de trabajo y superarán el límite de notificación (véanse los puntos 7.1.1 y 7.1.6).

7.1.    Evaluación de la respuesta al ensayo

7.1.1.    Condiciones generales

 Cuando se calculan las concentraciones a partir de una curva de calibración de TCDD, los valores del límite superior de la curva presentarán una gran variación (elevado coeficiente de variación, CV). El intervalo de trabajo es el área en que dicho CV es inferior a 15 %. El extremo inferior del intervalo de trabajo (límite de comunicación) deberá establecerse, como mínimo, en el triple del de los análisis en blanco. El límite superior del intervalo de trabajo se suele representar por el valor EC70 (70 % de concentración efectiva máxima), pero se sitúa en un nivel inferior si el CV es superior al 15 % en este intervalo. El intervalo de trabajo se establecerá durante el procedimiento de validación. Los valores de corte (véase el punto 7.3) estarán plenamente dentro del intervalo de trabajo.

 Las soluciones estándar y los extractos de muestras deberán someterse a ensayo por triplicado o, como mínimo, por duplicado. Cuando se usan duplicados, una solución estándar o un extracto testigo probado en cuatro a seis recipientes repartidos por la placa producirán una respuesta o una concentración (solo posible en el intervalo de trabajo) basada en un CV < 15 %.

7.1.2.    Calibración

7.1.2.1.   Calibración con curva estándar

 Los contenidos de las muestras se calcularán comparando la respuesta del ensayo con una curva de calibración de la TCDD (o PCB 126, o una mezcla estándar de PCDD, PCDF y PCB similares a las dioxinas) para calcular el EQB del extracto y, posteriormente, de la muestra.

 Las curvas de calibración contendrán de ocho a doce concentraciones (como mínimo por duplicado), con concentraciones suficientes en la parte inferior de la curva (intervalo de trabajo). Se prestará una atención especial a la calidad del ajuste de la curva en el intervalo de trabajo. Como tal, el valor R2 tiene poco o ningún valor para estimar la adecuación del ajuste en regresión no lineal. Se logrará un mejor ajuste reduciendo la diferencia entre los contenidos calculados y los observados en el intervalo de trabajo de la curva, por ejemplo minimizando la suma de los cuadrados de la variación.

 Después se corregirá el nivel calculado para el extracto de la muestra en función del EQB calculado para una muestra en blanco de matriz o disolvente (para tener en cuenta las impurezas procedentes de los disolventes o productos químicos utilizados) y en función de la recuperación aparente (calculada a partir del EQB de las muestras de referencia pertinentes con pautas representativas de congéneres en torno al contenido máximo o al umbral de intervención). Para corregir la recuperación, la recuperación aparente habrá de encontrarse en el intervalo requerido (véase el punto 7.1.4). Las muestras de referencia utilizadas para la corrección de la recuperación deberán cumplir los requisitos establecidos en el punto 7.2.

7.1.2.2.   Calibración con muestras de referencia

Como alternativa podrá utilizarse una curva de calibración preparada, como mínimo, a partir de cuatro muestras de referencia (véase el punto 7.2.4): una matriz en blanco y tres muestras de referencia de 0,5, 1 y 2 veces el contenido máximo o el umbral de intervención, lo que evita tener que corregir en función del blanco y de la recuperación, si las propiedades de la matriz de las muestras de referencia se corresponden con las de las muestras desconocidas. En este caso, la respuesta correspondiente a dos tercios del contenido máximo (véase el punto 7.3) puede calcularse directamente de estas muestras y utilizarse como valor de corte. Para el control de las muestras que superan los umbrales de intervención, podrá tomarse como valor de corte un porcentaje adecuado de los mismos.

7.1.3.    Determinación por separado de PCDD/PCDF y PCB similares a las dioxinas

Los extractos pueden dividirse en fracciones que contengan PCDD/PCDF y PCB similares a las dioxinas, permitiendo de esa forma una indicación separada de niveles de PCDD/PCDF y PCB similares a las dioxinas (en EQB). Se utilizará preferiblemente una curva de calibración estándar del PCB 126 para evaluar los resultados de la fracción que contenga PCB similares a las dioxinas.

7.1.4.    Recuperaciones aparentes de los bioensayos

La «recuperación aparente de los bioensayos» se calculará a partir de muestras de referencia adecuadas con patrones de congéneres representativos próximos al contenido máximo o al umbral de intervención y expresados en porcentaje del valor EQB en comparación con el nivel de EQT. Según el tipo de ensayo y el esquema de FET utilizados ( 27 ), las diferencias entre el FET y la REP para los PCB similares a las dioxinas pueden producir una baja recuperación aparente en PCB similares a las dioxinas, en comparación con las PCDD o los PCDF. Por tanto, si se determinan por separado las PCDD, los PCDF y los PCB similares a las dioxinas, las recuperaciones aparentes de bioensayo serán: para los PCB similares a las dioxinas, del 20 % al 60 %; para las PCDD y los PCDF, del 50 % al 130 % (si se emplea la curva de calibración TCDD). La contribución de los PCB similares a las dioxinas a la suma de PCDD/PCDF y PCB similares a las dioxinas puede variar entre diferentes matrices y muestras, por lo que las recuperaciones aparentes de bioensayos para la suma de PCDD/PCDF y PCB similares a las dioxinas reflejan estos intervalos y se situarán entre el 30 % y el 130 %. Cualquier modificación sustancial para la legislación de la Unión de los FET revisados de PCDD, PCDF y PCB similares a las dioxinas exige revisar estos intervalos.

7.1.5.    Control de la recuperación para la limpieza

La pérdida de compuestos durante la fase de limpieza deberá comprobarse durante el procedimiento de validación. Una muestra en blanco enriquecida con una mezcla de diferentes congéneres se someterá a limpieza (n = 3 por lo menos) y la recuperación y la variabilidad se comprobarán mediante un análisis por método de confirmación. La recuperación deberá hallarse entre el 60 % y el 120 %, especialmente en el caso de los congéneres que contribuyen con más del 10 % al EQT en varias mezclas.

7.1.6.    Límite de comunicación

Al notificar los valores EQB, se determinará un límite de notificación a partir de muestras de matriz pertinentes que incluyan patrones de congéneres tipo, y no a partir de la curva de calibración de los patrones a causa de la falta de precisión del intervalo inferior de la curva. Se tendrán en cuenta los efectos de la extracción y la limpieza. El límite de comunicación se establecerá, como mínimo, en el triple del de los análisis en blanco.

7.2.    Utilización de muestras de referencia

7.2.1.

Las muestras de referencia deberán representar la matriz de la muestra, las pautas de congénere y los intervalos de concentración de PCDD, PCDF y PCB similares a las dioxinas en torno al contenido máximo o al umbral de intervención.

7.2.2.

En cada serie de ensayos se incluirán una matriz en blanco (si no es posible, una prueba en blanco) y una muestra de referencia al contenido máximo o del umbral de intervención. Estas muestras deberán extraerse y analizarse al mismo tiempo y en condiciones idénticas. Como garantía de que el ensayo es adecuado, la muestra de referencia deberá presentar una respuesta claramente superior a la de la muestra en blanco. Esas muestras pueden usarse para la corrección del blanco y de la recuperación.

7.2.3.

Las muestras de referencia elegidas para corregir la recuperación serán representativas de las muestras de ensayo, lo que significa que las pautas de congénere no pueden dar lugar a una subestimación de los contenidos.

7.2.4.

Deberán incluirse otras muestras de referencia de, por ejemplo, 0,5 y 2 veces el contenido máximo o el umbral de intervención, a fin de demostrar el correcto funcionamiento del ensayo en el intervalo pertinente para el control del contenido máximo o del umbral de intervención. Combinadas, estas muestras pueden utilizarse para calcular los EQB en las muestras de ensayo (véase el punto 7.1.2.2).

7.3.    Determinación de los valores de corte

Deberá establecerse la relación entre los resultados bioanalíticos en EQB y los resultados del método de confirmación en EQT, por ejemplo mediante experimentos de calibración ajustados por matrices, con muestras de referencia enriquecidas a 0, 0,5, 1 y 2 veces el contenido máximo, y con seis repeticiones de cada nivel (n = 24). Los factores de corrección (del blanco y de la recuperación) pueden calcularse a partir de esta relación, pero se verificarán con arreglo al punto 7.2.2.

Se establecerán valores de corte para decidir si una muestra es conforme a los contenidos máximos o para controlar los umbrales de intervención, si procede, con los respectivos contenidos máximos o umbrales de intervención fijados para las PCDD, los PCDF y los PCB similares a las dioxinas por separado, o para la suma de los tres. Estos valores de corte representan el criterio de valoración más bajo de la distribución de los resultados bioanalíticos (corregidos en función del blanco y de la recuperación) correspondientes al límite de decisión del método de confirmación con un nivel de confianza del 95 %, lo que implica un porcentaje de falsos negativos < 5 %, y con una RSDR < 25 %. El límite de decisión del método de confirmación es el contenido máximo, teniendo en cuenta la incertidumbre ampliada de medición.

El valor de corte (en EQB) puede calcularse con arreglo a uno de los métodos establecidos en los puntos 7.3.1, 7.3.2 y 7.3.3 (véase la figura 1).

7.3.1.

Uso de la banda inferior del intervalo de predicción del 95 % en el límite de decisión del método de confirmación

image

Donde:

EQBLD

El EQB correspondiente al límite de decisión del método de confirmación es el contenido máximo, teniendo en cuenta la incertidumbre ampliada de medición.

sy,x

desviación estándar residual

t α,f = m-2

factor t de Student (α = 5 %, f = grados de libertad, por una cara)

m

número total de puntos de calibración (índice j)

n

número de repeticiones en cada nivel

xi

concentración de la muestra (en EQT) del punto de calibración i determinada por un método de confirmación

image

media de las concentraciones (en EQT) de todas las muestras de calibración

image

parámetro suma de cuadrados; i = índice del punto de calibración i

7.3.2.

Cálculo a partir de resultados bioanalíticos (corregidos en función del blanco y de la recuperación) de múltiples análisis de muestras (n ≥ 6) contaminadas en el límite de decisión del método de confirmación, como el criterio de valoración más bajo de la distribución de los datos en la correspondiente media de EQB:

Valor de corte = EQBLD – 1,64 × SDR

Donde:

SDR

desviación estándar de los resultados de los bioensayos en EQBDL, medidos en condiciones de reproducibilidad intralaboratorio

7.3.3.

Cálculo como valor medio de los resultados bioanalíticos (en EQB, corregidos en función del blanco y de la recuperación) de múltiples análisis de muestras (n ≥ 6) contaminadas a dos tercios del contenido máximo o del umbral de intervención, pues se observa que este nivel se halla en torno al valor de corte determinado con arreglo al punto 7.3.1 o al punto 7.3.2:

Cálculo de los valores de corte con un nivel de confianza del 95 %, lo que implica un porcentaje de falsos negativos < 5 %, y con una RSDR < 25 %:

1) A partir de la banda inferior del intervalo de predicción del 95 % en el límite de decisión del método de confirmación.

2) A partir de múltiples análisis de muestras (n ≥ 6) contaminadas en el límite de decisión del método de confirmación, como el criterio de valoración más bajo de la distribución de los datos (representado en la figura por una curva en forma de campana) en la correspondiente media de EQB.

image

7.3.4.

Restricciones de los valores de corte

Los valores de corte basados en el EQB y calculados a partir de la RSDR obtenida durante la validación utilizando un reducido número de muestras con diferentes pautas de matriz o de congénere pueden ser superiores a los contenidos máximos o umbrales de intervención basados en EQT, pues así se alcanza más precisión que en los análisis sistemáticos, en los cuales hay que controlar un espectro desconocido de posibles pautas de congénere. En tales casos, los valores de corte se calcularán a partir de una RSDR = 25 %, o, mejor, de dos tercios del contenido máximo o del umbral de intervención.

7.4.    Características de funcionamiento

7.4.1.

Puesto que en los métodos bioanalíticos no pueden utilizarse patrones internos, deberán efectuarse ensayos de la repetibilidad de los métodos bioanalíticos para obtener datos sobre la desviación estándar en una serie de ensayos y entre las mismas series. La repetibilidad será inferior al 20 %, y la reproducibilidad intralaboratorio inferior al 25 %, sobre la base de los niveles calculados en EQB tras la corrección en función del blanco y de la recuperación.

7.4.2.

Como parte del proceso de validación, tendrá que demostrarse que las pruebas permiten discriminar entre una muestra en blanco y un contenido en el valor de corte, de modo que puedan identificarse las muestras con contenido superior al correspondiente valor de corte (véase el punto 7.1.2).

7.4.3.

Deberán identificarse claramente los compuestos objeto de estudio, las posibles interferencias y los contenidos máximos tolerables de blanco.

7.4.4.

La desviación estándar de la respuesta o la concentración calculada a partir de la respuesta (solo posible en el intervalo de trabajo) de una determinación por triplicado de un extracto de muestra no podrá ser superior al 15 %.

7.4.5.

Los resultados no corregidos de la muestra o las muestras de referencia expresados en EQB (en blanco y en el contenido máximo o umbral de intervención) se utilizarán para evaluar el funcionamiento del método bioanalítico durante un período de tiempo constante.

7.4.6.

Los controles en blanco y cada tipo de muestras de referencia se registrarán en fichas de control y se comprobarán para verificar que el análisis cumple los requisitos de funcionamiento; los controles en blanco, en particular, con respecto a la requerida diferencia mínima con el extremo inferior del intervalo de trabajo, y las muestras de referencia, en cuanto a la reproducibilidad intralaboratorio. Las pruebas en blanco se controlarán de modo que se eviten los falsos negativos al sustraer los valores.

7.4.7.

Los resultados de los métodos de confirmación de muestras sospechosas y entre el 2 % y el 10 % de las muestras conformes (mínimo de veinte muestras por matriz) se recopilarán y utilizarán para evaluar el funcionamiento del método de cribado y la relación entre EQB y EQT. Esta base de datos puede utilizarse para evaluar de nuevo los valores de corte aplicables a las muestras sistemáticas de las matrices validadas.

7.4.8.

También se puede demostrar el funcionamiento satisfactorio del método participando en ensayos interlaboratorios. Los resultados de las muestras analizadas en ensayos interlaboratorios, que cubran una gama de concentración de hasta, por ejemplo, dos veces el contenido máximo, podrán tenerse en cuenta para evaluar el porcentaje de falsos negativos, una vez que un laboratorio haya demostrado su correcto funcionamiento. Las muestras cubrirán los patrones de congéneres más frecuentes, que representen diversas fuentes.

7.4.9.

Durante los incidentes, se pueden volver a evaluar los valores de corte, para reflejar la matriz y los patrones de congéneres específicos de ese mismo incidente.

8.    Comunicación de los resultados

8.1.    Métodos de confirmación

8.1.1.

Los resultados del análisis incluirán los niveles de los congéneres individuales de PCDD/PCDF y PCB similares a las dioxinas y se indicarán como límite inferior, límite superior y límite intermedio, a fin de incluir el máximo de información posible en la notificación de los resultados, lo que permitirá así interpretarlos en función de los requisitos específicos.

8.1.2.

La notificación indicará el método utilizado para la extracción de PCDD, PCDF y PCB similares a las dioxinas.

8.1.3.

Deberán indicarse los porcentajes de recuperación de cada patrón interno cuando estén fuera del intervalo mencionado en el punto 6.2.5 o se supere el contenido máximo (en este caso, los porcentajes de recuperación de uno de los dos análisis duplicados), así como en otros casos cuando se solicite.

