EUR-Lex Access to European Union law

Back to EUR-Lex homepage

This document is an excerpt from the EUR-Lex website

Document 52020SC0953

COMMISSION STAFF WORKING DOCUMENT Clean Energy Transition – Technologies and Innovations Accompanying the document REPORT FROM THE COMMISSION TO THE EUROPEAN PARLIAMENT AND THE COUNCIL on progress of clean energy competitiveness

SWD/2020/953 final

Brussels, 14.10.2020

SWD(2020) 953 final

COMMISSION STAFF WORKING DOCUMENT

Clean Energy Transition – Technologies and Innovations

Accompanying the document

REPORT FROM THE COMMISSION TO THE EUROPEAN PARLIAMENT AND THE COUNCIL

on progress of clean energy competitiveness

{COM(2020) 953 final}


Clean Energy Transition – Technologies and Innovations Report (CETTIR)

Contents

Clean Energy Transition – Technologies and Innovations Report (CETTIR)

1.Introduction

2.Overall Competitiveness of the EU clean and low carbon energy sector

2.1.Macroeconomic competitiveness analysis

2.2.Share of EU energy sector in EU GDP

2.3.Human capital

2.4.Research and innovation investments

3.Focus on key clean energy technologies and solutions

3.1.Introduction - Energy system trajectories to the time horizons 2030 and 2050

3.2.Offshore renewables - Wind

3.2.1.State of play of the selected technology and outlook

3.2.2.Value chain analysis

3.2.3.Global market analysis

3.2.4.Future challenges to fill technology gap

3.3.Offshore renewables – Ocean

3.3.1.State of play of the selected technology and outlook

3.3.2.Value chain analysis

3.3.3.Global market analysis

3.3.4.Future challenges to fill technology gap

3.4.Solar Photovoltaics

3.4.1.State of play of the selected technology and outlook

3.4.2.Value chain analysis

3.4.3.Global market analysis

3.4.4.Future challenges to fill technology gap

3.5.Renewable hydrogen through electrolysis

3.5.1.State of play of the selected technology and R&I landscape

3.5.2.Value chain analysis

3.5.3.Global market analysis

3.5.4.Future challenges to fill technology gap

3.6.Batteries

3.6.1.State of play of the selected technology and R&I landscape

3.6.2.Value chain analysis

3.6.3.Global market analysis

3.6.4.Future challenges to fill technology gaps

3.7.Buildings (incl. heating and cooling)

3.7.1.Prefabricated building components

3.7.2.Energy efficient lighting

3.7.3.District heating and cooling industry

3.7.4.Heat pumps

3.8.Carbon Capture and Storage

3.8.1.State of play of the selected technology and outlook

3.8.2.Value chain analysis

3.8.3.Global market analysis

3.8.4.Future challenges to fill technology gap

3.9.Geothermal

3.9.1.State of play of the selected technology and outlook

3.9.2.Value chain analysis

3.9.3.Global market analysis

3.9.4.Future challenges to fill technology gap

3.10.High Voltage Direct Current

3.10.1.State of play of the selected technology and outlook

3.10.2.Value chain analysis

3.10.3.Global market analysis

3.10.4.Future challenges to fill technology gap

3.11.Hydropower

3.11.1.State of play of the selected technology and outlook

3.11.2.Value chain analysis

3.11.3.Global market analysis

3.11.4.Future challenges to fill technology gap

3.12.Industrial heat recovery

3.12.1.State of play of the selected technology and outlook

3.12.2.Value chain analysis

3.12.3.Global market analysis

3.12.4.Future challenges

3.13.Nuclear energy

3.13.1.State of play of the selected technology and outlook

3.13.2.Value chain analysis

3.13.3.Global market analysis

3.13.4.Future challenges to fill technology gap

3.14.Onshore wind

3.14.1.State of play of the selected technology and outlook

3.14.2.Value chain analysis

3.14.3.Global market analysis

3.14.4.Future challenges to fill technology gap

3.15.Renewable fuels

3.15.1.State of play of the selected technology and outlook

3.15.2.Value chain analysis

3.15.3.Global market analysis

3.15.4.Future challenges to fill technology gap

3.16.Solar thermal power

3.16.1.State of play of the selected technology and outlook

3.16.2.Value chain analysis

3.16.3.Global market analysis

3.16.4.Future challenges to fill technology gap

3.17.Smart Grids – Digital infrastructure

3.17.1.Smart Grids in the energy transition

3.17.2.Investment in Smart Grids & digital infrastructure

3.17.3.Digital infrastructure for O&M of the Grid

3.17.4.Digital infrastructure for flexibility management in the grid

3.17.5.Future challenges

3.18.Citizen and community engagement

3.18.1.Citizen and community engagement in the Energy transition – status and outlook

3.18.2.Technical and regulatory barriers & possible solutions

3.18.3.Social and behavioural barriers and key elements from science, research and innovation to address them

3.18.4.R&I to further develop citizen and community engagement

3.18.5.Challenges

3.19.Smart cities & communities

3.19.1.Introduction

3.19.2.Current situation and outlook

3.19.3.Value chain analysis

3.19.4.Global Market analysis

3.19.5.Challenges

4.Conclusions

5.List of missing indicators for specific technologies/topics

List of acronyms



1.Introduction

The Clean Energy Transition – Technologies and Innovations Report (CETTIR) is the underpinning analysis to the first annual Competitiveness Progress Report 1 (CPR) based on the results of the Low Carbon Energy Observatory 2 . It includes all the data supporting the arguments made in the Progress Report, as well as assessment of further key clean and low carbon energy technologies 3 . Further technologies will be addressed in future Competitiveness reports.

There are various definitions of competitiveness in the literature 4 , while “there is no single indicator that captures the essence of its meaning for an economy” 5 . For the purpose of this report, competitiveness of the clean energy sector is understood as “the capacity to i) produce affordable, reliable and accessible clean energy through clean energy technologies; ii) use clean energy productively; and iii) compete in energy and energy technology markets, with the overall aim of bringing benefits to the EU economy and people”.

The present Staff Working Document is structured in the same way as the CPR, and analyses competitiveness of the European clean and low carbon energy sector as follows:

I)Macroeconomic analysis assessing the overall competitiveness of the European clean and low carbon energy sector (part 2)

II)Analysis assessing the competitiveness of 18 clean and low carbon energy technologies and cross cutting topics (part 3)

The analysis is based on a range of competitiveness indicators, which are analysed through three steps:

I.Technology analysis – state of play and outlook

II.Value chain analysis

III.Global market analysis by comparing it with other key regions (e.g. US, China, Asia without China)

Table 1 Grid of indicators to monitor progress in competitiveness 6

EU's clean energy industry's competitiveness

1. Technology analysis Current situation and outlook

2. Value chain analysis of the energy technology sector

3. Global market analysis

Capacity installed, generation

(today and in 2050)

Turnover

Trade (imports, exports)

Cost, Levelised Cost of Energy (LCOE)

(today and in 2050)

Gross value added growth

Annual, % change

Global market leaders vs. EU market leaders

(market share)

Current Public R&I funding

Number of companies in the supply chain, incl. EU market leaders

Resource efficiency and dependence

Current Private R&I funding

Employment

Real Unit Energy Cost 7

Current Patenting trends

Energy intensity / labour

productivity

Current level of scientific Publications

Community Production 8  

Annual production values

Competitiveness is a multi-dimensional concept, which can be applied and measured at different levels of economic analysis. Nonetheless, it is always conceived, and evaluated, in comparison to the performance of others. The majority of existing competitiveness indices are composite indicators built on a number of variables. They address countries or geographical areas (i.e. Europe) rather than the EU as one entity and cover the entire economy and not specific sectors (i.e. low-carbon industry). The indices and underlying datasets are not always available at the desired level of granularity, or consistently updated.

Ideally, competitiveness indicators should:

·focus on the most relevant dimensions of industrial competitiveness and cover all sectors and markets open to competition;

·be straightforward and – as far as data is available – allow comparison of the EU with global trading partners based on robust and timely statistical data.

In practice, none of the competitiveness indicators encountered in literature can fulfil all these criteria. Following a review of frameworks and datasets 9 , the above indicators have been chosen for consideration in this first report, as more relevant to the competitiveness of the low-carbon industries.

Data availability remains the major limitation for the analytical evaluation of competitiveness and its quantification through a set of indicators. Existing data classifications often do not differentiate between low-carbon or conventional energy activities. In addition the definition of what ‘low-carbon’ or ‘clean energy’ entails differs across literature and data sources, and thus the group of actors covered, and underlying estimation methods also differ.

Future work could improve on the selection of indicators, were needed, and address the quality, coverage and consistency of data sources that underpin them. The indicators could be further grouped so as to focus on specific aspects of competitiveness. The construction of an index may be helpful in monitoring progress though a single metric.

2.Overall Competitiveness of the EU clean and low carbon energy sector 

The European Green Deal aims at transforming the European economy by decoupling the growth and the use of resources, and reaching carbon neutrality by 2050 10 . This context requires a new focus on the relationship between research and innovation activities and technologies’ competitiveness which will enable to reach the EU Green Deal objectives. The better understanding of the role of technology evolution, within the transition period, allows to identify potential technology gaps and resource constraints in order to fully reap the competitive advantage of the energy transition.

The speed and the effectiveness of the European innovation cycle in delivering the solutions required by the transformation will steer the competitiveness of the EU industrial system and its place in the world, as well as the EU’s economic recovery from the Covid-19 pandemic. The European Commission’s Communication “A Clean Planet For All” 11 , strongly calls for putting in place a “forward-looking research and innovation strategy” with R&I addressing longer time perspectives.

The section below includes the macroeconomic indicators not covered by the CPR 12 , followed by an analysis of 18 clean and low carbon energy technologies, solutions and cross cutting topics.

2.1.Macroeconomic competitiveness analysis

The greenhouse gas (GHG) intensity of the EU economy has been decreasing by nearly 30% since 2005, while the EU economy has continued to grow. In 2018, this indicator was just under 300 tonnes of CO2 equivalents per million Euro of GDP, which is half of the value recorded for 1990.

Figure 1 DE4-GHG intensity of the economy

Source 1 EC, EEA

Similarly, the relative decrease in the GHG intensity for the power and heat generation sector in the 2005-2018 period was 26%. The 2018 intensity for the sector, of near 270 tons CO2 per GWh, is 44% lower than the 1990 reference value.

Figure 2 DE4-A2-GHG intensity of power & heat generation

Source 2 EEA/UNFCCC, ESTAT

Greenhouse gas emissions continue to decrease in absolute terms, per capita and per Euro generated in the economy. Most sectors, and particularly energy supply, industry and residential, reduced emissions; transportation is a notable exception where demand outpaces climate‑policy benefits. Emissions have decreased in parallel with increasing GDP, confirming that attempts to mitigate climate change do not necessarily conflict with a growing economy, but much faster emission reductions will be needed to achieve climate neutrality by 2050 13 .

2.2.Share of EU energy sector in EU GDP

Overall, in 2017, in the EU economy the biggest sectors in terms of turnover were wholesale and retail trade (EUR 8.7 trillion), manufacturing (EUR 7.2 trillion), and construction (EUR 1.4 trillion) 14 . In this context, energy represented EUR 1.8 trillion in 2018. Turnover from renewable energy sources in EU27 was EUR 0.146 trillion in 2018, up from EUR 0.127 trillion in 2011 15 .

EU27 value added in the energy utilities sector 16 , 17 was the highest in the world at EUR 221 billion in 2014, with US second at EUR 212 billion. Average annual growth at 4.4% (2000-2014) in value added of the energy utilities sector 18 falls behind Brazil (8.7%), UK (7.6%), and US (5.6%). However, when looking at value added per employee (growth of 5.8%) or per hour worked (5.2%), EU27 has improved the most from 2000 to 2014, second only to Brazil (9.2% and 9.7%).

Figure 3 Value added, value added per employed person, value added per hour worked

Source 3 JRC

Productivity had increased while labour intensity has decreased in the period between 2000 and 2014. This can be explained by capital investments improved productivity 19 . Labour-intensity has decreased also in Brazil, in Japan and in the US. In China, India, South Korea and UK it has increased. In absolute terms, EU27 value added per employee has increased from EUR 109 706 to EUR 198 231. In absolute terms US had the highest value added per employee in 2014 standing at EUR 401 257. EU27 value added per hour worked has increased from EUR 64 to EUR 110 (2000-2014), with US having highest level at EUR 202 per hour in 2014.

Labour productivity has increased in clean energy sector. However, productivity (turnover per employee) varies significantly among EU27 MSs between technologies, from EUR 155 000 in wind energy to EUR 59 000 in biofuels 20 . Main contributors to total RES turnover are wind (28.5%), biomass (20.1%) and heat pumps (16.9%), while highest turnover per employee is wind, waste and solar PV, in 2017-2018.

Figure 4 Turnover per employee and share of total RES turnover

Source 4 JRC based on EurObserv'ER data

As outlined in the Price and Cost report 21 , following an increase between 2005 and 2012, real unit energy costs in the EU have stabilised towards 2016 at about 18% of the value added in the manufacturing sector 22 . Even though this is a considerable change relative to 2005 (58% increase), with the exception of the US, the share remains lower than in other major economies. Real unit energy costs are mostly influenced by two main drivers: energy prices and energy efficiency measures implemented. Electricity and gas prices for industrial consumers vary within the EU.

Figure 5 RIC3-Real unit energy costs (% of value added) in the manufacturing sector (excl. refining)

 

Source 5 DG ECFIN and DG JRC, based on WIOD. Note: EU27_2020 has the same figures as EU28 (due to lack of data)

Figure 6 RIC3-A1: Electricity and gas prices for industrial customers

Source 6 EUROSTAT, IEA

Electricity and gas prices for industrial consumers vary within the EU and, on average, the EU seems to have an advantage versus some major economies and a disadvantage compared to others.

Figure 7 SoS1 – net import dependency

Source 7 EUROSTAT

Despite a short-term improvement and reduction of energy import dependency between 2008 and 2013, there has since been an increase for the EU27 23 . In 2018 net import dependency was 58.2%, just over the 2005 level, and almost equalling the highest values over the period. Although the fossil fuel extraction in the UK has kept net import dependency lower for the EU28, in absolute terms, it has not meaningfully changed the increasing trend recorded since 2013.

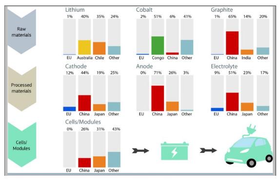
While clean energy technologies reduce fossil fuel dependence, and associated economic and environmental impacts, they are not free from similar issues related to the resources (raw materials) needed for their deployment. However, unlike fossil fuels, raw materials have the potential to stay in the economy through extended value chains and recycling, impacting the capital expenditures but not the operational expenditures of a project.

The EU depends strongly on other countries for raw and processed materials, and often also for components and final products. It is however an important producer of high technology components. While the market for base materials is well diversified specific, often high-tech materials are only available from a handful of countries (e.g. China produces over 80% of the available rare earths for permanent magnet generators) 24 . This risks replacing fossil fuel dependence with dependence on raw materials. To address this risk, diversification of raw materials supply through sourcing from both in- and outside the EU, as well as resource efficiency and circular economy considerations will be key going forward. R&I can provide additional measures to decrease supply risks through e.g. substitution and increase resource efficiency and circularity.

Figure 8 Recycling potential of materials for wind turbines, solar PV panels and batteries 25

Source 8 JRC 26

2.3.Human capital 

Direct employment in the clean energy sector has grown more than in the rest of the economy since 2000, despite slowing down and stagnating after the previous economic crisis. Particularly solar PV jobs experienced downturn as installation rates fell in the EU due to changes in the support scheme and manufacturing capacity concentrated to Asia. In the recent years jobs in solar PV have started to pick up again, growing 42% between 2015 and 2018. Employment in the wind sector has remained largely at similar levels between 2015 and 2018, although in recent years there have been weak signals of contraction in Germany, which is the biggest employer in the wind sector 27 . Employment has grown the most in biomass and biofuels. Overall, the biggest renewable energy sectors in EU27 in 2018 were biomass (344 100), wind (242 500), biofuels (239 600), and heat pumps (222 400).

Figure 9 Renewable energy employment, 2015-2018 28

Source 9 JRC based on EurObserv’

Labour productivity (gross value added per employee) has improved significantly in the renewable energy sector. As a result of technological improvement, automation, and other innovation in the supply chain, more capacity can be added with fewer jobs. For example, in the US job intensity of solar PV has dropped from 101 jobs/MW in 2010 to 23 jobs/MW in 2017 29 . Decreasing trend is observable in EU as well for wind and solar PV 30 .

Direct jobs in fossil fuel extraction and manufacturing activities have decreased from 410 000 to 328 000 in the period from 2011 to 2018 31 . Jobs in mining coal and lignite have decreased the most dramatically, falling from 215 935 in 2011 to 135 698 in 2018, and in extraction of crude petroleum and natural gas from 65 548 to 35 440 in EU27 during the same period. Decrease has been to some extent balanced by growth in manufacture of coke and refined petroleum products, and support activities. In the US jobs in mining of energy products have decreased from 246 000 to 195 000 (2010-2018), whereas jobs in manufacture of coke and refined petroleum products have remained at same levels at 113 000 in 2018 32 .

EU27 utilities sector employed 1 116 000 in 2014 33 , decreasing annually by 10.7% since 2000. In contrast in China (12.4%), India (94.8%) and South Korea (62.1%), employment in utilities sector has increased during this period. In the US (-10.7%), Brazil (-34.3%) and Japan (-27.0%) employment has decreased. In China and India the sector employs almost 3 million and 2 million people respectively.

Figure 10 Employment in Electricity, gas, steam and air conditioning supply, 2000-2014

Source 10 JRC based on WIOD Database

The green and digital transitions in the context of recovery from the COVID-19 pandemic is also impacting the EU energy sector in terms of availability of skilled workers. While the provision of education and training responses is ongoing, the greening energy sector continues to face challenges in terms of having enough workers with the required skill sets at the locations where they are in demand. Engineering and technical occupations, IT skills and ability to utilize new digital technologies, knowledge of health and safety aspects, specialised skills for carrying out work in extreme physical locations (e.g. at height or at depth), soft skills like team work and communication, as well as English language (due to having to work in international teams) are in high demand 34 .

From a gender point of view, on average in 2018, women were found to represent 46% of the administrative workforce, 28% of the technical staff, and 32% of senior management positions in clean energy companies 35 . Women represented only 28% of STEM jobs in renewables.

For comparison, broad energy and energy efficiency sectors in the US employ 8.3 million people in 2019, comprising 5.4% of the US workforce. Production, transmission and distribution of fuels and electricity employed 3.3 million people, with 1.2 million working in traditional coal, oil and gas, while almost 740 000 36 workers were employed in low-carbon sector. Employment in the broad energy sector has grown 12.4% between 2015 and 2019, outpacing the general economy's employment growth rate of 6%. In total, these sectors added nearly 915 000 jobs over the 2015-2019 period 37 .

Recent figures showed slightly decreased gap compared to 2005 38 and there are signs that more women are entering as professionals in technical functions within the RE sector, although in the occupational trades there are still barriers often linked to stereotypes 39 . Given the slow progress to date in removing barriers to entry and career advancement, there is a risk that the clean energy sector will be deprived of a large share of its talent pool, unless effective, proactive gender-equity policies and programs are put in place 40 . Globally, women represent only 6% of ministerial positions responsible for national energy policies and programs, and account for less than a third of employees across fields within scientific research and development 41 . Better gender balance in male-dominated professions has been shown to improve well-being, work culture and productivity 42 .

In terms of gender balance, in the US women represent about 31% across all fuel types, which is lower than the national workforce average 47% 43 .

2.4.Research and innovation investments

Figure 11 High-value patents in clean energy technologies (cumulative)

Source 11 JRC 44 based on EPO Patstat

Patenting activity in clean energy technologies 45 peaked in 2012, but has been in decline since 46 . Within this trend, certain technologies of increasing importance for the clean energy transition (e.g. batteries) have maintained or even increased levels of activity. Clean energy patents account for 6% of all high-value inventions in the EU27. The share is similar for Japan, but higher than China (4%), the US and rest of the world (5%), and second only to Korea (7%) in terms of competing economies. The EU27 and Japan lead among international competitors in high-value 47 patents in clean energy technologies. However, the EU’s global positioning varies by technology. The EU27 has the highest share of high-value inventions, 60% seeking protection in more than one market; the US follows with 56% and Japan with 35%. In contrast, China’s exponential patent growth is almost exclusively domestic, with only 3% seeking international protection. In terms of specialisation, revealed as a higher share of inventions than the global equivalent, the EU performs better than the rest of the world in three of the Energy Union R&I priorities45. Namely, the EU maintains an – albeit shrinking – advantage in renewable technologies and CCUS, while increasing overall specialisation in sustainable transport technologies.

Figure 12 EU specialisation index in the Energy Union R&I priorities

Source 12 JRC44 based on EPO Patstat

The majority of inventions from multinational firms headquartered in the EU are produced in Europe and, for the most part, with subsidiaries located in the same country. Incentives, language & geographical proximity, explain major exceptions. Disruptions in the EU industry (e.g. in funding or personnel) will be the ones most affecting inventive capacity. Existing funding patterns could inform corporate R&I incentives and support measures.

One in five clean energy inventors in the EU are patenting for a company not headquartered in their country of origin. Even though, in around half of these cases both inventor and company are within the EU, this is the highest share among major economies. While this displays the EU’s strength as an attractive destination for highly skilled personnel, mobility restrictions and personal responses to the pandemic could affect the availability of skills and the research output.

Figure 13 Flow of financing, production and protection of EU clean energy innovation

Source 13 JRC44 based on EPO Patstat

The EU27 contributed 17% of scientific articles related to the low-carbon energy sector 48 , 49  published in 2019. Publications per GDP have only marginally increased for the EU27 between 2015 and 2019, in contrast to the global trend of a 6% annual increase driven by countries such as China, Brazil and India. The EU27 specialisation in clean energy has been decreasing between 2015 and 2019 50 , specialising instead in fields such as psychology and cognitive sciences, economics and business, and clinical medicine, at the expense of e.g. information and communication technologies, and engineering where much of clean energy research would come from. However, the EU27 did show specialisation in the areas of new materials & technologies for buildings, and in energy efficiency in industry. In terms of impact, the EU27 is slightly below the world average in terms of highly cited publications overall. However, it has a substantially better impact in the fields of new technologies & services for consumers, new materials and technologies for buildings, and nuclear safety. The EU27 scores above the world average in international scientific collaborations, and has a high share of open access publications (41% compared to a 29% world average). In contrast, other large economies collaborate much less proportionally, and tend to publish less through open access. Collaboration between public and private actors has been increasing and accounts for 14% of publications for the EU27, a score above the world average.

3.Focus on key clean energy technologies and solutions

3.1.Introduction - Energy system trajectories to the time horizons 2030 and 2050

The European Green Deal aims at transforming the European economy by decoupling the growth and the use of resources, and reaching carbon neutrality by 2050 51 . This context requires a new focus on the relationship between research and innovation activities and technologies’ competitiveness which will enable to reach the EU Green Deal objectives. The better understanding of the role of technology evolution, within the transition period, allows to identify potential technology gaps and resource constraints. Energy scenarios, projecting the trajectories that energy systems will possibly take to the relevant time horizons, represent a very useful instrument to reason on these themes and inform policy choices.

A recent study analyses a number of selected energy scenarios, modelling the energy system to the time horizons 2030 and 2050 52 . The scenarios selected in the study are the following:

I)European Commission – Long-Term Strategy 1.5 °C scenario (EC LTS 1.5TECH), as a technology-oriented decarbonisation scenario, which leads to carbon-neutrality by 2050. This scenario reaches net-zero GHG emissions also through the development of negative emission technologies and includes development of carbon-neutral hydrogen and hydrocarbons based on a zero or negative emissions power system.

II)European Commission – Long-Term Strategy 1.5°C scenario (EC LTS 1.5LIFE), based on lifestyle changes, also leads to carbon-neutrality by 2050.

III)The IEA WEO Sustainable Development Scenario (IEA WEO SDS), which in addition to tackling climate change, addresses other energy-related Sustainable Development Goals (SDG).

IV)JRC Global Energy and Climate Outlook (GECO) 2 °C medium scenario (JRC GECO 2C_M), which is based on a global GHG trajectory for keeping global temperature rise below 2°C by 2100. v) IRENA Global Energy Transformation, Transforming Energy Scenario (IRENA GRO TES), is IRENA’s main decarbonisation scenario, based largely on renewable energy sources and steadily improving energy efficiency, to keep the rise in global temperatures to well below 2 oC by 2100. IRENA GRO TES leads to the lowest reduction in emissions across all scenarios, and is the most ambitious global reduction scenario providing detailed results for the EU, very useful for this comparison. vi) BNEF New Energy Outlook (BNEF NEO) focuses on the power sector only and partly on the demand side. The regional scope is Europe (EU28, Iceland, Norway, and Switzerland). The BNEF NEO scenario is interesting because it bases the projection of high shares of renewable energy supply on the competitiveness of renewable energy technologies rather than on a policy push.

V)Greenpeace’s Energy Revolution scenario (GP ER), developed in 2015, pursues a target of reducing global CO2 from energy use down to around 4 GtCO2 by 2050, to limit the increase in global temperature under 2°C. The scenario also includes the objective of phasing-out nuclear energy.

It is remarked that the above scenarios have differences in their scope, which makes their direct comparison not always legible on one indicator or another. For example, GP ER regional scope is Europe as defined by OECD, and as such different from EU, BNEF NEO covers mainly the power sector and is not a climate change scenario, or e.g. IRENA GRO TES leads to the lowest reduction in emissions across all scenarios, and is the most ambitious reduction scenario after the EC LTS scenarios. Recognising these differences, it was opted to compare studies leading to ambitious decarbonisation but different storylines to derive commonalities and differences.

The European Commission has analysed the Long-Term Strategy scenarios in the new context of the EU Green Deal and the accelerated emission reduction ambitions for 2030 (i.e. minus 50-55%) 53 . New scenarios, derived from the EC LTS 1.5TECH scenario have been constructed, updating the assumptions and minor modelling 54 . While the updates cause changes to the shorter-term projections up to 2030, due to the changed assumption on the 2030 accelerated emission reduction, the technological options for the longer term remain unchanged. The updated scenarios may show the requirement of an earlier uptake of technologies in order to meet the higher 2030 ambitions, remarking the urgency of the adequate technological adoption.

The discussion on the results of these different scenarios is useful to derive common ideas and guidance regarding key technologies and policies to underpin the Competitiveness Progress Report.

Figure 14 Projected energy system losses from gross inland consumption to final energy consumption according to the indicated scenarios, EU28 year 2050

Source 14 Study commissioned by the DG ENER, European Commission “ASSET Study commissioned by DG ENERGY - Energy Outlook Analysis (Draft, 2020) 55

The scenarios, in spite of their significant differences, show a similar trend in the medium-term which points to a reduction of primary energy demand. The outlooks project a range of EU28 gross inland consumption from 1300 Mtoe to 1400 Mtoe in 2030. For the time horizon 2050, the range of the projections is wider, going from 980 Mtoe to 1475 Mtoe (in 2018, the EU gross inland consumption was 1664 Mtoe). The wider consumptions range in 2050 is associated with the EC LTS scenarios achieving carbon neutrality, which includes the use of hydrogen and synthetic fuels. Energy system losses are lower than today in scenarios that include high amounts of renewables in power generation and high electrification in final demand and no or limited amount of hydrogen and synthetic fuels. Scenarios that involve production of hydrogen and synthetic fuels from electricity increase the system losses, due to the additional energy conversion steps in electrolysis and e-fuel processes. The EC LTS (1.5 TECH and LIFE) scenarios project that hydrogen and e-fuels will be required in the system in order to be able to achieve carbon neutrality. This reduces the overall system efficiency increasing the gross inland consumption ( Figure 14 ). The other scenarios such as IEA WEO SDS and IRENA GRO TES continue to consume fossil fuels and do not achieve climate neutrality. These scenarios have higher system efficiency but also remaining emissions in 2050.

Although the wide variation in gross inland consumption, the scenarios project final energy consumptions located in a narrower range, from 630 Mtoe to 780 Mtoe, in 2050. This also means that the reduction of the final energy demand, in all sectors, represents a key driver to achieve the emission reduction target. The gross electricity generation in the EU was about 3270 TWh in 2018, 33% produced from renewable sources. All selected scenarios project a considerable increase in electricity generation already in 2030, and a much higher increase by 2050. This growth is primarily due to direct electrification of demand sectors (especially the electrification of private passenger road transport and highly efficient heating by heat pumps). Moreover, also the production of hydrogen and synthetic hydrocarbons through electrolysis, which is projected in some scenarios, further increases the demand for electricity. According to the scenarios, the size of the power sector expands to at least 20% by 2030-2040, and up to 70% by 2050, compared to current size.

Another common element resulting from the scenarios is the deployment of hydrogen and e-fuels in the energy sector, which ranges from 6% to 23% in 2050, while such consumption is currently negligible. To note that the two EC LTS scenarios, achieving net-zero emissions in 2050, project that electrification, primarily in the Light Duty Vehicles segment, hydrogen and e-fuels, along technology improvements, behavioural changes and coordinated investments in infrastructure along high shares of hydrogen and e-fuels of the range. As previously stated, the use of electricity to hydrogen and e-fuels may increase the total system conversion losses, compared to today. It is worth to note that the deployment of hydrogen and e-fuels in the energy sector by the time horizon 2050 is also reported elsewhere 56 .

Figure 15 RES share in gross power generation in decarbonisation scenarios in the EU28

Source 15 Study commissioned by DG ENER, the European Commission “ASSET Study commissioned by DG ENERGY - Energy Outlook Analysis (Draft, 2020)”

All scenarios project a similar increase in the share of RES in power generation. This ranges from 51% to 66% in 2030 and from 75% to 95% in 2050 ( Figure 15 ), compared to about 33% today. BNEF NEO represents the upper bound with RES power supply reaching high shares earlier in the time horizon. It is already 72% in 2030 and 86% by 2040, driven by the faster cost reduction in renewable power supply technologies compared to other scenarios. The increase in generation from renewables is based on the significant increase in power production from wind and solar. Comparably, hydropower and bioelectricity only increase slightly from today’s levels over the projection horizon.

The deployment until 2030 is comparable across the scenarios. Differences emerge mainly after the year 2040, again linked with the production of hydrogen and synthetic fuels Figure 16 ).

Figure 16 Installed capacity of wind and solar in the selected scenarios in the EU28, year 2030 and 2050 (GW)

Source 16 ASSET Study commissioned by DG ENERGY - Energy Outlook Analysis (Draft, 2020)

All the scenarios project a continuous and remarkable expansion of both wind and solar deployment, although at different absolute levels. For instance, the deployment of wind and solar in 2050 in EC LTS 1.5TECH reaches 2240 GW while in IRENA GRO TES it is 1405 GW. The relevant differences in the absolute capacity levels projected by the scenarios is not evident observing the share of penetration of renewables ( Figure 17 ). However, this should be more clear recalling that the outlooks project also range of gross inland consumption quite different in size, especially at the time horizon 2050.

There are several interesting implications coming from the projected expanded deployment of wind and solar. The first is that with high absolute deployment levels within the EU (e.g. in the EC LTS 1.5TECH scenario), the EU industry may count on a strong internal market. Lower deployment levels (e.g. as in the IRENA GET TES scenario), instead, suggest that to maintain and expand its competitive position, the EU wind and solar industry need to exploit and develop also extra-EU markets given their projected large size. For instance, it has been reported that photovoltaic production in Europe and Germany across the entire value chain would be competitive, against a fab in China, if the production fab in Europe has the appropriate size. According to the study, an annual manufacturing production capacity of at least 5 GW is required 57 .

A second implication is that the high deployment levels of renewables require that the network and infrastructure develop at the same pace to support the transition of the power supply system 58 . It can be envisaged that communication and control systems as well as protocols and architectures to integrate PV and wind in the smart grid will be in high demand. Similarly, high shares of variable renewable energy imply high demand for storage and system flexibility 59 . Finally, to support the deployment of such volumes of wind and solar, a broad range of skills will need to be developed, in terms of skill types and size of the workforce, in a timely manner.

As stated above, a significant part of the increase in electricity consumption derives from the road transport sector. In the selected scenarios, systems based on direct renewable use (biofuels) and EV deployment are the main decarbonisation option for the transport sector. The buildings sector sees its demand rather constant to 2030, which entails efforts on energy efficiency and renovation. Electricity consumption in buildings increases significantly post-2030, with heat pumps being a key technology deployed widely across the scenarios Industry is a very diverse sector, which needs detailed analysis on a process-by-process level to carefully evaluate the decarbonisation options (electrification, energy efficiency, fuel switching). The level of detail of coverage of the industrial sectors varies significantly across the scenarios. The sector’s demand for electricity increases because of expansion of the large-scale industrial heat pumps and further use of electrical motors. However, there are hard-to-electrify functions in the industry, due to chemical processes and the temperatures required (although high temperature heat pumps are being developed). The scenarios show that fuel switching to biomass and hydrogen/e-gas will be used to further reduce emissions. To note that industry is the main source for process related CO2 emissions, not directly related to combustion, but to chemical processes within industry (iron and steel production, cement industry and chemical sector).

Another recent study 60 presents a comparison of eight scenarios achieving more than 50% reduction of greenhouse gas emissions by 2030 compared to 1990, and sixteen scenarios aiming at climate neutrality by 2050.

The comparisons shows specific elements charactering the energy system in terms of uptake of clean and low carbon energy technologies, for the period up to 2030. First in the period it is projected a growth of wind and solar power generation (a factor from 1.5 to 3.5 for wind and from 1.5 to 4.5 for solar). A second emerging element is the replacement of the fossil heating mainly by heat pumps and district heating in 10% to 35% of the buildings. In the transport sector, it is projected an uptake of a vehicle stock that consists of 30% to 50% of zero-emission or plug-in hybrid EV. At the time horizon 2050, the scenarios project an undisputed growth of wind and solar, varying between a factor 3 and 13, heavily linked to the level of hydrogen/e-fuel production. In 2050, the consumption of electricity for hydrogen production can reach up to 3 600 TWh which is comparable to the current size of the sector. At the same time horizon 2050, the scenarios project a level of carbon removal that can reach up to 260 MtCO2 per year, of which around 200 MtCO2 through direct air capture or almost entirely through Bio-energy with carbon capture and storage (BECCS). Finally, it is projected an uptake of 65% to 90% zero emission vehicles and a passenger Battery EV fleet numbering between 100 and 220 million.

Figure 17 Gross electricity generation by technology, year 2050

Source 17 JRC study JRC118592 on energy scenario comparison. Data behind the graph available on the JRC ta catalogue

3.2.Offshore renewables - Wind

During the last decade, the focus in the wind sector shifted towards offshore wind technologies due to higher capacity factors achievable, much larger sites availability and a remarkable cost reduction, supported by important technological advances, such as in wind turbine reliability. Also, offshore could build on some lessons learned in the onshore wind sector and competitive tendering. Offshore wind is expected to play a significant role in reaching Europe’s carbon-neutrality target, with an estimated installed capacity need between 240 and 450 GW by 2050. By that time, 30% of the future electricity demand will be supplied by offshore wind. Starting as a first mover in the offshore sector, with the first offshore wind farm installed in Denmark in 1991, the EU currently is a global leader in offshore wind manufacturing 61 .

3.2.1.State of play of the selected technology and outlook

Capacity installed, generation

Figure 18 Cumulative installed capacity of offshore wind energy in the EU27

Source 18 JRC, Low Carbon Energy Observatory, 2020

By the end of 2019, the global offshore wind capacity installed was 29.1 GW 62 , representing 0.3% of global electricity generation 63 . Of this 29.1 GW, 75.1% is located in Europe (21.9 GW in EU28; 12.2 in EU27), 7.2 GW in Asia and 0.03 GW in North America 64 . In 2019, a record of 6.2 GW new offshore wind was installed globally, of which 3.6 GW in EU28 and 1.8 GW EU27 65 .

Social opposition against onshore wind energy, high setback distances to settlements and depletion of onshore wind sites with the best wind resources in selected countries might accelerate the uptake of the offshore wind sector. Against this backdrop, offshore renewable energies offer an opportunity for sustained growth to EU Member States. Analysing the JRC ENSPRESO dataset 66 per sea basin shows that technical potentials for offshore wind in EU27 EEZ 67 zones are highest in the Atlantic Ocean (1 447 GW) followed by the Mediterranean Sea (1 445 GW), Baltic Sea (1 183 GW), North Sea (437 GW) and the Black Sea (160 GW) ( Figure 18 ). Areas with sea depths necessitating the deployment of floating offshore wind are vast (2 468 GW) and promising for countries with steeper coastlines (Atlantic Ocean (1 066 GW) and Mediterranean Sea (819 GW)). The floating offshore potential of the EU27 in the North Sea is limited to 30 GW. Still the North Sea (284 GW) and the Baltic Sea (225 GW) offer most of the technical potential for projects in shallower waters (up to 60m depth and outside the 12 nautical miles zone).

Figure 19 JRC ENSPRESO technical potentials for offshore wind in sea basins accessible to EU27 countries

Source 19 JRC 2020, Wind Energy Technology Development Report 2020, European Commission, 2020, JRC120709; 2019, JRC: ENSPRESO - WIND - ONSHORE and OFFSHORE. European Commission, Joint Research Centre (JRC) 68 69

According to the LTS, 80% of electricity should come from renewable energy sources by 2050. The EU LTS full decarbonisation scenarios (1.5 TECH and 1.5 LIFE) see offshore wind ranging from 390 – 451 GW (EU28). Notably, scenario results on offshore wind show a strong connection on a country’s exploitation of its onshore wind potentials 70 , 71 .

Global estimates see offshore wind capacity at about 234 GW by 2030, of which 6.2 GW will use floating offshore technology. Global long term estimates range from 562 GW in 2040 72 by the IEA SDS scenario to up to 1 400 GW in 2050 by the industry-led Ocean Renewable Energy Action Coalition (OREAC) 73 .

Other technology outlooks striving for deep carbonisation at EU level (aiming for only the 2℃ temperature increase target, instead of 1.5℃) report a wide range of future wind energy deployment depending on the overall transformation of the EU energy system. By 2050, these studies show a wind capacity (both onshore and offshore) in the EU between 465 GW and 1 700 GW generating 1 200 TWh to 4 800 TWh. This would translate into 28% to 68% of the European electricity needs 74 , 75 .

Cost, LCOE

Costs decreased from over EUR 200/MWh in 2014 to a range of 45-79 EUR/MWh at the end of 2019, based on country data from Belgium, Denmark, Germany, the Netherlands and the United Kingdom 76 , 77 . The turbine represents up to 45% of total installed costs 78 (other cost factors include the foundations, the grid connection to shore and the installation). The cost of offshore wind installations is therewith reaching the one of onshore installations.

Figure 20 LCOE range for offshore wind in the main EU offshore wind countries with operational plants

Source 20 JRC 2020 79

Drivers for this cost decline are the upscaling of turbine size, projects size (economies of scale), weight reduction due to innovative materials (benefitting from about EUR 76 million in the period 2009-2019 stemming from FP7 and H2020 wind related projects – Figure 20 ) and favourable financing.

Offshore wind turbines have been growing in size and rated power capacity, with a capacity increase of 70% between 2015 and 2018 (from 3,7 MW to 6.3 MW) in the EU 80 . Recent offshore wind projects have observed capacity factors of up to 40-50%. The upscaling of rated capacity (e.g. towards > 10 MW) of the single wind turbines allows to deploy fewer turbines within one wind park, which means large savings on steel and foundations 81 and embedded CO2 emissions; as well as reduced flexibility demand (longer production hours). The demonstration of a new offshore wind turbine 12 MW GE Haliade-X Maasvlakte with an expected capacity factor above 60% is under way in the Netherlands, with a planned commercial exploitation as of 2021 82 . SGRE is testing its 10.0MW model in Denmark. Potential upgrades to rated capacities of 14 MW and 11 MW are announced for both turbines from GE and SGRE, respectively 83 . The largest commercial turbine is the MHI Vestas V164 with a rated capacity of 9.5 MW. It is expected that this turbine will be commissioned in offshore projects until 2022 84 , 85 .

CAPEX for offshore wind projects are declining rapidly and depend on the rated turbine capacity, depth of the site (and the foundation technology pursued) and the size of a project. IEA estimates CAPEX in 2018 of EU projects averaging around 3400 EUR/kW 86 , 87 .

In the run up to 2050, decrease in estimated CAPEX for offshore wind is expected to range between 2050 EUR/kW and 2730 EUR/kW for an average offshore wind project 88 . This CAPEX reduction is mainly driven by the increase in average turbine sizes (e.g. from about 4 MW in 2016 and 8 MW in 2022 to about 12-15 MW in 2025) and the increase in offshore wind project size resulting in scaling effects 89 .

Operation & maintenance costs 90 (O&M) are also decreasing. Global average annual O&M costs for offshore wind were about USD 90 91 /kW in 2018, and are projected to go down by one-third by 2030 and further decline towards USD 50 92 /kW in 2040 (a decrease of 40% compared to 2018). These reductions will be mainly due to economies of scale, industry synergies, along with digitalisation and technology development, including optimised maintenance concepts  93 .

R&I

R&I in offshore wind revolves mainly around increased turbine size, floating applications (particularly substructure design), infrastructure developments and digitalisation.

In 2018 the EC-funded SET plan Implementation Working Group (IWG) for Offshore Wind developed specific targets and R&I priority actions to maintain European leadership in offshore wind (to be revised in November 2020 following the adoption of the offshore renewables strategy). The SET plan mentions two priority actions: (1) Reduce the LCOE at final investment decision (FID) for fixed offshore wind by improvement of the performance of the entire value chain striving towards zero subsidy cost level for EU on the long term; (2) Develop cost competitive integrated wind energy systems including substructures which can be used in the deeper waters (>50 m) at a maximum distance of 50 km from shore with an LCOE of <12ct EUR/kWh by 2025 and < 9ct EUR/kWh by 2030.

Cost reduction through increased performance and reliability, development of floating substructures for deeper waters and the added value of offshore wind energy (system value of wind) were pivotal elements of the SET plan Implementation Plan (IP). In order to achieve this targets, the IP proposes to focus R&I activities on system integration, offshore wind energy – Balance of Plant, floating offshore wind, wind energy O&M, wind energy industrialisation, wind turbine technology, basic wind energy sciences, ecosystem and social impact and the human capital agenda. The IWG estimated that projects addressing these priorities need a combined investment of EUR 1090 million until 2030 with a split in contributions of Member States 34%, EU 25% and Industry 41%.

Apart from EC-funded projects, the IWG reported in 2019 a significant number of nationally funded projects (17 out of 24, with single project budgets up to EUR 35 million) with a main focus on the R&I priorities ‘Wind Energy Offshore Balance of Plant’, ‘Floating Offshore Wind’ and ‘Wind Turbine Technology’ 94 , 95 . Other joint industry programmes not covered so far within the SET-Plan include projects from the Dutch GROW programme, the UK Offshore Wind Accelerator programme, the Offshore Renewables Joint Industry Programme (ORJIP Offshore Wind) (UK), the Floating Wind Joint Industry Project (Floating Wind JIP) (UK) and DNV GL’s Joint Industry Projects (JIP) on Wind Energy. An update of the IP is envisaged until the end of 2020 and aiming for incorporating and further developing the R&I priorities identified by the main research and industry bodies (ETIP Wind 2019, EERA 2019 strategy, IEA TCP Grand Challenges) 96 .

This is in line with the EC strategic planning towards the Horizon Europe research and innovation programme, which stresses the importance of achieving global leadership in affordable, secure and sustainable renewable energy technologies 97 .

Figure 21 EU Public RD&D Investments in the Wind Value Chain

Source 21 ICF, commissioned by DG GROW - Climate neutral market opportunities and EU competitiveness study (Draft, 2020)

Figure 22 Top 10 Countries - Public RD&D Investments (Total 2016-2018)

Source 22 ICF, commissioned by DG GROW - Climate neutral market opportunities and EU competitiveness study (Draft, 2020)

Overall Investments

Innovators in the overall wind value chain have managed to attract considerable levels of early stage and late stage investments. However, the vast majority of early stage and late stage investments in the wind energy sector were made outside of Europe with the US and India benefiting from large investment volume. Only for wind rotors, 69% of the total amount of early investments and 63% of late stage private investments occurred in the EU 98 .

Commercial banks have increased their financing of offshore wind projects, helped by the stable policy frameworks in some countries and the participation of public finance institutions such as the EIB. Also, competitive tender schemes and EC State Aid Guidelines play a role in investment: the shift from feed-in–tariffs to tender-based support schemes promoted by the EEAG has resulted in highly competitive price bidding from mid-2016 onwards. So far, more than 3.1 GW of offshore capacities have been allocated under zero-subsidy bids in Germany and the Netherlands, and bid prices have decreased in tenders held in Denmark and in the United Kingdom. Across all EU countries a cumulative offshore wind capacity of about 13 GW has been allocated through competitive tendering procedures, which are expected to be commissioned until 2025 99 , 100 . Given the small number of large wind farms that reach final investment decision each year and the heterogeneity of the national investment frameworks, investment figures can be volatile year on year. 

Figure 23 New offshore wind investments and capacity financed 2010 – 2019 (EUR billion)

Source 23 WindEurope

Globally, investment in offshore wind would need to grow substantially over the next three decades, with overall cumulative investment of over USD 2750 billion 101 from now until 2050. Annually, average investment would need to increase more than three-fold from now until 2030 and five-fold until 2050. Major investments are required for rapid installation of new OW power capacities 102 .

As mentioned in section 3.1, an assessment of modelling works show that offshore wind is important in decarbonisation scenarios.

Figure 24 Investment needs until 2050 for both offshore and onshore

Source 24 JRC-TIMES ‘Zero Carbon’ scenario

 
According to the JRC-TIMES ‘Zero Carbon’ scenario
, investment in wind energy clearly dominates among the different low carbon energy technologies with about EUR 3 170 billion until 2050 of which EUR 995 billion are deployed offshore (EUR 789 billion excluding the UK).

Figure 25 Investment needs in EU28 until 2050 for both offshore and onshore according to the LTS 103

Source 25 JRC-TIMES ‘Zero Carbon’ scenario

According to the main LTS decarbonisation scenarios, cumulative investments in offshore wind range between EUR 660 and EUR 770 B from 2030 onwards.

Public R&I funding

EU public R&D investments have grown from EUR 133 million in 2009 to EUR 186 million in 2018). Comparing the last three years of EU public R&D spending with its global competitors only Japan shows similar numbers.

As illustrated above, R&D funding in wind energy has been growing considerably in Japan over the last decade with strong governmental support to the Japanese floating wind energy industry 104 . However, when plotting investments in R&I vs deployment, it appears that biggest capacity installed in the US, followed by EU.

Figure 26 Capacity additions of these countries in the same period 2016-2018

Source 26 JRC based on GWEC 2020

Figure 27 Cumulative capacity installed in 2019

Source 27 JRC based on GWEC 2020

At the EU level, the R&I priorities include all aspects aimed to provide secure, cost-effective, clean and competitive energy supply, such as new turbine materials and components, resource assessment, grid integration, offshore technology, floating offshore wind, logistics, assembly, testing and installation, maintenance and condition-monitoring systems and airborne wind energy systems, among others (see  Figure 28 ).

Figure 28 Evolution of EC R&I funding categorised by R&I priorities for wind energy under FP7 and H2020 programs and number of projects funded in the period 2009-2019

Source 28 JRC 2020 105

In the period 2009 – 2019, Horizon 2020 and its predecessor FP7 have granted funds of about EUR 496 million to these aspects, putting the strongest emphasis in terms of funds on research in offshore technology (EUR 150 million) followed by floating offshore wind, new materials & components and maintenance & monitoring.

