17.2.2011   

EN

Official Journal of the European Union

CE 50/1


POSITION (EU) No 5/2011 OF THE COUNCIL AT FIRST READING

with a view to the adoption of a Regulation of the European Parliament and of the Council on textile fibre names and related labelling and marking of fibre composition of textile products and repealing Council Directive 73/44/EEC, Directive 96/73/EC of the European Parliament and of the Council and Directive 2008/121/EC of the European Parliament and of the Council

Adopted by the Council on 6 December 2010

(Text with EEA relevance)

2011/C 50 E/01

THE EUROPEAN PARLIAMENT AND THE COUNCIL OF THE EUROPEAN UNION,

Having regard to the Treaty on the Functioning of the European Union, and in particular Article 114 thereof,

Having regard to the proposal from the European Commission,

Having regard to the opinion of the European Economic and Social Committee (1),

Acting in accordance with the ordinary legislative procedure (2),

Whereas:

(1)

Council Directive 73/44/EEC of 26 February 1973 on the approximation of the laws of the Member States relating to the quantitative analysis of ternary fibre mixtures (3), Directive 96/73/EC of the European Parliament and of the Council of 16 December 1996 on certain methods for the quantitative analysis of binary textile fibre mixtures (4) and Directive 2008/121/EC of the European Parliament and of the Council of 14 January 2009 on textile names (5) have been amended several times. Since further amendments are to be made, those acts should be replaced by a single legal instrument, in the interest of clarity.

(2)

The legal acts of the Union on textile fibre names and related labelling and marking of fibre composition of textile products are very technical in their content, with detailed provisions that need to be adapted regularly. In order to avoid the need for Member States to transpose the technical amendments into national legislation and thus reduce the administrative burden for national authorities and in order to allow for a faster adoption of new textile fibre names to be used simultaneously throughout the Union, a regulation seems to be the most appropriate legal instrument to carry out the legislative simplification.

(3)

In order to eliminate potential obstacles to the proper functioning of the internal market caused by Member States’ diverging provisions with regard to textile fibre names and related labelling and marking of fibre composition of textile products, it is necessary to harmonise the names of textile fibres and the indications appearing on labels, markings and documents which accompany textile products at the various stages of their production, processing and distribution.

(4)

This Regulation lays down harmonised provisions with regard to certain aspects of textile labelling and marking, in particular textile fibre names. Other labelling and marking may exist, provided that it does not cover the same scope as this Regulation and that it is compatible with the Treaties.

(5)

It is appropriate to lay down rules enabling manufacturers to ask for the inclusion of a new textile fibre name in the Annexes to this Regulation.

(6)

Provision should also be made in respect of certain products which are not made exclusively of textile materials but have a textile content which constitutes an essential part of the product or to which attention is specifically drawn by the economic operator.

(7)

The tolerance in respect of ‘extraneous fibres’, which are not to be stated on the labels and markings, should apply both to pure products and to mixtures.

(8)

Labelling or marking of the fibre composition should be compulsory to ensure correct and uniform information is made available to all consumers in the Union. However, this Regulation should not prevent economic operators from indicating, in addition, the presence of small quantities of fibres requiring particular attention to keep the original quality of the textile product. Where it is technically difficult to specify the fibre composition of a textile product at the time of its manufacture, it should be possible to state, on the label or marking, only those fibres which are known at the time of manufacture provided that they account for a certain percentage of the finished product.

(9)

In order to avoid differences in practice among the Member States, it is necessary to lay down the exact methods of labelling or marking for certain textile products consisting of two or more components, and also to specify the components of textile products that need not be taken into account for the purposes of labelling, marking and analysis.

(10)

Textile products subject only to the requirements of inclusive labelling, and those sold by the metre or in cut lengths, should be made available on the market in such a way that the consumer can fully acquaint himself with the information affixed to the overall packaging or the roll.

(11)

The use of textile fibre names or descriptions of fibre compositions which enjoy particular prestige among users and consumers should be made subject to certain conditions. Furthermore, in order to provide information to users and consumers, it is appropriate that the textile fibre names are related to the characteristics of the fibre.

(12)

The market surveillance in Member States of products covered by this Regulation is subject to Regulation (EC) No 765/2008 of the European Parliament and of the Council of 9 July 2008 setting out the requirements for accreditation and market surveillance relating to the marketing of products (6) and Directive 2001/95/EC of the European Parliament and of the Council of 3 December 2001 on general product safety (7).

(13)

It is necessary to lay down methods for the sampling and analysis of textile products in order to exclude any possibility of objections to the methods used. The methods used for official tests carried out in the Member States to determine the fibre composition of textile products composed of binary and ternary fibre mixtures should be uniform, as regards both the pre-treatment of the sample and its quantitative analysis. It is appropriate that the methods set out to that end in this Regulation be turned into harmonised standards. Therefore, the Commission should manage the transition from the current system, which is based on the methods set out in this Regulation, to a harmonised standard-based system. The use of uniform methods of analysis of textile products composed of binary and ternary fibre mixtures will facilitate the free movement of those products, and thereby improve the functioning of the internal market.

(14)

In the case of binary textile fibre mixtures for which there is no uniform method of analysis at Union level, the laboratory responsible for the test should be allowed to determine the composition of such mixtures, indicating in the analysis report the result obtained, the method used and its degree of accuracy.

(15)

This Regulation should set out the agreed allowances to be applied to the anhydrous mass of each fibre during the determination by analysis of the fibre content of textile products, and should give two different agreed allowances for calculating the composition of carded or combed fibres containing wool and/or animal hair. Since it cannot always be established whether a product is carded or combed, and consequently inconsistent results can arise from the application of the tolerances during checks on the conformity of textile products carried out in the Union, the laboratories carrying out those checks should be authorised to apply a single agreed allowance in doubtful cases.

(16)

Rules should be laid down in respect of products exempt from the general labelling and marking requirements set out in this Regulation, in particular with respect to disposable products or products for which only inclusive labelling is required.

(17)

It is appropriate to establish a procedure for the inclusion of new textile fibre names in the Annexes to this Regulation. This Regulation should thus set out requirements regarding applications by manufacturers or other persons acting on their behalf for new textile fibre names to be added to those Annexes.

(18)

The Commission should be empowered to adopt delegated acts in accordance with Article 290 of the Treaty on the Functioning of the European Union concerning the adoption of technical criteria and procedural rules for the authorisation of higher tolerances, the amendment of Annexes II, IV, V, VI, VII, VIII and IX in order to adapt them to technical progress and the amendment of Annex I in order to include new textile fibre names in the list set out in that Annex. It is of particular importance that the Commission carry out appropriate consultations during its preparatory work, including at expert level.

(19)

Since the objective of this Regulation, namely the adoption of uniform rules for the use of textile fibre names and related labelling and marking of fibre composition of textile products, cannot be sufficiently achieved by the Member States and can therefore, by reason of its scale, be better achieved at Union level, the Union may adopt measures, in accordance with the principle of subsidiarity as set out in Article 5 of the Treaty on European Union. In accordance with the principle of proportionality, as set out in that Article, this Regulation does not go beyond what is necessary in order to achieve that objective.

(20)

Directives 73/44/EEC, 96/73/EC and 2008/121/EC should be repealed,

HAVE ADOPTED THIS REGULATION:

CHAPTER 1

General provisions

Article 1

Subject matter

This Regulation lays down rules concerning the use of textile fibre names and related labelling and marking of fibre composition of textile products as well as rules concerning the determination of the fibre composition of textile products by quantitative analysis of binary and ternary textile fibre mixtures with a view to improving the functioning of the internal market and to providing accurate information to consumers.

Article 2

Scope

1.   This Regulation shall apply to textile products when made available on the Union market and to the products referred to in paragraph 2.

2.   For the purposes of this Regulation, the following products shall be treated in the same way as textile products:

(a)

products containing at least 80 % by weight of textile fibres;

(b)

furniture, umbrella and sunshade coverings containing at least 80 % by weight of textile components;

(c)

the textile components of:

(i)

the upper layer of multi-layer floor coverings;

(ii)

mattress coverings;

(iii)

coverings of camping goods;

provided such textile components constitute at least 80 % by weight of such upper layers or coverings;

(d)

textiles incorporated in other products and forming an integral part thereof, where their composition is specified.

3.   This Regulation shall not apply to textile products which are contracted out to persons working in their own homes, or to independent firms that make up work from materials supplied without the property therein being transferred for consideration.

Article 3

Definitions

1.   For the purposes of this Regulation, the following definitions shall apply:

(a)

‘textile product’ means any raw, semi-worked, worked, semi-manufactured, manufactured, semi-made-up or made-up product which is exclusively composed of textile fibres, regardless of the mixing or assembly process employed;

(b)

‘textile fibre’ means either of the following:

(i)

a unit of matter characterised by its flexibility, fineness and high ratio of length to maximum transverse dimension, which render it suitable for textile applications;

(ii)

a flexible strip or tube, of which the apparent width does not exceed 5 mm, including strips cut from wider strips or films, produced from the substances used for the manufacture of the fibres listed in Table 2 of Annex I and suitable for textile applications;

(c)

‘apparent width’ means the width of the strip or tube when folded, flattened, compressed or twisted, or the average width where the width is not uniform;

(d)

‘textile component’ means a part of a textile product with an identifiable fibre content;

(e)

‘extraneous fibres’ means fibres other than those stated on the label or marking;

(f)

‘lining’ means a separate component used in making up garments and other products, consisting of a single layer or multiple layers of textile material held in place along one or more of the edges;

(g)

‘labelling’ means affixing the required information to the textile product by way of attaching a label;

(h)

‘marking’ means indicating the required information directly on the textile product by way of sewing, embroidering, printing, embossing or any other technology of application;

(i)

‘inclusive labelling’ means the use of a single label for several textile products or components;

(j)

‘disposable product’ means a textile product designed to be used only once or for a limited time, and the normal use of which is not intended for subsequent use for the same or a similar purpose;

(k)

‘agreed allowance’ means the value of moisture regain to be used in the calculation of the percentage of fibre components on a clean, dry mass basis, with adjustment by conventional factors.

2.   For the purposes of this Regulation, the definitions of ‘making available on the market’, ‘placing on the market’, ‘manufacturer’, ‘importer’, ‘distributor’, ‘economic operators’, ‘harmonised standard’, ‘market surveillance’ and ‘market surveillance authority’ set out in Article 2 of Regulation (EC) No 765/2008 shall apply.

Article 4

General requirement on the making available on the market of textile products

Textile products shall only be made available on the market provided that such products are labelled, marked or accompanied with commercial documents in compliance with this Regulation.

CHAPTER 2

Textile fibre names and related labelling and marking requirements

Article 5

Textile fibre names

1.   Only the names of textile fibres listed in Annex I shall be used for the description of fibre compositions on labels and markings of textile products.

2.   Use of the names listed in Annex I shall be reserved for textile fibres the nature of which corresponds to the description set out in that Annex.

The names shall not be used for other fibres, whether on their own or as a root or as an adjective.

The term ‘silk’ shall not be used to indicate the shape or particular presentation in continuous filament yarn of textile fibres.

Article 6

Applications for new textile fibre names

Any manufacturer or any person acting on his behalf may apply to the Commission to add a new textile fibre name to the list set out in Annex I.

The application shall include a technical file compiled in accordance with Annex II.

Article 7

Pure textile products

1.   Only textile products exclusively composed of the same fibre may be labelled or marked as ‘100 %’, ‘pure’ or ‘all’.

Those or similar terms shall not be used for other textile products.

2.   Without prejudice to Article 8(3), a textile product containing no more than 2 % by weight of extraneous fibres may also be treated as exclusively composed of the same fibre, provided this quantity is justified as being technically unavoidable in good manufacturing practice and is not added as a matter of routine.

A textile product which has undergone a carding process may also be treated as exclusively composed of the same fibre if it contains no more than 5 % by weight of extraneous fibres, provided this quantity is justified as being technically unavoidable in good manufacturing practice and is not added as a matter of routine.

Article 8

Fleece wool or virgin wool products

1.   A textile product may be labelled or marked by one of the names set out in Annex III provided it is composed exclusively of a wool fibre which has not previously been incorporated in a finished product, which has not been subjected to any spinning and/or felting processes other than those required in the manufacture of that product, and which has not been damaged by treatment or use.

2.   By way of derogation from paragraph 1, the names listed in Annex III may be used to describe wool contained in a textile fibre mixture if all the following conditions are met:

(a)

all the wool contained in that mixture satisfies the requirements defined in paragraph 1;

(b)

such wool accounts for not less than 25 % of the total weight of the mixture;

(c)

in the case of a scribbled mixture, the wool is mixed with only one other fibre.

The full percentage composition of such mixture shall be given.

3.   The extraneous fibres in the products referred to in paragraphs 1 and 2, including wool products which have undergone a carding process, shall not exceed 0,3 % by weight, shall be justified as being technically unavoidable in good manufacturing practice and shall not be added as a matter of routine.

Article 9

Multi-fibre textile products

1.   A textile product composed of two or more fibres, one of which accounts for at least 85 % of the total weight, shall be labelled or marked by one of the following:

(a)

the name of the fibre which accounts for at least 85 % of the total weight immediately preceded or followed by its percentage by weight;

(b)

the name of the fibre which accounts for at least 85 % of the total weight immediately preceded or followed by the words ‘85 % minimum’;

(c)

the full percentage composition of the product.

2.   A textile product composed of two or more fibres, none of which accounting for as much as 85 % of the total weight, shall be labelled or marked with at least the name and percentage by weight of the fibres with the highest and next highest percentage by weight of the product, immediately followed by the names of the other constituent fibres in descending order of the percentage by weight, with or without an indication of their percentage by weight.

3.   Without prejudice to paragraph 2, fibres which separately account for less than 10 % of the total weight of a product may be collectively designated by the term ‘other fibres’, immediately preceded or followed by the total percentage by weight.

Where the name of a fibre which accounts for less than 10 % of the total weight of a product is specified, the full percentage composition of that product shall be given.

4.   Products having a pure cotton warp and a pure flax weft, in which the percentage of flax accounts for at least 40 % of the total weight of the unsized fabric may be given the name ‘cotton linen union’ which must be accompanied by the composition specification ‘pure cotton warp — pure flax (or linen) weft’.

5.   Without prejudice to Article 5(1), for textile products the composition of which is hard to state at the time of their manufacture, the term ‘mixed fibres’ or the term ‘unspecified textile composition’ may be used on the label or marking.

Article 10

Decorative fibres and fibres with antistatic effect

1.   Visible, isolable fibres which are purely decorative and do not exceed 7 % of the weight of the finished product do not have to be taken into account in the fibre compositions provided for in Articles 7 and 9.

2.   Metallic fibres and other fibres which are incorporated in order to obtain an antistatic effect and which do not exceed 2 % of the weight of the finished product do not have to be taken into account in the fibre compositions provided for in Articles 7 and 9.

3.   In the case of the products referred to in Article 9(4), the percentages provided for in paragraphs 1 and 2 of this Article shall be calculated on the weight of the warp and that of the weft separately.

Article 11

Multi-component textile products

1.   Any textile product containing two or more textile components which have different textile fibre contents shall bear a label or marking stating the textile fibre content of each component.

2.   The labelling or marking referred to in paragraph 1 shall not be compulsory for textile components when the following two conditions are fulfilled:

(a)

those components are not main linings; and

(b)

those components represent less than 30 % of the total weight of the textile product.

3.   Where two or more textile products have the same fibre content and normally form a single unit, they may bear only one label or marking.

Article 12

Labelling and marking of textile products listed in Annex IV

The fibre composition of textile products listed in Annex IV shall be indicated in accordance with the labelling and marking provisions set out in that Annex.

Article 13

Labels and markings

1.   Textile products shall be labelled or marked to give an indication of their fibre composition whenever they are made available on the market.

The labelling and marking of textile products shall be durable, easily legible, visible and accessible and, in the case of a label, securely attached.

2.   Without prejudice to paragraph 1, labels or markings may be replaced or supplemented by accompanying commercial documents when the products are being supplied to economic operators within the supply chain, or when they are delivered in performance of an order placed by any contracting authority as defined in Article 1 of Directive 2004/18/EC of the European Parliament and of the Council of 31 March 2004 on the coordination of procedures for the award of public works contracts, public supply contracts and public service contracts (8).

3.   The textile fibre names and descriptions of fibre compositions referred to in Articles 5, 7, 8 and 9 shall be clearly indicated in the accompanying commercial documents referred to in paragraph 2 of this Article.

Abbreviations shall not be used with the exception of a mechanised processing code, provided that code is explained in the same commercial document.

Article 14

Obligation to supply the label or marking

1.   When placing a textile product on the market, the manufacturer shall ensure the supply of the label or marking and the accuracy of the information contained therein. If the manufacturer is not established in the Union, the importer shall ensure the supply of the label or marking and the accuracy of the information contained therein.

2.   A distributor shall be considered a manufacturer for the purposes of this Regulation where he places a product on the market under his name or trademark, attaches the label himself or modifies the content of the label.

3.   When making a textile product available on the market, the distributor shall ensure that textile products bear the appropriate labelling or marking prescribed by this Regulation.

4.   The economic operators referred to in paragraphs 1, 2 and 3 shall ensure that any information supplied when textile products are made available on the market cannot be confused with the textile fibre names and the descriptions of fibre compositions, as laid down by this Regulation.

Article 15

The use of textile fibre names and fibre composition descriptions

1.   When making a textile product available on the market, the textile fibre composition descriptions referred to in Articles 5, 7, 8 and 9 shall be indicated in catalogues and trade literature, on packaging, labels and markings in a manner that is easily legible, visible, clear and in uniform print or font. This information shall be clearly visible to the consumer before the purchase, including in cases where the purchase is made by electronic means.

2.   Trade marks or the name of the undertaking may be given immediately before or after textile fibre composition descriptions referred to in Articles 5, 7, 8 and 9.

However, where a trade mark or a name of an undertaking contains, on its own or as a root or as an adjective, one of the textile fibre names listed in Annex I or a name liable to be confused therewith, such trade mark or name shall be given immediately before or after the textile fibre composition descriptions referred to in Articles 5, 7, 8 and 9.

Other information shall be always displayed separately.

3.   The labelling or marking shall be provided in the official language or languages of the Member State on the territory of which the textile products are made available to the consumer, unless the Member State concerned provides otherwise.

In the case of bobbins, reels, skeins, balls or other small quantities of sewing, mending and embroidery yarns, the first subparagraph shall apply to the inclusive labelling referred to in Article 16(3). Whenever these products are individually sold, they may be labelled or marked in any of the official languages of the institutions of the Union, provided they are also inclusively labelled.

Article 16

Derogations

1.   The rules laid down in Articles 11, 13, 14 and 15 shall be subject to the derogations provided for in paragraphs 2, 3 and 4 of this Article.

2.   The indication of textile fibre names or fibre composition on the labels and markings of textile products listed in Annex V is not required.

However, where a trade mark or name of an undertaking contains, on its own or as a root or as an adjective, one of the names listed in Annex I or a name liable to be confused therewith, Articles 11, 13, 14 and 15 shall apply.

3.   Where textile products listed in Annex VI are of the same type and fibre composition, they may be made available on the market together with an inclusive labelling.

4.   The fibre composition of textile products sold by the metre may be shown on the length or roll made available on the market.

5.   The textile products referred to in paragraphs 3 and 4 shall be made available on the market in such a way that the fibre composition of those products is made known to each purchaser in the supply chain, including the consumer.

CHAPTER 3

Market surveillance

Article 17

Market surveillance checks

Market surveillance authorities shall carry out checks on the conformity of the fibre composition of textile products with the supplied information related to the fibre composition of those products in accordance with this Regulation.

Article 18

Determination of fibre composition

1.   For the purpose of determining the fibre composition of textile products, the checks referred to in Article 17 shall be carried out in accordance with the methods set out in Annex VIII or with the harmonised standards to be introduced in that Annex.

2.   In the determination of fibre compositions set out in Articles 7, 8 and 9, the items listed in Annex VII shall not be taken into account.

3.   The fibre compositions set out in Articles 7, 8 and 9 shall be determined by applying to the anhydrous mass of each fibre the appropriate agreed allowance laid down in Annex IX, after having removed the items set out in Annex VII.

4.   Any laboratory responsible for the testing of textile mixtures for which there is no uniform method of analysis at Union level shall determine the fibre composition of such mixtures, indicating in the analysis report the result obtained, the method used and its degree of accuracy.

Article 19

Tolerances

1.   For the purposes of establishing the fibre composition of textile products, the tolerances laid down in paragraphs 2, 3 and 4 shall apply.

2.   Without prejudice to Article 8(3), the presence of extraneous fibres in the fibre composition to be provided in accordance with Article 9 does not need to be indicated if the percentage of those fibres does not reach the following values:

(a)

2 % of the total weight of the textile product, provided this quantity is justified as being technically unavoidable in good manufacturing practice and is not added as a matter of routine; or

(b)

5 % of the total weight in the case of textile products which have undergone a carding process, provided this quantity is justified as being technically unavoidable in good manufacturing practice and is not added as a matter of routine.