8.1.4.

Puesto que, al decidir sobre la conformidad de una muestra, se ha de tener en cuenta la incertidumbre ampliada de medición, también se indicará este parámetro. Así pues, los resultados analíticos deberán expresarse como x +/- U, donde x es el resultado analítico y U es la incertidumbre ampliada de medición, aplicando un factor de cobertura de 2, que ofrece un nivel de confianza aproximado del 95 %. Si se determinan por separado las PCDD, los PCDF y los PCB similares a las dioxinas, para establecer su suma se utilizará la suma de la incertidumbre ampliada estimada de los resultados analíticos obtenidos por separado de cada uno de ellos.

8.1.5.

Los resultados deberán expresarse en las mismas unidades y, como mínimo, con el mismo número de cifras significativas que los contenidos máximos establecidos en la Directiva 2002/32/CE.

8.2.    Métodos bioanalíticos de cribado

8.2.1.

El resultado del cribado se expresará como «conforme» o «presuntamente no conforme» («sospechoso»).

8.2.2.

Además, podrá indicarse un resultado indicativo de PCDD/PCDF o PCB similares a las dioxinas expresados en EQB, y no en EQT.

8.2.3.

Las muestras con contenido «inferior al límite de comunicación» se indicarán como tales. Las muestras cuya respuesta sea superior al intervalo de trabajo se notificarán como muestras que «superan el intervalo de trabajo» y el nivel correspondiente al límite superior del intervalo de trabajo se expresará en EQB.

8.2.4.

Para cada tipo de matriz de la muestra, la notificación mencionará el contenido máximo o el umbral de intervención en el que se basa la evaluación.

8.2.5.

La notificación mencionará el tipo de ensayo realizado, sus principios básicos y el tipo de calibración.

8.2.6.

La notificación indicará el método utilizado para la extracción de PCDD, PCDF y PCB similares a las dioxinas.

8.2.7.

En el caso de las muestras presuntamente no conformes, la notificación debe incluir una nota sobre las medidas que deben tomarse. La concentración de PCDD/PCDF y de la suma de PCDD/PCDF y PCB similares a las dioxinas en esas muestras con niveles elevados debe determinarse o confirmarse mediante un método de confirmación.

8.2.8.

Los resultados no conformes únicamente se notificarán a partir de análisis de confirmación.

8.3.    Métodos fisicoquímicos de cribado

8.3.1.

El resultado del cribado se expresará como «conforme» o «presuntamente no conforme» («sospechoso»).

8.3.2.

Para cada tipo de matriz de la muestra, la notificación mencionará el contenido máximo o el umbral de intervención en el que se basa la evaluación.

8.3.3.

Además, podrán indicarse los niveles de los congéneres individuales de PCDD/PCDF y PCB similares a las dioxinas, así como los valores EQT, como límite inferior, límite superior y límite intermedio. Los resultados deberán expresarse en las mismas unidades y, como mínimo, con el mismo número de cifras significativas que los contenidos máximos establecidos en la Directiva 2002/32/CE.

8.3.4.

Deberán indicarse los porcentajes de recuperación de cada patrón interno cuando estén fuera del intervalo mencionado en el punto 6.2.5 o se supere el contenido máximo (en este caso, los porcentajes de recuperación de uno de los dos análisis duplicados), así como en otros casos cuando se solicite.

8.3.5.

La notificación mencionará el método aplicado de CG-EM.

8.3.6.

La notificación indicará el método utilizado para la extracción de PCDD, PCDF y PCB similares a las dioxinas.

8.3.7.

En el caso de las muestras presuntamente no conformes, la notificación debe incluir una nota sobre las medidas que deben tomarse. La concentración de PCDD/PCDF y de la suma de PCDD/PCDF y PCB similares a las dioxinas en esas muestras con niveles elevados debe determinarse o confirmarse mediante un método de confirmación.

8.3.8.

La no conformidad únicamente se decidirá después de análisis de confirmación.

CAPÍTULO III

Preparación de las muestras y requisitos aplicables a los métodos de análisis utilizados en el control oficial de los contenidos de pcb no similares a las dioxinas en los piensos

1.    Campo de aplicación

Los requisitos establecidos en el presente capítulo se aplicarán al análisis de piensos realizado para el control oficial de los contenidos de PCB no similares a las dioxinas en lo que respecta a la preparación de las muestras y los requisitos analíticos con otros fines reglamentarios, incluidos los controles llevados a cabo por el explotador de la empresa de piensos para garantizar el cumplimiento de lo dispuesto en el Reglamento (CE) n.o 183/2005.

2.    Métodos de detección aplicables

Cromatografía de gases con detección por captura electrónica (CG/ECD), CG/EMBR, CG-EM/EM, CG/EMAR o métodos equivalentes.

3.    Identificación y confirmación de los análitos considerados

3.1.

Tiempo relativo de retención en relación con patrones internos o patrones de referencia (desviación tolerable de +/- 0,25 %).

3.2.

Separación por cromatografía de gases de los PCB no similares a las dioxinas de sustancias interfirientes, especialmente los PCB que eluyen conjuntamente, sobre todo si los niveles de muestras están dentro de los límites legales y debe confirmarse la no conformidad ( 28 ).

3.3.

Requisitos para las técnicas de CG/EM

Control de al menos el siguiente número de iones moleculares o iones característicos del agregado molecular:

a) dos iones específicos en el caso de la EMAR;

b) tres iones específicos en el caso de la EMBR;

c) dos iones precursores específicos, cada uno con un ion de transición correspondiente específico producido en el caso de EM/EM.

Tolerancias máximas permitidas para las relaciones de abundancia relativas a fragmentos de masa seleccionados:

Desviación relativa de la relación de abundancia de los fragmentos de masa seleccionados en términos de abundancia teórica o patrón de calibración para el ion objetivo (el ion más abundante controlado) y el ion o los iones calificadores: ± 15 %

3.4.

Requisitos para las técnicas de CG-ECD

Los resultados que superen el límite máximo se confirmarán mediante dos columnas de CG con fases estacionarias de polaridad diferente.

4.    Demostración del funcionamiento del método

El funcionamiento del método deberá validarse en el intervalo del contenido máximo (de 0,5 a 2 veces el contenido máximo), con un coeficiente de variación aceptable para análisis repetidos (véanse los requisitos de precisión intermedia en el punto 9).

5.    Límite de cuantificación

La suma de los límites de cuantificación ( 29 ) de los PCB no similares a las dioxinas no deberá superar un tercio del contenido máximo ( 30 ).

6.    Control de calidad

Controles en blanco a intervalos regulares, análisis de muestras enriquecidas, muestras para el control de la calidad y participación en estudios interlaboratorios con las matrices pertinentes.

7.    Control de la recuperación

7.1.

Se utilizarán patrones internos adecuados con propiedades fisicoquímicas comparables a los análitos considerados.

7.2.

Adición de patrones internos:

Se añaden a los productos (antes del proceso de extracción y limpieza).

7.3.

Requisitos para los métodos que utilizan los seis congéneres de PCB no similares a las dioxinas marcados con isótopos:

a) se corregirán los resultados en función de la recuperación de los patrones internos;

b) la recuperación de los patrones internos marcados con isótopos deberá situarse entre el 60 % y el 120 %;

c) son aceptables recuperaciones superiores o inferiores de congéneres cuya contribución a la suma de los seis PCB no similares a las dioxinas sea inferior al 10 %.

7.4.

Requisitos para los métodos que no utilizan los seis patrones internos marcados con isótopos u otros patrones internos:

a) se controlará la recuperación de los patrones internos en cada muestra;

b) la recuperación de los patrones internos deberá situarse entre el 60 % y el 120 %;

c) se corregirán los resultados en función de la recuperación de los patrones internos.

7.5.

Las recuperaciones de congéneres no marcados deberán comprobarse por medio de muestras enriquecidas o de muestras de control de calidad con concentraciones en el intervalo del contenido máximo. Serán aceptables para estos congéneres recuperaciones situadas entre el 60 % y el 120 %.

8.    Requisitos que deben cumplir los laboratorios

De conformidad con lo dispuesto en el Reglamento (CE) n.o 882/2004, los laboratorios deberán estar acreditados por un organismo reconocido que opere de conformidad con la Guía ISO 58, de modo que esté garantizado que aplican un aseguramiento de la calidad analítica. Dicha acreditación deberá efectuarse conforme a la norma EN ISO/IEC 17025. Además, deberán aplicarse, cuando proceda, los principios que se describen en las «Technical Guidelines for the estimation of measurement uncertainty and limits of quantification for PCDD/F and PCB analysis» ( 31 )

9.    Características de funcionamiento: Criterios para la suma de los seis PCB no similares a las dioxinas al nivel considerado



 

Espectrometría de masas con dilución isotópica (1)

Otras técnicas

Veracidad

– 20 a + 20 %

– 30 a + 30 %

Precisión intermedia (RSD)

≤ 15 %

≤ 20 %

Diferencia entre el cálculo del límite superior y del límite inferior

≤ 20 %

≤ 20 %

(1)   Es preciso utilizar los seis análogos marcados con C13 como patrones internos.

10.    Comunicación de los resultados

10.1.

Los resultados del análisis incluirán los niveles de los congéneres individuales de PCB no similares a las dioxinas y la suma de ellos, y se indicarán como límite inferior, límite superior y límite intermedio, a fin de incluir el máximo de información posible en la notificación de los resultados, lo que permitirá así interpretarlos en función de los requisitos específicos.

10.2.

El informe indicará el método utilizado para la extracción de PCB.

10.3.

Deberán indicarse los porcentajes de recuperación de cada patrón interno en caso de que estén fuera del intervalo mencionado en el punto 7 o de que se supere el contenido máximo, así como en otros casos cuando se solicite.

10.4.

Puesto que, al decidir sobre la conformidad de una muestra, se ha de tener en cuenta la incertidumbre ampliada de medición, también se indicará ese parámetro. Así pues, los resultados analíticos deberán expresarse como x +/– U, donde x es el resultado analítico y U es la incertidumbre ampliada de medición, aplicando un factor de cobertura de 2, que ofrece un nivel de confianza aproximado del 95 %.

10.5.

Los resultados deberán expresarse en las mismas unidades y, como mínimo, con el mismo número de cifras significativas que los contenidos máximos establecidos en la Directiva 2002/32/CE.

▼M2




ANEXO VI

MÉTODOS DE ANÁLISIS PARA LA DETERMINACIÓN DE COMPONENTES DE ORIGEN ANIMAL CON FINES DE CONTROL OFICIAL DE LOS PIENSOS

1.   OBJETO Y ÁMBITO DE APLICACIÓN

Los componentes de origen animal presentes en los piensos se determinarán por microscopía óptica o por reacción en cadena de la polimerasa (RCP) de conformidad con las disposiciones establecidas en el presente anexo.

Estos dos métodos permiten detectar la presencia de componentes de origen animal en los materiales para piensos y los piensos compuestos. Sin embargo, no permiten calcular la cantidad de dichos componentes en los materiales para piensos ni en los piensos compuestos. Ambos métodos presentan un límite de detección inferior al 0,1 % (p/p).

El método RCP permite identificar los grupos taxonómicos de los componentes de origen animal presentes en los materiales para piensos y los piensos compuestos.

Estos métodos se aplicarán al control de la aplicación de las prohibiciones establecidas en el artículo 7, apartado 1, y en el anexo IV del Reglamento (CE) no 999/2001, así como en el artículo 11, apartado 1, del Reglamento (CE) no 1069/2009.

Dependiendo del tipo de piensos que se esté analizando, podrán aplicarse estos métodos, dentro de un único protocolo de actuación, ya sea solos o combinados de conformidad con los procedimientos normalizados de trabajo (PNT) establecidos por el laboratorio de referencia de la UE para las proteínas animales en los piensos (EURL-AP) y publicados en su sitio web ( 32 ).

2.   MÉTODOS

2.1.    Microscopía óptica

2.1.1.    Principio

Los componentes de origen animal que pudieran estar presentes en los materiales para piensos y en los piensos compuestos enviados para su análisis se identifican sobre la base de unas características típicas microscópicamente identificables, como fibras musculares y otras partículas de carne, cartílago, huesos, cuerno, pelo, cerdas, sangre, plumas, cáscaras de huevo, espinas y escamas de pescado.

2.1.2.    Reactivos y equipo

2.1.2.1.   Reactivos

2.1.2.1.1.   Agente de concentración

2.1.2.1.1.1.   Tetracloroetileno (densidad relativa 1,62).

2.1.2.1.2.   Reactivo de tinción

2.1.2.1.2.1.

Solución de rojo de alizarina (diluir 2,5 ml de ácido clorhídrico 1M en 100 ml de agua y añadir a esta solución 200 mg de rojo de alizarina).

2.1.2.1.3.   Medios de montaje

2.1.2.1.3.1.   Lejía (NaOH al 2,5 % p/v o KOH al 2,5 % p/v).

2.1.2.1.3.2.   Glicerol (sin diluir, viscosidad: 1 490 cP).

2.1.2.1.3.3.   Norland ® Optical 65 Adhesive (viscosidad: 1 200 cP) o una resina con propiedades equivalentes para la preparación permanente de los portaobjetos.

2.1.2.1.4.   Medios de montaje con propiedades de tinción

2.1.2.1.4.1.

Solución de Lugol (disolver 2 g de yoduro de potasio en 100 ml de agua y añadir 1 g de yodo, agitando con frecuencia).

2.1.2.1.4.2.

Reactivo de cistina (2 g de acetato de plomo, 10 g de NaOH/100 ml de agua).

2.1.2.1.4.3.

Reactivo de Fehling [preparado antes de utilizarse a partir de partes iguales (1/1) de dos soluciones madre A y B; solución A: disolver 6,9 g de sulfato de cobre (II) pentahidratado en 100 ml de agua; solución B: disolver 34,6 g de tartrato sódico-potásico tetrahidratado y 12 g de NaOH en 100 ml de agua].

2.1.2.1.4.4.

Tetrametilbencidina/peróxido de hidrógeno [disolver 1 g 3,3’, 5,5’-tetrametilbencidina (TMB) en 100 ml de ácido acético glacial y 150 ml de agua; antes de utilizarlo, mezclar 4 partes de esta solución de TMB con 1 parte de peróxido de hidrógeno al 3 %].

2.1.2.1.5.   Agentes de lavado

2.1.2.1.5.1.   Etanol ≥ 96 % (calidad técnica).

2.1.2.1.5.2.   Acetona (calidad técnica).

2.1.2.1.6.   Reactivo decolorante

2.1.2.1.6.1.   Solución comercial de hipoclorito de sodio (9 - 14 % de cloro activo).

2.1.2.2.   Equipo

2.1.2.2.1.   Balanza analítica con una exactitud de 0,001 g.

2.1.2.2.2.   Material de trituración: molino o mortero.

2.1.2.2.3.   Un tamiz con luces de malla cuadradas de 0,25 mm y 1 mm de anchura.

2.1.2.2.4.

Embudo de decantación cónico de vidrio con un contenido de 250 ml provisto de un grifo de cierre de teflón o esmerilada en la base del cono. El diámetro del orificio del grifo será ≥ 4 mm. De forma alternativa, podrá utilizarse un vaso de precipitados de fondo cónico siempre que el laboratorio haya demostrado que los niveles de detección son equivalentes a los obtenidos mediante el embudo de decantación cónico de vidrio.

image

2.1.2.2.5.