Private R&I funding

In general, in Europe around 90% of the R&I funding in (onshore and offshore) wind energy comes from the private sector 106 . R&I investments in Europe are highly concentrated in Germany, Denmark and Spain, accounting for 77% and 69% of EU corporate and total R&D funding respectively 107 .

Private investment into wind rotors is responsible for 1% of total investment in wind in RoW markets but ~ 20% in European markets over the 5-year period 108 .

Patenting trends 109

Europe has the highest specialisation index (indicating the patenting intensity) in wind energy compared to the rest of the world 110 . The EU wind rotors accounted for 67% of the high value patent application between 2014 and 2016 111 (see Figure 29 ).

Figure 29 International comparison of the inventions filed and high value inventions in wind energy technologies 112

Source 29 JRC 2020112

With its annual growth rate of 50% in 2000-2016, China ranks first in wind energy inventions after overtaking from the EU in 2009, which had been world leader since 2006110. However, Chinese patenting activity is aimed for protection in its national market. Of the more than 70% of patenting inventions filed on wind energy technologies, about 2% were high value inventions 113 (vs around 60% of high value inventions for Europe and the United States).

Figure 30 Patent applications (left) and top 10 countries for patent applications (total 2014-2016) (right)

Source 30 ICF, commissioned by DG GROW - Climate neutral market opportunities and EU competitiveness study (Draft, 2020)

Publications / bibliometrics

The leading EU organisations in offshore wind publications in the period 2010 -2019 come from the leading countries in offshore wind deployment (Denmark, Germany, the Netherlands and the United Kingdom) but also from countries expected to be future offshore wind markets (Spain) or which are engaging in emerging offshore wind technologies such as floating offshore wind (Norway and Portugal). Research is predominantly published as conference papers or scientific articles with the latter increasing steadily their share from about 27% in 2010 to 48% in 2016, which might be an indication that offshore wind research matured ( Figure 31 ). Yet preferred collaborations between organisations seem to be affected by geographical or historical reasons as they can build already on a strong national cooperation. Among others a focus on research in monopiles, steel constructions and grouted joints, numerical modelling and dynamic analysis of floating offshore wind turbines can be identified from bibliometrics. Co-publication activity among the different research organisations is found to be rather limited indicating that there is an untapped potential for cross-border research collaboration 114 .

Figure 31 Evolution of publication activity in offshore wind in Europe (2010 – 2019)  115

Source 31 JRC 2019

Comparing publication activity on a global level unveils that EU is leading in publishing activity in the area of wind turbine blades and offshore support structures, followed by the United States and China (see Figure 32 )

Figure 32 EU28 and others publishing on offshore support structures, 1996-2016

Source 32 JRC based on TIM with data from Scopus 116 , 117

3.2.2.Value chain analysis

Since the value chains of offshore and onshore wind largely overlap, this section addresses both of them. For the onshore-specific part of the value chain, please refer to Value chain analysis in the chapter on onshore wind.

Europe is a recognized market leader in the wind energy and wind rotor sectors: 48% of active companies in the wind sector are headquartered in the EU compared to the RoW 118 . European manufacturers capture around 35% to 40% of the global wind turbine value chain (China almost 50%). The European OEMs in the wind energy sector have held a leading position in the last few years although their market share has decreased in 2018 mainly in favour of the Chinese OEMs. Within the next decade, Europe will maintain its leadership position in annual growth, yet China, Asia Pacific and North America are expected develop a significant market size (i.e. installed capacity) of more than 50% 119 . Among the top 10 OEMs in 2018, European OEMs led with 43 % of market share, followed by the Chinese (32 %) and North American (10 %) companies (see Figure 33 ).

The (onshore and offshore) wind energy sector is globalising, which brought an increasing number of mergers and acquisitions (M&A) over the last few years. Of the 58 M&A since 2010, 26 operations were between European companies 120 .

Figure 33 Share of EU Market Size to Global Market, Value Chain Segment: 2020

Source 33 ASSET Study commissioned by DG ENERGY - Gathering data on EU competitiveness on selected clean energy technologies (Draft, 2020)

Figure 34 Evolution of global Top10 wind Original Equipment Manufacturers (OEM)

Source 34 JRC (2019), Wind Energy Technology Market Report

Figure 35 Top Key Market Players and Market Share, Global, 2020

Source 35 Guidehouse Insights (2019)

The main components of offshore wind comprise foundations; substations (transforming generated power); electric offshore wind cables; and installation vessels. Europe’s offshore wind industry is driven by a strong home market that accounts for about 91% of worldwide offshore capacity fully commissioned by mid-2016.

Components of (offshore and onshore) wind turbines are manufactured either in-house of by independent suppliers. For most critical wind turbine components, leading OEMs have in-house manufacturing capability, except for the gearbox component, which is outsourced by almost all turbine vendors121.

Most European manufacturing facilities are located in the country of the company’s headquarter or countries with increased wind energy deployment. 48% of active companies in the wind sector are headquartered in the EU. Specifically for wind rotors, the share of EU companies is 58%, with most headquartered in Germany, Denmark and France. Europe is leading in all parts of the value chain for sensing and monitoring systems for onshore wind turbines, including research and production 121 .

OEMs also locate their manufacturing facilities in countries where they supply wind turbine components and services, except for Gamesa (ES) and Senvion SE (DE), whose manufacturing facilities are only placed in their country of origin. Smaller OEMs tend to locate their facilities around their headquarters 122 .    

The EU wind sector has shown its ability to innovate: the EU is leading in the parts of the value chain dealing with sensing and monitoring systems for onshore wind turbines, including research and production. Also, the EU wind industry has high manufacturing capabilities in components with a high value in wind turbine cost (towers, gearboxes and blades), as well as in components with synergies to other industrial sectors (generators, power converters and control systems).     

Figure 36 Onshore and offshore wind Energy value chain

Source 36 EUs Global Leadership in Renewables: Progress Report (2020)

In the context of the potential impact of Covid-19 on the value chain, the forecasts for offshore wind remain unchanged 123 given that many European projects are already at a late stage of construction. Moreover, offshore wind has longer lead times than onshore wind. Many projects are expected to be commissioned from 2021/22 onwards.

Number of companies in the supply chain, incl. EU market leaders

48% of active companies in the wind sector are headquartered in the EU. 7 out of the top 10 countries where these companies are located are within the EU, with the UK and Germany standing out 124 .

Figure 37 Share of EU companies (Left) and Top 10 countries (number of companies)

Source 37 ICF, commissioned by DG GROW - Climate neutral market opportunities and EU competitiveness study (Draft, 2020)

In 2019 the European market consisted of four offshore wind turbine manufacturers 125 . The squeeze on revenue streams from auctions is reflected in rapid supply-side consolidation. Siemens Gamesa Renewable Energy (SGRE) supplied 62% of all the new grid-connected capacity in the EU (which are 323 turbines in 2019). MHI Vestas Offshore wind supplied 28% in 2019; GE Renewable Energy 7%; and Senvion 3% 126 . European offshore wind projects coming online in the period 2020-2024 suggest that Siemens Gamesa Renewable Energy (SGRE) will maintain its leadership position (56%), yet GE Renewable Energy (26%) will surpass MHI Vestas Offshore Wind (18%) due significant deployments in the UK and Portugal 127 . The share of EU companies in the wind rotors sector is 58%, with most headquartered in Germany, Denmark, the UK and France 128 .

Monopile foundations dominate the European market (74% of total capacity installed), followed by other concepts such as tripods and jacket structures. Leading EU foundation suppliers are located in the North Sea and Baltic Sea countries. They anticipate to the on-going trend towards next generation turbines by providing XL monopiles. With regards to the suppliers, Sif Netherlands (NL) supplied half of all foundations in 2019, followed by Lamprell (Saudi Arabia - 19%), Navantia-Windar Consortium (ES - 11%), Bladt Industries (DK - 10%) and EEW Group (DE - 9%). Since 2015 the European market is led by EEW Group and Sif Netherlands. Other European companies capable to manufacture offshore foundations include Smulders (Eiffage Group) (FR) and Steelwind Nordenham (Dillinger Group) (DE) -. Due to the increased number of projects being installed in deeper waters and further away from shore, jacket foundations and gravity base foundations are becoming more popular. In addition to the aforementioned monopile suppliers (Bladt Industries, Smulders (Eiffage Group)) Navantia (ES), Lamprell (VAE) and Burntisland Fabrications Ltd (UK) have a track record in supplying jacket foundations for offshore wind projects in deeper waters.

In offshore wind, only a limited number of tower manufacturers exist, due to high technological requirements. The component is usually sourced locally, with manufacturers based in Europe’s main offshore wind markets (Denmark and Germany).

The offshore wind substations, transforming the power generated to grid voltage, mainly use High Voltage Alternating Current (HVAC) as the benefits of current High Voltage Direct Current (HVDC) technology (i.e. minimized losses) are displaced by higher costs and system complexity, such as construction of substation topsides. European manufacturers (CG Power Systems (BE), Siemens AG (DE), ABB, GE Grid Solutions (FR), Chantiers de l'Atlantique (FR), Aibel AS (NO)) lead the worldwide market of the main electrical components of HVAC and HVDC (see section on smart grids) and the design and engineering of electrical offshore substations for offshore wind farms. Shortage in supply might only come from unforeseen increased demand from other sectors. About 55 % of offshore wind substations use jacket foundations. Manufacturing of substation foundations is outsourced to the aforementioned foundation suppliers.

The demand for offshore wind cables includes array cabling connecting wind turbines, as well as export cables connecting wind parks to the shore. For both sub-technologies more than multiple European cable manufacturers supply products and have recently increased their capacities to meet EU demand. However, the last years brought a stronger concentration in the European offshore cable market (e.g. with ABB selling its cable branch to NKT or Prysmian Group acquiring NSW). European offshore cable manufacturers locate their facilities all over Europe (IT, ES, DE, EL, RO, SE, UK, NO, FI). Outside Europe, Asian suppliers from China, South Korea and Japan show capabilities in offshore wind cabling. With respect to HV export cables the European manufacturers Nexans (FR), NKT (DK) and Prysmian Group (IT) are the global market leaders. Array cabling currently undergoes a shift from 33 kV towards 66 kV cabling. Most companies (such as Prysmian Group (IT), JDR Cables (UK) or Cablel Hellenic Cables Group (EL)) seem capable to undertake this shift; however, lengthy processes towards product commercialisation might result in bottlenecks. Notably, some of the Asian manufacturers also entered other markets such as LS Cable & System (KR) providing the array cabling to the Kriegers Flak OWF (DK) and the Block Island OWF (US).

Figure 38 Manufacturing facilities of onshore and offshore wind energy components in Europe

Source 38 July 2020 update based on JRC 2019 Technology Market Report 129

The offshore wind industry uses jack-up vessels and heavy-lift vessels to install wind turbines, foundations, transition pieces and substations. The move towards wind turbines with higher capacity, longer blades, higher towers, and XL foundations capable to operate at deeper waters, resulted in a significant increase of the vessels' weight and size, a trend that is expected to continue in the mid-term. The decisive figures of a vessel are its size and crane capacity, with the latter being currently upgraded at more and more vessels. Compared to crane capacities in 2010 of about 800 t, current crane standard capacities range between 900 t to 1 500 t. In the short term industry expects crane sizes of 1 800 t to be the norm. At the same time, the downturn of the oil industry made more vessels available for the offshore wind market, which led to disinvestments of first-generation vessels. The market for installation vessels is clearly dominated by European companies covering the broadest crane capacity range. This includes the heavy-lift vessels with the highest crane capacity Saipem 7000 (14 000 t) and Heerema's Thialf (15 652 t). Notably, the first move of the fossil-fuel player Saipem into the offshore wind turbine installation market was at the Hywind floating offshore wind project in Scotland for Equinor. In Europe, but also globally, increased crane capabilities will especially be needed in the area of foundations, where current monopiles (ranging at about 1 200 t) are already reaching the limits of most vessels. Future XL monopiles weighing 2 000 t are already in the pipeline, and could lead to bottlenecks in vessel availability. Similarly, the installation of weighty offshore substations (foundations and topsides) requires heavy-lift vessels with significant crane capacity 130 129. With together more than 50% since 2010, the EU market for turbine and foundation installers is led by DEME Offshore (BE) and Van Oord (NL), yet the sector sees multiple other players with significant market share over the last years (e.g. Fred Olsen (NO), Jan de Nul (BE), Swire Blue Ocean (DK), Subsea 7 (UK), Boskalis (NL), OHT Management (NO), Saipem (IT)). Boskalis is leading the market for the installation of cables, however also major cable manufacturers are among the strongest competitors (Prysmian Group and NKT) 131 . An increased future deployment of floating offshore concepts necessitates substantial investments in port infrastructure and crane capacity for lifting at the quayside as most floating offshore wind concepts will be fully assembled at the port before towed-out to the power plant site.

Figure 39 Leading market players in the offshore wind industry, 2018

Source 39 IEA analysis based on BNEF (2019)

Turnover

Overall, the wind energy sector generates a turnover of EUR 48 billion (2017) 132 . Turnover in the sector has grown 19% between 2015 and 2017. The Member States that generate the most are Germany, Denmark and Spain.

Employment figures 133  

Overall, the wind energy sector employs 357 000 Europeans directly and indirectly (2017) 134 . Employment in the sector has grown 13% between 2015 and 2017. The Member States that employ the most are Germany, Spain and Denmark 135 .

The current number of jobs in the European offshore wind sector is 77 000 (38 000 direct jobs and 39 000 indirect jobs) 136 . Due to the globalisation of the wind energy sector (both onshore and offshore), the number of mergers and acquisitions increased over the last years. These transactions have consolidated the market, with wind players increasing their market share and economies of scale. Although this restructuring led to stable operating profits, the industry also witnessed significant job cuts in recent years, which were mainly limited to the onshore wind sector 137 .

Figure 40 Evolution of specific employment (Direct employment / cumulative installed capacity) in onshore and offshore wind in Europe

Source 40 JRC based on WindEurope and GWEC

Figure 41 Employment in Wind Power (top 10 EU countries, 2017)

Source 41 ICF, commissioned by DG GROW - Climate neutral market opportunities and EU competitiveness study (Draft, 2020)

Case studies estimating the workforce needed to build an offshore wind farm see employment factors declining over the latest years as the learning effect improves with more capacity installed in the sector. Direct job estimates on single projects (given in full time equivalent years) range from 16.3 – 15.8 FTE/MWproject for projects in the period 2013-2016 138 , 139 . Due to productivity improvements, some studies estimate a further decrease in specific direct labour requirements to 9.5 FTE/MWproject by 2022 140 . Although these numbers show the expected learning effect they cannot directly be used to estimate the number of total jobs in the entire industry as the extrapolation from project-level capacity to installed capacity in the market would lead to double counting and thus an overestimation. Current econometric models estimating the number of jobs using employment factors, trade data and/or contribution to the GDP of the sectors involved shows direct and indirect figures ranging from 2.2 to 5.1 FTE/MWInstalled 141 , 142 , 143 , 144 , 145 .

ProdCom statistics

During 2009-2018, the annual production value of wind rotors in the EU remained stable between EUR 6.3 billion (2010) and EUR 10.3 billion (2016). Denmark accounts for around half of the EU production and Germany is the second largest producer.  146

3.2.3.Global market analysis

In the wind sector, Europe has both industrial and technological leadership (Europe showing manufacturing overcapacities in all key wind turbine components 147 ) and strong leadership in foundations and cables industry. Even though the European offshore wind industry is competitive and represents the largest part of global installed capacity, other global players are steadily coming up.

Today, seventeen countries worldwide host offshore wind projects, with an increasing number of new non-European countries entering the market (including Japan, South Korea, Taiwan, Vietnam and the United States) 148 . Within Asia (including China), offshore wind capacity are expected to reach around 95 GW by 2030 (out of almost 233 GW projected global capacity by 2030) 149 . Nearly half of the global offshore wind investment in 2018 took place in China 150 . The total installed costs are higher in Europe than in China because Chinese deployment so far has been largely in shallow coastal waters. Offshore wind in Asia is different from Europe from a technical perspective, since the Asian industry must adapt to more challenging water depths, less robust grids, extreme weather events and increased seismic activity.

Trade (imports, exports)

Between 2009 and 2018, EU28 exports in the wind sector (both on- and offshore) to the RoW have increased steadily, reaching EUR 2.32 billion in 2018 151 . Conversely, imports have remained constant between EUR 0.03 billion and EUR 0.17 billion. The EU28 share of global exports increased from 28% in 2016 to 47% in 2018. Between 2009 and 2018, the EU28 trade balance has remained positive and with a rising trend. Between 2016 and 2018, 8 out of the top 10 global exporters were EU countries. Key RoW competitors are China and India.

Figure 42 Exports - Global, EU28 Total and EU Share

Source 42 ICF, commissioned by DG GROW - Climate neutral market opportunities and EU competitiveness study (Draft, 2020)

Figure 43 Top 10 Global Exporters (Total 2016-2018)

Source 43 ICF, commissioned by DG GROW - Climate neutral market opportunities and EU competitiveness study (Draft, 2020)

About 93% of the total offshore capacity installed in Europe in 2019 is produced locally by European manufacturers (Siemens Gamesa Renewable Energy, MHI Vestas and Senvion). A global trade analysis by OECD (2020) shows that while installed capacity of wind power is increasing globally, most of the annually added installations (global) are wind turbines made by foreign manufacturers ( Figure 44 ). Imports of wind turbines accounted for approximately 70% of the globally added capacity in 2015 152 .

Figure 44 Installed capacity (onshore & offshore) – local versus imports

Source 44 OECD 2020

Comparing this global data with data from the JRC wind database on project location and turbine models used, unveils that similar findings on European level can only be derived when assuming intra-European trade (an export of a German turbine to Spain is treated as an import in Spain). In this case 75% of the European added capacity in 2018 is imported, yet 5 to 9 percentage points less than in the period 2010-2012 ( Figure 45 ).

Figure 45 Newly installed wind capacity (onshore & offshore) in Europe - local vs imported assuming intra-European trade (distinction based on country level)

Source 45 JRC 2020 153

The picture changes significantly when assuming that the EU28 as a single market. In this case, the share of local European production is found at 92% in 2018, a similar value as in the previous years153.

Figure 46 Newly installed wind capacity (onshore & offshore) in Europe - local vs imported assuming an European single market

Source 46 JRC 2020153

Global market leaders VS EU market leaders

While parts of the EU market are maturing, there are still important development opportunities across Europe, notably in South and Eastern Europe.

Figure 47 Global market share of offshore turbine manufacturers in 2019

Source 47 JRC 2020, Facts and figures on Offshore Renewable Energy Sources in Europe, JRC121366 (upcoming)

Critical raw material dependence

A potential risk of offshore wind energy concerns the supply of raw materials. This paragraph considers the critical raw material dependence of both offshore and onshore wind energy since their raw material usage is similar to a large extent. EU companies are ahead of their competitors in providing offshore generators of all power ranges, due to a well-established European offshore market and the increasing size of newly installed turbines 154 . Wind turbine blades are often made up of composite materials, which are difficult to recycle/re-manufacture. 2.5 million tonnes of composite material are in use in the wind sector globally. 14 000 wind turbine blades will be decommissioned in Europe the next five years. This is a major challenge, both environmentally and economically. On the one hand, there is a need to reduce polluting extraction of raw materials. On the other hand, the European economy may be dependent on raw materials produced in third countries. Applying circular economy approaches, along the life-cycle of installations, is therefore key.

Currently, there is no European production of the four main materials used for the production of wind rotors (i.e. boron, molybdenum, niobium and REEs). For other raw materials, the EU share of global production is below 1% 155 . China is the largest global supplier for about half of the raw materials needed for wind generators. The EU import reliance for processed REEs (especially neodymium, dysprosium, and praseodymium) used for permanent magnets, is 100%, with 98% being supplied by China ( Figure 48 ). Future materials shortage or supply disruptions could prove to be a risk, given the low substitutability for many raw materials, especially those in high-tech applications 156 . The European Commission proposes an action plan in its communication on critical raw materials 157 to address the issues of overdependence on single supplier countries. 

Figure 48 Market statistics of raw materials contained in wind turbines

Source 48 JRC 2019 158

3.2.4.Future challenges to fill technology gap

Social opposition against onshore wind energy, coupled with the depletion of onshore wind sites in selected countries and Western Europe’s relatively high acceptance of new technology for rotors and environmental pressures should create opportunities for more innovation and start-up growth in the offshore wind sector. In order for offshore wind energy to play its expected role in the energy transition, further innovations and actions are needed in specific areas.

The technology for floating offshore wind in deep waters and harsh environments is progressing steadily towards commercial viability 159 . Floating applications seem to become a viable option for EU countries and regions lacking shallower waters (floating offshore wind for depths between 50-1000 metres) and could open up new markets such as the Atlantic Ocean, the Mediterranean Sea and potentially the Black Sea. Therefore, floating offshore wind is one of the EU’s R&I priorities; increased R&I could foster EU competitiveness.

The first multi-turbine floating project was Hywind Scotland with a capacity of 30 MW, commissioned in 2017 by Equinor, followed by the Floatgen project in France and the WindFloat Atlantic in Portugal. There is a pipeline of projects that will lead to the installation of 350 MW of floating capacity in European waters by 2024 which would need to accelerate afterwards 160 , 161 . Moreover, the EU wind industry targets 150 GW of floating offshore by 2050 in European waters in order to become climate-neutral 162 . The global market for market for floating offshore wind represents a considerable market opportunity for EU companies. In total about 6.6 GW of floating is expected until 2030, with significant capacities in selected Asian countries (South Korea and Japan) besides the European markets (France, Norway, Italy, Greece, Spain). Due to good wind resources in shallow waters, no significant floating offshore capacity is expected in China in the mid-term 163 .

Harvesting renewable energy where there is abundance such as in the seas and oceans is key priority, but it is not enough to reach the 2050 targets. Infrastructure to bring offshore energy onshore is key for the development of offshore wind energy since the renewable energy generated needs to be delivered to the consumers on land. High Voltage Direct Current (HVDC) has been identified as the most efficient and cost effective grid technology enabling to convey high amounts of energy over long distances and allowing the integration of increasing shares of renewables in the energy system.

Ports could play an essential role in manufacturing and assembly of foundations, production of large components (e.g. blades, towers), electrical infrastructure such as the substations, installation, operation and maintenance of wind farms. Accommodating floating offshore wind development will however require significant investments in upgrading port infrastructure (e.g. quays, dry-docks). Moreover, ports can also serve as hubs where sector coupling of wind energy and power-to-x takes place, efficiently converting and storing excess energy. According to WindEurope at least fourteen European ports have dedicated wind activities and are located mainly in the Northern Sea, Atlantic and Baltic Sea. Greening of ports and related operations are considered a priority, as well as in the opportunities arising from floating offshore wind, storage and hydrogen production 164 .

Shipping is also a key enabler of the development of cost-competitive, efficient and sustainable offshore wind solutions: it could encourage the use of energy-efficient and environmentally friendly vessel serving functions across the full offshore project lifecycle, rewarding the use of vessels with limited to no GHG emissions. However, the transportation in the future of larger, heavier blades will require more planning at the design phase, and potentially difficult transportation logistics.

Optimisation of wind turbine design (turbine size and generators) is another important factor to address: next generation turbines are expected to increase the penetration of configurations with Permanent Magnet Synchronous Generators (PMSGs), because more and more powerful generators with a reduced size and weight will be demanded. Optimisation can also go hand in hand with digitalisation, including automated solutions in manufacturing, better weather and output forecasting, and predictive maintenance. Innovations around blade design (computational fluid dynamics), asset monitoring (drones, robotics) and predictive maintenance (Artificial Intelligence) can improve performance and contribute to LCOE savings. Edge computing is also expected to be a future growth area 165 .

Circularity encompassing the production, operation and removal of offshore wind farms are important to consider as well. It includes, among other activities, the need for solutions on lifetime extension, decommissioning and recycling of materials such as wind turbine blades. Planning for blade recycling relies heavily on visual inspection, which does not offer accurate assessment of the sub-surface materials. Additionally, much of the composite materials used in blades is made of a thermosetting matrix, which cannot be remolded for later use 166 . However, the fiberglass and composites recycling capability is evolving. Improving both the lifetime and circularity of offshore wind farms is important for reducing societal costs, but also relevant in the context of dependencies on critical raw materials, especially since the EU is not self-sufficient in any of the relevant raw materials and thus highly dependent on imports. New composite technology (thermoplastics/thermoplastic-behaving materials) increases recycling options 167 .

Environmental considerations are also important to address in the development of offshore wind energy, including am increased understanding of the ecological impacts of large-scale offshore wind. Maritime Spatial Planning (MSP) can be considered an instrument for balancing sea uses and the marine ecosystem sustainably 168 . What is unique about the European roll-out of offshore wind is the division of European waters are divided into different zones, with the potential to develop cross-border and interconnected projects. This highlights the convenience of coordinating grid integration and connection internationally (ultimately working towards a trans-European energy network), including further research into innovative grid elements. The upcoming Offshore Renewable Energy Strategy addresses long-term offshore grid planning taking into account aspects related to maritime spatial planning and potential H2/P2X facilities and smart sector integration. This could ensure vital co-existence with maritime transport routes, traffic separation schemes, anchorage areas, and port development and synergies support the decarbonisation of the maritime transport and logistic industry.

Lastly, it remains to be seen how the UK’s departure from the EU will affect value chains, particularly given the strong emphasis on local supply chain development and UK sourcing as a precondition for award of a Contract for Difference in the UK market 169 .

(1)  The first annual report from the Commission to the European Parliament and the Council on progress of clean energy competitiveness (COM(2020)953) has been drawn up in accordance with the requirements of Article 35 (m) of Regulation (EU) 2018/1999 (Governance Regulation)
(2) https://setis.ec.europa.eu/newsroom/news/low-carbon-energy-observatorys-2018-reports-technology-development-and-technology
(3)

Batteries; Buildings (incl. heating and cooling); CCS; Citizens and communities engagement; Geothermal; High Voltage Direct Current and Power Electronics; Hydropower; Industrial heat recovery; Nuclear; Onshore wind; Offshore wind; Renewable fuels; Renewable hydrogen, Smart cities and communities; Smart Grids – Digital infrastructure; Solar thermal power; Solar photovoltaics.

(4) …ability to, in free and equal market conditions, produce goods and services that previously pass the test of international markets, ensuring retention and long-term increase in the real income of the population (OECD, 1995); … a country’s share of world markets for its products. This makes competitiveness a zero-sum game, because one country’s gain comes at the expense of others (Porter et al., 2008); …capacity to “do what no one else can do”, i.e. the capacity to innovate (Ovans, 2015); “The set of institutions, policies and factors that determine the level of productivity of a country." (World Economic Forum, 2020) from: JRC116838, Asensio Bermejo, J.M., Georgakaki, A, Competitiveness indicators for the low-carbon energy industries - definitions, indices and data sources, 2020.
(5) Competitiveness Council Conclusions (28.07.20) 
(6)  In this year edition, data on specific indicators are still missing for specific technologies/topics. The missing indicators have been removed from each technology/topic section and summarized in a table at the end of the document
(7)  This indicator is only considered at macro level (see section 2).
(8) This abbreviation means Production Communautaire (PRODCOM dataset)
(9)  JRC116838, Asensio Bermejo, J.M., Georgakaki, A, Competitiveness indicators for the low-carbon energy industries - definitions, indices and data sources, 2020
(10) COM(2019) 640 final. https://eur-lex.europa.eu/resource.html?uri=cellar:b828d165-1c22-11ea-8c1f-01aa75ed71a1.0002.02/DOC_1&format=PDF
(11) Communication from the Commission, A Clean Planet for all - A European strategic long-term vision for a prosperous, modern, competitive and climate neutral economy. COM (2018) 773 final
(12)

 Report from the Commission to the European Parliament and the Council on progress of clean energy competitiveness - COM(2020)953

(13) EEA Report No 03/2020: Trends and drivers of EU greenhouse gas emissions
(14) Eurostat, Structural Business Statistics Survey [sbs_na_sca_r2].
(15) EurObserv’ER.
(16) World Input-Output Database: NACE D35: Electricity, gas, steam and air conditioning supply.
(17) Value added at factor cost of energy utilities (D35) sector was EUR 200 billion in 2017 (current prices) (Eurostat, SBS). Value added at factor cost of broad energy sector in 2017 was EUR 253 billion. For international comparison World Input-Output Database was used, because Eurostat only covers EU countries.
(18) Based on World Input-Output Database data for NACE-code D35: Electricity, gas, steam and air conditioning.
(19) Data for capital intensity not available. Future reports may include “Multi-Factor-Productivity” data, which would include labour, capital and the residual to showcase where the productivity has come from.
(20)

EurObserv’ER includes whole value chain approach. Socio-economic indicators for the bioenergy sectors (biofuels, biomass and biogas) include the upstream activities in the agricultural, farming and forestry sectors as well.

(21)  Report from the Commission to the European Parliament, the Council, the European Economic and Social Committee and the Committee of the Regions on energy prices and costs in Europe (COM(2020)951)
(22)  These data sets have not been updated since 2016.
(23)  Plausible reasons include the exhaustion of EU gas sources, weather variability, the economic crises and fuel shift.
(24) European Commission. (2020). European Commission, Critical materials for strategic technologies and sectors in the EU - a foresight study. Luxembourg: Publications Office of the European Union.
(25) Percentage in the pie charts per technology refers to the share of material component used based on their EoL recycling rate in the chart below. So e.g. wind turbines use 13% of material components with EoL of more than 50%, that is, lead, cadmium, copper and silver.
(26)

 Mathieux, F., Ardente, F., Bobba, S., Nuss, P., Blengini, G. A., Alves Dias, P., Blagoeva, D., Torres De Matos, C., Wittmer, D., Pavel, C., Hamor, T., Saveyn, H., Gawlik, B., Orveillon, G., Huygens, D., Garbarino, E., Tzimas, E., Bouraoui, F., & Solar, S. (2017). Critical raw materials and the circular economy - Background report (Issue December).

(27)

 Based on EurObserv’ER. Assessment based on modelling is highly sensitive to assumptions used, such as installation rate, which results in high yearly variation, particularly in the wind jobs.

(28)

 Others include solar thermal, waste and geothermal energy. 

(29) Bloomberg NEF, available at: https://www.bnef.com/shorts/2165?query=eyJxdWVyeSI6InNvbGFyIHB2IGpvYnMgcGVyIE1XIiwicGFnZSI6MSwib3JkZXIiOiJyZWxldmFuY2UifQ%3D%3D&query=eyJxdWVyeSI6InNvbGFyIHB2IGpvYnMgcGVyIE1XIiwicGFnZSI6MSwib3JkZXIiOiJyZWxldmFuY2UifQ%3D%3D
(30)  Based on EurObserv’ER data in 2015-2018 period.
(31)

 Eurostat SBS.

(32) Based on OECD STAN Database for Structural Analysis (ISIC Rev. 4 SNA08) 2020 ed.
(33)  Based on World Input-Output Database.
(34)  Alves Dias et al. 2018. EU Coal regions: opportunities and challenges ahead. https://ec.europa.eu/jrc/en/publi cation/eur-scientific-and-technical-research-reports/eu-coal-regions-opportunities-and-challenges-ahead. Strategy baseline to bridge the skills gap between training offers and industry demands of the Maritime Technologies value chain, September 2019 - MATES Project. https://www.projectmates.eu/wp-content/uploads/2019/07/MATES-Strategy-Report-September-2019.pdf
(35)  IRENA. 2019. Renewable Energy: A Gender Perspective.
(36)  This is defined as low-carbon emission generation technologies, including renewables, nuclear, and advanced/low emission natural gas.
(37) US Energy and Employment Report, 2020
(38) EIGE, 2017
(39) WGE&ET_EU, 2019
(40)  Baruah, B., ‘Renewable inequity? Women’s employment in clean energy in industrialized, emerging and developing economies’, Natural Resources Forum, 41(1), 2017, pp. 18‑29.
(41)  EIGE, 2016
(42) WISE (Women in Solar Energy) (2017), Women employment in urban public sector, http://www.wiseproject.net/downl/final_ wise_project_report.pdf
(43) US Energy and Employment Report, 2020
(44)

JRC SETIS https://setis.ec.europa.eu/publications/setis-research-innovation-data ;

JRC112127 Pasimeni, F.; Fiorini, A.; Georgakaki, A.; Marmier, A.; Jimenez Navarro, J. P.; Asensio Bermejo, J. M. (2018): SETIS Research & Innovation country dashboards. European Commission, Joint Research Centre (JRC) [Dataset] PID: http://data.europa.eu/89h/jrc-10115-10001 , according to
JRC Fiorini, A., Georgakaki, A., Pasimeni, F. and Tzimas, E., Monitoring R&I in Low-Carbon Energy Technologies, EUR 28446 EN, Publications Office of the European Union, Luxembourg, 2017

JRC117092 Pasimeni, F., Letout, S., Fiorini, A., Georgakaki, A., Monitoring R&I in Low-Carbon Energy Technologies, Revised methodology and additional indicators, 2020 (forthcoming)

(45) COM(2015)80 Low-carbon energy technologies under the Energy Union R&I priorities; renewables, smart system, efficient systems, sustainable transport, CCUS and nuclear safety
(46) With the exception of China, where local applications keep increasing, without seeking international protection.(see also Are Patents Indicative of Chinese Innovation? https://chinapower.csis.org/patents/ )
(47) High value patent families (inventions) are those containing applications to more than one office i.e. seek protection in more than one country / market.
(48) European Commission (2020), Publications as a measure of innovation performance: Selection and assessment of publication indicators. Report in progress under tendered study 2018/RTD/g1/OP/PP-07481-2018 authored by Provencal, S; Khayat, P., and Campbell, D., Science Metrix.
(49)  The study focused on SET Plan key actions: No 1 in Renewables, Smart Solutions for Consumers, Smart, Resilient and Secure Energy System, Energy Efficiency in Buildings, Energy Efficiency in Industry, Batteries and e-Mobility, Renewable Fuels and Bioenergy, Carbon Capture Utilisation and Storage, Nuclear Safety
(50) Specialisation is expressed as the share of publications in the field contrasted with that observed globally
(51) COM(2019) 640 final. https://eur-lex.europa.eu/resource.html?uri=cellar:b828d165-1c22-11ea-8c1f-01aa75ed71a1.0002.02/DOC_1&format=PDF
(52)  ASSET Study commissioned by DG ENERGY - Energy Outlook Analysis (Draft, 2020)
(53)

The 2030 Climate target plan, COM(2020) 562 final 

https://ec.europa.eu/clima/sites/clima/files/eu-climate-action/docs/com_2030_ctp_en.pdf

(54) The changes include some updates of techno-economic assumptions based on a review of the data both within the EC and through a stakeholder consultation (Autumn 2019). The changes also include an update of the policy context (cut-off date for policies December 2019, therefore including coal phase out policies in a number of countries) and the update of the macro-economic context (based on the ageing report of autumn 2019). Finally, the changes concern the statistical database of the model (the LTS included preliminary statistical data until 2015, whereas the new scenarios include statistical data up to the year 2017).
(55) not taking into account conversion losses of direct fuel consumption at the end use. Results of GP ER are for OECD Europe. Results of IEA WEA SDS are for 2040. Data for 2018 are based no Eurostat.
(56) JRC116452: “Hydrogen use in EU decarbonisation scenarios”
(57)

 This is the result of a survey by Fraunhofer ISE commissioned by VDMA, comparing the cost ratios of production in Europe and China. VDMA Press Release, August 14, 2019

(58) For example, the IRENA GRO TES scenario projects that in the EU, USD 56 billion/year will be required for power grids and system flexibility, compared to the USD 78 billion/year required for RES technology deployment.
(59) Study on energy storage - Contribution to the security of the electricity supply in Europe (2020): : https://op.europa.eu/en/publication-detail/-/publication/a6eba083-932e-11ea-aac4-01aa75ed71a1
(60) Tsiropoulos I., Nijs W., Tarvydas D., Ruiz Castello P., Towards net-zero emissions in the EU energy system by 2050 – Insights from scenarios in line with the 2030 and 2050 ambitions of the European Green Deal, EUR 29981 EN, Publications Office of the European Union, Luxembourg, 2020, ISBN 978-92-76-13096-3, doi:10.2760/081488, JRC118592.
(61)

     EC, Onshore and offshore wind, https://ec.europa.eu/energy/topics/renewable-energy/onshore-and-offshore-wind_en , 2020.

(62) IRENA, Renewable Capacity Statistics, 2020.
(63)

 IEA, Offshore Wind Outlook 2019 - World Energy Outlook Special Report, 2019.

(64) GWEC, Global Wind Energy Report 2019, 2020.
(65) GWEC, Global Wind Energy Report 2019, 2020.
(66) JRC, ENSPRESO - WIND - ONSHORE and OFFSHORE. European Commission, Joint Research Centre (JRC) [Dataset] PID: http://data.europa.eu/89h/6d0774ec-4fe5-4ca3-8564-626f4927744e, 2019.
(67) Exclusive Economic Zone. Technical potentials include the territorial waters (12nm-zone) and areas with a water depth down to 1000m. For detailed restrictions on the technical potentials please refer to the JRC ENSPRESO dataset
(68)

 JRC, Low Carbon Energy Observatory, Wind Energy Technology Development Report 2020, European Commission, 2020, JRC120709.

(69) JRC, ENSPRESO - WIND - ONSHORE and OFFSHORE. European Commission, Joint Research Centre (JRC) [Dataset] PID: http://data.europa.eu/89h/6d0774ec-4fe5-4ca3-8564-626f4927744e, 2019.
(70) JRC, Deployment Scenarios for Low Carbon Energy Technologies. Deliverable D4.7 for the Low Carbon Energy Observatory (LCEO), 2018. JRC11291.
(71) JRC, Low Carbon Energy Observatory, Wind Energy Technology Development Report 2020, European Commission, 2020, JRC120709.
(72) IEA, Offshore Wind Outlook 2019 - World Energy Outlook Special Report, 2019.
(73) WRI, High Level Panel for Sustainable Ocean Economy, https://www.oceanpanel.org/news/oreac-1400-gw-offshore-wind-possible-2050-and-will-be-key-green-recovery, 2020.
(74) JRC, Low Carbon Energy Observatory, Wind Energy Technology Development Report 2020, European Commission, 2020, JRC120709.
(75) JRC, Low carbon energy technologies in deep decarbonisation scenarios - Deliverable D 440 for the Low Carbon Energy Observatory, European Union, Petten, 2019, JRC118354.
(76)

BNEF 2020 Interactive Datasets

(77)

 JRC, Facts and figures on Offshore Renewable Energy Sources in Europe, 2020, JRC121366 (upcoming).

(78) IRENA, Future of wind: Deployment, investment, technology, grid integration and socio-economic aspects (A Global Energy Transformation paper), International Renewable Energy Agency, Abu Dhabi, 2019.
(79)

JRC, Facts and figures on Offshore Renewable Energy Sources in Europe, 2020, JRC121366 (upcoming).

(80)

JRC, Low Carbon Energy Observatory, Wind Energy Technology Development Report 2020, European Commission, 2020, JRC120709.

(81) Eurobserv’ER, Wind Energy Barometer, 2020.
(82) Retrieved from https://www.portofrotterdam.com/en/news-and-press-releases/prototype-most-powerful-wind-turbine-in-the-world-haliade-x-12-mw-installed
(83)

JRC, Low Carbon Energy Observatory, Wind Energy Technology Development Report 2020, European Commission, 2020, JRC120709.

(84) UNEP & BloombergNEF, Global trends in renewable energy investment, 2019.
(85)

JRC, Low Carbon Energy Observatory, Wind Energy Technology Development Report 2020, European Commission, 2020, JRC120709.

(86) IEA, Offshore Wind Outlook 2019 - World Energy Outlook Special Report, 2019.
(87) Excluding transmission costs
(88) Excluding offshore wind floating technology.
(89)

JRC, Low Carbon Energy Observatory, Wind Energy Technology Development Report 2020, European Commission, 2020, JRC120709.

(90) These usually represent about 25 to 30% of total lifecycle costs for offshore wind farms (source: Röckmann C., Lagerveld S., Stavenuiter J. (2017) Operation and Maintenance Costs of Offshore Wind Farms and Potential Multi-use Platforms in the Dutch North Sea. In: Buck B., Langan R. (eds) Aquaculture Perspective of Multi-Use Sites in the Open Ocean. Springer, Cham)
(91) EUR 75.83 (1 USD = 0.84 EUR)
(92) EUR 42.13 (1 USD = 0.84 EUR)
(93) IEA, Offshore Wind Outlook 2019 - World Energy Outlook Special Report, 2019.
(94) https://setis.ec.europa.eu/system/files/setplan_wind_implementationplan_0.pdf
(95) JRC, Implementing the SET Plan - Progress from the Implementation working groups, 2020, JRC118272.
(96) JRC, Low Carbon Energy Observatory, Wind Energy Technology Development Report 2020, European Commission, 2020, JRC120709.
(97) EC, DG RTD Orientations towards the first Strategic Plan for Horizon Europe, 2019.
(98) ICF, commissioned by DG GROW - Climate neutral market opportunities and EU competitiveness study (Draft, 2020)
(99) JRC, JRC C.7 contribution to the SETWind Annual progress report, European Commission, 2020, JRC120592.
(100) JRC, Low Carbon Energy Observatory, Wind Energy Technology Market Report, European Commission, 2019, JRC118314.
(101) EUR 2310 billion (1 USD = 0.84 EUR)
(102) IRENA, Future of wind: Deployment, investment, technology, grid integration and socio-economic aspects (A Global Energy Transformation paper), International Renewable Energy Agency, Abu Dhabi, 2019.
(103)

 European Commission (2018). IN-DEPTH ANALYSIS IN SUPPORT OF THE COMMISSION COMMUNICATION COM(2018) 773 A Clean Planet for all A European long-term strategic vision for a prosperous, modern, competitive and climate neutral economy; and Capros et al. 2019, https://doi.org/10.1016/j.enpol.2019.110960.

(104) ICF, commissioned by DG GROW - Climate neutral market opportunities and EU competitiveness study (Draft, 2020)
(105) JRC, Low Carbon Energy Observatory, Wind Energy Technology Development Report 2020, European Commission, 2020, JRC120709.
(106) JRC, Low Carbon Energy Observatory, Wind Energy Technology Market Report, European Commission, 2019, JRC118314.
(107) JRC, Low Carbon Energy Observatory, Wind Energy Technology Market Report, European Commission, 2019, JRC118314.
(108) ICF, commissioned by DG GROW - Climate neutral market opportunities and EU competitiveness study (Draft, 2020)
(109) This section looks as both onshore and offshore wind patents, as much of the technology is similar.
(110) JRC, Low Carbon Energy Observatory, Wind Energy Technology Market Report, European Commission, 2019, JRC118314.
(111) ICF, commissioned by DG GROW - Climate neutral market opportunities and EU competitiveness study (Draft, 2020)
(112) JRC, Low Carbon Energy Observatory, Wind Energy Technology Market Report, European Commission, 2019, JRC118314.
(113) This means that the patents are protected in other patent offices outside of issuing country and refer to patent families that include patent applications in more than one patent office.
(114) JRC, JRC C.7 contribution to the SETWind report on Mapping R&I policies and priorities for offshore wind, European Commission, 2019, JRC118148.
(115) *Potentially incomplete data from 2017 onwards due to publishing delay and update process in SCOPUS
(116) JRC, Monitoring scientific collaboration trends in wind energy components: Bibliometric analysis of scientific articles based on TIM, 2018, JRC111622.
(117) A count of publication means that the country is represented by one or more organisations on the publication (e.g. three organisations from the same country on a publication are counted as one publication from that country)
(118) ICF, commissioned by DG GROW - Climate neutral market opportunities and EU competitiveness study (Draft, 2020)
(119) GWEC, Global Offshore Wind Report 2020, 2020.
(120) JRC, Low Carbon Energy Observatory, Wind Energy Technology Market Report, European Commission, 2019, JRC118314.
(121)  ASSET Study commissioned by DG ENERGY - Gathering data on EU competitiveness on selected clean energy technologies (Draft, 2020)
(122) WindEurope
(123)  BloombergNEF, 1Q 2020 Global Wind Market Outlook – Covid-19 wreaks havoc
(124) ICF, commissioned by DG GROW - Climate neutral market opportunities and EU competitiveness study (Draft, 2020)
(125) The fourth manufacturer (Senvion) went into insolvency in 2019, leading to further market consolidation.
(126)

An even stronger market concentration can be expected following the insolvency of Senvion and the closure of its Bremerhaven turbine manufacturing plant at the end of 2019

(127) Uihlein, A., Telsnig, T. & Vazquez Hernandez, C. JRC Wind Energy Database, Joint Research Centre, 2019.
(128) ICF, commissioned by DG GROW - Climate neutral market opportunities and EU competitiveness study (Draft, 2020)
(129) JRC, Low Carbon Energy Observatory, Wind Energy Technology Market Report, European Commission, 2019, JRC118314.
(130) JRC, Low Carbon Energy Observatory, Wind Energy Technology Market Report, European Commission, 2019, JRC118314.
(131) 4C Offshore, Global Market Overview Market Share Analysis Q1 2020, 2020.
(132) ICF, commissioned by DG GROW - Climate neutral market opportunities and EU competitiveness study (Draft, 2020)
(133) This section looks as both onshore and offshore wind patents, as much of the technology is similar.
(134) ICF, commissioned by DG GROW - Climate neutral market opportunities and EU competitiveness study (Draft, 2020)
(135)  EuObserver
(136)  Offshore renewable energy in the EU – Interservice meeting (updated with information from WindEurope in August 2020)
(137) JRC, Low Carbon Energy Observatory, Wind Energy Technology Market Report, European Commission, 2019, JRC118314.
(138) QBIS, Socio-economic impact study of offshore wind, 2020.
(139) IRENA, Renewable Energy Benefits: Leveraging Local Capacity for Offshore Wind, IRENA, Abu Dhabi, 2018.
(140) QBIS, Socio-economic impact study of offshore wind, 2020.
(141) WindEurope, Briefing note on Wind Energy Jobs: Onshore and Offshore Wind, August 2019.
(142) Deloitte/WindEurope, Local impact, global leadership – The impact of wind energy on jobs and the EU economy, 2017.
(143) WindEurope, The EU Offshore Renewable Energy strategy, June 2020. Updated figures on employment using the Deloitte/WindEurope model.
(144) Ortega et al. (2020), Analysing the influence of trade, technology learning and policy on the employment prospects of wind and solar energy deployment: The EU case. Renewable and Sustainable Energy Reviews 122 (2020) 109657, Available https://doi.org/10.1016/j.rser.2019.109657
(145) JRC, Facts and figures on Offshore Renewable Energy Sources in Europe, 2020, JRC121366 (upcoming).
(146) ICF, commissioned by DG GROW - Climate neutral market opportunities and EU competitiveness study (Draft, 2020)
(147)  The global market share of European offshore wind turbine manufacturers is more than 50%.
(148) JRC, Low Carbon Energy Observatory, Wind Energy Technology Market Report, European Commission, 2019, JRC118314, p. 14.
(149)

GWEC, Global Offshore Wind Report 2020, 2020.