3.   A manufacturing tolerance of 3 % shall be permitted between the stated fibre composition to be provided in accordance with Article 9 and the percentages obtained from analysis carried out in accordance with Article 18, in relation to the total weight of fibres shown on the label or marking. Such tolerance shall also apply to the following:

(a)

fibres which are listed with no indication of their percentage in accordance with Article 9(2);

(b)

the percentage of wool referred to in point (b) of Article 8(2).

For the purposes of the analysis, the tolerances shall be calculated separately. The total weight to be taken into account in calculating the tolerance referred to in this paragraph shall be that of the fibres of the finished product less the weight of any extraneous fibres found when applying the tolerance referred to in paragraph 2 of this Article.

4.   The cumulative application of the tolerances referred to in paragraphs 2 and 3 shall be permitted only if any extraneous fibres found by analysis, when applying the tolerance referred to in paragraph 2, prove to be of the same chemical type as one or more of the fibres shown on the label or marking.

5.   In the case of particular textile products for which the manufacturing process requires tolerances higher than those laid down in paragraphs 2 and 3, the Commission may authorise higher tolerances.

Prior to placing the textile product on the market, the manufacturer shall submit a request for authorisation by the Commission providing sufficient reasons for and evidence of the exceptional manufacturing circumstances. The authorisation may only be granted in exceptional cases and where adequate justification is provided by the manufacturer.

If appropriate, the Commission shall adopt, by means of delegated acts in accordance with Article 21 and subject to the conditions laid down in Articles 22 and 23, technical criteria and procedural rules for the application of this paragraph.

CHAPTER 4

Final provisions

Article 20

Delegated acts

1.   The Commission may adopt, by means of delegated acts in accordance with Article 21 and subject to the conditions laid down in Articles 22 and 23, technical criteria and procedural rules for the application of Article 19(5), amendments to Annexes II, IV, V, VI, VII, VIII and IX, in order to take account of technical progress, and amendments to Annex I pursuant to Article 6.

2.   When adopting such delegated acts, the Commission shall act in accordance with the provisions of this Regulation.

Article 21

Exercise of the delegation

1.   The power to adopt the delegated acts referred to in Article 20 shall be conferred on the Commission for a period of 5 years following … (9). The Commission shall make a report in respect of the delegated powers not later than 6 months before the end of the 5-year period. The delegation of powers shall be automatically extended for periods of an identical duration, unless the European Parliament or the Council revokes it in accordance with Article 22.

2.   As soon as it adopts a delegated act, the Commission shall notify it simultaneously to the European Parliament and to the Council.

3.   The power to adopt delegated acts is conferred on the Commission subject to the conditions laid down in Articles 22 and 23.

Article 22

Revocation of the delegation

1.   The delegation of powers referred to in Article 20 may be revoked at any time by the European Parliament or by the Council.

2.   The institution which has commenced an internal procedure for deciding whether to revoke the delegation of powers shall endeavour to inform the other institution and the Commission within a reasonable time before the final decision is taken, indicating the delegated powers which could be subject to revocation and possible reasons for a revocation.

3.   The decision of revocation shall put an end to the delegation of the powers specified in that decision. It shall take effect immediately or at a later date specified therein. It shall not affect the validity of the delegated acts already in force. It shall be published in the Official Journal of the European Union.

Article 23

Objections to delegated acts

1.   The European Parliament or the Council may object to a delegated act within a period of 2 months from the date of notification.

At the initiative of the European Parliament or the Council that period shall be extended by 2 months.

2.   If, on expiry of that period, neither the European Parliament nor the Council has objected to the delegated act, it shall be published in the Official Journal of the European Union and shall enter into force on the date stated therein.

The delegated act may be published in the Official Journal of the European Union and enter into force before the expiry of that period if the European Parliament and the Council have both informed the Commission of their intention not to raise objections.

3.   If the European Parliament or the Council objects to a delegated act, it shall not enter into force. The institution which objects shall state the reasons for objecting to the delegated act.

Article 24

Reporting

By … (10), the Commission shall submit a report to the European Parliament and to the Council on the application of this Regulation, with an emphasis on the requests for and adoption of new textile fibre names.

Article 25

Transitional provision

Textile products which are in accordance with Directive 2008/121/EC and which are placed on the market before … (11) may continue to be made available on the market until … (12).

Article 26

Repeal

Directives 73/44/EEC, 96/73/EC and 2008/121/EC are hereby repealed with effect from … (11).

References to the repealed Directives shall be construed as references to this Regulation and shall be read in accordance with the correlation tables in Annex X.

Article 27

Entry into force

This Regulation shall enter into force on the 20th day following its publication in the Official Journal of the European Union.

It shall apply from … (11).

This Regulation shall be binding in its entirety and directly applicable in all Member States.

Done at …,

For the European Parliament

The President

For the Council

The President


(1)  OJ C 255, 22.9.2010, p. 37.

(2)  Position of the European Parliament of 18 May 2010 (not yet published in the Official Journal) and position of the Council at first reading of 6 December 2010. Position of the European Parliament of … (not yet published in the Official Journal) and decision of the Council of ….

(3)  OJ L 83, 30.3.1973, p. 1.

(4)  OJ L 32, 3.2.1997, p. 1.

(5)  OJ L 19, 23.1.2009, p. 29.

(6)  OJ L 218, 13.8.2008, p. 30.

(7)  OJ L 11, 15.1.2002, p. 4.

(8)  OJ L 134, 30.4.2004, p. 114.

(9)  Date of entry into force of this Regulation.

(10)  5 years after the date of entry into force of this Regulation.

(11)  6 months after the date of entry into force of this Regulation.

(12)  2 years after the date of application of this Regulation.


ANNEX I

List of textile fibre names

(referred to in Article 5)

Table 1

Number

Name

Fibre description

1

wool

fibre from sheep’s or lambs’ fleeces (Ovis aries) or a mixture of fibres from sheep’s or lambs’ fleeces and the hairs of animals listed in item 2

2

alpaca, llama, camel, cashmere, mohair, angora, vicuna, yak, guanaco, cashgora, beaver, otter, followed or not by the word ‘wool’ or ‘hair’

hair of the following animals: alpaca, llama, camel, kashmir goat, angora goat, angora rabbit, vicuna, yak, guanaco, cashgora goat, beaver, otter

3

animal or horsehair, with or without an indication of the kind of animal (e.g. cattle hair, common goat hair, horsehair)

hair of the various animals not mentioned under 1 or 2

4

silk

fibre obtained exclusively from silk-secreting insects

5

cotton

fibre obtained from the bolls of the cotton plant (Gossypium)

6

kapok

fibre obtained from the inside of the kapok fruit (Ceiba pentandra)

7

flax (or linen)

fibre obtained from the bast of the flax plant (Linum usitatissimum)

8

true hemp

fibre obtained from the bast of hemp (Cannabis sativa)

9

jute

fibre obtained from the bast of Corchorus olitorius and Corchorus capsularis. For the purposes of this Regulation, bast fibres obtained from the following species shall be treated in the same way as jute: Hibiscus cannabinus, Hibiscus sabdariffa, Abutilon avicennae, Urena lobata, Urena sinuata

10

abaca (Manila hemp)

fibre obtained from the sheathing leaf of Musa textilis

11

alfa

fibre obtained from the leaves of Stipa tenacissima

12

coir (coconut)

fibre obtained from the fruit of Cocos nucifera

13

broom

fibre obtained from the bast of Cytisus scoparius and/or Spartium Junceum

14

ramie

fibre obtained from the bast of Boehmeria nivea and Boehmeria tenacissima

15

sisal

fibre obtained from the leaves of Agave sisalana

16

Sunn

fibre from the bast of Crotalaria juncea

17

Henequen

fibre from the bast of Agave fourcroydes

18

Maguey

fibre from the bast of Agave cantala


Table 2

Number

Name

Fibre description

19

acetate

cellulose acetate fibre wherein less than 92 % but at least 74 % of the hydroxyl groups are acetylated

20

alginate

fibre obtained from metallic salts of alginic acid

21

cupro

regenerated cellulose fibre obtained by the cuprammonium process

22

modal

a regenerated cellulose fibre obtained by a modified viscose process having a high breaking force and high wet modulus. The breaking force (BC) in the conditioned state and the force (BM) required to produce an elongation of 5 % in the wet state are:

 

Formula

 

Formula

where T is the mean linear density in decitex

23

protein

fibre obtained from natural protein substances regenerated and stabilised through the action of chemical agents

24

triacetate

cellulose acetate fibre wherein at least 92 % of the hydroxyl groups are acetylated

25

viscose

regenerated cellulose fibre obtained by the viscose process for filament and discontinuous fibre

26

acrylic

fibre formed of linear macromolecules comprising at least 85 % (by mass) in the chain of the acrylonitrilic pattern

27

chlorofibre

fibre formed of linear macromolecules having in their chain more than 50 % by mass of chlorinated vinyl or chlorinated vinylidene monomeric units

28

fluorofibre

fibre formed of linear macromolecules made from fluorocarbon aliphatic monomers

29

modacrylic

fibre formed of linear macromolecules having in the chain more than 50 % and less than 85 % (by mass) of the acrylonitrilic pattern

30

polyamide or nylon

fibre formed from synthetic linear macromolecules having in the chain recurring amide linkages of which at least 85 % are joined to aliphatic or cycloaliphatic units

31

aramid

fibre formed from synthetic linear macromolecules made up of aromatic groups joined by amide or imide linkages, of which at least 85 % are joined directly to two aromatic rings and with the number of imide linkages, if present, not exceeding the number of amide linkages

32

polyimide

fibre formed from synthetic linear macromolecules having in the chain recurring imide units

33

lyocell

a regenerated cellulose fibre obtained by dissolution, and an organic solvent (mixture of organic chemicals and water) spinning process, without formation of derivatives

34

polylactide

fibre formed of linear macromolecules having in the chain at least 85 % (by mass) of lactic acid ester units derived from naturally occurring sugars, and which has a melting temperature of at least 135 oC

35

polyester

fibre formed of linear macromolecules comprising at least 85 % (by mass) in the chain of an ester of a diol and terephthalic acid

36

polyethylene

fibre formed of un-substituted aliphatic saturated hydrocarbon linear macromolecules

37

polypropylene

fibre formed of an aliphatic saturated hydrocarbon linear macromolecule where one carbon atom in two carries a methyl side chain in an isotactic disposition and without further substitution

38

polycarbamide

fibre formed of linear macromolecules having in the chain the recurring ureylene (NH—CO—NH) functional group

39

polyurethane

fibre formed of linear macromolecules composed of chains with the recurring urethane functional group

40

vinylal

fibre formed of linear macromolecules whose chain is constituted by poly(vinyl alcohol) with differing levels of acetalisation

41

trivinyl

fibre formed of acrylonitrile terpolymer, a chlorinated vinyl monomer and a third vinyl monomer, none of which represents as much as 50 % of the total mass

42

elastodiene

elastofibre composed of natural or synthetic polyisoprene, or composed of one or more dienes polymerised with or without one or more vinyl monomers, and which, when stretched to three times its original length and released, recovers rapidly and substantially to its initial length

43

elastane

elastofibre composed of at least 85 % (by mass) of a segmented polyurethane, and which, when stretched to three times its original length and released, recovers rapidly and substantially to its initial length

44

glass fibre

fibre made of glass

45

elastomultiester

fibre formed by interaction of two or more chemically distinct linear macromolecules in two or more distinct phases (of which none exceeds 85 % by mass) which contains ester groups as the dominant functional unit (at least 85 %) and which, after suitable treatment when stretched to one and half times its original length and released, recovers rapidly and substantially to its initial length

46

elastolefin

fibre composed of at least 95 % (by mass) of macromolecules partially cross-linked, made up from ethylene and at least one other olefin and which, when stretched to one and a half times its original length and released, recovers rapidly and substantially to its initial length

47

melamine

fibre formed of at least 85 % by mass of cross-linked macromolecules made up of melamine derivatives

48

name corresponding to the material of which the fibres are composed, e.g. metal (metallic, metallised), asbestos, paper, followed or not by the word ‘yarn’ or ‘fibre’

fibres obtained from miscellaneous or new materials not listed above


ANNEX II

Minimum requirements regarding a technical file to be included in the application for a new textile fibre name

(referred to in Article 6)

A technical file to be attached to an application for the inclusion of a new textile fibre name in the list set out in Annex I, as provided for in Article 6, shall contain at least the following information:

(1)

Proposed name of the textile fibre:

The name proposed shall be related to the chemical composition and shall provide information about the characteristics of the fibre, if appropriate. The name proposed shall be free of any intellectual property rights and shall not be linked to the manufacturer.

(2)

Proposed definition of the textile fibre:

The characteristics mentioned in the definition of the new textile fibre, such as elasticity, shall be verifiable via testing methods to be provided with the technical file along with the experimental results of analyses.

(3)

Identification of the textile fibre: chemical formula, differences from existing textile fibres, together with, where relevant, detailed data such as melting point, density, refractive index, burning behaviour and FTIR spectrum.

(4)

Proposed agreed allowance to be used in the calculation of fibre composition.

(5)

Sufficiently developed identification and quantification methods, including experimental data:

 

The applicant shall evaluate the possibility to use the methods listed in Annex VIII or the harmonised standards to be introduced in that Annex to analyse the most expected commercial mixtures of the new textile fibre with other textile fibres and shall propose at least one of those methods. For those methods or harmonised standards where the textile fibre can be considered as an insoluble component, the applicant shall evaluate the mass correction factors of the new textile fibre. All the experimental data shall be submitted with the application.

 

If methods listed in this Regulation are not suitable, the applicant shall provide adequate reasoning and propose a new method.

 

The application shall contain all the experimental data for the methods proposed. Data on the accuracy, robustness and repeatability of the methods shall be provided with the file.

(6)

Additional information to support the application: production process, consumer relevance.

(7)

The manufacturer or any person acting on his behalf shall provide representative samples of the new pure textile fibre and the relevant textile fibre mixtures necessary to conduct the validation of the proposed identification and quantification methods. The Commission may request additional samples of relevant fibre mixtures from the manufacturer or the person acting on his behalf.


ANNEX III

Names referred to in Article 8(1)

—   in Bulgarian: ‘необработена вълна’

—   in Spanish: ‘lana virgen’ or ‘lana de esquilado’

—   in Czech: ‘střižní vlna’

—   in Danish: ‘ren, ny uld’

—   in German: ‘Schurwolle’

—   in Estonian: ‘uus vill’

—   in Irish: ‘olann lomra’

—   in Greek: ‘παρθένο μαλλί’

—   in English: ‘fleece wool’ or ‘virgin wool’

—   in French: ‘laine vierge’ or ‘laine de tonte’

—   in Italian: ‘lana vergine’ or ‘lana di tosa’

—   in Latvian: ‘pirmlietojuma vilna’ or ‘cirptā vilna’

—   in Lithuanian: ‘natūralioji vilna’

—   in Hungarian: ‘élőgyapjú’

—   in Maltese: ‘suf verġni’

—   in Dutch: ‘scheerwol’

—   in Polish: ‘żywa wełna’

—   in Portuguese: ‘lã virgem’

—   in Romanian: ‘lână virgină’

—   in Slovak: ‘strižná vlna’

—   in Slovene: ‘runska volna’

—   in Finnish: ‘uusi villa’

—   in Swedish: ‘ny ull’


ANNEX IV

Special provisions for the labelling and marking of certain textile products

(referred to in Article 12)

Products

Labelling and marking provisions

1.

The following corsetry products:

The fibre composition shall be indicated on the label and marking by stating the composition of the whole product or, either inclusively or separately, that of the components listed respectively:

(a)

Brassières

the outside and the inside fabric of the surface of the cups and back;

(b)

Corsets and girdles

the front, the rear and side panels;

(c)

Corselets

the outside and inside fabric of the surface of cups, the front and rear stiffening panels and the side panels

2.

Other corsetry products not listed above

The fibre composition shall be indicated by stating the composition of the whole product or, either inclusively or separately, the composition of the various components of the products. Such labelling shall not be compulsory for components representing less than 10 % of the total weight of the product

3.

All corsetry products

The separate labelling and marking of the various parts of corsetry products shall be carried out in such a way that the consumer can easily understand to which part of the product the information on the label or marking refers

4.

Etch-printed textiles

The fibre composition shall be given for the product as a whole and may be indicated by stating, separately, the composition of the base fabric and that of the etched parts. Those components shall be mentioned by name

5.

Embroidered textiles

The fibre composition shall be given for the product as a whole and may be indicated by stating, separately, the composition of the base fabric and that of the embroidery yarn. Those components shall be mentioned by name. Such labelling or marking is compulsory only for the embroidered parts which amount to at least 10 % of the surface area of the product

6.

Yarns consisting of a core and a cover made up of different fibres and made available on the market as such to the consumer

The fibre composition shall be given for the product as a whole and may be indicated by stating the composition of the core and the cover separately. Those components shall be mentioned by name

7.

Velvet and plush textiles, or textiles resembling velvet or plush

The fibre composition shall be given for the whole product and, where the product comprises a distinct backing and a use-surface composed of different fibres, may be stated separately for those components. Those components shall be mentioned by name

8.

Floor coverings and carpets of which the backing and the use-surface are composed of different fibres

The fibre composition may be stated for the use-surface alone. The use-surface must be mentioned by name


ANNEX V

Textile products for which labelling or marking is not mandatory

(referred to in Article 16(2))

1.

Sleeve-supporting armbands

2.

Watch straps of textile materials

3.

Labels and badges

4.

Stuffed pan-holders of textile materials

5.

Coffee cosy covers

6.

Tea cosy covers

7.

Sleeve protectors

8.

Muffs other than in pile fabric

9.

Artificial flowers

10.

Pin cushions

11.

Painted canvas

12.

Textile products for base and underlying fabrics and stiffenings

13.

Felts

14.

Old made-up textile products, where explicitly stated to be such

15.

Gaiters

16.

Packaging, not new and sold as such

17.

Felt hats

18.

Containers which are soft and without foundation, saddlery, of textile materials

19.

Travel goods of textile materials

20.

Hand-embroidered tapestries, finished or unfinished, and materials for their production, including embroidery yarns, sold separately from the canvas and specially presented for use in such tapestries

21.

Slide fasteners

22.

Buttons and buckles covered with textile materials

23.

Book covers of textile materials

24.

Toys

25.

Textile parts of footwear

26.

Table mats having several components and a surface area of not more than 500 cm2

27.

Oven gloves and cloths

28.

Egg cosy covers

29.

Make-up cases

30.

Tobacco pouches of textile fabric

31.

Spectacle, cigarette and cigar, lighter and comb cases of textile fabric

32.

Covers for mobile telephones and portable media players with a surface of not more than 160 cm2

33.

Protective requisites for sports with the exception of gloves

34.

Toilet cases

35.

Shoe-cleaning cases

36.

Funeral products

37.

Disposable products, with the exception of wadding

38.

Textile products subject to the rules of the European Pharmacopoeia and covered by a reference to those rules, non-disposable bandages for medical and orthopaedic use and orthopaedic textile products in general

39.

Textile products including cordage, ropes and string, subject to item 12 of Annex VI, normally intended:

(a)

for use as equipment components in the manufacture and processing of goods;

(b)

for incorporation in machines, installations (e.g. for heating, air conditioning or lighting), domestic and other appliances, vehicles and other means of transport, or for their operation, maintenance or equipment, other than tarpaulin covers and textile motor vehicle accessories sold separately from the vehicle.

40.

Textile products for protection and safety purposes such as safety belts, parachutes, life-jackets, emergency chutes, fire-fighting devices, bulletproof waistcoats and special protective garments (e.g. protection against fire, chemical substances or other safety hazards)

41.

Air-supported structures (e.g. sports halls, exhibition stands or storage facilities), provided that details of the performances and technical specifications of these products are supplied

42.

Sails

43.

Animal clothing

44.

Flags and banners


ANNEX VI

Textile products for which inclusive labelling is sufficient

(referred to in Article 16(3))

1.

Floorcloths

2.

Cleaning cloths

3.

Edgings and trimmings

4.

Passementerie

5.

Belts

6.

Braces

7.

Suspenders and garters

8.

Shoe and boot laces

9.

Ribbons

10.

Elastic

11.

New packaging sold as such

12.

Packing string and agricultural twine; string, cordage and ropes other than those falling within item 39 of Annex V (1)

13.

Table mats

14.

Handkerchiefs

15.

Bun nets and hair nets

16.

Ties and bow ties for children

17.

Bibs, washgloves and face flannels

18.

Sewing, mending and embroidery yarns presented for retail sale in small quantities with a net weight of 1 gram or less

19.