Lupa binocular con un intervalo de 6,5 a 40 aumentos finales como mínimo.

2.1.2.2.6.

Microscopio compuesto con un intervalo de 100 a 400 aumentos finales como mínimo con luz transmitida a campo claro. De forma complementaria pueden utilizarse la luz polarizada y el contraste diferencial interferencial.

2.1.2.2.7.

Material de vidrio habitual de laboratorio.

2.1.2.2.8.

Equipo para la preparación de portaobjetos: portaobjetos clásicos para microscopio, portaobjetos excavados, cubreobjetos (20 × 20 mm), pinzas, espátula fina.

2.1.3.    Muestreo y preparación de las muestras

2.1.3.1.   Muestreo

Se utilizará una muestra representativa tomada de conformidad con lo dispuesto en el anexo I.

2.1.3.2.   Precauciones que deben tomarse

Con el fin de evitar la contaminación cruzada en el laboratorio, todos los equipos reutilizables deberán limpiarse cuidadosamente antes de su utilización. Las piezas del embudo de decantación se desmontarán antes de la limpieza. Las piezas del embudo de decantación y el material de vidrio deberán someterse a un lavado manual previo y, seguidamente, lavarse en una máquina lavadora. Los tamices deberán limpiarse con un cepillo de cerdas sintéticas rígidas. Después de tamizar materiales grasos, como la harina de pescado, se recomienda efectuar una limpieza final de los tamices con acetona y aire comprimido.

2.1.3.3.   Preparación de muestras distintas de grasa o aceite

2.1.3.3.1.

Secado de la muestra: las muestras con un contenido de humedad > 14 % se secarán antes de manipularlas.

2.1.3.3.2.

Tamizado previo de la muestra: se recomienda tamizar previamente a 1 mm los piensos granulados y los granos y, seguidamente, preparar y analizar las dos fracciones resultantes como muestras distintas.

2.1.3.3.3.

Submuestras y molienda: se submuestrarán un mínimo de 50 g de la muestra para ser analizados y posteriormente se molerán.

2.1.3.3.4.

Extracción y preparación del sedimento: transferir una porción de 10 g (con una exactitud de 0,01 g) de la submuestra molida al embudo de decantación o vaso de precipitados de fondo cónico y añadir 50 ml de tetracloroetileno. La porción transferida al embudo se limitará a 3 g si se trata de harina de pescado u otros productos de origen animal puros, de ingredientes minerales o de premezclas que generan más de un 10 % de sedimento. Se agitará enérgicamente la mezcla durante al menos 30 s y se añadirán cuidadosamente al menos 50 ml más de tetracloroetileno, al tiempo que se lava la superficie interior del embudo para eliminar cualquier partícula que hubiera quedado adherida. La mezcla resultante se dejará reposar durante al menos 5 minutos antes de separar el sedimento abriendo el grifo de cierre.

Si se utiliza un vaso de precipitados de fondo cónico se removerá enérgicamente la mezcla durante al menos 15 s y se lavará cuidadosamente con al menos 10 ml de tetracloroetileno limpio para arrastrar cualquier partícula que se hubiera adherido a las paredes del vaso de precipitados. Se dejará reposar la mezcla durante 3 minutos y, seguidamente, volverá a removerse durante 15 s y se lavarán cuidadosamente el vaso de precipitados con al menos 10 ml de tetracloroetileno limpio para arrastrar cualquier partícula que se hubiera adherido a las paredes. La mezcla resultante se dejará reposar durante al menos 5 minutos y a continuación se retirará la fracción líquida mediante una cuidadosa decantación, velando por no perder ninguno de los sedimentos; la fracción líquida se desechará.

El sedimento se secará y posteriormente se pesará (con una exactitud de 0,001 g). Si más del 5 % del sedimento se compone de partículas > 0,50 mm, se pasará por un tamiz de 0,25 mm y se examinarán las dos fracciones resultantes.

2.1.3.3.5.

Extracción y preparación del sobrenadante: tras recuperar el sedimento con el método descrito anteriormente, quedan dos fases en el embudo de decantación: una líquida consistente en tetracloroetileno y una sólida consistente en material flotante. La fase sólida es el sobrenadante y se recuperará decantando completamente el tetracloroetileno del embudo abriendo el grifo de cierre. Invirtiendo el embudo de decantación, el sobrenadante se transferirá a una gran placa de Petri y se secará al aire en una campana extractora. Si más del 5 % del sobrenadante se compone de partículas > 0,50 mm, podrá pasarse por un tamiz de 0,25 mm y se examinarán las dos fracciones resultantes.

2.1.3.3.6.

Preparación de la materia prima: se preparará una porción de un mínimo de 5 g de la submuestra molida; si más del 5 % del material se compone de partículas > 0,50 mm, podrá pasarse por un tamiz de 0,25 mm y se examinarán las dos fracciones resultantes.

2.1.3.4.   Preparación de muestras consistentes en grasa o aceite

En el análisis de muestras consistentes en grasas o aceites podrá utilizarse el siguiente protocolo:

 si la grasa es sólida, se calentará en un horno hasta su licuefacción,

 a continuación, se pipetearán 40 ml de grasa o aceite del fondo de la muestra a un tubo de centrifugación,

 se centrifugará durante 10 minutos a 4 000 revoluciones por minuto,

 si, tras la centrifugación, la grasa se hubiera solidificado, se calentará en un horno hasta su licuefacción,

 se repetirá la centrifugación durante 5 minutos a 4 000 revoluciones por minuto,

 por medio de una cucharilla o una espátula, se transferirá la mitad de las impurezas decantadas a portaobjetos de microscopía para su examen; se recomienda el glicerol como medio de montaje,

 las impurezas restantes se utilizarán para preparar el sedimento como se describe en el punto 2.1.3.3.

2.1.3.5.   Utilización de reactivos de tinción

A fin de facilitar la correcta identificación de los componentes de origen animal, el analista podrá utilizar reactivos de tinción durante la preparación de la muestra, de conformidad con las directrices emitidas por el EURL-AP y publicadas en su sitio web.

En caso de que se utilice una solución de rojo de alizarina para teñir el sedimento, se aplicará el siguiente protocolo:

 el sedimento seco se transferirá a un tubo de ensayo de vidrio y se lavará dos veces con unos 5 ml de etanol (en ambas ocasiones deberá utilizarse un vórtex durante 30 s y deberá dejarse reposar el disolvente alrededor de 1 minuto 30 s antes de decantarlo),

 el sedimento se decolorará añadiendo al menos 1 ml de solución de hipoclorito de sodio; se dejará que la reacción continúe durante 10 minutos; el tubo se llenará de agua y se dejará sedimentar durante 2 a 3 minutos, tras lo cual se decantarán suavemente el agua y las partículas suspendidas,

 el sedimento se lavará dos veces más con unos 10 ml de agua (utilizar un vórtex durante 30 s, dejar reposar y decantar el agua cada vez),

 se añadirán de 2 a 10 gotas de la solución de rojo de alizarina y la mezcla se agitará con un vórtex; se dejará reaccionar 30 s y el sedimento coloreado se lavará dos veces con aproximadamente 5 ml de etanol y seguidamente una vez con acetona (en cada ocasión deberá utilizarse un vórtex durante 30 s y deberá dejarse reposar el disolvente alrededor de 1 minuto antes de decantarlo),

 por último, se secará el sedimento coloreado.

2.1.4.    Examen al microscopio

2.1.4.1.   Preparación de los portaobjetos

Los portaobjetos de microscopía deberán prepararse a partir del sedimento y, en función de la elección del analista, bien a partir del sobrenadante o de la materia prima. En caso de que se haya utilizado el tamiz durante la preparación de la muestra, se prepararán las dos fracciones resultantes (la fina y la gruesa). Las porciones de las fracciones destinadas al análisis esparcidas en los portaobjetos deberán ser representativas de la totalidad de la fracción.

Se preparará un número suficiente de portaobjetos con el fin de garantizar que se lleva a cabo un protocolo completo de examen como el establecido en el punto 2.1.4.2.

Los portaobjetos de microscopía se montarán con el medio de montaje adecuado, de conformidad con los PNT establecidos por el EURL-AP y publicados en su sitio web. Los portaobjetos se cubrirán con cubreobjetos.

2.1.4.2.   Protocolos de observación para la detección de partículas de origen animal en piensos compuestos y material para piensos

Los portaobjetos para microscopía preparados se observarán de conformidad con los protocolos establecidos en el diagrama no 1 para los piensos compuestos y material para piensos distintos de la harina de pescado pura, o en el diagrama no 2 en el caso de la harina de pescado pura.

Para las observaciones microscópicas, se observarán con un microscopio compuesto el sedimento y, en función de la elección del analista, bien el sobrenadante o la materia prima. En el caso de las fracciones gruesas podrá utilizarse la lupa binocular además del microscopio compuesto. Cada portaobjetos se observará en su totalidad a diversos aumentos.

Se respetará estrictamente el número mínimo de portaobjetos que se observarán en cada etapa del protocolo de observación, salvo en caso de que la totalidad del material de la fracción no permita alcanzar el número de portaobjetos establecido. Por cada determinación no se observarán más de 6 portaobjetos.

Con el fin de facilitar la identificación del tipo y el origen de las partículas, el analista podrá utilizar herramientas de apoyo, como los sistemas de apoyo a la toma de decisiones, los bancos de imágenes y las muestras de referencia.

image

image

2.1.4.3.   Número de determinaciones

Si tras una primera determinación llevada a cabo de conformidad con los protocolos de observación establecidos en el diagrama no 1 o en el diagrama no 2, según proceda, no se detecta ninguna partícula de origen animal de un tipo determinado (es decir, procedente de un animal terrestre o de pescado), no será necesaria ninguna determinación complementaria y se notificará el resultado del análisis utilizando la terminología establecida en el punto 2.1.5.1.

Si tras una primera determinación llevada a cabo de conformidad con los protocolos de observación establecidos en el diagrama no 1 o en el diagrama no 2, según proceda, el número total de partículas animales de un tipo determinado (es decir, de un animal terrestre o de pescado) detectadas oscila entre 1 y 5, se realizará una segunda determinación de una nueva submuestra de 50 g. En caso de que, tras esta segunda determinación, el número de partículas de origen animal de dicho tipo detectadas oscile entre 0 y 5, se notificará el resultado del análisis utilizando la terminología establecida en el punto 2.1.5.2; en cualquier otro caso, se llevará a cabo una tercera determinación de una nueva submuestra de 50 g. No obstante, si después de la primera y de la segunda determinación, la suma de las partículas de un tipo determinado detectadas en los dos determinaciones fuera superior a 15, no será necesaria una determinación complementaria y se notificará directamente el resultado de los análisis utilizando la terminología establecida en el punto 2.1.5.3. Si, tras la tercera determinación, la suma de las partículas de origen animal de un tipo determinado detectadas en las tres determinaciones fuera superior a 15, se notificará el resultado del análisis utilizando la terminología establecida en el punto 2.1.5.3. En cualquier otro caso, se notificará el resultado del análisis utilizando la terminología establecida en el punto 2.1.5.2.

Si, tras una primera determinación realizada de acuerdo con los protocolos de observación establecidos en el diagrama no 1 o en el diagrama no 2, según proceda, se detectan más de 5 partículas de origen animal de un tipo determinado (es decir, de un animal terrestre o de pescado), se notificará el resultado de los análisis utilizando la terminología establecida en el punto 2.1.5.3.

2.1.5.    Expresión de los resultados

Al comunicar los resultados, el laboratorio indicará en qué tipo de material se ha realizado el análisis (sedimento, sobrenadante o materia prima) y cuántas determinaciones se han llevado a cabo.

El informe del laboratorio contendrá, como mínimo, información sobre la presencia de componentes derivados de animales terrestres y de harina de pescado.

Las diversas situaciones se comunicarán de la forma que se expone a continuación.

2.1.5.1.

No se ha detectado ninguna partícula de origen animal de ningún tipo determinado:

 dentro de los límites del examen con microscopio óptico, no se ha detectado en la muestra presentada ninguna partícula derivada de animales terrestres,

 dentro de los límites del examen con microscopio óptico, no se ha detectado en la muestra presentada ninguna partícula derivada de pescado.

2.1.5.2.

Entre 1 y 5 partículas de origen animal de un tipo determinado detectadas como promedio:

 dentro de los límites del examen con microscopio óptico, no se han detectado en la muestra presentada más de 5 partículas derivadas de animales terrestres como promedio, por determinación; las partículas se han identificado como … [hueso, cartílago, músculo, pelo, cuerno, etc.]; dado que este número tan reducido de partículas es inferior al límite de detección del método de examen microscópico, no puede excluirse el riesgo de falso positivo.

O, en su caso,

 dentro de los límites del examen con microscopio óptico, no se han detectado en la muestra presentada más de 5 partículas derivadas de pescado como promedio, por determinación; las partículas se han identificado como … [espinas, escamas, cartílago, músculo, otolitos, branquias, etc.]; dado que este número tan reducido de partículas es inferior al límite de detección del método de examen microscópico, no puede excluirse el riesgo de falso positivo.

En caso de tamizado previo de la muestra, el informe del laboratorio mencionará en qué fracción (fracción tamizada, fracción granulada o granos) se han detectado las partículas de origen animal, en la medida en que la detección de las partículas de origen animal únicamente en la fracción tamizada puede ser un indicio de contaminación ambiental.

2.1.5.3.

Más de 5 partículas de origen animal de un tipo determinado detectadas como promedio:

 dentro de los límites del examen con microscopio óptico, se han detectado en la muestra presentada más de 5 partículas derivadas de animales terrestres como promedio por determinación; las partículas se han identificado como … [hueso, cartílago, músculo, pelo, cuerno, etc.].

O, en su caso,

 dentro de los límites del examen con microscopio óptico, se han detectado en la muestra presentada más de 5 partículas derivadas de pescado como promedio por determinación; las partículas se han identificado como … [espinas, escamas, cartílago, músculo, otolitos, branquias, etc.].

En caso de tamizado previo de la muestra, el informe del laboratorio mencionará en qué fracción (fracción tamizada, fracción granulada o granos) se han detectado las partículas de origen animal, en la medida en que la detección de las partículas de origen animal únicamente en la fracción tamizada puede ser un indicio de contaminación ambiental.

2.2.    Prueba de reacción en cadena de la polimerasa (RCP)

2.2.1.    Principio

Los fragmentos de ácido desoxirribonucleico (ADN) de origen animal que pueden estar presentes en materiales para piensos y en piensos compuestos se detectan mediante una técnica de amplificación genética por RCP que se centra en secuencias de ADN específicas de la especie.

El método de RCP requiere en primer lugar una fase de extracción del ADN. La etapa de amplificación se aplicará después al extracto de ADN obtenido de ese modo, a fin de detectar las especies animales diana del análisis.

2.2.2.    Reactivos y equipo

2.2.2.1.   Reactivos

2.2.2.1.1.   Reactivos para la etapa de extracción del ADN

Se utilizarán exclusivamente reactivos aprobados por el EURL-AP y publicados en su sitio web.

2.2.2.1.2.   Reactivos para la etapa de amplificación genética

2.2.2.1.2.1.   Cebadores y sondas

Solamente se utilizarán cebadores y sondas con secuencias de oligonucleótidos validadas por el EURL-AP ( 33 ).

2.2.2.1.2.2.   Mezclas de reacción (master mix)

Solamente se utilizarán soluciones de mezclas de reacción que no contengan reactivos que pudieran falsear los resultados debido a la presencia de ADN de origen animal ( 34 ).