(150) IRENA, Future of wind: Deployment, investment, technology, grid integration and socio-economic aspects (A Global Energy Transformation paper), International Renewable Energy Agency, Abu Dhabi, 2019, p.52.
(151) ICF, commissioned by DG GROW - Climate neutral market opportunities and EU competitiveness study (Draft, 2020)
(152) OECD, Trade as a channel for environmental technologies diffusion: the case of the wind turbines manufacturing industry, JT03461863 (draft), 2020.
(153) JRC, Facts and figures on Offshore Renewable Energy Sources in Europe, 2020, JRC121366 (upcoming).
(154) JRC, Low Carbon Energy Observatory, Wind Energy Technology Market Report, European Commission, 2019, JRC118314.
(155) JRC, China – Challenges and Prospects from an Industrial and Innovation Powerhouse, 2018, JRC116516.
(156)  JRC, interactive tool: Materials that are critical to our green future
(157) COM(2020) 474 final
(158) JRC, China – Challenges and Prospects from an Industrial and Innovation Powerhouse, 2018, JRC116516.
(159) UNEP & BloombergNEF, Global trends in renewable energy investment, 2019.
(160) JRC, Low Carbon Energy Observatory, Wind Energy Technology Development Report 2020, European Commission, 2020, JRC120709.
(161) Communication from the Commission, A Clean Planet for all - A European strategic long-term vision for a prosperous, modern, competitive and climate neutral economy. COM (2018) 773 final
(162) ETIPWind, Floating Offshore Wind. Delivering climate neutrality, 2020.
(163) GWEC, Global Offshore Wind Report 2020, 2020.
(164) WindEurope, Offshore Wind Ports Platform, https://windeurope.org/policy/topics/offshore-wind-ports/, 2020.
(165) ICF, commissioned by DG GROW - Climate neutral market opportunities and EU competitiveness study (Draft, 2020)
(166) ICF, commissioned by DG GROW - Climate neutral market opportunities and EU competitiveness study (Draft, 2020)
(167) ICF, commissioned by DG GROW - Climate neutral market opportunities and EU competitiveness study (Draft, 2020)
(168) North Seas Energy Cooperation – Work Programme 2020-2023, 2019.
(169) ICF, commissioned by DG GROW - Climate neutral market opportunities and EU competitiveness study (Draft, 2020)
Top

Brussels, 14.10.2020

SWD(2020) 953 final

COMMISSION STAFF WORKING DOCUMENT

Clean Energy Transition – Technologies and Innovations

Accompanying the document

REPORT FROM THE COMMISSION TO THE EUROPEAN PARLIAMENT AND THE COUNCIL

on progress of clean energy competitiveness

{COM(2020) 953 final}


1.

2.

3.

3.1.

3.2.

3.3.Offshore renewables – Ocean

3.3.1.State of play of the selected technology and outlook

Ocean energy is a largely untapped renewable energy source, although it has significant potential to unlock further decarbonisation of the EU energy system. Tidal and wave energy technologies are the most advanced among the ocean energy technologies, with significant potential located in different Member States and regions. Tidal technologies can be considered at pre-commercial stage, benefitting from design convergence, significant electricity generation (over 30 GWh since 2016 1 ) and a number of projects and prototypes deployed across Europe and worldwide. Instead, most of the wave energy technological approaches are at R&D stage. Many positive results on wave energy are stemming from ongoing European and national projects. Over the past 5 years significant technology progress has been achieved thanks to the successful deployment of demonstration and first-of-a-kind farms; with the sector showing particular resilience in overcoming the setbacks 2 that have hindered the industry in 2014/15 3 .

The variety in ocean resource and location requires different technological concepts and solutions. Therefore, several methods exist to turn ocean energy into electricity:

·Wave energy converters have not reached yet the consensus on the optimal conceptual design of the converters. A range of full-scale prototypes, conceptually different, have been deployed. Further technology development, testing and demonstration are required prior to commercialisation and industrial roll-out. Most advanced technology can be considered at TRL 8-9, with Manufacturing Readiness Level of 1. Most of technology are at TRL 6-7. A convergence towards a common conceptual design to extract the energy from the waves and transform it into electricity, would help the industrialisation of the sector. The fact that the industry is not there yet means that a higher R&D effort is still necessary;

·Tidal stream turbines harness the flow of the currents to produce electricity. Tidal turbines can be fixed directly to and mounted on the seabed, or tethered/moored to the seabed and buoyant, floating on surface or in mid water. About 10 different converters designs are at an advantaged TRL stage [TRL 9], and are feeding electricity into the grid in real operational environments – both individually and as arrays. The Manufacturing Readiness Level is at 2, with some companies expanding manufacturing capabilities and consolidating supply chains;

·Tidal range is the more established ocean energy technology, with several projects generating power around the world, especially in France and in Korea. Such systems let the tide fill a natural or artificial basin, then blocking the “opening.” Once the tide has retreated, the barrage is opened and the resulting flow is used to drive a turbine. At low tide, the system works in reverse, with the flow running in the opposite direction; Environmental considerations and high upfront capital required have slowed the development of new projects in Europe. Most advanced technology can be considered at TRL8-9, with Manufacturing Readiness Level of 2 (supply chain forming);

·Ocean Thermal Energy Conversion (OTEC) exploits the temperature difference between deep cold ocean water and warmer surface waters to produce electricity via heat exchangers. OTEC is suited to oceans where high temperature differences will yield the most electricity. A number of demonstration plants are being developed in EU overseas territories opening up export opportunities. TRL is at 5;

·Salinity gradient power generation. Fresh water and salt water are channelled into different chambers, separated by a membrane. The salt draws the fresh water through the membrane by osmosis, causing the pressure on the seawater side to increase. This pressure can be used in a turbine to make electricity. Such systems have a significant deployment potential around Europe, (e.g., the estuary of the river Rhine alone is associated with a potential capacity of 1.75 GW 4 ). However, a limited industrial involvement is observed. Further technology development is required to bring salinity gradient closer to maturity. More recently, the possibility of coupling salinity gradient with heat generation and hydrogen production. (TRL below 5 at this stage) has been considered.

Given the resources available in the EU, and the advancement of the technologies, it is expected that in the short-to-medium term (up to 2030), ocean energy development in the EU will be largely dependent on the deployment of tidal and wave energy converters. The deployment of OTEC in continental waters is very limited, whilst it is not clear how salinity gradient technologies could develop both in terms of technology and market. For tidal energy, there is significant potential in France, Ireland and Spain, and localised potential in other Member States. For wave energy, high potential is to be found in the Atlantic, localised potential in North Sea, Baltic, Mediterranean, and Black Sea.

Capacity installed, generation

At the beginning of 2020, the total installed capacity of ocean energy worldwide was of 528 MW, including 494 MW of tidal range projects (240 MW in France and 254 MWin the republic of Korea). Excluding tidal range, the total installed capacity of ocean energy worldwide 5  reached 34MW. 78% of the global capacity is installed in European waters, equally split between deployments in EU27 and in the UK (13.3 and 13.7 MW respectively), as shown in Figure 49 6 , 7 .

Figure 49 Global installed capacity post-Brexit (excluding tidal range)

Source 49 JRC

Wave. At the start of 2020, the global installed capacity of wave energy was of 12 MW, with 8MW (66%) installed in EU27. In 2019, 600 kW of new wave energy capacity was deployed in the EU 8 .

Tidal. At the start of 2020, the global installed capacity of tidal energy was of 22.4 MW, 76% of the installed capacity is deployed in Europe, of which 24% in EU waters. In the UK there are 12 MW of operational tidal energy capacity. EU developers have largely benefitted from successful collaboration and interlinkage between EU support and the availability of ad-hoc infrastructure especially in Scotland and in Northern Ireland. As a matter of fact, 65% of the global tidal energy installed capacity comes from EU developers.

The project pipeline of wave and tidal energy is of about 2.4 GW until for the next 7 years. This pipeline comprises projects currently under development, and of industrial ambitions stated by some technology developers 9 . This pipeline is in line with the market projections released by DG MARE 10 and with the IEA 11 modelling scenario in the most optimistic development scenarios for ocean energy. It shall be noted that in the pessimistic 12 scenario DG MARE and IEA expect between 0.25 GW and 0.6 GW of installed capacity by 2025 and around 1GW by 2030.

Future expectations on capacity installed based on different scenarios

Different energy system models have been used to model the future uptake of ocean energy in Europe and globally, providing a wide range spectrum of capacity that could be expected. The differences between models results is understandable and can be related to different assumptions such as:

·Global modelling assumptions: e.g. is the model designed to model a transition to zero-net emission or other policy ambitions;

·Role of R&I: is the model accounting for a strong role of R&I stimulating investments in new energy sources?

·Capacity of ocean energy to unlock cost-reductions: does the model foresee the availability for ocean energy to reduce its cost so that the technologies become cost-competitive?

Overall it can be expected that the continuous development of the ocean energy technologies and the reduction in technology costs are expected to lead to a significant increase of the deployed ocean energy capacity in the near future. On the other hand, when this assumption is not embedded in the model, the modelled contribution of ocean energy is minimised.

This is the case of the LTS: it indicates a low contribution of the technology in the total electricity generation with a maximum of 0.7 % in 2040 and 0.6% in 2050. Market scenario assessments from the International Energy Agency (IEA) 13 indicate that depending on the cost-reduction and policy design, by 2030 the total European ocean energy installed capacity could range between 0.5 GW and 2.6 GW by 2030, depending on the policy initiative. WEO expects a modest breakthrough of ocean energy technology, resulting in installed capacities of 20 GW worldwide and 12 GW in Europe by 2040. Higher ocean energy deployment is linked with policy accelerating the transition towards climate neutrality. JRC-EU-TIMES 14 simulations of the EU energy system indicate that a total capacity ranging from 28 GW to 46 GW could be expected by the sector by 2050, under the assumption of that wave and tidal energy devices meet the cost reduction of the SET plan. Tidal energy could be cost-competitive by 2030, accounting for most of the sector installed capacity (28 GW). Wave energy could reach 18 GW by 2050 15 .

So far, all the modelling outputs are below the industrial target that the ocean energy sector has set itself. The ocean energy industry estimates that 100 GW of wave and tidal energy capacity can be deployed in Europe by 2050, meeting 10% of Europe’s current electricity needs; while IEA-OES estimates a global potential installed capacity of wave, tidal stream and range, OTEC and salinity gradient of 337 GW by 2050 16 .

Meeting these targets requires that ocean energy costs are reduced through sustained R&D and the design of policies that recognise the potential and role of ocean energy in the transition to a climate-neutral economy and support large scale deployment of ocean energy possible like this has been done in the past for wind and PV.

Cost, LCOE

A critical aspect hindering the uptake of ocean energy technology is the high capital cost of the technology and the associated risk for project developers to deploy expensive technology. Thus, the development of ocean energy sector requires that significant cost reductions are achieved in order for wave and tidal energy technologies to become competitive with other renewable energy sources.

Data from the EU funded projects indicate that the LCOE of tidal energy technology ranges between 0.34 and 0.38 EUR/kWh ( Figure 50 ), down from 0.60 EUR/kWh in 2015. This corresponds to reduction of more than 40% in three years. The current value is below the 2015 reference cost-reduction curve, which indicated that LCOE would reach 0.40 EUR/kWh with the cur-rent deployed capacity. In 2015, the LCOE of wave energy ranged between 0.47 EUR/kWh and 1.40 EUR/kWh, with a reference value of 0.72 EUR/kWh. In 2018, with addition of 8 MW of capacity, the LCOE is expect to have decreased to 0.56 EUR/kWh 17 .

Figure 50 Cost-reduction curves for tidal energy and LCOE estimates from ongoing projects. Solid dots represent data from ongoing demo projects, while hollow dots indicate developers' estimates on the basis of technology improvements and increased deployment.

The SET plan targets set for wave and tidal energy technologies imply that the costs of generating electricity from the ocean need to be further reduced. According to the targets, the LCOE for tidal energy should reach 0.15 EUR/kWh by 2025 and 0.10EUR/kWh by 2030, while the LCOE for wave energy should reach 0.2 EUR/kWh by 2025 and 0.15 EUR/kWh by 2030, finally reaching 0.1 EUR/kWh in 2035.

For tidal energy, meeting the 2030 target of 0.1 EUR/kWh would require about deploying between 300 MW and 800 MW in the next 10 years, and a similar capacity would also be required for wave energy: albeit a step change in R&I and technology development 18 .

R&I

Between 2007 19 and 2019, total EU R&D expenditure on wave and tidal energy amounted to EUR 3.84 billion with the majority of it (EUR 2.74 billion) coming from private sources ( Figure 51 ) 20 . In the same period, national R&D programmes have contributed EUR 463 million to the development of wave and tidal energy. EU funds, including the European Regional Development Fund (ERDF) and Interreg projects, amounting to EUR 493 million. A further EUR 148 million had been made available through the NER300 Programme. On average, for the reporting period EUR 1 of public funding (EU 21 +National) has leveraged EUR 2.9 of private investments.

Figure 51 EU R&D expenditure on ocean energy, EUR million

Source 50 JRC

European, ERDF and National programmes have contributed to fund ocean energy projects for EUR 1.727 billion for a total worth of the projects equal to EUR 2.162 billion. It shall be noted however that the termination of a number of IA projects has a strong effect on the funds made available and used by the consortium. The total project costs leveraged by EU-awarded Horizon 2020 projects has fallen from EUR 328 million to EUR 108 million, with the EU contribution being reduced from EUR 163 to 90 million. This is a significant blow to the ambition of the sector, but also highlights the difficulties that project developers are having. A breakdown of the funds and project cost is provided in Table 2 .

Table 2 Breakdown of funds for ocean energy through European, ERDF and national programmes 2017-2019.

 

Funding Contribution (EUR )

Total Project Costs (EUR)

ERDF

253 190 108

358 746 847

EU

373 753 790

631 532 515

Ocean-ERANET

13 469 842

18 629 654

National

504 799 333

504 799 333

Regional

578 814 003

648 114 003

Total

1 726 870 711

2 161 822 352

Source 51 JRC

Patenting trends

Patents for ocean energy technologies are classified in 6 CPC classes as follows 22 :

·Y02E-10/28 - Tidal stream or damless hydropower, e.g. sea flood and ebb, river, stream;

·Y02E-10/30 - Tidal stream;

·Y02E-10/32 - Oscillating water column [OWC];

·Y02E-10/34 - Ocean thermal energy conversion [OTEC];

·Y02E-10/36 - Salinity gradient;

·Y02E-10/38 - Wave energy or tidal swell, e.g. Pelamis-type.

R&D activity in ocean energy involves over 838 EU companies and research institutions in 26 Member States 23 . In the EU28, 51% of the ocean energy inventions patented are for wave energy technology, 43% for tidal energy, 2.7% on Oscillating Water Column (OWC, this represent a subset of wave energy technology), and 3% for Ocean Thermal Energy Conversion (OTEC). The EU28 is a leader in the filing of patents in international markets, seeking protection in all key markets such as the United States, South Korea, and China as well as Canada and Australia (included in ROW). Nevertheless, the EU receives only a small number of incoming patents applications from outside, primarily from the United States ( Figure 52 ). The patent filings indicate that the EU is a net exporter of Ocean energy technology and innovation, and that European Ocean energy developers are well positioned to exploit the growth of the sector globally.

Figure 52 Global patents flow, number of patents (for the years 2007-2016). The left side present the information of where invention have been generated, whilst the right side indicates where companies are seeking protection. (Intra-market patents are not included. 2016 is the latest full and validated year on Patstat).

Source 52 JRC

The information presented in Figure 51 and Figure 52 indicate that companies in the EU are investing considerably in the development of ocean energy technology.

The EU has been the leader in ocean energy R&D in ocean energy until 2010. From 2010 Chinese patenting has increased significantly and has overtaken the EU ( Figure 53 ). Nevertheless, only a limited part of the inventions patented in China have also sought international protection in other markets. High-value inventions (or high-value patent families) refer to patent families that include patent applications filed in more than one patent office, thus offering IP protection of the technology in multiple markets. Figure 54 presents the global patent trends for the period 2000-2016, taking into account those High-value inventions, highlighting the role of EU R&D in ocean sector.

Figure 53 Global ocean energy patents trend from 2000 to 2016

Source 53 JRC, Patstat

Figure 54 Global High-value inventions ocean energy patents trend, from 2000 to 2016

Source 54 JRC, Patstat

From Figure 54 , one can see that only a few Chinese patents have sought international protection; whilst many EU inventors have sought protections in multiple potential markets.

Private R&I funding

Figure 55 presents the historical trend in private R&D Investments in the EU, showing a stead decrease from the period 2008-2010 where annual investments were estimated around EUR 300 million to about half of it in 2016 (EUR 158 million). In total since 2003 EUR 2.7 billion of private investments have been directed to ocean energy R&D. Companies based in the UK (EUR 900 million) and in Germany (EUR 475 million) have invested the most in R&D 24 .

Figure 55 Private R&D Investment trend in the EU, based on patents information

Source 55 Source and Methodology JRC

In some countries, both national and private funds are used to support R&D in ocean energy technologies, while in other countries such as Germany, Finland, and the Netherlands the initiative is mainly private. The potential of ocean energy in these countries is limited, however the development of the ocean energy sector may have a positive effect on the countries’ manufacturing supply chain 25 .

3.3.2.Value chain analysis

The technology status of ocean energy converters has affected the consolidation of the supply and value chain of the sector. In fact, for technologies that are not yet market-ready, such as ocean energy technology, the consolidation of the supply chain is dependent on the ability or reliability of the technology and its progress to a higher TRL 26 (Figure 8), and is reflected in low Manufacturing Readiness Level for the sector.

Figure 56 Supply chain consolidation based on market development.

Source 56 JRC

Figure 57 shows the ocean energy supply chain, emphasising the manufacturing of ocean energy converters and key components.

Figure 57 Ocean energy supply chain accounting for component and subcomponents manufacturing

Source 57 JRC 27  

Given the localised nature of wave and tidal energy resources, it is expected that ancillary activities such as project development, operations and maintenance, will be carried out by local companies. The manufacturing of ocean energy converters, as in the case of wind, will then play a fundamental role in shaping the technology market and in defining the positioning of European companies in the global market. Technology developers are already investigating markets where to expand their business plans in location that offer growth both in terms of manufacturing capabilities and deployment of their technologies.

The supply chain spans 28 across 16 EU countries, with a significant presence also in landlocked countries and regions, who provide valuable expertise for the production of components and sub-components ( Figure 58 ). The European ocean energy industry is making significant steps forward, and plans now to expand manufacturing facilities.

Figure 58 Ocean energy supply chain in Europe (to be updated)

Source 58 JRC

Turnover

Given the current status of the sector, where very limited number of projects operates thanks to commercial revenues and to Power Purchase Agreements (PPAs) with utilities. Furthermore, with many companies still being SMEs and focussing on R&I it is not possible to estimate the turnover of the sector. The challenge facing the ocean energy sector is identifying ways to support the deployment of wave and tidal energy farms through innovative support schemes, until revenues are available most of the companies are going forwards thanks to a mix of grant, public funds, private equity and VC. An increasing number of developers are exploring the use of crowdfunding either for the fabrication of their new device, to support R&D activities, or to reach the required capital for deployment. Such efforts have mobilised over EUR 20.5 million (or about USD 23 million) over the past three years. The impact of crowdfunding is comparable with public funding for projects, and it is likely to have limited impact, especially in terms of deployment of projects 29 . Nevertheless it is telling of the difficulties being encountered by technology developers.

Gross value added growth

An indication of the Gross Value Added of ocean energy can be derived from the different deployment scenarios provided by DG MARE 30 . The cumulative GVA generated from deployed Ocean energy by 2030 would range between EUR 500 million and EUR 5.8 billion ( Figure 59 ). The expected growth of the sector could lead to a significant increase in employment. It is projected that if under the optimistic deployment scenario, with the sector reaching 2.6 GW of installed capacity by 2030 up to 25000 yearly FTEs could be generated in Europe (EU27 and UK) and between 50 000 and 200 000 distributed in the next 10 years  ( Figure 59 ). Nevertheless, it shall be noted that the current development trajectory and current employment level is lower that modelled in the DG MARE pessimistic scenario.

Figure 59 Project GVA for ocean energy in the pessimistic and optimistic scenario.

Source 59 JRC, Innosea

Number of companies in the supply chain, incl. EU market leaders

At the end of 2019, over 590 (2020 updates) companies in the EU28 were in involved in the different steps of ocean energy supply chain, including wave and tidal energy developers; project developers, component manufactures, research centre and local authorities.

The landscape of the ocean energy supply chain is rapidly changing thanks to the technology validation projects currently ongoing in European test centres. The necessity of reducing the cost of ocean energy technology, also through economies of scale, implies that the presence of Original Equipment Manufacturers (OEMs) with access to large manufacturing facilities could be seen as an indicator of the consolidation of the supply chain.

In the period between 2012 and 2015 many OEMs have reduced their involvement in the sector, an inversion of tendency has been seen in the past years: new industrial players such as Enel Green Power, ENI, Fincantieri, Saipem, SBM Offshore, Total and Warstila have entered the market; bringing with them experience from the oil and gas and shipping sectors.

The increased presence of OEMs that adds on from the ones already presented in the sector such as AndritzHydro Hammerfest, Lockheed Martin, Engie, Schottel can be seen as a sign of the progress and confidence in the sector moving forward. Furthermore, the sector can also rely on the experience of key intermediate components and sub-components companies, such as Bosch Rexroth, AVV, SKF, Schaeffler and Siemens to mention a few that are actively supporting R&D and demonstration projects. These companies are currently engaged on at ad-hoc base, but their involvement in the sector could grow once the market and supply chain consolidated.

It is important to notice, that as witnessed in the wind energy sector, a strong project pipeline ensures that there is sufficient demand for OEMs, and as a result ensures demand for the manufacturing of components and subcomponents and for the supply of raw materials 31 32 . The landscape for ocean energy is rapidly changing thanks to the technology validation projects currently ongoing in European and international test centres.

The development of ocean energy has seen already almost 300 different concepts being proposed 33 . About half of them have progressed to higher TRL and even fewer tested in operational environment. 49.4% of the ocean energy developers in the EU27, when considering technology at TRL6 or higher 34 . 13.6% of ocean energy developers at TRL6 or more are located in the UK, with the remaining 37% located in the rest of the world.

In terms of tidal energy 41% of the tidal energy technology developers are based in the EU27, and 18% in the UK ( Figure 60 ). The Members State with the highest number of developers are Netherlands and France. Major non-EU players are Canada, the US, the UK and Norway 35 .

For wave energy, 52% of active wave energy developers at TRL6 or higher are located in the EU ( Figure 60 ). The UK (14%) has the highest number of developers, followed by the US, Denmark, Italy and Sweden. Other key players in the sector are Australia, and Norway. A number of developers of technology at low TRL are not included in this analysis.

Whilst the highest concentration of wave and tidal energy developers occurs within the EU and Europe many developers are looking to deploy their technologies outside of Europe thanks availability of market instruments available elsewhere, such has the high feed-in-tariffs in Canada. Developing a strong internal market will be fundamental for the EU in order to build on and maintain its current leadership position in the market. As seen for other renewable energy sources first-mover advantage and strong internal markets are key to maintain a competitive position.

Figure 60 Distribution of tidal and wave energy developers

Tidal                 Wave

Source 60 JRC

Employment figures

At the end of 2019, it was estimated that the ocean energy sector generated 2 250 36 jobs generated across Europe, a significant increase from 2013 when ocean energy jobs were estimated to be between 800-1000 37 . The breakdown of jobs per country can be see in Figure 61 .

Figure 61 Jobs in the ocean energy sector, thousand employees (Updated 2019)

Source 61 JRC, Innosea

The expected growth of the sector could lead to a significant increase in employment. It it in fact projected that if under the optimistic deployment scenario, with the sector reaching 2.6 GW of installed capacity by 2030 up to 25 000 yearly FTEs could be generated in Europe (EU27 and UK).

Figure 62 Yearly jobs associated to the optimistic deployment scenario (2.6 GW)

Source 62 JRC, Innosea

3.3.3.Global market analysis

Global market leaders versus EU market leaders

European leadership spans across the whole ocean energy supply chain 38 and innovation system 39 . The European cluster formed by specialised research institutes, developers and the availability of research infrastructures has allowed Europe to develop and maintain its current competitive position.

The EU maintains global leadership despite the UK’s withdrawal from the EU and changes in the market for wave and tidal energy technologies. 70% of the global ocean energy capacity has been developed by EU27 based companies ( Figure 63 ) 40 .

Figure 63 Installed capacity by Origin of technology

Source 63 JRC 2020 41

The ocean energy market is slowly forming. The next decade will be fundamental for EU developers to maintain their competitiveness with the global ocean energy capacity of 3.5 expected to reach 2.5 GW by 2025 and to 10 GW by 2030 42 . With significant investments in ocean energy outside of Europe (Canada, US, Japan), dedicated support for is needed to ensure that a strong EU market can take off, allowing for the consolidation of the EU supply chain.

Critical raw material dependence

At the current stage, it is not possible to determine the extent of the dependency of the ocean energy sector on critical raw materials; however, it has to be noted that rare earth materials (REEs) are employed and likely to be employed in the production of power-take-off systems and for wave and tidal energy converters. The industry has an opportunity to already identify and act upon this potential bottlenecks by including aspects of circularity and sustainability in the design of the converters on the path to commercialisation.

3.3.4.Future challenges to fill technology gap

Ocean energy technologies have the potential to contribute significantly to the decarbonisation of Europe’s energy system. Predictable and reliable production of wave and tidal energy would complement well wind and solar generation, supporting grid stability. With the sector having showing good progress in the past years, the next is to build and achieve further cost reduction and market consolidation.

2.2 GW of tidal stream and about 0.4 GW of wave energy could be already deployed in Europe by 2030 43 , 44 . The sector has much higher ambitions for the time horizon 2050, aiming to install 100 GW in the European waters 45 . To get there and meet the expectations, significant cost reduction is still needed for tidal and wave energy technologies to exploit their potential in the energy mix. With a clear development and deployment strategy and by creating the right policy conditions, Europe can secure leadership in a market worth up to EUR 53 billion annually by 2050 46 .

Despite the steps forwards in technology development and demonstration, the sector faces struggles in the creation of a viable market. National support appears low, reflected by the limited commitment to ocean energy capacity in the NECPs compared to 2010 and the lack of clear dedicated support for demonstration projects and the development of innovative remuneration schemes for emerging renewable technologies.

This limits the possibility of developing a business case, and of identifying viable ways to develop and deploy the technology. Therefore, investigating specific business cases for ocean energy should be given more focus, such as valorising its flexibility as a highly predictable source, and valorising its potential in the decarbonisation of small communities and EU islands 47 .

The offshore renewable energy strategy 48  offers the opportunity to support the development of ocean energy and to help EU exploit fully the resources available across the EU.

In this overall context, R&I will play a key role in unlocking further reduction in ocean energy cost; and the further development of wave and tidal energy devices rests on demonstrating the reliability and survivability of the devices with relatively low maintenance cost for long operation periods and further advances such as foundation, connection, mooring, logistics and marine operation, integration in the energy system. In this sense R&I on advanced and hybrid materials such as advanced concrete and flexible blades 49 and on new manufacturing processes such as rotational moulding and additive manufacturing that employ innovative 3D technologies could enable further costs reduction, together with lower energy consumption, shortened lead times and improving quality associated with the production of large cast components. 

Important lessons have been learnt from H2020 projects that should be shared as widely as possible among the developers, policy makers and other stakeholders to stimulate technology convergence and build on the knowledge and expertise already available in the EU.

3.4.Solar Photovoltaics 

3.4.1.State of play of the selected technology and outlook

Solar photovoltaics (PV) has become the world’s fastest-growing energy technology, with demand spreading and expanding as it becomes the most competitive option for electricity generation in a growing number of markets and applications. The global compound annual growth rate of PV installations was about 37% between the years 2010 and 2019. This growth is supported by the declining cost of PV systems (EUR/W) and increasingly competing cost of electricity generated (EUR/MWh). All future scenarios for the energy system point to an ever-larger role of PV, with demand continuing and probably accelerating. According to the IEA sustainable development scenario, worldwide electricity generation from PV systems will increase from 720 TWh in 2019 to 3 268 TWh 50 in 2030. In terms of capacity, this would correspond to almost 2.9 TW, requiring of investments of USD 1.8 trillion 51 according to the BNEF NEO 2019 52 . More ambitious scenarios give even higher values. The Commission’s LTS analysis for 2050 shows wind and solar 53 (PV) power providing over 60% of electricity. The solar generation capacity values range from 770 GW (EC LTS1.5LIFE) to 1 030 GW 54 (EC LTS1.5TECH).

Amongst the renewables technologies, PV is unique in its scalability, with systems ranging from utility scale power plants of several hundred MW, to small kW-scale installations for buildings and other consumer uses. PV systems comprise the modules themselves, mounting structures, cabling and the power control and conversion equipment (inverters). This latter part is becoming increasingly digitized and sophisticated, capable of supporting a range of ancillary functions and grid services. Concerning the core PV technology, solar cells bases on silicon wafer is by far the dominant photovoltaic technology on the global market, with a share of over 95% in 2019. This has been by a major shift to passive emitter rear contact (PERC) architectures, bringing power conversion efficiency to the 20% level and above, together with an operational lifetime of 30 years. Passivated contact and heterojunction cells offer a further increases efficiency towards 25% and are already moving to mass production.

Other commercial PV technologies include the thin-film technologies of copper indium/gallium disulfide/diselenide (CIGS) and cadmium telluride (CdTe). Thin-film silicon (amorphous and microcrystalline silicon) and concentrating photovoltaics have lost market shares. Some organic and dye-sensitized solar PV devices have been commercialised, but for the most part this technology remains at niche or research level. Hybrid organic-inorganic perovskite materials recently emerged as a promising option, in particular combined with wafer-based silicon to offer high efficiency and attractive manufacturing costs, although long-term stability remains a challenge. Tandem devices with thin film layers on silicon wafers offer a concrete possibility to reach 30% and beyond for commercial products

The world average carbon footprint of PV electricity generation is approximately as 55 g CO2-eq/kWh. In the EU, treatment of end-of-life PV modules must comply the WEEE Directive since 2012. Several organisations have developed recycling processes, but so far waste volumes are too low for these to be economically viable.

Capacity installed, generation

The cumulative worldwide capacity was 635 GW at the end of 2019 and is expected to increase by more than one order of magnitude in 2030 and two orders of magnitude in 2050 55 . Figure 64 shows the development of the global market over the last ten years. In 2019 the EU28 accounted for 21%, while installations in China accounted for 36% of the total.

Figure 66 shows how the annual PV market in the EU28 has developed from 2020 to the present. From the introduction of the first Renewable Energy Directive in 2009, the PV power capacity in EU28 increased more than 10-fold from 11.3 GW at the end of 2008 to over 134 GW at the end of 2019. This capacity can generate approximately 150 TWh of electricity or about 5.2% of final demand.

The upturn of the EU market in 2018 and 2019 is very positive sign. However, achieving the European Green Deal targets will require considerable additional growth. The impact assessment 56 for the proposed European Climate Law implies a solar PV capacity of approximately 460 GWDC in 2030 (and over 1 000 GW by 2050) to achieve a 55% GHG emissions reduction. Previously a JRC study estimated that the cumulative PV capacity in the EU and the UK would need to rise to 455–605 GWDC by 2030, depending on strategic choices 57 . As things stand, the Member States’ National Energy and Climate Plans (NECPs) foresee PV capacity only in the range 260 to 341 GWDC by 2030.

PV deployment at a large scale may face certain obstacles related to land availability and policies on the use of land, in addition to those regarding the integration of variable power. However, the technical potential is large: over 2 000 GW for ground-mounted systems 58 and 540 GW for systems on buildings 59 in the EU27.

A large increase in module demand coupled with recent rapid cost reductions in PV manufacturing strengthens the case for bringing PV factories back to Europe. CAPEX costs for polysilicon, wafer, solar cell and module manufacturing plants have decreased by 75 to 90% between 2010 and 2018 60 . Economies of scale are critical, and a recent study has shown that a European manufacturing chain would be competitive with global PV factories, should an annual production volume between 5 and 10 GW be reached 61 . Chinese and American industrial experiences illustrate the benefits cutting-edge automation solutions (digital transformation) would bring, compensating the often-cited obstacle of EU high labour costs.

Figure 64 Cumulative Photovoltaic Installations from 2010 to 2020

Source 64 Jaeger-Waldau et al, How photovoltaics can contribute to GHG emission reductions of 55% in the EU by 2030, Renewable and Sustainable Energy Reviews, Volume 126, 2020, 109836

Figure 65 Annual photovoltaic installations in EU and the UK from 2010 to 2020. Values for 2020 are based on pre-Covid estimations.

Source 65 Jäger-Waldau et al, How photovoltaics can contribute to GHG emission reductions of 55% in the EU by 2030, Renewable and Sustainable Energy Reviews, Volume 126, July 2020, 109836

Cost, LCOE

The cost of PV electricity depends on several elements: the capital investment for the system, its location and the associated solar resource, its design, permitting and installation, the operational costs, the useful operation lifetime, end of life management costs and, last but not least, financing costs. Here the focus is on the investment needed for a PV system and for the modules, as the main energy conversion component.

PV modules are the largest single cost component of a system, currently accounting for approximately 40% of the total capital investment needed for utility systems, and somewhat less for residential systems where economies of scale for installation are less and soft costs are higher. The cost of PV modules has decreased dramatically in recent years. The experience or learning curve shows that the price of the photovoltaic modules decreased by 24% with each doubling of the cumulative module production. The “learning rate” of 24% has been observed over the last 40 years 62 . This due to both economies of scale and technological improvements. Current spot market prices at the level of 0.20 EUR/W.

The total installation cost of solar PV will continue to decline in the future, making solar PV highly competitive in most markets and locations with adequate solar resource. Figure 66 shows projected CAPEX trends for utility PV systems from a study performed in the framework of the European Technology Innovation Platform for PV 63 . This foresees a halving by 2030 and a threefold reduction by 2050. IRENA indicates that the average cost for utility-scale PV will fall to at the range of 340 to 834 USD/kW by 2030 and to 165 to 481 USD/kW by 2050 (the average cost was 1 210 USD/kW in 2018 64 ).

Rooftop systems for residential or small commercial buildings have traditionally been an important market segment, particularly in Europe. Prices have seen a significant decline, and are now approximately 1 000 EUR/kW (approximately 200 EUR/m2 ) in the well-developed and competitive German market. However, across Europe prices vary considerably and can be more than double this value. Building integrated roofing systems range from 200 to 500 EUR/m2 for standardised products and increase to 500 to 800 EUR/m2 for customised solution 65 . Costs for PV facades are in the upper part of this range.

In terms of cost per MWh, PV emerges as highly competitive for utility scale PV in favourable locations. In the first half of 2020 the global LCOE benchmarks for PV are reported with 39 to 50 USD/MWh 66 . In IRENA’s 2019 analysis, the LCOE for PV will decrease to 10 to 50 USD/MWh depending on location, due to continuing reduction of PV installation costs 67 . The previously mentioned study for ETIP-PV indicates an LCOE for utility scale systems (>10 MW) ranging from 24 EUR/MWh in Malaga to 42 EUR/MWh in Helsinki (see Figure 67 ) based on 2019 CAPEX and OPEX values, and with a weighted average cost of capital (WACC) of 7%. By 2030, this range would drop to 14‐24 EUR/MWh and by 2050 to 9‐15 EUR/MWh. Their sensitivity study showed that varying WACC from 2 to 10% doubles the LCOE.

Figure 66 Utility‐scale PV capital expenditure (CAPEX) in Europe for the years 2018 to 2050 in three different scenarios (EUR/W)

Source 66 E. Vartiainen et al, Impact of weighted average cost of capital, capital expenditure, and other parameters on future utility‐scale PV levelised cost of electricity, Prog Photovolt Res Appl. 2019; 1–15

Figure 67 PV LCOE for utility systems in six European locations, years 2019 to 2050 ( EUR 2019/MWh), taxes not included

Source 67 E. Vartiainen et al, Impact of weighted average cost of capital, capital expenditure, and other parameters on future utility‐scale PV levelised cost of electricity, Prog Photovolt Res Appl. 2019; 1–15

Auctions for PV power supply provide a further indicator of cost level. Over the last few years, the number of EU Member States conducting such auctions has continuously increased. Prices have come down to the current average level of EUR 35 and 70/MWh. A Portuguese auction in August 2020 reached EUR 11.14/MWh, although this price is considered to reflect more the value of the grid connection to the bidder than the cost of PV electricity.

A recent Commission study 68 on the present and future competiveness of solar PV and wind power shows that both can be cost-competitive in almost all EU markets by 2030. It underlines the importance of flexibility in power systems, e.g. grid interconnections, storage and demand management, to mitigate negative price trends at peak production times, which could occur when variable renewables reach a high market share.

The rooftop PV market is of particular importance in view of its role in decarbonising energy consumption in the building sector and the socio-economic benefits to communities of small-scale installations. For PV rooftop systems there is still a wide spread in LCOE (61,9 to 321,5 EUR/MWh) across the EU 69 . This is due in part to geographic variations in the actual solar radiation reaching the system, and significantly to local regulations and market conditions. Depending on the actual retail prices, electricity generated from PV rooftop systems can be cheaper for a large part of the European population. Even in a less sunny locations, the electricity cost is only bettered by onshore wind, again providing the location has a favourable wind resource.

It should be said that very high penetration rates of variable renewable technologies (mostly PV and wind) will need storage, enforced grids and demand side management. The mix and intensity of renewables will determine the requirements of those elements and the total system costs.

R&I

Public R&I funding

IEA data has been analysed to assess public funding at EU level for PV, with the caveat that is subject to several limitations both in terms of coverage, disaggregation and completeness Figure 68 shows the data for R&D investment by EU28 member states. The annual total has fluctuated in a range of EUR 190 million to EUR 210 million. If the EU is to continue its role as a PV technology leader, it will need to maintain or increase this level going forward, together with R&D investments for closely related technologies (e.g. for power systems, grid integration and for battery storage).

The EU’s Strategic Energy Technology Plan (SET plan) aims to accelerate the development and deployment of low-carbon technologies. The implementation plan for PV identifies six main areas:

·PV for BIPV and similar applications;

·Technologies for silicon solar cells and modules with higher quality;

·New Technologies & Materials;

·Operation and diagnosis of photovoltaic plants;

·Manufacturing technologies;

·Cross-sectoral research at lower TRL.

At EU level, the Horizon 2020 supports the SET plan and PV technology development up to the technology readiness level 7 (system prototype demonstration in the operational environment). A total EU financial contribution of about EUR 196,8 million has been invested on activities related to PV 70 . This contribution has been mostly spent for research and innovation actions (30%), innovation actions (28%) and grants to researchers provided by the European Research Council (16%). Fellowships, under the Marie Skłodowska-Curie programme, absorb 5% while actions for SME are at 11% of the overall investment. Coordination actions, like ERA-NET, represent 10% of the budget.

Actions to support further development of PV technologies to commercialisation have been limited. A positive example is the AMPERE project (Automated photovoltaic cell and Module industrial Production to regain and secure European Renewable Energy market). This has lead an industrial scale (200 MW) production line for high efficiency heterojunction modules, representing the culmination of over ten years of R&D by a cluster of European labs. No PV projects were ultimately funded under the NER 300 demonstration programme. For the period 2021-2030 the Commission has launched a new programme called the ETS Innovation Fund.

The European Investment Bank provided EUR 20 million of quasi-equity under the InnovFin Mid Cap Growth Finance program to Heliatek (based in Germany) to help boost production capacity of its HeliaFilm product (an organic photovoltaic solar film for integration into building facades) and EUR 15 million to Oxford PV Germany GmbH under the InnovFin Energy Demonstration Projects scheme to support the transfer of its perovskite on silicon tandem solar cell technology.

Excellent technology and rapid innovation are essential for the EU industry to be and remain successful in the competitive global context 71 . The European research institutions are still amongst the leaders in the activities related to the photovoltaic field worldwide 72 .

Figure 68 Public investment by EU28 member states in PV

Source 68 ICF, Climate neutral market opportunities and EU competitiveness – Draft Final Report, September 2020

Private R&I funding

Global R&D spending in renewable energy edged up 1% to USD 13.4 billion in 2019. Half of that went to solar and a fifth to wind, and corporate R&D significantly outstripped government spending for the third year running 73 .

Patenting Trends

The PATSTAT database 2019 autumn version has been analysed for the CPC classification codes relevant to PV modules and systems and considering for three categories: all patent families, the so-called "high-value" patent families 74 i.e. application made to two or more patent offices and lastly granted patent families. In terms of global regional breakdown for 2016, China took the largest share of all patent family applications, followed by Japan and Korea. However, there is a significant difference between US, Japanese and Chinese patents, where an idea can be patented, and European patents where proof of concept is required.

If just the "high-value" patent families are considered, a different picture emerges, with Japan as leader, and the EU second positon 75 .

In the technology breakdown for European patents applications, the “energy generation” category is predominant, but there were also significant levels of activity for power conversion technologies, for PV with concentrators and PV in building. Encouragingly, the manufacturing category also maintained a 10% share, perhaps reflecting the continued market strength of the European PV manufacturing equipment sector.

Publications/Bibliometrics

In 2019 the scientific output on photovoltaics reached over 13 000 journal articles (Scopus, Clarivate) Figure 69 shows countries with the highest share number of author affiliations. China is clear leader, followed by the US and then England. Europe is well represented in the top-20 by Germany, UK, France, Italy and Switzerland. The EU28 as whole is second only to China, underlining the high-level scientific excellence in photovoltaics in Europe. Compared to a decade ago, Asian countries account for a very significant fraction of scientific output. The category of high cited articles can be used a measure of quality. In this case the overall ranking is relatively unchanged, although the leading countries or regions tend to have a larger share of these highly cited articles. A number of countries, in particular US, UK and Switzerland, appear to influence research much more than the simple volume of articles would suggest, whereas India had considerable output but with proportionally less impact up to now.



Figure 69 Top countries/regions for author affiliations in 2019 journal articles on photovoltaics and/or solar cells

Source: analysis of Clarivate data in N. Taylor, A. Jäger-Waldau, Photovoltaics technology development report 2020 - Deliverable D2.3.2 for the Low Carbon Energy Observatory, European Commission, Ispra, 2020, JRC120954.

3.4.2.Value chain analysis

Over the last 20 years, the PV industry has grown from a small group of companies and key players into a global business where information gathering is becoming increasingly complex. There is a long value chain from raw materials to PV system installation and maintenance ( Figure 70 ). Often, there is a strong focus on solar cell and module manufacturers, but there are also the so-called upstream and downstream industries. The former include materials, polysilicon production, wafer production and equipment manufacturing, glass, laminate and contact material manufacturers, while the latter encompasses inverters, balance of system (BOS) components, system development, project development, financing, installations and integration into existing or future electricity infrastructure, plant operators, operation and maintenance, etc. In the near future, it will be necessary to add (super)-capacitor and battery manufacturers as well as power electronics and IT providers to manage supply and demand and meteorological forecasts.

Figure 70 The extended PV value chain

Source 69 Assessment of Photovoltaics (PV), Trinomics, 2017, European Commission EUR 27985 EN

The added value is generally distributed along the production process. This is described, in a simplified way by a “smile” curve ( Figure 71 ). The highest value added is located in both the far upstream (basic and applied R&D, and design) and far downstream (marketing, distribution, and brand management) stages, while the lowest value-added activities occur in the middle of the value chain (manufacturing and assembly). However, an increasing number of installations are realized in harsh climates, e.g. high UV, high temperature differences between day and night, high humidity, floating. Therefore, companies are interested to control the manufacturing process to reduce risks and lower financing costs. Moreover, dominance of cell and module manufacturing, allows companies to move upstream in the PV value chain, towards more profitable segments. Therefore, looking at the added-value of a single segment of the value chain might not be sufficient to have the full insight of the industry and inform policy decision.

Figure 71 “Smile Curve” of the PV Value Chain

Source 70 Adapted from F. Zhang, K.S. Gallagher / Energy Policy 94 (2016) 191–203

Turnover

According to the Global Trends in Renewable Energy Investment 2020 76 , global annual investments in solar PV were USD 126.5 billion in 2019. USD 52.1 billion were investments in small distributed solar capacity. Solar capacity investment in Europe was USD 24.6 billion. The EU28 share of new PV installations was 14% in 2019 with an estimated annual investment level (for installation in EU28) at about USD 18 billion.

A more recent analysis for the Commission puts the market size of the global PV industry at about EUR 132 billion 77 , with the segments of value chain related to polysilicon ingots production, and cells and module manufacturing capturing the lion share (44%). The EU27 market size is about EUR 17,1 billion corresponding to about 13% of the global value.

Gross value added growth

The gross value added in general is similar to the market sizes for the respective value chain segment and region, when adjusted for a trade surplus/deficit and the value of input material. In the graph above, the available trade data on sector level had been disaggregated proportionally, according to market size of the different segments. Therein a potential source for inaccuracies in the GVA calculation may be found because it is likely that an export surplus exists in some segments (equipment for PV manufacturing) whilst a negative trade balance is likely for PV panels. For the solar PV sector, metal products and wafers are considered as input material, which are used mainly for cells and modules manufacturing. The largest share of the GVA is captured by the panel manufacturing.

Figure 72 Breakdown of GVA throughout solar PV value chain

Source 71 Guidehouse Insights (2019)

Number of companies in the supply chain, incl. EU market leaders

EU performs differently across the segments of the PV value chain ( Figure 73 ). Europe, along with the US state of California and Japan, jump started the large-scale solar PV market in the mid-2000s. This early start positioned EU companies – mostly German, Spanish and Italian as the leaders in the industry. Since then, the market has moved to other regions and with that, some of the leaders in the industry. Nonetheless, European companies still maintain a strong presence in the industry ( Figure 74 )  78 .

Figure 73 Competitive Intensity across Each Value Chain Segment, Global, 2020

Source 72 Guidehouse Insights (2019)

Figure 74 European players across the PV Industry Value Chain

Source 73 ASSET Study commissioned by DG ENERGY - Gathering data on EU competitiveness on selected clean energy technologies (Draft, 2020)

EU27 companies are most competitive in the downstream part of the value chain, and have in particular maintained key roles in i) the monitoring and control (with companies like GreenPower Monitoring, Meteo&Control and Solar-log), ii) balance of system (BOS) segments, hosting some of the leaders in inverter manufacturing, (like SMA, FIMER, Siemens, Gamesa Electric, Ingeteam and Power Electronics), and iii) solar trackers (like Soltec). European companies have also maintained a leading position in the deployment segment, where established players like Enerparc, Engie, Enel Green Power or BayWa.re have been able to move into new solar markets and gain new market share worldwide 79 .

On the other hand, EU has lost its market share in some of the upstream part of the value chain (e.g. solar PV cell and module manufacturing). Figure 75 shows the situation in 2019. The EU still hosts one of the leading polysilicon manufacturers such as Wacker Polysilicon AG), which production alone is sufficient for manufacturing 20 GW of solar cells. However, a significant part of the polysilicon manufactured in Europe is currently exported to China.

Currently, the segment of the value chain which includes the polysilicon ingots production and the PV cells and modules manufacturing has a global value of about EUR 57.8 billion, of which the EU’s share corresponds to EUR 7.4 billion (12.8%). This still relatively high share captured by EU of the whole value of the segment is due to the polysilicon ingot production.

For PV cells and modules manufacturing, the EU positioning has dramatically fallen behind its Asia competitors. The limited access to fresh capital in Europe after the 2008 financial crisis, lead to the situation that European companies were not able to expand their manufacturing capacities in an expanding market. At the same time, China allocated substantial liquidity in the 12th Five-Year Plan to expand the renewable energy industry and renewable power installations. As of today, all the top 10 manufacturers of PV cells 80 and modules are mostly manufacturing in Asia (Table 3). CAPEX costs for polysilicon, solar cell and module manufacturing plants have diminished dramatically between 2010 and 2018. Together with innovations in manufacturing, this should offer an opportunity for the EU to have fresh look at the PV manufacturing industry and reverse the situation 81 .