Tape for curtains and blinds and shutters


(1)  For the products falling within this item and sold in cut lengths, the inclusive labelling shall be that of the reel. The cordage and ropes falling within this item include those used in mountaineering and water sports.


ANNEX VII

Items not to be taken into account for the determination of fibre composition

(referred to in Article 18(2))

Products

Items excluded

(a)

All textile products

(i)

Non-textile parts, selvedges, labels and badges, edgings and trimmings not forming an integral part of the product, buttons and buckles covered with textile materials, accessories, decorations, non-elastic ribbons, elastic threads and bands added at specific and limited points of the product and, subject to the conditions specified in Article 10, visible, isolable fibres which are purely decorative and fibres with antistatic effect

(ii)

Fatty substances, binders, weightings, sizings and dressings, impregnating products, additional dyeing and printing products and other textile processing products

(b)

Floor coverings and carpets

All components other than the use-surface

(c)

Upholstery fabrics

Binding and filling warps and wefts which do not form part of the use-surface

(d)

Hangings and curtains

Binding and filling warps and wefts which do not form part of the right side of the fabric

(e)

Socks

Additional elastic yarns used in the cuff and the stiffening and reinforcement yarns of the toe and the heel

(f)

Tights

Additional elastic yarns used in the belt and the stiffening and reinforcement yarns of the toe and the heel

(g)

Textile products other than those under points (b) to (f)

Base or underlying fabrics, stiffenings and reinforcements, inter-linings and canvas backings, stitching and assembly threads unless they replace the warp and/or weft of the fabric, fillings not having an insulating function and, subject to Article 11(2), linings.

For the purposes of this provision:

(i)

the base or underlying material of textile products which serve as a backing for the use-surface, in particular in blankets and double fabrics, and the backings of velvet or plush fabrics and kindred products shall not be regarded as backings to be removed;

(ii)

‘stiffenings and reinforcements’ mean the yarns or materials added at specific and limited points of the textile products to strengthen them or to give them stiffness or thickness


ANNEX VIII

Methods for the quantitative analysis of binary and ternary textile fibre mixtures

(referred to in Article 18(1))

CHAPTER 1

I.   Preparation of laboratory test samples and test specimens to determine the fibre composition of textile products

1.   FIELD OF APPLICATION

This Chapter gives procedures for obtaining laboratory test samples of a suitable size for pre-treatment for quantitative analysis (i.e. of a mass not exceeding 100 g) from laboratory bulk samples, and for selecting test specimens from the laboratory test samples that have been pre-treated to remove non-fibrous matter (1).

2.   DEFINITIONS

2.1.   Bulk source

The quantity of material which is assessed on the basis of one series of test results. This may comprise, for example, all the material in one delivery of cloth; all the cloth woven from a particular beam; a consignment of yarn, a bale or a group of bales of raw fibre.

2.2.   Laboratory bulk sample

The portion of the bulk source taken to be representative of the whole, and which is available to the laboratory. The size and nature of the laboratory bulk sample shall be sufficient to adequately overcome the variability of the bulk source and to facilitate ease of handling in the laboratory (2).

2.3.   Laboratory test sample

That portion of the laboratory bulk sample that is subjected to pre-treatment to remove non-fibrous matter, and from which test specimens are taken. The size and nature of the laboratory test sample shall be sufficient to overcome adequately the variability of the laboratory bulk sample (3).

2.4.   Test specimen

The portion of material required to give an individual test result, and selected from the laboratory test sample.

3.   PRINCIPLE

The laboratory test sample is selected so that it is representative of the laboratory bulk sample.

The test specimens are taken from the laboratory test sample in such a way that each of them is representative of the laboratory test sample.

4.   SAMPLING FROM LOOSE FIBRES

4.1.   Unorientated fibres

Obtain the laboratory test sample by selecting tufts at random from the laboratory bulk sample. Mix thoroughly the whole of the laboratory test sample by means of a laboratory carder (4). Subject the web or mixture, including loose fibres and fibres adhering to the equipment used for mixing, to pre-treatment. Then select test specimens, in proportion to the respective masses, from the web or mixture, from the loose fibres and from the fibres adhering to the equipment.

If the card web remains intact after pre-treatment, select the test specimens in the manner described in 4.2. If the card web is disturbed by the pre-treatment, select each test specimen by removing at random at least 16 small tufts of suitable and approximately equal size and then combine them.

4.2.   Orientated fibres (cards, webs, slivers, rovings)

From randomly selected parts of the laboratory bulk sample cut not less than 10 cross-sections each of mass approximately 1 g. Subject the laboratory test sample so formed to the pre-treatment. Recombine the cross-sections by laying them side by side and obtain the test specimen by cutting through them so as to take a portion of each of the 10 lengths.

5.   SAMPLING YARN

5.1.   Yarn in packages or in banks

Sample all the packages in the bulk laboratory sample.

Withdraw the appropriate continuous equal lengths from each package either by winding skeins of the same number of turns on a wrap-reel (5), or by some other means. Unite the lengths side by side either as a single skein or as a tow to form the laboratory test sample, ensuring that there are equal lengths from each package in the skein or tow.

Subject the laboratory test sample to the pre-treatment.

Take test specimens from the laboratory test sample by cutting a bunch of threads of equal length from the skein or tow, taking care to see that the bunch contains all the threads in the sample.

If the tex of the yarn is t and the number of packages selected from the laboratory bulk sample is n, then to obtain a test sample of 10 g, the length of yarn to be withdrawn from each package is 106/nt cm.

If nt is high, i.e. more than 2 000, wind a heavier skein and cut it across in two places to make a tow of suitable mass. The ends of any sample in the form of a tow shall be securely tied before pre-treatment and test specimens taken from a place remote from the tie bands.

5.2.   Yarn on warp

Take the laboratory test sample by cutting a length from the end of the warp, not less than 20 cm long and comprising all the yarns in the warp except the selvedge yarns, which are rejected. Tie the bunch of threads together near one end. If the sample is too large for pre-treatment as a whole divide it into two or more portions, each tied together for pre-treatment, and reunite the portions after each has been pre-treated separately. Take a test specimen by cutting a suitable length from the laboratory test sample from the end remote from the tie band, and comprising all the threads in the warp. For warp of N threads of tex t, the length of a specimen of mass 1 g is 105/Nt cm.

6.   SAMPLING FABRIC

6.1.   From a laboratory bulk sample consisting of a single cutting representative of the cloth

Cut a diagonal strip from one corner to the other and remove the selvedges. This strip is the laboratory test sample. To obtain a laboratory test sample of x g, the strip area shall be x104/G cm2, where G is the mass of the cloth in g/m2.

Subject the laboratory test sample to the pre-treatment and then cut the strip transversely into four equal lengths and superimpose them. Take test specimens from any part of the layered material by cutting through all the layers so that each specimen contains an equal length of each layer.

If the fabric has a woven design, make the width of the laboratory test sample, measured parallel to the warp direction, not less than one warp repeat of the design. If, with this condition satisfied, the laboratory test sample is too large to be treated as a whole, cut it into equal parts, pre-treat them separately, and superimpose these parts before selection of the test specimen, taking care that corresponding parts of the design do not coincide.

6.2.   From a laboratory bulk sample consisting of several cuttings

Treat each cutting as described in 6.1, and give each result separately.

7.   SAMPLING MADE-UP AND FINISHED PRODUCTS

The bulk laboratory sample is normally a complete made-up or finished product or representative fraction of one.

Where appropriate determine the percentage of the various parts of the product not having the same fibre content, in order to check compliance with Article 11.

Select a laboratory test sample representative of the part of the made-up or finished product, whose composition must be shown by the label. If the product has several labels, select laboratory test samples representative of each part corresponding to a given label.

If the product whose composition is to be determined is not uniform, it may be necessary to select laboratory test samples from each of the parts of the product and to determine the relative proportions of the various parts in relation to the whole product in question.

Then calculate the percentages taking into account the relative proportions of the sampled parts.

Subject the laboratory test samples to the pre-treatment.

Then select test specimens representative of the pre-treated laboratory test samples.

II.   Introduction to the methods for the quantitative analysis of textile fibre mixtures

Methods for the quantitative analysis of fibre mixtures are based on two main processes, the manual separation and the chemical separation of fibres.

The method of manual separation shall be used whenever possible since it generally gives more accurate results than the chemical method. It can be used for all textiles whose component fibres do not form an intimate mixture, as for example in the case of yarns composed of several elements each of which is made up of only one type of fibre, or fabrics in which the fibre of the warp is of a different kind to that of the weft, or knitted fabrics capable of being unravelled made up of yarns of different types.

In general, the methods of chemical quantitative analysis are based on the selective solution of the individual components. After the removal of a component the insoluble residue is weighed, and the proportion of the soluble component is calculated from the loss in mass. This first part of the Annex gives the information common to the analyses by this method of all fibre mixtures dealt with in the Annex, whatever their composition. It shall thus be used in conjunction with the succeeding individual sections of the Annex, which contain the detailed procedures applicable to particular fibre mixtures. Occasionally, an analysis is based on a principle other than selective solution; in such cases full details are given in the appropriate section.

Mixtures of fibres during processing and, to a lesser extent, finished textiles may contain non-fibrous matter, such as fats, waxes or dressings, or water-soluble matter, either occurring naturally or added to facilitate processing. Non-fibrous matter must be removed before analysis. For this reason a method for removing oils, fats, waxes and water-soluble matter is also given.

In addition, textiles may contain resins or other matter added to confer special properties. Such matter, including dyestuffs in exceptional cases, may interfere with the action of the reagent on the soluble component and/or it may be partially or completely removed by the reagent. This type of added matter may thus cause errors and shall be removed before the sample is analysed. If it is impossible to remove such added matter the methods for quantitative chemical analysis given in this Annex are no longer applicable.

Dye in dyed fabrics is considered to be an integral part of the fibre and is not removed.

Analyses are conducted on the basis of dry mass and a procedure is given for determining dry mass.

The result is obtained by applying to the dry mass of each fibre the agreed allowances listed in Annex IX.

Before proceeding with any analysis, all the fibres present in the mixture shall have been identified. In some methods, the insoluble component of a mixture may be partially dissolved in the reagent used to dissolve the soluble component(s).

Where possible, reagents have been chosen that have little or no effect on the insoluble fibres. If loss in mass is known to occur during the analysis, the result shall be corrected; correction factors for this purpose are given. These factors have been determined in several laboratories by treating, with the appropriate reagent as specified in the method of analysis, fibres cleaned by the pre-treatment.

These correction factors apply only to undegraded fibres and different correction factors may be necessary if the fibres have been degraded before or during processing. The procedures given apply to single determinations.

At least two determinations on separate test specimens shall be made, both in the case of manual separation and in the case of chemical separation.

For confirmation, unless technically impossible, it is recommended to use alternative procedures whereby the constituent that was the residue in the standard method is dissolved out first.

CHAPTER 2

Methods for quantitative analysis of certain binary textile fibre mixtures

I.   General information common to the methods given for the quantitative chemical analysis of textile fibre mixtures

I.1.   FIELD OF APPLICATION

The field of application for each method specifies to which fibres the method is applicable.

I.2.   PRINCIPLE

After the identification of the components of a mixture, the non-fibrous material is removed by suitable pre-treatment and then one of the components, usually by selective solution (6). The insoluble residue is weighed and the proportion of soluble component calculated from the loss in mass. Except where this presents technical difficulties, it is preferable to dissolve the fibre present in the greater proportion, thus obtaining the fibre present in the smaller proportion as residue.

I.3.   MATERIALS AND EQUIPMENT

I.3.1.   Apparatus

I.3.1.1.   Filter crucibles and weighing bottles large enough to contain such crucibles, or any other apparatus giving identical results.

I.3.1.2.   Vacuum flask.

I.3.1.3.   Desiccator containing self-indicating silica gel.

I.3.1.4.   Ventilated oven for drying specimens at 105 ± 3 °C.

I.3.1.5.   Analytical balance, accurate to 0,0002 g.

I.3.1.6.   Soxhlet extractor or other apparatus giving identical results.

I.3.2.   Reagents

I.3.2.1.   Light petroleum, redistilled, boiling range 40 to 60 °C.

I.3.2.2.   Other reagents are specified in the appropriate sections of each method.

I.3.2.3.   Distilled or deionised water.

I.3.2.4.   Acetone.

I.3.2.5.   Orthophosphoric acid.

I.3.2.6.   Urea.

I.3.2.7.   Sodium bicarbonate.

All reagents used shall be chemically pure.

I.4.   CONDITIONING AND TESTING ATMOSPHERE

Because dry masses are determined, it is unnecessary to condition the specimen or to conduct analyses in a conditioned atmosphere.

I.5.   LABORATORY TEST SAMPLE

Take a laboratory test sample that is representative of the laboratory bulk sample and sufficient to provide all the specimens, each of at least 1 g, that are required.

I.6.   PRE-TREATMENT OF LABORATORY TEST SAMPLE (7)

Where a substance not to be taken into account in the percentage calculations (see Article 18) is present, it shall first be removed by a suitable method that does not affect any of the fibre constituents.

For this purpose, non-fibrous matter which can be extracted with light petroleum and water is removed by treating the laboratory test sample in a Soxhlet extractor with light petroleum for 1 hour at a minimum rate of six cycles per hour. Allow the light petroleum to evaporate from the sample, which is then extracted by direct treatment consisting in soaking the laboratory test sample in water at room temperature for 1 hour and then soaking it in water at 65 ± 5 °C for a further hour, agitating the liquor from time to time. Use a liquor-laboratory test sample ratio of 100:1. Remove the excess water from the sample by squeezing, suction or centrifuging and then allow the sample to become air-dry.

In the case of elastolefin or fibre mixtures containing elastolefin and other fibres (wool, animal hair, silk, cotton, flax (or linen) true hemp, jute, abaca, alfa, coir, broom, ramie, sisal, cupro, modal, protein, viscose, acrylic, polyamide or nylon, polyester, elastomultiester) the procedure just described shall be slightly modified, in that light petroleum ether shall be replaced by acetone.

In the case of binary fibre mixtures containing elastolefin and acetate the following procedure shall apply as pre-treatment. Extract the laboratory test sample for 10 minutes at 80 °C with a solution containing 25 g/l of 50 % orthophosphoric acid and 50 g/l of urea. Use a liquor-laboratory test sample ratio of 100:1. Wash laboratory test sample in water, then drain and wash it in a 0,1 % sodium bicarbonate solution, finally wash it carefully in water.

Where non-fibrous matter cannot be extracted with light petroleum and water, it shall be removed by substituting for the water method described above a suitable method that does not substantially alter any of the fibre constituents. However, for some unbleached, natural vegetable fibres (e.g. jute, coir) it is to be noted that normal pre-treatment with light petroleum and water does not remove all the natural non-fibrous substances; nevertheless additional pre-treatment is not applied unless the sample contains finishes insoluble in both light petroleum and water.

Analysis reports shall include full details of the methods of pre-treatment used.

I.7.   TEST PROCEDURE

I.7.1.   General instructions

I.7.1.1.   Drying

Conduct all drying operations for not less than 4 hours and not more than 16 hours at 105 ± 3 °C in a ventilated oven with the oven door closed throughout. If the drying period is less than 14 hours, the specimen must be weighed to check that its mass has become constant. The mass may be considered to have become constant if, after a further drying period of 60 minutes, its variation is less than 0,05 %.

Avoid handling crucibles and weighing bottles, specimens or residues with bare hands during the drying, cooling and weighing operations.

Dry specimens in a weighing bottle with its cover beside it. After drying, stopper the weighing bottle before removing it from the oven, and transfer it quickly to the desiccator.

Dry the filter crucible in a weighing bottle with its cover beside it in the oven. After drying, close the weighing bottle and transfer it quickly to the desiccator.

Where apparatus other than a filter crucible is used, drying operations in the oven shall be conducted in such a way as to enable the dry mass of the fibres to be determined without loss.

I.7.1.2.   Cooling

Conduct all cooling operations in the desiccator the latter placed beside the balance, until complete cooling of the weighing bottles is attained, and in any case for not less than 2 hours.

I.7.1.3.   Weighing

After cooling, complete the weighing of the weighing bottle within 2 minutes of its removal from the desiccator. Weigh to an accuracy of 0,0002 g.

I.7.2.   Procedure

Take from the pre-treated laboratory test sample a test specimen weighing at least 1 g. Cut yarn or cloth into lengths of about 10 mm, dissected as much as possible. Dry the specimen in a weighing bottle, cool it in the desiccator and weigh it. Transfer the specimen to the glass vessel specified in the appropriate section of the relevant Union method, reweigh the weighing bottle immediately and obtain the dry mass of the specimen by difference. Complete the test as specified in the appropriate section of the applicable method. Examine the residue microscopically to check that the treatment has in fact completely removed the soluble fibre.

I.8.   CALCULATION AND EXPRESSION OF RESULTS

Express the mass of the insoluble component as a percentage of the total mass of fibre in the mixture. The percentage of soluble component is obtained by difference. Calculate the results on the basis of clean, dry mass, adjusted by (a) the agreed allowances and (b) the correction factors necessary to take account of loss of matter during pre-treatment and analysis. Calculations shall be made by applying the formula given in I.8.2.

I.8.1.   Calculation of percentage of insoluble component on clean, dry mass basis, disregarding loss of fibre mass during pre-treatment:

Formula

where

P1%

is the percentage of clean, dry insoluble component,

m

is the dry mass of the test specimen after pre-treatment,

r

is the dry mass of the residue,

d

is the correction factor for loss in mass of the insoluble component in the reagent during the analysis. Suitable values for ‘d’ are given in the relevant section of each method.

Of course, these values for ‘d’ are the normal values applicable to chemically undegraded fibres.

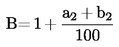
I.8.2.   Calculation of percentage of insoluble component on clean, dry mass basis, with adjustment by conventional factors and, where appropriate, correction factors for loss of mass during pre-treatment:

Formula

where

P1A%

is the percentage of insoluble component adjusted by agreed allowances and for loss in mass during pre-treatment,

P1

is the percentage of clean dry insoluble component as calculated from the formula shown in I.8.1,

a1

is the agreed allowance for the insoluble component (see Annex IX),

a2

is the agreed allowance for the soluble component (see Annex IX),

b1

is the percentage loss of insoluble component caused by pre-treatment,

b2

is the percentage loss of soluble component caused by pre-treatment.

The percentage of the second component is P2A % = 100 – P1A %.

Where a special pre-treatment has been used, the values of b1 and b2 shall be determined, if possible, by submitting each of the pure fibre constituents to the pre-treatment applied in the analysis. Pure fibres are those free from all non-fibrous material except that which they normally contain (either naturally or because of the manufacturing process), in the state (unbleached, bleached) in which they are found in the material to be analysed.

Where no clean separate constituent fibres used in the manufacture of the material to be analysed are available, average values of b1 and b2 as obtained from tests performed on clean fibres similar to those in the mixture under examination, shall be used.

If normal pre-treatment by extraction with light petroleum and water is applied, correction factors b1 and b2 may generally be ignored, except in the case of unbleached cotton, unbleached flax (or linen) and unbleached hemp, where the loss due to the pre-treatment is conventionally taken as 4 %, and in the case of polypropylene, where it is taken as 1 %.

In the case of other fibres, losses due to the pre-treatment are conventionally disregarded in calculations.

II.   Method of quantitative analysis by manual separation

II.1.   FIELD OF APPLICATION

This method is applicable to textile fibres of all types provided they do not form an intimate mixture and that it is possible to separate them by hand.

II.2.   PRINCIPLE

After identification of the constituents of the textile, the non-fibrous material is removed by suitable pre-treatment and then the fibres are separated by hand, dried and weighed in order to calculate the proportion of each fibre in the mixture.

II.3.   APPARATUS

II.3.1.   Weighing bottle or any other apparatus giving identical results.

II.3.2.   Desiccator containing self-indicating silica gel.

II.3.3.   Ventilated oven for drying specimens at 105 ± 3 °C.

II.3.4.   Analytical balance, accurate to 0,0002 g.

II.3.5.   Soxhlet extractor, or other apparatus giving an identical result.

II.3.6.   Needle.

II.3.7.   Twist tester or similar apparatus.

II.4.   REAGENTS

II.4.1.   Light petroleum, redistilled, boiling range 40 to 60 °C.

II.4.2.   Distilled or deionised water.

II.4.3.   Acetone.

II.4.4.   Orthophosphoric acid.

II.4.5.   Urea.

II.4.6.   Sodium bicarbonate.

All reagents used shall be chemically pure.

II.5.   CONDITIONING AND TESTING ATMOSPHERE

See I.4.

II.6.   LABORATORY TEST SAMPLE

See I.5.

II.7.   PRE-TREATMENT OF LABORATORY TEST SAMPLE

See I.6.

II.8.   PROCEDURE

II.8.1.   Analysis of yarn

Select from the pre-treatment laboratory test sample a specimen of mass not less than 1 g. For a very fine yarn, the analysis may be made on a minimum length of 30 m, whatever its mass.