2.2.2.1.2.3.   Reactivos de descontaminación

2.2.2.1.2.3.1.   Solución de ácido clorhídrico (0,1 N).

2.2.2.1.2.3.2.   Lejía (solución de hipoclorito sódico al 0,15 % de cloro activo).

2.2.2.1.2.3.3.   Reactivos no corrosivos para descontaminación de instrumental costoso como las balanzas analíticas (por ejemplo, DNA EraseTM de MP Biomedicals)

2.2.2.2.   Equipo

2.2.2.2.1.   Balanza analítica con una exactitud de 0,001 g.

2.2.2.2.2.   Material de trituración.

2.2.2.2.3.   Termociclador que permita la RCP en tiempo real.

2.2.2.2.4.   Microcentrifugadora para tubos de microcentrifugación.

2.2.2.2.5.   Juego de micropipetas que permitan pipetear desde 1 μl hasta 1 000 μl

2.2.2.2.6.

Material de plástico habitual de biología molecular: tubos de microcentrifugación, puntas de plástico con filtro para micropipetas, placas adaptadas para el termociclador.

2.2.2.2.7.

Congeladores para almacenar muestras y reactivos.

2.2.3.    Muestreo y preparación de las muestras

2.2.3.1.   Muestreo

Se utilizará una muestra representativa tomada de conformidad con lo dispuesto en el anexo I.

2.2.3.2.   Preparación de las muestras

La preparación de las muestras de laboratorio hasta la extracción del ADN se ajustará a los requisitos establecidos en el anexo II. Como mínimo, se submuestrarán 50 g de la muestra para ser sometidos a análisis y posteriormente molidos.

La preparación de la muestra se llevará a cabo en un habitáculo diferente al utilizado para la extracción de ADN y las reacciones de amplificación genética, tal como se describe en la norma ISO 24276.

Se prepararán dos porciones para análisis de al menos 100 mg cada una.

2.2.4.    Extracción del ADN

La extracción del ADN se realizará en cada porción para análisis preparada de conformidad con los PNT establecidos por el EURL-AP y publicados en su sitio web.

Se prepararán dos controles de extracción para cada serie de extracciones según lo descrito en la norma ISO 24276:

 un control blanco de extracción,

 un control positivo de extracción del ADN.

2.2.5.    Amplificación genética

La amplificación genética se llevará a cabo utilizando los métodos validados para cada especie que requiera identificación. Dichos métodos están detallados en los PNT establecidos por el EURL-AP y publicados en su sitio web. Cada extracto de ADN deberá analizarse como mínimo en dos diluciones diferentes para evaluar la inhibición.

Se prepararán dos controles de amplificación para cada especie diana, tal como se describe en la norma ISO 24276.

 para cada placa o serie de análisis de RCP se utilizará un control positivo del ADN diana,

 para cada placa o serie de análisis de RCP se utilizará un control de reactivo de la amplificación (también denominado control sin molde).

2.2.6.    Interpretación y expresión de resultados

Al notificar los resultados, el laboratorio indicará al menos el peso de las porciones para análisis utilizadas, la técnica de extracción empleada, el número de determinaciones realizadas y el límite de detección del método.

No se interpretarán ni se notificarán los resultados si el control positivo de extracción de ADN y los controles positivos del ADN diana no dan resultados positivos respecto a las especies diana del análisis y el control del reactivo de amplificación es negativo.

En caso de que los resultados de las dos porciones para análisis no sean coherentes, deberá repetirse al menos la etapa de amplificación genética. Si el laboratorio sospecha que la incoherencia puede deberse a los extractos de ADN, se llevará a cabo una nueva extracción de ADN y seguidamente se realizará una amplificación genética antes de la interpretación de los resultados.

La expresión definitiva de los resultados se basará en la integración y la interpretación de los resultados de las dos porciones para análisis, de conformidad con los PNT establecidos por el EURL-AP y publicados en su sitio web.

2.2.6.1.   Resultado negativo

Todo resultado negativo se notificará como sigue:

En la muestra presentada no se detecta ADN de X (donde X es la especie animal o grupo de especies animales diana del análisis).

2.2.6.2.   Resultado positivo

Todo resultado positivo se notificará como sigue:

En la muestra presentada se ha detectado ADN de X (donde X es la especie animal o grupo de especies animales diana del análisis).

▼B




ANEXO VII

MÉTODO DE CÁLCULO DEL VALOR ENERGÉTICO DE LOS PIENSOS PARA AVES DE CORRAL

1.   Método de cálculo y expresión del valor energético

El valor energético de los piensos compuestos para aves de corral debe calcularse según la fórmula que figura más abajo, sobre la base de los porcentajes de determinados componentes analíticos de los piensos. Este valor ha de expresarse en megajulios (MJ) de energía metabolizable (EM), corregida en nitrógeno, por kilogramo de pienso compuesto:

MJ/kg de EM = 0,1551 × % proteína bruta + 0,3431 × % grasa bruta + 0,1669 × % almidón + 0,1301 × % azúcar total (expresada en sacarosa).

2.   Tolerancias aplicables a los valores declarados

Si la inspección oficial pone de manifiesto una discrepancia (valor energético del pienso aumentado o reducido) entre el resultado de la inspección y el valor energético declarado, se aplicará una tolerancia mínima de 0,4 MJ/kg de EM.

3.   Expresión del resultado

El resultado obtenido tras aplicar la fórmula anteriormente indicada se expresará con un decimal.

4.   Métodos de muestreo y análisis

El muestreo del pienso compuesto y la determinación del contenido de los compuestos analíticos indicados en el método de cálculo deben realizarse de conformidad, respectivamente, con los métodos comunitarios de muestreo y los métodos comunitarios de análisis para el control oficial de los piensos.

Han de aplicarse:

 para la determinación del contenido de grasa bruta: el procedimiento B del método para la determinación de los aceites y las grasas brutos, establecido en la parte H del anexo III,

 para la determinación del contenido de almidón: el método polarimétrico establecido en la parte L del anexo III.




ANEXO VIII

MÉTODOS DE ANÁLISIS PARA EL CONTROL DE LA PRESENCIA ILEGAL DE ADITIVOS YA NO AUTORIZADOS EN LOS PIENSOS

Nota importante:

Para detectar la presencia ilegal de aditivos ya no autorizados en los piensos pueden emplearse métodos de análisis más sensibles que los mencionados en el presente anexo.

Los métodos de análisis expuestos en este anexo se utilizarán con fines de confirmación.

A)   DETERMINACIÓN DEL METILBENZOCUATO

7-benziloxi-6-butil-3-metoxicarbonil-4-quinolona

1.   Objeto y ámbito de aplicación

Este método permite determinar el nivel de metilbenzocuato en los piensos. El límite de cuantificación es de 1 mg/kg.

2.   Principio

El metilbenzocuato se extrae de la muestra con solución metanólica de ácido metanosulfónico. El extracto se purifica con diclorometano, por cromatografía de intercambio iónico y, a continuación, nuevamente con diclorometano. El contenido de metilbenzocuato se determina mediante cromatografía de líquidos de alta resolución (CLAR) de fase reversa con un detector de UV.

3.   Reactivos

3.1. Diclorometano

3.2. Metanol, equivalente al de calidad CLAR

3.3. Fase móvil para la CLAR

Mezcla de metanol (3.2) y agua (equivalente a la de calidad CLAR) 75 + 25 (v + v).

Filtrar por un filtro de 0,22 μm (4.5) y desgasificar la solución (por ejemplo, aplicando ultrasonidos durante diez minutos).

3.4. Solución de ácido metanosulfónico, c = 2 %

Diluir 20,0 ml de ácido metanosulfónico a 1 000 ml con metanol (3.2).

3.5. Solución de ácido clorhídrico, c = 10 %

Diluir 100 ml de ácido clorhídrico (ρ201,18 g/ml) a 1 000 ml con agua.

3.6. Resina de intercambio catiónico Amberlite CG-120 (Na), de 100 a 200 mallas

La resina se trata previamente antes de utilizarla. Preparar una lechada con 100 g de resina y 500 ml de solución de ácido clorhídrico (3.5) y llevar a ebullición en una placa calefactora sin parar de remover. Dejar enfriar y decantar el ácido. Filtrar en vacío a través de un papel de filtro. Lavar la resina dos veces con porciones de agua de 500 ml y, a continuación, con 250 ml de metanol (3.2). Enjuagar la resina con otra porción de 250 ml de metanol y secar haciendo pasar aire a través de la torta de filtro. Guardar la resina desecada en una botella tapada.

3.7. Sustancia patrón: metilbenzocuato puro (7-benziloxi-6-butil-3-metoxicarbonil-4-quinolona).

3.7.1.  Solución patrón madre de metilbenzocuato de 500 μg/ml.

Pesar, con una precisión de 0,1 mg, 50 mg de la sustancia patrón (3.7), disolver en solución de ácido metanosulfónico (3.4) en un matraz aforado de 100 ml, enrasar y mezclar.

3.7.2.  Solución patrón intermedia de metilbenzocuato de 50 μg/ml.

Transvasar 5,0 ml de la solución patrón madre de metilbenzocuato (3.7.1) a un matraz aforado de 50 ml, enrasar con metanol (3.2) y mezclar.

3.7.3.  Soluciones de calibración.

Transvasar 1,0 , 2,0 , 3,0 , 4,0 y 5,0 ml de la solución patrón intermedia de metilbenzocuato (3.7.2) a una serie de matraces aforados de 25 ml. Enrasar con la fase móvil (3.3) y mezclar. Estas soluciones tienen concentraciones de metilbenzocuato de 2,0 , 4,0 , 6,0 , 8,0 y 10,0 μg/ml, respectivamente. Deben prepararse poco antes de utilizarse.

4.   Instrumental

4.1. Agitador de laboratorio.

4.2. Evaporador rotativo de película.

4.3. Columna de vidrio (250 mm × 15 mm) provista de una llave de cierre y de un depósito de 200 ml de capacidad, aproximadamente.

4.4. Equipo para CLAR con detector ultravioleta de longitud de onda variable o detector de red de diodos.

4.4.1. Columna cromatográfica de líquidos: 300 mm x 4 mm, C18, relleno de 10 μm, o equivalente.

4.5. Filtros de membrana de 0,22 μm.

4.6. Filtros de membrana de 0,45 μm.

5.   Procedimiento

5.1.   Generalidades

5.1.1. Deberá analizarse un pienso en blanco para comprobar la ausencia de metilbenzocuato y de sustancias interferentes.

5.1.2. Asimismo, deberá realizarse un ensayo de recuperación analizando el pienso en blanco, que se habrá enriquecido añadiendo una cantidad de metilbenzocuato similar a la presente en la muestra. Para enriquecer a un nivel de 15 mg/kg, añadir 600 μl de la solución patrón madre (3.7.1) a 20 g del pienso en blanco, mezclar y esperar diez minutos antes de proceder a la extracción (5.2).

Debe tenerse en cuenta que, a los efectos de este método, el pienso en blanco deberá ser de tipo similar al de la muestra y en su análisis no debe detectarse metilbenzocuato.

5.2.   Extracción

Pesar, con una precisión de 0,01 g, unos 20 g de la muestra preparada y pasarlos a un Erlenmeyer de 250 ml. Añadir 100,0 ml de la solución de ácido metanosulfónico (3.4) y agitar mecánicamente (4.1) durante 30 minutos. Filtrar la solución por un papel de filtro y conservar el filtrado para la fase de separación líquido-líquido (5.3).

5.3.   Separación líquido-líquido

Transvasar 25,0 ml del filtrado obtenido en el punto 5.2 a un embudo de decantación de 500 ml que contenga 100 ml de solución de ácido clorhídrico (3.5). Añadir 100 ml de diclorometano (3.1) al embudo y agitar durante un minuto. Dejar que se separen las fases y decantar la fase inferior (diclorometano) en un matraz de fondo redondo de 500 ml. Repetir la extracción de la fase acuosa con otras dos porciones de 40 ml de diclorometano y combinarlas con el primer extracto en el matraz de fondo redondo. Evaporar el extracto de diclorometano hasta sequedad en el evaporador rotativo (4.2) a 40 oC y a presión reducida. Disolver el residuo en 20-25 ml de metanol (3.2), tapar el matraz y guardar todo el extracto para la cromatografía de intercambio iónico (5.4).

5.4.   Cromatografía de intercambio iónico

5.4.1.    Preparación de la columna de intercambio catiónico.

Introducir un tapón de lana de vidrio en el extremo inferior de una columna de vidrio (4.3). Preparar una lechada con 5,0 g de la resina de intercambio catiónico tratada (3.6) y 50 ml de ácido clorhídrico (3.5), verterla en la columna de vidrio y dejarla reposar. Eliminar el ácido sobrante hasta justo por encima de la superficie de resina y lavar la columna con agua hasta que el líquido efluyente dé neutro al tornasol. Transvasar 50 ml de metanol (3.2) a la columna y dejar evacuar hasta la superficie de la resina.

5.4.2.    Cromatografía de columna.

Pipetear cuidadosamente a la columna el extracto obtenido en el punto 5.3. Enjuagar el matraz de fondo redondo con dos porciones de 5 ml a 10 ml de metanol (3.2) y transvasar estos líquidos de lavado a la columna. Dejar correr el extracto hasta la superficie de resina y lavar la columna con 50 ml de metanol, cuidando de que el caudal no sea superior a 5 ml por minuto. Desechar el líquido efluyente. Eluir el metilbenzocuato de la columna utilizando 150 ml de solución de ácido metanosulfónico (3.4) y recoger el eluido de la columna en un Erlenmeyer de 250 ml.

5.5.   Separación líquido-líquido

Transferir el eluido obtenido en el punto 5.4.2 a un embudo de decantación de 1 l. Enjuagar el Erlenmeyer con 5 ml a 10 ml de metanol (3.2) y combinar los líquidos de lavado con el contenido del embudo de decantación. Añadir 300 ml de una solución de ácido clorhídrico (3.5) y 130 ml de diclorometano (3.1). Agitar durante un minuto y dejar que las fases se separen. Decantar la fase inferior (diclorometano) en un matraz de fondo redondo de 500 ml. Repetir la extracción de la fase acuosa con otras dos porciones de 70 ml de diclorometano y combinar estos extractos con el primero en el matraz de fondo redondo.

Evaporar el extracto de diclorometano hasta sequedad en el evaporador rotativo (4.2) a 40 oC y a presión reducida. Disolver el residuo en el matraz con unos 5 ml de metanol (3.2) y transvasar cuantitativamente esta solución a un matraz aforado de 10 ml. Enjuagar el matraz de fondo redondo con otras dos porciones de 1 ml a 2 ml de metanol y transvasarlas al matraz aforado. Enrasar con metanol y mezclar. Filtrar una parte alícuota por un filtro de membrana (4.6). Reservar esta solución para la determinación mediante CLAR (5.6).

5.6.   Determinación mediante CLAR

5.6.1.    Parámetros.

Las siguientes condiciones se ofrecen con carácter orientativo; pueden aplicarse otras si arrojan resultados equivalentes:

 columna cromatográfica de líquidos (4.4.1),

 fase móvil para la CLAR: mezcla de metanol y agua (3.3),

 caudal: 1-1,5 ml/min,

 longitud de onda de detección: 265 nm,

 volumen de inyección: 20-50 μl.