Figure 75 Companies and production sites in Europe for PV manufacturing

Source 74 J. Rentsch, Competitiveness Of European PV Manufacturers, Presentation to Interso-lar Europe 2019, Fraunhofer ISE web site

Table 3 Leading PV module manufacturers 2018

rank

Company

Country

Volume

GW

1

JinkoSolar

Cjhina/Malaysia

11.17

2

JA Solar

China/Malaysia

8.50

3

Trina Solar

China/Thailand/Vietnam

7.54

4

Canadian Solar

Canada/China/Brazil/Vietnam

6.82

5

LONGi Solar

China

6.58

6

Hanwha Q CELLS

Korea/China/Malaysia

5.60

7

GCL System Integration Technology

China

4.57

8

Risen Eenrgy

China

3.35

9

Shunfeng Int. Clean Energy/Suntech

China

3.30

10

Chint Electrics

China

3.15

Source 75 Izumi K., PV Industry in 2019 from IEA PVPS Trends Report, ETIP PV conference “Readying for the TW era, May 2019, Brussels

Example of EU companies now leading in PV technology innovation include:

·The 3Sun factory, (Catania, Italy) produces heterojunction (HJT) bifacial cells, one of the most efficient PV technology that currently exists, based on the H2020 EU Ampere project. The HJT technology reaches higher efficiency and performance compared to other mainstream technologies and is suitable for applications in all the main industrial sectors. Based on the current 200 MW production line that started in 2019 (with an efficiency >22.4% for modules and up to 24.6% for cells) the 3SUN factory will ramp up its cell / module production capacity to 3.3 GW production of HJT solar modules in 2023-2024 (28% efficiency), and 3.8 GW in 2028. The 3SUN factory will progress to follow an industrial ecosystem approach, linked with the European PV components industry 82 ;

·Meyer Burger, located in Europe, developed and patented the leading technology for next generation PV cells and modules. The company’s patent protected Heterojunction/SmartWire technology is more efficient than the current standard Mono-PERC, as well as other heterojunction technologies currently available. Meyer Burger is setting up a GW-scale European solar PV HJT cell and module manufacturing project 83 ;

·The Oxford PV plant in Brandenburg is developing a production line for tandem crystalline silicon and perovskite cells, with the promise of creating a commercial breakthrough for very high efficiency devices.

Even though the EU industry has lost considerable market share in the past decade, there are opportunities for rebuilding the industry. These opportunities exist in parts of the value chain and market segments where differentiation plays a relatively large role, such as equipment and inverter manufacturing and tailored PV products, such as BIPV. Furthermore, the commercialisation of novel PV technologies could offer opportunities to rebuild the industry. The strong knowledge position of the EU research institutions, skilled labour force and industry players offer a sufficiently strong basis for such a strategy to succeed 84 .

Employment figures

IRENA reports that, globally, the PV sector provided 3 265 million jobs in 2017, the largest of all the renewables. Figure 76  shows a breakdown of employment across the value chain, for the EU and the rest of the world. The deployment step had the largest number of employees. Indirect jobs also formed the majority of jobs in all segments. The relative size of the size of the European job count reflects the market share and current low level of manufacturing. The IEA has also noted that the solar PV sector is the most intensive job creator in the energy sector with 12 jobs for each million euro of investment. Similarly, IEA estimates that energy efficiency in buildings and industry together with solar PV create the most jobs per million euro of investment 85 .

Figure 77  looks at the employment trends in Europe for the PV sector, together with the annual volume of installations. The decline from a peak of almost 300 000 in 2011 reflects both a decrease in installation and in manufacturing. The recent upswing is considered to be entirely due to the recovery of the installation market. In particular, the rooftop market can provide significant jobs, also at local level for installations and maintenance. At the end of 2018, about 19% of the installations in Europe were on in the residential sector, about 37% were commercial and industrial systems and about a third were ground-based and typically of utility-scale 86 . The additional PV capacity expected in EU by 2030 and 2050 would likewise be split between large-scale power plants and rooftop installations. Together with a revival of manufacturing of solar cells and modules, the sector could add 150 000 to 225 000 new jobs by 2030 87 .

Figure 76 Solar Employment by value chain

Source 76 ASSET Study commissioned by DG ENERGY - Gathering data on EU competitiveness on selected clean energy technologies (Draft, 2020)

Figure 77 Solar PV employment and annual capacity additions, EU28, 2009-2018

Source 77 JRC 120302 based on EurObserv’ER and IRENA.

3.4.3.Global market analysis

Trade (imports, exports)

EU27 has experienced a negative trade balance in the solar PV sector 88 . The EU trade balance in the solar PV sector is negative, with a rapid decrease, starting from 2007. This imbalance reflects imports rather than exports, which are almost constant over the years. In particular, the total EU solar PV imports are strongly dependent on imports from Chinese and Asian companies. 89

Figure 78 EU28 imports and exports for PV

Source 78 Source 788 ICF, Climate neutral market opportunities and EU competitiveness – Draft Final Report to DG GROW, September 2020

Global market leaders VS EU market leaders

The global world market, dominated by Europe in the last decade, has rapidly changed into an Asia dominated market. The internationalisation of the production industry is mainly due to the rapidly growing PV solar cells and modules manufacturers from China and Taiwan, as well as new market entrants from companies located in India, Malaysia, the Philippines, Singapore, South Korea, UAE. However, the capital investment often comes from China, as well. At the moment, it is hard to predict how the market entrance of new players worldwide will influence future developments in the manufacturing industry and markets 90 .

The downstream sector constitutes a very significant part of PV system investments. It includes project development, engineering, procurement & construction, operations and maintenance and decommissioning. Table 4 shows a listing of leading contractors for EPC and O&M, and includes a significant European presence. As for manufacturing, the majority are not pure solar players. Several EU companies are major international players for PV systems development and operation: EU companies are also at the forefront of PV module re-cycling technology, although the volume of decommissioned products is still insufficient for full commercial viability.

Table 4 Wiki-Solar listing of inverter manufacturers, engineering, procurement and commissioning (EPC) and operation and maintenance (O&M) contractors for utility scale systems at end 2018.

Inverters

EPC

O&M

SMA Solar Technology [DE]

Ingeteam [ES]

Asea Brown Boveri [CH] including Power-One [US]

Schneider Electric [FR]

TMEIC (Toshiba Mitsubishi-Electric Industrial Systems) [JP]

SunGrow [CN]

GE Energy [US]

TBEA (Tebian Electric Apparatus) [CN] including SunOasis

Fimer SpA [IT]

Siemens [DE]

Santerno [IT]

AE Advanced Energy [US]

Emerson [GB]

Bonfiglioli [IT]

Satcon [US]

Kaco [DE]

Fuji Electric [JP]

Huawei [CN]

GP Tech [ES]

Hitachi [JP]

Guanya [CN]

First Solar [US]Sterling & Wilson [IN]

Swinerton Renewable Energy [US]Abengoa Solar [ES] juwi AG [DE] Enerparc [DE]SunEdison [US]

Belectric [DE] (now part of: Innogy)Bharat Heavy Electricals [IN]

Mortenson Construction [US]

Acciona Energía [ES]

Elecnor [ES] McCarthy Building [US] Mahindra [IN]

SunPower Corporation [US]

Bechtel [US]

Canadian Solar [CA]

ACS Group [ES]

TSK Group [ES]

Kawa Capital (incl. ex. Conergy [DE]) Eiffage [FR]

Tata Power [IN]

Hanwha Q.Cells [KR]

RCR Tomlinson [AU] (in insolvency)

BayWa r.e. [DE] IB Vogt Solar [DE]

First Solar [US]SunEdison [US] (in insolvency)Enerparc [DE]juwi AG [DE] Bharat Heavy Electricals [IN]

Elecnor [ES] Cypress Creek Renewables [US] EDF Energies Nouvelles [FR] IB Vogt Solar [DE] Conergy [DE] (now part of: Kawa Capital) Signal Energy [US]

Martifer [PT] (now part of: Voltalia) TBEA SunOasis [CN]

BayWa r.e. [DE] Sterling & Wilson [IN]

SunPower Corporation [US] Canadian Solar [CA] Saferay [DE] Biosar Energy

SMA Solar Technology [DE] Grupo Ortiz [ES]

DEPCOM Power [US]

Vikram Solar

TSK Group [ES]

Metka-Egn [GR]

Kyudenko Corporation [JP]

Consolidated Edison Development [US]

RES Group [GB]

EDF Renewable Energy [US]

Source 79 Wiki-Solar http://wiki-solar.org/index.html accessed March 2019

Critical raw material dependence

The EU’s list of critical raw materials contains boron, germanium, silicon, gallium and indium as PV relevant materials. To note that indium and gallium are only used in CIGS (and therefore not used in the 95% of the PV produced today). Silicon metal is included due to the current import dependence on Chinese PV products, although silicon oxide feedstock is abundant. Usage of silver for connections is sometimes cited as a cause for concern. The industry in any case works to decrease its use for cost reasons. R&D efforts concentrate on minimising silver use or on substitute materials like copper. The fact that PV offers a very broad range of options for materials and their sources can mitigate concerns that may arise from projections based on current device technologies.

3.4.4.Future challenges to fill technology gap

Europe continues to be a leader in research on PV technologies, but also faces strong competition at global level. The innovation phase continues to pose significant challenges. Scale is a critical factor to achieving cost competiveness. This applies not just to the bulk market for free-standing or roof-applied systems, but also to building integrated products. Relatively few projects have sufficient resources to address this, particularly those requiring further technical development as well as pilot manufacturing. The new EU Green Deal and European Recovery funds could play a role in developing a new generation of PV manufacturing. Also very large-scale demonstration programmes are needed, and the new ETS Innovation Fund could be beneficial in creating such market-pull stimulus for advanced concepts.

Although the EU industry has lost considerable market share in the past decade, new opportunities are now emerging. These opportunities exist in parts of the value chain and market segments where differentiation plays a relatively large role, such as equipment and inverter manufacturing and PV products tailored to respond to the specific needs of the final sectors of use: buildings sector (BIPV), transportation (VIPV) and agriculture (AgriPV). The modularity of the technology in fact simplifies the integration of photovoltaics in a number of applications, especially in the urban environment. Furthermore, the novel PV technologies reaching the commercialization could offer new basis to rebuild the industry. The strong knowledge position of the EU research institutions, the skilled labour force and the existing and emerging industry players are the basis to rebuild a strong European photovoltaic supply chain 91 .

Emerging approaches to solar photovoltaics (for instance heterojunction and perovskite materials) promise higher performances and lower cost together with a reduced use of materials and lower impact. European Institutes and companies are championing some of these new routes. Relevant manufacturing projects include Ampere, a Horizon 2020 project supporting the construction of a pilot line, to produce photovoltaic silicon solar cells and modules based on heterojunction technology 92 ; Oxford PV, which is an initiative for manufacturing photovoltaic solar cells based on perovskite materials. 93

All projections point to a large role for PV in the future energy system, which will result in a significant growth of the global PV manufacturing industry. If the EU manages to build a strong position in this industry, the benefits will not only include economic growth but also increased energy independence and leadership in innovative energy technologies. As such, it would clearly contribute to the goals set in the Energy Union strategy. Moreover, to maintain the competitiveness of the EU industry, extra-EU markets will need to be considered and developed. Building a sizeable EU PV manufacturing industry would then avoid the risk of supply disruptions’ and quality risks in extra-EU markets.

 

(1) Ofgem Renewable Energy Guarantees Origin Register. https://www.renewablesandchp.ofgem.gov.uk/
(2) European Commission (2017) Study on Lessons for Ocean Energy Development EUR 27984
(3) Magagna & Uihllein (2015) 2014 JRC Ocean Energy Status Report ( https://publications.jrc.ec.europa.eu/repository/bitstream/JRC93521/jrc%20ocean%20energy%20report_v2.pdf )
(4) https://www.h2owaternetwerk.nl/h2o-actueel/redstack-bv-bedrijf-achter-blue-energy-wil-waterstof-op-gaan-wekken
(5)

JRC 2020, Facts and figures on Offshore Renewable Energy Sources in Europe, JRC121366 (upcoming)

(6)  JRC 2020, Facts and figures on Offshore Renewable Energy Sources in Europe, JRC121366 (upcoming)
(7) These figures have been updated based on the JRC internal regisitry of projects and on the OES Annual Report. Given the R&D nature of some projects, it may contains small innacuracy in terms of status of a project such as operational/on pause.
(8) Ocean Energy Europe (2020) Ocean energy key trends and statistics 2019
(9) JRC 2020, Facts and figures on Offshore Renewable Energy Sources in Europe, JRC121366 (upcoming)
(10)  European Commission (2018) Market study on Ocean Energy
(11) IEA (2019) World Energy Outlook 2019.
(12)  Current policy initiatve without specific support for emerging RES such as ocean
(13) IEA (2019) World Energy Outlook 2019.
(14) No support mechanisms are considered within the model.
(15)  JRC (2020) Technology Development Report Ocean Energy 2020 Update,
(16) Seanergy 2016
(17)  JRC (2020) Technology Development Report Ocean Energy 2020 Update,
(18) Corpower (2020) High Efficiency Wave Energy – Presentation at the Stakeholder event in support of the Offshore Renewable Energy Strategy 09/07/2020
(19) Start of the SET plan initiative
(20) Private investments areestimated from the patent data available through Patstat. Sources: Fiorini, A., Georgakaki, A., Pasimeni, F. and Tzimas, E., (2017) Monitoring R&I in Low-Carbon Energy Technologies , JRC105642, EUR 28446 EN and Pasimeni, F., Fiorini, A., and Georgakaki, A. (2019). Assessing private R&D spending in Europe for climate change mitigation technologies via patent data. World Patent Information, 59, 101927.
(21) EU funds awarded up to 2020 included UK recipients
(22) Complete statistics on patent families are available up to 2014; filings in subsequent years are also considered if they belong to a patent family (or invention) that claims priority in this time period. Patent families are collections of documents referring to the same invention (e.g. filings to different IP offices)
(23) JRC (2020) Technology Development Report Ocean Energy 2020 Update
(24) Source and Methodology JRC
(25) JRC and IEA [data updated Feb 2019X
(26) JRC (2017) EU Low Carbon Energy Industry Report
(27)   https://ec.europa.eu/jrc/en/publication/eur-scientific-and-technical-research-reports/supply-chain-renewable-energy-technologies-europe-analysis-wind-geothermal-and-ocean-energy
(28) The supply chain to which it is referred here does not reflect all the companies in the innovation
(29) Hume (2018) The Rise of Crowdfunding for Marine Energy https://www.maritime-executive.com/features/the-rise-of-crowdfunding-for-marine-energy  
(30)  European Commission (2018) Market study on Ocean Energy
(31) FTI-Consulting. (2016). Global Wind Supply Chain Update 2016.
(32)

Magagna, D., Monfardini, R., & Uihlein, A. (2016). JRC Ocean Energy Status Report 2016

(33)

 EMEC. (2020). Marine Energy. http://www.emec.org.uk/marine-energy/  

(34) TRL6 is used as cut-off point for developers receiving sufficient fuds to develop a small scale prototype of the device to be tested at sea.
(35)  JRC 2020, Facts and figures on Offshore Renewable Energy Sources in Europe, JRC121366 (upcoming)
(36) European Commission (2020) 2020 Blue Economy Report
(37) European Commission (2018) The 2018 Annual Economic Report on the EU Blue Economy
(38) JRC (2017) Supply chain of renewable energy technologies in Europe.
(39) JRC (2014) Overview of European innovation activities in marine energy technology.
(40) JRC (2020) - Facts and figures on Offshore Renewable Energy Sources in Europe, JRC121366 (upcoming)
(41) JRC (2020) - Facts and figures on Offshore Renewable Energy Sources in Europe, JRC121366 (upcoming)
(42) EURActive (2020) https://www.euractiv.com/section/energy/interview/irena-chief-europe-is-the-frontrunner-on-tidal-and-wave-energy/  
(43) European Commission (2018) Market study on Ocean Energy
(44)  IEA (2019) World Energy Outlook
(45) Ocean Energy Europe (2019) Powering Homes Today, Powering Nations Tomorrow
(46)  Ocean Energy Europe (2019) Powering Homes Today, Powering Nations Tomorrow
(47) European Commission (2020) The EU Blue Economy Report 2020
(48) European Commssion (2020) Offshore renewable energy strategy (upcoming)
(49) D. Magagna et al (2018) Workshop on Future Emerging technologies for ocean energy
(50)  IEA data and statistics, https://www.iea.org/data-and-statistics/charts/solar-pv-power-generation-in-the-sustainable-development-scenario-2000-2030
(51) EUR 1.5 trillion (1 USD = 0.84 EUR)
(52) Bloomberg New Energy Finance (BNEF) New Energy Outlook (NEO)
(53) The LTS study uses a single “solar” electricity generation category and is effectively PV for cost and deployment reasons.
(54) The LTS results are for AC capacity, while PV systems sizes and market volumes are typically given as DC. For utility systems, the DC capacity is a factor of 1.25 higher than the AC value.
(55) Jaeger-Waldau, A., Snapshot of Photovoltaics-February 2020, Energies, 13, 930
(56) SWD(2020) 176, Accompanying the document “Stepping up Europe’s 2030 climate ambition Investing in a climate-neutral future for the benefit of our people”
(57) Jaeger-Waldau, A, et al, How photovoltaics can contribute to GHG emission reductions of 55% in the EU by 2030, Renewable and Sustainable Energy Reviews, Volume 126, 2020, 109836,
(58) Ruiz, P. et al, ENSPRESO - an open, EU-28 wide, transparent and coherent database of wind, solar and biomass energy potentials, Energy Strategy Reviews, Volume 26, November 2019, 100379
(59) Bódis K, Kougias I, Jäger-Waldau A, Taylor N, Szabó S. A high-resolution geospatial assessment of the rooftop solar photovoltaic potential in the European Union. Renew Sustain Energy Rev 2019;114.
(60) Woodhouse M, Smith B, Ramdas A, Margolis R. Crystalline silicon photovoltaic module manufacturing costs and sustainable pricing: 1H 2018 benchmark and cost reduction roadmap. 2019. Golden, CO
(61) Fraunhofer ISE, Sustainable PV Manufacturing in Europe - An Initiative for a 10 GW GreenFab; 2019
(62) According to the 2020 ITRPV update report, considering the shorter time interval 2006-2019, the learning rate shows a clear acceleration.
(63) E. Vartiainen et al, Impact of weighted average cost of capital, capital expenditure, and other parameters on future utility‐scale PV levelised cost of electricity, Prog Photovolt Res Appl. 2019; 1–15.
(64) With values in EUR: “ 286 to 701 EUR/kW by 2030 and to 139 to 404 EUR/kW by 2050 (it is noted that the average cost was 1016 EUR/kW in 2018” (1 USD = 0.84 EUR)
(65) BIPVBoost H2020 Project, Competitiveness status of BIPV solutions in Europe, January 2020, available on project web site
(66) 33 to 42 EUR/MWh, BNEF 1H LCOE update, 28 April 2020, (1 USD = 0.84 EUR)
(67) 8 to 42 EUR/MWh, IRENA, Future of Solar Photovoltaic, November 2019, (1 USD = 0.84 EUR)
(68) DG ECFIN Note on the Cost-Competitiveness of Renewable Energy in the EU - The Case of Onshore Wind and Solar Photovoltaic Electricity, Note to the Economic Policy Committee Energy and Climate Change Working Group, June 2020
(69) Bódis K, Kougias I, Jäger-Waldau A, Taylor N, Szabó S. A high-resolution geospatial assessment of the rooftop solar photovoltaic potential in the European Union. Renew Sustain Energy Rev 2019;114.
(70) As of 16 January 2020.
(71)

 European Solar Manufacturing Accelerator, Solar Power Europe, ETIP PV, ESMC, and others (2020), see https://www.solarpowereurope.org/campaigns/manufacturing-accelerator/

(72)

CETP-SRIA Input Paper - Thematic Cluster: Renewable Technologies 1 & 2; Challenges 2 - Photovoltaics

(73) Frankfurt School-UNEP Centre/BNEF. 2020, Global Trends in Renewable Energy Investment 2020, http://www.fs-unep-centre.org
(74) Patent documents are grouped in families, with the assumption that one family equals one invention.
(75) N. Taylor, A. Jäger-Waldau, Photovoltaics technology development report 2020 - Deliverable D2.3.2 for the Low Carbon Energy Observatory, European Commission, Ispra, 2020, JRC120954.
(76) https://www.fs-unep-centre.org/wp-content/uploads/2020/06/GTR_2020.pdf
(77)  Asset Study Competitiveness (2020)
(78) See also ICF, Climate neutral market opportunities and EU competitiveness – Draft Final Report to DG GROW, September 2020
(79)  Ongoing ASSET Study on Competitiveness, 2020
(80) List will be provided soon
(81)   https://www.sciencedirect.com/science/article/pii/S1364032120301301?via%3Dihub (equal to 63)
(82) https://www.solarpowereurope.org/wp-content/uploads/2020/07/3sunfactory_lr.pdf
(83) https://www.solarpowereurope.org/wp-content/uploads/2020/07/meyer_burger_lr.pdf
(84) Assessment of Photovoltaic (PV), Final Report, Trinomics B.V 2017 https://trinomics.eu/wp-content/uploads/2017/07/AssessmentofPV.pdf
(85) (IEA, World Energy Outlook, Special Report Sustainable Recovery, June 2020) https://www.iea.org/reports/sustainable-recovery/evaluation-of-possible-recovery-measures
(86)  Ongoing ASSET Study on Competitiveness, 2020
(87) Renewable and Sustainable Energy Reviews, Volume 126, July 2020, 109836, https://doi.org/10.1016/j.rser.2020.109836
(88) Guidehouse Insights Estimates of UN COMTRADE data
(89) JRC Report: EU energy technology trade - https://publications.jrc.ec.europa.eu/repository/handle/JRC107048
(90) PV Status Report 2019 https://publications.jrc.ec.europa.eu/repository/bitstream/JRC118058/kjna29938enn_1.pdf
(91) Assessment of Photovoltaics (PV) Final Report, Trinomics (2017)
(92) www.ampere-h2020.eu
(93)   https://www.eib.org/en/products/blending/innovfin/products/energy-demo-projects.htm
Top

Brussels, 14.10.2020

SWD(2020) 953 final

COMMISSION STAFF WORKING DOCUMENT

Clean Energy Transition – Technologies and Innovations

Accompanying the document

REPORT FROM THE COMMISSION TO THE EUROPEAN PARLIAMENT AND THE COUNCIL

on progress of clean energy competitiveness

{COM(2020) 953 final}


1.

2.

3.

3.1.

3.2.

3.3.

3.4.

3.5.Renewable hydrogen through electrolysis 

3.5.1.State of play of the selected technology and R&I landscape

Hydrogen offers the opportunity to be used as both an energy vector and a feedstock molecule, therefore having several potential uses across sectors (industry, transport, power and buildings sectors). Hydrogen does not emit CO2 when used, and offers the option to decarbonise several hydrogen-based applications, provided its production is sustainable and hydrogen production is not associated to a considerable carbon footprint. Currently the most mature and promising hydrogen production technology, which can be coupled with renewable electricity, is electrolysis. Since any hydrogen-based technological chain has to rely on a hydrogen supply, it is sensible to focus first attention to technological solutions able to produce renewable hydrogen at scale and electrolysis is to be the most mature option.

In the strategic vision for a climate-neutral EU published in November 2018, the EC LTS foresees the share of hydrogen in Europe’s energy mix to grow from the current less than 2% to 13-14% by 2050, amounting to 60 to 80 million tonnes of oil equivalent (Mtoe) in 2050. In terms of installed capacity, the LTS foresees up to 511 GW (1.5 TECH scenario 1 ), whilst other studies suggest a 1 000 GW European market by 2050 2 .

The objective of the hydrogen strategy 3 is to install at least 6 GW of renewable hydrogen electrolysers in the EU by 2024 and 40 GW of renewable hydrogen electrolysers by 2030. The Hydrogen strategy sees industry and heavy-duty transport as applications with highest added value for the EU decarbonisation ambitions.

Figure 79 Differences in final energy consumption in Iron & Steel compared to Baseline in 2050 by fuel and scenario

Source 80 EC PRIMES 4

Figure 80 Energy Content of feedstock demand for ethylene, ammonia and methanol production by type of feedstock and scenario in 2050

Source 81 FORECAST 5

Capacity installed, generation

The current hydrogen production is almost completely based on the use of fossil fuels and associated with large industrial processes. The dedicated world production of hydrogen (hydrogen as primary product) can be subdivided according to the following feedstock 6 :

·ca. 71% from natural gas (steam methane reforming), accounting for 6% of global natural gas use, and emitting around 10 tonnes of carbon dioxide per tonne of hydrogen (tCO2/tH2);

·ca. 27% from coal (coal gasification), accounting for 2% of global coal use, emitting around 19 tCO2/tH2;

·about 0.7% from Oil (reforming and partial oxidation) (emitting around 6.12 tCO2/tH2);

·less than 0.7% from renewable sources (water electrolysis powered with renewable electricity in particular)

oAbout 200 MJ (55 kWh) of electricity are needed to produce 1 kg of hydrogen from 9 kg of water by electrolysis. The required water feedstock consumption is always higher than the stoichiometric value and depends on the actual process efficiency.

The total worldwide hydrogen production is mainly associated with its use as chemical feedstock in oil refining (about 33%), ammonia production (about 27%) and methanol synthesis 7 (about 10%); the remaining fractions are linked with other forms of pure hydrogen demand (e.g. chemicals, metals, electronics and glass-making industries) and use of mixtures of hydrogen with other gases (e.g. carbon monoxide) such as for heat generation.

9,9 Mt/y of hydrogen is produced today in the EU28 (9.4 Mt/y in EU27), out of about 70 Mt/y of pure hydrogen 8 globally, producing around 830 Mt of CO2 globally 9 .

In this section, the focus is on renewable hydrogen 10 production and on the competitiveness elements of this first segment of the whole hydrogen value chain. On-site hydrogen production for co-located consumption in industrial applications appears a promising option on the short-medium term to smoothly reach the scale for the larger introduction of the carrier in the energy system, in line with the ambition of a climate-neutral economy and the hydrogen strategy. The current use of hydrogen in the chemical and petrochemical industry is to be added to the future uses as fuel for the transportation sector (various modes), for cogeneration of electricity and heat or electricity alone, as a storage option for electricity and as a feedstock in the chemical industry, for direct use of hydrogen in small scale stationary end-uses. However, transport of hydrogen, its storage and its conversion in end-use applications (e.g. mobility, buildings) are not discussed here.

The recently launched “Hydrogen Strategy for a climate neutral Europe” 11 aims at fostering a significant growth in European electrolyser capacity with the objective of an expected 6 GW (producing up to one million tonne of renewable hydrogen per year) of electrolysers powered by renewable electricity deployed by 2024 and 40 GW (producing up to ten million tonnes of renewable hydrogen) deployed by 2030.

Renewable hydrogen production is still at very low capacity, but a large number of demonstration projects have been announced and it is expected to grow significantly in the coming decade. In 2019, EU27 had around 50 MW of dedicated water electrolysis capacity installed (all technologies) 12 , of which around 30 MW were in Germany in 2018 13 . There are an additional 34 concrete projects already in the pipeline for an additional 1 GW capacity, requiring EUR 1.6 billion of investments 14 under construction or announced, and an additional 22 GW of electrolyser projects and would require further elaboration and confirmation. Between November 2019 and March 2020, market analysts increased the list from 3,2 GW to 8,2 GW of electrolysers by 2030 (of which 57% in Europe).

Figure 81 Hydrogen production

Source 82 Fuel Cell Hydrogen Joint Undertaking (2019 data)

The 2018 worldwide yearly hydrogen use was about 70 Mt as pure gas, in addition 45 Mt of hydrogen were used without prior separation from other gases 15 . European hydrogen use in its pure form (both merchant and captive) accounted for about 9.7 Mt H2 in 2015 16 ; around 47% of which was used in oil refining, 40% in ammonia production, 8% in methanol production and the remaining used mainly in other chemical productions and industrial processes.

Figure 82 Hydrogen Consumption

Source 83 Fuel Cell Hydrogen Joint Undertaking (2019 data)

Cost, LCOE

The cost of hydrogen depends on several factors: (i) capital investment (retrofitting or greenfield); (ii) operating costs, linked with the costs of natural gas or renewable power (50-60% of overall costs for both renewable and low-carbon hydrogen); (iii) load factor 17 ; and (iv) price of carbon emission (expected in the Emission Trading System), and other elements such as availability and cost of storage.

Estimated costs today for fossil-based hydrogen with carbon capture and storage are about 2 EUR/kg, and 2.5-5.5 EUR/kg for renewable hydrogen 18 . Carbon prices in the range of EUR 55-99 per tonne of CO2 would be needed to make fossil-based hydrogen with carbon capture competitive with fossil-based hydrogen today (current cost of about 1.5 EUR/kg) 19 . Today’s price of 1 tonnes of CO2 is around 25 EUR in the Emission Trading Scheme, and historically has not been higher. This means that CO2 price will be a determining factor, together with low price of electricity, in making renewable hydrogen competitive against fossil based energy 20 . The relative impact of these factors will be strongly influenced by the actual natural gas prices, which changes with location, depending on the world region considered, and temporality.

Costs for renewable hydrogen are going down quickly. Electrolyser costs have already been reduced by 60% in the last ten years, and are expected to halve in 2030 compared to today thanks to economies of scale 21 . Other studies 22 indicate that the price of renewable hydrogen will depend on the location of electrolyser (on site, or “centralised” electrolyser). In regions with cost of renewable electricity, electrolysers are expected to produce hydrogen that will compete 23 with fossil-based hydrogen in 2030 24 . These elements will be key drivers of the progressive development of hydrogen across the EU economy 25 .

Based on current electricity prices, the associated cost estimates for EU production range (based on IEA, IRENA, BNEF) are:

·low-carbon fossil-based hydrogen: EUR 2.2/kg;

·Renewable hydrogen: EUR 3-5.5/kg.

For 2030, the cost estimates for EU production range (based on IEA, IRENA, BNEF) are:

·low-carbon fossil-based hydrogen: EUR 2.2-2.5/kg.

For the renewable hydrogen, the cost in the range EUR 1.1-2.4/kg 26 . However, assumptions depend on a number of input factors. In countries relying on gas imports and characterised by good renewable resources, clean hydrogen production from renewable electricity can compete effectively with production that relies on natural gas 27 .

Reducing the price of renewable hydrogen allows an increasing penetration of hydrogen into different sectors and applications. Usually system boundaries for hydrogen production calculations are defined by the production side, but actual competitiveness for hydrogen uses comes from the opportunity offered by business cases outside the production boundaries. Industrial competitiveness could allow certain industrial processes such as the use of hydrogen for clean steel production, to become affordable earlier than other uses which have to face more challenging competition against conventional fossil-based hydrogen (e.g. ammonia). As an additional advantage, renewable hydrogen has a lower price volatility against hydrogen produced from fossil fuels, which follow natural gas prices.

Table 5 State of art on Electrolysis

Low temp versus/ high temp membranes

Temp (°C)

Electrolyte

Efficiency (nominal stack and nominal system)

Maturity level ( 28 )

Million EUR/tonne H2 out 29

Cost in EUR/MWel of production capacity/year 30

Alkaline Electrolysis (AEL)

60-90

Potassium hydroxide

63-71%;

51-60%

Used in industry for last 100 years

2020: 15-65

2030: 12-38

2050: 7-29

45 000 31

Polymer Exchange Membrane (PEMEL)

50-80

Solid state membrane

60-68%; 46-60%

Commercially used for medium and small applications (less 300 kW) ( 32 )

2020: 42-120

2030: 26-82

2050: 8-55

69 000 33

Solid Oxide Electrolysis – high temperature (SOEL)

700-900

Oxide ceramic

76-81%

Experiment, low TRL, pre-commercial status

2020: 36-122

2030: 27-111

2050: 13-38

Anion Exchange Membrane (287 (AEMEL)

60-80

Polymer membrane

N/A

Commercially available for limited applications

Source 84 Alexander Buttlera, Hartmut Spliethoff, Renewable and Sustainable Energy Reviews 82 (2018) 2440–245

Costs of electrolysers (2019): Capital expenditure (CAPEX) account for 50% to 60% of total costs of electrolyser 34 .

AEL

USD 500–1400/kWe

PEM

USD 1 100–1800/kWe

SOEC

USD 2 800–5600/kWe

Figure 83 Specific Hydrogen Production per Cell Area

Source 85 A. Buttler, H. Spliethoff Renewable and Sustainable Energy Reviews 82 (2018) 2440–2454

From now to 2030, investments in electrolysers could range from EUR 24 billion to EUR 42 billion to install 40 GW of electrolysers. In addition, over the same period, from EUR 220 billion to EUR 340 billion would be required to scale up and directly connect 80-120 GW of solar and wind energy production capacity to power them. From now to 2050, investments in production capacities would amount to EUR 180-470 billion in the EU 35 .

Public R&I funding

An analysis of European projects financed under horizon 2020 (2014-2018) focussing on electrolyser’s development highlighted a public support of more than EUR 90 million, complemented by EUR 33.5 million of private money 36 .

Figure 84 Cumulative EU funding contribution for electrolyser technology-related projects

Source 86 JRC 2020 Current status of Chemical Energy Storage Technologies

Between 2008 and 2018, the Fuel Cells and Hydrogen Joint Undertaking (FCH JU) supported 246 projects across several hydrogen-related technological applications, reaching a total investment of EUR 916 million, complemented by EUR 939 million of private and national/regional investments. Under the Horizon 2020 program (2014-2018 period), over EUR 90 million have been allocated to electrolyser’s development, complemented by EUR 33.5 million of private funds 37 , 38 . At national level, Germany has deployed the largest resources with EUR 39 million 39 allocated to projects devoted to electrolyser development (2014-2018) 40 . In Japan, Asahi Kasei received a multimillion dollar grant supporting the development of their alkaline electrolyser 41 .

Figure 85 The funding distribution across years for chemical energy storage projects subdivided according to the methodology as defined in the Technical Report “Current status of Chemical Energy Storage Technologies”, EU funding and private co-funding are separate

Source 87 JRC Technical Report Current status of Chemical Energy Storage Technologies

Patenting trends

Asia (mostly China, Japan and South Korea) dominates the total number of patents filed in the period from 2000 to 2016 for the hydrogen, electrolyser and fuel cell groupings. Nevertheless, the EU performs very well and has filed the most “high value” patent families in the fields of hydrogen and electrolysers. Japan, instead, filed the largest number of “high value” patent families on fuel cells.

3.5.2.Value chain analysis

Main companies

Whilst around 280 companies 42 are active in the production and supply chain of electrolysers in Europe and more than 1 GW of electrolyser projects are in the pipeline, the total European production capacity for electrolysers is currently below 1 GW per year.

The electrolysis market is very dynamic with several fusions and acquisitions recorded in recent years. An overview of the manufacturers of medium to large scale electrolysis systems reports only manufacturers of commercial systems and does not consider manufacturers of laboratory-scale electrolysers 43 . The market analysis shows that electrolysers based on alkaline electrolysis (AEL), are provided by nine EU producers (four in Germany, two in France, two in Italy and one in Denmark), two in Switzerland and one in Norway, two in US, three in China, and three in other countries (Canada, Russia and Japan). Electrolysers based on proton exchange membrane (PEM) electrolysis, are provided by six EU suppliers (four in Germany, one in France and one in Denmark), one supplier from UK and one from Norway, two suppliers from US, and two suppliers from other countries. Electrolysers based on solid oxide electrolysis, are manufactured by three suppliers from EU (two in DE and FR) and one from the US.

Figure 86 Location of the manufacturers of large electrolysers, by technology

Electrolyser technology

EU27

CH, NO, UK

US

China

Others

Alkaline AEL

9

3

2

3

3

Proton Exchange Membrane PEM

6

2 44

3

2

Solid Oxide Electrolysis SOEL

3

1

Source 88 A. Buttler, H. Spliethoff, Renewable and Sustainable Energy Reviews 82 (2018) 2440–2454

 Gross value added growth

Production equipment is a significant contributor of value added in electrolyser cell production 45 .

Employment figures

Currently, the entire hydrogen industry has about 16 000 employees in Europe. There are 34 concrete electrolyser projects in the pipeline for an additional 1 GW, requiring EUR 1.6 billion of investments and creating 2 000 new additional jobs. Regarding future projections, the results below should be interpreted as the number of jobs that will be created for each billion EUR invested into the hydrogen value chain in that year. Job estimates for renewable hydrogen for 2050, are around 1 milllion, of which 50% of jobs would be in the renewables sector 46 .

Figure 87 Number of jobs (000’s) created per billion EUR invested, breakdown by supply chain (left) and by sector (right)


Source 89 ASSET Study commissioned by DG ENERGY - Hydrogen generation in Europe: Overview of costs and key benefits, 2020

Figure 88 Number of jobs created per billion EUR invested, breakdown by direct vs indirect jobs

Source 90 ASSET Study commissioned by DG ENERGY - Hydrogen generation in Europe: Overview of costs and key benefits, 2020



3.5.3.Global market analysis

Raw materials

Europe is fully dependent on third countries for the supply of 19 of 29 raw materials relevant to fuel cells and electrolyser technologies. For the production of fuel cells alone, 13 critical raw materials namely cobalt, magnesium, REEs, platinum, palladium, borates, silicon metal, rhodium, ruthenium, graphite, lithium, titanium and vanadium are needed. The corrosive acidic regime employed by the proton exchange membrane electrolyser, for instance, requires the use of noble metal catalysts like iridium for the anode and platinum for the cathode, both of which are mainly sourced from South Africa (84%). Hydrogen production also relies on several critical raw materials for various renewable power generation technologies 47 . The biggest supply bottleneck for fuel cells is however not the raw materials, but the final product, of which the EU only produces 1%.

3.5.4.Future challenges to fill technology gap

Even though renewable hydrogen is commercially available, its currently high costs provide limits to its broad uptake. To ensure a full hydrogen supply chain to serve the European economy, further research and innovation efforts are required 48 .

As outlined in the Hydrogen Strategy, upscaling the generation side will entail developing to larger size, more efficient and cost-effective electrolysers in the range of gigawatts that, together with mass manufacturing capabilities and new materials, will be able to supply hydrogen to large consumers. The Green Deal call (under Horizon 2020) for a 100 MW electrolyser will be the first step. Moreover, research can play a role in increasing electrolyser’s performance and reducing its costs e.g.: increasing the durability of membranes for PEM, while reducing their critical raw materials content. Solutions for hydrogen production at lower technology readiness level need also to be incentivised and developed such as, for example, direct solar water splitting, or high-temperature pyrolysis processes, (cracking of methane into hydrogen, with solid carbon-black as side product). In the case of biomass based production (bio generation from bio-methane, bio-gas, vegetable oils) and from marine algae (biochemical conversion), a particular attention is to be paid to sustainability requirements.

In addition to considerations related to hydrogen production, subsequent new hydrogen technological chain should be developed. Infrastructure needs further development to distribute, store and dispense hydrogen in large volumes whether pure or mixed with natural gas should be developed. Points of production of large quantities of hydrogen and points of use (especially of large quantities) are likely not going to be close to each other. Hydrogen will have therefore to be transported over long distances.

Third, large scale end-use applications using renewable hydrogen need to be further developed, notably in industry (e.g. using hydrogen to replace coking coal in steel-making 49 or upscaling renewable hydrogen use in chemical and petrochemical industry) and in transport (e.g. heavy duty road 50 , rail, and waterborne transport and possibly aviation).

Finally, further research is needed to enable improved and harmonised (safety) standards and monitoring and assess social and labour market impacts. Reliable methodologies have to be developed for assessing the environmental impacts of hydrogen technologies and their associated value chains, including their full life-cycle greenhouse gas emissions and sustainability. Importantly, securing the supply of critical raw materials in parallel to their reduction, substitution, reuse, and recycling needs a thorough assessment in the light of the future expected increasing hydrogen technologies deployment, with due account being paid to ensuring security of supply and high levels of sustainability in Europe.

3.6.Batteries

3.6.1.State of play of the selected technology and R&I landscape

According to the LTS, by 2050, the share of electricity in final energy demand will double to at least 53 % 51 . By 2030, it is expected that around 55 % of electricity consumed in the EU will be produced from renewables (up from the current level of 29 %) and by 2050, this figure is expected to be more than 80%.

In a world that is increasingly electrified, batteries will become one of the key technological components of a low-carbon economy as they enable the energy transition from a mostly centralised electricity generation network towards a distributed one with increased penetration of variable renewable energy sources and “intelligent” energy flow management with smart grids and prosumers 52 . In particular, batteries cover close to half of the total need for storage within the EU energy system (more than 100 TWh 53 ), bypassing by far the currently dominating pumped hydro storage technology, and followed closely by hydrogen. Stationary batteries would play a larger role, growing from 29 GW in 2030 (from negligible amounts today) to between 54 GW (1.5 LIFE) and 178 GW (ELEC) 54 , in general having higher deployment in those scenarios without significant development of e-fuels 55 .

Batteries are electrochemical energy storage technologies that can be found in four potential locations: associated to generation, transmission, distribution, and behind the meter (consumer, commercial and industrial). They can be divided into the categories of primary and secondary (rechargeable).

Batteries are based on a wide range of different chemistries. In the past lead acid based batteries were the main used technology, whereas nowadays Li-ion technology plays a central role. Other, more experimental, battery technologies are Lithium-air (Li-Air), Lithium-sulphur, Magnesium-ion, and Zinc-air 56 . Li-Air technologies (also known as metal-air) have a much higher energy density than conventional lithium-ion batteries.

Figure 89 Overview of available battery technologies

Source 91 European Association for Storage of Energy (EASE)

Secondary batteries, from an application point of view, can be broken down into:

·portable batteries (Li-based and primarily used in consumer devices);

·industrial batteries (mostly lead-based and used for industrial devices for stationery and mobile applications);

·starting-lighting ignition batteries (lead based, used in automobiles);

·“Clean Vehicles” batteries (mostly Li-based batteries, for e.g. Electric Vehicles, Plug-in Hybrid Vehicles);

·power grid batteries (different technologies, installed in residential, commercial & industrial, or grid-scale level facilities to provide a wide variety of services: balancing, system services, ancillary services).

Figure 90 Summary of services that can be provided by Energy Storage in the Power System

Source 92 IRENA Utility Scale Batteries 2019

Besides pumped hydro and compressed air with application for large power and long times , Li-ion Batteries currently dominate the rest of the market in Power System Applications. Li-ion batteries that have become a key option for electrifying transport and for lifting the penetration levels of intermittent renewable energy. Given the economies of scale, they are also increasingly used for stationary electricity storage 57 . 

Capacity installed

Battery development and production is largely driven by the roll out of electromobility. The future global annual market for batteries is expected to grow fast and be very substantial, increasing from about 90 GWh in 2016 to about 800 GWh in 2025, exceeding 2 000 GWh by 2030 and could reach up to 4 000 GWh by 2040 in the most optimistic scenario 58 . As the global market size increases, the EU is forecasted to develop a capacity of 207 GWh by 2023, while European demand for electric vehicle batteries alone would be around 400 GWh by 2028 59 . 

With respect to performance, Li-ion energy density has increased significantly in the recent years, tripling since their commercialization in 1991. Further potential for optimization is given with new generation of Li-ion batteries 60 .

Figure 91 Energy density of Li-ion batteries over recent years

Source 93 JRC 2017315

EV demand has tripled global manufacturing capacity for Li-ion since 2013, given that batteries represent around 50% of the cost of an EV. By 2050, the share of battery electric and fuel cell drivetrains would reach 96% in 2050 (around 80% for battery electric and 16% for fuel cells). While only about 17 000 electric cars were on the road in 2010, there are today about 7.2 million electric cars globally 61 . Of the 4.79 million battery electric vehicles worldwide, 1 million are in Europe 62 . In particular, EVs could provide up to 20% of the flexibility to the grid required on a daily basis by 2050 63 given that appropriate interoperability solutions are in place and deployed.

Figure 92 Global Electric Vehicles and Plug in hybrid car stock, 2010-2019

Source 94 IEA, Global electric car stock, 2010-2019, IEA, Paris https://www.iea.org/data-and-statistics/charts/global-electric-car-stock-2010-2019

Currently, there have been announcements for investments in up to 11 battery factories, with a projected capacity of 270 GWh by 2030. Whether these investments will materialise or not will depend on the establishment of a regulatory framework that will ensure fair competition for producers who take into account stricter sustainability standards.

Figure 93 Planned battery factories in EU27 + Norway and UK

Source 95 European Battery Alliance

Cost, LCOE

For batteries, upscaling works differently than for other technologies - at least for Li technology, the cell size and form often change while its performance increases quickly. Li-ion technology is about to take over the leading role from lead-acid batteries, both for mobile and stationary applications. Li-ion batteries are viable in short-duration applications where services can be stacked and adapted to market pricing (e.g. hourly balancing, peak shaving and ancillary services) but are less cost effective for longer duration storage (> 4 hours, > 1 MW) 64 .

Electric vehicle (EV) demand is the main driver of cost reduction in Li-ion batteries. Li-ion battery prices, which were above USD 1 100/kWh in 2010, have fallen 87% in real terms to USD 156/kWh in 2020 65 , 66 . By 2025, average prices will be close to USD 100/kWh. The average battery pack size across electric light-duty vehicles sold (covering both battery electric vehicles and plug-in hybrid electric vehicles) continues to increase from 37 kWh in 2018 to 44 kWh in 2020, and battery electric cars in most countries are in the 50-70 kWh range 67 .

Figure 94 Li-ion battery price survey results: volume-weighted average

Source 96 BNEF

Figure 95 Li-ion battery pack price (real 2019 USD/kWh)

Source 97 BNEF

The prices for stationary Li-ion systems are also impressively coming down, though the cost is not the main factor for stationary systems, if compared to lifecycle. However, the cost reduction has been slower due to the contribution of other major cost components (e.g. inverters, balance of system hardware, soft costs such as engineering, procurement and construction), reduced economies of scale, and many use cases with different requirements. The benchmark costs of Li-ion stationary storage systems in 2017 were about EUR 500/kWh for energy-designed systems, about EUR 800/kWh for power-designed systems, and EUR 750/kWh for residential batteries 68 . Lowering of balance of system and other soft costs can potentially help further cost reduction of stationary energy storage systems, lifting barriers for their widespread deployment. At the same time, alternative technologies, other than Li-ion, are most promising for stationary energy storage and most probably will gain most market share in the future.

R&I

The need for cost reduction leads to innovation around four performance characteristics: energy, power, lifespan and safety 69 . Immediate innovation funding relates to succeeding with Li-ion cell mass production. In the short-term perspective this requires R&I at very high TRL level to bypass at least marginally current state of the art and start production (without waiting for break-through with solid-state technology).

While improving the performance of conventional lithium-ion batteries remains important, R&I efforts should also explore new chemistries for storing electricity at different scales329. The high differentiation of the market and the continuous interest in innovation are driven by multiple factors. Among the chemistries with a lower market share, currently lithium-sulphur and zinc-air batteries may be the most advanced but serious challenges will need to be overcome before commercialisation. Even though they both have significant potential, both Li-air and Mg-ion chemistries face difficulties and are dependent on technological breakthroughs for further development. Since the market for batteries is very competitive and prone to hypes, the long investment cycles, sometimes inflated expectations and reliance of some actors on government funding, can become problematic. Often, venture capital firms are reluctant to invest in projects that do not offer quick returns on investment. In addition, investors can be discouraged when innovations do not live up to the expectations. Consequently, some battery storage firms go bankrupt before reaching commercialisation329.

The wide range of applications of batteries and the various limitations of existing chemistries continue to drive innovation in the sector 70 . Research and Innovation will benchmark the future specifications and characteristics for battery technology as such and, more important, will determine the speed and market uptake rates for mobility and energy sector electrification. The corresponding investments in research have to be substantially increased, following the trend of the last years. High performing batteries are an essential energy storage technology necessary for Europe to succeed in this transition, in particular to be competitive also in the largest Chinese market. Main technological challenges remain improving performances of batteries, at the same time guaranteeing the European-level quality and safety, as well as the availability of raw and processed materials. This can only happen through breakthrough innovations and disruptive inventions; increased digitalisation; pushing the boundaries of technological performance of battery materials and chemistries; increasing the effectiveness of manufacturing processes; ensuring smart integration in applications; interoperability with the rest of the smart energy system components at all levels; and guaranteeing reuse or recycling and sustainability of the whole battery value chain.