Cut the yarn into pieces of a suitable length and separate the fibre types by means of a needle and, if necessary, a twist tester. The fibre types so obtained are placed in pre-weighed weighing bottles and dried at 105 ± 3 °C until a constant mass is obtained, as described in I.7.1 and I.7.2.

II.8.2.   Analysis of cloth

Select from the pre-treated laboratory test sample, well away from all selvedges, a specimen of mass not less than 1 g, with edges carefully trimmed to avoid fraying and running parallel with weft or warp yarns, or in the case of knitted fabrics in the line of wales and courses. Separate the different fibre types, collect them in pre-weighed weighing bottles and proceed as described in II.8.1.

II.9.   CALCULATION AND EXPRESSION OF RESULTS

Express the mass of each fibre constituent as a percentage of the total mass of the fibres in the mixture. Calculate the results on the basis of clean, dry mass, adjusted by (a) the agreed allowances and (b) the correction factors necessary to take account of loss of matter during pre-treatment.

II.9.1.   Calculation of percentage masses of clean, dry fibre, disregarding loss of fibre mass during pre-treatment:

Formula

P1%

is the percentage of the first clean, dry component,

m1

is the clean, dry mass of the first component,

m2

is the clean, dry mass of the second component.

II.9.2.   For calculation of the percentage of each component with adjustment by agreed allowances and, where appropriate, by correction factors for loss of matter during pre-treatment, see I.8.2.

III.1.   Precision of the methods

The precision indicated in individual methods relates to the reproducibility.

The reproducibility refers to the reliability, i.e. the closeness of agreement between experimental values obtained by operators in different laboratories or at different times using the same method and obtaining individual results on specimens of an identical consistent mixture.

The reproducibility is expressed by confidence limits of the results for a confidence level of 95 %.

Therefore, the difference between two results in a series of analyses made in different laboratories would, given a normal and correct application of the method to an identical and consistent mixture, exceed the confidence limit only in five cases out of a 100.

III.2.   Test report

III.2.1.   State that the analysis was conducted in accordance with this method.

III.2.2.   Give details of any special pre-treatment (see I.6).

III.2.3.   Give the individual results and the arithmetic mean, each to an accuracy of 0,1.

IV.   Special methods

Summary Table

Method

Field of application

Reagent/Description

Soluble component

Insoluble component

1.

Acetate

Certain other fibres

Acetone

2.

Certain protein fibres

Certain other fibres

Hypochlorite

3.

Viscose, cupro or certain types of modal

Certain other fibres

Formic acid and zinc chloride

4.

Polyamide or nylon

Certain other fibres

Formic acid, 80 % m/m

5.

Acetate

Certain other fibres

Benzyl alcohol

6.

Triacetate or polylactide

Certain other fibres

Dichloromethane

7.

Certain cellulose fibres

Certain other fibres

Sulphuric acid, 75 % m/m

8.

Acrylics, certain modacrylics or certain chlorofibres

Certain other fibres

Dimethylformamide

9.

Certain chlorofibres

Certain other fibres

Carbon disulphide/acetone, 55,5/44,5 % v/v

10.

Acetate

Certain other fibres

Glacial acetic acid

11.

Silk

Certain other fibres

Sulphuric acid, 75 % m/m

12.

Jute

Certain animal fibres

Nitrogen content method

13.

Polypropylene

Certain other fibres

Xylene

14.

Certain other fibres

Chlorofibres (homopolymers of vinyl chloride), elastolefin or melamine

Concentrated sulphuric acid

15.

Chlorofibres, certain modacrylics, certain elastanes, acetates, triacetates

Certain other fibres

Cyclohexanone

16.

Melamine

Cotton or aramid

Hot formic acid, 90 % m/m

METHOD No 1

ACETATE AND CERTAIN OTHER FIBRES

(Acetone method)

1.   FIELD OF APPLICATION

This method is applicable, after removal of non-fibrous matter, to binary fibre mixtures of:

1.

acetate (19);

with

2.

wool (1), animal hair (2 and 3), silk (4), cotton (5), flax (or linen) (7), true hemp (8), jute (9), abaca (10), alfa (11), coir (12), broom (13), ramie (14), sisal (15), cupro (21), modal (22), protein (23), viscose (25), acrylic (26), polyamide or nylon (30), polyester (35) elastomultiester (45), elastolefin (46) and melamine (47).

In no circumstances is the method applicable to acetate fibres which have been deacetylated on the surface.

2.   PRINCIPLE

The acetate is dissolved out from a known dry mass of the mixture, with acetone. The residue is collected, washed, dried and weighed; its mass, corrected if necessary, is expressed as a percentage of the dry mass of the mixture. The percentage of dry acetate is found by difference.

3.   APPARATUS AND REAGENTS (additional to those specified in the general instructions)

3.1.   Apparatus

Glass-stoppered conical flasks of at least 200 ml capacity.

3.2.   Reagent

Acetone.

4.   TEST PROCEDURE

Follow the procedure described in the general instructions and proceed as follows:

 

To the test specimen contained in a glass-stoppered conical flask of at least 200 ml capacity, add 100 ml of acetone per gram of test specimen, shake the flask, stand it for 30 minutes at room temperature, stirring from time to time, and then decant the liquid through the weighed filter crucible.

 

Repeat the treatment twice more (making three extractions in all), but for periods of 15 minutes only, so that the total time of treatment in acetone is 1 hour. Transfer the residue to the filter crucible. Wash the residue in the filter crucible with acetone and drain with suction. Refill the crucible with acetone and allow to drain under gravity.

 

Finally, drain the crucible with suction, dry the crucible and residue, and cool and weigh them.

5.   CALCULATION AND EXPRESSION OF RESULTS

Calculate the results as described in the general instructions. The value of ‘d’ is 1,00, except for melamine, for which ‘d’ = 1,01.

6.   PRECISION

On a homogeneous mixture of textile materials, the confidence limits of results obtained by this method are not greater than ± 1 for a confidence level of 95 %.

METHOD No 2

CERTAIN PROTEIN FIBRES AND CERTAIN OTHER FIBRES

(Method using hypochlorite)

1.   FIELD OF APPLICATION

This method is applicable, after removal of non-fibrous matter, to binary fibre mixtures of:

1.

certain protein fibres, namely: wool (1), animal hair (2 and 3), silk (4), protein (23);

with

2.

cotton (5), cupro (21), modal (22), viscose (25), acrylic (26), chlorofibres (27), polyamide or nylon (30), polyester (35), polypropylene (37), elastane (43), glass fibre (44), elastomultiester (45), elastolefin (46) and melamine (47).

If different protein fibres are present, the method gives the total of their amounts but not their individual quantities.

2.   PRINCIPLE

The protein fibre is dissolved out from a known dry mass of the mixture, with a hypochlorite solution. The residue is collected, washed, dried and weighed; its mass, corrected if necessary, is expressed as a percentage of the dry mass of the mixture. The percentage of dry protein fibre is found by difference.

Either lithium hypochlorite or sodium hypochlorite can be used for the preparation of the hypochlorite solution.

Lithium hypochlorite is recommended in cases involving a small number of analyses or for analyses conducted at fairly lengthy intervals. This is because the percentage of hypochlorite in solid lithium hypochlorite — unlike that in sodium hypochlorite — is virtually constant. If the percentage of hypochlorite is known, hypochlorite content need not be checked iodometrically for each analysis, since a constant weighed portion of lithium hypochlorite can be employed.

3.   APPARATUS AND REAGENTS (other than those specified in the general instructions)

3.1.   Apparatus

(i)   Erlenmeyer flask with ground-glass stopper, 250 ml.

(ii)   Thermostat, adjustable to 20 (± 2) °C.

3.2.   Reagents

(i)   Hypochlorite reagent

(a)   Lithium hypochlorite solution

This consists of a freshly prepared solution containing 35 (± 2) g/l of active chlorine (approximately 1 M), to which 5 (± 0,5) g/l of previously dissolved sodium hydroxide is added. To prepare, dissolve 100 grams of lithium hypochlorite containing 35 % active chlorine (or 115 grams containing 30 % active chlorine) in approximately 700 ml of distilled water, add 5 grams of sodium hydroxide dissolved in approximately 200 ml of distilled water and make up to 1 litre with distilled water. The solution which has been freshly prepared need not be checked iodometrically.

(b)   Sodium hypochlorite solution

This consists of a freshly prepared solution containing 35 (± 2) g/l of active chlorine (approximately 1 M) to which 5 (± 0,5) g/l of previously dissolved sodium hydroxide is added.

Check the active chlorine content of the solution iodometrically before each analysis.

(ii)   Acetic acid, dilute solution

Dilute 5 ml of glacial acetic acid to 1 litre with water.

4.   TEST PROCEDURE

Follow the procedure described in the general instructions and proceed as follows: mix approximately 1 gram of the test specimen with approximately 100 ml of the hypochlorite solution (lithium or sodium hypochlorite) in the 250 ml flask and agitate thoroughly in order to wet out the test specimen.

Then heat the flask for 40 minutes in a thermostat at 20 °C and agitate continuously, or at least at regular intervals. Since the dissolution of the wool proceeds exothermically, the reaction heat of this method must be distributed and removed. Otherwise, considerable errors may be caused by the incipient dissolution of the non-soluble fibres.

After 40 minutes, filter the flask contents through a weighed glass-filter crucible and transfer any residual fibres into the filter crucible by rinsing the flask with a little hypochlorite reagent. Drain the crucible with suction and wash the residue successively with water, dilute acetic acid, and finally water, draining the crucible with suction after each addition. Do not apply suction until each washing liquor has drained under gravity.

Finally, drain the crucible with suction, dry the crucible with the residue, and cool and weigh them.

5.   CALCULATION AND EXPRESSION OF RESULTS

Calculate the results as described in the general instructions. The value of ‘d’ is 1,00, except for cotton, viscose, modal and melamine for which ‘d’ = 1,01, and unbleached cotton, for which ‘d’ = 1,03.

6.   PRECISION

On homogeneous mixtures of textile materials, the confidence limits for results obtained by this method are not greater than ± 1 for a confidence level of 95 %.

METHOD No 3

VISCOSE, CUPRO OR CERTAIN TYPES OF MODAL AND CERTAIN OTHER FIBRES

(Method using formic acid and zinc chloride)

1.   FIELD OF APPLICATION

This method is applicable, after removal of non-fibrous matter, to binary fibre mixtures of:

1.

viscose (25) or cupro (21), including certain types of modal fibre (22);

with

2.

cotton (5), elastolefin (46) and melamine (47).

If a modal fibre is found to be present, a preliminary test shall be carried out to see whether it is soluble in the reagent.

This method is not applicable to mixtures in which the cotton has suffered extensive chemical degradation nor when the viscose or cupro is rendered incompletely soluble by the presence of certain dyes or finishes that cannot be removed completely.

2.   PRINCIPLE

The viscose, cupro or modal fibre is dissolved from a known dry mass of the mixture, with a reagent consisting of formic acid and zinc chloride. The residue is collected, washed, dried and weighed; its corrected mass is expressed as a percentage of the dry mass of the mixture. The percentage of dry viscose, cupro or modal fibre is found by difference.

3.   APPARATUS AND REAGENTS (other than those specified in the general instructions)

3.1.   Apparatus

(i)   Glass-stoppered conical flasks of at least 200 ml capacity.

(ii)   Apparatus for maintaining flasks at 40 (± 2) °C.

3.2.   Reagents

(i)   Solution containing 20 g of fused anhydrous zinc chloride and 68 g of anhydrous formic acid made up to 100 g with water (namely 20 parts by mass of fused anhydrous zinc chloride to 80 parts by mass of 85 % m/m formic acid).

NB:

Attention is drawn, in this respect, to point I.3.2.2, which lays down that all reagents used shall be chemically pure; in addition, it is essential to use only fused anhydrous zinc chloride.

(ii)   Ammonium hydroxide solution: dilute 20 ml of a concentrated ammonia solution (relative density at 20 °C: 0,880) to 1 litre with water.

4.   TEST PROCEDURE

Follow the procedure described in the general instructions and proceed as follows: place the specimen immediately in the flask, pre-heated to 40 °C. Add 100 ml of the solution of formic acid and zinc chloride, pre-heated to 40 °C per gram of specimen. Insert the stopper and shake the flask vigorously. Keep the flask and its contents at a constant temperature of 40 °C for 2 hours and a half, shaking the flask at hourly intervals.

Filter the contents of the flask through the weighed filter crucible and with the help of the reagent transfer to the crucible any fibres remaining in the flask. Rinse with 20 ml of reagent pre-heated to 40 °C.

Wash crucible and residue thoroughly with water at 40 °C. Rinse the fibrous residue in approximately 100 ml of cold ammonia solution (3.2.ii) ensuring that this residue remains wholly immersed in the solution for 10 minutes (8); then rinse thoroughly with cold water.

Do not apply suction until each washing liquor has drained under gravity.

Finally, drain the remaining liquid with suction, dry the crucible and residue, and cool and weigh them.

5.   CALCULATION AND EXPRESSION OF RESULTS

Calculate the results as described in the general instructions. The value of ‘d’ is 1,02 for cotton, 1,01 for melamine and 1,00 for elastolefin.

6.   PRECISION

On a homogeneous mixture of textile materials, the confidence limits of results obtained by this method are not greater than ± 2 for a confidence level of 95 %.

METHOD No 4

POLYAMIDE OR NYLON, AND CERTAIN OTHER FIBRES

(Method using 80 % m/m formic acid)

1.   FIELD OF APPLICATION

This method is applicable, after removal of non-fibrous matter, to binary fibre mixtures of:

1.

polyamide or nylon (30);

with

2.

wool (1), animal hair (2 and 3), cotton (5), cupro (21), modal (22), viscose (25), acrylic (26), chlorofibre (27), polyester (35), polypropylene (37), glass fibre (44), elastomultiester (45), elastolefin (46) and melamine (47).

As mentioned above, this method is also applicable to mixtures with wool, but when the wool content exceeds 25 %, method No 2 shall be applied (dissolving wool in a solution of alkaline sodium hypochlorite or lithium hypochlorite).

2.   PRINCIPLE

The polyamide or nylon fibre is dissolved out from a known dry mass of the mixture, with formic acid. The residue is collected, washed, dried and weighed; its mass, corrected if necessary, is expressed as a percentage of the dry mass of the mixture. The percentage of dry polyamide or nylon is found by difference.

3.   APPARATUS AND REAGENTS (other than those specified in the general instructions)

3.1.   Apparatus

Glass-stoppered conical flask of at least 200 ml capacity.

3.2.   Reagents

(i)   Formic acid (80 % m/m, relative density at 20 °C: 1,186). Dilute 880 ml of 90 % m/m formic acid (relative density at 20 °C: 1,204) to 1 litre with water. Alternatively, dilute 780 ml of 98 to 100 % m/m formic acid (relative density at 20 °C: 1,220 ) to 1 litre with water.

The concentration is not critical within the range 77 to 83 % m/m formic acid.

(ii)   Ammonia, dilute solution: dilute 80 ml of concentrated ammonia solution (relative density at 20 °C: 0,880) to 1 litre with water.

4.   TEST PROCEDURE

Follow the procedure described in the general instructions and proceed as follows: to the specimen contained in the conical flask of at least 200 ml capacity, add 100 ml of formic acid per gram of specimen. Insert the stopper, shake the flask to wet out the specimen. Stand the flask for 15 minutes at room temperature, shaking it at intervals. Filter the contents of the flask through the weighed filter crucible and transfer any residual fibres to the crucible by washing out the flask with a little formic acid reagent.

Drain the crucible with suction and wash the residue on the filter successively with formic acid reagent, hot water, dilute ammonia solution, and finally cold water, draining the crucible with suction after each addition. Do not apply suction until each washing liquor has drained under gravity.

Finally, drain the crucible with suction, dry the crucible and residue, and cool and weigh them.

5.   CALCULATION AND EXPRESSION OF RESULTS

Calculate the results as described in the general instructions. The value of ‘d’ is 1,00, except for melamine, for which ‘d’ = 1,01.

6.   PRECISION

On a homogeneous mixture of textile materials, the confidence limits of results obtained by this method are not greater than ± 1 for a confidence level of 95 %.

METHOD No 5

ACETATE AND CERTAIN OTHER FIBRES

(Method using benzyl alcohol)

1.   FIELD OF APPLICATION

This method is applicable, after removal of non-fibrous matter, to binary fibre mixtures of:

1.

acetate (19);

with

2.

triacetate (24), elastolefin (46) and melamine (47).

2.   PRINCIPLE

The acetate fibre is dissolved out from a known dry mass of the mixture, with benzyl alcohol at 52 ± 2 °C.

The residue is collected, washed, dried and weighed; its mass is expressed as a percentage of the dry mass of the mixture. The percentage of dry acetate is found by difference.

3.   APPARATUS AND REAGENTS (other than those specified in the general instructions)

3.1.   Apparatus

(i)   Glass-stoppered conical flask of at least 200 ml capacity.

(ii)   Mechanical shaker.

(iii)   Thermostat or other apparatus for keeping the flask at a temperature of 52 ± 2 °C.

3.2.   Reagents

(i)   Benzyl alcohol.

(ii)   Ethanol.

4.   TEST PROCEDURE

Follow the procedure described in the general instructions and proceed as follows:

 

To the specimen contained in the conical flask, add 100 ml of benzyl alcohol per gram of specimen. Insert the stopper, secure the flask to the shaker so that it is immersed in the water-bath, kept at 52 ± 2 °C, and shake for 20 minutes at this temperature.

(Instead of using a mechanical shaker, the flask may be shaken vigorously by hand).

 

Decant the liquid through the weighed filter crucible. Add a further dose of benzyl alcohol in the flask and shake as before at 52 ± 2 °C for 20 minutes.

 

Decant the liquid through the crucible. Repeat the cycle of operations a third time.

 

Finally pour the liquid and the residue into the crucible; wash any remaining fibres from the flask into the crucible with an extra quantity of benzyl alcohol at 52 ± 2 °C. Drain the crucible thoroughly.

 

Transfer the fibres into a flask, rinse with ethanol and after shaking manually decant through the filter crucible.

 

Repeat this rinsing operation two or three times. Transfer the residue into the crucible and drain thoroughly. Dry the crucible and the residue and cool and weigh them.

5.   CALCULATION AND EXPRESSION OF RESULTS

Calculate the results as described in the general instructions. The value of ‘d’ is 1,00, except for melamine, for which ‘d’ = 1,01.

6.   PRECISION

On a homogeneous mixture of textile materials, the confidence limits of results obtained by this method are not greater than ± 1 for a confidence level of 95 %.

METHOD No 6

TRIACETATES OR POLYLACTIDE AND CERTAIN OTHER FIBRES

(Method using dichloromethane)

1.   FIELD OF APPLICATION

This method is applicable, after removal of non-fibrous matter, to binary fibre mixtures of:

1.

triacetate (24) or polylactide (34);

with

2.

wool (1), animal hair (2 and 3), silk (4), cotton (5), cupro (21), modal (22), viscose (25), acrylic (26), polyamide or nylon (30), polyester (35), glass fibre (44), elastomultiester (45), elastolefin (46) and melamine (47).

Note:

Triacetate fibres which have received a finish leading to partial hydrolysis cease to be completely soluble in the reagent. In such cases, the method is not applicable.

2.   PRINCIPLE

The triacetate or polylactide fibres are dissolved out from a known dry mass of the mixture, with dichloromethane. The residue is collected, washed, dried and weighed; its mass, corrected if necessary, is expressed as a percentage of the dry mass of the mixture. The percentage of dry triacetate or polylactide is found by difference.

3.   APPARATUS AND REAGENTS (other than those specified in the general instructions)

3.1.   Apparatus

Glass-stoppered conical flask of at least 200 ml capacity.

3.2.   Reagent

Dichloromethane.

4.   TEST PROCEDURE

Follow the procedure described in the general instructions and proceed as follows:

 

To the test specimen contained in the 200 ml glass-stoppered conical flask, add 100 ml of dichloromethane per gram of the test specimen, insert the stopper, shake the flask to wet out the test specimen and stand for 30 minutes at room temperature, shaking the flask every 10 minutes. Decant the liquid through the weighed filter crucible. Add 60 ml of dichloromethane to the flask containing the residue, shake manually and filter the contents of the flask through the filter crucible. Transfer the residual fibres to the crucible by washing out the flask with a little more dichloromethane. Drain the crucible with suction to remove excess liquid, refill the crucible with dichloromethane and allow it to drain under gravity.

 

Finally, apply suction to eliminate excess liquid, then treat the residue with boiling water to eliminate all the solvent, apply suction, dry the crucible and residue, cool and weigh them.

5.   CALCULATION AND EXPRESSION OF RESULTS

Calculate the results as described in the general instructions. The value of ‘d’ is 1,00, except in the case of polyester, elastomultiester, elastolefin and melamine for which the value of ‘d’ is 1,01.