Comprobar la estabilidad del sistema cromatográfico inyectando varias veces la solución de calibración (3.7.3) de 4 μg/ml, hasta que se alcancen alturas (o áreas) de pico y tiempos de retención constantes.

5.6.2.    Curva de calibración.

Inyectar varias veces cada solución de calibración (3.7.3) y medir las alturas (áreas) de pico de cada concentración. Trazar una curva de calibración empleando las alturas o áreas de pico medias de las soluciones de calibración como ordenadas y las concentraciones correspondientes, en microgramos por mililitro, como abscisas.

5.6.3.    Solución de muestra.

Inyectar varias veces el extracto de muestra (5.5) empleando el mismo volumen que para las soluciones de calibración, y determinar la altura (área) media de los picos de metilbenzocuato.

6.   Cálculo de los resultados

A partir de la altura (área) media de los picos de metilbenzocuato de la solución de muestra, determinar la concentración de esta última, en microgramos por mililitro, tomando como referencia la curva de calibración (5.6.2).

El contenido de metilbenzocuato p (miligramos por kilogramo) de la muestra viene dado por la siguiente fórmula:

image

en la cual:

c

=

concentración de metilbenzocuato de la solución de muestra, en microgramos por mililitro;

m

=

peso de la porción de ensayo, en gramos.

7.   Validación de los resultados

7.1.   Identidad

La identidad del analito puede confirmarse mediante cocromatografía, o utilizando un detector de red de diodos con el cual se comparan los espectros del extracto de muestra y de la solución de calibración (3.7.3) de 10 μg/ml.

7.1.1.    Cocromatografía.

Enriquecer un extracto de muestra añadiéndole una cantidad apropiada de la solución patrón intermedia (3.7.2). La cantidad de metilbenzocuato añadida debe ser similar a la cantidad estimada de metilbenzocuato en el extracto de muestra.

Solo la altura del pico de metilbenzocuato deberá aumentar en función de la cantidad añadida y de la dilución del extracto. La anchura del pico, a la mitad de su altura máxima, debe ser igual ± 10 % a la anchura original.

7.1.2.    Detección por red de diodos.

Los resultados se evalúan con arreglo a los siguientes criterios:

a) la longitud de onda de absorción máxima de los espectros de la muestra y del patrón, registrados en el vértice del pico del cromatograma, debe ser la misma dentro de un margen determinado por el poder de resolución del sistema de detección; en el caso de la detección por red de diodos, el margen típico se sitúa en aproximadamente 2 nm;

b) entre 220 nm y 350 nm, los espectros de la muestra y del patrón registrados en el vértice del pico del cromatograma no deben ser diferentes por lo que respecta a aquellas partes del espectro que se encuentran en un intervalo del 10 % al 100 % de la absorbancia relativa; se cumple este criterio cuando están presentes los mismos máximos y en ningún punto observado la desviación entre los dos espectros excede del 15 % de la absorbancia del analito patrón;

c) entre 220 nm y 350 nm, los espectros de la pendiente ascendente, del vértice y de la pendiente descendente del pico producido por el extracto de muestra no deben diferir entre sí por lo que respecta a las partes del espectro que se encuentran en un intervalo del 10 % al 100 % de la absorbancia relativa; se cumple este criterio cuando están presentes los mismos máximos y en ningún punto observado la desviación entre los espectros excede del 15 % de la absorbancia del espectro del vértice.

Si no se cumple alguno de estos criterios, la presencia del analito no queda confirmada.

7.2.   Repetibilidad

La diferencia entre los resultados de dos determinaciones paralelas efectuadas con la misma muestra no debe exceder del 10 % del resultado superior, en el caso de contenidos de metilbenzocuato de 4-20 mg/kg.

7.3.   Recuperación

La recuperación de la muestra en blanco enriquecida deberá ser al menos del 90 %.

8.   Resultados de un estudio colaborativo

Se analizaron cinco muestras en diez laboratorios. De cada muestra se hicieron análisis por duplicado.



 

Blanco

Sémola 1

Gránulo 1

Sémola 2

Gránulo 2

Media [mg/kg]

ND

4,50

4,50

8,90

8,70

Sr [mg/kg]

——

0,30

0,20

0,60

0,50

CVr [ %]

——

6,70

4,40

6,70

5,70

SR [mg/kg]

——

0,40

0,50

0,90

1,00

CVR [ %]

——

8,90

11,10

10,10

11,50

Recuperación [ %]

——

92,00

93,00

92,00

89,00

ND

=

no detectado

Sr

=

desviación típica de la repetibilidad

CVr

=

coeficiente de variación de la repetibilidad, en tanto por ciento

SR

=

desviación típica de la reproducibilidad

CVR

=

coeficiente de variación de la reproducibilidad, en tanto por ciento

B)   DETERMINACIÓN DEL OLAQUINDOX

N 1 ,N 4 -dióxido de 2-[N-2'-(hidroxietil)carbamoil]-3-metilquinoxalina

1.   Objeto y ámbito de aplicación

Este método permite determinar el nivel de olaquindox en los piensos. El límite de cuantificación es de 5 mg/kg.

2.   Principio

La muestra se extrae mediante una mezcla de agua y metanol. El contenido de olaquindox se determina mediante cromatografía de líquidos de alta resolución (CLAR) de fase reversa, empleando un detector de UV.

3.   Reactivos

3.1. Metanol.

3.2. Metanol, equivalente al de calidad CLAR.

3.3. Agua, equivalente a la de calidad CLAR.

3.4. Fase móvil para la CLAR.

Mezcla de agua (3.3) y metanol (3.2), 900 + 100 (V + V).

3.5. Sustancia patrón: olaquindox puro, N1,N4-dióxido de 2-[N-2'-(hidroxietil)carbamoil]-3-metilquinoxalina, E 851.

3.5.1.  Solución patrón madre de olaquindox de 250 μg/ml.

Pesar, con una precisión de 0,1 mg, 50 mg de olaquindox (3.5) en un matraz aforado de 200 ml y añadir unos 190 ml de agua. A continuación, introducir el matraz durante 20 minutos en un baño ultrasónico (4.1). Después del tratamiento de ultrasonidos, llevar la solución a temperatura ambiente, enrasar con agua y mezclar. Envolver el matraz con papel de aluminio y guardarlo en el frigorífico. Esta solución debe prepararse de nuevo cada mes.

3.5.2.  Solución patrón intermedia de olaquindox de 25 μg/ml.

Transvasar 10,0 ml de la solución patrón madre (3.5.1) a un matraz aforado de 100 ml, enrasar con la fase móvil (3.4) y mezclar. Envolver el matraz con papel de aluminio y guardarlo en el frigorífico. Esta solución debe prepararse de nuevo cada día.

3.5.3.  Soluciones de calibración.

Transvasar 1,0 , 2,0 , 5,0 , 10,0 , 15,0 y 20,0 ml de la solución patrón intermedia (3.5.2) a una serie de matraces aforados de 50 ml. Enrasar con la fase móvil (3.4) y mezclar. Envolver los matraces con papel de aluminio. Estas soluciones corresponden, respectivamente, a 0,5 , 1,0 , 2,5 , 5,0 , 7,5 y 10,0 μg/ml de olaquindox.

Deben prepararse de nuevo cada día.

4.   Instrumental

4.1. Baño ultrasónico.

4.2. Agitador mecánico.

4.3. Equipo para CLAR con detector ultravioleta de longitud de onda variable o detector de red de diodos.

4.3.1. Columna cromatográfica de líquidos, de 250 mm x 4 mm, C18, relleno de 10 μm, o equivalente.

4.4. Filtros de membrana de 0,45 μm.

5.   Procedimiento

Nota:

El olaquindox es sensible a la luz. Realizar todas las operaciones con luz tenue o con material de vidrio ámbar.

5.1.   Generalidades.

5.1.1. Deberá analizarse un pienso en blanco para comprobar la ausencia de olaquindox y de sustancias interferentes.

5.1.2. Asimismo, deberá realizarse un ensayo de recuperación analizando el pienso en blanco, que se habrá enriquecido añadiendo una cantidad de olaquindox similar a la presente en la muestra. Para enriquecer a un nivel de 50 mg/kg, transvasar 10,0 ml de la solución patrón madre (3.5.1) a un Erlenmeyer de 250 ml y evaporar la solución a unos 0,5 ml. Añadir 50 g del pienso en blanco, mezclar completamente y esperar diez minutos, mezclando varias veces más antes de proceder a la extracción (5.2).

Nota:

A los efectos de este método, el pienso en blanco deberá ser de tipo similar al de la muestra y en su análisis no debe detectarse olaquindox.

5.2.   Extracción.

Pesar, con una precisión de 0,01 g, aproximadamente 50 g de la muestra. Pasarlos a un Erlenmeyer de 1 000 ml, añadir 100 ml de metanol (3.1) e introducir el matraz durante cinco minutos en el baño ultrasónico (4.1). Añadir 410 ml de agua y dejar en el baño ultrasónico durante otros 15 minutos. Retirar el matraz del baño ultrasónico, agitar durante 30 minutos en el agitador (4.2) y filtrar por un filtro plegado. Transvasar 10,0 ml del filtrado a un matraz aforado de 20 ml, enrasar con agua y mezclar. Filtrar una parte alícuota por un filtro de membrana (4.4) (véase la observación del punto 9). Proceder a la determinación mediante CLAR (5.3).

5.3.   Determinación mediante CLAR.

5.3.1.    Parámetros:

Las siguientes condiciones se ofrecen con carácter orientativo; pueden aplicarse otras si arrojan resultados equivalentes.



Columna analítica (4.3.1)

 

Fase móvil (3.4):

Mezcla de metanol (3.2) y agua (3.3), 900 + 100 (V + V)

Caudal:

1,5 -2 ml/min.

Longitud de onda de detección:

380 nm

Volumen de inyección:

20-100 μl

Comprobar la estabilidad del sistema cromatográfico inyectando varias veces la solución de calibración (3.5.3) de 2,5 μg/ml, hasta que se alcancen alturas de pico y tiempos de retención constantes.

5.3.2.    Curva de calibración.

Inyectar varias veces cada solución de calibración (3.5.3) y determinar las alturas (áreas) de pico medias de cada concentración. Trazar una curva de calibración empleando las alturas (áreas) de pico medias de las soluciones de calibración como ordenadas y las concentraciones correspondientes, en microgramos por mililitro, como abscisas.

5.3.3.    Solución de muestra.

Inyectar varias veces el extracto de muestra (5.2) empleando el mismo volumen que para las soluciones de calibración, y determinar la altura (área) media de los picos de olaquindox.

6.   Cálculo de los resultados

Determinar la concentración de la solución de muestra, en microgramos por mililitro, a partir de la altura (área) media de sus picos de olaquindox, tomando como referencia la curva de calibración (5.3.2).

El contenido p de olaquindox de la muestra, en miligramos por kilogramo, viene dado por la siguiente fórmula:

image

en la cual:

c

=

concentración de olaquindox del extracto de muestra (5.2), en microgramos por mililitro;

m

=

peso de la porción de ensayo, en gramos por mililitro (5.2).

7.   Validación de los resultados

7.1.   Identidad.

La identidad del analito puede confirmarse mediante cocromatografía, o utilizando un detector de red de diodos con el cual se comparan los espectros del extracto de muestra (5.2) y de la solución de calibración (3.5.3) de 5,0 μg/ml.

7.1.1.    Cocromatografía.

Enriquecer un extracto de muestra (5.2) añadiéndole una cantidad apropiada de solución de calibración (3.5.3). La cantidad de olaquindox añadida debe ser similar a la hallada en el extracto de muestra.

Solo la altura del pico de olaquindox deberá aumentar en función de la cantidad añadida y de la dilución del extracto. La anchura del pico, a la mitad de su altura, debe ser igual ± 10 % a la anchura original del pico de olaquindox del extracto de muestra sin enriquecer.

7.1.2.    Detección por red de diodos.

Los resultados se evalúan con arreglo a los siguientes criterios:

a) la longitud de onda de absorción máxima de los espectros de la muestra y del patrón, registrados en el vértice del pico del cromatograma, debe ser la misma dentro de un margen determinado por el poder de resolución del sistema de detección; en el caso de la detección por red de diodos, el margen típico se sitúa en ± 2 nm;

b) entre 220 nm y 400 nm, los espectros de la muestra y del patrón registrados en el vértice del pico del cromatograma no deben ser diferentes por lo que respecta a aquellas partes del espectro que se encuentran en un intervalo del 10 % al 100 % de la absorbancia relativa; se cumple este criterio cuando están presentes los mismos máximos y en ningún punto observado la desviación entre los dos espectros excede del 15 % de la absorbancia del analito patrón;

c) entre 220 nm y 400 nm, los espectros de la pendiente ascendente, del vértice y de la pendiente descendente del pico producido por el extracto de muestra no deben diferir entre sí por lo que respecta a las partes del espectro que se encuentran en un intervalo del 10 % al 100 % de la absorbancia relativa; se cumple este criterio cuando están presentes los mismos máximos y en ningún punto observado la desviación entre los espectros excede del 15 % de la absorbancia del espectro del vértice del pico.

Si no se cumple alguno de estos criterios, la presencia del analito no queda confirmada.

7.2.   Repetibilidad.

La diferencia entre los resultados de dos determinaciones paralelas efectuadas con la misma muestra no debe rebasar el 15 % del resultado superior, en el caso de contenidos de olaquindox de 10-200 mg/kg.

7.3.   Recuperación.

La recuperación de la muestra en blanco enriquecida deberá ser al menos del 90 %.

8.   Resultados de un estudio colaborativo

Se organizó un estudio colaborativo comunitario en el que hasta trece laboratorios analizaron cuatro muestras de piensos para lechones, incluido un pienso en blanco. A continuación figuran los resultados del estudio.



 

Muestra 1

Muestra 2

Muestra 3

Muestra 4

L

13

10

11

11

n

40

40

44

44

media [mg/kg]

14,6

48,0

95,4

Sr [mg/kg]

0,82

2,05

6,36

SR [mg/kg]

1,62

4,28

8,42

CVr [ %]

5,6

4,3

6,7

CVR [ %]

11,1

8,9

8,8

Contenido nominal

 

 

 

 

[mg/kg]

15

50

100

recuperación %

97,3

96,0

95,4

L

=

número de laboratorios

n

=

número de valores individuales

Sr

=

desviación típica de la repetibilidad

SR

=

desviación típica de la reproducibilidad

CVr

=

coeficiente de variación de la repetibilidad

CVR

=

coeficiente de variación de la reproducibilidad

9.   Observación

Aunque el método no ha sido validado para piensos que contengan más de 100 mg/kg de olaquindox, quizá puedan obtenerse resultados satisfactorios tomando una muestra de menor peso y/o diluyendo el extracto (5.2) hasta alcanzar una concentración que se encuentre en el intervalo de la curva de calibración (5.3.2).

C)   DETERMINACIÓN DEL AMPROLIO

Clorhidrato de cloruro de 1-[(4-amino-2-propilpirimidin-5-il)metil]-2-metil-piridinio

1.   Objeto y ámbito de aplicación

Este método permite determinar el nivel de amprolio en piensos y premezclas. El límite de detección es de 1 mg/kg; el de cuantificación, de 5 mg/kg.

2.   Principio

La muestra se extrae con una mezcla de agua y metanol. Tras dilución con la fase móvil y filtración por un filtro de membrana, el contenido de amprolio se determina mediante cromatografía de líquidos de alta resolución (CLAR) de intercambio catiónico, empleando un detector de UV.