Materials play a very important part in the value chain, starting from the right choice of raw material that should be sustainable and easily available, over pre-processed materials, advanced value added materials and materials with low environmental and CO2 footprint up to materials that by nature or by design will be easily recyclable. Thus, EU should consider take up the chance to regain competitiveness by providing modern sustainable and cost competitive battery materials and basic battery components (as anode, cathode, electrolyte, separators, binders, etc.) made in Europe.

The current research trend is to develop advanced materials (e.g. silicon enriched anode, solid state electrolytes) for the currently dominant Li-ion technology rather than developing new chemistries beyond Li-ion, at least until 2025. On the battery’s technical innovation side, areas include use of graphene 71 , silicon anodes, solid state electrolytes, room-temperature polymer electrolytes, and big-data-driven component recycling/repurposing techniques (e.g. Circunomics) 72  paving the way for further efficiency increases. These improved technologies are speculated to transition by 2030 towards post Li-ion technologies (Li-air, Li-S, Na-ion) once their performance is proven in automotive applications. Li-ion technology is therefore expected to remain as the dominant deployed technology at least until 2025-2030 73 .

The continuous pressure of improving Li-ion battery performance, especially in terms of extended life, cyclability and energy and power density as well as safety could affect the market uptake of emerging non-Li battery technology. Nevertheless, a broad range of applications requires a variety of fit-to-purpose batteries to satisfy the requirements for each application hence stimulating development of new types of batteries.

Despite only 3% of global production capacity currently being located within the EU, the sector is a very active investment space, with EU companies receiving around a third of deal volume and total investment over the 2014-2019 period 74 . One should also mention the Business Investment Platform (BIP) set up by InnoEnergy to channel private funding around innovative manufacturing projects in all segments of the batteries value chain. More than EUR 20 billion is in the pipeline.

Innovators in the batteries chain have managed to attract considerable levels of early stage and late stage investments (with EU companies attracting about 40%) as new technology developments emerged 75 . France and Sweden stand out in terms of total size of investments in early stage companies, while Sweden and Germany are the EU’s leading investors in late stage companies. Early and late stage investment peaked across the board in recent years as new technology developments emerged, with the EU holding a considerable share of these investments.

Public R&I funding

Figure 96 EU28 Public RD&D Investments in the Value Chain of grid-connected electrochemical batteries used for energy storage and digital control systems

Source 98 ICF, commissioned by DG GROW - Climate neutral market opportunities and EU competitiveness study (Draft, 2020)

Figure 97 Top 10 Countries - Public RD&D Investments (Total 2016-2018) in grid-connected electrochemical batteries used for energy storage and digital control systems

Source 99 ICF, commissioned by DG GROW - Climate neutral market opportunities and EU competitiveness study (Draft, 2020) (IEA data, does not include China)

A number of Member States are strengthening their R&I capacity. One prominent example includes the Frauenhofer (Germany) with its own “battery alliance” 76 , the biggest research production facility consisting of a number of institutes. Other important R&I players include CEA (France), ENEA (Italy), CIC energiGUNE (Spain), etc.

In the UK, the Faraday battery challenge (part of the Industrial Strategy Challenge Fund of the UK) has an investment of EUR 280 million, which addresses the growing automotive battery technology market. There are opportunities for EU-UK cooperation in this sector worth an estimated EUR 57 billion across Europe by 2025.

Private R&I funding

Figure 98 Early Stage Private Investment in grid-connected electrochemical batteries used for energy storage and digital control systems

Source 100 ICF, commissioned by DG GROW - Climate neutral market opportunities and EU competitiveness study (Draft, 2020)

Figure 99 Total Early Stage Private Investment between 2014 and 2019 (top 10 countries) in grid-connected electrochemical batteries used for energy storage and digital control systems

Source 101 ICF, commissioned by DG GROW - Climate neutral market opportunities and EU competitiveness study (Draft, 2020)

Figure 100 Late Stage Private Investment in grid-connected electrochemical batteries used for energy storage and digital control systems

Source 102 ICF, commissioned by DG GROW - Climate neutral market opportunities and EU competitiveness study (Draft, 2020)

Figure 101 Total Late Stage Private Investment between 2014 and 2019 (top 9 countries) in grid-connected electrochemical batteries used for energy storage and digital control systems

Source 103 ICF, commissioned by DG GROW - Climate neutral market opportunities and EU competitiveness study (Draft, 2020)

Patenting trends

Historically, more patent applications have been filed in the RoW than in the EU 77 (EU share of high value patents is of about 18% between 2014 and 2016).

Figure 102 Patent Applications (2007-2016) – EU28 vs RoW in of grid-connected electrochemical batteries used for energy storage and digital control systems

Source 104 ICF, commissioned by DG GROW - Climate neutral market opportunities and EU competitiveness study (Draft, 2020)

Figure 103 Patent Applications - Top 10 Countries (Total 2014-2016) in of grid-connected electrochemical batteries used for energy storage and digital control systems

 

Source 105 ICF, commissioned by DG GROW - Climate neutral market opportunities and EU competitiveness study (Draft, 2020)

Five of the top ten countries where these patents originated were in the EU. More specifically, Germany and France stand out in terms of the number of high-value patent applications over the same period. Both patenting activity and public spending in R&I have increased over the last decade. However, when comparing with the rest of the world, the EU is still catching up.

3.6.2.Value chain analysis

Li-ion technology currently dominates the landscape as far as e-mobility and energy transition-related storage are concerned. Historically, the European battery segment has a large chemical industry cluster and a large ecosystem around batteries. However, when it comes to modern applications it could be considered a relatively new and growing economic sector.

Figure 104 Batteries value chain

Source 106 ICF, commissioned by DG GROW - Climate neutral market opportunities and EU competitiveness study (Draft, 2020)

Turnover

The overall market size of Li-ion batteries is projected to increase.

Figure 105 Annual Li-ion battery market size

Source 107 BNEF 78

Figure 106 SWOT analysis for the EU on the central segments of the batteries value chain

Source 108 EMIRI technology roadmap 2019

Number of companies in the supply chain, incl. EU market leaders

Around the world, a number of new companies/production installations are established along the whole battery value chain. For safety reasons it makes sense to produce battery cells close to consumer markets. This has led to numerous Li-ion cell and pack production facilities being started in the EU by European (NorthVolt, SAFT, VARTA 79 ), Asian (LG, Samsung CATL) and American producers (Tesla). 21% of active companies in the batteries sector are headquartered in the EU, with Germany and France standing out 80 .

Figure 107 Top 10 Countries - # of companies in grid-connected electrochemical batteries used for energy storage and digital control systems

Source 109 ICF, commissioned by DG GROW - Climate neutral market opportunities and EU competitiveness study (Draft, 2020)

The EU industry has some production base in all segments of the battery value chain, but it is far from being self-sufficient. In the raw and processed materials, cell component and cell manufacturing value chain segments Europe holds a minor share of the market (3% in 2018), whereas in the pack and vehicle manufacturing and recycling segments Europe is among the market leaders 81 . It is characterised by many actors, which represent a mix of corporates and innovators. There is a high potential for non-energy storage focused participants to enter the space.

Figure 108 EU’s position in the batteries value chain in 2016

Source 110 JRC 2016 82

On the basis of the above, the EU recognised the needs and urgency to recover competitiveness in the battery value chain, and the Commission launched the European Battery Alliance in 2017 and in 2019 adopted a Strategic Action Plan for Batteries 83 . It represents a comprehensive policy framework with regulatory and financial instruments to support the complete battery value chain eco-system. A range of actions have already been put in place, including:

a)strengthening of the Horizon 2020 programme through additional battery research funding (more than EUR 250 million, for 2019-2020)

b)creating a specific technology platform, the ETIP “Batteries Europe” tasked with coordination of R&D&I efforts at regional, national and European levels and following up on the work in the Key Action 7 on batteries of the SET-Plan,

c)preparing of specific instruments for the next Research Framework Programme Horizon Europe,

d)preparing of new specific regulation on sustainability and

e)stimulation of investments, both national of the Member States and private, in creation of a modern and competitive EU battery value chain through Important Project of Common European Interest (IPCEI) 84 .

It is still to be seen how economies of scale in Li-ion battery sector will influence viability of other battery technologies and storage technologies in general. In principle, lead-acid battery producers, a well-established industry in the EU, should be able to keep certain role in automotive sector (12V batteries), in motive applications’ sector and re-orient e.g. to stationary storage sector. In stationary storage sector, weight and volume - main disadvantage of lead-acid batteries - do not matter as much as in e-mobility sector. However, it also has to be seen how lead-acid technology will be able to keep its competitiveness vis-à-vis emerging sector of flow batteries and other types of stationary technologies.

Figure 109 Battery production in MWh

Source 111 (CBI) /Avicenne: Consortium for Battery Innovation “Advanced lead batteries the future of energy storage”

There are numerous European start-ups also in the field of flow-batteries focussed on stationary storage sector 85 prompted by their long discharge (> 4 hours) possibilities. However, no big company seems to be entering this segment in the EU yet. Concerning sodium-ion: one FR start-up in this field (+1 in UK), however development may take some years before becoming a significant industrial actor. The EU was involved in the sodium-based (NaNiCl2) technology with FIAMM (Italy) in the past but it seems that there are no more activities. Concerning Lithium Sulphur: despite some start-up announcing it, the technology seems not to be ready for the market, except some niche application. Some development with alkaline rechargeable Zinc batteries is also observed, with at least two start-up in EU proposing this product for stationary applications 86 .

Moreover, in the nascent stationary integration segment, the EU has companies, which advance convincingly: Sonnen (owned by Shell, and rolling out domestic battery storage systems), Fluence (joint venture between Siemens and American AEG is world’s number one as regards stationary storage systems), etc.

The market for Battery Management System currently growing faster than batteries themselves (from a lower baseline) 87 , this technology utilise analytical models and machine learning to predict, simulate and optimise battery operation.

ProdCom statistics

Between 2009 and 2018, the annual production value of batteries in the EU has grown steady at annual rate of 39% a year (2009 to 2018 period). Poland accounts for 21% of the EU production, followed by Germany (18%), France (16%) and Austria (15%) 88 .

Figure 110 Total Production Value in the EU28 and Top Producer Countries in grid-connected electrochemical batteries used for energy storage and digital control systems

Source 112 ICF, commissioned by DG GROW - Climate neutral market opportunities and EU competitiveness study (Draft, 2020)

3.6.3.Global market analysis

Trade (imports, exports)

In Li-ion batteries sector, the EU’s share of global trade is currently limited, even if increasing with new battery factories being set up. Between 2009 and 2018, the EU28 trade balance is negative, even if trade in lead-acid batteries is added. The countries with the highest negative trends are Germany, France and the Netherlands 89 .

Figure 111 Total EU28 Imports & Exports of grid-connected electrochemical batteries used for energy storage and digital control systems

Source 113 ICF, commissioned by DG GROW - Climate neutral market opportunities and EU competitiveness study (Draft, 2020)

Most of the global manufacturing capacity for Li-ion batteries is located in Asia. Key RoW competitors are China, Korea, Japan, US and Hong Kong. Between 2016 and 2018, 3 out of the top 10 global exporters were EU countries (Germany, Poland and Czech Republic). However, not only the industrial capacity but also expertise, processes, skills and supply chain is concentrated around the regions dominating the market 90 .

The manufacturing of electronic appliances in Asia has represented a significant advantage for the Asian battery industry, facilitating the supply of locally manufactured Li batteries. In addition, development and support of the battery industry have been considered a strategic objective for years in Japan, China and Korea, leading to strong support for local investment. China has played a predominant role in recent years.

Figure 112 EU28 Trade Balance in grid-connected electrochemical batteries used for energy storage and digital control systems

Source 114 ICF, commissioned by DG GROW - Climate neutral market opportunities and EU competitiveness study (Draft, 2020)

Between 2009 and 2018, EU28 exports to the RoW have been steadily increasing from EUR 0.4 billion (2009) to EUR 1.1 billion (2018). On the other hand, imports more than tripled from EUR 1.6 in 2013 to EUR 5.1 billion in 2018 91 . This means that for the 2016-2018 period, the EU28 share of global exports was stable at roughly 2%. Top EU exporters were Germany, Netherlands, Hungary and Poland.

Figure 113 Top Countries - Negative Trade Balance in grid-connected electrochemical batteries used for energy storage and digital control systems

Source 115 ICF, commissioned by DG Grow – Climate neutral market opportunities and EU competitiveness study (2020)

However, the recent investments and investments in the pipeline should improve the trade balance. Increased investment in R&I, including through IPCEIs, H2020/HEU, etc. should improve technological leadership, including registered patents. Moreover, demand for new batteries has outpaced supply, creating an opportunity for new entrants as incumbents struggle to meet demand 92 .

Global market leaders VS EU market leaders

Europe's position in the market is at risk, primarily from Asian competition. Although Asian participation in the market is largely around automotive electrochemical batteries for automotive use, their capacity ramp up will enable them to produce Li-ion batteries at lower cost than other participants, allowing them to enter the grid-scale energy markets. Key RoW competitors are China, Korea and Japan, with 70% of global planned manufacturing capacity is in China, but growth may stall when EV subsidies are reduced.

Critical raw material dependence

In the globalised economy, EU is mostly a price taker in this market segment dominated by the Asian producers. China is the major supplier of Critical Raw Materials (CRMs), with a share of ~40%, followed by South Africa, Russia, Democratic Republic of Congo (DRC) and Brazil. Li, nickel, manganese, cobalt and graphite mainly come from South America and Asia 93 . Growth in material demand, such as cobalt, Li and lead, creating dramatic cost increases, supply shortages and efforts to find alternatives. Battery manufacturers accounted for 54% of all cobalt usage (2017) 94 .

Demand for materials to make batteries for electric vehicles will increase exponentially in the period to 2030; cobalt is the most uncertain reflecting various battery chemistries. Battery manufacturers accounted for 54% of all cobalt usage (2017) 95 . The demand for the materials used in electric vehicle batteries will depend on changing battery chemistries. Today, nickel cobalt aluminium oxide (NCA), nickel manganese cobalt oxide (NMC) and Li iron phosphate (LFP) cathodes for Li-ion batteries are the most widely used 96 .

Figure 114 Global annual Li and cobalt demand for electric vehicle batteries, 2019-30

Source 116 IEA 2020357

A key challenge concerns the batteries end of life, which may represent a considerable environmental liability. The lifetime of batteries that are no longer suited for automotive applications can be extended via second use (e.g. for stationary storage applications for services to electricity network operators, electric utilities, and commercial or residential customers 97 ) and/or recycling. Challenges for this new market include the continuously decreasing cost of new batteries, and a lengthy refurbishing process requiring information exchange along the value chain 98 . The current players in this market include OEMs, utilities and specialised start-ups.

Figure 115 Automotive battery capacity available for repurposing or recycling in the SDS, 2019-2030

Source 117 IEA 2020357

The battery-recycling sector is currently struggling to prepare for increased volumes of battery waste expected from the automotive traction sector 99 . Issues associated with access and use 64 of critical materials for cell production can be addressed by (i) tapping new sources of critical materials, (ii) substituting critical materials with less critical ones and (iii) recycling/reuse of critical materials. R&I on alternative Li-ion chemistries, made of more accessible raw materials, could cover development of alternative chemistries to alleviate the need for the critical materials, cobalt and natural graphite 100 . R&I needs also to exist for improving the cost effectiveness of the recycling processes, development of more efficient processes, pre-normative research to develop standards and guidelines for collection and transportation of used batteries as well as standards and guidelines for battery second-use.

The EU Batteries Directive 2006/66/EC contributing to the protection, preservation and improvement of the quality of the environment by minimising the negative impact of batteries and accumulators and waste batteries and accumulators is currently under revision. The objective would be to start with disclosing to customers information on emissions during mining and production phase (before proceeding with introduction of limits), to facilitate re-use and impose new strict norms on collection and recycling. Stakeholder consultations are ongoing.

3.6.4.Future challenges to fill technology gaps

According to most technology pathways, the range of battery applications will significantly expand in the near future. The electrification of certain industrial sectors (vehicles and equipment, from automated loaders to mining or airports equipment) will be one of the drivers. This could represent about 100 GWH in the coming 10 years 101 . The system-scale deployment of batteries faces various challenges: economic (price), technical (energy density, power density, long term quality, safety), as well as other challenges related to the availability of resources and raw material on the one hand and to sustainability, recycling and circular economy on the other hand.

The IT sector is expected to maintain a strong growth rate in EU. Despite a relative market saturation for cell phones and tablets, new consumer products (drones, domestic robots, etc.) are further growing the market (in the range of 5 to 10% per year) of small batteries during the next 10 years 102 . In addition, digitalization remains important, involving computer-aided design of new chemistries, batteries with sensing capabilities and self-healing properties. See for example the Battery 2030+ initiative 103 , which has recently issued a 2040 Roadmap targeting new scientific approaches that make use of technologies such as artificial intelligence, big data, sensors, and computing in order to advance knowledge in electro-chemistry and to explore new battery chemistries targeting in particular the needs of the mobility and energy sectors. Battery management system innovators are leveraging analytics and Artificial Intelligence to improve battery performance.

The global aircraft electrification market is projected to grow from USD 3.4 billion in 2022 to USD 8.6 billion by 2030, at a CAGR of 12.2% 104 . Presence of key manufacturers of electric aircraft in Europe including Rolls-Royce (UK), Safran Group (France), GKN Aerospace (UK), Airbus (Netherlands), Thales Group (France), and Turbomeca (France), among others are driving the growth of the aircraft electrification.

On the waterborne side, greater widespread of pure battery powered solutions in the ferry and short-sea segment is the likely first step, with following greater use of hybrid applications in the deep-sea shipping market in Europe.

While improving the position on Li-ion technology may likely be a core interest stream for the next decades, at the longer term, other major progresses will come from new technologies (e.g. solid state) where the EU has a strong competitive position. It is therefore important to look into other new promising battery technologies (as e.g. all-solid state, post Li-ion and redox flow technology), which can potentially provide electricity storage for sectors whose needs cannot be met by the Li-ion technology. These technologies may surpass the performance of Li-ion batteries at the 2030 horizon in terms of cost, density, cycle life, and critical raw material needs (e.g. lithium-metal solid state battery, lithium-sulphur, sodium-ion or even lithium-air).

Table 6 Status of various Energy Storage Technologies

Status

Energy Storage Technology

Mature

Lead-acid, Ni-Cd 105 (nickel cadmium), NiMH (Nickel–metal hydride)

Commercial

Li-ion, Lead-acid, NaS (sodium-sulphur) and NaNiCl2 (Zebra), Li-ion capacitors, ZnBr (zinc bromine), Va (vanadium) flow batteries, Zinc-air, Li-polymer, LiS

Demonstration

Advanced lead-acid, Li-ion, Na-ion, HBr (hydrogen bromine) flow batteries, LiS

Prototype

FeCr (iron chromium), Li-ion capacitors, Solid-state batteries

Laboratory

Advanced Li-ion, new electrochemical couples (other Li-based), liquid metal batteries, Mg-based batteries, Li-air and other Metal-air batteries, AI batteries, non-aqueous flow batteries, solid-state batteries, batteries with organic electrodes

Idea, concept

Solid electrolyte Li-ion batteries, rechargeable Metal-air batteries (Mg-air, Al-air and Li-air)

The scale-up of these new technologies will need time to compete with the well-established Li-ion technology (in terms of large-scale manufacture, investments already made and solid understanding of its long-term durability characteristics) 106 . Even though on the longer term other storage solutions such as renewable hydrogen may take a share of current battery applications, battery energy technology will maintain a large share in the next future due to its extremely high energy efficiency. The European economic competitiveness in this area will depend on the capability of Europe to react quickly to changing demand and to develop innovative technology solutions. EU programmes such as Horizon Europe and the Innovation Fund will strongly support these efforts.

Lastly, other efforts are to be focused on: (i) reducing to the maximum possible extent critical raw materials dependency in batteries production through further material substitution, providing local resources in a circular economy approach and substantial recycling of battery materials, both imported and local improving primary and secondary raw material processing; (ii) very high sustainability levels (approaching 100%) at production, use and the recycling stage, including improved end-of-life management – recycling and reuse, design for recycling; (iii) improvements in anode, cathode, separator, and electrolyte will enable further cost reductions in the near future, as well as improvements on non-battery pack system components (e.g. battery controller, structure around it) and improvements in manufacturing processes; (iii) ensuring safety.

3.7.Buildings (incl. heating and cooling) 

With 40% of energy consumption and 36% of CO2 emissions in the EU originating from buildings, the building sector is a key element in the EU climate and environmental policies 107 and therefore technologies related to buildings and their energy consumption are key to achieve the Green Deal.

For example, the EU environmental obligations to reduce 80-95% greenhouse gas emissions, the Common European Sustainability Building Assessment (CESBA) initiative, the Roadmap to a Resource Efficient Europe 108 and the new Circular Economy Action Plan 109 all promote buildings sustainability, energy efficiency and aim to reduce waste, thus highlighting the efficiency gains of using prefabricated building components. The Renovation Wave initiative 110 also examines and promotes energy efficiency in buildings, and aims to address the related issue of energy poverty.

This section analyses four elements of the buildings market that aim to capture the different dimensions, realising that this assessment is incomplete and needs to be expanded to give a complete picture. With respect to construction this SWD focuses on pre-fabrication, and with respect to energy consumption in buildings this document focuses on lighting as an important source of energy consumption in buildings, next to heating that is by far consuming most energy in buildings, and is therefore addressed in 2 parts, namely district heating and cooling (DHC) and heat pumps. Digital technologies to manage energy consumptions in homes and buildings (Home Energy Management Systems and Building Energy Management Systems) are also addressed in this SWD within the Smart Grids - Digital infrastructure part of this SWD. Considering that buildings solutions are often dependent on local circumstances, some data are difficult to aggregate and therefore not available, such as the cost or the productivity.

3.7.1.Prefabricated building components

3.7.1.1.State of play of the selected technology and outlook

The increasing demand for buildings due to increase in population and urbanisation opens markets for faster and efficient construction. Some of the trends in the building industry include an aging and dwindling construction workforce, increasing cost of labour and skills shortages, which in turn are causing low productivity. On the other hand, prefabrication is safer, often cheaper, and more productive and attracts different skilled workers. In addition, prefabricated buildings can be structurally stronger than traditional builds and so are resilient to natural disasters, especially earthquakes.

It is expected that property technology (the use of IT and data in real-estate, PropTech) and construction technologies are the markets that will drive innovation in modular or prefabricated construction, however, the two are very similar and often overlapping.

Innovation in component design is enabling faster and more efficient logistics and assembly. Recently foldable prefabricated homes have been developed for quick assembly and easy transportation. Design processes like building information modelling (BIM) and Digital Twins demonstrate that designs can be refined, monitored and improved by integrating on-site feedback. Technologies to improve circularity and re-use of materials are driving innovation in the buildings sector, including in pre-fab. This needs to be integrated from the design-phase. A landmark innovation was the creation of a building design utilising exclusively reusable materials and prefabricated methodology in showcasing how the built environment can implement the integration of circular economic thinking. 111

Capacity installed

From 2020 to 2025, the European prefabricated building market was projected (prior to the COVID-19 crisis) to expand at a 5% compound annual growth rate (CAGR) as a result of the maturation of digital tools, changing consumer perception, increased design complexity, quality, and sustainability, and demand for small to midsize housing units. By 2022, it is estimated that 70100 prefabricated units will be built in Northern Europe. However, these numbers could be impacted with a short-term decline due to the crisis and the expected market contraction in the building sector.

Public R&I funding

The data on public investment in R&D is available for a limited group of countries covered by the IEA. Starting from 2009, EU public R&I investment has increased to EUR 5 million by 2012, with a peak of EUR 10 million in 2016 and 2017 and a following downward trend to EUR 5 million in 2018. Out of the countries for which the IEA has data, France was by far the largest investor, followed by Denmark and Austria, while Canada was also very active when it comes to public investments. In addition, nine out of the top ten countries where these investments happened are in the EU.

Figure 116 EU28 Public R&D Investments in the Prefabricated Buildings Value Chain

Source 118 ICF, 2020

Private R&I funding

Over the 2015-2019 period, 40% of the total value of global private investments in early stage companies was in European companies. When assessing the number of investments, this percentage decreases to 32%, suggesting that the average size of investments was higher in Europe. 112  However, the availability of data for investments in European companies is limited. 113 Available data shows that investments in European early stage companies in 2019 was around EUR 108 million. The investment in the selected countries in the rest of the world has increased at a slower pace, from EUR 67 million in 2015 to EUR 75 million in 2019. According to the analysed data, UK, Belgium and Germany stand out in terms of total size of investments in early stage companies over the 2015-2019 period.

Over the same period, 1% of the total value of global private investments was in late stage European companies. When assessing the number of investments, this percentage grows to 6%, suggesting that the average size of investments was larger outside of Europe. In addition, one out of the top three countries where these investments happened is in Europe. The UK stands out in terms of total size of investments in late stage companies over the studied period.

Late stage investments, both in Europe and in the rest of the world remained volatile. In 2018, there was growth in late stage private investments, which was followed by a dip in 2019, especially in Europe.

Private R&I funding

Over the 2015-2019 period, 40% of the total value of global private investments in early stage companies was in European companies. When assessing the number of investments, this percentage decreases to 32%, suggesting that the average size of investments was higher in Europe. 114  However, the availability of data for investments in European companies is limited. 115 Available data shows that investments in European early stage companies in 2019 was around EUR 108 million. The investment in the selected countries in the rest of the world has increased at a slower pace, from EUR 67 million in 2015 to EUR 75 million in 2019. According to the analysed data, UK, Belgium and Germany stand out in terms of total size of investments in early stage companies over the 2015-2019 period.

Over the same period, 1% of the total value of global private investments was in late stage European companies. When assessing the number of investments, this percentage grows to 6%, suggesting that the average size of investments was larger outside of Europe. In addition, one out of the top three countries where these investments happened is in Europe. The UK stands out in terms of total size of investments in late stage companies over the studied period.

Late stage investments, both in Europe and in the rest of the world remained volatile. In 2018, there was growth in late stage private investments, which was followed by a dip in 2019, especially in Europe.

3.7.1.2.Value chain analysis

The prefabricated value chain is represented amongst others by the European Federation of Premanufactured Buildings (EFV) and the European PropTech Association – PropTech House. They aim to create a legal framework in the EU that fosters innovation and adapts to new technologies across the European real estate industry. Other existing building associations also promote the use of prefabrication technologies.

Turnover

Between 2009 and 2018, the production value of prefabricated buildings in the EU increased steadily by 40% – from EUR 31.85 billion to EUR 44.38 billion. France and Italy accounted for around one third of the EU production value of prefabricated buildings.

Until 2018, the UK led the European PropTech market with USD 821 million raised between 771 companies. Germany, Austria and Switzerland, the three countries together, follows in second with 515 PropTech companies and USD 340 million raised so far. Among the top 15 most active investors, eight are based in Germany, with VitoOne (a part of Viessmann) being the most active investor in the region with 15 portfolio PropTech companies.

Some of the factors for growth in this sector included increasing acceptance of alternative methods and materials for prefabricated constructions, alongside environmental, efficiency and cost gains. Advanced assembly technologies like 3D printing reduce labour cost and increase replicability. In addition, 3D printing of concrete structures relies on prefabrication due to the logistics of sending a large and comparatively delicate printer to a construction site.

Number of companies, incl. EU market leaders

There are some prefabricated material such as wood, which make building very well insulated and low in carbon content.

Sweden is the European market leader in this sector with 80% of the housing integrating prefabricated components, 45% of houses and 35% of new build multi-resident structures using prefabricated modules. Other leading countries include Austria, Switzerland as well as Denmark and Norway.

Currently, Europe is home to 44% of the active companies of the industry on prefabricated building components. Considering the top 10 countries in the sector, US has 34 companies active in the prefabricated buildings sector, UK 15, France 6, Switzerland and Germany 5, the Netherlands 4, Canada and Norway 3, Italy and Spain 2. 116

Between 2009 and 2018, EU28 exports to the rest of the world increased from EUR 0.83 billion in 2009 to EUR 1.88 billion in 2018. On the other hand, imports have been relatively stable around EUR 0.18 billion in 2009 to EUR 0.26 billion in 2018 with a low of EUR 0.15 billion in 2012-13.

3.7.1.3.Global market analysis

The global modular construction market size is projected to grow from EUR 85.4 billion in 2020 to EUR 107.9 billion by 2025, at a CAGR of 5.7% from 2020 to 2025. Currently, the Asia-Pacific region has the largest share in the prefabricated building market. In 2018, it accounted for over 30%, which is due to a growing middle class and increasing urbanisation. North America is the second largest market, driven by factors such as consumer preference for green buildings and sustained investments in commercial real estate. Some of the countries around the world also implement policy measures to support this sector and to strengthen the active companies in this domain. For instance, China has a governmental target for 30% of new buildings to be prefabricated by 2026 and has implemented cash bonuses and tax exemptions for prefabricated buildings. The US International Code Council (ICC) building code was modernised to allow the increased height of mass timber building from 6 to 18 stories, enabling high-rise timber frame prefabricated buildings.

Trade (imports, exports) & Global market leaders vs. EU market leaders

The EU28 share of global exports has remained at 17.6% from 2016 to 2018. Top EU exporters are the Netherlands, Germany and the Czech Republic. For the same period, eight out of the top ten global exporters were European countries. For the studied period, key competitors to the EU in this VC were China and the US. For the same period, six out of the top ten global importers were EU countries. Germany was the largest importer followed by Norway, France and the Netherlands. However, some EU countries were importing mainly from within the EU.

Between 2009 and 2018, the EU28 trade balance has remained positive with an increasing trend. The countries with the highest positive trends were the Czech Republic, Estonia and the Netherlands, and the ones with the lowest negative trends were the UK, France and Germany. Poland, Estonia and Latvia had a trade balance with an upwards trend.

The Czech Republic exported mostly to Germany amongst the EU countries and the UK mainly imported from the Netherlands. These trends could be influenced by the ongoing Brexit negotiations.

Figure 117 Total EU28 Imports & Exports

Source 119 ICF, 2020

Critical raw material dependence

Raw materials for buildings tend to be bulk materials sourced within limited distance. Critical raw materials come into play when the devices for the energy management systems for buildings and homes (HEMS and BEMS) are considered.

3.7.1.4.Future challenges to fill the technology gap

Competitiveness and sustainability. The prefabricated buildings technology addresses mostly the new buildings market, touching a limited fraction of the building stock. Moreover, traditional concrete prefabricated buildings recorded, in the past, poor energy performances. The challenge of this industry is the conjugate competitiveness and sustainability.

·High fragmentation. Both the market and its supply chains are fragmented with too many and small players which might represent a difficulty for manufacturing capacity and scalability. For instance, in Germany in 2018, the top five prefabricated housing developers (WeberHaus, SchwörerHaus, Danwood, Equistone, DFH) represented approximately 30% of the market, beyond these top five developers market shares are all below 3%. Mergers, acquisitions and corporate engagement with this market are expected to reduce fragmentation and improve efficiencies via economies of scale.

·Industry knowledge. The lack of familiarity and certainty with the different materials and techniques, difficulties with the planning systems and complying with building regulations can lead the industry to decisions against its use. In addition, the construction industry is notoriously conservative and slow in adapting to changes.

·Skill gap. New skills and expertise will need to be built up and invested in, particularly digital and design skills. As the industry is historically tech adverse this may be a concern. High levels of investment in training and education will be required.

·Lack of data and development of digital tools. There is limited available data on performance and durability of buildings constructed via modern methods of construction. In addition, due to competition and the use of new technologies, companies may be reluctant to share or publish information. At the same time, BIM and Digital Twin software are improving the replicability and learning capacity of prefabricated building design and assembly monitoring. The use of these are being encouraged by the EU via the EU BIM task group, whilst in Germany BIM will become mandatory for public infrastructure projects by 2021. By using these digital tools performance can be tracked throughout the entire lifecycle of the building in a continuous cycle that will provide info back to design, but it is important to share data to develop these tools.

·High capital costs. Upfront factory costs are high, requiring assemblers to benefit from economies of scale to ensure competitive costs. The small size of most construction companies is a further barrier both to technological development and adoption of new techniques.

·Access to finance and risk assurance. Due to lack of data and high market fragmentation, insurers and lenders may deem insolvency risk to be high and so can overprice or refuse support, slowing progress. Difficulties securing mortgages might occur. As the market scales up, insolvency risks are expected to be reduced. In 2012, the European Commission co-launched a digital library for prefabricated building designs as part of its Green Prefab project 117 . This has helped to improve market confidence by aggregating data, and will also improve replicability, enabling economies of scale.

·Logistics. Restrictive transport regulation can increase project costs by 10%, paying for extras like road escorts for wide loads. Particularly difficult with big modules, wider 3D structures, a trade off exists between how much a structure is prefabricated and how easy it is to transport.

·Consumer perception. There are still some negative perceptions due to past failures rather than new technologies delivering quality and more cost-effective buildings from consumers, developers and wider industry. Difficulties related with durability, making adjustments and repairs to the properties also cause some apprehension from the consumers.

3.7.2.Energy efficient lighting

3.7.2.1.State of play of the selected technology and outlook

Technology development and capacity installed

Lighting is the second largest electricity consumer in the EU eco-design programme (after electric motors), responsible for about 12% of the gross electricity generation in the EU28. The 2017 data of the MELISA model scenario projected the electricity consumption of lighting products in scope of eco-design (with effect of current regulations, without any new measure) to 320 TWh in 2020 118 . Technology for light sources keeps evolving, thereby improving energy efficiency. LED technology, has had a rapid uptake on the EU market. Almost absent in 2008, it reached 22% of the market in 2015. The average energy efficiency of LEDs quadrupled between 2009 and 2015, and prices dropped significantly. In 2017, a typical LED lamp for household was 75% cheaper and a typical LED lamp for offices 60% cheaper than in 2010 119

During the last decade, Solid-State Lighting (SSL) based on components like OLEDs, LDs and particularly LEDs have challenged conventional technologies, displaying improved performance in most aspects. It is therefore anticipated that in the short-to-medium term, the new electric lighting installations will be based on SSL. However, this leaves the existing installations, which will be upgraded depending on use and maintenance. With equipment lifetime sometimes exceeding 15 or 20 years, inefficient systems are likely to remain in use unless change is triggered through incentives or requirements.

Figure 118 Variation of electricity savings/losses for lighting till 2030 following different scenarios 120

Source 120 Data from [SCO-17] modified by G. Zissis

Technological advances in 2019 concern both components and lighting systems. All these advances serve at least one of the following objectives: 1. Increasing the efficiency and reliability in all levels from the component to the global system. 2. Reducing the cost of the components and single lamps and using more sustainable materials. 3. Enhancing the quality of light associated to the comfort and more focusing on lighting application efficiency (LAE). 4. Implementing new functionalities and services beyond basic illumination for vision and visibility.

Since mid-2010’s a net increase of proposed technological advances at systems level can be observed, whereas innovations at component/device-level 121 are less common.

Patenting Trends

Regarding the patents on solid-state lighting, as per data from Google Patents 122 website, from 2010-01-01 to 2020-09-30, a number of 135,828 patents have been submitted at the European Patent Office, with Cree and Philips leading the pack in terms of patents filed in the period described.

Figure 119 Patents filed in the EPO since 2010

Source 121 Google Patents

As for the Worldwide submission of patents regarding solid-state lighting, as the figure below shows, Cree is still the leading company submitting patent requests, followed by Sony Corporation and Koninklijke Philips N.V.

Figure 120 Worldwide patents on Solid State Lighting

Source 122 Google Patents

Publications/Bibliometrics

In terms of scientific output, solid state lighting research has been steadily producing journal articles under Scopus 123 publications (2123 articles in 2020, 2991 in 2019, 2902 in 2018 and 2949 in 2017), with China, the United States, Germany and Japan leading as the countries with most publications. As for Web of Science database 124 , the same trend can be seen, with 1978 journal articles published already in 2020 with solid state light as a topic, 2815 in 2019, 2781 in 2018 and 2790 in 2017, with China, the USA, India and Germany being the countries with most publications during this period.

Figure 121Web of Science categories of solid state light publication

Source 123 Web of Science

3.7.2.2.Value chain analysis

Turnover & Gross-value added growth

The European lighting market is expected to grow from EUR 16.3 billion in 2012 to EUR 19.8 billion in 2020 125 . Following the Geography - Global Forecast to 2022 126 , Europe is expected to be the second largest LED lighting market by 2022. LEDs lighting is increasing its market share from 15% in 2012 (or even 9% in 2011) to 72% in 2020.

However, more recent data shown that Europe overall LED penetration rates are estimated in 2016 to be 8% of lamps and 9% of luminaires 127 which lagging back previous predictions. This can be partially understood by the fact that Europe has a population that has a relatively high standard of living. The Ecodesign Law states that the maximum standby power of 0,5 W and a minimum efficacy requirement of 85 lm/W. In addition, the Energy Performance of Buildings’ (EPBD) minimum energy performance requirements at building level provide pressure to use efficient lighting.

CSIL analysts estimated that in 2019, the lighting market for the EU30 would reach around 21 billion (+1.6% increase) distributed as follows:

·Lighting fixtures    EUR 18,1 billion    (+0.9%)

·LED lamps        EUR 1,9 billion    (14%)

·Legacy lamps        EUR 450 million    (-17%)

·Lighting controls    EUR 550 million    (+4.8%)

The slight increase of consumption of lighting fixtures comes from a +2% for professional luminaires and around -1% for consumer lighting.

Number of companies, incl. EU market leaders

The LED lighting ecosystem comprises hardware component manufacturers, prototype designers, and original equipment manufacturers (OEMs) in the EU such as Signify (previously called and still operating under the brand Phillips from the High-Tech Campus in Eindhoven in the Netherlands), OSRAM Licht AG (Germany), Cooper Industries Inc. (Ireland) and the Zumtobel Group AG (Austria). Internationally, the key companies are General Electric Company (US), Cree, Inc. (US), Virtual Extension (Israel), Dialight plc (UK), Samsung (South Korea), and the Sharp Corporation (Japan).

Among the companies that are expanding in the European market during 2019 were Zumtobel, IKEA, Fagerhult, Yankon, Glamox, SLV, Flos, Xal. European leaders include Signify (on all the market segments), Ledvance (mainly on lamps), Eglo (consumer lighting), Flos (design), Trilux (industrial lighting), Glamox (office), Fagerhult (retail), Molto Luce (hospitality), Schréder, AEC (street lighting).

3.7.2.3.Global market analysis

Trade (imports, exports) 

In 2019, the volume of lighting fixtures exports reached EUR 13,4 billion, registering an increase of 0,6% compared to the previous year. Imports of lighting fixtures in Europe reached EUR 17.1 billion in 2019, with an increase of 2,6% compared to 2018 128 . In 2019, the European trade balance recorded a deficit of EUR 3.7 billion, (EUR 3.6 billion the previous year). As the internal EU market accounted for EUR 21 billion revenue in 2019, this means that the difference of EUR 4 billion is supplied by European production 129 .

Global market leaders VS EU market leaders

Table 7 Ranking of the top 10 packaged LED manufacturers

Source 124 Amerlux Innovation Center, LED Energy Market Observer, Energy Observer, August 2018

According to the Amerlux Innovation Center 130 , the Chinese LED package market scale had a size of US$ 10 billion in 2017, representing an increase of 12% year-on-year. Among the top ten manufacturers, four are international firms, two are Taiwanese companies and four are Chinese enterprises. Amongst the top 10 manufacturers, Lumileds and OSRAM are European companies, while 4 are Chinese enterprises and another 2 are Taiwanese companies. The top ten manufacturers took up market share of 48%.

Critical raw material dependence

Metals such as arsenic, gallium, indium, and the rare-earth elements (REEs) cerium, europium, gadolinium, lanthanum, terbium, and yttrium are used in LED semiconductor devices. Most of the world’s supply of these materials is produced as by-products of the production of aluminium, copper, lead, and zinc. Most of the rare-earth elements required for LED production in 2011 came from China, and most LED production facilities were located in Asia.

3.7.2.4.Future challenges to fill the technology gap

The lighting sector is evolving rapidly and changing quite fundamentally. Firstly, the market is moving towards solid state devices that consume a fraction of the energy of the older technology. These devise also create many more possibilities (colour, shape, size) to integrate lighting in the living and working environment that may change the way in which lighting markets are organised and where the added value in the lighting market may be (e.g. lighting as a service).

The high innovative capacity in manufacturing and design in the EU are based on a long tradition in designing and supplying innovative highly efficient lighting systems. But the drive towards large-scale mass production of solid-state lighting, and the fact that most LED manufacturing takes place in Asia, seems to favour Asian suppliers.

3.7.3.District heating and cooling industry

3.7.3.1.State of play of the selected technology and outlook

Technology development and capacity installed

District heating stands out as one of the most effective and economically viable options to reduce the heating and cooling sector’s dependence on fossil fuels and reduce CO2 emissions 131 . A smart energy system, comprising at least 50% district heating and relying on sector integration, is more efficient than a decentralised/conventional system and allows for higher shares of renewable energy at a lower cost. 132 The most important characteristic is the use of an energy source that provides a significant cost differential in generating heat/cool compared with conventional heating/cooling systems (like boilers or direct electric heating).

It is this cost differential that finances the high capital investment in the heating/cooling network. For citywide schemes, such sources typically include combined heat and power production from major power stations or energy from waste incineration plants. For smaller communities, the heat source may be a small-scale Combined Heat-Power (CHP) plant, a biomass-fired boiler or waste heat from a local industry. Also city-wide schemes can be made up of multiple interconnected small-scale heat networks, running on locally available renewables. In both cases, thermal storage may be used to provide additional benefits. The heat is distributed using pre-insulated pipes buried directly into the ground and at each building, there will be a set of control valves and a heat meter to measure the heat supplied. A heat exchanger is typically used to separate the district heating system from the building heating system, although this is not always necessary.

In 2018, just under 6% of global heat consumption was supplied through District Heating and Cooling (DHC) networks, of which Russia and China each accounted for more than one-third 133 . DHC currently meets about 8% of the total EU heating and cooling demand via 6000 DHC networks. The share of DHC varies significantly from one region to another. District heating is by far the most common heating solution in the Nordic and Baltic regions whereas it has historically played a minor role in Southern Europe and other Central and Western European countries (e.g. Netherlands, UK).

In urban areas, the heating and cooling demand assumes the highest density. At the same time, a high amount of low-grade waste heat is available within the urban landscape 134 and could be captured as used a source for DHC systems. The industrial waste heat alone could meet the heat demand of the EU’s building stock. 135  

Currently, approximately 60 million EU citizens are served by district heating, with an additional 140 million living in cities with at least one district heating system. If appropriate investments are made, almost half of Europe’s renewable heat demand could be met by district heating by 2050 136 . The DHC sector has a significant green growth potential. Denmark is one of the front runners with a district heating share of about 50% and substantial exports of technology. 137

Figure 122 DH share in energy sources used to satisfy heat demand (2013-2017)

Source 125 Euroheat & Power Country by Country

Figure 123 The share of renewable energy in DH (2011-2017)

Source 126 Euroheat & Power Country by Country

Patenting trends 138  

[This section also addresses the patenting trends for thermal storage, micro-generation and heat pumps – for further information on heat pumps see the next section.]

This chapter focuses on heat pumps and district heating but most buildings patents are in micro-generation and thermal energy storage.

Figure 124 Patents in the EU by heating and cooling technology category. ThSt = Thermal storage; micro-gen = Micro-generation; HP = Heat pumps; DH = District heating.

Source 127 Joint Research Centre (JRC) based on data from the European Patent Office (EPO)

The relative trends by technology are easier to discern and more robust. Patenting activity in district heating is extremely low, due to the maturity of core technologies and the small number of companies involved. The share of heat pump patents has been steadily rising however.

Figure 125 Share of patents in the EU by heating and cooling technology category. ThSt = Thermal storage; micro-gen = Micro-generation; HP = Heat pumps; DH = District heating

Source 128 Joint Research Centre (JRC) based on data from the European Patent Office (EPO)

Figure 126 Number of heating and cooling patents, by region. CN = China; JP = Japan; KR = Korea; ROW = Rest of the world; US = United States

Source 129 Joint Research Centre (JRC) based on data from the European Patent Office (EPO)

High-value inventions (or high-value patent families) refer to patent families that include patent applications filed in more than one patent office.

Figure 127 Number of high-value heating and cooling patents, by region. CN = China; JP = Japan; KR = Korea; ROW = Rest of the world; US = United States

Source 130 Joint Research Centre (JRC) based on data from the European Patent Office (EPO)

3.7.3.2.Global market analysis

Trade (imports, exports)

Today Europe has the highest standards in the world in terms of energy efficiency, strengthened recently by the introduction of Ecodesign criteria for the sale of heating products. The EU commitment to ambitious energy and climate goals has paved the way for the large presence of energy efficient technologies developed in Europe.

The European heating industry is world leader in highly efficient heating systems. Today the European heating industry covers 90% of the European market and is an important exporter of heating technologies. This includes countries such as Russia, where the European heating industry is market leader, Turkey where it represents half of the market, and even in China where it plays an important role in the development and deployment of efficient heating.

Danish and other European district heating technology is exported globally, especially to China, US and South Korea. Exports to the US have risen by 91% in the period between 2010-2018. Denmark exports of district heating technology and service amounted to DKK 6.77 billion in 2018, with the biggest exports to Germany (close to EUR 140 million), followed by Sweden (close to EUR 80 million) and China (EUR 65 million) 139 . In 2025, it is expected that the sector will achieve annual exports of DKK 11 billion 140 . But Europe’s solar district heating industry suffered losses in 2019, leading to some bankruptcies and restructuring, among others because of high fluctuations in turnover and low margins in contracted projects 141 .

Global market leaders VS EU market leaders

European companies are world leaders in the manufacture of DHC pipes, valves and related IT solutions. Danfoss is the leading pioneer in district heating and cooling equipment. In 2019, Danfoss’ sales amounted to EUR 6.3 billion.

Europe is home to world-leading DHC pipe manufacturers: Logstor is the leading manufacturer of pre-insulated pipe systems in the world, being active in 12 different countries and10 factories in Europe and China. German-based Aquatherm GmbH is the leading global manufacturer of polypropylene pipe systems for industrial applications and building services. Austrian company Austroflex is recognised within the industry as an expert supplier of flexible pre-insulated Pipe Systems, thermal Solar Pipe Systems and Technical Insulation solutions. Swedish company Cetetherm is a leading manufacturer of DHC substations and has manufacturing plants in 6 countries including China and US. Devcco (based in Sweden) offers consulting services across the district energy sector and has completed projects in countries in North and South America, the Middle East and South Asia.

The systems in operation in Europe, particularly in the Nordic countries, are at the forefront of the industry in terms of innovation, efficiency, reliability and environmental benefits, in the form of renewables integration, and a reduction in both local air pollution and primary energy demand, and developing the next generations of DHC systems that require smart components and IT solutions, such as demand-side controllers, sensors, AI platforms and automated systems for heat networks. There are a number of small-scale innovative players from Europe on the market leading the development, such as NODA Intelligent Systems, OPTIT, Gradyent and Leanheat.

Critical raw material dependence

Dependency on raw materials is not an issue for district heating. Pumps may use permanent magnets but alternative technologies exist hence this use should not lead to dependence on materials. Pipes are usually from non-critical raw materials like steel or plastic.

3.7.3.1.Future challenges to fill the technology gap

The key challenge for the DHC sector is to integrate low-grade waste heat into existing high temperature DH systems. New smart networks operate at lower temperatures and are capable of integrating locally available renewable and waste heat sources.

District heating projects, including expansion of existing systems, require a large initial infrastructure investment with long payback times that make the sector vulnerable to changes in the legislative framework and mean that new DHC technologies are slow to be taken up. Replacing existing systems by more climate-neutral DHC technologies can benefit from the minimum standard for a new heating installation that is represented by the very efficient boiler condensing technology, and further measures to support the renovation of the installed stock of heaters would accelerate the positive trend. Ensuring coordinated investments between suppliers of (waste) heat and demand require a strong coordination that is often considered a public responsibility. EU policies aim to overcome these barriers through support for local (holistic) planning and decision-making and to provide incentives to consider environmental and societal advantages. 142

Because of its large indoor appliances or installations and the need for house retrofitting consumer acceptance is key for market uptake of new DHC technologies.