6.   PRECISION

On a homogeneous mixture of textile materials, the confidence limits of results obtained by this method are not greater than ± 1 for a confidence level of 95 %.

METHOD No 7

CERTAIN CELLULOSE FIBRES AND CERTAIN OTHER FIBRES

(Method using 75 % m/m sulphuric acid)

1.   FIELD OF APPLICATION

This method is applicable, after removal of non-fibrous matter, to binary fibre mixtures of:

1.

cotton (5), flax (or linen) (7), true hemp (8), ramie (14), cupro (21), modal (22), viscose (25);

with

2.

polyester (35), elastomultiester (45) and elastolefin (46).

2.   PRINCIPLE

The cellulose fibre is dissolved out from a known dry mass of the mixture, with 75 % m/m sulphuric acid. The residue is collected, washed, dried and weighed; its mass is expressed as a percentage of the dry mass of the mixture. The proportion of dry cellulose fibre is found by difference.

3.   APPARATUS AND REAGENTS (other than those specified in the general instructions)

3.1.   Apparatus

(i)   Glass-stoppered conical flask of at least 500 ml capacity.

(ii)   Thermostat or other apparatus for maintaining the flask at 50 ± 5 °C.

3.2.   Reagents

(i)   Sulphuric acid, 75 ± 2 % m/m

Prepare by adding carefully, while cooling, 700 ml of sulphuric acid (relative density at 20 °C: 1,84) to 350 ml of distilled water.

After the solution has cooled to room temperature, dilute to 1 litre with water.

(ii)   Ammonia, dilute solution

Dilute 80 ml of ammonia solution (relative density at 20 °C: 0,880) to 1 litre with water.

4.   TEST PROCEDURE

Follow the procedure described in the general instructions and proceed as follows:

 

To the specimen contained in the glass-stoppered conical flask of at least 500 ml capacity, add 200 ml of 75 % sulphuric acid per gram of specimen, insert the stopper and carefully shake the flask to wet out the specimen.

 

Maintain the flask at 50 ± 5 °C for 1 hour, shaking it at regular intervals of approximately 10 minutes. Filter the contents of the flask through the weighed filter crucible by means of suction. Transfer any residual fibres by washing out the flask with a little 75 % sulphuric acid. Drain the crucible with suction and wash the residue on the filter once by filling the crucible with a fresh portion of sulphuric acid. Do not apply suction until the acid has drained under gravity.

 

Wash the residue successively several times with cold water, twice with dilute ammonia solution, and then thoroughly with cold water, draining the crucible with suction after each addition. Do not apply suction until each washing liquor has drained under gravity. Finally, drain the remaining liquid from the crucible with suction, dry the crucible and residue, and cool and weigh them.

5.   CALCULATION AND EXPRESSION OF RESULTS

Calculate the results as described in the general instructions. The value of ‘d’ is 1,00.

6.   PRECISION

On a homogeneous mixture of textile materials, the confidence limits of results obtained by this method are not greater than ± 1 for a confidence level of 95 %.

METHOD No 8

ACRYLICS, CERTAIN MODACRYLICS OR CERTAIN CHLOROFIBRES AND CERTAIN OTHER FIBRES

(Method using dimethylformamide)

1.   FIELD OF APPLICATION

This method is applicable, after removal of non-fibrous matter, to binary fibre mixtures of:

1.

acrylics (26), certain modacrylics (29), or certain chlorofibres (27) (9);

with

2.

wool (1), animal hair (2 and 3), silk (4), cotton (5), cupro (21), modal (22), viscose (25), polyamide or nylon (30), polyester (35), elastomultiester (45), elastolefin (46) and melamine (47).

It is equally applicable to acrylics, and certain modacrylics, treated with premetallised dyes, but not to those dyed with afterchrome dyes.

2.   PRINCIPLE

The acrylic, modacrylic or chlorofibre is dissolved out from a known dry mass of the mixture, with dimethylformamide heated in a water-bath at boiling point. The residue is collected, washed, dried and weighed. Its mass, corrected if necessary, is expressed as a percentage of the dry mass of the mixture and the percentage of dry acrylic, modacrylic or chlorofibre is found by difference.

3.   APPARATUS AND REAGENTS (other than those specified in the general instructions)

3.1.   Apparatus

(i)   Glass-stoppered conical flask of at least 200 ml capacity.

(ii)   Water bath at boiling point.

3.2.   Reagent

Dimethylformamide (boiling point 153 ±1 °C) not containing more than 0,1 % water.

This reagent is toxic and the use of a hood is thus recommended.

4.   TEST PROCEDURE

Follow the procedure described in the general instructions and proceed as follows:

 

To the specimen contained in the glass-stoppered conical flask of at least 200 ml capacity, add per gram of specimen 80 ml of dimethylformamide, pre-heated in the water-bath at boiling point, insert the stopper, shake the flask to wet out the specimen and heat in the water-bath at boiling point for 1 hour. Shake the flask and its contents gently by hand five times during this period.

 

Decant the liquid through the weighed filter crucible, retaining the fibres in the flask. Add a further 60 ml of dimethylformamide to the flask and heat for a further 30 minutes, shaking the flask and contents gently by hand twice during this period.

 

Filter the contents of the flask through the filter crucible by means of suction.

 

Transfer any residual fibre to the crucible by washing out the beaker with dimethylformamide. Drain the crucible with suction. Wash the residue with about 1 litre of hot water at 70 — 80 °C, filling the crucible each time.

 

After each addition of water, apply suction briefly but not until the water has drained under gravity. If the washing liquor drains through the crucible too slowly slight suction may be applied.

 

Finally dry the crucible with the residue, cool and weigh them.

5.   CALCULATION AND EXPRESSION OF RESULTS

Calculate the results as described in the general instructions. The value of ‘d’ is 1,00, except in the case of wool, cotton, cupro, modal, polyester, elastomultiester and melamine, for which the value of ‘d’ is 1,01.

6.   PRECISION

On a homogeneous mixture of textile materials, the confidence limits of results obtained by this method are not greater than ± 1 for a confidence level of 95 %.

METHOD No 9

CERTAIN CHLOROFIBRES AND CERTAIN OTHER FIBRES

(Method using 55,5/44,5 % v/v mixture of carbon disulphide and acetone)

1.   FIELD OF APPLICATION

This method is applicable, after removal of non-fibrous matter, to binary fibre mixtures of:

1.

certain chlorofibres (27), namely certain polyvinyl chloride fibres, whether after-chlorinated or not (10);

with

2.

wool (1), animal hair (2 and 3), silk (4), cotton (5), cupro (21), modal (22), viscose (25), acrylic (26), polyamide or nylon (30), polyester (35), glass fibre (44), elastomultiester (45) and melamine (47).

When the wool or silk content of the mixture exceeds 25 %, method No 2 shall be used.

When the polyamide or nylon content of the mixture exceeds 25 %, method No 4 shall be used.

2.   PRINCIPLE

The chlorofibre is dissolved out from a known dry mass of the mixture, with an azeotropic mixture of carbon disulphide and acetone. The residue is collected, washed, dried and weighed; its mass, corrected if necessary, is expressed as a percentage of the dry mass of the mixture. The percentage of dry polyvinyl chloride fibre is found by difference.

3.   APPARATUS AND REAGENTS (other than those specified in the general instructions)

3.1.   Apparatus

(i)   Glass-stoppered conical flask of at least 200 ml capacity.

(ii)   Mechanical shaker.

3.2.   Reagents

(i)   Azeotropic mixture of carbon disulphide and acetone (55,5 % by volume carbon disulphide to 44,5 % acetone). As this reagent is toxic, the use of a hood is recommended.

(ii)   Ethanol (92 % by volume) or methanol.

4.   TEST PROCEDURE

Follow the procedure described in the general instructions and proceed as follows:

 

To the specimen contained in the glass-stoppered conical flask of at least 200 ml capacity, add 100 ml of the azeotropic mixture per gram of specimen. Seal the flask securely, and shake the flask on a mechanical shaker, or vigorously by hand, for 20 minutes at room temperature.

 

Decant the supernatant liquid through the weighed filter crucible.

 

Repeat the treatment with 100 ml of fresh reagent. Continue this cycle of operations until no polymer deposit is left on a watch glass when a drop of the extraction liquid is evaporated. Transfer the residue to the filter crucible using more reagent, apply suction to remove the liquid, and rinse the crucible and residue with 20 ml of alcohol and then three times with water. Allow the washing liquor to drain under gravity before draining with suction. Dry the crucible and residue and cool and weigh them.

Note:

With certain mixtures having a high chlorofibre content there may be substantial shrinkage of the specimen during the drying procedure, as a result of which the dissolution of chlorofibre by the solvent is retarded.

This does not, however, affect the ultimate dissolution of the chlorofibre in the solvent.

5.   CALCULATION AND EXPRESSION OF RESULTS

Calculate the results as described in the general instructions. The value of ‘d’ is 1,00, except for melamine, for which ‘d’ = 1,01.

6.   PRECISION

On a homogeneous mixture of textile materials, the confidence limits of the results obtained by this method are not greater than ± 1 for a confidence level of 95 %.

METHOD No 10

ACETATE AND CERTAIN OTHER FIBRES

(Method using glacial acetic acid)

1.   FIELD OF APPLICATION

This method is applicable, after removal of non-fibrous matter, to binary fibre mixtures of:

1.

acetate (19);

with

2.

certain chlorofibres (27) namely polyvinyl chloride fibres, whether afterchlorinated or not, elastolefin (46) and melamine (47).

2.   PRINCIPLE

The acetate fibre is dissolved out from a known dry mass of the mixture, with glacial acetic acid. The residue is collected, washed, dried and weighed; its mass, corrected if necessary, is expressed as a percentage of the dry mass of the mixture. The percentage of dry acetate is found by difference.

3.   APPARATUS AND REAGENTS (other than those specified in the general instructions)

3.1.   Apparatus

(i)   Glass-stoppered conical flask of at least 200 ml capacity.

(ii)   Mechanical shaker.

3.2.   Reagent

Glacial acetic acid (over 99 %). This reagent shall be handled with care since it is highly caustic.

4.   TEST PROCEDURE

Follow the procedure described in the general instructions and proceed as follows:

 

To the specimen contained in the glass-stoppered conical flask of at least 200 ml capacity, add 100 ml glacial acetic acid per gram of specimen. Seal the flask securely and shake on the mechanical shaker, or vigorously by hand, for 20 minutes at room temperature. Decant the supernatant liquid through the weighed filter crucible. Repeat this treatment twice, using 100 ml of fresh reagent each time, making three extractions in all.

 

Transfer the residue to the filter crucible, drain with suction to remove the liquid and rinse the crucible and the residue with 50 ml of glacial acetic acid, and then three times with water. After each rinse, allow the liquid to drain under gravity before applying suction. Dry the crucible and residue, and cool and weigh them.

5.   CALCULATION AND EXPRESSION OF RESULTS

Calculate the results as described in the general instructions. The value of ‘d’ is 1,00.

6.   PRECISION

On a homogeneous mixture of textile materials, the confidence limits of the results obtained by this method are not greater than ± 1 for a confidence level of 95 %.

METHOD No 11

SILK AND CERTAIN OTHER FIBRES

(Method using 75 % m/m sulphuric acid)

1.   FIELD OF APPLICATION

This method is applicable, after removal of non-fibrous matter, to binary fibre mixtures of:

1.

silk (4);

with

2.

wool (1), animal hair (2 and 3), elastolefin (46) and melamine (47).

2.   PRINCIPLE

The silk fibre is dissolved out from a known dry mass of the mixture, with 75 % m/m sulphuric acid (11).

The residue is collected, washed, dried and weighed. Its mass, corrected if necessary, is expressed as a percentage of the dry mass of the mixture. The percentage of dry silk is found by difference.

3.   APPARATUS AND REAGENTS (other than those specified in the general instructions)

3.1.   Apparatus

Glass-stoppered conical flask of at least 200 ml capacity.

3.2.   Reagents

(i)   Sulphuric acid (75 ± 2 % m/m)

Prepare by adding carefully, while cooling, 700 ml sulphuric acid (relative density at 20 °C: 1,84) to 350 ml distilled water.

After cooling to room temperature, dilute the solution to 1 litre with water.

(ii)   Sulphuric acid, dilute solution: add 100 ml sulphuric acid (relative density at 20 °C: 1,84) slowly to 1 900 ml distilled water.

(iii)   Ammonia, dilute solution: dilute 200 ml concentrated ammonia (relative density at 20 °C: 0,880) to 1 litre with water.

4.   TEST PROCEDURE

Follow the procedure described in the general instructions and proceed as follows:

 

To the specimen contained in a glass-stoppered conical flask of at least 200 ml capacity, add 100 ml of 75 % m/m sulphuric acid per gram of specimen and insert the stopper. Shake vigorously and stand for 30 minutes at room temperature. Shake again and stand for 30 minutes.

 

Shake a last time and filter the contents of the flask through the weighed filter crucible. Wash any remaining fibres from the flask with the 75 % sulphuric acid reagent. Wash the residue on the crucible successively with 50 ml of the dilute sulphuric acid reagent, 50 ml water and 50 ml of the dilute ammonia solution. Each time allow the fibres to remain in contact with the liquid for about 10 minutes before applying suction. Finally rinse with water, leaving the fibres in contact with the water for about 30 minutes.

 

Drain the crucible with suction, dry the crucible and residue, and cool and weigh them.

5.   CALCULATION AND EXPRESSION OF RESULTS

Calculate the results as described in the general instructions. The value of ‘d’ is 0,985 for wool, 1,00 for elastolefin and 1,01 for melamine.

6.   PRECISION

On a homogeneous mixture of textile materials, the confidence limits of results obtained by this method are not greater than ± 1 for a confidence level of 95 %.

METHOD No 12

JUTE AND CERTAIN ANIMAL FIBRES

(Method by determining nitrogen content)

1.   FIELD OF APPLICATION

This method is applicable, after removal of non-fibrous matter, to binary fibre mixtures of:

1.

jute (9);

with

2.

certain animal fibres.

The animal-fibre component may consist solely of hair (2 and 3) or wool (1) or of any mixture of the two. This method is not applicable to textile mixtures containing non-fibrous matter (dyes, finishes, etc.) with a nitrogen base.

2.   PRINCIPLE

The nitrogen content of the mixture is determined, and from this and the known or assumed nitrogen contents of the two components, the proportion of each component is calculated.

3.   APPARATUS AND REAGENTS (other than those specified in the general instructions)

3.1.   Apparatus

(i)   Kjeldahl digestion flask, 200 — 300 ml capacity.

(ii)   Kjeldahl distillation apparatus with steam injection.

(iii)   Titration apparatus, allowing precision of 0,05 ml.

3.2.   Reagents

(i)   Toluene.

(ii)   Methanol.

(iii)   Sulphuric acid, relative density at 20 °C: 1,84 (12).

(iv)   Potassium sulphate (12).

(v)   Selenium dioxide (12).

(vi)   Sodium hydroxide solution (400 g/litre). Dissolve 400 g of sodium hydroxide in 400-500 ml of water and dilute to 1 litre with water.

(vii)   Mixed indicator. Dissolve 0,1 g of methyl red in 95 ml of ethanol and 5 ml of water, and mix with 0,5 g of bromocresol green dissolved in 475 ml of ethanol and 25 ml of water.

(viii)   Boric acid solution. Dissolve 20 g of boric acid in 1 litre of water.

(ix)   Sulphuric acid, 0,02 N (standard volumetric solution).

4.   PRE-TREATMENT OF TEST SAMPLE

The following pre-treatment is substituted for the pre-treatment described in the general instructions:

Extract the air-dry laboratory test sample in a Soxhlet apparatus with a mixture of 1 volume of toluene and 3 volumes of methanol for 4 hours at a minimum rate of 5 cycles per hour. Allow the solvent to evaporate from the sample in air, and remove the last traces in an oven at 105 ± 3 °C. Then extract the sample in water (50 ml per g of sample) by boiling under reflux for 30 minutes. Filter, return the sample to the flask, and repeat the extraction with an identical volume of water. Filter, remove excess water from the sample by squeezing, suction, or centrifuging and then allow the sample to become air-dry.

Note:

The toxic effects of toluene and methanol shall be borne in mind and full precautions shall be taken in their use.

5.   TEST PROCEDURE

5.1.   General instructions

Follow the procedure described in the general instructions as regards the selection, drying and weighing of the specimen.

5.2.   Detailed procedure

Transfer the specimen to a Kjeldahl digestion flask. To the specimen weighing at least 1 g contained in the digestion flask, add, in the following order, 2,5 g potassium sulphate, 0,1 - 0,2 g selenium dioxide and 10 ml sulphuric acid (relative density at 20 °C: 1,84). Heat the flask, gently at first, until the whole of the fibre is destroyed, and then heat it more vigorously until the solution becomes clear and almost colourless. Heat it for a further 15 minutes. Allow the flask to cool, dilute the contents carefully with 10 - 20 ml water, cool, transfer the contents quantitatively to a 200 ml graduated flask and make up to volume with water to form the digest solution. Place about 20 ml of boric acid solution in a 100 ml conical flask and place the flask under the condenser of the Kjeldahl distillation apparatus so that the delivery tube dips just below the surface of the boric acid solution. Transfer exactly 10 ml of digest solution to the distillation flask, add not less than 5 ml of sodium hydroxide solution to the funnel, lift the stopper slightly and allow the sodium hydroxide solution to run slowly into the flask. If the digest solution and sodium hydroxide solution remain as two separate layers, mix them by gentle agitation. Heat the distillation flask gently and pass it into steam from the generator. Collect about 20 ml of distillate, lower the conical flask so that the tip of the delivery tube of the condenser is about 20 mm above the surface of the liquid and distil for 1 minute more. Rinse the tip of the delivery tube with water, catching the washings in the conical flask. Remove the conical flask and replace it with another conical flask containing roughly 10 ml of boric acid solution and collect about 10 ml distillate.

Titrate the two distillates separately with 0,02N sulphuric acid, use the mixed indicator. Record the total titre for the two distillates. If the titre for the second distillate is more than 0,2 ml, repeat the test and start the distillation again using a fresh aliquot of digest solution.

Carry out a blank determination, i.e. digestion and distillation using the reagents only.

6.   CALCULATION AND EXPRESSION OF RESULTS

6.1.   Calculate the percentage nitrogen content in the dry specimen as follows:

Formula

where

A

=

percentage nitrogen in the clean dry specimen,

V

=

total volume in ml of standard sulphuric acid used in the determination,

b

=

total volume in ml of standard sulphuric acid used in the blank determination,

N

=

normality of standard sulphuric acid,

W

=

dry mass (g) of specimen.

6.2.   Using the values of 0,22 % for the nitrogen content of jute and 16,2 % for the nitrogen content of animal fibre, both percentages being expressed on the dry mass of the fibre, calculate the composition of the mixture as follows:

Formula

where

PA %

=

percentage of animal fibre in the clean dry specimen.

7.   PRECISION

On a homogeneous mixture of textile materials, the confidence limits of results obtained by this method are not greater than ± 1 for a confidence level of 95 %.

METHOD No 13

POLYPROPYLENE FIBRES AND CERTAIN OTHER FIBRES

(Xylene method)

1.   FIELD OF APPLICATION

This method is applicable, after removal of non-fibrous matter, to binary fibre mixtures of:

1.

polypropylene fibres (37);

with

2.

wool (1), animal hair (2 and 3), silk (4), cotton (5), acetate (19), cupro (21), modal (22), triacetate (24), viscose (25), acrylic (26), polyamide or nylon (30), polyester (35), glass fibre (44), elastomultiester (45) and melamine (47).

2.   PRINCIPLE

The polypropylene fibre is dissolved out from a known dry mass of the mixture with boiling xylene. The residue is collected, washed, dried and weighed; its mass, corrected if necessary, is expressed as a percentage of the dry mass of the mixture. The percentage of polypropylene is found by difference.

3.   APPARATUS AND REAGENTS (other than those specified in the general instructions)

3.1.   Apparatus

(i)   Glass-stoppered conical flask of at least 200 ml capacity.

(ii)   Reflux condenser (suitable for liquids of high boiling point), fitting the conical flask (i).

(iii)   Heating mantle at boiling point of xylene.

3.2.   Reagent

Xylene distilling between 137 and 142 °C.

Note:

Xylene is highly flammable and has a toxic vapour. Suitable precautions must be taken in its use.

4.   TEST PROCEDURE

Follow the procedure described in the general instructions then proceed as follows:

 

To the specimen contained in the conical flask (3.1 (i)), add 100 ml of xylene (3.2) per gram of specimen. Attach the condenser (3.1 (ii)), bring the contents to the boil and maintain at boiling point for 3 minutes.

 

Immediately decant the hot liquid through the weighed filter crucible (see Note 1). Repeat this treatment twice more, each time using a fresh 50 ml portion of solvent.