3.   Reactivos

3.1. Metanol.

3.2. Acetonitrilo, equivalente al de calidad CLAR.

3.3. Agua, equivalente a la de calidad CLAR.

3.4. Solución de dihidrogenofosfato de sodio, c = 0,1 mol/l.

Disolver 13,80 g de dihidrogenofosfato de sodio monohidrato en agua (3.3) en un matraz aforado de 1 000 ml, enrasar con agua (3.3) y mezclar.

3.5. Solución de perclorato de sodio, c = 1,6 mol/l.

Disolver 224,74 g de perclorato de sodio monohidrato en agua (3.3) en un matraz aforado de 1 000 ml, enrasar con agua (3.3) y mezclar.

3.6. Fase móvil para la CLAR (véase la observación 9.1).

Mezcla de acetonitrilo (3.2), solución de dihidrogenofosfato de sodio (3.4) y solución de perclorato de sodio (3.5), 450 + 450 + 100 (v + v + v). Antes de utilizarla, filtrar la solución por un filtro de membrana de 0,22 μm (4.3) y desgasificarla (por ejemplo, en el baño ultrasónico [4.4] durante, como mínimo, 15 minutos).

3.7. Sustancia patrón: amprolio puro, clorhidrato de cloruro de 1-[(4-amino-2-propilpirimidin-5-il)metil]-2-metil-piridinio, E 750 (véase el punto 9.2).

3.7.1.  Solución patrón madre de amprolio de 500 μg/ml.

Pesar, con una precisión de 0,1 mg, 50 mg de amprolio (3.7) en un matraz aforado de 100 ml, disolver en 80 ml de metanol (3.1) y poner el matraz en un baño ultrasónico (4.4) durante diez minutos. Después del tratamiento de ultrasonidos, llevar la solución a temperatura ambiente, enrasar con agua y mezclar. A una temperatura de ≤ 4 oC, la solución es estable durante un mes.

3.7.2.  Solución patrón intermedia de amprolio de 50 μg/ml.

Pipetear 5,0 ml de la solución patrón madre (3.7.1) a un matraz aforado de 50 ml, enrasar con el disolvente de extracción (3.8) y mezclar. A una temperatura de ≤ 4 oC, la solución es estable durante un mes.

3.7.3.  Soluciones de calibración.

Transvasar 0,5 , 1,0 y 2,0 ml de la solución patrón intermedia (3.7.2) a una serie de matraces aforados de 50 ml. Enrasar con la fase móvil (3.6) y mezclar. Estas soluciones corresponden, respectivamente, a 0,5 , 1,0 y 2,0 μg/ml de amprolio. Deben prepararse poco antes de utilizarse.

3.8. Disolvente de extracción.

Mezcla de metanol (3.1) y agua 2 + 1 (v + v).

4.   Instrumental

4.1. Equipo para CLAR con un sistema de inyección que permita inyectar volúmenes de 100 μl.

4.1.1. Columna cromatográfica de líquidos, de 125 mm x 4 mm, Nucleosil 10 SA de intercambio catiónico, relleno de 5 μm o 10 μm, o equivalente.

4.1.2. Detector de UV de longitud de onda variable, o detector de red de diodos.

4.2. Filtro de membrana de politetrafluoretileno de 0,45 μm.

4.3. Filtro de membrana de 0,22 μm.

4.4. Baño ultrasónico.

4.5. Agitador mecánico o magnético.

5.   Procedimiento

5.1.   Generalidades

5.1.1.    Pienso en blanco.

Para el ensayo de recuperación (5.1.2) deberá analizarse un pienso en blanco, a fin de comprobar la ausencia de amprolio y de sustancias interferentes. El pienso en blanco deberá ser de tipo similar al de la muestra y en su análisis no debe detectarse amprolio ni sustancias interferentes.

5.1.2    Ensayo de recuperación.

Deberá realizarse un ensayo de recuperación analizando el pienso en blanco, que se habrá enriquecido añadiendo una cantidad de amprolio similar a la presente en la muestra. Para enriquecer a un nivel de 100 mg/kg, transvasar 10,0 ml de la solución patrón madre (3.7.1) a un Erlenmeyer de 250 ml y evaporar la solución a unos 0,5 ml. Añadir 50 g del pienso en blanco, mezclar completamente y esperar diez minutos, mezclando varias veces más antes de proceder a la extracción (5.2).

Si no se dispone de un pienso en blanco de tipo similar al de la muestra (véase el punto 5.1.1), también puede realizarse un ensayo de recuperación por el método de adición de patrón. En este caso, la muestra que debe analizarse se enriquece con una cantidad de amprolio similar a la que ya esté presente en ella. Esta muestra se analiza junto con la muestra sin enriquecer, y la recuperación puede calcularse por sustracción.

5.2.   Extracción

5.2.1.    Premezclas (contenido de < 1 % de amprolio) y piensos.

En función del contenido de amprolio, pesar, con una precisión de 0,01 g, entre 5 g y 40 g de la muestra en un Erlenmeyer de 500 ml y añadir 200 ml de disolvente de extracción (3.8). Poner el matraz en el baño ultrasónico (4.4) y dejarlo 15 minutos. Retirar el matraz del baño ultrasónico, agitar durante una hora en el agitador o remover en el agitador magnético (4.5). Diluir una parte alícuota del extracto con la fase móvil (3.6) hasta obtener un contenido de amprolio de 0,5 -2 μg/ml y mezclar (véase la observación del punto 9.3). Filtrar de 5 ml a 10 ml de esta solución diluida por un filtro de membrana (4.2). Proceder a la determinación mediante CLAR (5.3).

5.2.2.    Premezclas (contenido de ≥ 1 % de amprolio).

En función del contenido de amprolio, pesar, con una precisión de 0,001 g, entre 1 g y 4 g de la premezcla en un Erlenmeyer de 500 ml y añadir 200 ml de disolvente de extracción (3.8). Poner el matraz en el baño ultrasónico (4.4) y dejarlo 15 minutos. Retirar el matraz del baño ultrasónico, agitar durante una hora en el agitador o remover en el agitador magnético (4.5). Diluir una parte alícuota del extracto con la fase móvil (3.6) hasta obtener un contenido de amprolio de 0,5 -2 μg/ml y mezclar. Filtrar de 5 ml a 10 ml de esta solución diluida por un filtro de membrana (4.2). Proceder a la determinación mediante CLAR (5.3).

5.3.   Determinación mediante CLAR

5.3.1.    Parámetros:

Las siguientes condiciones se ofrecen con carácter orientativo; pueden aplicarse otras si arrojan resultados equivalentes.



Columna cromatográfica

 

de líquidos (4.1.1):

125 mm × 4 mm, Nucleosil 10 SA de intercambio catiónico, relleno de 5 μm o 10 μm, o equivalente

Fase móvil (3.6):

Mezcla de acetonitrilo (3.2), solución de dihidrogenofosfato de sodio (3.4) y solución de perclorato de sodio (3.5), 450 + 450 + 100 (v + v + v).

Caudal:

0,7 -1 ml/min.

Longitud de onda de detección:

264 nm

Volumen de inyección:

100 μl

Comprobar la estabilidad del sistema cromatográfico inyectando varias veces la solución de calibración (3.7.3) de 1,0 μg/ml, hasta que se alcancen alturas de pico y tiempos de retención constantes.

5.3.2.    Curva de calibración.

Inyectar varias veces cada solución de calibración (3.7.3) y determinar las alturas (áreas) de pico medias de cada concentración. Trazar una curva de calibración empleando las alturas (áreas) de pico medias de las soluciones de calibración como ordenadas y las concentraciones correspondientes, en microgramos por mililitro, como abscisas.

5.3.3.    Solución de muestra.

Inyectar varias veces el extracto de muestra (5.2) empleando el mismo volumen que para las soluciones de calibración, y determinar la altura (área) media de los picos de amprolio.

6.   Cálculo de los resultados

Determinar la concentración de la solución de muestra, en microgramos por mililitro, a partir de la altura (área) media de sus picos de amprolio, tomando como referencia la curva de calibración (5.3.2).

El contenido p de amprolio de la muestra, en miligramos por kilogramo, viene dado por la siguiente fórmula:

image

[mg/kg]

en la cual:

V

=

volumen del disolvente de extracción (3.8) según el punto 5.2, en mililitros (es decir, 200 ml);

c

=

concentración de amprolio del extracto de muestra (5.2), en microgramos por mililitro;

f

=

factor de dilución según el punto 5.2;

m

=

peso de la porción de ensayo, en gramos.

7.   Validación de los resultados

7.1.   Identidad.

La identidad del analito puede confirmarse mediante cocromatografía, o utilizando un detector de red de diodos con el cual se comparan los espectros del extracto de muestra (5.2) y de la solución de calibración (3.7.3) de 2,0 μg/ml.

7.1.1.    Cocromatografía.

Enriquecer un extracto de muestra (5.2) añadiéndole una cantidad apropiada de solución de calibración (3.7.3). La cantidad de amprolio añadida debe ser similar a la hallada en el extracto de muestra.

Solo la altura del pico de amprolio deberá aumentar en función de la cantidad añadida y de la dilución del extracto. La anchura del pico, a la mitad de su altura, debe ser igual ± 10 % a la anchura original del pico de amprolio del extracto de muestra sin enriquecer.

7.1.2.    Detección por red de diodos.

Los resultados se evalúan con arreglo a los siguientes criterios:

a) la longitud de onda de absorción máxima de los espectros de la muestra y del patrón, registrados en el vértice del pico del cromatograma, debe ser la misma dentro de un margen determinado por el poder de resolución del sistema de detección; en el caso de la detección por red de diodos, el margen típico se sitúa en ± 2 nm;

b) entre 210 nm y 320 nm, los espectros de la muestra y del patrón registrados en el vértice del pico del cromatograma no deben ser diferentes por lo que respecta a aquellas partes del espectro que se encuentran en un intervalo del 10 % al 100 % de la absorbancia relativa; se cumple este criterio cuando están presentes los mismos máximos y en ningún punto observado la desviación entre los dos espectros excede del 15 % de la absorbancia del analito patrón;

c) entre 210 nm y 320 nm, los espectros de la pendiente ascendente, del vértice y de la pendiente descendente del pico producido por el extracto de muestra no deben diferir entre sí por lo que respecta a las partes del espectro que se encuentran en un intervalo del 10 % al 100 % de la absorbancia relativa; se cumple este criterio cuando están presentes los mismos máximos y en ningún punto observado la desviación entre los espectros excede del 15 % de la absorbancia del espectro del vértice del pico.

Si no se cumple alguno de estos criterios, la presencia del analito no queda confirmada.

7.2.   Repetibilidad.

La diferencia entre los resultados de dos determinaciones paralelas efectuadas con la misma muestra no debe exceder de:

 el 15 % del valor superior, en el caso de contenidos de amprolio de 25 mg/kg a 500 mg/kg,

 75 mg/kg, en el caso de contenidos de amprolio de 500 mg/kg a 1 000 mg/kg,

 el 7,5 % del valor superior, en el caso de contenidos de amprolio superiores a 1 000 mg/kg.

7.3.   Recuperación.

La recuperación de la muestra (en blanco) enriquecida deberá ser al menos del 90 %.

8.   Resultados de un estudio colaborativo

Se organizó un estudio colaborativo en el que se analizaron tres piensos para aves de corral (muestras 1 a 3), un pienso mineral (muestra 4) y una premezcla (muestra 5). Los resultados se recogen en el cuadro siguiente:



 

Muestra 1 (pienso en blanco)

Muestra 2

Muestra 3

Muestra 4

Muestra 5

L

14

14

14

14

15

n

56

56

56

56

60

media [mg/kg]

45,5

188

5 129

25 140

sr [mg/kg]

2,26

3,57

178

550

CVr [ %]

4,95

1,90

3,46

2,20

sR [mg/kg]

2,95

11,8

266

760

CVR [ %]

6,47

6,27

5,19

3,00

Contenido nominal [mg/kg]

50

200

5 000

25 000

L

=

número de laboratorios

n

=

número de valores individuales

sr

=

desviación típica de la repetibilidad

CVr

=

coeficiente de variación de la repetibilidad

sR

=

desviación típica de la reproducibilidad

CVR

=

coeficiente de variación de la reproducibilidad

9.   Observaciones

9.1. Si la muestra contiene tiamina, su pico aparece en el cromatograma poco antes que el de amprolio. Según este método, el amprolio y la tiamina deben separarse. Si la columna (4.1.1) utilizada en este método no separa el amprolio de la tiamina, sustituir hasta el 50 % de la porción de acetonitrilo de la fase móvil (3.6) por metanol.

9.2. De acuerdo con la British Pharmacopoeia, el espectro de una solución de amprolio (c = 0,02 mol/l) en ácido clorhídrico (c = 0,1 mol/l) presenta máximos a 246 nm y 262 nm. La absorbancia será de 0,84 a 246 nm y de 0,80 a 262 nm.

9.3. El extracto debe estar siempre diluido con la fase móvil, ya que, de lo contrario, el tiempo de retención del pico de amprolio puede variar significativamente, debido a cambios en la fuerza iónica.

D)   DETERMINACIÓN DEL CARBADOX

N1,N4-dióxido de metil 3-(2-quinoxalinilmetileno)carbazato

1.   Objeto y ámbito de aplicación

Este método permite determinar el nivel de carbadox en piensos, premezclas y preparados. El límite de detección es de 1 mg/kg; el de cuantificación, de 5 mg/kg.

2.   Principio

La muestra se equilibra con agua y se extrae con una mezcla de metanol y acetonitrilo. En el caso de los piensos, una parte alícuota del extracto filtrado se limpia en una columna de óxido de aluminio. En el caso de las premezclas y los preparados, una parte alícuota del extracto filtrado se diluye con agua, metanol y acetonitrilo hasta obtener una concentración apropiada. El contenido de carbadox se determina mediante cromatografía de líquidos de alta resolución (CLAR) de fase reversa, empleando un detector de UV.

3.   Reactivos

3.1. Metanol.

3.2. Acetonitrilo, equivalente al de calidad CLAR.

3.3. Ácido acético, p = 100 %.

3.4. Óxido de aluminio: neutro, con grado de actividad I.

3.5. Mezcla de metanol y acetonitrilo 1 + 1 (v + v).

Mezclar 500 ml de de metanol (3.1) con 500 ml de acetonitrilo (3.2).

3.6. Ácido acético, σ = 10 %.

Diluir 10 ml de ácido acético (3.3) a 100 ml con agua.

3.7. Acetato de sodio.

3.8. Agua, equivalente a la de calidad CLAR.

3.9. Solución reguladora de acetato, c = 0,01 mol/l, pH = 6,0 .

Disolver 0,82 g de acetato de sodio (3.7) en 700 ml de agua (3.8) y ajustar el pH a 6,0 con ácido acético (3.6). Transvasar a un matraz aforado de 1 000 ml, enrasar con agua (3.8) y mezclar.

3.10. Fase móvil para la CLAR.

Mezclar 825 ml de solución reguladora de acetato (3.9) con 175 ml de acetonitrilo (3.2).

Filtrar por un filtro de 0,22 μm (4.5) y desgasificar la solución (por ejemplo, aplicando ultrasonidos durante diez minutos).

3.11. Sustancia patrón.

Carbadox puro: N1,N4-dióxido de metil 3-(2-quinoxalinilmetileno)carbazato, E 850.