Developing novel business models and capacity building may enable earlier and stronger market uptake. The challenge is to develop markets for services, rather than single technologies, as this can engage those end-users who cannot or will not interest themselves in using/maintaining technologies/measures most efficiently. 143 This can prove to be a business opportunity for companies related to energy-savings measures, H&C supply units and district energy by overcoming a main economic barrier, namely the large up-front investment costs 144 .

3.7.4.Heat pumps

3.7.4.1.State of play of the selected technology and outlook

Introduction

Heat pumps, mostly electricity-driven, are an increasingly important technology to meet heating and cooling demand in a sustainable way 145 . They efficiently extract heat from a source at lower temperature and provide it at higher temperature. If coupled with a heat storage tank, heat pumps can store heat or cold when there is an abundance of renewable electricity in the grid and/or the electricity price is lower and provide it when needed. Heat pumps achieve higher performances 146 than conventional boilers and electric heaters and can drastically reduce emissions of the delivered energy services. 147 Heat pump (HP) technology is mature and reliable and can be integrated with other systems (e.g. photovoltaic electricity or other heat generators, such as gas boilers) and use a diverse set of (renewable) sources (e.g. as an air source, water source, ground source or waste source). It comes with capacities from a few kW to several MW, to be used in applications ranging from households to industrial applications and district heating systems. Furthermore, heat pumps work in a wide range of climatic conditions and can be used in energy storage and grid management.

Capacity installed, generation 

The yearly market demand and the related growth in unit sales in Europe is growing rapidly, as shown in Figure 128. Industry experts expect this trend to continue and potentially accelerate. At the end of 2018, total installed heat pumps in Europe was 11.8 million. Air-to-air heat pumps are most commonly used, followed by air-to-water heat pumps.

Figure 129 Heat pump market development in Europe (annual sales, 2009–2018)

Source 131 European Heat Pump Association, 2020

The largest markets in terms of units sold are the Southern European countries where heat pumps are primarily used to deliver cooling. France, Italy, and Spain together account for almost 48% of sales 148 . The largest growth in number of units in 2017 was in France, Spain and Denmark. The European Heat Pump Association foresees a doubling of the number of units sold in the period 2018 to 2025. 149 According to the National Energy and Climate Plans (NECPs), significant contributions are foreseen from heat pumps in most Member States in order to increase the share of renewables in the heating and cooling sector. The total added annual final energy consumption from heat pumps is 7.7 Mtoe from 2020 to 2030 150 according to the NECPs. When compared to the rest of the world, the EU market has lagged behind China, Japan and the US but is now growing rapidly. The US demand is driven by installation incentives, while the development in the Asia-Pacific region is driven by construction sector growth.

The housing construction market is the largest market for heat pumps. New buildings are well insulated and thus suitable for heat pumps. However, there are increasing prospects in the housing renovation market, which accounts for high share of the building stock. Today's heat pumps can supply higher temperatures thus better meeting the energy needs of the older housing stock.

Cost

The operating costs of heat pumps are among the lowest in the heating and cooling sector. However, upfront investment cost is high, resulting in pay-back times of up to 20 years. According to recent studies 151 , 152 the average life time for air-to-air heat pumps would be 10 to 15 years (depending on the size) and for air-to-water heat pumps 15 to 20 years (depending on the size), meaning that capital cost reduction is a key issue for the sector.

Patenting trends

According to the Top 10 Innovators Report, the highest number of inventions originates from the Asia Pacific region (86%), with China at 58% of total inventions, followed by Europe at 9% and North America at 4%. The average IP strength score for inventions from Europe is more than that of Asia-Pacific (including China), but less than North America 153 .

Stiebel Eltron and Robert Bosch are the most prominent innovators from the EU with the highest number of inventions. Siemens, Électricité de France, Robert Bosch, Vaillant, ATLANTIC Climatisation & Ventilation SAS and Viessmann Group remain active since 2010, and have high quality patent portfolios. Grundfos Management has been less active in Europe since 2010, despite having high-quality inventions. Worth noting, none of the prominent European innovators appear in the global top ten list. 154

[further details on patents for heat pumps are included in the section above on DHC]

3.7.4.2.Value chain analysis

Turnover

The turnover generated in Europe in 2017 was EUR 7.1 billion 155 . The turnover is largest in France (EUR 1 474 million), followed by Germany (EUR 1 383 million), Italy (EUR 1 117 million) and Sweden (EUR 550 million).

Number of companies, incl. EU market leaders

In Europe there are about 180 heat pump manufacturers accounting for 70% of the global number of manufacturers. During the last few years, major European heat pump manufacturers have been consolidating. For instance, in 2016 and 2017, the Nibe Group (based at Markaryd) acquired many assets of the UK-based Enertech Group, including the highest value brand CTC, based at Ljungby in Sweden. The CTC product range includes ground source and air/water heat pumps. In 2017, Stiebel Eltron announced the acquisition of Thermia Heat Pumps, a brand that was previously owned by the Danfoss Group. Thermia was the third biggest heat pump supplier of the Scandinavian market, with annual sales close to EUR 70 million. With this acquisition, Stiebel Eltron becomes a major global electrical heating player.

Table 8 Non-exhaustive list of European heat pump manufacturers

Source 132 Eurobserv'er Heat Pumps Barometer (2018)



Employment figures

In 2018 the sector employed more than 224 500 people, directly or indirectly, an increase from 191 000 in 2017. However, employment in the sector has declined by 20% between 2015 and 2017. The Member States that employ by far the most are Spain (68 700), France (41 200) and Italy (37 600). 156

3.7.4.3.Global market analysis

Trade (imports, exports)

Between 2009 and 2018, EU-28 exports to the rest of the world were relatively stable at about EUR 0.3 billion, with a peak in 2012/13 of EUR 0.4 billion. For the 2016-2018 period, the EU28 share of global exports was stable - roughly 1%. Top EU exporters were France, Germany and Italy. For the same period, four out of the top ten global exporters were EU countries. Key competitors were China, Mexico and the US. In addition, for the 2016-2018 period, three out of the top five global importers were European countries. The US was the largest importer followed by Germany, France and the UK. 157

Figure 130 EU28 Trade in the heat pump value chain (EUR million)

Source 133 ICF, 2020

Global market leaders VS EU market leaders

The European heating industry is a well-established economic sector and a world leader in highly efficient heating systems. The European heat pump sector is characterised by a few, mostly large corporations and a relatively small ecosystem with some innovative SMEs. The heat pump value chain is well represented through a number of industry associations – most notably the European Heat Pump Association (EHPA).

Globally, Japanese (Daikin, Mitsubishi, Toshiba, Fujitsu, Panasonic) and South-Korean (LG, Samsung) manufacturers mainly produce residential and commercial air-to-air and air-to-water heat pumps, while US manufacturers (Trane, Carrier/UTC, Johnson Controls, Honeywell, Lennox) produce mainly chillers for large commercial buildings. 158  

Critical raw material dependence

Critical raw materials used are mainly copper in the heat exchanger and the gold in the printed circuit boards (PCBs). 159

3.7.4.4.Future challenges to fill the technology gap

The IEA has recently identified three gaps to fill: Enhance heat pump flexibility; raise heat pump attractiveness; and reduce costs of heat pump technologies. 160 A stakeholder consultation in the framework of the Horizon Europe work programme 161 highlighted as issues to address the high upfront prices and a lack of adaptability to multiple building contexts (e.g. multi-family residential buildings with limited outdoor space for exterior heat pump units) that needs to be addressed in particular by lowering device dimensions.

Reaching higher real life energy performances through the development of new texting methods that reflect real life usage behaviour better are important too.

Considering the growth potential of heat pumps in the EU, and the fact that it is a key technology for the decarbonisation of heating and cooling, it is important to keep on promoting innovative technological solutions in Europe, so manufacturers can distinguish themselves based on quality and innovation rather than on price. Improving existing (ecodesign and energy labelling) regulations and updating the requirements can contribute to innovation in the EU.

3.8.Carbon Capture and Storage

3.8.1.State of play of the selected technology and outlook

Reaching climate neutrality by 2050 requires strategic investment decisions. The pathway towards climate neutrality will bring about a major transformation of energy-intensive industries, such as cement, lime, steel and chemicals that are at the core of the European economy by producing basic industrial materials and products. For these sectors, carbon capture and storage (CCS) could represent the lowest-cost route to decarbonisation while maintaining industrial activity 162 in Europe. CO2 capture in natural gas-based hydrogen plants could also enable the delivery of early, large-scale quantities of low-carbon hydrogen 163 , which is a versatile energy vector that can be used across a number of sectors: energy intensive industries, transport, electricity production, and buildings, and it can also play an important role for zero-carbon domestic heating.

The Commission’s 2018 analysis of different CO2 reduction pathways 164 showed a correlation between increasing climate ambition (i.e. pathways compatible with the 1,5ºC temperature target) and the need for deploying Carbon, Capture and Storage technologies. The Communication states that ‘CCS deployment is still necessary, especially in energy intensive industries and – in the transitional phase - for the production of carbon-free hydrogen. CCS will also be required if CO2 emissions from biomass-based energy and industrial plants are to be captured and stored to create negative emissions’.

The in-depth analysis further elaborates on the modelling: ‘For the 1.5°C scenarios, the higher carbon prices allow the appearance of CCS from 2040, with 54 / 58 MtCO2 captured (for 1.5LIFE / 1.5TECH respectively), increasing to 71 /80 MtCO2 in 2050 and further to 112 / 128 MtCO2 post-2050’.

Table 9 Carbon capture and stored underground (MtCO2) in different CO2 reduction scenarios

Source 134 PRIMES model; In-depth analysis in support to the “A Clean Planet for all” Communication, 2018

The Commission’s proposal for a European Green Deal 165 confirmed that achieving climate neutrality by 2050 will be the European Union’s overarching climate goal, which will orient policies and investments. This development put the LTS 1,5 TECH and LIFE scenarios at the centre, and implied that the deployment of CCS at scale will be necessary. Correspondingly, the Green Deal Communication highlights CCS in two policy contexts:

·it recognizes that the regulatory framework for energy infrastructure, including the TEN-E Regulation, will need to be reviewed to ensure consistency with the climate neutrality objective. This framework should foster the deployment of innovative technologies and infrastructure, such as smart grids, hydrogen networks or carbon capture, storage and utilisation, energy storage (CCUS), also enabling sector integration;

·it calls for ‘climate and resource frontrunners’ in the European industrial sectors to develop the first commercial applications of breakthrough technologies in key industrial sectors by 2030. Priority areas include clean hydrogen, fuel cells and other alternative fuels, energy storage, and carbon capture, storage and utilisation.

Other European Commission Communications that followed the European Green Deal mentioned CCUS, including: the Industrial Strategy, the Circular Economy Action Plan, the Strategy for Energy System Integration, the Hydrogen strategy and, finally, the European Taxonomy on Sustainable Finance.

Capacity installed, generation

The 2019 report of the Global CCS Institute identified 51 large-scale CCS facilities worldwide. 166  Of these: 19 are operating, 4 are under construction, 10 are in advanced development using a dedicated front-end engineering design (FEED) approach, and 18 are in early development. Right now, those in operation and construction have the capacity to capture and permanently store around 40 million tons of CO2 every year. This is expected to increase by about one million tons in the next 12-18 months. In addition, there are 39 pilot and demonstration scale CCS facilities (operating or about to be commissioned) and nine CCS technology test centres (including the Technology Centre Mongstad in Norway).

2 of the 19 operating CCS projects are in Norway and they store a combined 1,7 MtCO2 per year. In addition, Norway’s government-backed full-chain CCS project (Longship) is in Final Investment Decision phase, awaiting the Parliament’s approval.

In the EU, there are no large-scale CCS facilities in operation. However, the Netherlands’ flagship PORTHOS project in the Port of Rotterdam area is in advanced planning phase, closely followed by Amsterdam’s ATHOS project. In Ireland, Ervia is planning an off-shore CO2 storage project South of Cork. The total storage capacity of these sites, if implemented, together with six CCS projects in the UK, could add up to as much as 20,8 Mt of CO2 stored per annum, according to the Global CCS Institute.

Figure 131 Large scale CCS facilities in operation, under construction and in advanced development, by sector (status in 2019)

Source 135 Global status of CCS 2019, Report of the Global CCS Institute

In a global perspective, the IEA estimates that some 1030 MtCO2 167 will need to be captured and stored from industry by 2040, and an additional 1 320 MtCO2 168 from power to keep on track with the IEA’s Sustainable Development Scenario (compatible with the Paris Agreement).

A significant share of that may be deployed to produce “negative emissions” via biomass or biogenic waste combustion coupled with CCS (BECCS). The Fifth Assessment Report of the Intergovernmental Panel on Climate Change (IPCC) suggests a potential range of negative emissions from BECCS of 0 to 22 gigatonnes per year.

Considering the capacities of today (33 MtCO2/year captured globally, out of which 1,7 MtCO2/year in Norway), the CCS sector needs a huge global step change in all relevant sectors (power, industry, hydrogen) in order to fill in the significant role envisaged in some decarbonisation pathways.

Cost, LCOE

The upfront investment costs of CO2 transport and storage are considerable, however, not all needs to be built at once, the infrastructure can be progressively expanded. In some instances, investments to retrofit existing natural gas pipeline networks into CO2 pipeline networks can be advantageous and cut initial costs of infrastructure. Over time, the initial infrastructure will be progressively expanded to accommodate increasingly volumes of CO2.

At the same time CO2 emitters (power plants, industrial sites) can install CO2 capture solutions to trap their emissions and load them into the transport and storage infrastructure. This often comes not only with a higher CAPEX but also higher OPEX due to energy penalties and maintenance, which on their turn bear on the competitiveness of these clean products relative to unabated, high carbon products. In the same way as for every other low-carbon investment, in the absence of a “functional” (global) carbon price (min. EUR 50-60/tCO2), investment in CCS will have no business case today and will largely depend on public funding and policy and/or regulatory incentives (e.g. to purchasing zero-carbon products, such as clean steel or cement). It is thus crucial to fund R&I activities to develop an infrastructure backbone and reduce costs.

Figure 132 The Carbon price and CCS cost curves

Source 136 Scaling up CCS in Europe, IOGP Fact sheet, September 2019

Costs of CO2 capture 169

CO2 capture is typically the largest cost component in the CCS and CCU (carbon capture and use) value chain, as a result of the technology costs and energy requirements. Costs of capture equipment are determined by the percentage volume of CO2 in the flue gas from which it is captured. As the Figure below shows, the higher the CO2 purity, the lower the cost in terms of CO2 avoided. In addition, the figure highlights that indicative carbon capture for many processes is currently more expensive than the EU ETS price and will need support in the near-term. Higher purity sources of CO2 include hydrogen production from reforming natural gas, and ethanol and ammonia production. Many current and emerging capture technologies are engineered to remove 80% - 90% of the CO2 from flue gas. Higher capture rates are possible, with the H21 North of England project having modelled 95% capture rates. Recent work by the IEAGHG suggest that 99% capture rates on combined cycle gas turbines (CCGT) are achievable with an increased cost below 10% compared to 90% capture rates. 170

Figure 133 Overview of median carbon capture costs in various industrial processes

Source 137 (adapted by IOGP): Navigant (2019). Gas for Climate. The optimal role for gas in a net-zero emissions energy system, Appendix E

Costs of CO2 transport 171

On the basis of existing and planned CCS and CCU projects in Europe, the key options for CO2 transportation are pipeline transport using new or repurposed infrastructure, and shipping. CO2 transportation by ship will benefit from future standardization of the key ship components, including connection valves and flanges between ship and storage facilities, as well as optimization of the size and number of CO2 transport vessels to efficiently match the CO2 volumes. Equipment standardization will also increase the potential for cost reduction and will facilitate the construction and deployment of new CO2 transport ships relatively quickly using a “design one, build many” strategy.

Repurposing offshore oil and gas pipelines to transport CO2 to depleted oil and gas fields or saline aquifers suitable for CO2 storage can help to avoid installing new offshore infrastructure. The costs savings of reusing existing infrastructure, which would otherwise be decommissioned, depends on the condition of the existing pipelines, as well as any necessary technical interventions, e.g. installing additional concrete mattresses or repairing corrosion.

Reusing offshore oil and gas pipelines to transport CO2 may represent 1 – 10% of the cost of building a new CO2 pipeline. Offshore CO2 pipelines costs can vary between EUR 2–EUR 29/tCO2. Costs for ship transport range between EUR 10 – EUR 20/tCO2 and this option is usually preferable when smaller volumes need to be transported over longer distances. For onshore transportation of CO2 from industrial and power facilities to the storage location or port, gas infrastructure companies are exploring both the repurposing of existing gas pipelines, and also new-build CO2 pipelines.

Costs of CO2 storage 172

The cost of CO2 storage depends from location to location. The storage capacity in deep saline aquifers is much greater compared to onshore basins or offshore depleted oil and gas fields; these deep saline formations therefore have a better scaling-up and cost reduction potential. The upfront storage costs are lower in depleted oil and gas fields due to the presence of infrastructure that can be (re)used for CO2 injection. However, risks associated with securing legacy wells for storage operations may add additional risks and costs. Storage costs, while much lower than capture costs, are site dependent and require some upfront investment in mapping and understanding storage complexes (including, e.g. formation pressures, reservoir characteristics, cap rock efficiency, faults, trapping structures, mineralogy, salinity); estimating storage capacity; and designing infrastructure. Well costs are usually the highest component.

CO2 geological storage is a safe and mature technology ready for broad implementation, as evidenced by over twenty years of successful storage offshore in Norway, combined with more recent onshore storage in Canada and the US. In the EU, CCS benefits from a clear set of regulations and requirements under the 2009 EU CO2 Storage Directive that ensure the identification of appropriate storage sites and the safety of subsequent operation 173 . In the U.S. the recent 45Q tax bill, which provided a 55 USD support for every tons of CO2 174 stored underground, and 35 USD/ton 175 for enhanced oil recovery, proved to be a sufficient incentive for some industries. In Norway, two large-scale CCS projects are in operation: Sleipner (1996) and Snøhvit (2008). Both projects capture CO2 from natural gas processing. The business case is found in the otherwise payable CO2 tax (EUR ~40/t).

According to a paper of the the Zero Emissions Platform European Technology and Innovation Partnership (ZEP), in a mature CCS industry, the technical cost of storing CO2 in offshore storage reservoirs is expected to lie in the range EUR 2 – 20/tonne; adding transport and compression cost will bring this in the range of EUR 12 – 30/tonne 176 .

Figure 134 Storage costs in the EU28 per formation type

Source 138 IOGP from: ZEP (2011). The Costs of CO2 Capture, Transport and Storage

Learning curves 177

The cost reductions for CCS value chain are strongly connected to local and regional developments and to the introduction and adoption of EU policies and funding mechanisms. Shared CO2 transport and storage infrastructure - connecting industrial clusters and allowing numerous emitters to benefit from CCS applications – can deliver economies of scale and decrease the transport unit cost.

There is strong evidence that capture costs have already reduced in the U.S. The Figure below shows estimated costs from a range of feasibility and front end engineering and design (FEED) studies for coal combustion CCS facilities using mature amine-based capture systems. Two of the projects, Boundary Dam and Petra Nova are operating today. The cost of capture reduced from over USD100 178 per tonne CO2 at the Boundary Dam facility to below USD65 179 per tonne CO2 for the Petra Nova facility, some three years later. The most recent studies show capture costs (also using mature amine-based capture systems) for facilities that plan to commence operation in 2024-28, cluster around USD 43 180 per tonne of CO2. New technologies at pilot plant scale promise capture costs around USD 33 181 per tonne of CO2.

Figure 135 Levelised cost of CO2 capture for large-scale post-combustion facilities at coal-fired power plants, including previously studied facilities

Source 139 Global status of CCS 2019, Report of the Global CCS Institute

In the EU, new industrial-scale CCS projects may become operational in this decade with sufficient support and coordination. Most importantly, the five Projects of Common Interest funded by the EU’s Connecting Europe Facility, all aiming to build cross-border CO2 pipelines as part of larger CCS infrastructures: Northern Lights (Norway), PORTHOS/CO2 TransPorts and ATHOS (both in the Netherlands), ERVIA CCUS (Ireland), Acorn/Sapling (UK). 182  

Energy intensive sectors have also started putting up projects, which, once scaled up, can make these players part of the climate solution. Recent hydrogen projects include H2M (clean hydrogen), H2morrow (clean hydrogen for clean steel production), HyDemo (clean hydrogen for maritime sector) and H-Vision. Industrial CO2 capture projects include ViennaGreenCO2 (solid sorbent capture technology pilot), Technology Centre Mongstad (post-combustion capture technologies), Norcem (capture from cement plant), LEILAC project (Pilot installation for breakthrough technology in cement production) 183 .

Knowledge sharing across these and other projects should help with improving CCS technologies while bringing down their costs. The Global CCS Report 2019 estimates that next-generation capture technologies have unique features – either through material innovation, process innovation and/or equipment innovation – which reduce capital and operating costs and improve capture performance.

Figure 136 Selected next-generation capture technologies being tested at 0,5MWe (10 T/D) scale or larger with actual flue gas

Source 140 Global status of CCS 2019, Report of the Global CCS Institute

The learning opportunities go beyond individual sectors. In fact, the development of the CCS infrastructure requires close cross-sectoral (and sometimes cross-border) cooperation among point sources of CO2 emissions (cement, steel, chemical, hydrogen, etc.) and the transport and storage providers. Integrated CCS infrastructure planning and development will hence be one of the major challenges of the decade.

R&I 184

The EU has been long-time supporting research and innovation in CO2 capture and storage through its successive R&I framework programmes (e.g. FP7: 2007-2013; Horizon 2020: 2014-2020). CO2 capture in industrial plants has become particular area under Horizon 2020, with focus on the cement sector (e.g. the CEMCAP, LEILAC and CLEANKER projects) and steel making (e.g. STEPWISE and C4U). CO2 storage research has also continued receiving support (e.g. STEMM-CCS, ENOS, SECURe and CarbFix2).

For joint R&I priority setting and funding, the Commission established stakeholder-driven platforms under the Strategic Energy Technology (SET) Plan 185 , which typically include Member States, as well as industrial and R&I stakeholders. These platforms include the CCS Implementing Working Group of the SET Plan (which is Member State driven), the Zero Emissions Platform European Technology and Innovation Partnership (which is stakeholder driven) 186 and the CCUS Project Network 187 (which is project-driven).

In the 2020 decade, industrial scale CCS and CCU projects will generate many new challenges that can best be solved by undertaking R&I in parallel with large-scale activities. Therefore, under Horizon Europe, the EU’s now starting R&I programme, will have to focus on industrial clusters. An iterative process is needed where R&I projects address specific industrial challenges, including those related to negative emissions, with the results then implemented and published by large-scale projects. For example, pilot projects still have an important role to study the potential long-term impacts of varying flow rate and composition on CO2 pipeline, wellbore and reservoir integrity. Further knowledge will help large-scale projects establish the safe limits within which pipelines and wells can be operated. 188  

Priority research topics (from laboratory to pilot scales) may include the following areas:

·CO2 capture in industrial clusters;

·CO2 capture in power applications;

·technological elements for capture and application;

·CCS and CCU transport systems;

·CO2 Storage;

·standardisation and legislation issues, and non-technological elements.

 

In view of longer-term CCS infrastructure development, a mapping of European CO2 storage assets and the implementation of a European storage development/appraisal programme is considered necessary. This is to optimise development and investment decisions against regional characteristics, resources and CO2 reduction pathways.

The revision of the CCS Implementation Plan of the SET Plan will reflect these needs.  

Public R&I funding 189

National and EU public funding for CCS R&I continues being very important. The EU’s Horizon 2020 programme has provided close to EUR 240 million for carbon capture, use and storage projects during the 2014-2020 period. In the future, the Innovation Fund, which among other renewable and low-carbon energy technologies will also support CCS, will be instrumental for realising a new wave of CCS demonstrators and first-of-a-kind facilities in Europe. Horizon Europe, the EU’s new research and innovation framework programme will support not only the development of a new generation of CCS technologies, but also the necessary stakeholder engagement and knowledge sharing activities needed for the rollout of complex industrial CCS projects and infrastructure.

Government or public R&D investment can have a significant positive effect on the development and deployment of the CCS technology. It creates a positive environment for private initiatives, and affects among others the number of relevant publications and patent applications. 190 Public R&D investment from 2004 to 2016 in the European Economic Area (EEA), is shown in the following figure. Since 2009, Norway is the largest investor in CCUS R&D in terms of public funds, except from 2014 when it was overtaken by the UK.

Figure 137 Public R&D investments in CCUS for the EEA (top countries)

Source 141 JRC 2018 ‘Data collection and analysis on R&I investments and patenting trends in support of the State of the Energy Union Report’ based on 2018 IEA RD&D Statistics. Available at: https://www.iea.org/statistics/RDDonlinedataservice/

Private R&I funding

On private R&I funding, JRC analysis 191 showed that amongst the countries most highly investing in CCUS, public to private R&D investments were mostly leveraged in Germany, followed by the Netherlands and France. This means that these countries noted significantly higher private investments compared to the public ones.

 

Figure 138 Private R&D investments in CCUS for the EEA (top countries, based on available data)

Source 142 JRC 2018 ‘Data collection and analysis on R&I investments and patenting trends in support of the State of the Energy Union Report’

Patenting trends 192

To identify trends, the JRC analysed the “inventive activity” of EU companies in certain technologies, i.e. the family of patents relevant to the technologies. The inventive activity from 2006 to 2016 showed that capture by absorption peaked in 2009 surpassing all the other technologies considered. In 2011 it was surpassed by capture with chemical separation and capture by adsorption has been the major trend ever since. According to the data, patent families related to CO2 storage peaked in 2009 and 2015 but have been generally stable.

The following graphs indicate trends of inventive activity per year in different technologies as well as most active countries (hence no y-axis presented). The following figures show activity of companies of European Member States in each component of CCUS. Germany dominated activity in CO2 capture technologies, followed by France and the Netherlands. These countries were also among the four countries with interest in CO2 storage, together with Austria.

Figure 139 Activity by EU MS companies in CO2 capture.

Source 143 JRC, 2018 based on data from the European Patent Office, “European Patent Office PATSTAT database, 2019 autumn version.” 2019

Figure 140 Activity by EU MS companies in CO2 storage

Source 144 JRC, 2018 based on data from the European Patent Office, “European Patent Office PATSTAT database, 2019 autumn version.” 2019

3.8.2.Value chain analysis

Number of companies in the supply chain, incl. EU market leaders 193

Analysing the patenting activity per priority year, from 2004 to 2014, the larger number of cumulative patents is found in the categories of capture by adsorption and capture by rectification and condensation. The third sub-class with more patenting is capture by chemical separation. Despite the current interest on membranes, patenting is still far from the three leading technologies. Big multinational companies such as Shell, Air Liquide, Siemens, BASF and Linde are amongst the companies with the highest activity in patenting. Regarding CO2 storage, since important investments on CCUS have been dependent on the oil and gas industry, the number of patents varies as a function of their interests for innovation or technology improvements. According to the data, patent families related to CO2 storage peaked in 2007 and have decreased ever since. The following graphs provide the relative patenting activity of company by country for CO2 capture and storage technologies.

Figure 141 Top companies and organisations patenting in CO2 capture technologies from 2004 to 2014 in Europe. a) capture by biological separation, b) capture by chemical separation, c) capture by absorption, d) capture by adsorption, e) capture by membranes, f) capture by rectification and condensation

Source 145 JRC, 2018 based on the ‘European Patent Office PATSTAT database, 2018 spring version’

Figure 142 Top companies and institutions patenting in subterranean or submarine CO2 storage technologies in Europe from 2004 to 2014

Source 146 JRC, 2018 based on the ‘European Patent Office PATSTAT database, 2018 spring version’

Large-scale CO2 transport and storage projects are typically driven by global gas and oil corporations, e.g. Shell, Total, Equinor, BP, which are often active in CCS projects outside of Europe, hence dispose of competitive knowledge and experience in the field. However, the development of a complex infrastructure like CCS requires the contribution of a large number of other stakeholders, including the users of the transport and storage infrastructure, public and licensing authorities, modellers, or those involved in site monitoring.

The picture is even more divers when it comes to CO2 capture, which potentially includes many different industrial sectors, processes and technology providers. The market of capture technologies may be relatively small today, but one can expect its rapid growth with higher price for carbon emissions, the development of CCS, as well as CCU solutions. Research and innovation policy has a very important role to support the development of a European CO2 capture industry that can compete on global markets. Recently, Gassnova, Equinor, Shell, and Total have renewed their commitment to research and testing of innovative capture technologies at the Technology Centre in Mongstad (Norway) until 2023 194 , highlighting the momentum around CCS.

3.8.3.Global market analysis

Global market leaders vs EU market leaders

With no viable business model for CCS today, there is a limit to which terms of market economics (demand/supply, market leaders, competitive advantage, economy of scale, etc.) can be applied for CCS. Nevertheless, technology leaders (countries and companies) can be clearly distinguished.

Out of the 51 large-scale CCS facilities worldwide (in operation or development), most can be found in the U.S., which makes it a global CCS leader. Norway, thanks to its two CCS major facilities operated by Equinor (Sleipner since 1996 and Snøhvit since 2008), as well as to the Technology Centre Mongstad, is also a global technology leader and CCS promoter.

The adoption of the Paris Agreement, the growing scientific consensus on human-induced climate change, and government policies, which require CO2 reductions in all sectors (incl. cement, steel, chemicals, hydrogen production), are making a momentum for CCS. Today, ambitious CCS projects are planned and implemented in Europe (The Netherlands, UK, Ireland), Australia, Canada, China and the Middle East.

Analysis of the full CCUS value chain i.e. capture, transportation with pipelines and storage, presented in the following figure, indicates that Europe holds the second highest market share in all CCUS elements following North America. Asia Pacific, Middle East and South America are following. Asia Pacific and Middle East can be seen as emerging since it is these regions, which count the most projects in planning according to the Global CCS Institute projects database 195 .

Figure 143 CCUS technologies market by region (2017)

Source 147 Source: JRC, 2018 with data from Accuray Research (2018) Global Carbon Capture Utilization Storage Technologies Market Analysis Trends

3.8.4.Future challenges to fill technology gap

Many stakeholders and analysts, including the IEA, see CCS as a mature and readily available technology that will need to be deployed at scale for reaching climate neutrality by 2050. In Europe, this is particularly true for energy intensive industries (cement, steel, chemicals), for which no alternative routes exist to zero-emissions, or for which the alternative routes may be significantly more expensive. CCS may also be needed for stepping up clean hydrogen production, as well as for producing negative emissions via direct air capture or BECCS. Cross-border CO2 transport and storage infrastructure that connects industrial clusters with storage sites needs to be the backbone to which industrial emitters could plug in to get their CO2 emissions transported to permanent CO2 storage sites. This shared CO2 transport and storage infrastructure can help with safeguarding industrial jobs and activity in Europe while moving towards a climate-neutral economy.

However, the complexity of full-chain (i.e. CO2 capture-transport-storage) CCS infrastructure projects, their relatively high investment and operating costs, as well as regulatory and public acceptance issues have been hindering the rollout of CCS.

Credible energy and climate policies (e.g. strong CO2 price signal), as well as governments’ support to CCS projects (e.g. by including them in the National Energy and Climate Plans) are therefore deemed necessary. The European Green Deal legislative framework, including the TEN-E regulation and EU ETS directive, is expected to provide the necessary push for long-term public and private investments, helping to prepare for the rollout of CO2 and clean hydrogen infrastructure. Public funding for CCS infrastructure, including the EU’s Innovation Fund and the Horizon Europe R&I programme, is highly important, also in view of mobilising and de-risking private investment.

The recent EC Communication on Stepping up Europe’s 2030 climate ambition defines clearly the task ahead: “hydrogen and carbon capture, utilisation and storage, will need to be developed and tested at scale in this decade” 196 .

(1) European Commission (2018). IN-DEPTH ANALYSIS IN SUPPORT OF THE COMMISSION COMMUNICATION COM(2018) 773 A Clean Planet for all A European long-term strategic vision for a prosperous, modern, competitive and climate neutral economy.
(2)

  https://publications.jrc.ec.europa.eu/repository/bitstream/JRC115958/kjna29695enn.pdf

(3)   https://ec.europa.eu/energy/sites/ener/files/hydrogen_strategy.pdf
(4)

 European Commission (2018). IN-DEPTH ANALYSIS IN SUPPORT OF THE COMMISSION COMMUNICATION COM(2018) 773 A Clean Planet for all A European long-term strategic vision for a prosperous, modern, competitive and climate neutral economy.

(5)

 European Commission (2018). IN-DEPTH ANALYSIS IN SUPPORT OF THE COMMISSION COMMUNICATION COM(2018) 773 A Clean Planet for all A European long-term strategic vision for a prosperous, modern, competitive and climate neutral economy.

(6) International Energy Agency, Hydrogen Outlook, June 2019, p.32 – 2018 estimates
(7) In this case hydrogen is present as a component of syngas.
(8) An additional 45 MtH2/y are used mixed with other gases.
(9) As a reference total European industrial emissions were estimated at 877 MtCO2/y (around 10% of these can be associated with hydrogen production) in 2017 - https://www.eea.europa.eu/data-and-maps/indicators/greenhouse-gas-emission-trends-6/assessment-3 . Industrial emissions are roughly 9% of total European emissions.
(10)  Renewable hydrogen refers to hydrogen produced by electrolysers powered by renewable electricity, through a process in which water is dissociated into hydrogen and oxygen (often referred to as “green hydrogen”).
(11)   https://ec.europa.eu/commission/presscorner/detail/en/QANDA_20_1257
(12)   https://iea.blob.core.windows.net/assets/a02a0c80-77b2-462e-a9d5-1099e0e572ce/IEA-Hydrogen-Project-Database.xlsx
(13)   https://www.dwv-info.de/wp-content/uploads/2015/06/DVGW-2955-Brosch%C3%BCre-Wasserstoff-RZ-Screen.pdf
(14) Short-term projects collected from the TYNDP ENTSOs, the IEA hydrogen project database, and presented to the ETS Innovation Fund. Future project pipeline is based on industry estimates in Hydrogen Euro
(15) International Energy Agency, Hydrogen Outlook, June 2019, p.18 and 32
(16)

  https://www.fch.europa.eu/sites/default/files/Hydrogen%20Roadmap%20Europe_Report.pdf EXHIBIT 2

(17)    Amount of hours a production facility is able to run per year.
(18)

 IEA 2019 Hydrogen report (page 42), and based on IEA assumed natural gas prices for the EU of 22 EUR/MWh, electricity prices between 35-87 EUR//MWh, and capacity costs of 600 EUR/kW.

(19) However, at this stage, the costs can be only estimated given that no such project has started construction or operation in the EU today.
(20)

Clean steel could be competitive as compared to coking coal, if CO2 prices are raised to 50 USD/1t CO2; clean dispatchable power can be competitive with prices of natural gas on the condition of at least 32 USD/1t CO2; green ammonia could be competitive as compared to prices of natural gas, on the condition of at least 78 USD /1tCO2.

(21) Based on cost assessments of IEA, IRENA and BNEF. Electrolyser costs to decline from 900 EUR/kW to 450 EUR/kW or less in the period after 2030, and 180 EUR/kW after 2040. Costs of CCS increases the costs of natural gas reforming from 810 EUR/kWH2 to 1512 EUR/kWH2. For 2050, the costs are estimated to be 1152 EUR/kWH2 (IEA, 2019).
(22) Shell, Energy of the Future, 2017
(23)  Currently, the dissociation of the water molecule in its constituent parts requires large amount of energy to occur (about 200 MJ - or 55 kWh - of electricity are needed to produce 1 kg of hydrogen from 9 kg of water by electrolysis). The thermodynamic limit for dissociating water at room temperature through electrolysis is around 40 kWh/kgH2.
(24) Assuming current electricity and gas prices, low-carbon fossil-based hydrogen is projected to cost in 2030 between 2-2.5 EUR/kg in the EU, and renewable hydrogen are projected to cost between 1.1-2.4 EUR/kg (IEA, IRENA, BNEF).
(25)   https://ec.europa.eu/energy/sites/ener/files/hydrogen_strategy.pdf
(26) IEA - The Future of Hydrogen, 2019, IRENA, Bloomberg BNEF, March 2020
(27) IEA - The Future of Hydrogen, 2019, p.55
(28) Shell, Energy of the Future, 2017.
(29)  The total investment costs includes the costs for the electrolyser but also the ‘balance of system’ costs and the system integration costs that could add an additional 50%.
(30) Hydrogen generation in Europe: Overview of costs and key benefits (ASSET, 2020).
(31) This corresponds with 57,300 EUR/MW H2out for ALK Electrolysers. ALK calculated using stack efficiency (LHV) of NEL A-series upper range 78.6% (LHV) (NEL Hydrogen, 2020).
(32) The biggest PEM electrolyser in the world(10 MW - project REFHYNE) should be about to be commissioned.
(33) This corresponds with 106 000 EUR/MW H2out for PEM electrolysers (LHV). PEM calculated using stack efficiency (LHV) of 65% (Guidehouse, 2020).
(34) IEA - The Future of Hydrogen, 2019- Table 3
(35) Asset study (2020). Hydrogen generation in Europe: Overview of costs and key benefits. Assuming a steel production plant of 400 000 tonnes/year.
(36) JRC 2020 “Current status of Chemical Energy Storage Technologies” pag.63 https://publications.jrc.ec.europa.eu/repository/bitstream/JRC118776/current_status_of_chemical_energy_storage_technologies.pdf  
(37) JRC 2020 “Current status of Chemical Energy Storage Technologies” pag.63 https://publications.jrc.ec.europa.eu/repository/bitstream/JRC118776/current_status_of_chemical_energy_storage_technologies.pdf  
(38)  vs EUR 472 million for FCH JU funding overall and EUR 439 million for other sources of funding
(39) This includes both private and public funds.
(40) JRC 2020 “Current status of Chemical Energy Storage Technologies” pag.63 https://publications.jrc.ec.europa.eu/repository/bitstream/JRC118776/current_status_of_chemical_energy_storage_technologies.pdf  
(41) Yoko-moto, K., Country Update: Japan, in 6th International Workshop on Hydrogen Infrastructure and Transportation 2018
(42) 60% of EU companies active are small- and medium-size enterprises
(43) A. Buttler, H. Spliethoff Renewable and Sustainable Energy Reviews 82 (2018) 2440–2454 and https://www.fch.europa.eu/sites/default/files/Evidence%20Report%20v4.pdf
(44) The US company Proton on site was acquired by NEL (NO) in 2017.
(45) Value Added of the Hydrogen and Fuel Cell Sector in Europe summary report, FCJU September 2019.
(46) Gas for Climate study, assuming around 1500 TWh of renewable hydrogen by 2050.
(47)   https://ec.europa.eu/energy/sites/ener/files/hydrogen_strategy.pdf
(48)   https://ec.europa.eu/energy/sites/ener/files/hydrogen_strategy.pdf
(49) Already today, the H2FUTURE project in Austria operates a 6MW electrolyser powered with renewable electricity that supplies hydrogen to a steel plant, while providing grid services at the same time. The HYBRIT project in Sweden is taking concrete action to become completely fossil-free steel plant by 2045, converting their production to use renewable hydrogen and electricity.
(50) European bus companies have also acquired expertise in production of fuel cell busses, due to several JIVE projects funded from the Fuel Cell Joint Undertaking and from the Connecting Europe Facility (transport).
(51) COM(2018) 773 final
(52) https://ec.europa.eu/clima/sites/clima/files/docs/pages/com_2018_733_analysis_in_support_en_0.pdf
(53)   https://ec.europa.eu/clima/sites/clima/files/docs/pages/com_2018_733_analysis_in_support_en_0.pdf (page 79) 
(54) The above figures are focused only on grid scale storage and do not cover behind-the-meter storage (which might be operated differently than centralised units exposed to the wholesale electricity market), and vehicle-to-grid services. Nor do these figures cover intra-hour storage needs, but the market for this is not very big compared to the overall electricity market and will remain limited.
(55)  The possibility of storing e-fuels in conventional facilities (i.e. indirect storage of electricity) allows to reduce the storage needs of the system.
(56)  Next Generation Energy Storage Technologies (EST) Market Forecast 2020-2030, Visiongain
(57) Batteries for stationary storage are used for a range of applications with some being more suited to store energy and others to supply power.
(58) Source: JRC Science for Policy Report: Tsiropoulos I., Tarvydas D., Lebedeva N., Li-ion batteries for mobility and stationary storage applications – Scenarios for costs and market growth, EUR 29440 EN, Publications Office of the European Union, Luxembourg, 2018, doi:10.2760/87175.
(59)  COM (2019) 176 final
(60) Forthcoming JRC (2020) Technology Development Report LCEO: Battery storage.
(61)  Both battery eletric vehicles and plug-in hybrid electric vehicles.
(62)  IEA (2020), Global EV Outlook 2020, IEA, Paris https://www.iea.org/reports/global-ev-outlook-2020
(63)   https://ec.europa.eu/energy/sites/ener/files/energy_system_integration_strategy_.pdf
(64) ICF, commissioned by DG GROW - Climate neutral market opportunities and EU competitiveness study (Draft, 2020)
(65) L. Trahey, F.R. Brushetta, N.P. Balsara, G. Cedera, L. Chenga, Y.-M. Chianga, N.T. Hahn, B.J. Ingrama, S.D. Minteer, J.S. Moore, K.T. Mueller, L.F. Nazar, K.A. Persson, D.J. Siegel, K. Xu, K.R. Zavadil, V. Srinivasan, and G.W. Crabtree, “Energy storage emerging: A perspective from the Joint Center for Energy Storage Research”, PNAS, 117 (2020) 12550–12557
(66)   https://www.iea.org/reports/global-ev-outlook-2020#batteries-an-essential-technology-to-electrify-road-transport
(67) https://www.iea.org/reports/global-ev-outlook-2020#batteries-an-essential-technology-to-electrify-road-transport
(68)

  https://publications.jrc.ec.europa.eu/repository/bitstream/JRC113360/kjna29440enn.pdf

(69) ICF, commissioned by DG GROW - Climate neutral market opportunities and EU competitiveness study (Draft, 2020)
(70)  Next Generation Energy Storage Technologies (EST) Market Forecast 2020-2030, Visiongain
(71)  Graphene enabled silicon-based Li-ion battery boosts capacity by 30% - Graphene Flagship
(72) ICF, commissioned by DG GROW - Climate neutral market opportunities and EU competitiveness study (Draft, 2020)
(73) Lebedeva, N., Di Persio, F., Boon-Brett, L., Lithium ion battery value chain and related opportunities for Europe, EUR 28534 EN, Publications Office of the European Union, Luxembourg, 2017, ISBN 978-92-79-66948-4, doi:10.2760/6060, JRC105010
(74) ICF, commissioned by DG GROW - Climate neutral market opportunities and EU competitiveness study (Draft, 2020)
(75) ICF, commissioned by DG GROW - Climate neutral market opportunities and EU competitiveness study (Draft, 2020)
(76) https://www.fraunhofer.de/en/research/key-strategic-initiatives/battery-cell-production.html
(77) ICF, commissioned by DG GROW - Climate neutral market opportunities and EU competitiveness study (Draft, 2020)
(78)   https://about.bnef.com/blog/battery-pack-prices-fall-as-market-ramps-up-with-market-average-at-156-kwh-in-2019/#:~:text=Shanghai%20and%20London%2C%20December%203,research%20company%20BloombergNEF%20(BNEF).
(79)

Northvolt plans to have 32 GWh total facilities in Sweden in the coming years and 16 GWH in Germany (cooperation with VW is close). SAFT/TOTAL and Varta are part of first IPCEI on battery R&I. Northvolt will be involved in 2nd IPCEI on battery R&I.