 

Wash the residue remaining in the flask successively with 30 ml of boiling xylene (twice), then with 75 ml of light petroleum (I.3.2.1 of general instructions) (twice). After the second wash with light petroleum, filter the contents of the flask through the crucible, transfer any residual fibres to the crucible with the aid of a small quantity of light petroleum and allow the solvent to evaporate. Dry the crucible and residue, cool and weigh them.

Notes:

1.

The filter crucible through which the xylene is to be decanted must be pre-heated.

2.

After the treatment with boiling xylene, ensure that the flask containing the residue is cooled sufficiently before the light petroleum is introduced.

3.

In order to reduce the fire and toxicity hazards to the operator, a hot extraction apparatus using the appropriate procedures, giving identical results, may be used (13).

5.   CALCULATION AND EXPRESSION OF RESULTS

Calculate the results as described in the general instructions. The value of ‘d’ is 1,00, except for melamine, for which ‘d’ = 1,01.

6.   PRECISION

On a homogeneous mixture of textile materials, the confidence limits of results obtained by this method are not greater than ± 1 for a confidence level of 95 %.

METHOD No 14

CERTAIN FIBRES AND CHLOROFIBRES (HOMOPOLYMERS OF VINYL CHLORIDE), ELASTOLEFIN OR MELAMINE

(Concentrated sulphuric acid method)

1.   FIELD OF APPLICATION

This method is applicable, after removal of non-fibrous matter, to binary fibre mixtures of:

1.

cotton (5), acetate (19), cupro (21), modal (22), triacetate (24), viscose (25), certain acrylics (26), certain modacrylics (29), polyamide or nylon (30), polyester (35) and elastomultiester (45);

with

2.

chlorofibres (27) based on homopolymers of vinyl chloride, whether after-chlorinated or not, elastolefin (46) and melamine (47).

The modacrylics concerned are those which give a limpid solution when immersed in concentrated sulphuric acid (relative density at 20 °C: 1,84).

This method can be used in place of methods no 8 and 9.

2.   PRINCIPLE

The constituent other than the chlorofibre, the elastolefin or the melamine (i.e. the fibres mentioned in paragraph 1.1) is dissolved out from a known dry mass of the mixture with concentrated sulphuric acid (relative density at 20 °C: 1,84).

The residue, consisting of the chlorofibre, the elastolefin or the melamine, is collected, washed, dried and weighed; its mass, corrected if necessary, is expressed as a percentage of the dry mass of the mixture. The percentage of the second constituents is obtained by difference.

3.   APPARATUS AND REAGENTS (other than those specified in the general instructions)

3.1.   Apparatus

(i)   Glass-stoppered conical flask of at least 200 ml capacity.

(ii)   Glass rod with flattened end.

3.2.   Reagents

(i)   Sulphuric acid, concentrated (relative density at 20 °C: 1,84).

(ii)   Sulphuric acid, approximately 50 % (m/m) aqueous solution.

Prepare by adding carefully, while cooling, 400 ml of sulphuric acid (relative density at 20 °C: 1,84) to 500 ml of distilled or deionised water. After cooling to room temperature, dilute the solution to one litre with water.

(iii)   Ammonia, dilute solution.

Dilute 60 ml of concentrated ammonia solution (relative density at 20 °C: 0,880) to one litre with distilled water.

4.   TEST PROCEDURE

Follow the procedure described in the general instructions, then proceed as follows:

 

To the test specimen contained in the flask (3.1 (i)) add 100 ml of sulphuric acid (3.2 (i)) per gram of specimen.

 

Allow the contents of the flask to remain at room temperature for 10 minutes and during that time stir the test specimen occasionally by means of the glass rod. If a woven or knitted fabric is being treated, wedge it between the wall of the flask and the glass rod and exert a light pressure in order to separate the material dissolved by the sulphuric acid.

 

Decant the liquid through the weighed filter crucible. Add to the flask a fresh portion of 100 ml of sulphuric acid (3.2 (i)) and repeat the same operation. Transfer the contents of the flask to the filter crucible and transfer the fibrous residue there with the aid of the glass rod. If necessary, add a little concentrated sulphuric acid (3.2 (i)) to the flask in order to remove any fibres adhering to the wall. Drain the filter crucible with suction; remove the filtrate by emptying or changing the filter-flask, wash the residue in the crucible successively with 50 % sulphuric acid solution (3.2 (ii)), distilled or deionised water (I.3.2.3 of the general instructions), ammonia solution (3.2 (iii)) and finally wash thoroughly with distilled or deionised water, draining the crucible with suction after each addition. (Do not apply suction during the washing operation, but only after the liquid has drained off by gravity.) Dry the crucible and residue, cool and weigh them.

5.   CALCULATION AND EXPRESSION OF RESULTS

Calculate the results as described in the general instructions. The value of ‘d’ is 1,00, except for melamine, for which ‘d’ = 1,01.

6.   PRECISION

On a homogeneous mixture of textile materials, the confidence limits of results obtained by this method are not greater than ± 1 for a confidence level of 95 %.

METHOD No 15

CHLOROFIBRES, CERTAIN MODACRYLICS, CERTAIN ELASTANES, ACETATES, TRIACETATES AND CERTAIN OTHER FIBRES

(Method using cyclohexanone)

1.   FIELD OF APPLICATION

This method is applicable, after removal of non-fibrous matter, to binary fibre mixtures of:

1.

acetate (19), triacetate (24), chlorofibre (27), certain modacrylics (29), certain elastanes (43);

with

2.

wool (1), animal hair (2 and 3), silk (4), cotton (5), cupro (21), modal (22), viscose (25), polyamide or nylon (30), acrylic (26), glass fibre (44) and melamine (47).

Where modacrylics or elastanes are present a preliminary test must first be carried out to determine whether the fibre is completely soluble in the reagent.

It is also possible to analyse mixtures containing chlorofibres by using method No 9 or 14.

2.   PRINCIPLE

The acetate and triacetate fibres, chlorofibres, certain modacrylics, and certain elastanes are dissolved out from a known dry mass with cyclohexanone at a temperature close to boiling point. The residue is collected, washed, dried and weighed; its mass, corrected if necessary, is expressed as a percentage of the dry mass of the mixture. The percentage of chlorofibre, modacrylic, elastane, acetate and triacetate is found by difference.

3.   APPARATUS AND REAGENTS (other than those specified in the general instructions)

3.1.   Apparatus

(i)   Hot extraction apparatus suitable for use in the test procedure in section 4. (see figure: this is a variant of the apparatus described in Melliand Textilberichte 56 (1975) pp. 643 — 645).

(ii)   Filter crucible to contain the test specimen.

(iii)   Porous baffle (porosity grade 1).

(iv)   Reflux condenser that can be adapted to the distillation flask.

(v)   Heating device.

3.2.   Reagents

(i)   Cyclohexanone, boiling point 156 °C.

(ii)   Ethyl alcohol, 50 % by volume.

NB:

Cyclohexanone is flammable and toxic. Suitable precautions must be taken in its use.

4.   TEST PROCEDURE

Follow the procedure described in the general instructions and then proceed as follows:

 

Pour into the distillation flask 100 ml of cyclohexanone per gram of material, insert the extraction container in which the filter crucible, containing the specimen and the porous baffle, slightly inclined, have previously been placed. Insert the reflux condenser. Bring to the boil and continue extraction for 60 minutes at a minimum rate of 12 cycles per hour.

 

After extraction and cooling remove the extraction container, take out the filter crucible and remove the porous baffle. Wash the contents of the filter crucible three or four times with 50 % ethyl alcohol heated to about 60 °C and subsequently with 1 litre of water at 60 °C.

 

Do not apply suction during or between the washing operations. Allow the liquid to drain under gravity and then apply suction.

 

Finally, dry the crucible with the residue, cool and weigh them.

5.   CALCULATION AND EXPRESSION OF RESULTS

Calculate the results as described in the general instructions. The value of ‘d’ is 1,00 except in the case of silk and melamine for which ‘d’ = 1,01, and acrylic, for which ‘d’ = 0,98.

6.   PRECISION

On homogeneous mixtures of textile fibres, the confidence limits of results obtained by this method are not greater than ± 1 for a confidence level of 95 %.

Image

METHOD No 16

MELAMINE AND CERTAIN OTHER FIBRES

(Method using hot formic acid)

1.   FIELD OF APPLICATION

This method is applicable, after removal of non-fibrous matter, to binary fibre mixtures of:

1.

melamine (47);

with

2.

cotton (5) and aramid (31).

2.   PRINCIPLE

The melamine is dissolved out from a known dry mass of the mixture with hot formic acid (90 % m/m).

The residue is collected, washed, dried and weighed; its mass, corrected if necessary, is expressed as a percentage of the dry mass of the mixture. The percentage of the second constituents is obtained by difference.

Note:

Keep strictly the recommended temperature range because the solubility of melamine is very much dependent on temperature.

3.   APPARATUS AND REAGENTS (other than those specified in the general instructions)

3.1.   Apparatus

(i)   Glass-stoppered conical flask of at least 200 ml capacity.

(ii)   Shaking water bath or other apparatus to shake and maintain the flask at 90 ± 2 °C.

3.2.   Reagents

(i)   Formic acid (90 % m/m, relative density at 20 °C: 1,204). Dilute 890 ml of 98 to 100 % m/m formic acid (relative density at 20 °C: 1,220) to 1 litre with water.

Hot formic acid is very corrosive and must be handled with care.

(ii)   Ammonia, dilute solution: dilute 80 ml of concentrated ammonia solution (relative density at 20 °C: 0,880) to 1 litre with water.

4.   TEST PROCEDURE

Follow the procedure described in the general instructions, then proceed as follows:

To the test specimen contained in the glass-stoppered conical flask of at least 200 ml capacity, add 100 ml of formic acid per gram of specimen. Insert the stopper and shake the flask to wet out the specimen. Maintain the flask in a shaking water bath at 90 ± 2 °C for 1 hour, shaking it vigorously. Cool the flask to room temperature. Decant the liquid through the weighed filter crucible. Add 50 ml of formic acid to the flask containing the residue, shake manually and filter the contents of the flask through the filter crucible. Transfer any residual fibres to the crucible by washing out the flask with a little more formic acid reagent. Drain the crucible with suction and wash the residue with formic acid reagent, hot water, dilute ammonia solution, and finally cold water, draining the crucible with suction after each addition. Do not apply suction until each washing liquor has drained under gravity. Finally, drain the crucible with suction, dry the crucible and residue, and cool and weigh them.

5.   CALCULATION AND EXPRESSION OF RESULTS

Calculate the results as described in the general instructions. The value of ‘d’ is 1,02.

6.   PRECISION

On a homogeneous mixture of textile materials, the confidence limits of results obtained by this method are not greater than ± 2 for a confidence level of 95 %.

CHAPTER 3

Quantitative analysis of ternary textile fibre mixtures

INTRODUCTION

In general, the methods of quantitative chemical analysis are based on the selective solution of the individual components. There are four possible variants of this method:

1.

Using two different test specimens, a component (a) is dissolved from the first test specimen, and another component (b) from the second test specimen. The insoluble residues of each specimen are weighed and the percentage of each of the two soluble components is calculated from the respective losses in mass. The percentage of the third component (c) is calculated by difference.

2.

Using two different test specimens, a component (a) is dissolved from the first test specimen and two components (a and b) from the second test specimen. The insoluble residue of the first test specimen is weighed and the percentage of the component (a) is calculated from the loss in mass. The insoluble residue of the second test specimen is weighed; it corresponds to component (c). The percentage of the third component (b) is calculated by difference.

3.

Using two different test specimens, two components (a and b) are dissolved from the first test specimen and two components (b and c) from the second test specimen. The insoluble residues correspond to the two components (c) and (a) respectively. The percentage of the third component (b) is calculated by difference.

4.

Using only one test specimen, after removal of one of the components, the insoluble residue formed by the two other fibres is weighed and the percentage of the soluble component is calculated from the loss in mass. One of the two fibres of the residue is dissolved, the insoluble component is weighed and the percentage of the second soluble component is calculated from the loss in mass.

Where a choice is possible, it is advisable to use one of the first three variants.

Where chemical analysis is used, the expert responsible for the analysis must take care to select methods employing solvents which dissolve only the correct fibre(s), leaving the other fibre(s) intact.

By way of example, a table is given in section V which contains a certain number of ternary fibre mixtures, together with methods for analysing binary fibre mixtures which can, in principle, be used for analysing these ternary fibre mixtures.

In order to reduce the possibility of error to a minimum, it is recommended that, whenever possible, chemical analysis using at least two of the four abovementioned variants shall be made.

Before proceeding with any analysis, all the fibres present in the mixture must be identified. In some chemical methods, the insoluble component of a mixture may be partially dissolved in the reagent used to dissolve the soluble component(s). Wherever possible, reagents have been chosen that have little or no effect on the insoluble fibres. If a loss in mass is known to occur during the analysis, the result shall be corrected; correction factors are given for this purpose. These factors have been determined in several laboratories by treating, with the appropriate reagent as specified in the method of analysis, fibres cleaned by the pre-treatment. These correction factors apply only to undergraded fibres and different correction factors may be necessary if the fibres have been degraded before or during processing. If the fourth variant, in which a textile fibre is subjected to the successive action of two different solvents, must be used, correction factors must be applied for possible losses in mass undergone by the fibre in the two treatments. At least two determinations shall be made, both in the case of manual separation and in the case of chemical separation.

I.   General information on methods for the quantitative chemical analysis of ternary fibre mixtures

Information common to the methods given for the quantitative chemical analysis of ternary fibre mixtures.

I.1.   FIELD OF APPLICATION

The field of application of each method for analysing binary fibre mixtures specifies to which fibres the method is applicable. (see Chapter 2 relating to methods for quantitative analysis of certain binary textile fibre mixtures).

I.2.   PRINCIPLE

After the identification of the components of a mixture, the non-fibrous material is removed by suitable pre-treatment and then one or more of the four variants of the process of selective solution described in the introduction is applied. Except where this presents technical difficulties, it is preferable to dissolve the major fibre component so as to obtain the minor fibre component as final residue.

I.3.   MATERIALS AND EQUIPMENT

I.3.1.   Apparatus

I.3.1.1.   Filter crucibles and weighing bottles large enough to contain such crucibles, or any other apparatus giving identical results.

I.3.1.2.   Vacuum flask.

I.3.1.3.   Desiccator containing self-indicating silica gel.

I.3.1.4.   Ventilated oven for drying specimens at 105 ± 3 °C.

I.3.1.5.   Analytical balance, accurate to 0,0002 g.

I.3.1.6.   Soxhlet extractor or other apparatus giving identical results.

I.3.2.   Reagents

I.3.2.1.   Light petroleum, redistilled, boiling range 40 to 60 °C.

I.3.2.2.   Other reagents are specified in the appropriate sections of each method.

I.3.2.3.   Distilled or deionised water.

I.3.2.4.   Acetone.

I.3.2.5.   Orthophosphoric acid.

I.3.2.6.   Urea.

I.3.2.7.   Sodium bicarbonate.

All reagents used shall be chemically pure.

I.4.   CONDITIONING AND TESTING ATMOSPHERE

Because dry masses are determined, it is unnecessary to condition the specimen or to conduct analyses in a conditioned atmosphere.

I.5.   LABORATORY TEST SAMPLE

Take a laboratory test sample that is representative of the laboratory bulk sample and sufficient to provide all the specimens, each of at least 1 g, that are required.

I.6.   PRE-TREATMENT OF LABORATORY TEST SAMPLE (14)

Where a substance not to be taken into account in the percentage calculations (see Article 18) is present, it shall first be removed by a suitable method that does not affect any of the fibre constituents.

For this purpose, non-fibrous matter which can be extracted with light petroleum and water is removed by treating the laboratory test sample in a Soxhlet extractor with light petroleum for 1 hour at a minimum rate of six cycles per hour. Allow the light petroleum to evaporate from the laboratory test sample, which is then extracted by direct treatment consisting in soaking the laboratory test sample in water at room temperature for 1 hour and then soaking it in water at 65 ± 5 °C for a further hour, agitating the liquor from time to time. Use a liquor: laboratory test sample ratio of 100:1. Remove the excess water from the laboratory test sample by squeezing, suction or centrifuging and then allow the laboratory test sample to become air-dry.

In the case of elastolefin or fibre mixtures containing elastolefin and other fibres (wool, animal hair, silk, cotton, flax (or linen), true hemp, jute, abaca, alfa, coir, broom, ramie, sisal, cupro, modal, protein, viscose, acrylic, polyamide or nylon, polyester, elastomultiester) the procedure just described shall be slightly modified, in fact light petroleum ether shall be replaced by acetone.

Where non-fibrous matter cannot be extracted with light petroleum and water, it shall be removed by substituting for the water method described above a suitable method that does not substantially alter any of the fibre constituents. However, for some unbleached, natural vegetable fibres (e.g. jute, coir) it is to be noted that normal pre-treatment with light petroleum and water does not remove all the natural non-fibrous substances; nevertheless additional pre-treatment is not applied unless the sample contains finishes insoluble in both light petroleum and water.

Analysis reports shall include full details of the methods of pre-treatment used.

I.7.   TEST PROCEDURE

I.7.1.   General instructions

I.7.1.1.   Drying

Conduct all drying operations for not less than 4 hours and not more than 16 hours at 105 ± 3 °C in a ventilated oven with the oven door closed throughout. If the drying period is less than 14 hours, the specimen must be checkweighed to determine whether its mass is constant. The mass may be considered as constant if, after a further drying period of 60 minutes, its variation is less than 0,05 %.

Avoid handling crucibles and weighing bottles, specimens or residues with bare hands during the drying, cooling and weighing operations.

Dry specimens in a weighing bottle with its cover beside it. After drying, stopper the weighing bottle before removing it from the oven, and transfer it quickly to the desiccator.

Dry the filter crucible in a weighing bottle with its cover beside it in the oven. After drying, close the weighing bottle and transfer it quickly to the desiccator.

Where apparatus other than a filter crucible is used, drying operations shall be conducted in the oven so as to determine the dry mass of the fibres without loss.

I.7.1.2.   Cooling

Conduct all cooling operations in the desiccator, placed beside the balance, until the cooling of the weighing bottles is complete, and in any case for not less than 2 hours.

I.7.1.3.   Weighing

After cooling, complete the weighing of the weighing bottle within 2 minutes of its removal from the desiccator; weigh to an accuracy of 0,0002 g.

I.7.2.   Procedure

Take from the pre-treated laboratory test sample a test specimen of at least 1 g (in mass). Cut yarn or cloth into lengths of about 10 mm, dissected as much as possible. Dry the specimen in a weighing bottle, cool it in the desiccator and weigh it. Transfer the specimen to the glass vessel specified in the appropriate section of the Union method, reweigh the weighing bottle immediately and obtain the dry mass of the specimen by difference; complete the test as specified in the appropriate section of the applicable method. Examine the residue microscopically to check that the treatment has in fact completely removed the soluble fibre(s).

I.8.   CALCULATION AND EXPRESSION OF RESULTS

Express the mass of each component as a percentage of the total mass of fibre in the mixture. Calculate the results on the basis of dean dry mass, adjusted by (a) the agreed allowances and (b) the correction factors necessary to take account of loss of non-fibrous matter during pre-treatment and analysis.

I.8.1.   Calculation of percentages of mass of clean dry fibres disregarding loss of fibre mass during pre-treatment.

I.8.1.1.   VARIANT 1

Formulae to be applied where a component of the mixture is removed from one specimen and another component from a second specimen:

Formula

Formula

Formula

 

P1 % is the percentage of the first clean dry component (component in the first specimen dissolved in the first reagent);

 

P2 % is the percentage of the second clean dry component (component in the second specimen dissolved in the second reagent);

 

P3 % is the percentage of the third clean dry component (component undissolved in both specimens);

 

m1 is the dry mass of the first specimen after pre-treatment;

 

m2 is the dry mass of the second specimen after pre-treatment;

 

r1 is the dry mass of the residue after removal of the first component from the first specimen in the first reagent;

 

r2 is the dry mass of the residue after removal of the second component from the second specimen in the second reagent;

 

d1 is the correction factor for loss in mass in the first reagent, of the second component undissolved in the first specimen; (15)

 

d2 is the correction factor for loss in mass in the first reagent, of the third component undissolved in the first specimen;

 

d3 is the correction factor for loss in mass in the second reagent, of the first component undissolved in the second specimen;

 

d4 is the correction factor for loss in mass in the second reagent, of the third component undissolved in the second specimen.