3.11.1.  Solución patrón madre de carbadox de 100 μg/ml (véase la nota del punto 5, relativo al procedimiento).

Pesar, con una precisión de 0,1 mg, 25 mg de sustancia patrón de carbadox (3.11) en un matraz aforado de 250 ml. Disolver en una mezcla de metanol y acetonitrilo (3.5) por medio de ultrasonidos (4.7). Después del tratamiento de ultrasonidos, llevar la solución a temperatura ambiente, enrasar con la mezcla de metanol y acetonitrilo (3.5) y mezclar. Envolver el matraz con papel de aluminio, o utilizar material de vidrio ámbar, y guardarlo en el frigorífico. A una temperatura de ≤ 4 oC, la solución es estable durante un mes.

3.11.2.  Soluciones de calibración.

Transvasar 2,0 , 5,0 , 10,0 y 20,0 ml de la solución patrón madre (3.11.1) a una serie de matraces aforados de 100 ml. Añadir 30 ml de agua, enrasar con la mezcla de metanol y acetonitrilo (3.5) y mezclar. Envolver los matraces con papel de aluminio. Estas soluciones corresponden, respectivamente, a 2,0 , 5,0 , 10,0 y 20,0 μg/ml de carbadox.

Las soluciones de calibración deben prepararse poco antes de utilizarse.

Nota:

Para la determinación del carbadox en piensos que contengan menos de 10 mg/kg, deben prepararse soluciones de calibración con una concentración inferior a 2,0 μg/ml.

3.12. Mezcla de agua y metanol-acetonitrilo (3.5), 300 + 700 (v + v).

Mezclar 300 ml de agua con 700 ml de la mezcla de metanol y acetonitrilo (3.5).

4.   Instrumental

4.1. Agitador de laboratorio o agitador magnético.

4.2. Papel de filtro de fibra de vidrio (Whatman GF/A o equivalente).

4.3. Columna de vidrio (de 300 mm a 400 mm de longitud y 10 mm aproximadamente de diámetro interior) con frita de vidrio sinterizado y válvula de extracción.

Nota:

También puede utilizarse una columna de vidrio provista de una llave de cierre o una columna de vidrio con un extremo cónico; en este caso, introducir un pequeño tapón de lana de vidrio en el extremo inferior de la columna de vidrio y atacarlo con una varilla de vidrio.

4.4. Equipo para CLAR con un sistema de inyección que permita inyectar volúmenes de 20 μl.

4.4.1. Columna cromatográfica de líquidos: 300 mm x 4 mm, C18, relleno de 10 μm, o equivalente.

4.4.2. Detector de UV de longitud de onda ajustable, o detector de red de diodos que funcione en el intervalo de 225-400 nm.

4.5. Filtro de membrana de 0,22 μm.

4.6. Filtro de membrana de 0,45 μm.

4.7. Baño ultrasónico.

5.   Procedimiento

Nota:

El carbadox es sensible a la luz. Realizar todas las operaciones con luz tenue o con material de vidrio ámbar o envuelto con papel de aluminio.

5.1.   Generalidades.

5.1.1.    Pienso en blanco.

Para el ensayo de recuperación (5.1.2) deberá analizarse un pienso en blanco, a fin de comprobar la ausencia de carbadox y de sustancias interferentes. El pienso en blanco deberá ser de tipo similar al de la muestra y en su análisis no debe detectarse carbadox ni sustancias interferentes.

5.1.2.    Ensayo de recuperación.

Deberá realizarse un ensayo de recuperación analizando el pienso en blanco (5.1.1), que se habrá enriquecido añadiendo una cantidad de carbadox similar a la presente en la muestra. Para enriquecer a un nivel de 50 mg/kg, transvasar 5,0 ml de la solución patrón madre (3.11.1) a un Erlenmeyer de 200 ml. Evaporar la solución en una corriente de nitrógeno hasta que resten 0,5 ml, aproximadamente. Añadir 10 g del pienso en blanco, mezclar y esperar diez minutos antes de proceder a la extracción (5.2).

Si no se dispone de un pienso en blanco de tipo similar al de la muestra (véase el punto 5.1.1), también puede realizarse un ensayo de recuperación por el método de adición de patrón. En este caso, la muestra se enriquece con una cantidad de carbadox similar a la que ya esté presente en ella. Esta muestra se analiza junto con la muestra sin enriquecer, y la recuperación puede calcularse por sustracción.

5.2.   Extracción.

5.2.1.    Piensos.

Pesar, con una precisión de 0,01 g, 10 g de la muestra preparada y pasarlos a un Erlenmeyer de 200 ml. Añadir 15,0 ml de agua, mezclar y equilibrar durante cinco minutos. Añadir 35,0 ml de la mezcla de metanol y acetonitrilo (3.5), tapar y agitar durante 30 minutos en el agitador o remover en el agitador magnético (4.1). Filtrar la solución por un papel de filtro de fibra de vidrio (4.2). Conservar esta solución para la fase de purificación (5.3).

5.2.2.    Premezclas (0,1 -2,0 %).

Pesar, con una precisión de 0,001 g, 1 g de la muestra sin moler y pasarlo a un Erlenmeyer de 200 ml. Añadir 15,0 ml de agua, mezclar y equilibrar durante cinco minutos. Añadir 35,0 ml de la mezcla de metanol y acetonitrilo (3.5), tapar y agitar durante 30 minutos en el agitador o remover en el agitador magnético (4.1). Filtrar la solución por un papel de filtro de fibra de vidrio (4.2).

Pipetear una parte alícuota de filtrado a un matraz aforado de 50 ml. Añadir 15,0 ml de agua, enrasar con la mezcla de metanol y acetonitrilo (3.5) y mezclar. La concentración de carbadox de la solución final deberá ser de aproximadamente 10 μg/ml. Filtrar una parte alícuota por un filtro de 0,45 μm (4.6).

Proceder a la determinación mediante CLAR (5.4).

5.2.3.    Preparados (> 2 %).

Pesar, con una precisión de 0,001 g, 0,2 g de la muestra sin moler y pasarlos a un Erlenmeyer de 250 ml. Añadir 45,0 ml de agua, mezclar y equilibrar durante cinco minutos. Añadir 105,0 ml de mezcla de metanol y acetonitrilo (3.5), tapar y homogeneizar. Aplicar ultrasonidos (4.7) a la muestra durante 15 minutos y, a continuación, agitar o remover durante otros 15 minutos (4.1). Filtrar la solución por un papel de filtro de fibra de vidrio (4.2).

Diluir una parte alícuota de filtrado con una mezcla de agua, metanol y acetonitrilo (3.12) hasta obtener una concentración de carbadox de 10-15 μg/ml (para un preparado al 10 %, el factor de dilución es 10). Filtrar una parte alícuota por un filtro de 0,45 μm (4.6).

Proceder a la determinación mediante CLAR (5.4).

5.3.   Purificación.

5.3.1.    Preparación de la columna de óxido de aluminio.

Pesar 4 g de óxido de aluminio (3.4) y transferirlos a la columna de vidrio (4.3).

5.3.2.    Purificación de la muestra.

Pasar 15 ml del extracto filtrado (5.2.1) a la columna de óxido de aluminio y desechar los primeros 2 ml de eluido. Recoger los 5 ml siguientes y filtrar una parte alícuota por un filtro de 0,45 μm (4.6).

Proceder a la determinación mediante CLAR (5.4).

5.4.   Determinación mediante CLAR.

5.4.1.    Parámetros.

Las siguientes condiciones se ofrecen con carácter orientativo; pueden aplicarse otras si arrojan resultados equivalentes.



Columna cromatográfica

 

de líquidos (4.4.1):

300 mm × 4 mm, C18, relleno de 10 μm, o equivalente

Fase móvil (3.10):

Mezcla de solución reguladora de acetato (3.9) y acetonitrilo (3.2), 825 + 175 (v + v)

Caudal:

1,5 -2 ml/min.

Longitud de onda de detección:

365 nm

Volumen de inyección:

20 μl

Comprobar la estabilidad del sistema cromatográfico inyectando varias veces la solución de calibración (3.11.2) de 5,0 μg/ml, hasta que se alcancen alturas (áreas) de pico y tiempos de retención constantes.

5.4.2.    Curva de calibración.

Inyectar varias veces cada solución de calibración (3.11.2) y medir las alturas (áreas) de pico de cada concentración. Trazar una curva de calibración empleando las alturas o áreas de pico medias de las soluciones de calibración como ordenadas y las concentraciones correspondientes, en microgramos por mililitro, como abscisas.

5.4.3.    Solución de muestra.

Inyectar varias veces el extracto de muestra ([5.3.2] para los piensos, [5.2.2] para las premezclas y [5.2.3] para los preparados) y determinar la altura (área) media de los picos de carbadox.

6.   Cálculo de los resultados

Determinar la concentración de carbadox de la solución de muestra, en microgramos por mililitro, a partir de la altura (área) media de sus picos de carbadox, tomando como referencia la curva de calibración (5.4.2).

6.1.   Piensos.

El contenido de carbadox p (mg/kg) de la muestra viene dado por la siguiente fórmula:

image

[mg/kg]

en la cual:

c

=

concentración de carbadox del extracto de muestra (5.3.2), en microgramos por mililitro;

V1

=

volumen de extracción, en mililitros (es decir, 50);

m

=

peso de la porción de ensayo, en gramos.

6.2.   Premezclas y preparados.

El contenido de carbadox p (mg/kg) de la muestra viene dado por la siguiente fórmula:

image

[mg/kg]

en la cual:

c

=

concentración de carbadox del extracto de muestra (5.2.2 o 5.2.3), en microgramos por mililitro;

V2

=

volumen de extracción, en mililitros (es decir, 50 para las premezclas y 150 para los preparados);

f

=

factor de dilución según el punto 5.2.2 (premezclas) o 5.2.3 (preparados);

m

=

peso de la porción de ensayo, en gramos.

7.   Validación de los resultados

7.1.   Identidad.

La identidad del analito puede confirmarse mediante cocromatografía, o utilizando un detector de red de diodos con el cual se comparan los espectros del extracto de muestra y de la solución de calibración (3.11.2) de 10,0 μg/ml.

7.1.1.    Cocromatografía.

Enriquecer un extracto de muestra añadiéndole una cantidad apropiada de solución de calibración (3.11.2). La cantidad de carbadox añadida debe ser similar a la cantidad estimada de carbadox hallada en el extracto de muestra.

Solo la altura del pico de carbadox deberá aumentar en función de la cantidad añadida y de la dilución del extracto. La anchura del pico, a la mitad de su altura máxima, debe ser igual ± 10 % a la anchura original.

7.1.2.    Detección por red de diodos.

Los resultados se evalúan con arreglo a los siguientes criterios:

a) la longitud de onda de absorción máxima de los espectros de la muestra y del patrón, registrados en el vértice del pico del cromatograma, debe ser la misma dentro de un margen determinado por el poder de resolución del sistema de detección; en el caso de la detección por red de diodos, el margen típico se sitúa en ± 2 nm;

b) entre 225 nm y 400 nm, los espectros de la muestra y del patrón registrados en el vértice del pico del cromatograma no deben ser diferentes por lo que respecta a aquellas partes del espectro que se encuentran en un intervalo del 10 % al 100 % de la absorbancia relativa; se cumple este criterio cuando están presentes los mismos máximos y en ningún punto observado la desviación entre los dos espectros excede del 15 % de la absorbancia del analito patrón;

c) entre 225 nm y 400 nm, los espectros de la pendiente ascendente, del vértice y de la pendiente descendente del pico producido por el extracto de muestra no deben diferir entre sí por lo que respecta a las partes del espectro que se encuentran en un intervalo del 10 % al 100 % de la absorbancia relativa; se cumple este criterio cuando están presentes los mismos máximos y en ningún punto observado la desviación entre los espectros excede del 15 % de la absorbancia del espectro del vértice.

Si no se cumple alguno de estos criterios, la presencia del analito no queda confirmada.

7.2.   Repetibilidad.

Tratándose de contenidos iguales o superiores a 10 mg/kg, la diferencia entre los resultados de dos determinaciones paralelas efectuadas con la misma muestra no debe rebasar el 15 % del resultado superior.

7.3.   Recuperación.

La recuperación de la muestra (en blanco) enriquecida deberá ser al menos del 90 %.

8.   Resultados de un estudio colaborativo

Se organizó un estudio colaborativo en el que ocho laboratorios analizaron seis piensos, cuatro premezclas y tres preparados. De cada muestra se hicieron análisis por duplicado. (Puede encontrarse información más detallada sobre este estudio colaborativo en Journal of AOAC International, volumen 71, 1988, pp. 484-490). A continuación figuran los resultados del estudio (excluidos los valores atípicos).



Cuadro 1

Resultados del estudio colaborativo correspondientes a los piensos

 

Muestra 1

Muestra 2

Muestra 3

Muestra 4

Muestra 5

Muestra 6

L

8

8

8

8

8

8

n

15

14

15

15

15

15

Media (mg/kg)

50,0

47,6

48,2

49,7

46,9

49,7

Sr (mg/kg)

2,90

2,69

1,38

1,55

1,52

2,12

CVr ( %)

5,8

5,6

2,9

3,1

3,2

4,3

SR (mg/kg)

3,92

4,13

2,23

2,58

2,26

2,44

CVR ( %)

7,8

8,7

4,6

5,2

4,8

4,9

Contenido nominal (mg/kg)

50,0

50,0

50,0

50,0

50,0

50,0



Cuadro 2

Resultados del estudio colaborativo correspondientes a las premezclas y los preparados

 

Premezclas

Preparados

A

B

C

D

A

B

C

L

7

7

7

7

8

8

8

n

14

14

14

14

16

16

16

Media (g/kg)

8,89

9,29

9,21

8,76

94,6

98,1

104

Sr (g/kg)

0,37

0,28

0,28

0,44

4,1

5,1

7,7

CVr ( %)

4,2

3,0

3,0

5,0

4,3

5,2

7,4

SR (g/kg)

0,37

0,28

0,40

0,55

5,4

6,4

7,7

CVR ( %)

4,2

3,0

4,3

6,3

5,7

6,5

7,4

Contenido nominal (mg/kg)