(80) ICF, commissioned by DG GROW - Climate neutral market opportunities and EU competitiveness study (Draft, 2020)
(81) Lebedeva, N., Di Persio, F., Boon-Brett, L., Lithium ion battery value chain and related opportunities for Europe, EUR 28534 EN, Publications Office of the European Union, Luxembourg, 2017, ISBN 978-92-79-66948-4, doi:10.2760/6060, JRC105010
(82)   https://ec.europa.eu/jrc/sites/jrcsh/files/jrc105010_161214_li-ion_battery_value_chain_jrc105010.pdf
(83) COM 2019 176 Report on the Implementation of the Strategic Action Plan on Batteries: Building a Strategic Battery Value Chain in Europe
(84) Press release IP/19/6705, “State aid: Commission approves EUR 3.2 billion public support by seven Member States for a pan-European research and innovation project in all segments of the battery value chain”, December 9, 2019. https://ec.europa.eu/commission/presscorner/detail/en/ip_19_6705 .
(85) Here are some EU flow battery companies:VisBlue (DK 2014) commercialises a new battery technology using a vanadium redox flow battery system.BETTERY, an Italian Innovative Startup founded in January 2018 (flow batteries), NETTERGY, a start-up related to E.ON (2016) - developer of a scalable distributed flow battery system that economically serves multiple stationary energy storage applicationsKemiwatt (FR) has made several world premieres since its creation in 2014, with the first organic Redox battery prototype in 2016 and the first industrial demonstrator in 2017.Jena batteries GmbH (2013 DE) innovative company in the field of stationary energy storage systems rated at 100 kW and up. It offers metal-free flow battery systems.Elestor (2014, NL) HBr flow batteries
(86)  Information received from RECHARGE
(87) ICF, commissioned by DG GROW - Climate neutral market opportunities and EU competitiveness study (Draft, 2020)
(88) ICF, commissioned by DG GROW - Climate neutral market opportunities and EU competitiveness study (Draft, 2020)
(89) ICF, commissioned by DG GROW - Climate neutral market opportunities and EU competitiveness study (Draft, 2020)
(90) C. Pillot, Nice batteries conference, Oct 23, 2019.
(91) ICF, commissioned by DG GROW - Climate neutral market opportunities and EU competitiveness study (Draft, 2020)
(92) ICF, commissioned by DG GROW - Climate neutral market opportunities and EU competitiveness study (Draft, 2020)
(93) ICF, commissioned by DG GROW - Climate neutral market opportunities and EU competitiveness study (Draft, 2020)
(94) ICF, commissioned by DG GROW - Climate neutral market opportunities and EU competitiveness study (Draft, 2020)
(95) ICF, commissioned by DG GROW - Climate neutral market opportunities and EU competitiveness study (Draft, 2020)
(96) IEA (2020), Global EV Outlook 2020, IEA, Paris https://www.iea.org/reports/global-ev-outlook-2020
(97) IEA (2020), Global EV Outlook 2020, IEA, Paris https://www.iea.org/reports/global-ev-outlook-2020
(98) Lebedeva, N., Di Persio, F., Boon-Brett, L., Lithium ion battery value chain and related opportunities for Europe, EUR 28534 EN, Publications Office of the European Union, Luxembourg, 2017, ISBN 978-92-79-66948-4, doi:10.2760/6060, JRC105010
(99) Lebedeva, N., Di Persio, F., Boon-Brett, L., Lithium ion battery value chain and related opportunities for Europe, EUR 28534 EN, Publications Office of the European Union, Luxembourg, 2017, ISBN 978-92-79-66948-4, doi:10.2760/6060, JRC105010
(100)  Information provided by RECHARGE (2020)
(101)  Information provided by RECHARGE (2020)
(102) https://battery2030.eu/
(103)   https://www.globenewswire.com/news-release/2020/02/07/1981726/0/en/Global-Aircraft-Electrification-Market-Forecast-to-2030-Low-Operational-Costs-Reduced-Emission-and-Aircraft-Noise.html
(104) Nickel-based batteries have failsafe characteristics.
(105) IEA (2020), Global EV Outlook 2020, IEA, Paris https://www.iea.org/reports/global-ev-outlook-2020
(106)   https://ec.europa.eu/info/news/focus-energy-efficiency-buildings-2020-feb-17_en  
(107) COM(2011) 571, Communication from the Commission to the European Parliament, the Council, the European Economic and Social Committee and the Committee of the Regions. Roadmap to a Resource Efficient Europe
(108) COM(2020) 98, Communication from the Commission to the European Parliament, the Council, the European Economic and Social Committee and the Committee of the Regions. A new Circular Action Plan for a cleaner and more competitive Europe.
(109) COM(2020)662 accompanied by SWD(2020)550, Communication from the Commission to the European Parliament, the Council, the European Economic and Social Committee and the Committee of the Regions. A Renovation Wave for Europe – greening our buildings, creating jobs, improving lives.
(110) Developed in 2016 by ARUP with BAM Construction, Freiner & Reifer, and the Built Environment Trust
(111) According to the analysed data from the CleanTech Group’s database. The Cleantech Group investment database is global. However, while there is confidence regarding the coverage of the investments in the US and the EU, data from emerging markets (notably China) can be underestimated due to this information not being made public.
(112) According to the analysed data from the CleanTech Group’s database.
(113) According to the analysed data from the CleanTech Group’s database. The Cleantech Group investment database is global. However, while there is confidence regarding the coverage of the investments in the US and the EU, data from emerging markets (notably China) can be underestimated due to this information not being made public.
(114) According to the analysed data from the CleanTech Group’s database.
(115) According to the analysed data from the CleanTech Group’s database. The Cleantech Group investment database is global. However, while there is confidence regarding the coverage of value chain investments in the US and the EU, data from emerging markets (notably China) can be underestimated due to this information not being made public.
(116)   http://www.greenprefab.com/ 3
(117) European Commission Staff Working Document – Impact Assessment. SWD (2019) 357 final
(118) European Commission Staff Working Document – Impact Assessment. SWD (2019) 357 final
(119) The “Base” line is calculated extrapolating observed consumption values, the reference year is set to 2017; BAU scenario admits massive replacement of legacy light sources by LEDs; MEPS scenario suppose the adoption of Minimum Energy Performance Standards worldwide; BAT scenario supposes the use of the Best Available Technology in the market.
(120) In this text a “component" means a single encapsulated small size electronic component whereas “device” corresponds to a larger encapsulated emitting element; both are drive-less but can include some reverse-current protection elements. “Component” applies better to LEDs and LDs when “device” is more appropriated for OLEDs and laser-systems.
(121) https://patents.google.com/?q=(solid+state+light)&country=WO&before=priority:20200930&after=priority:20100101&type=PATENT&num=100
(122)   https://www.scopus.com/
(123)   https://www.webofknowledge.com/
(124) CBI Ministry of Foreign Affairs, Electronic Lighting in the Netherlands, 2014
(125) Geography - Global Forecast to 2022, online teaser, Report SE4912 published January 2017
(126) Navigant, Let’s talk numbers – retail lighting: adoption rate of led lighting, presentation for US AATCC, October 2017
(127) Center of Industrial Studies, The European market for lighting fixtures, press release, published online May 2020
(128) Georges Zissis G., Bertoldi P., Update on the Status of LED-Lighting world market since 2018, JRC Technical Report (under publication)
(129)  Amerlux Innovation Center, LED Energy Market Observer, Energy Observer, August 2018
(130)   EHP Country by Country Study - https://www.euroheat.org/publications/country-by-country.
(131) Towards a decarbonised heating and cooling sector in the EU – unlocking the potention of energy efficiency and district energy, Mathiesen, Brian Vad; Bertelsen, Nis; Schneider, Noémi Cécile Adèle; García, Luis Sánchez; Paardekooper, Susana; Thellufsen, Jakob Zinck; Djørup, Søren Roth, Aalborg University, 2019: https://heatroadmap.eu/decarbonised-hc-report/
(132)   www.iea.org/articles/how-can-district-heating-help-decarbonise-the-heat-sector-by-2024
(133)  Such as shopping malls, supermarkets, hospitals, metros, see www.reuseheat.eu/facts-figures/
(134) Pan-European Thermal Atlas (PETA) prepared as part of the Heat Roadmap Europe project, 2019, https://heatroadmap.eu/peta4/
(135)   Towards a decarbonised heating and cooling sector in the EU – unlocking the potention of energy efficiency and district energy, Mathiesen, Brian Vad; Bertelsen, Nis; Schneider, Noémi Cécile Adèle; García, Luis Sánchez; Paardekooper, Susana; Thellufsen, Jakob Zinck; Djørup, Søren Roth, Aalborg University, 2019: https://heatroadmap.eu/decarbonised-hc-report/
(136) It has a record 2019 year for new solar district heating installations, bringing online 10 new solar district heating plants and expanding 5 existing plants, for a total of 134 thermal MW added (compared to only 6 new plants and 4 expanded plants totalling 47 thermal MW added in 2018).
(137) This section is based on the autumn 2019 version of the PATSTAT database (JRC update: December 2019). The methodology is provided by Fiorini, A., Georgakaki, A., Pasimeni, F. and E. Tzimas (2017) Monitoring R&I in Low-Carbon Energy Technologies, EUR 28446 EN, Publications Office of the European Union, Luxembourg. ISBN 978-92-79-65591-3, https://doi.org/10.2760/434051; Pasimeni, F., Fiorini, A. and A. Georgakaki (2019) Assessing private R&D spending in Europe for climate change mitigation technologies via patent data, World Patent Information, 59, 101927. https://doi.org/10.1016/j.wpi.2019.101927; Pasimeni, F. (2019) “SQL query to increase data accuracy and completeness in PATSTAT” in World Patent Information, 57, 1-7, https://doi.org/10.1016/j.wpi.2019.02.001.
(138) Branchestatistik 2019 ''Fjernvarmesektorens samfundsbidrag', https://danskfjernvarme.dk/viden/statistik-subsection/branche-og-eksportstatistik/2019
(139) Equal to 0.91 billion EUR and equal to 1.48 billion EUR at an exchange rate of 0.13 EUR/DKK, respectively: www.danskfjernvarme.dk/sitetools/english/eu-and-globally .
(140) REN21 Global Status Report: https://www.ren21.net/wp-content/uploads/2019/05/gsr_2020_full_report_en.pdf
(141)  See also the final chapter on Smart Cities and Communities in this SWD
(142) See also chapter 3.17 on smart grids & digital infrastructure for a further analysis of the energy services market based on digital technologies.
(143) Business Cases and Business Strategies to Encourage Market Uptake - Addressing Barriers for the Market Uptake of Recommended Heating and Cooling Solutions, Heat Roadmap Europe 4, Trier, Daniel; Kowalska, Magdalena; Paardekooper, Susana; Volt, Jonathan; De Groote, Maarten ; Krasatsenka, Aksana ; Popp, Dana ; Beletti, Vincenzo; Nowak, Thomas; Rothballer, Carsten ; Stiff, George ; Terenzi, Alberto ; Mathiesen, Brian Vad, 2018: HRE4: http://vbn.aau.dk/files/290997081/HRE4_D7.16_vbn.pdf
(144) This sections focuses on heat pumps for buildings and domestic use. Heat pumps for industrial use are discussed in the section on Industrial Heat Recovery (chapter 3.12). Heat pumps driven by gas will not be discussed here as their efficiency is still low.
(145) In comparison, the minimum seasonal space heating energy efficiency for an air-to-water and water to water heat pump is 110 % in comparison to 86 % for a gas and oil boiler and 30 % for an electric boiler (source: Regulation (EU) 813/2013).
(146) Transferring the heat demand (via HP) to the power system could increase peaks during winter season (for heating), and summer (for cooling), making the electricity demand profiles (load curves) steeper and more dependent on the weather conditions.
(147) European Heat Pump Association, 2020, Sales, www.stats.ehpa.org/hp_sales/story_sales/
(148) European Heat Pump Association, 2020, Forecast, www.stats.ehpa.org/hp_sales/forecast/
(149) JRC Technical report, 2020, Assessment of heating and cooling related chapters of the National Energy and Climate Plans (NECPs), to be published.
(150) Review study ecodesign and energy labelling for space heaters and combination heaters, task 5, final report, VHK, July 2019
(151) Review of Regulation 206/2012 and 626/2011 air conditioners and comfort fans, task 3, final report, Armines and Viegand Maagøe, May 2018.
(152) Top 10 Innovators Report - Heat pumps, Innoenergy, December 2018
(153) Top 10 Innovators Report - Heat pumps, Innoenergy, December 2018
(154) ENER/C2/2016-501, Study on the competitiveness of the renewable energy sector, 28 June 2019
(155) Eurobserv'er Heat Pumps Barometer (2018): https://www.eurobserv-er.org/online-database/#
(156) ICF study for DG GROW, to be published
(157) Review study ecodesign and energy labelling for space heaters and combination heaters, task 2, final report, VHK, July 2019
(158) Review of Regulation 206/2012 and 626/2011 air conditioners and comfort fans, task 5, final report, Armines and Viegand Maagøe, May 2018.
(159) IEA Innovation Gaps, Key long-term technology challenges for research, development and demonstration, Technology report — May 2019
(160) Input Paper for the SRIA for the CET, Stakeholder Cluster: Heating & cooling, to be published
(161) Zero Emissions Platform, “ Climate Solutions for EU industry ”, 2017
(162) For renewable hydrogen through electrolysis, see chapter 2.2.1.6.
(163)

 European Commission (2018). IN-DEPTH ANALYSIS IN SUPPORT OF THE COMMISSION COMMUNICATION COM(2018) 773 A Clean Planet for all A European long-term strategic vision for a prosperous, modern, competitive and climate neutral economy.

(164)

 Communication (COM(2019) 640)

(165)

 Global Status of CCS, 2019 by the Global CCS Institute. https://www.globalccsinstitute.com/resources/global-status-report/

(166)

IEA (2020), CCUS in Industry and Transformation, IEA, Paris https://www.iea.org/reports/ccus-in-industry-and-transformation

(167) IEA (2020), Large-scale CO2 capture projects in power generation in the Sustainable Development Scenario, 2000-2040, IEA, Paris https://www.iea.org/data-and-statistics/charts/large-scale-co2-capture-projects-in-power-generation-in-the-sustainable-development-scenario-2000-2040
(168) The potential for CCS and CCU in Europe. Report to the thirty second meeting of the European Gas Regulatory Forum 5-6 June 2019, coordinated by IOGP. https://ec.europa.eu/info/sites/info/files/iogp_-_report_-_ccs_ccu.pdf
(169) IEA Greenhouse Gas Programme: 2019-03 Review of Fuel Cell Technologies with CO2 Capture for the Power Sector. https://www.ieaghg.org/publications/technical-reports/reports-list/9-technical-reports/950-2019-03-review-of-fuel-cell-technologies-with-co2-capture-for-the-power-sector  
(170) The potential for CCS and CCU in Europe. Report to the thirty second meeting of the European Gas Regulatory Forum 5-6 June 2019, coordinated by IOGP. https://ec.europa.eu/info/sites/info/files/iogp_-_report_-_ccs_ccu.pdf
(171)

 The potential for CCS and CCU in Europe. Report to the thirty second meeting of the European Gas Regulatory Forum 5-6 June 2019, coordinated by IOGP. https://ec.europa.eu/info/sites/info/files/iogp_-_report_-_ccs_ccu.pdf

(172) ZEP paper from November 2019: CO2 Storage Safety in the North Sea: Implications of the CO2 Storage Directive ( https://zeroemissionsplatform.eu/co2-storage-safety-in-the-north-sea-implications-of-the-co2-storage-directive/ )
(173) EUR 46,8 (1 USD = 0,85 Euro)
(174) EUR 29,79 (1 USD = 0,85 Euro)
(175) ZEP paper from January 2020 on cost of CO2 storage (https://zeroemissionsplatform.eu/wp-content/uploads/Cost-of-storage.pdf).
(176) Global Status of CCS, 2019 by the Global CCS Institute. https://www.globalccsinstitute.com/resources/global-status-report/
(177) EUR 85.1 (1 USD = 0.84 EUR)
(178) EUR 55.3 (1 USD = 0.84 EUR)
(179) EUR 36.6 (1 USD = 0.84 EUR)
(180) EUR 28.1 (1 USD = 0.84 EUR)
(181) See: Annex to the Delegated Regulation establishing the EU’s 4th PCI list. https://ec.europa.eu/energy/sites/ener/files/c_2019_7772_1_annex.pdf  
(182) ZEP (2020): A CCS industry to support a low-carbon European economic recovery and deliver sustainable growth, https://zeroemissionsplatform.eu/a-ccs-industry-to-support-a-low-carbon-european-economic-recovery-and-deliver-sustainable-growth/  
(183)

 For more details see the joint paper of ZEP and the European Energy Research Alliance (EERA): Priorities on CCUS R&I activities ( https://zeroemissionsplatform.eu/wp-content/uploads/ZEP-input-CCUS-RI-priorities-1.pdf )

(184)

 https://ec.europa.eu/energy/topics/technology-and-innovation/strategic-energy-technology-plan_en#key-action-areas

(185)

https://zeroemissionsplatform.eu/about-zep/zep-structure/

(186)

https://www.ccusnetwork.eu/

(187) Briefing on Operational Flexibility for CO2 Transport and Storage, EU CCUS Project Network (2020) www.ccusnetwork.eu/
(188)

Kapetaki Z., Miranda Barbosa E., Carbon Capture Utilisation and Storage Market Development Report 2018, JRC118310

(189)

In-house JRC methodology (Fiorini et al., 2017; Pasimeni, Fiorini and Georgakaki, 2018), monitored Research Innovation and Competitiveness in the Energy Union R&I priorities.

(190) Kapetaki Z., Miranda Barbosa E., Carbon Capture Utilisation and Storage Market Development Report 2018, JRC118310
(191)

Kapetaki, Z. Low Carbon Energy Observatory Carbon Capture Utilisation and Storage Technology Development Report, 2020, JRC120801

(192)

 Kapetaki Z., Miranda Barbosa E., Carbon Capture Utilisation and Storage Market Development Report 2018, JRC118310

(193)   https://tcmda.com/three-more-years-of-testing-at-technology-centre-mongstad/
(194)   https://co2re.co/
(195) COM(2020) 562 final, page 10
Top

Brussels, 14.10.2020

SWD(2020) 953 final

COMMISSION STAFF WORKING DOCUMENT

Clean Energy Transition – Technologies and Innovations

Accompanying the document

REPORT FROM THE COMMISSION TO THE EUROPEAN PARLIAMENT AND THE COUNCIL

on progress of clean energy competitiveness

{COM(2020) 953 final}


1.

2.

3.

3.1.

3.2.

3.3.

3.4.

3.5.

3.6.

3.7.

3.8.

3.9.Geothermal

3.9.1.State of play of the selected technology and outlook

Geothermal energy is derived from the thermal energy generated and stored in the Earth’s interior. The energy is accessible since groundwater transfers the heat from rocks to the surface either through bore holes or natural cracks and faults 1 .

Deep geothermal energy is a commercially proven and renewable form of energy that can be used both for heat and power generation. Shallow geothermal energy is available everywhere. Shallow geothermal systems make use of the relatively low temperatures offered in the uppermost 100 m or more of the Earth´s crust 2 .

The resource potential for geothermal heat and power is very large. The global annual recoverable geothermal energy is in the same order as the annual world final energy consumption of 363.5 EJ 3 . The theoretical potential for geothermal power is very large and even exceeds the current electricity demand in many countries. For the EU28, the economic potential for geothermal power was estimated at 34 TWh in 2030 and 2 570 TWh in 2050 4 .

Nevertheless, geothermal potential is still largely untapped, due to several technical and non-technical reasons. In fact, geothermal energy for both electricity and heat production is currently a marginal option in EU28’s energy mix accounting for 0.2% of electricity production and 0.4% of commercial heat production. Geothermal energy for both power and heat is expected to grow in the next decades, especially in the light of the ambitious climate change mitigation path set forth by the Green Deal 5 . However, estimates of future potential of geothermal power production are highly uncertain (although possibly very high) and technical challenges and costs can limit its attractiveness. Thus, although potentially contributing to a decarbonised energy system in the long run, this technology is not expected to experience a large-scale deployment in the coming decades 6 . In particular, in the power sector, other renewables (notably wind and solar PV) will likely have the main role in decarbonisation, while more room seems to exist in the heat sector (according to some assessments, around 45% of all heat demand could be covered by geothermal by 2050 7 , 8 ).

As a matter of fact, the EU’s LTS framework considers geothermal in the baseline scenario for primary energy production and gross electricity generation (projecting a marginal role), but then this technology is not explicitly considered in the other decarbonisation scenarios, falling in the “Other renewables” basket.

Capacity installed, generation

At the end of 2019 in Europe there were 130 geothermal electricity plants in operation, for a corresponding installed capacity of 3.3 GWe. The large majority of this capacity was located in countries outside the EU, i.e. Turkey (1.5 GWe) and Iceland (0.75 GWe). Within the EU, power capacity was almost entirely located in Italy (0.9 GWe) 9 .

The yearly electricity generation from the geothermal source in the EU28 in 2018 amounted to about 7 TWhel, corresponding to 0.2% of the total electricity demand 10 .

A similar share is found at global level, as the 14 GWe installed capacity in 2018 generated 90 TWhel, corresponding to 0.3% of the total electricity demand 11 .

The planned electricity production in the EU28 Member States would be 11 TWhe according to their National Renewable Energy Action Plan (NREAP) for 2020. However, this target is highly unlikely to be met, given the 2018 generation level mentioned above. Unsurprisingly, the National Energy and Climate Plans (NECPs) reduces this target to 8 TWhe by 2030.

In its Sustainable Development Scenario, the IEA forecasts a growth in the global power capacity to 82 GWe in 2040, with a corresponding electricity generation of 552 TWhe 12 . In the EU, geothermal energy is expected to grow more moderately, as the capacity is projected to be 3 GWel in 2040 (20 TWhe of electricity generation).

On the other hand, 36 projects are currently under development and 124 projects are in the planning phase. This allows predicting that the number of operating plants could double within the next decade  13 .

In order to put these values in perspective, the current economic potential assuming a LCOE value lower than 150 EUR/MWhe is 21.2 TWhe 14 , i.e. about twice as the NREAP planned production. In Europe, the economic potential of geothermal power including Enhanced Geothermal Systems (EGS) is estimated at 19 GWe in 2020, 22 GWe in 2030, and 522 GWe in 2050 15 .

Geothermal heat can be used for a number of applications, such as district heating, agriculture, industrial processes. In 2019, 5.5 GWth of geothermal district heating and cooling capacity were installed in Europe, corresponding to 327 systems, see Figure 144 . Again, most of this capacity is found in Iceland (2.2 GWth) and Turkey (1 GWth). Notable countries within the EU are France (0.65 GWth), Germany (0.35 GWth), Hungary (0.25 GWth), and the Netherlands (0.2 GWth), the latter being the most active market in recent years 16 .

With 2 million systems installed, ground source heat pumps (GSHPs) are the most adopted technology for geothermal energy use in the EU. Half of these are found in Sweden and Germany (0.6 and 0.4 million, respectively) 17 .

Figure 144 Map of geothermal district heating capacity in Europe

Source 148 EGEC, 2020

Cost, LCOE

According to the International Renewable Energy Agency (IRENA), geothermal in 2018 fell within the range of generation costs for fossil-based electricity. For new geothermal projects, the global weighted average LCOE was deemed to be 69 USD/MWh 18 , 19 .

A study by Bloomberg Finance 20 shows geothermal LCOE to be relatively stable over the period 2010-2016. Flash turbine technology continues to be the cheapest form, with somewhat declining costs due to favourable exchange rates and cheaper capital costs. As for binary technologies, an increase in competition in the turbine market is expected to produce a downward cost trend. The capital expenditure (CAPEX) has been estimated based on the international literature at 3 540 EUR/kW for flash plants, 6 970 EUR/kW for ORC binary plants and 11 790 EUR/kW for EGS plants 21 . Operating costs are in the range of 1.6-2.2% of CAPEX.

SET plan targets currently relate to reducing production costs, exploration costs and unit cost of drilling. With regard to production costs, SET plan targets require these to be reduced to below 10 ctEUR/kWhe for electricity and 5 ctEUR/kWhth for heat by 2025. Exploration costs include exploratory drilling and other exploration techniques. Exploration drilling alone can be up to 11% of CAPEX for geothermal project if accounting for all the activities needed to assess geological risk during the pre-development phase of the project (i.e. preliminary surveys and surface exploration) 22 , 23 . The SET plan targets require reduction in exploration costs by 25% in 2025, and by 50% in 2050 compared to 2015.

In the scenario compatible with the SET plan targets, JRC-EU-TIMES projects that the CAPEX of EGS will fall below 6 000 EUR/kWe in 2050, compared to around 9-10 000 EUR/kWe in the other non-SET plan scenarios. EGEC 24  also reports the potential cost reduction as shown in Figure 145 .

Figure 145 Potential costs reduction for geothermal electricity production

Source 149 EGEC, 2020

Concerning the heat sector, the selling price for heat in existing geothermal district heating systems is usually around 60 EUR/MWh, and within a range of 20 to 80 EUR/MWh 25 .

R&I

Geothermal energy has significant untapped potential for both electrical and direct-use applications in the EU. Currently, 'traditional' hydrothermal applications are most common for electricity production, but if EGS technology is proven the technical potential increases significantly. 

The technologies for hydrothermal applications, direct use (including GSHP) can be considered mature. R&I in those areas is needed to further lower the costs by e.g. developments in new materials, drilling techniques, higher efficiency, optimisation of maintenance and operation. The use of unconventional geothermal (EGS) is only now moving its first steps in the demonstration phase, thus R&I support in various areas (deep drilling, reservoir creation and enhancement, seismicity prediction and control) is still highly needed.

The Implementation Plan of the SET plan Temporary Working Group describes the current level of market or technical readiness of specific research areas in geothermal. The areas with the lowest TRL relate to the enhancement of reservoirs (4); advanced drilling (5); equipment and materials to improve operational availability (4-5); integration of geothermal heat and power into the energy system (4-5). These require specific attention.

Relevant R&I initiatives can be mentioned both on the public and the private sides, see the next sections.

Public R&I funding

Figure 146  shows the annual and cumulative EU contribution to co-funded projects focused on geothermal started between 2004 and 2019. This analysis includes the EU Framework Programmes FP6, FP7 and H2020, as well as the Intelligent Energy Europe (IEE) and NER 300 projects.

The total amount of funds granted by the EU to geothermal energy in the considered period is EUR 377 million, shared among 100 projects. It can be observed that more R&D funding has been allocated during H2020 (EUR 216 million, 49 projects) than in any other previous funding programme, although with a marked variability across the years 26 .

Figure 146 EU contribution to co-funded projects since 2004: yearly detail and cumulative data

Source 150 JRC analysis based on CORDIS (2020)

Several R&I funding schemes or projects are implemented at national level. In the EU, notable countries are Germany and France. Outside the EU, Iceland and Switzerland are other two important European countries.

The SET plan working group for deep geothermal energy have identified a number of R&I activities as 'flagship':

·geothermal heat in urban areas;

·enhancement of conventional reservoirs and development of unconventional reservoirs;

·integration of geothermal heat and power into the energy system and grid flexibility

·zero emissions power plants.

Private R&I funding

EU private companies invested quite markedly in R&I for geothermal energy over the last some twenty years: as shown in Figure 147 , the average yearly investment over the period 2003-2016 was EUR 100 million, more than in the other major countries globally, i.e. China, Japan, Republic of Korea, and US.

Within the EU, Germany had by far the lion’s share. France, Italy, Sweden, Finland, and The Czech Republic (as well as UK) are other remarkable countries. 27  

Figure 147 Average private R&I investment in the period 2003-2016

Source 151 JRC analysis (2020)

Patenting trends

The results reported in this section derive from a JRC analysis based on data from the European Patent Office (EPO) 28 . The methodology is described here 29 , 30 , 31 .

The evolution of the number of patent families from 2000 to 2016 is shown in Figure 148 , distinguishing the most important global regions. Patent families (or inventions) measure the inventive activity. If patent families regard more than one country or refer to more than one technology, the relevant fraction is accounted for.

The graph highlights a constant growing trend over the considered period, as the number of invention increased from less than 50 in 2000 to more than 350 in 2016.

Different regions alternated as global leader in such a short period of time. Japan was the clear leader in early 2000s, being replaced in 2007 for a couple of years by the EU. The second decade of the century has been characterised by a spectacular growth in the patent families produced in China and, to a lesser extent, in the Republic of Korea, while the number of inventions in the EU has progressively diminished. Marginal contributions came from the United States and the other countries of the world.  

Figure 148 Global number of annual patent families for geothermal energy in 2000-2016 by country/region

Source 152 JRC analysis (2020)

The cumulative patent families filed in the EU28 in the considered period are 439. About half (224) came from Germany, which is by far the leader in the region, followed by France (43) and by a group of countries with some 25 patent families each (Italy, Netherlands, Sweden, United Kingdom, and Poland).

Figure 149  tracks the flow of inventions, assessing where (i.e. in which national patent office) inventions are filed. This indicates where technology developers look for protection for their inventions and thus where they are likely to commercialise their products. In the period 2000-2016, China was poorly interested in exporting its R&D innovations. Conversely, the other countries intensively looked for protection in China, especially the Republic of Korea and Japan. The EU tends to be an exception, as European developers applied for few patents in China and in the other two Asian countries, mostly focusing on the United States and the Rest of the World.

Figure 149 Origin and destination of the geothermal energy inventions protected outside the domestic borders in 2000-2016)

Source: JRC analysis (2020)

Publications / bibliometrics

The Clarivate / Web of Science search tool reports that 3 757 research documents were produced from 2010 to September 2020 in the field of geothermal energy. About 2 500 were articles, 750 proceeding papers, 300 reviews, 100 book chapters, while the remaining 100 were divided among other editorial products.

Figure 150  shows the most productive countries in the geothermal field at global level. China and US are at the top of the list. However, a remarkable production is also found in the EU, as the third and fourth most prolific countries were Germany and Italy, respectively. The most productive organisations are the Helmholtz Association, the China University of Petroleum, the United States Department of Energy, ETH Zurich and the Chinese Academy of Sciences.

Figure 150 Geographic distribution of the top-20 countries with organisations that published in the geothermal energy sector from 2010

Source 153 JRC analysis using Clarivate Web of Science search tool (2020)

3.9.2.Value chain analysis

Turnover

According to EurObserv’ER 32 , the turnover generated by the geothermal sector in the EU27 in the latest years is in the range EUR 1-1.4 billion ( Figure 151 ).

Figure 151 Turnover in the geothermal sector (million euros; period: 2015-2018)

Source: JRC analysis based on EurObserv’ER, 2019

 

Gross value added growth

According to the EGEC market reports, equipment development and fabrication was characterised by a 10% growth rate in the gross value added in the last five years 33 .

Number of companies in the supply chain, incl. EU market leaders

Globally, the EU28 has the second highest number of geothermal entities following the US, with around 181 entities ( Figure 152 ). However, the majority of these parties globally are not involved in manufacturing components. The highest share of companies is in fact project developers, utilities or operators. Exploration & drilling companies and university or research institutes are also important. The suppliers of geothermal equipment for underground installations are from the oil and gas industry, and for above-ground installations (e.g. turbines) from the conventional energy sector. 34

Figure 152 Entities in the geothermal power energy sector sorted by country/region.

Source 154 JRC elaboration based on BNEF, 2016 35 .

Production well drilling and facility construction are responsible for the majority of costs of a geothermal project. Globally, only a handful of companies are specialised in geothermal drilling only and about 20 more perform drilling in the oil, gas and geothermal sectors 36 . The EU is underrepresented in the exploration and drilling services. The market for facility construction is very competitive. Many geothermal field operators or power plant operators are national (public) companies such as KenGen in Kenya and CFE in Mexico. In addition, some large private operators exist, such as Calpine, Terra-Gen, Ormat (all from US) and ENEL (Italy).

Despite the existence of highly specialised smaller companies, the geothermal power plant turbine market is dominated by large industrial corporations that are also active in other energy sectors. The four major manufacturers account for about 80% of the installed capacity, which becomes 97% considering the first ten companies, see Table 10 37 . The first four companies are all from outside the EU (in particular, three from Japan and one from US): the first EU company is Ansaldo Energia (Italy) in fifth position.

Table 10 Market share of geothermal turbine manufacturers (includes fully operational and grid connected geothermal projects until end 2017).

Rank

Company

Installed Capacity (MW)

Market share (%)

1

Toshiba Power System

3 203.0

23.0

2

Fuji Electric Co.

3 012.1

21.6

3

Mitsubishi Heavy Industries

2 652.8

19.0

4

Ormat Technologies

2 092.6

15.0

5

Ansaldo Energia

1 092.5

7.8

6

General Electric

1 056.4

7.6

7

Exergy

312.9

2.2

8

Atlas Copco

102.6

0.7

9

TAS Energy

90.1

0.6

10

Green Energy Group

81.1

0.6

11

Highstat

80.2

0.6

12

LA Turbine

60.0

0.4

13

Qingdao Jieneng Group

21.0

0.2

14

United Technologies

20.5

0.1

15

Kawasaki Heavy Industries

15.0

0.1

16

Harbin Electric

11.3

0.1

17

Enex HF

9.4

0.0

18

Parsons

5.0

0.0

19

Ebara

4.5

0.0

20

Barber Nichols

3.7

0.0

Source 155 BNEF, 2018

From 2012-2016, the majority of total installed capacity in Europe was conventional flash/steam technology, however, since 2012 nearly 80% of newly installed capacity was binary technology, all ORC (Organic Rankine Cycle). 38

The four major ORC manufacturers in the European market are Ormat (US), Turboden (Italy), Atlas Copco (Sweden) and Exergy (Italy), all currently most active in Turkey and Portugal. Toshiba is dominant in Turkey as a flash turbine supplier, as is Fuji in Iceland. Chinese turbine manufacturer Kaishan recently entered the European market supplying an ORC turbo-generator to a Hungarian power plant.

Moving to the heat sector, district heating and systems are the largest and fastest growing direct use application of geothermal energy in the EU. Direct-use technologies closely resemble geothermal electric systems, except the heat is used for another purpose. Data and information about players active in the direct use supply and value chain is scarce. Most suppliers of geothermal equipment for the underground part of the installations are from the oil & gas industry (e.g. exploration, drilling, pipes, and pumps).

Major providers for pumps, valves, and control systems include Schlumberger, Baker & Hughes, GE, ITT/Goulds, Halliburton, Weatherford International, Flowserve (all US), Canadian ESP (Canada), Borets (Russia) 39 . Heat exchangers are supplied mainly by Alfa Laval (Sweden), Danfoss (Denmark), Kelvion Holdings (Germany), SPX Corporation (US), Xylem (US), Hamon & Cie, Modine Manufacturing Company (US), SWEP International (Denmark).

Heat pumps are generally grouped into three main categories: i) ground source heat pumps, which extract heat from the ground; ii) hydrothermal heat pumps, that draw heat from water (the water table, rivers or lakes), and iii) air source heat pumps, whose heat source is air (outside, exhaust or indoor air). Heat pumps are available in different sizes, however, data is lacking for medium and large heat pumps. Smaller heat pumps that use ambient energy dominate the market. Air source heat pumps are the most prevalent, and made up 50% of total sales, followed by hot water heat pumps (6%) and air source heat pumps (30%) and geothermal systems (4%). 

Ground source heat pumps make up the largest segment of the geothermal energy market in the EU28 (22.8 GWth installed) 40 . The geothermal heat pump market, in terms of end-users can be segmented into residential (53%) and non-residential (47%). The global geothermal heat pump market was valued at EUR 13 billion in 2016 and is expected to reach EUR 23 billion in 2021. EMEA dominated the global geothermal heat pump market with a 52% share in 2016.

The main vendors internationally are Carrier Corporation (US), Daikin (Japan), Mitsubishi (Japan), Danfoss (Denmark) and NIBE (Sweden). Other prominent vendors and collaborators are BDR Thermea (Netherlands), Bosch Thermotechnology (Germany), Bryant Heating & Cooling systems (US), CIAT (France), Hitachi Appliances (Japan), LSB Industries (US) and SIRAC (South Africa).

The global geothermal heat pump market is highly fragmented with the presence of many vendors. Vendors are highly diversified and operate at international, regional, and local levels.

Table 11 shows the major European GSHP manufacturers and brands. Heat pump markets and penetration rates in the EU vary considerably depending on climate. In north, central and eastern Europe, heat pumps are mostly used for heating, whereas in temperate to hot climates (western and southern Europe), more cooling is required and reversible heat pumps are more popular 41 .

 Table 11 Overview of major European GSHP manufacturers and brands.

Company

Brand

Country

Capacity range (kW)

Comments

BDR
Thermea (NL)

De Dietrich/ Remeha

France

5.7-27.9

10 000 heat pumps sold in 2014

Baxi

UK

4-20

GSHP offer discontinued

Brötje

Germany

5.9-14.9

 

Sofath

France

2.8-29.5

50 000 GSHP units sold so far

Bosch Thermotechnik (DE)

Junkers

Germany

5.8-54

 

Buderus

Germany

7-70

 

IVT Industrier

Sweden

6-16

Swan-labelled GSHP

Danfoss (DK)

Thermia Värme

Sweden

4-45

 

Nibe (SE)

Alpha-InnoTec

Germany

5-30

Belongs to Schulthess (daughter of Nibe)

Nibe Energy Systems

Sweden

5-17

Largest EU manufacturer of dom. Heating

KNV

Austria

4-78

Acquired 2008. 13 000 heat pumps sold

Vaillant (DE)

Vaillant

Germany

6-46

Second largest HVAC manufacturer

Viessmann (DE)

Viessmann

Germany

5-2000

 

Satag Thermotechnik

Switzerland

3-19

Acquired in 2004

KWT

Switzerland

6-2000

One of the pioneers in GSHP

Ochsner (AT)

Ochsner

Austria

5-76

130 000 heat pumps sold so far

Stiebel
Eltron (DE)

Stiebel Eltron

Germany

4.8-56

Acquired 35 % of share capital of Ochsner

Source 156 JRC, 2017b

Employment figures

Some ten thousand people were employed in the geothermal sector in the EU27 in recent years: Figure 153 reports the detailed trend in the period 2015-2018. In particular, the sector supported 9 400 total jobs in 2018 42 .

Leading European countries in geothermal energy employment are Italy, Romania, France, the Netherlands, and Hungary. Together they accounted for 60% of total jobs in the sector in the EU27 in 2018 ( Figure 154 ).

Figure 153 Employment in the geothermal sector (number of employees; period: 2015-2018)

Source 157 JRC analysis based on EurObserv’ER, 2019

Figure 154 Geothermal energy employment in selected EU Member States, 2016-2018

Source 158 JRC analysis based on EurObserv’ER, 2019

Productivity (labour and factor)

The previous data about turnover and employment allow calculating the turnover per employee, which can be used as a proxy for labour productivity. Figure 155  presents the average results for geothermal energy as well as for the other main renewable energy technologies in the period 2017-2018. The average turnover per employee for geothermal is around EUR 115 000, performing quite averagely across technologies. For the sake of completeness, wind is the technology showing the highest turnover per employee
(EUR 155 000), whereas biofuels are characterised by the lowest value (EUR 60 000).

Figure 155  also shows the share that the different technologies have in the overall turnover of the renewable energy sector. Wind and biomass are the most significant technologies in this sense, while the geothermal contribute is around 1%.  

Figure 155 Turnover per employee for different renewable energy sources (RES) and share of total RES turnover (average 2017-2018)

Source 159 JRC analysis based on EurObserv’ER, 2019

ProdCom statistics

EGEC 43 provides a detailed analysis on the deep geothermal industry supply chain. Assuming that 40 rigs were in operation for deep geothermal drilling in 2017, each rig drilling 3 wells in a year, around 120 deep wells were drilled in Europe that year. This generated a yearly turnover of about EUR 400 million. Pumps accounted for EUR 12.5 million. More than 150 heat exchangers are also sold per year for deep geothermal in Europe, generating an estimated turnover of EUR 20 million.

3.9.3.Global market analysis

Trade (imports, exports)

In general, apart from the low presence in the exploration and drilling stage, the EU geothermal supply chain is quite robust 44 : in addition to the low dependency on critical raw materials (see the relevant section below), it is characterised by low dependency on imported manufactured equipment, robust domestic industry and know-how in project development. The EU27 is a net exporter of services for geothermal energy projects and equipment across all technologies.

However, as discussed in the previous sections, the main players in the power turbines sector are mostly located outside the EU27. Figure 156 shows global trade flows of geothermal power plant turbines from 2005 to 2015. In this period, most exports of binary cycle turbines came from Israel, United States, Italy, and Germany. The flash cycle and dry steam turbine market was dominated by Japan, Italy, and the United States. The biggest 'receiving' markets over the last ten years were the United States, Indonesia, New Zealand, Kenya, Iceland; of course reflecting the power capacity additions 45 .

Figure 156 Geothermal power plants trade flows

Source 160 CEMAC, 2016 46

Global market leaders VS EU market leaders

As thoroughly described in the “Number of companies in the supply chain, incl. EU market leaders” section, the EU shows solid capability in ground source heat pumps and geothermal energy systems, although strong competition exists with extra-EU companies.

Concerning geothermal power turbines, the EU manufacturing capacity is limited for conventional technologies (where Japanese and American manufacturers lead), while it is stronger in the binary-ORC technology, which is used for low-temperature applications.

Critical raw material dependence

Critical raw materials are not a major issue for the geothermal sector. The two main raw materials of the supply chain are concrete and steel. Concrete is used in the casing of geothermal boreholes. Steel is used the pipes that carry the geothermal brine to the surface and the geothermal energy to the district heating network. It is a key component of turbines as well. Plastics is also used for pipes. Another important material is aluminium which is increasingly being used in plant construction 47 . On the other hand, projects exist that explore the possibility of extracting minerals from the geothermal brine.

3.9.4.Future challenges to fill technology gap

The technical barriers to the uptake of geothermal energy are reflected in the SET plan priority areas. The urgency of each of these research areas may need to be clarified in the near future, since there appears to be some disparity between the attention given to each area although their relative importance is not clear.

Research areas that have received the most attention (in financial terms) under H2020 relate to drilling, EGS and district heating systems. The research areas 'Geothermal heat in urban areas' has already reached higher level of technological readiness, therefore progress should be reassessed in the near future. The areas 'Enhancement of reservoirs' (TRL 4) and 'Advanced drilling techniques' (TRL 3-5) are in greater need of support given their low TRLs. The research area 'Equipment / Materials and methods and equipment to improve operational availability' requires a significant jump to a higher TRL. Yet, this research area has not received much funding under H2020. The research areas 'Improvement of performance' and 'Exploration techniques' may require a more targeted focus in the future, since they are not specifically covered by particular projects at present.

It is difficult to assign levels of importance to each research area. The areas that are most urgently in need for funding should be identified to better focus the support. It should also be assessed whether cross-cutting issues which were highly funded in previous frameworks are still in need of similar funding now or in the future 48 .

In addition to these technical points, other non-technical aspects exist which must be overcome in order to allow an uptake of geothermal energy.

Public acceptance is probably the main barrier, but further barriers have also been identified. In particular, other two relevant issues are the need for the development of a clear regulatory framework, notably in terms of administrative procedures for plant licensing, and the lack of geothermal engineers and trainers, as well as of non-technical experts such as accounting and finance staff, surveyors, auditors, and lawyers. Additionally, geothermal energy needs financial incentives similar to those received by other renewable energy sources, especially related to the high risk associated with the initial stages of projects 49 .

3.10.High Voltage Direct Current 

High Voltage Direct Current (HVDC) is an efficient and economical option for long distance bulk transmission of electrical power compared to the High Voltage Alternate Current (HVAC) systems. An HVDC transmission system consists primarily of:

·a converter station where the HVAC from the existing transmission system is converted to HVDC;

·transmission cables that connect the converter stations and transmit the HVDC power;

·and a converter station on the other end of the transmission cables that converts the power from Direct Current (DC) to Alternating Current (AC) for delivery back into the grid.

HVDC systems can be integrated in the AC electric grid and allow the control of direction and amount of power to be transferred.

Figure 157 HVDC system integrated in the AC grid

Source 161 Duke-American Transmission Co.

HVDC can offer several distinct advantages over a typical Alternating Current (AC) Transmission system. The key characteristic is that the power can be transmitted over very long distances without compensation for the reactive power. 50 Furthermore, HVDC stations can be connected to networks that are not synchronized or do not even operate at the same frequency. HVDC systems help preventing the transmission of faults between connected AC grids and can serve as a system “firewall” against cascading faults.

The key HVDC technologies are:

·line Commutated Converter (LCC-HVDC). Most of the HVDC systems in service today are of the LCC type (LCC HVDC), also referred as Current Source Converter CSC or HVDC Classic. It is a thyristor-based technology where the converter’s commutation is done by the AC system itself. The thyristor is a silicon semiconductor device with four layers of N and P type material acting as a bi-stable switch, which is triggered on with a gate pulse and remains in that on condition until the zero crossing of the Alternating Current. In order for LCC to commutate, the converters require a very high synchronous voltage source, thereby hindering its use for black start operation. With LCC current rating reaching up to 6250 A and blocking voltage of 10 kV, LCC has the highest voltage and power rating level of all the HVDC converter technologies;

·ultra High Voltage Direct Current (UHVDC). UHVDC is a DC power transmission technology utilising a higher voltage than HVDC to reduce the losses of the lines, increase the transmission capacity and extend the transmission distance. The Zhundong–Wannan UHVDC line in China completed in 2018 uses 1100 kV for 3400 km length and 12 GW capacity. Compared with the 800 kV UHVDC links currently in operation, the 1100 kV UHVDC link represents an increase of 50% in transmission capacity and from around 2.000 km to over 3.000 km of the transmission distance. UHVDC is typically used in areas of the world where the distance from generation to consumption is very high, such as in China, India and Brazil. As of 2020, no UHVDC line (≥ 800 kV) exists in Europe or North America. Another factor influencing the use of UHVDC is the vulnerability it creates when there is a loss of infeed from the UHVDC link;

·voltage Source Converter (VSC-HVDC). VSC HVDC, also known as self-commutated converter uses Insulated Gate Bipolar Transistor (IGBT) technology. The current in this technology can both be switched on and off at any time independently of the AC voltage, i.e. it creates its own AC voltages in case of black-start. Its converters operate at a high frequency with Pulse Width Modulation PWM, which allows simultaneous adjustment of the amplitude and phase angle of the converter while keeping the voltage constant. VSC has a high degree of flexibility with inbuilt capability to control both its active and reactive power, which makes it attractive for urban power network area and offshore applications.

This difference in construction of VSC HVDC offers many advantages over LCC HVDC, which can be summarised as follows:

·due to the usage of self-commutating devices, VSC will avert the system from commutation failures;

·VSC does not require reactive power compensators and have independent and full control over the active and reactive power. This will lead to a better system’s stability, enhance the market transactions, and power trading;

·harmonics level are at higher frequencies and as a result, the filter size, the losses and the cost are lower;

·VSC has the ability to support weak AC systems when there is no active power being transmitted;

·instantaneous power flow reversal without the need of reversing the voltage polarities, thus lowering the cables cross section. In addition, this makes easier to build multi terminal schemes;

·excellent response to AC faults and black start capability.

VSC-based HVDC systems are expected to attract greater demand because they require fewer conditions for connecting transmission lines. High penetration of DC systems in AC transmission and distribution networks can provide many benefits to the transition to a low carbon power system, for example in relation to offshore windfarms where undersea cables are required.

A multi-terminal VSC-HVDC transmission system is the interconnection of more than two VSC HVDC stations via DC cables in different topologies, e.g. radial, ring and meshed. It represents the evolution of the traditional two terminals (point-to-point) HVDC transmission system. MT HVDC provides the ability to connect multiple AC grids, remote power plants and remote loads together. This transmission system is considered a promising technology for the integration of massive generation from renewable sources into the power system. Furthermore, MT HVDC networks increase system reliability, the ability of smooth wind power fluctuations and it can be used to trade the electric power safely across national borders. The world’s first multi-terminal VSC-MTDC system was successfully commissioned on December, 2013 in Nan’ao island in the southern part of the Guangdong province of China. The key objectives of the project were to incorporate the existing and future wind power generated on Nan’ao island into the regional power grid, both to safeguard future energy supply and to support the transition from coal towards renewable energy sources.

HVDC cables are an important part of HVDC systems, and the different characteristics of dielectric materials typically lead to different electrical, mechanical, and thermal performances in cables. The main types of HVDC cables are briefly introduced below.

·oil-Filled DC Cable: Oil-filled cable (OF), usually filled with pressured oil in the oil channels. Due to obvious disadvantages, e.g. limited cable length, requirements of oil feed equipment and the risk of oil leakage, OF cables were gradually replaced by MI cables or extruded HVDC cables;

·mass-impregnated Cable: Similar to the OF cables, the main insulation of MI cables is also Kraft paper (or polypropylene laminated paper as in recent development) impregnated with high viscosity oil (the mass). However, MI cables usually can be defined as having “solid” insulation since there is no free oil contained in the cable;

·extruded DC Cable; In contrast to the paper insulated cables, extruded HVDC cables use an extruded polymeric material as the main insulation, which is a relatively new development in DC cables. The major insulation material is cross-linked polyethylene (XLPE). The process of cross-linking or vulcanisation makes the material heat resistant and does not soften at high temperatures. It develops resistance to stress cracking and ageing;

·gas Insulated Cable: Gas insulated cables are similar to oil-filled cables in that pressurized insulating gases are applied instead of oil. Another type of gas insulated power transmission cable technology is called Gas Insulated Line (GIL) system. In such a system, conductors with large cross-sectional areas are used to ensure high power ratings and low losses;

·superconducting Cable. Superconductors (SC) are materials that can conduct electric energy without losses below their critical threshold temperature. That distinguishes them from standard conductors like copper that have power losses dissipated as heat. A cryogenic envelope is needed to keep the superconductor cooled below its critical temperature.

Today, the more practical solution for HVDC superconductor cables is High Temperature Superconductor (HTS) DC cables. Liquid nitrogen is used as a cooling method. The refrigeration requirements for the DC superconductor cables are independent of the power flowing through the cable, since the cable itself generates no heat. The major length limitation of HTS cables is the requirements of refrigeration stations for cooling and liquid nitrogen flow.

Worldwide there are several on-going demonstration projects or installed superconducting cable operating live in grids. The US DoE supported the construction of an HTS cable which was installed in the Long Island Power Authority (LIPA) grid in 2007. The South Grid of China is developing a 1km long (High temperature Superconductor) HTS cable for urban deployment.

Costs for materials, components and systems that comprise a high-capacity, long-distance HTS transmission system are falling rapidly as EU-based technology companies continue to establish global leadership in advancing their development and demonstration.

3.10.1.State of play of the selected technology and outlook

Capacity installed

HVDC projects for long-distance transmission have two (or rarely, more) converter stations and a transmission line interconnecting them. Generally, overhead lines are used for UHVDC interconnections, while LCC and VSC HVDC projects use submarine power cables. A back-to-back station has no transmission line and connects two AC grids at different frequencies or phase counts. HVDC systems evolved from mercury-arc valves to thyristors and IGBT power transistors. Table 12 below shows the main HVDC projects and that an increasing number of projects use VSC technologies.