I.8.1.2.   VARIANT 2

Formulae to be applied where a component (a) is removed from the first test specimen, leaving as residue the other two components (b + c), and two components (a + b) are removed from the second test specimen, leaving as residue the third component (c):

Formula

Formula

Formula

 

P1 % is the percentage of the first clean dry component (component in the first specimen dissolved in the first reagent);

 

P2 % is the percentage of the second clean dry component (component soluble, at the same time as the first component of the second specimen, in the second reagent);

 

P3 % is the percentage of the third clean dry component (component undissolved in both specimens);

 

m1 is the dry mass of the first specimen after pre-treatment;

 

m2 is the dry mass of the second specimen after pre-treatment;

 

r1 is the dry mass of the residue after removal of the first component from the first specimen in the first reagent;

 

r2 is the dry mass of the residue after removal of the first and second components from the second specimen in the second reagent;

 

d1 is the correction factor for loss in mass in the first reagent, of the second component undissolved in the first specimen;

 

d2 is the correction factor for loss in mass in the first reagent, of the third component undissolved in the first specimen;

 

d4 is the correction factor for loss in mass in the second reagent, of the third component undissolved in the second specimen.

I.8.1.3.   VARIANT 3

Formulae to be applied where two components (a + b) are removed from a specimen, leaving as residue the third component (c), then two components (b + c) are removed from another specimen, leaving as residue the first component (a):

Formula

Formula

Formula

 

P1 % is the percentage of the first clean dry component (component dissolved by the reagent);

 

P2 % is the percentage of the second clean dry component (component dissolved by the reagent);

 

P3 % is the percentage of the third clean dry component (component dissolved in the second specimen by the reagent);

 

m1 is the dry mass of the first specimen after pre-treatment;

 

m2 is the dry mass of the second specimen after pre-treatment;

 

r1 is the dry mass of the residue after the removal of the first and second components from the first specimen with the first reagent;

 

r2 is the dry mass of the residue after the removal of the second and third components from the second specimen with the second reagent;

 

d2 is the correction factor for loss in mass in the first reagent of the third component undissolved in the first specimen;

 

d3 is the correction factor for loss in mass in the second reagent of the first component undissolved in the second specimen.

I.8.1.4.   VARIANT 4

Formulae to be applied where two components are successively removed from the mixture using the same specimen:

Formula

Formula

Formula

 

P1 % is the percentage of the first clean dry component (first soluble component);

 

P2 % is the percentage of the second clean dry component (second soluble component);

 

P3 % is the percentage of the third clean dry component (insoluble component);

 

m is the dry mass of the specimen after pre-treatment;

 

r1 is the dry mass of the residue after elimination of the first component by the first reagent;

 

r2 is the dry mass of the residue after elimination of the first and second component by the first and second reagents;

 

d1 is the correction factor for loss in mass of the second component in the first reagent;

 

d2 is the correction factor for loss in mass of the third component in the first reagent;

 

d3 is the correction factor for loss in mass of the third component in the first and second reagents (16).

I.8.2.   Calculation of the percentage of each component with adjustment by agreed allowances and, where appropriate, correction factors for losses in mass during pre-treatment operations:

Given:

Formula Formula Formula

then:

Formula

Formula

Formula

 

P1A % is the percentage of the first clean dry component, including moisture content and loss in mass during pre-treatment;

 

P2A % is the percentage of the second clean dry component, including moisture content and loss in mass during pre-treatment;

 

P3A % is the percentage of the third clean dry component, including moisture content and loss in mass during pre-treatment;

 

P1 is the percentage of the first clean dry component obtained by one of the formulae given in I.8.1;

 

P2 is the percentage of the second clean dry component obtained by one of the formulae given in I.8.1;

 

P3 is the percentage of the third clean dry component obtained by one of the formulae given in I.8.1;

 

a1 is the agreed allowance of the first component;

 

a2 is the agreed allowance of the second component;

 

a3 is the agreed allowance of the third component;

 

b1 is the percentage of loss in mass of the first component during pre-treatment;

 

b2 is the percentage of loss in mass of the second component during pre-treatment;

 

b3 is the percentage of loss in mass of the third component during pre-treatment.

Where a special pre-treatment is used the values b1, b2 and b3 shall be determined, if possible, by submitting each of the pure fibre constituents to the pre-treatment applied in the analysis. Pure fibres are those free from all non-fibrous material except those which they normally contain (either naturally or because of the manufacturing process), in the state (unbleached, bleached) in which they are found in the material to be analysed.

Where no clean separate constituent fibres used in the manufacture of the material to be analysed are available, average values of b1, b2 and b3 as obtained from tests performed on clean fibres similar to those in the mixture under examination, must be used.

If normal pre-treatment by extraction with light petroleum and water is applied, correction factors b1, b2 and b3 may generally be ignored, except in the case of unbleached cotton, unbleached flax (or linen) and unbleached hemp where the loss due to pre-treatment is usually accepted as 4 % and in the case of polypropylene as 1 %.

In the case of other fibres, losses due to pre-treatment are usually disregarded in calculations.

Note:

Calculation examples are given in section IV.

II.   Method of quantitative analysis by manual separation of ternary fibre mixtures

II.1.   FIELD OF APPLICATION

This method is applicable to textile fibres of all types provided they do not form an intimate mixture and that it is possible to separate them by hand.

II.2.   PRINCIPLE

After identification of the textile components, the non-fibrous matter is removed by a suitable pre-treatment and then the fibres are separated by hand, dried and weighed in order to calculate the proportion of each fibre in the mixture.

II.3.   APPARATUS

II.3.1.   Weighing bottles or other apparatus giving identical results.

II.3.2.   Desiccator containing self-indicating silica gel.

II.3.3.   Ventilated oven for drying specimens at 105 ± 3 °C.

II.3.4.   Analytical balance accurate to 0,0002 g.

II.3.5.   Soxhlet extractor, or other apparatus giving identical results.

II.3.6.   Needle.

II.3.7.   Twist tester or similar apparatus.

II.4.   REAGENTS

II.4.1.   Light petroleum, redistilled, boiling range 40 to 60 °C.

II.4.2.   Distilled or deionised water.

II.5.   CONDITIONING AND TESTING ATMOSPHERE

See I.4.

II.6.   LABORATORY TEST SAMPLE

See I.5.

II.7.   PRE-TREATMENT OF LABORATORY TEST SAMPLES

See I.6.

II.8.   PROCEDURE

II.8.1.   Analysis of yarn

Take from the pre-treated laboratory test sample a specimen of mass not less than 1 g. For a very fine yarn, the analysis may be made on a minimum length of 30 m, whatever its mass.

Cut the yarn into pieces of a suitable length and separate the fibre types by means of a needle and, if necessary, a twist tester. The fibre types so obtained are placed in pre-weighed weighing bottles and dried at 105 ± 3 °C to constant mass, as described in I.7.1 and I.7.2.

II.8.2.   Analysis of cloth

Take from the pre-treated laboratory test sample a specimen of mass not less than 1 g, not including a selvedge with edges carefully trimmed to avoid fraying and running parallel with weft or warp yarns, or in the case of knitted fabrics in the line of the wales and courses. Separate the different types of fibres and collect them in pre-weighed weighing bottles and proceed as described in II.8.1.

II.9.   CALCULATION AND EXPRESSION OF RESULTS

Express the mass of each component fibre as a percentage of the total mass of the fibres in the mixture. Calculate the results on the basis of clean dry mass, adjusted by (a) the agreed allowances and (b) the correction factors necessary to take account of losses in mass during pre-treatment operations.

II.9.1.   Calculation of percentage masses of clean dry fibre, disregarding loss in fibre mass during pre-treatment:

Formula

Formula

Formula

 

P1 % is the percentage of the first clean dry component;

 

P2 % is the percentage of the second clean dry component;

 

P3 % is the percentage of the third clean dry component;

 

m1 is the clean dry mass of the first component;

 

m2 is the clean dry mass of the second component;

 

m3 is the clean dry mass of the third component.

II.9.2.   For calculation of the percentage of each component with adjustment by agreed allowances and, where appropriate, by correction factors for losses in mass during pre-treatment:

see I.8.2.

III.   Method of quantitative analysis of ternary fibre mixtures by a combination of manual separation and chemical separation

Wherever possible, manual separation shall be used, taking account of the proportions of components separated before proceeding to any chemical treatment of each of the separate components.

III.1.   PRECISION OF THE METHODS

The precision indicated in each method of analysis of binary fibre mixtures relates to the reproducibility (see Chapter 2 relating to methods for quantitative analysis of certain binary textile fibre mixtures).

Reproducibility refers to the reliability, i.e. the closeness of agreement between experimental values obtained by operators in different laboratories or at different times using the same method and obtaining individual results on specimens of an identical homogeneous mixture.

Reproducibility is expressed by confidence limits of the results for a confidence level of 95 %.

By this is meant that the difference between two results in a series of analyses made in different laboratories would, given a normal and correct application of the method to an identical and homogeneous mixture, exceed the confidence limit only in 5 cases out of 100.

To determine the precision of the analysis of a ternary fibre mixture the values indicated in the methods for the analysis of binary fibre mixtures which have been used to analyse the ternary fibre mixture are applied in the usual way.

Given that in the four variants of the quantitative chemical analysis of ternary fibre mixtures, provision is made for two dissolutions (using two separate specimens for the first three variants and a single specimen for the fourth variant) and, assuming that E1 and E2 denote the precision of the two methods for analysing binary fibre mixtures, the precision of the results for each component is shown in the following table:

Component fibre

Variants

1

2 and 3

4

a

E1

E1

E1

b

E2

E1+E2

E1+E2

c

E1+E2

E2

E1+E2

If the fourth variant is used, the degree of precision may be found to be lower than that calculated by the method indicated above, owing to possible action of the first reagent on the residue consisting of components b and c, which would be difficult to evaluate.

III.2.   TEST REPORT

III.2.1.   Indicate the variant(s) used to carry out the analysis, the methods, reagents and correction factors.

III.2.2.   Give details of any special pre-treatments (see I.6).

III.2.3.   Give the individual results and the arithmetic mean, each to the first decimal place.

III.2.4.   Wherever possible, state the precision of the method for each component, calculated according to the table in section III.1.

IV.   Examples of the calculation of percentages of the components of certain ternary fibre mixtures using some of the variants described in point I.8.1.

Consider the case of a fibre mixture which gave the following components when qualitatively analysed for raw material composition: 1. carded wool; 2. nylon (polyamide); 3. unbleached cotton.

VARIANT No. 1

Using this variant, that is using two different specimens and removing one component (a = wool) by dissolution from the first specimen and a second component (b = polyamide) from the second specimen, the following results can be obtained:

1.

Dry mass of the first specimen after pre-treatment is (m1) = 1,6000 g

2.

Dry mass of the residue after treatment with alkaline sodium hypochlorite (polyamide+cotton) (r1) = 1,4166 g

3.

Dry mass of the second specimen after pre-treatment (m2) = 1,8000 g

4.

Dry mass of the residue after treatment with formic acid (wool+cotton)

(r2) = 0,9000 g

Treatment with alkaline sodium hypochlorite does not entail any loss in mass of polyamide, while unbleached cotton loses 3 %, therefore d1 = 1,00 and d2 = 1,03.

Treatment with formic acid does not entail any loss in mass for wool or unbleached cotton, therefore d3 and d4 = 1,00.

If the values obtained by chemical analysis and the correction factors are substituted in the formula under I.8.1.1., the following result is obtained:

 

P1 % (wool) = [1,03/1,00 – 1,03 × 1,4166/1,6000 + (0,9000/1,8000) × (1 – 1,03/1,00)] × 100 = 10,30

 

P2 % (polyamide) = [1,00/1,00 – 1,00 × 0,9000/1,8000 + (1,4166/1,6000) × (1– 1,00/1,00)] × 100 = 50,00

 

P3 % (cotton) = 100–(10,30 + 50,00) = 39,70

The percentages of the various clean dry fibres in the mixture are as follows:

wool

10,30 %

polyamide

50,00 %

cotton

39,70 %

These percentages must be corrected according to the formulae under I.8.2., in order to take account of the agreed allowances and the correction factors for any losses in mass after pre-treatment.

As indicated in Annex IX, the agreed allowances are as follows: carded wool 17,00 %, polyamide 6,25 %, cotton 8,50 %, also unbleached cotton shows a loss in mass of 4 %, after pre-treatment with light petroleum and water.

Therefore:

 

P1A % (wool) = 10,30 × [1 + (17,00 + 0,0)/100] / [10,30 × (1 + (17,00 + 0,0)/100) + 50,00 × (1 + (6,25 + 0,0)/100) + 39,70 × (1 + (8,50 + 4,0)/100)] × 100 = 10,97

 

P2A % (polyamide) = 50,0 × [(1 + (6,25 + 0,0)/100)/109,8385] × 100 = 48,37

 

P3A % (cotton) = 100 – (10,97 + 48,37) = 40,66

The raw material composition of the yarn is therefore as follows:

polyamide

48,4 %

cotton

40,6 %

wool

11,0 %

 

100,0 %

VARIANT No 4

Consider the case of a fibre mixture which when qualitatively analysed gave the following components: carded wool, viscose, unbleached cotton.

Suppose that using variant 4, that is successively removing two components from the mixture of one single specimen, the following results are obtained:

1.

Dry mass of the specimen after pre-treatment (m) = 1,6000 g

2.

Dry mass of the residue after treatment with alkaline sodium hypochlorite (viscose+cotton) (r1) = 1,4166 g

3.

Dry mass of the residue after the second treatment of the residue r1 with zinc chloride/formic acid (cotton) (r2) = 0,6630 g

Treatment with alkaline sodium hypochlorite does not entail any loss in mass of viscose, while unbleached cotton loses 3 %, therefore d1 = 1,00 and d2 = 1,03.

As a result of treatment with formic acid-zinc chloride, the mass of cotton increases by 4 %, so that d3 = 1,03 × 0,96 = 0,9888, rounded to 0,99, (d3 being the correction factor for the respective loss or increase in mass of the third component in the first and second reagents).

If the values obtained by chemical analysis and the correction factors are substituted in the formulae given in I.8.1.4, the following result is obtained:

 

P2 % (viscose) = 1,00 × (1,4166 / 1,6000) × 100 – (1,00 / 1,03) × 41,02 = 48,71 %

 

P3 % (cotton) = 0,99 × (0,6630 / 1,6000) × 100 = 41,02 %

 

P1 % (wool) = 100 – (48,71 + 41,02) = 10,27 %

As has already been indicated for Variant 1, these percentages must be corrected by the formulae indicated in point I.8.2.

 

P1A % (wool) = 10,27 × [1 + (17,0 + 0,0) / 100)]/[10,27 × (1 + (17,00 + 0,0)/100) + 48,71 × (1 + (13 + 0,0) / 100) + 41,02 × (1 + (8,5 + 4,0)/ 100)] × 100 = 10,61 %

 

P2A % (viscose) = 48, 71 × [1 + (13 + 0,0) / 100] / 113,2057 × 100 = 48,62 %

 

P3A % (cotton) = 100 – (10,61 + 48,62) = 40,77 %

The raw material composition of the mixture is therefore as follows:

viscose

48,6 %

cotton

40,8 %

wool

10,6 %

 

100,0 %

V.   Table of typical ternary fibre mixtures which may be analysed using Union methods of analysis of binary fibre mixtures (for illustration purposes)

Mixture No

Component fibres

Variant

Number of method used and reagent for binary fibre mixtures

Component 1

Component 2

Component 3

1.

wool or hair

viscose, cupro or certain types of modal

cotton

1 and/or 4

2. (hypochlorite) and 3. (zinc chloride/formic acid)

2.

wool or hair

polyamide or nylon

cotton, viscose, cupro or modal

1 and/or 4

2. (hypochlorite) and 4. (formic acid, 80 % m/m)

3.

wool, hair or silk

certain other fibres

viscose, cupro modal or cotton

1 and/or 4

2. (hypochlorite) and 9 (carbon disulphide/acetone 55,5/44,5 % v/v)

4.

wool or hair

polyamide or nylon

polyester, polypropylene, acrylic or glass fibre

1 and/or 4

2. (hypochlorite) and 4. (formic acid, 80 % m/m)

5.

wool, hair or silk

certain other fibres

polyester, acrylic, polyamide or nylon or glass fibre

1 and/or 4

2. (hypochlorite) and 9. (carbon disulphide/acetone 55,5/44,5 % v/v)

6.

silk

wool or hair

polyester

2

11. (sulphuric acid 75 % m/m) and 2. (hypochlorite)

7.

polyamide or nylon

acrylic or certain other fibres

cotton, viscose, cupro or modal

1 and/or 4

4. (formic acid 80 % m/m) and 8. (dimethylformamide)

8.

certain chlorofibres

polyamide or nylon

cotton, viscose, cupro or modal

1 and/or 4

8. (dimethylformamide) and 4. (formic acid, 80 % m/m)

or 9. (carbon disulphide/acetone, 55,5/44,5 % v/v) and 4. (formic acid, 80 % m/m)

9.

acrylic

polyamide or nylon

polyester

1 and/or 4

8. (dimethylformamide) and 4. (formic acid, 80 % m/m)

10.

acetate

polyamide or nylon or certain other fibres

viscose, cotton, cupro or modal

4

1. (acetone) and 4. (formic acid, 80 % m/m)

11.

certain chlorofibres

acrylic or certain other fibres

polyamide or nylon

2 and/or 4

9. (carbon disulphide/acetone 55,5/44,5 % v/v) and 8. (dimethylformamide)

12.

certain chlorofibres

polyamide or nylon

acrylic

1 and/or 4

9. (carbon disulphide/acetone 55,5/44,5 % v/v and 4. (formic acid, 80 % m/m)

13.

polyamide or nylon

viscose, cupro, modal or cotton

polyester

4

4. (formic acid, 80 % m/m) and 7. (sulphuric acid, 75 % m/m)

14.

acetate

viscose, cupro, modal or cotton

polyester

4

1. (acetone) and 7 (sulphuric acid, 75 % m/m)

15.

acrylic

viscose, cupro, modal or cotton

polyester

4

8. (dimethylformamide) and 7. (sulphuric acid, 75 % m/m)

16.

acetate

wool, hair or silk

cotton, viscose, cupro, modal, polyamide or nylon, polyester, acrylic

4

1. (acetone) and 2. (hypochlorite)

17.

triacetate

wool, hair or silk

cotton, viscose, cupro, modal, polyamide or nylon, polyester, acrylic

4

6. (dichloromethane) and 2. (hypochlorite)

18.

acrylic

wool, hair or silk

polyester

1 and/or 4

8. (dimethylformamide) and 2. (hypochlorite)

19.

acrylic

silk

wool or hair

4

8. (dimethylformamide) and 11. (sulphuric acid 75 % m/m)

20.

acrylic

wool or hair silk

cotton, viscose, cupro or modal

1 and/or 4

8. (dimethylformamide) and 2 (hypochlorite)

21.

wool, hair or silk

cotton, viscose, modal, cupro

polyester

4

2. (hypochlorite) and 7. (sulphuric acid 75 % m/m))

22.

viscose, cupro or certain types of modal

cotton

polyester

2 and/or 4

3. (zinc chloride/formic acid) and 7. (sulphuric acid 75 % m/m)

23.

acrylic

viscose, cupro or certain types of modal

cotton

4

8. (dimethylformamide) and 3 (zinc chloride/formic acid)

24.

certain chlorofibres

viscose, cupro or certain types of modal

cotton

1 and/or 4

9. (carbon disulphide/acetone, 55,5/44,5 % v/v) and 3. (zinc chloride/formic acid) or 8. (dimethylformamide) and 3. (zinc chloride/formic acid)

25.

acetate

viscose, cupro or certain types of modal

cotton

4

1. (acetone) and 3. (zinc chloride/formic acid)

26.

triacetate

viscose, cupro or certain types of modal

cotton

4

6. (dichloromethane) and 3. (zinc chloride/formic acid)

27.

acetate

silk

wool or hair

4

1. (acetone) and 11. (sulphuric acid 75 % m/m)

28.

triacetate

silk

wool or hair

4

6. (dichloromethane) and 11. (sulphuric acid 75 % m/m)

29.

acetate

acrylic

cotton, viscose, cupro or modal

4

1. (acetone) and 8. (dimethylformamide)

30.

triacetate

acrylic

cotton, viscose, cupro or modal

4

6. (dichloromethane) and 8. (dimethylformamide)

31.

triacetate

polyamide or nylon

cotton, viscose, cupro or modal

4

6. (dichloromethane) and 4. (formic acid 80 % m/m)

32.

triacetate

cotton, viscose, cupro or modal

polyester

4

6. (dichloromethane) and 7. (sulphuric acid 75 % m/m)

33.

acetate

polyamide or nylon

polyester or acrylic

4

1. (acetone) and 4. (formic acid 80 % m/m)

34.

acetate

acrylic

polyester

4

1. (acetone) and 8. (dimethylformamide)

35.

certain chlorofibres

cotton, viscose, cupro or modal

polyester

4

8. (dimethylformamide) and 7. (sulphuric acid 75 % m/m)

or 9 (carbon disulphide/acetone, 55,5/44,5 % v/v) and 7. (sulphuric acid 75 % m/m)

36.

cotton

polyester

elastolefin

2 and/or 4

7. (sulphuric acid 75 % m/m) and 14. (concentrated sulphuric acid)

37.

certain modacrylics

polyester

melamine

2 and/or 4

8. (dimethylformamide) and 14. (concentrated sulphuric acid)]


(1)  In some cases it is necessary to pre-treat the individual test specimen.