10,0

10,0

10,0

10,0

100

100

100

L

=

número de laboratorios

n

=

número de valores individuales

Sr

=

desviación típica de la repetibilidad

CVr

=

coeficiente de variación de la repetibilidad

SR

=

desviación típica de la reproducibilidad

CVR

=

coeficiente de variación de la reproducibilidad




ANEXO IX

TABLAS DE CORRESPONDENCIAS A LAS QUE SE REFIERE EL ARTÍCULO 6

1.   Directiva 71/250/CEE



Directiva 71/250/CEE

Presente Reglamento

Artículo 1, párrafo primero

Artículo 3

Artículo 1, párrafo segundo

Artículo 2

Artículo 2

——

Artículo 3

——

Anexo, parte 1

Anexo II

Anexo, parte 2

——

Anexo, parte 3

——

Anexo, parte 4

Anexo III, parte O

Anexo, parte 5

Anexo III, parte M

Anexo, parte 6

Anexo III, parte N

Anexo, parte 7

Anexo III, parte Q

Anexo, parte 9

Anexo III, parte K

Anexo, parte 10

——

Anexo, parte 11

——

Anexo, parte 12

Anexo III, parte J

Anexo, parte 14

Anexo III, parte D

Anexo, parte 16

——

2.   Directiva 71/393/CEE



Directiva 71/393/CEE

Presente Reglamento

Artículo 1

Artículo 3

Artículo 2

——

Artículo 3

——

Anexo, parte I

Anexo III, parte A

Anexo, parte II

Anexo III, parte E

Anexo, parte III

Anexo III, parte P

Anexo, parte IV

Anexo III, parte H

3.   Directiva 72/199/CEE



Directiva 72/199/CEE

El presente Reglamento

Artículo 1

Artículo 3

Artículo 2

——

Artículo 3

——

Artículo 4

——

Anexo I, parte 1

Anexo III, parte L

Anexo I, parte 2

Anexo III, parte C

Anexo I, parte 3

——

Anexo I, parte 4

——

Anexo I, parte 5

Anexo V, parte A

Anexo II

——

4.   Directiva 73/46/CEE



Directiva 73/46/CEE

El presente Reglamento

Artículo 1

Artículo 3

Artículo 3

——

Artículo 4

——

Anexo I, parte 1

Anexo III, parte B

Anexo I, parte 2

——

Anexo I, parte 3

Anexo III, parte I

5.   Directiva 76/371/CEE



Directiva 76/371/CEE

Presente Reglamento

Artículo 1

Artículo 1

Artículo 2

——

Artículo 3

——

Anexo

Anexo I

6.   Directiva 76/372/CEE



Directiva 76/372/CEE

Presente Reglamento

Artículo 1

——

Artículo 2

——

Artículo 3

——

Anexo

——

7.   Directiva 78/633/CEE



Directiva 78/633/CEE

Presente Reglamento

Artículo 1

Artículo 3

Artículo 2

——

Artículo 3

——

Anexo, parte 1

——

Anexo, parte 2

——

Anexo, parte 3

Anexo IV, parte C

8.   Directiva 81/715/CEE



Directiva 81/715/CEE

Presente Reglamento

Artículo 1

——

Artículo 2

——

Artículo 3

——

Anexo

——

9.   Directiva 84/425/CEE



Directiva 84/425/CEE

Presente Reglamento

Artículo 1

——

Artículo 2

——

Artículo 3

——

Anexo

——

10.   Directiva 86/174/CEE



Directiva 86/174/CEE

Presente Reglamento

Artículo 1

Artículo 4

Artículo 2

——

Artículo 3

——

Anexo

Anexo VII

11.   Directiva 93/70/CEE



Directiva 93/70/CEE

Presente Reglamento

Artículo 1

Artículo 3

Artículo 2

——

Artículo 3

——

Anexo

Anexo IV, parte D

12.   Directiva 93/117/CE



Directiva 93/117/CE

Presente Reglamento

Artículo 1

Artículos 3 y 5

Artículo 2

——

Artículo 3

——

Anexo, parte 1

Anexo IV, parte E

Anexo, parte 2

Anexo VIII, parte A

13.   Directiva 98/64/CE



Directiva 98/64/CE

Presente Reglamento

Artículo 1

Artículos 3 y 5

Artículo 2

——

Artículo 3

——

Artículo 4

——

Anexo, parte A

Anexo III, parte F

Anexo, parte C

Anexo VIII, parte B

14.   Directiva 1999/27/CE



Directiva 1999/27/CE

Presente Reglamento

Artículo 1

Artículos 3 y 5

Artículo 2

——

Artículo 3

——

Artículo 4

——

Artículo 5

——

Artículo 6

——

Artículo 7

——

Anexo, parte A

Anexo VIII, parte C

Anexo, parte B

Anexo IV, parte F

Anexo, parte C

Anexo VIII, parte D

15.   Directiva 1999/76/CE



Directiva 1999/76/CE

Presente Reglamento

Artículo 1

Artículo 3

Artículo 2

——

Artículo 3

——

Artículo 4

——

Anexo

Anexo IV, parte G

16.   Directiva 2000/45/CE



Directiva 2000/45/CE

Presente Reglamento

Artículo 1

Artículo 3

Artículo 2

——

Artículo 3

——

Artículo 4

——

Anexo, parte A

Anexo IV, parte A

Anexo, parte B

Anexo IV, parte B

Anexo, parte C

Anexo III, parte G

17.   Directiva 2002/70/CE



Directiva 2002/70/CE

Presente Reglamento

Artículo 1

Artículo 1

Artículo 2

Artículos 2 y 3

Artículo 3

——

Artículo 4

——

Artículo 5

——

Anexo I

Anexo I y anexo V, parte B (I)

Anexo II

Anexo II y anexo V, parte B (II)

18.   Directiva 2003/126/CE



Directiva 2003/126/CE

Presente Reglamento

Artículo 1

Artículo 3

Artículo 2

——

Artículo 3

——

Artículo 4

——

Artículo 5

——

Artículo 6

——

Anexo

Anexo VI



( 1 ) DO L 268 de 18.10.2003, p. 29.

( 2 ) DO L 140 de 30.5.2002, p. 10..

( 3 ) DO L 70 de 16.3.2005, p. 1.

( 4 ) Los grumos deberán deshacerse (si es necesario apartándolos y reintegrándolos luego a la muestra).

( 5 ) Salvo en el caso del forraje o forraje basto de baja densidad.

( 6 ) Salvo en el caso del forraje o forraje basto de baja densidad..

( 7 ) DO L 229 de 1.9.2009, p. 1.

( 7 ) Para el secado de cereales, harina, grañones y sémola, la estufa debe tener una capacidad térmica tal que, precalentada a 131 oC, recupere esa temperatura en menos de 45 minutos una vez puestas a secar simultáneamente en su interior el máximo número de muestras de ensayo. La ventilación debe ser tal que, tras dos horas secando el máximo número de muestras de trigo candeal que pueda contener, los resultados difieran en menos de un 0,15 % de los obtenidos tras cuatro horas de secado.

( 7 ) Sustituir los fragmentos de piedra pómez por perlas de vidrio cuando el aceite o la grasa deban someterse a exámenes cualitativos ulteriores.

( 7 ) DO L 125 de 23.5.1996, p. 35.

( 7 ) Realizado por el Grupo de Trabajo sobre Piensos de la Verband Deutscher Landwirtschaftlicher Untersuchungs- und Forschungsanstalten (VDLUFA).

( 7 ) Realizado por el Grupo de Trabajo sobre Piensos de la Verband Deutscher Landwirtschaftlicher Untersuchungs- und Forschungsanstalten (VDLUFA).

( 7 ) Pueden emplearse otros métodos de digestión, siempre que se haya demostrado que ofrecen resultados similares (por ejemplo, digestión a presión por microondas).

( 7 ) El forraje verde (fresco o desecado) puede contener grandes cantidades de sílice vegetal, que puede retener oligolementos y debe eliminarse. Por tanto, con las muestras de estos piensos debe aplicarse el procedimiento modificado que sigue. Efectuar la operación del punto 5.1.1.1, hasta la filtración. Lavar el papel de filtro que contiene el residuo insoluble dos veces con agua hirviendo e introducirlo en un crisol de cuarzo o platino. Calcinar en el horno de mufla (4.1) a una temperatura por debajo de 550 oC hasta que haya desaparecido por completo todo el material carbonoso. Dejar enfriar, añadir unas pocas gotas de agua y, a continuación, de 10 ml a 15 ml de ácido fluorhídrico (3.4), evaporando después hasta sequedad a unos 150 oC. Si el residuo sigue conteniendo sílice, volver a disolverlo en unos pocos mililitros de ácido fluorhídrico (3.4) y evaporar hasta sequedad. Añadir cinco gotas de ácido sulfúrico (3.5) y calentar hasta que dejen de desprenderse vapores. Tras añadir 5 ml de ácido clorhídrico de 6 mol/l (3.2) y unos 30 ml de agua, calentar, filtrar la solución en el matraz aforado de 250 ml y enrasar con agua (concentración de HCl: 0,5 mol/l aproximadamente). Proseguir entonces con la determinación a partir del punto 5.1.2.

( 7 The Analyst 108, 1983, pp. 1252-1256.

( *1 The Analyst, 1995, 120, pp. 2175-2180

( 8 ) Tabla de FET (= factores de equivalencia tóxica) correspondientes a PCDD, PCDF y PCB similares a las dioxinas: Los FET-OMS de evaluación del riesgo para la salud humana se basan en las conclusiones de la reunión de expertos del Programa Internacional de Seguridad Química (IPCS) de la Organización Mundial de la Salud (OMS), celebrada en Ginebra en junio de 2005. Martin van den Berg et al.: «The 2005 World Health Organization Re-evaluation of Human and Mammalian Toxic Equivalency Factors for Dioxins and Dioxin-like Compounds». Toxicological Sciences 93(2), 223-241 (2006).



Congéneres

Valor FET

Congéneres

Valor FET

Policlorodibenzodioxinas («PCDD») y policlorodibenzofuranos («PCDF»)

 

PCB «similares a las dioxinas»

PCB no-orto + PCB mono-orto

2,3,7,8-TCDD

1

 

 

1,2,3,7,8-PeCDD

1

PCB no-orto

 

1,2,3,4,7,8-HxCDD

0,1

PCB 77

0,0001

1,2,3,6,7,8-HxCDD

0,1

PCB 81

0,0003

1,2,3,7,8,9-HxCDD

0,1

PCB 126

0,1

1,2,3,4,6,7,8-HpCDD

0,01

PCB 169

0,03

OCDD

0,0003

PCB mono-orto

 

2,3,7,8-TCDF

0,1

PCB 105

0,00003

1,2,3,7,8-PeCDF

0,03

PCB 114

0,00003

2,3,4,7,8-PeCDF

0,3

PCB 118

0,00003

1,2,3,4,7,8-HxCDF

0,1

PCB 123

0,00003

1,2,3,6,7,8-HxCDF

0,1

PCB 156

0,00003

1,2,3,7,8,9-HxCDF

0,1

PCB 157

0,00003

2,3,4,6,7,8-HxCDF

0,1

PCB 167

0,00003

1,2,3,4,6,7,8-HpCDF

0,01

PCB 189

0,00003

1,2,3,4,7,8,9-HpCDF

0,01

 

 

OCDF

0,0003

 

 

Abreviaturas utilizadas: T = tetra; Pe = penta; Hx = hexa; Hp = hepta; O = octa; CDD = clorodibenzodioxina; CDF = clorodibenzofurano; CB = clorobifenilo.

( 9 ) Decisión 2002/657/CE de la Comisión, de 14 de agosto de 2002, por la que se aplica la Directiva 96/23/CE del Consejo en cuanto al funcionamiento de los métodos analíticos y la interpretación de los resultados (DO L 221 de 17.8.2002, p. 8).

( 10 ) Deberán aplicarse, cuando proceda, los principios que se describen en el «Guidance Document on Measurement Uncertainty for Laboratories performing PCDD/F and PCB Analysis using Isotope Dilution Mass Spectrometry» (http://ec.europa.eu/food/safety/animal-feed_en).

( 11 ) El concepto de «límite superior» exige considerar el límite de cuantificación como contribución de cada congénere no cuantificado. El concepto de «límite inferior» exige suponer que la contribución de cada congénere no cuantificado es igual a cero. El concepto de «límite intermedio» exige considerar la mitad del límite de cuantificación como contribución de cada congénere no cuantificado.

( 12 ) Análisis por duplicado: un análisis por separado de los análitos considerados utilizando una segunda parte alícuota de la misma muestra homogeneizada. En general, son de aplicación los requisitos para el análisis por duplicado, con arreglo a lo previsto en el anexo II, capítulo C, punto 3. No obstante, en métodos que utilizan el patrón interno marcado con C13 para los análitos considerados, el análisis por duplicado solo es necesario si el resultado de la primera determinación no es conforme. El análisis por duplicado es necesario para descartar la posibilidad de contaminación cruzada interna o de combinación accidental de muestras. Si el análisis se realiza en el curso de un incidente de contaminación, la confirmación mediante análisis por duplicado puede omitirse si las muestras seleccionadas para el análisis se pueden relacionar, merced a la trazabilidad, con dicho incidente y si el nivel encontrado es significativamente superior al máximo.

( 13 ) El concepto de «límite superior» exige suponer que la contribución de cada congénere no cuantificado al equivalente tóxico (EQT) es igual al límite de cuantificación. El concepto de «límite inferior» exige suponer que la contribución de cada congénere no cuantificado al EQT es igual a cero. El concepto de «límite intermedio» exige suponer que la contribución de cada congénere no cuantificado al EQT es igual a la mitad del límite de cuantificación.

( 14 ) En general, son de aplicación los requisitos para el análisis por duplicado, con arreglo a lo previsto en el anexo II, capítulo C, punto 2. No obstante, en métodos de confirmación que utilizan el patrón interno marcado con C13 para los análitos considerados, el análisis por duplicado solo es necesario si el resultado de la primera determinación no es conforme. El análisis por duplicado es necesario para descartar la posibilidad de contaminación cruzada interna o de combinación accidental de muestras. Si el análisis se realiza en el curso de un incidente de contaminación, la confirmación mediante análisis por duplicado puede omitirse si las muestras seleccionadas para el análisis se pueden relacionar, merced a la trazabilidad, con dicho incidente y si el nivel encontrado es significativamente superior al máximo.

( 15 ) La misma explicación e idénticos requisitos para el análisis por duplicado para controlar los umbrales de intervención que en la anterior nota 2 para los contenidos máximos.

( 16 ) Reglamento (CE) n.o 183/2005 del Parlamento Europeo y del Consejo, de 12 de enero de 2005, por el que se fijan requisitos en materia de higiene de los piensos (DO L 35 de 8.2.2005, p. 1).

( 17 ) Los métodos bioanalíticos no son específicos de los congéneres incluidos en el esquema de FET. En la muestra pueden existir otros compuestos de estructura similar que activan los ligandos de los receptores de hidrocarburos aromáticos y contribuyen a la respuesta global. Por lo tanto, los resultados bioanalíticos no pueden constituir una estimación, sino más bien una indicación del nivel de EQT de la muestra.

( 18 ) En el «Guidance Document on Measurement Uncertainty for Laboratories performing PCDD/F and PCB Analysis using Isotope Dilution Mass Spectrometry» (http://ec.europa.eu/food/safety/animal-feed_en) y en el «Guidance Document on the Estimation of LOD and LOQ for Measurements in the Field of Contaminants in Feed and Food» (http://ec.europa.eu/food/safety/animal-feed_en).

( 19 ) Los requisitos actuales se basan en los FET publicados en: M. Van den Berg et al., Toxicol Sci 93 (2), 223-241 (2006).

( 20 ) Entre los congéneres que suelen eluir conjuntamente figuran, por ejemplo, PCB 28/31, PCB 52/69 y PCB 138/163/164. En los análisis por CG/EM también hay que tener en cuenta posibles interferencias de fragmentos de congéneres más clorados.

( 21 ) Deberán aplicarse, cuando proceda, los principios que se describen en el «Guidance Document on the Estimation of LOD and LOQ for Measurements in the Field of Contaminants in Feed and Food» (http://ec.europa.eu/food/safety/animal-feed_en).

( 22 ) Es altamente recomendable tener una contribución del nivel de blanco de reactivo inferior al nivel de un contaminante en una muestra. Corresponde al laboratorio controlar la variación de niveles de blanco, en particular si se restan dichos niveles.

( 23 ) Los requisitos actuales se basan en los FET publicados en: M. Van den Berg et al., Toxicol Sci 93 (2), 223-241 (2006).

( 24 ) http://eurl.craw.eu/

( 25 ) En el sitio web del EURL-AP está disponible la lista de los cebadores y sondas correspondientes a cada especie animal diana del análisis.

( 26 ) En el sitio web del EURL-AP se puede disponer de ejemplos de mezclas de reacción.