(2)  For made-up and finished articles see Section 7.

(3)  See point 1.

(4)  The laboratory carder may be replaced by a fibre blender, or the fibres may be mixed by the method of ‘tufts and rejects’.

(5)  If the packages can be mounted in a convenient creel a number can be wound simultaneously.

(6)  Method 12 is an exception. It is based on a determination of the content of a constituent substance of one of the two components.

(7)  See Chapter 1.1.

(8)  To ensure that the fibrous residue is immersed in the ammonia solution for 10 minutes, one may, for example, use a filter crucible adaptor fitted with a tap by which the flow of the ammonia solution can be regulated.

(9)  The solubility of such modacrylics or chlorofibres in the reagent shall be checked before carrying out the analysis.

(10)  Before carrying out the analysis, the solubility of the polyvinyl chloride fibres in the reagent shall be checked.

(11)  Wild silks, such as tussah silk, are not completely soluble in 75 % m/m sulphuric acid.

(12)  These reagents should be nitrogen-free.

(13)  See for example the apparatus described in Melliand Textilberichte 56 (1975), pp. 643-645.

(14)  See Chapter 1.1.

(15)  The values of d are indicated in Chapter 2 of this Annex relating to the various methods of analysing binary mixtures.

(16)  Wherever possible d3 should be determined in advance by experimental methods.


ANNEX IX

Agreed allowances used to calculate the mass of fibres contained in a textile product

(referred to in Article 18(3))

Fibre No

Fibres

Percentages

1—2

Wool and animal hair:

 

combed fibres

18,25

carded fibres

17,00 (1)

3

Animal hair:

 

combed fibres

18,25

carded fibres

17,00 (1)

Horsehair:

 

combed fibres

16,00

carded fibres

15,00

4

Silk

11,00

5

Cotton:

 

normal fibres

8,50

mercerised fibres

10,50

6

Kapok

10,90

7

Flax (or linen)

12,00

8

True hemp

12,00

9

Jute

17,00

10

Abaca

14,00

11

Alfa

14,00

12

Coir

13,00

13

Broom

14,00

14

Ramie (bleached fibre)

8,50

15

Sisal

14,00

16

Sunn

12,00

17

Henequen

14,00

18

Maguey

14,00

19

Acetate

9,00

20

Alginate

20,00

21

Cupro

13,00

22

Modal

13,00

23

Protein

17,00

24

Triacetate

7,00

25

Viscose

13,00

26

Acrylic

2,00

27

Chlorofibre

2,00

28

Fluorofibre

0,00

29

Modacrylic

2,00

30

Polyamide or nylon:

 

discontinuous fibre

6,25

filament

5,75

31

Aramid

8,00

32

Polyimide

3,50

33

Lyocell

13,00

34

Polylactide

1,50

35

Polyester

1,50

36

Polyethylene

1,50

37

Polypropylene

2,00

38

Polycarbamide

2,00

39

Polyurethane:

 

discontinuous fibre

3,50

filament

3,00

40

Vinylal

5,00

41

Trivinyl

3,00

42

Elastodiene

1,00

43

Elastane

1,50

44

Glass fibre:

 

with an average diameter of over 5 μm

2,00

with an average diameter of 5 μm or less

3,00

45

Elastomultiester

1,50

46

Elastolefin

1,50

47

Melamine

7,00

48

Metal fibre

2,00

Metallised fibre

2,00

Asbestos

2,00

Paper yarn

13,75


(1)  The agreed allowances of 17,00 % shall also be applied where it is impossible to ascertain whether the textile product containing wool and/or animal hair is combed or carded.


ANNEX X

Correlation tables

Directive 2008/121/EC

This Regulation

Article 1(1)

Article 4

Article 1(2)(d)

Article 2(3)

Article 2(1)

Article 3(1)

Article 2(2) introductory wording

Article 2(2) introductory wording

Article 2(2)(a)

Article 2(2)(a)

Article 2(2)(b)

Article 2(2)(b) and (c)

Article 2(2)(c)

Article 2(2)(d)

Article 3

Article 5

Article 4

Article 7

Article 5

Article 8

Article 6(1) to (4)

Article 9

Article 6(5)

Article 19

Article 7

Article 10

Article 8(1)

Article 13(1)

Article 8(2)

Article 15(1)

Article 8(3)

Article 15(2)

Article 8(4)

Article 15(3)

Article 8(5)

Article 9(1)

Article 11(1) and (2)

Article 9(2)

Article 11(3)

Article 9(3)

Article 12 and Annex IV

Article 10(1)(a)

Article 16(2)

Article 10(1)(b)

Article 16(3)

Article 10(1)(c)

Article 16(4)

Article 10(2)

Article 16(5)

Article 11

Article 14(4)

Article 12

Article 18(2) and Annex VII

Article 13(1)

Article 18(1)

Article 13(2)

Article 14(1)

Article 14(2)

Article 15

Article 20

Article 16

Article 17

Article 18

Article 19

Article 20

Annex I

Annex I

Annex II

Annex III

Annex III

Annex V

Annex III point 36

Article 3(1)(j)

Annex IV

Annex VI

Annex V

Annex IX

Annex VI

Annex VII


Directive 96/73/EC

This Regulation

Article 1

Article 1

Article 2

Annex VIII Chapter 1 Section I(2)

Article 3

Article 18(1)

Article 4

Article 18(4)

Article 5

Article 20

Article 6

Article 7

Article 8

Article 9

Annex I

Annex VIII Chapter 1 Section I

Annex II(1) introduction

Annex VIII Chapter 1 Section II

Annex II(1) Sections I, II and III

Annex VIII Chapter 2 Sections I, II and III

Annex II(2)

Annex VIII Chapter 2 Section IV


Directive 73/44/EEC

This Regulation

Article 1

Article 1

Article 2

Annex VIII Chapter 1 Section I

Article 3

Article 18(1)

Article 4

Article 18(4)

Article 5

Article 20

Article 6

Article 7

Annex I

Annex VIII Chapter 3 introduction and Sections I to IV

Annex II

Annex VIII Chapter 3 Section V

Annex III

Annex VIII Chapter 3 Section VI


STATEMENT OF THE COUNCIL'S REASONS

I.   INTRODUCTION

On 2 February 2009, the Commission presented its proposal for a Regulation of the European Parliament and the Council on textile names and related labelling of textile products (1). The proposal was originally based on Article 95 of the Treaty (2). It was accompanied by an Impact Assessment.

The European Parliament delivered its opinion at first reading on 18 May 2010 (3).

The Economic and Social Committee has delivered its opinion on 16 December 2009 (4).

On 13 September 2010, the Council confirmed a political agreement with a view to an adoption of a Position at first reading at a later stage in accordance with Article 294(5) TFEU.

On 6 December 2010 the Council adopted its Position at first reading on the proposal as set out in doc. 13807/10.

II.   OBJECTIVE

The objective of the above-mentioned proposal was to merge and to simplify three existing Directives on Textile Names and Labelling (5). In doing so, the existing regulatory framework for the development and uptake of novel textile fibres should be improved, with a view to encouraging innovation in the textile and clothing sector and to allowing fibre users and consumers to benefit faster from innovative products.

The proposed regulation should also enhance the transparency of the process to add new fibres to the list of harmonised fibre names and should introduce more flexibility to adapt legislation through delegated acts in order to keep up with the needs of the technological developments expected in the textiles industry.

It was not the aim of the original Commission proposal to extend existing EU legislation to other issues on labelling requirements beyond the fibre composition and the harmonisation of textile fibre names covered by the existing Directives.

III.   ANALYSIS OF THE COUNCIL'S POSITION AT FIRST READING  (6)

1.    General

The text on which a political agreement was reached in the Council maintains all the objectives of the Commission proposal. It mainly took on board those amendments adopted by the European Parliament in first reading which are compatible with the original objective of the proposal. The new features introduced during the negotiations in the Council Working Party concern the definition of agreed allowances, some technical clarification and updating in the annexes and a transitional provision for textile products being in stock and fulfilling all requirements of the current Directives.

Furthermore, a new element introduced by the Council is the set of provisions transferring the Regulatory Procedure with Scrutiny (PRAC) into the new procedure for ‘delegated acts’ according to the Lisbon Treaty (TFEU).

2.    EP amendments

At its first reading the European Parliament has adopted 63 amendments to the text, (7) among which the amendments 9 and 26, amendments 10 and 11, amendments 12, 47, 48, 49, 50, 51 together, amendments 13 and 31 as well as amendments 53, 54, 55 and 56 can each be treated as combined amendments, given that they arise out of logical consequence or cover the same subject. During the negotiations in the Working Party, the Council scrutinised the EP amendments at a number of occasions. In the end, the Council accepted the majority of the EP amendments (40) at least in part, some of them in substance, some also in exact wording. 23 amendments by the EP were finally rejected by the Council.

2.1.   EP amendments accepted by the Council and integrated into the text of the Position at first reading

Amendments 1, 3, 6, 8, 15, 17, 22, 34, 35, 39, 40, 41, 42, 46, 52, 57, 61 were incorporated into the Council text practically in exact wording, given that the Council supported more or less the justification as evoked by the European Parliament.

2.2.   EP amendments accepted in principle or partly, but introduced to the text with modifications

Amendment 2 — Recital 2 (Union legislation; Fibre names)

The amendment is of editorial nature and as such not particularly controversial. The Council text currently incorporates only part of it.

Amendment 5 — Recital 9, now: recital 10 (Making available on the market)

The Council took the view that an alignment along the lines of the EP amendment is not indispensable for the wording of a recital.

Amendment 7 — Recital 12, now: recital 13 (Adaptation of uniform methods to technical progress)

The Council shares the spirit of the amendment but is of the opinion that its own text is better drafted than the EP amendment.

Amendment 10 and 11 — Recitals 17 and 18 (Adaptation of recitals to ‘delegated acts’)

The Council supported the principle of the EP amendments in order to adapt the current proposal to the new legal situation concerning ‘delegated acts’ following the Lisbon Treaty. While recital 17 has been deleted as suggested in the EP amendment, the new wording of recital 18 differs from the EP wording, however mainly for editorial reasons.

Amendment 14 — Recital 19b (new) (Reporting on new labelling requirements for the future)

The Council acknowledged that the EP is interested in new labelling requirements for the future which might then reflect the interests of industry and consumers as well as technical developments but which cannot yet be realised within the current legal act. The Council however thinks that any routes for future legal activity could be explored via the general reporting requirement for the Commission under Article 21, now: Article 24. This notwithstanding, a recital with a shorter wording might find more support by the Council.

Amendment 16 — Article 1 (Subject-matter)

The Council is in favour of the spirit and most parts of the EP amendment. However, regarding the purpose of the regulation the wording ‘functioning of the internal market’ is preferred by the Council as being more comprehensive and exact for a piece of Community harmonisation legislation compared to the suggested wording of the amendment ‘free circulation’.

Amendment 21 — Article 3 (Definition of ‘labelling’)

At this stage, the Council uses two different definitions for ‘labelling’ and ‘marking’ while the provisions and requirements of this Regulation do — as a rule — apply for both of them. The Council used this procedure for reasons of clarity. The EP amendment seeks to subsume the notion of marking into the overall concept of ‘labelling’ in order to make the other references in the text easier to read. In the end, the difference seems of editorial nature, as only for the concept of ‘inclusive labelling’ the described ways of marking do normally not come into play, which does not however pose any problems in legal terms.

Amendment 23 — Article 4 (General rules for placing on the market)

The Council accepted the amendment in part. One of the two differences between the Council text and the EP amendment simply logically follows from the utilisation of ‘marking’ in the Council text (see amendment 21); the other one is of editorial nature only.

Amendment 25 — Article 5 (Textile fibre names)

The Council accepted the spirit of the EP amendment but prefers its own wording, the difference being rather of an editorial nature.

Amendment 27 — Article 7 (2) (Pure textile products)

The Council supports the intention and the main parts of the EP amendment, but would furthermore insist on a clarifying link to Article 8 (‘Fleece or virgin wool products’).

Amendment 29 — Article 8 (3) (Extraneous fibres present in wool)

The Council supported most parts of the EP amendment but prefers a clarification in the end of the paragraph in line with the wording of Article 7 and Article 18 (now: Article 19).

Amendment 32 — Article 11, now: Article 13 (Labelling)

The Council accepted large parts of this amendment. However, concerning the terms ‘normal period of use’ and ‘minimise discomfort’, the Council prefers to leave them out of the article, because they do not seem to be legally enforceable.

Amendment 33 — Article 11, now: Article 14 (Responsibility for labelling information)

The Council accepted most of the EP amendment and its spirit behind. Concerning the exact wording and the logical order of paragraphs the Council would however consider its own text more appropriate.

Amendment 36 — Article 12(2), now: Article 15(1) (Visibility and legibility of information)

The Council accepted most of the wording suggested in the amendment, leaving out only the references to ‘letter/number size, style’.

Amendment 43 — Article 17(2), now: Article 18 (Determination of fibre composition)

The Council accepted the amendment but introduced the whole paragraph as the first paragraph of a new, separate article ‘Determination of fibre composition’.

Amendment 44 — Article 17(2) new subparagraph 2a, now: Article 18 (Non-considerations of items listed in Annex VII)

The Council accepted the amendment but introduced the whole paragraph as the second paragraph of a new, separate article ‘Determination of fibre composition’.

Amendment 45 — Article 17(3), now: Article 18 (Methods used by laboratories)

The Council accepted the second part of the amendment which serves mainly clarification purposes. The first part which aims at requiring an accreditation for every laboratory that fulfils this service function for the authorities was rejected as being too restrictive and too burdensome.

Amendments 53, 54, 55 and 56 — Articles 19-19c, now: Article 20-23 (Provisions on delegated acts)

The Council accepted the spirit and most of the wording of these amendments being necessary as a consequence of the Lisbon Treaty. In certain parts of these articles the Council however considered its own wording as more appropriate, for example regarding the expiry date of the delegation of powers. For those material issues where the Council did not accept the insertion in the articles anyway, the possibility of delegated acts had to be left out consequentially.

Amendment 60 — Article 21a, now: Article 25 (Transitional provision)

While the material difference between the Council text and the EP amendment is minor, the Council takes the view that its own wording is legally clearer.

2.3.   Amendments being rejected and thus not integrated into the Council text

Amendments 9 and 26 — Recital 16, now: recital 17 and Article 6 (1) (Representative of the manufacturer)

The Council considers its own wording for the recital and the article to be clearer. In view of the EP, the word ‘representative’ apparently does not restrict the meaning to ‘authorised representative’ as a specific economic operator, however, the Council prefers its own wording ‘person acting on his behalf’ as being clearer in this regard. The EP amendments are not fully consistent.

Amendments 12, 47, 48, 49, 50, 51 — Recital 18a new; Articles 18a-18d (new) (Country-of-origin labelling)

The Council did not support an obligatory country-of-origin labelling. First, the topic seems to fall outside the scope of this regulation dealing with textile names and the consolidation of obligations which are already present in current law. Secondly, the country-of-origin labelling would somewhat interfere with proposals for horizontal legal acts where an overall solution to the problem is currently being searched for.

Amendment 66 — Recital 18b (new) (Relationship between country-of-origin labelling in this legal act and in other legal acts)

Although the wording of the recital as such would not pose any problems of substance, it had to be rejected as a consequence of rejecting amendments 12, 47-51 on mandatory country-of-origin labelling. The recital might be acceptable, if it would have been linked to a more voluntary scheme of country-of-origin labelling.

Amendments 13 and 31 — Recital 19a and Article 10a (new) (Animal-derived products)

The Council rejected these amendments. Neither the scope and purpose of these provisions is very clear, nor is the legal drafting satisfactory. The category of animal-derived fibres would show an overlap with several fibres already integrated in Annex I and being subject to far more exact labelling provisions under current law. On the other hand, obligatory labelling of non-fibrous animal material would be clearly outside the scope of this regulation, while the term ‘non-textile’ material is not defined at all. A direct protection of certain endangered species can probably not be achieved by such a too generic provision. All-in-all, the justification for these amendments can be better validated through Member State provisions.

Amendment 19 — Article 2(2)(da) (new) (Custom-made articles)

The Council considered the amendment and the possible burden for producers of individual articles that arises from labelling. However, given that sufficient consumer information should also be a valid concern for custom-made articles and that there is in the meantime a growing market of mass-customised articles, a total exemption of custom-made articles from the requirements of this Regulation did not find support in the Council.

Amendment 24 — Article 4(2) (Safeguard clause)

The Council deleted the whole paragraph as misleading and not indispensable as a provision within this Regulation. It was thus technically impossible to integrate the amendment by the European Parliament.

Amendment 30 — Article 9 (Multi-fibre products)

The Council rejected the amendment as it preferred to stick closer to the Commission proposal.

Amendment 72 — Article 12(4), first sub-paragraph, now: Article 15(3) (Language provision and symbols)

The Council rejected the amendment. Firstly, the Council provision on ‘language’ gives more freedom to certain Member States to allow also other languages than the official one(s); secondly the Council had severe problems in accepting language-independent symbols which are currently neither harmonised nor well-known to customers.

Amendment 37 — Article 12(4) second-sub-paragraph; now: Article 15(3) (Provision on inclusive labelling)

The Council rejected this amendment for the same reasons as amendment 72.

Amendment 38 — Article 12(4) new sub-paragraph, now: Article 15(3) (Delegated acts for ‘symbols’)

The Council rejected this amendment as a consequence of rejecting amendments 72 and 37.

Amendment 58 — Article 20a (new) (Review)

The Council did not integrate this amendment into the text for the time being. While several items mentioned in this rather long review clause do indeed merit consideration, it appeared appropriate to discuss the whole amendment within an overall ‘package’ on the material content and scope of the regulation. It could also be considered that some of the content is more appropriate for a recital.

Amendment 59 — Article 21, now: Article 24 (Reporting)

The Council preferred to maintain the 5-year-period. Furthermore the addition suggested by the EP does not add to clarity as legislative initiatives of the Commission should always be accompanied by a justification.

Amendment 62 — Annex IIa — indent 5a (Tests for allergenic reactions)

The Council did not integrate this amendment as there is at least the need for some clarification and explanations from the EP side and the wording could be improved.

Amendment 64 — Annex V — point 13 (Deletion of ‘felts’)

The Council considers the inclusion of felts into mandatory labelling as a minor point. As an acceptance of the amendment would at least imply some additional burden for enterprises involved, the Council was not in a position to integrate the amendment.

Amendment 65 — Annex V — point 17 (Deletion of ‘felt hats’)

Rejection of this amendment follows the same reasoning as for amendment 64.

Amendments 63 — Annex V — point 24 (Deletion of ‘toys’)

The Council took the view that the practical relevance of this amendment is rather minor. Although it is possible to limit the overlap with the Directive on the safety of toys, there does not seem an absolute necessity to include (textile) toys into all labelling requirements.

3.    Most important innovations to the text introduced by the Council

Article 3(k) (Definition of ‘agreed allowance’)

The Council considered it appropriate to include a definition of ‘agreed allowance’ as this term is widely used in the Regulation, in particular in Annex VIII.

Article 25 (now) Transitional provision

The Council clarified through this transitional provision that the products being placed on the market in accordance with current law may still be sold for around 2 and a half years. With this provision the relative limited changes to the current regime should not result in a burdensome re-labelling of so far correctly labelled textiles.

Articles 20-23 (now) Delegated acts

Following the entry into force of the TFEU, certain provisions originally intended to fall under the PRAC have been integrated into new articles setting out the procedure for delegated acts (according to Art. 290 TFEU).

IV.   CONCLUSION

The Position at first reading adopted by the Council underlines the main objective of the Commission's proposal. A unified, but flexible framework for textile labelling requirements and a fast procedure to integrate new fibre names should be attainable, while fully accepting the importance of the information requirements for the users of textile products. Through the use of the provisions concerning ‘delegated acts’ the current framework for textile names and labelling can be adapted in a fast and efficient way.


(1)  OJ C 76, 25.3.2010.

(2)  The legal base has been changed to Art. 114 TFEU through the Lisbon Treaty.

(3)  Council doc. 9905/10; not yet published in OJ.

(4)  OJ C 255, 22.9.2010, p. 37.

(5)  Directives 2008/121/EC, 96/73/EC (as amended) and 73/44/EEC.

(6)  Note: The numbering of articles either refers to the result of the first reading of Parliament (doc. 9905/10) or, where it is specially indicated (‘now: …’) to the document reflecting the Position of the Council at first reading (doc. 13807/10).

(7)  Not voted: 4, 18, 20, 28, 67, 68, 69, 70, 71.