Table 12 Selected HVDC Schemes using Line-Commutated Converters

Name

Year

Technology

Length

DC

Voltage

Power

Rating

Cable/OHL

(kV)

P (MW)

Gotland 1

1954

Mercury-arc

98/0

200

20

Cross-Channel

1961

Mercury-arc

64/0

+100

160

NZ Inter-Island 1

1965

Mercury-arc

40/571

+250

600

SACOI 51

1965

Mercury-arc

365/118

+200

200

Konti-Skan 1

1965

Mercury-arc

87/89

+250

250

Zhoushan

1987

Mercury-arc

54

-100

50

Vancouver Isl. 1

1968

Mercury

42/33

260

312

Pacific DC Intertie

1970

Thyristor

0/1362

+500

3100

Nelson River Bipole 1 52

1977

Mercury-arc

0/895

+450

1620

Skagerrak 1

1977

Thyristor

130/100

+250

500

Cahora Bassa 53

1979

Thyristor

0/1420

+533

1920

Hokkaido - Honshu

1979

Thyristor

44/149

+250

300

Zhou Shan 54

1982

Thyristor

44/149

+100

50

Itaipu 1

1984

Thyristor

0/785

+600

3150

Nelson River Bipole 2

1985

Thyristor

0/940

+500

1800

Itaipu 2

1987

Thyristor

0/805

+600

3150

Fenno-Skan

1989

Thyristor

200/33

+400

500

Rihand-Delhi

1990

Thyristor

0/814

+500

1500

Quebec - New England

1991

Thyristor

5/1100

+450

2250

NZ Inter-Island 2

1992

Merc. & Thyr

40/571

+270/-350

1240

Baltic Cable

1994

Thyristor

250/12

450

600

Garabi HVDC

2002

Merc.

0/0

+70

2200

Three Gorges - Changzhou

2003

Thyristor

0/ 890

+500

3000

Three Gorges - Guangdong 1

2004

Thyristor

0/980

+500

3000

Three Gorges - Guangdong

2004

Thyristor

0/940

+500

3000

BassLink

2006

Thyristor

298/72

+400

500

NorNed

2008

Thyristor

580/0

+450

700

Yunnan-Guangdong

2010

Thyristor

0/1418

+800

5000

XIangjiaba-Shanghai

2010

Thyristor

0/1907

+800

6400

NZ Inter-Island 3

2013

Thyristor

40/571

+350

1200

Estlink 2

2014

Thyristor

157/14

+450

650

North-East Agra

2017

Thyristor

0/1728

+800

6000

Nelson River Bipole 3

2018

Thyristor

0/1324

+500

2000

Table 13 Selected HVDC Schemes using Voltage Source Converters

Name

Year

Topology

Length

(km)

Switching

Frequency

DC

Voltage

Power

Rating

Cable/OHL

(Hz)

(kV)

P (MW)

Q( MVAr)

Gotland VSC

1999

2-level

70/0

1950

+80

50

-55 to 50

Tjäreborg

2000

2-level

4.3/0

1950

+9

7.2

-3 to 4

Directlink

2000

2-level

59/0

1950

+80

180

-165 to 90

Eagle Pass

2000

3-level BTB Diode NPC

0/0

1500

+15.9

36

+36

MurrayLink

2002

3-level

ANPC

176/0

1350

+150

220

-150 to 140

CrossSound

2002

3-level

ANPC

40/0

1260

+150

330

+150

Troll A

2005

2-level

70/0

+60

84

-20 to 24

Estlink1

2006

2-level

OPWM

105/0

1150

+150

350

+125

BorWin1

2009

200/0

+150

400

Trans Bay

Cable

2010

MMC

85/0

<150

+200

400

+170

Nanao Island 55

2013

MMC

MTDC

10/32

+160

200/100/500

Zhoushan

Islands 56

2014

MMC

134 ?141.5/

+200

400

INELFE

2015

MMC

64.5/0

+320

2x1000

?

BorWin2

2015

MMC

200/0

+300

800

HelWin1,

2015

MMC

130/0

+250

576

?

HelWin2,

2015

?

130/0

+320

690

Dolwin1

2015

Casc. 2-L 57

165/0

+320

800

Dolwin2

2015

MMC

135/0

+320

900

Dolwin3

2018

-

162/0

+320

900

SylWin1

2015

205/0

+300

864

BorWin3

2019

-

160/0

+320

900

Zhangbei

HVDC

2019

+500

1500/4500

Stage

1

MMC

Figure 158 shows a map of the medium to large HVDC interconnections that have been installed in Western Europe as of 2008.

Figure 158 Map of medium to large HVDC interconnections in Western Europe as of 2008

Source 162 Wikipedia

Existing

      Under construction

      Options under consideration

Cost, LCOE

When designing power transmission systems and opting for the different technologies, the break-even distance needs to be taken into account. The breakeven distance implies that the savings from HVDC power transmission system cost overweight the initial high cost of the converter stations compared to HVAC. For overhead lines, the break-even distance is in the range of 600-800 km while for underground cables it is around 50 Km. The variation of break-even distance is due to a number of other factors such as the voltage/power levels, elements cost, right of way cost, and operational costs. Figure 159 shows the comparison between AC and DC links costs where station costs, line costs, and the value of losses are considered.

Figure 159 Overview of HVDC Technology

Source 163 N. Watson


Even when these are available, the options available for optimal design (different commutation techniques, variety of filters, transformers etc.) render difficult to give a cost figure for an HVDC system. Nevertheless, a typical cost structure for the converter stations could be as follows:

Figure 160 Cost structure of a converter station

Source 164 R. Rudervall et al., 2000

   

Public R&I funding

Public funding by Member States for HVDC technologies is not available. At EU level, through Horizon 2020, funding is modest, but has been boosted by the recently finished Promotion project 58 , which received close to 40 million Euros of funding. Other key projects that have supported HVDC technology development through Horizon 2020 are Migrate 59 and through the Clean Sky Joint Undertaking in relation to electrical aircrafts.

Private R&I funding

Figure 161 HVDC R&I investments by value chain 60 , 61 , 62

Source: ASSET Study commissioned by DG ENERGY - Gathering data on EU competitiveness on selected clean energy technologies (Draft, 2020)


According to the ICF 63 , a lot of the current available research on the HVDC topic originates from Europe, where many HVDC projects are being proposed for renewables integration. Figure 162 shows the investments in the EU along the value chain. The sources used in their study are mostly peer-review journals, research reports, industry newsletters, or case studies published by industry vendors, research labs, and other reputed transmission industry stakeholders. Therefore, the research investments were only available from Europe. The Investments for Europe were obtained from ETIP SNET for 2018.

Patenting trends



Figure 162 HVDC Patents by Value Chain/HVDC patents by Region 64

Source: ASSET Study commissioned by DG ENERGY - Gathering data on EU competitiveness on selected clean energy technologies (Draft, 2020)

As Figure 163 shows, in the value chain segmentation, the US and Europe have similar patent publications in 2019. However, China seems to be dominating the value chain in terms of the amounts of patents they have been publishing. Note that patents being published in China could belong to European companies. Overall, the trend has increased between 2009 and 2019 for both Europe and the rest of the world.

Publications / bibliometrics

Considering research publications and institutions, the US is the dominant player with about 110 research institutions active in this field, being responsible for 200 publications. Overall, there are about 140 research institutions from Horizon2020 participating countries active in research on transmission infrastructure, compared to 330 in the rest of the world. These institutions’ efforts resulted in about 240 (Horizon2020), respectively 670 (RoW) publications in a 5-year timeframe. 65

3.10.2.Value chain analysis

The value chain for HVDC grids can be segmented along the different hardware components needed to realize an HVDC connection . The main shares in the cost of HVDC systems are the converters (+/- 32%) and the cables (+/-30%) .

Figure 163 Value chain segmentation

Source 165 Guidehouse Insights, 2020

Figure 164 Competitive intensity across each Value Chain Segment, global, 2020

Source 166 Guidehouse Insights, 2020

European companies have a major market presence for HVDC across all value chain segments, as two of the major market players - ABB and Siemens are located in Europe. The majority of the non-European market for transformers, converters, breakers, and valves is made up of GE and several Chinese companies, while there are several major cable companies from Japan. Additionally, Prysmian, Nexans, and NKT Cables, three major cable providers are located in Europe as well, giving the EU a strong market presence across that value chain.

In the converter stations’ value chain, Power Electronics (PE) play a key role in determining the efficiency and the size of the equipment. Energy specific applications represent only a small part of the global electronic components market (passive, active, electromechanical components and others - EUR 316 billion in 2019).

Turnover

Higher demand for cost-effective solutions to transport electricity over long distances, particularly in the EU to bring offshore wind to land, increase the demand for HVDC technologies. According to Guidehouse Insights, the European market for HVDC systems will grow from EUR 1.43 billion in 2020 to EUR 2.6 billion in 2030, at a growth rate 66 of 6.1% 67 , 68 .

According to Global Industry Analysts 69 , amid the COVID-19 crisis, the global market for HVDC Transmission estimated at EUR 7,1 billion in the year 2020, is projected to reach a revised size of EUR 10,6 billion by 2027, growing at a CAGR of 5.7% over the analysis period 2020-2027. The main investments in HVDC are taking place in Asia, where a big part of the market is taken up by Ultra-HVDC (EUR 6.5 billion – non existent in EU) 70 . Line Commutated Converter (LCC), one of the segments analysed in the report, is projected to record a 5.8% CAGR and reach EUR 4,2 billion by the end of the analysis period. After an early analysis of the business implications of the pandemic and its induced economic crisis, growth in the Voltage Source Converter (VSC) segment is readjusted to a revised 6.3% CAGR for the next 7-year period. HVDC equipment is very costly, and projects to build HVDC connections are therefore very expensive. Due to their technological complexity, installation of HVDC systems is generally managed by manufacturers 71 .

Gross value added growth

The gross value added in general resembles the market sizes for the respective value chain segment and region, adjusted for a trade surplus/deficit and the value of input material. For the HVDC sector, the considered input material is used for cable manufacturing.

Figure 165 Breakdown of GVA throughout HVDC value chain

Source 167 Guidehouse Insights, 2020

Only a minor part of GVA is generated in the EU compared to the rest of the world, mostly Asia. However, as shown below, EU companies have an important global presence in this market. The largest share of the GVA is found in the converters segment, where the EU market captures a share in the GVA of about 17%. To be noted that the UHVDC market – which is not listed here since it is an intersection of all value chain segments – is only served by European companies. Therefore, within the UHVDC market almost all GVA can be assigned to the EU, even though the European market for UHVDC doesn’t exist.

Number of companies in the supply chain, incl. EU market leaders

The global HVDC market is led primarily by three companies, namely Hitachi ABB Power Grids, Siemens, and GE 72 . Siemens and Hitachi ABB Power Grids have around 50% of the market in most market segments, whereas in the EU cables companies 73 make up around 70% of the market and the main competitors are Japanese. Other market players include Mitsubishi, Toshiba, China XD Group, LS Industrial Systems and NR Electric company. These companies though, do not play in the HTS cable space. Major global HTS cable providers are Nexans, STI, American Superconductor, and Furakawa Electric. In China, an additional vendor, China XD Group, dominates the market. Prysmian and Nexans are two of the world’s largest cable providers, with headquarters in Italy and France, respectively.

Figure 166 Top key market players and market share, global, 2020

Source 168 Guidehouse Insights, 2020

So far, vendors sold turkney systems independently which were installed as a point-to-point HVDC connection. In a future more interconnected offshore grid, different HVDC systems need to be interconnected. This brings technological challenges to maintain grid control 74 and in particular to ensure interoperability of HVDC equipment and (future) systems. Furthermore, as all components need to be installed on (offshore) platforms, size reduction is key.

With respect to Power Electronics, there is a need to focus on the development of electronics in energy applications that are different from the main markets that drive R&I, in particular for offshore energy applications.

Employment figures

On the deployment and construction side, there are 200 HVDC projects around the world and of those, 40 are in the EU27 75 . Of those, 14 are under construction around the world and 12 are under construction in the EU27. A project under construction typically generates 4,000 jobs and a project in operation (described as deployment in the graph below) creates 400 jobs 76 . Therefore, an estimate of the employment numbers was generated as shown in Figure 167 . Due to the nature of the HVDC market and how small it currently is, it is very difficult to segment these jobs into the value chain. It is also difficult to estimate the split between direct and indirect jobs. On the research side, the number of employees for Europe is likely to be much larger which will be explored in the next section.

Although there have been conversations with industry experts and market leaders in HVDC manufacturing such as ABB, the employment figures for manufacturing are still very unclear for both the EU27 and the rest of the world.

Figure 167 HVDC employment indicators

Source 169 The Brattle Croup, 2011

3.10.3.Global market analysis

Trade (imports, exports)

The EU27 is a net exporter of transformers, converters, and breakers (HS Codes 850421, 850422, 850440, and 853529). 77 Though this is not specific to the HVDC equipment encompassed for HVDC applications is captured in these statistics. Most major companies in the HVDC market are located in Europe.

Global market leaders VS EU market leaders

European companies have a major market presence for HVDC across all value chain segments, as two of the major market players - ABB and Siemens are located in Europe. The majority of the non-European market for transformers, converters, breakers, and valves is made up of GE and several Chinese companies, while there are several major cable companies from Japan. Additionally, Prysmian, Nexans, and NKT Cables, three major cable providers are located in Europe as well, giving the EU a strong market presence across that value chain.

Figure 168 Competitive Intensity across each Value Chain Segment, Global, 2020

Source 170 Guidehouse Insights (2020)

Critical raw material dependence

The most significant use of raw materials in the HVDC value chain segment is the metal used to make steel, aluminium, and other metal alloys for major system components. Generally, these are not considered at-risk supply chains to Europe. However, superconducting materials used to construct the high temperature superconductor (HTS) cables may differ. These materials often require chemical compounds including the following 78 :

·Copper;

·Barium;

·Titanium;

·Sapphire;

·Bismuth;

·Strontium;

·Magnesium;

·Silver;

·Calcium.

Among these, Magnesium and Bismuth are considered high-risk for supply in Europe, as listed in the Commission’s Action Plan on Critical Raw Materials. 79  

Going one step down in the value chain, particular attention needs to be addressed to Power Electronics (PE), the key switching electronic component of the converter. Europe’s present position as a leader in Silicon (Si) technology, raw material and wafers needs to be maintained while trying to get access /develop NEW materials such as Silicon Carbide (SiC) and Gallium Nitride (GaN) 80 .

3.10.4.Future challenges to fill technology gap

The main gaps for the deployment of HVDC systems are related to the integration of multiple HVC systems into a Multi-Vendor Multi-Terminal VSC-HVDC system with Grid Forming Capability, in particular to enable the development of the EU’s ambitions in relation to offshore energy. This requires addressing standards, multivendor interoperability, industrial testing of equipment, procurement, wind/offshore planning and market models (the latter able to solve the windfarm-interconnector hybrid topology issue) across multiple technology vendors, transmission system operators, as well as offshore wind park developers, with the aim to have interoperability among all converter manufacturers.

 

As with AC system, the DC grid requires a number of standards. One of the most obvious ones being the voltage level used. Once a level is chosen, it sets the voltage for the entire system. As with the AC system, several levels might be possible from the transmission to the distribution and to the low voltage. 

Interoperability is the capability of equipment, technologies and controls to operate in a robust way in the integrated power system. In order to evolve to large DC multi terminal systems step-by-step, TSO need to be confident for a reliable operation, when implementing new HVDC converters or new DC components to the existing infrastructure.  

Up to now, a variety of HVDC technologies is already installed or planned in Europe. Currently, there is no common electrical interface among different vendors’ HVDC converters ensuring the correct interoperation between multiple converters. There was no need either due to point-to-point HVDC connections delivered by a single vendor. But to build the offshore energy production, and its connection to onshore consumption, an interconnected grid is needed. This requires interoperability among different vendors’ converters and technologies has become a need.

A distinction can be made between Technological interoperability on the one hand, that is about operation compatibility of different technologies (not mandatorily by different vendors). Assuring the correct operation of different technologies lies predominantly in the hand of the vendor. On the other hand, Vendor interoperability is about the operation compatibility of same technologies, but from different vendors and about the compatibility of different technologies, and from different vendors. 

The main barrier currently regarding vendor interoperability is the analysis and tuning of controls with different proprietary developments. 

Therefore, a standard interface would allow the TSO a detailed planning (for drawing specifications) and correct tuning for operation. In upcoming research projects, interoperability needs to be demonstrated in a real environment. 

Regarding HVDC cables, recurring to superconductivity technologies and namely High Temperature Cables (HTC) may be technically and economically convenient when the increase of transmission capacity need over a corridor requests the addition of more cables in parallel. Therefore, it would be beneficial to develop HTC technologies for Superconducting Transmission Lines (STL) to explore its potential in situations where very high amounts of power need to be transmitted 81 .

3.11.Hydropower

3.11.1.State of play of the selected technology and outlook

Hydropower has a history of providing clean electricity spanning more than 100 years in Europe. Between 1940 and 1970, significant hydropower developments took place in the EU27 and worldwide responding to increased electricity needs of growing population and economies. According to the IPCC special report 82 , Europe had developed 53% of the available technical potential in 2009, the highest share, globally. Despite that, and the capacity additions between 2009 and 2020, there is still sufficient untapped technical potential in Europe and because of aging plants major refurbishments will be necessary in the future, if the existing fleet is intended to be retained.

Hydropower includes stations operating with large water quantities stored in artificial reservoirs behind dams, run-of-river projects utilising the natural flow of water bodies, and pumped hydropower storage (PHS) that is the main form of bulk electricity storage for power systems. Closed-loop PHS, also known as pure PHS, pumps water in an upper reservoir in periods of low demand and uses it to produce electricity by releasing it to the lower reservoir through the turbines. Closed-loop PHS stations are not connected to natural watercourses and do not utilise natural (river) inflows. Mixed PHS stations, also known as pump-back facilities, utilise natural river discharge when in production mode in addition to the released stored water 83 . An additional type of systems is conduit hydropower that utilises the available energy in the conduit systems of e.g. water distribution, irrigation, and sewage networks. In terms of size, hydropower stations are distinguished in large-scale and small-scale, with a typical threshold being an installed power capacity of 10 MW (variations exist).

Hydropower is a low-carbon energy technology with no direct emissions. Advantages are the reliability of supply, very high conversion factors, base-load capability and low cost. It is increasingly valuable for balancing load and generation, due to its flexible operation. It can very quickly adjust its generation to balance short-term variations in the intra-day market, and supports security of supply for seasonal variations. It also supports frequency regulation and provides power system black start in the case of disruption. Therefore, modern hydropower can fulfil essential energy system services.

On the downside, hydropower can be responsible (or in case of multipurpose installations co-responsible) for ecosystem deterioration, especially in cases dam construction obstructs the natural river flow. Since 2000, new hydropower development in the EU has to fulfil higher sustainability requirements due to strict standards and associated legislation in place to protect ecosystems and the environment. Hydropower is like other major energy technologies at important policy crossroads as new stations support low-carbon energy production and the climate targets, but their construction and operation need to be balanced with protection of ecosystem biodiversity. Sustainable hydropower needs to achieve a good balance between the different policies and multipurpose plants can have important additional functions for the society, often more important than hydropower generation per se. This includes irrigation and drinking water provision, flood risk management, river navigation, recreation, and others.

The EU28 long-term strategy (LTS) modelling exercise provides future projections of hydropower development grouped together with wave, tidal, and biomass power 84 . Projections indicate small additions and average hydroelectricity generation of 375 TWh/year. The dedicated projections for PHS show higher deployment rates and 4 GW of new PHS until 2030 (total 51 GW). The anticipated 2030-2050 PHS growth varies between scenarios from 8 GW (Baseline) to 19 GW (ELEC). Under the 1.5TECH and 1.5LIFE scenarios PHS additions are below 2 GW since hydrogen and power-to-gas technologies cover for the storage services.

In September 2020, the Commission presented the Communication “Stepping up Europe’s 2030 climate ambition” accompanied by a document that presents model projections of the EU27 power system 85 . The share of hydropower is expected to decrease from the current levels (12.5% on average) to 9-10%, depending on the scenario. In absolute terms, however, hydroelectric generation will increase by 35 TWh/year across all scenarios. PHS is expected to increase at much higher rates than those anticipated in the LTS. Until 2030, 18-20 GW of PHS will be added reaching up to 65 GW of total installed capacity. Between 2030 and 2050 lower deployment rates are expected, 5-10 GW of PHS additions, depending on the scenario.

Capacity installed, generation

In late 2019, approximately 151.4 GW of hydropower capacity was installed in the EU27. Out of that, 105.8 GW is “pure” hydropower stations, meaning hydroelectric facilities that solely serve electricity generation (including multipurpose services mentioned above). Another 22.7 GW refers to closed-loop pumped hydropower storage (PHS) stations that serve bulk electricity storage using a reverse, pump-back operation. Closed-loop PHS typically utilises the surplus of electricity generation of non-flexible stations (nuclear, thermal, variable renewable energy sources) by pumping water in a closed system of two artificial reservoirs 86 . In addition to that, nearly 23 GW of capacity relates to mixed hydropower stations, meaning typical facilities installed in natural rivers that have the additional feature of electricity storage 87 , 88 .

Investments in hydropower have been only limited in the recent past. Since 2010, when the EU Renewable Energy Directive was approved, 8.3 GW of new power capacity has been installed in the EU27 with a compound annual growth rate (CAGR) equal to 0.56%. The global CAGR over the same period was 2.47% showing the much greater investments in hydropower outside the EU. Between 2010 and 2019 the globally installed hydropower capacity increased from 1025 GW to nearly 1308 GW, mainly driven by investments in China, where 150 GW of new hydro was installed over the last decade 89 .

In terms of generation, hydropower generates approximately 355 TWh in EU27, annually ( Figure 169 ). This is –on average– 12.5% of EU’s total net electricity production and represents one-third of the annual renewable electricity generation. In the recent past, the highest EU27 generation was recorded in 2014 and it was 386.9 TWh. Obviously, hydro generation shows an interannual variability that depends on the specific climatological characteristics of each water year. Figure 169  shows the evolution of installed hydropower in the EU27 between 1990 and 2019 along with the annual generated electricity in the background.

Figure 169 Installed hydropower capacity by type of station (GW) and net annual electricity generation (TWh) in EU27

Source 171 Eurostat energy statistics, 2019 and IHA, 2020

Hydropower productivity is not uniform across the EU and reflects the climatology of each region. This variability is typically shown by the Capacity Factor (CF) i.e. the degree the available water resources utilise the hydro infrastructure. Figure 170  shows the average CF of the hydropower fleet of EU Member States and shows the degree of interannual variability of generation. It also shows that hydropower in the Northern Member States has generally higher productivity than that of countries in Southern Europe. The average CF in EU is 36.7%, lower than the global weighted-average of new projects commissioned between 2010 and 2019 that was 48%.

Figure 170 Capacity factors of hydropower stations operating in EU member states. Average, minimum and maximum values for 2000-2019.

Source 172 Eurostat energy statistics, 2019

In the last five years (2015-2019), capacity additions in EU27 are mainly concentrated in Portugal, Austria, Italy, and France. This includes some large-scale PHS stations such as the Frades-II (780 MW) and the Foz Tua (270 MW) in Portugal and the Obervermuntwerk-II (360 MW) in Austria. Additions also refer to rehabilitation and upgrades of existing stations such as the La Bâthie, La Coche, and Romanche-Gavet projects in France.

Cost, LCOE

Hydropower is financially competitive with other electricity technologies achieving some of the lowest values of electricity generation costs. One of the main advantages of hydropower stations is that the low operation cost is generally very stable since it does not depend on fuel cost. Moreover, hydropower stations typically have a long service life typically assumed at 50 years, with the civil works even exceeding 80-100 years. In Europe the average age of the hydropower fleet is in many cases around 40 years, making it important not only to target additional capacity, but also to consider sustainable hydropower refurbishments in strategic energy planning. Hydropower is an exceptionally efficient renewable energy source and has a high conversion efficiency often exceeding 90%. On the downside, hydropower is capital intensive requiring large upfront investments. More importantly, licensing and construction periods can be long and complicated especially in large-scale projects (several years and in certain cases even exceeding 10 years).

In 2019, the global weighted-average LCOE for new hydropower stations was below EUR 0.04/kWh, 11.5% lower than the values reported for onshore wind and 30% lower than that for solar photovoltaics (PV) 90 . For Europe, the average 2015-2019 LCOE is higher – nearly EUR 0.10/KWh for large facilities and even higher for small-scale hydropower at EUR 0.12/KWh. The difference of hydropower with variable renewable energy sources (RES) such as wind and PV is that the deployment cost has a slightly increasing trend contrary to the decreasing costs of PV and wind. This is mainly due to the fact that the best sites for hydropower generation have already been exploited and the requirements in respect of sustainability and electricity market flexibility. Besides, almost half of the installation cost (45% on average) of a hydro project relates to civil works, the cost of which typically increases at rates subject to construction cost inflation.

Likewise, for large hydro, the 2019 installation cost in Europe was slightly higher than the global average (EUR 1450/kWh) value at EUR 1650/kW. This is lower than values recorded in North America, but clearly higher than the costs recorded in China. On the contrary, total installation costs for small hydro in the EU was the highest globally, approximately EUR 3800/kW. Hydropower stations are location-specific and each project has unique design characteristics. Accordingly, in regions where the best locations have already been developed such as the EU, the remaining technical potential usually refers to less advantageous sites and involves higher installation costs.

R&I

Despite hydropower’s technological maturity, research efforts are still ongoing and new concepts are emerging 91 . Recent hydropower research and development (R&D) efforts intend to improve the performance of sub-systems and components and to improve the sustainability and readiness of hydropower for modern power markets, including providing feasible business cases for the future. The aim is to further expand the range of capabilities and services hydro stations provide in light of the power system transformation. Accordingly, hydraulic design and mechanical equipment R&D focuses on expanding the flexibility of stations, to support a wide range of operation 92 and tackle specific interfaces of hydropower and the environment like sediment transport and fish protection. Such efforts relate to the operation and maintenance (O&M) and the lifespan of equipment of hydropower facilities, as well as the digitalisation of their operation and –importantly– decision-making at operational as well as strategic level. Equally importantly, while the GHG balance of hydropower is already very good, R&D explores options to minimise the further environmental impacts of hydropower.

Public R&I funding

In the recent past years (2009-2018), public spending for R&D in EU27 was at the range of EUR 16 million, annually 93 , 94 . The main hubs of public spending are Austria, Germany, Finland, France, Italy, Poland and Sweden. Annual public spending in hydropower R&D is generally not stable as it follows the implementation of targeted actions, short-term national policies and specific EU calls. This is shown in Figure 171  that presents the annual public spending in hydro R&D in EU Member States. It appears that while in certain MS funding is somewhat stable (Germany, France, Sweden), in several MS it is irregular and dominated by targeted investments in specific years. Compared to variable RES, hydropower public spending is nearly 9-10 times lower than that for wind and 15 times lower than that for solar PV 95 .

Figure 171 Public investments in hydropower R&D for the main EU member states over the period 2009-2018 (2019 data are only provisional).

Source 173 Pasimeni, F et al., 2018

The average public spending is on annual basis slightly lower than the annual public spending in Canada (approximately EUR 18 million annually) and higher than that of Norway (about EUR 10 million) and Switzerland (about EUR 8 million). US public investment is coordinated by the Water Power Program of the US Department of Energy. The Water Program (hydropower branch) budget is typically higher than the EU and it is notewrthy that in the recent past (2018-2020), its annual budget was increased from USD 17 million to USD 35 million 96 .

Concerning EU support to hydropower projects through the Horizon-2020 program, the latest analysis within the Low Carbon Energy Observatory 97 revealed that thirteen research and innovation projects will receive EUR 52.8 million from EU funds (their total budget is EUR 62.3 million). The duration of these projects ranges between 24 and 52 months.

Private R&I funding

Corporate R&D in the EU is generally the main driver of technological advances in hydropower (EUR 138.4 million in 2015) as it outbalances public investments 98 . Annual values between 2012 and 2015 range from EUR 88.0 million to EUR 146.1 million, while the annual average value is estimated at EUR 110.0 million. Compared to global spending, EU companies invest significantly higher amounts than companies in US, Japan, Korea, but Chinese companies are leading hydropower R&D 99 .

Patenting trends

Patents on hydropower are identified by using the relevant Y code families of the Coordinated Patent Classification (CPC) for climate change. Relevant to hydropower are the following classes of patents:

·Y02E Hydro energy: Energy generation through RES10/20 Hydro energy;

o10/22 Conventional

o10/223 Turbines or waterwheels

o10/226 Other parts or details

o10/28 Tidal stream or damless hydropower

·Y02B Integration of RES in buildings

o10/50 Hydropower

The present patent analysis was based on data available from the European Patent Office (EPO). Details of the analysis are described in detail in dedicated JRC publications 100 , 101 , 102 .

The number of patents for the main EU Member States and UK are provided in Figure 172  that covers the period 2010-2016.

Figure 172 Patent activity in selected EU Member States by number of inventions

Source 174 Kougias I, 2019

Figure 173 shows the number of inventions in EU27 as compared with the leading countries globally. China, which is not included in the graph, appears to be by far the most active country in hydro R&D (number of inventions >3000), partially also due to the different patenting procedure in the country. The average annual number of inventions in the EU increased from ≈20 in the 2000-2009 period to ≈60 for 2010-2016.

Figure 173 Patent activity in EU and selected countries by number of inventions

Source 175 Kougias I, 2019

Publications / bibliometrics

A bibliometric analysis using the ISI Web of Knowledge 103 shows that the number of records (research articles) concerning hydropower has been increasing in the past five years (from 1088 in 2016 to 1648 in 2019 and 1079 in 2020 until August). In terms of quantity, the hydropower knowledge production in EU27 is the highest, globally. Between 2016 and August 2020, EU institutions participated in the publication of more than 2100 articles (out of the total 6403) on the topic of hydropower, followed by China with 1681 records, and US with 618 records.

Figure 174 Bibliometric analysis: Number of records in EU and selected countries 01/2016 – 08/2020

Source 176 ISI Web of Knowledge

Leading country in the EU27 is Germany with 306 records, followed by Italy (286) and Spain (215). Significant production took place also in France (177), Netherlands (176), Sweden (170), and Austria (135). It is important to note that hydropower research covers a wide range of scientific areas: energy engineering, but also environmental and water resource sciences, geology, fisheries and many others.

Out of the total 6403 records, 71 articles are considered as highly cited, with EU27-based institution participating in the publication of 50 of them (China in 24 and US in 20). This is an indication of EU’s important role in influential R&D activities. In order to draw safe conclusions, however, a dedicated and detailed bibliometric analysis is required.

Leading funding agencies of the 2016-2020 production are several National Foundations of China, the National Council for Scientific and Technological Development and the CAPES in Brazil, followed by EU (H2020 and ERC programmes) the NSERC in Canada and the NSF in US.

3.11.2.Value chain analysis

Turnover

Estimations on the annual turnover of hydropower electricity generation in the EU27 place it at approximately EUR 12 billion in 2018 104 . Leading Member States in terms of turnover are Austria (EUR 2.85 billion in 2018), Italy (EUR 2.25 billion) followed by France (EUR 1.55 billion), Spain (EUR 1.18 billion) and Germany (EUR 1.06 billion).

Gross value added growth

Hydropower contributes EUR 25 billion to the EU28 (including the UK) gross domestic product (GDP), annually. The main part of this contribution is due to hydropower generation with about EUR 20 billion. Exports of hydropower equipment account for nearly EUR 1 billion and the remaining amount is tax. Hydropower’s contribution to EU28 GDP is expected to increase considerably by 2030 and exceed EUR 40 billion or even reach EUR 50 billion, depending on the scenario 105 .

Number of companies in the supply chain, incl. EU market leaders

A recent JRC research developed a database of EU27 companies active in the hydropower sector that includes 524 entries. The large part of EU-based companies are commercial companies (85%). These companies are active in the design, manufacture and supply of hydropower equipment, including automation and control systems. They are also active in consultancy, R&D, and the construction of civil works. A smaller number of companies are national (≈10%) and international (≈5%) organisations active in hydropower.

Figure 175  shows the number of companies in EU Member States. It highlights the main hubs of hydropower activity in France, Germany and Italy, but also shows that certain countries such as Austria, Spain, Sweden, and Czech Republic host a significant number of hydro companies.

Figure 175 Number of EU-based hydropower companies per Member State.

Source 177 Hydropower & Dams, 2020 106

Employment figures

Employment in hydropower industry spans various value chain elements as project design, manufacturing, project construction and O&M. The sector employment generally includes engineers, technicians, and skilled workers. It also provides employment to scientists studying the interaction of hydro with the environment, as well as a wide range of scientists working in corporate and academic R&D activities.

In the EU27, the number of direct jobs of hydropower is estimated between 74,000 and 87,000, while direct and indirect jobs together are estimated at 102,100 107 . Future projections show that hydropower direct employment in EU will remain rather stable between 78,000 and 88,000. The number of jobs in Europe as a whole is estimated at 120,000. Despite its relatively low share in the global employment market (4%), the EU industry holds an important share in global exports (see section Trade, below). According to a different source559, hydropower provides 42,000 jobs in power generation and another 5,000 in manufacturing, with almost another 30,000 jobs created in external services of hydropower.

Globally, hydropower provides direct employment to 2.05 million people, representing almost 20% of the total direct jobs in the renewable sector. More than 70% of jobs are on O&M; construction and installation represent 23% of total jobs with the remaining 5% being on manufacturing 108 .

Productivity (labour and factor)

Employees in the EU27 hydropower sector create on average an annual value of EUR 480 thousand in the generation sector and EUR 300 thousand in the manufacture 109 . This is 8 times higher than the average created value in the European manufacturing sector and ten times higher than the equivalent of the European construction sector.

ProdCom statistics

Eurostat regularly publishes data on “sold production, exports and imports” 110 . The main categories of goods associated with hydropower technology are: “hydraulic turbines and water wheels” (28112200) and “parts for hydraulic turbines and water wheels” (28113200).

Figure 176  shows the 2019 values (in EUR million) for the EU Member States. Overall, in 2019, the EU27 exported hydropower parts and turbines with a total value of EUR 322 million and EUR 99 million, respectively.

The cumulative EU27 imports accounted for EUR 142 million, which was the lowest recorded value since 2006. Imports refer mainly to parts for countries that are important exporters, indicating the presence of a processing market that uses parts to manufacture components or systems that can be exported. Notable is the exception of Sweden and Portugal, which are net importers of hydropower turbines and parts.

Figure 176 Value of hydropower exported/imported turbines and parts per Member State in 2019.

Source 178 Eurostat, 2020. Sold production, exports and imports by PRODCOM list

3.11.3.Global market analysis

Trade (imports, exports)

The global exports in 2019 accounted for EUR 878 million with EU countries holding 48% of this. The remaining exports are mainly coming from China and account for EUR 210 million (24%). India EUR 52 million, Brazil EUR 45 million, US EUR 30 million are also important export countries 111 .

The total value of imported turbines and parts in 2019, accounted for EUR 946 million 112 . This is the lowest value since 2007 and is significantly lower than the average of the previous 10-year period (2009-2018) that was EUR 1376 million, annually. EU imports accounted for 15% in 2019 (EUR 142 million). China moved from being the leading import country in 2007 to being almost independent from imports, as the country imported in 2019 equipment of a total value as low as EUR 2 million.  Figure 177  shows the main import markets, globally and the total value of the 2019 imported equipment.

Figure 177 Value of imported hydropower equipment in the leading global markets in 2019.

113

Global market leaders VS EU market leaders

The market performance of hydropower is usually connected to trade of hydropower turbines for large-scale projects. Hydraulic turbines are important components of a hydro station and a reliable proxy of the investment as it defines the power capacity of the station. As shown in the previous text (section number of companies) a large number of turbine manufacturers exists in the EU27 and globally, the majority of which focuses exclusively on small-scale turbines. The market of large-scale units –above 10 MW– is dominated by a rather small number of companies. This section focuses exclusively on the global market of large turbines which are typically hosted in projects worth several EUR hundred million (or even EUR multi-billion investments). In monetary terms, such investments represent a very large share of the global hydropower market. Besides, the small-scale market is not systematically monitored. An additional particularity of the hydropower market is that a significant part of investments is not monitored as it refers to the civil works and the associated consultancy services.

In the recent past, the leading hydropower turbine market has been China, followed by India, Brazil and Ethiopia. Accordingly, China-based technology companies received a large part of orders for hydro turbines. Between 2013 and 2017, Dongfang Electric and Harbin Electric sold approximately 40 GW of capacity in China. The penetration of EU-based companies in the Chinese market over the same period was significant with Voith Hydro providing 11.5 GW, GE 10.5 GW, and Andritz nearly 1 GW of capacity 114 . Accordingly, EU-based companies secured 35% of the total capacity orders in China over the analysed period.

Outside China, the three EU-based companies delivered 73.5% of the total orders in terms of capacity (2013-2017). Voith delivered 10.7 GW, Andritz 9.1 GW, and GE 6.6 GW. All Chinese manufacturers combined delivered 15.5% of total capacity. This shows that EU manufacturers have a leading role and are global leaders. The remaining share was almost equally divided between Japanese, Indian, and Norwegian companies.

In terms of number of sold units for large-scale stations worldwide, Andritz, Voith and GE held the leading positions in 2013-2017. In 2017 alone, the three EU companies sold 93 units (>10 MW) or 62% of the total number of sold units.

In EU, a large number of the existing stations is several decades old and will need to be refurbished. This is an opportunity for EU-based manufacturers and construction companies to provide parts and services and support economic growth.

Critical raw material dependence

Hydropower typically uses materials that are available in most parts of the world such as steel, concrete, and – to a lesser extent – copper. Indigenous materials are typically used and this explains the high added value of hydropower to the local economies. In terms of lifetime O&M, steel and copper is required for the replacement of runners, rotors and the windings of the generator, respectively.

Concrete is used for dam construction and the required civil works including the power station building. In large-scale stations, concrete may also be used in the construction of tunnels and caverns.

The manufacture of mechanical components for hydropower typically uses steel. The industry has optimized the production processes of hydraulic machinery with steel because of its mechanical strength and resistance to corrosion. In small-scale hydropower and hydrokinetic turbines, there is evidence of use of composite materials such as fibre-reinforced composites 115 . Copper is used at relatively lower quantities in the generator sets.

Hydropower development may involve substantial excavation and tunnelling. In such cases, significant amount for energy to run the appropriate machinery and explosives are also used. Naturally, some quantities of timber, aluminium, plastics are required for civil works – housing.

3.11.4.Future challenges to fill technology gap

An important barrier to large-scale deployment is the effort to simultaneously pursue renewable energy, climate, and environmental goals. Measures to protect the environment hamper new dam construction in rivers. To date, targeted efforts to assess specific impacts and develop mitigation technologies produced significant results (e.g. fish ladders). However, future challenges lie on developing integrated approaches to achieve an environmental-friendly hydropower including the challenging aspects of implementation and monitoring after licensing.

In order to respond to the increasing needs for flexibility of operation, hydropower electro-mechanical equipment needs to reach higher levels of digitalisation, which is not a trivial exercise as wireless communication possibilities are limited within the dam constructions. This is also required to optimise operation, facilitate O&M, reduce costs, and –equally important– to increase resilience against physical and cyber threats. Existing hydro facilities were, in many cases, built decades ago. A future challenge lies on how to incorporate up-to-date advancements of the IT sector on existing and operating stations that currently use obsolete systems. Operational decision-making integrating lifetime and maintenance planning with operation at liberalised power markets is also an important challenge particularly concerning existing plants.

Developing low- and very low-head stations as well as hydrokinetic turbines has been the aim of numerous research and deployment activities. This is due to the considerably lower disruption and impacts compared to conventional reservoir hydropower. Also, the untapped low-head potential in the EU remains large. However, low-head technologies although they are technically feasible for a wide range of settings, they are often not economically viable and/or face major difficulties to scale successfully.

3.12.Industrial heat recovery 

3.12.1.State of play of the selected technology and outlook

The European Green Deal aims to transform the EU into a modern, resource-efficient and competitive economy with an economic growth decoupled from resource use and aiming at zero net emissions of greenhouse gases by 2050. As its emissions account for about 21% of EU GHG emissions, the industry will play an important role in meeting this overall aim. According to scenarios formulated under the European Commission Long-Term Strategy 116 , industry could reduce its emissions by up to 95% by 2050. The use of heating in industry is responsible for 60% of the total energy consumption in industry.

But the overall industry sector includes very diverse sectors, ranging from the very high temperature sectors of steel, cement glass and non-ferrous metals, where heat is supplied directly to process, through sectors which use direct heat and steam, such as chemicals, to lower temperature sectors where heat is predominately delivered to process via steam, such as pulp & paper and food & drink. This diversity of operations within industry means that deep emission reductions can only be achieved by deploying a multitude of solutions.

Figure 178 Heat Streams, origin, and their temperature by colour code – ultra-low-T-dark-blue<120°C, 120<low-T-light-blue-yellow<230°C, 230<medium-T-yellow<650°C, 650<high-T-brown<870°C, very-high-T-red>870°C

Source 179 Oak Ridge National Laboratory Report 117

These various low-emission innovation pathways include inside factory processes, which are not directly related to energy consumption. Using excess heat that can’t be used inside the factory to supply energy in the form of heating or electricity to other consumers as a way to increase the energy efficiency of the system was one of the key elements of the Commission’s Energy System Integration Strategy of last July 118 , and therefore this is the focus of this chapter. 119 This section focusses on the enhancement of industrial heat utilisation, namely on improving energy efficiency (including reduction of energy consumption) through the recovery of the industrial excess (waste) heat, including its upgrade and its conversion to power.

Industrial heat recovery is a process by which heat generated in or for an industrial process, that otherwise would be wasted, is recovered and utilised. It may involve the following operations: heat recovery, heat upgrade (to higher temperature or pressure), heat transport, heat storage, and finally heat use internally in the industrial plant or externally in another plant within an industrial cluster or in urban heating networks. Alternatively, heat can be converted to other energy vector, e.g. mechanical power or electricity.

Technology description and developments

Heat recovery

Often the most economically viable and less process-disturbing solution is to recycle excess heat in the process itself, using passive recovery technologies: either for combustion air preheating, for inlet products pre-heating, or for use in another (lower temperature) process of the same plant (cascading use of thermal energy). These heat recovery processes are based on well-established equipment, like recuperators, regenerators, economisers (types of heat-exchangers).

In cases where the excess heat from a process is utilized in another industrial plant or in district heating, the most common options are: heat transfer to water or other fluid (gas-to-water exchangers); air heating for process or space heating (gas to gas heat exchangers); steam generation (boilers), pressurized steam generation. Heat pipe heat exchangers allow for heat recovery under harsh conditions in a wide temperature range in industrial processes, where conventional heat exchangers may not be viable or operating costs are too high.

There is still room for improvement of heat exchangers, especially in harsh conditions, to avoid fouling, slagging, corrosion; including for example the development of new geometries, materials to reduce pressure drop and footprint area; automated multidisciplinary design in conjunction with innovative manufacturing techniques (e.g. 3D-printing), new probes, sensors and optimisation of maintenance intervals, etc. for reducing capex and opex costs

Heat upgrade

Heat upgrade refers to the increase of temperature (and pressure for gases) of a heat source which is accompanied by an input of energy, either heat or electricity. Technologies include heat pumps, and possibly some pressurisation device, like pumps, fans or compressors (e.g. mechanical vapour recompression MVR), among others.

Heat pumps are based on the inverse organic Rankine cycle principle and can upgrade lower temperature heat sources, including industrial excess (waste) heat, into higher temperature process (supply) heat. It is a cost-efficient way to electrify heat generation, and to greatly improve energy efficiency and hence to reduce GHG emissions. Concerning heat pumps with supply temperature up to 150°C, some products are commercially available but in general its performance and cost is not market-ready yet, and this technology is at TRL 6-7 today. The same goes for heat upgrade up to supply temperatures of 200°C - 250°C and for heat upgrade up to supply temperatures of 350°C (or even 400°C) that are not yet economically viable, being at TRL 3-4 today.

Absorption heat transformers (AHT) 120 are a type of absorption heat pumps that are primarily driven by low-grade heat and produce higher temperature heat. Depending on the quality of the waste source, AHT can convert up to 45% of the waste heat to useful energy. The main difference with other technologies is that AHT systems use a working fluid pair with a refrigerant and an absorbent, thermally activated, and therefore reduces dramatically electrical requirements.

Heat-to-power conversion systems

A technology that has been in use for many years for the conversion of thermal energy into mechanical or electrical energy is the steam Rankine cycle power plant. Aside from the conversion of primary energy, the steam power plant is also used for the conversion of industrial excess heat. Nevertheless it is suitable only for the conversion of relatively large thermal energy sources at temperatures around 300 °C or above, due to the constraints imposed by the thermo-physical properties of water as a working fluid and its impact on the feasibility and cost of the turbomachinery.

However, the Rankine cycle concept can be realized also with other working fluids, and the selection of the appropriate working fluid makes this technology very flexible when it comes to the conversion of any waste heat stream, both in terms of capacity and temperature level. Currently, Rankine cycle working fluids other than steam are made of organic molecules (i.e. containing one or more carbon atoms), therefore the resulting installations are called Organic Rankine Cycle (ORC) power plants. Simple molecules, like carbon dioxide (CO2) are suitable for large power capacity, while more complex molecules are better suited to lower temperature and lower capacity power plants. The maximum temperature of the cycle depends on the thermal stability of the fluid.

Emerging technologies for heat-to-power conversion include the Trilateral Flash Cycle (TFC), as well as Thermo-Electric power Generation, Piezo-electric power generation, thermionic generation, thermo photovoltaic generation. The advantage of direct thermal-to-electrical conversion systems is the absence of moving parts, but their efficiency and maturity are generally very low, hence they are not considered further in this report.

The appropriate technologies are displayed in Figure 179  as a function of the temperature and power output of the Rankine plant. Systems featuring carbon dioxide as working fluid are termed “supercritical” (sCO2) because they operate at pressures and temperatures which are beyond the critical point of the working fluid 121 .

Figure 179 Comparison of different operating range of heat to power conversion technologies

 

Source 180 Matteo Marchionni, Giuseppe Bianchi, Savvas A. Tassou1 (2020): Review of supercritical carbon dioxide (sCO2) technologies for high-grade waste heat to power conversion

ORC systems for industrial heat recovery are commercially available for temperatures of the waste heat source from approximately 100°C up to 5-600°C and power output of tens of kW up to few MW. Economic viability varies greatly and larger systems at higher temperatures are currently more successful, with exemplary installations in the cement, glass, and steel industry and as bottoming cycles of medium- and small-size gas turbines and stationary internal combustion engines. The efficiency of these systems is good considering the thermodynamic potential of the heat source, 122 as it goes from 12-15% for low-temperature system to 25-28% for high-temperature and larger systems. Concerning the specific case of supercritical CO2, so far, industrial heat recovery by sCO2 cycle power plant has been proven only at small laboratory scale in Europe. 123  

However, the potential is still large for improvements of the techno-economic performance, as well as for its wider application to the conversion of more types of waste heat streams, both in terms of capacity and temperature level, as described more in detail below:

·innovative thermodynamic cycle configurations. The theoretical exploration of innovative cycles, to tackle specific waste heat flow characteristics, and its experimentation can improve efficiency and reduce CAPEX and OPEX;

·development of ad hoc working fluids and mixtures. Fluids that are in line with the new regulations are currently accounting for 15-20% of the CAPEX, which is not acceptable for the sector, so in practice flammable fluids are still being used. Beside CO2, existing organic fluid are unstable above maximum 350°C and the existing fluids are explosive/flammable above 250°C, making it difficult to use even in an industrial environment. Developing new high T°, low cost, non-flammable organic fluid would raise the efficiency and application range of ORC. The performance of the thermodynamic cycle can also be improved by adopting an appropriate mixture as working fluid, due for example to the better thermodynamic coupling with the heat source and sink, or, as in the case of supercritical cycles, in order to avoid very high pressure;

·direct evaporation: Using direct evaporation will improve the overall efficiency of ORC system and should reduce their cost, by eliminating the indirect evaporation heat exchangers. One of the main issues will be to use a fluid capable to withstand high temperature, particularly alkanes fluids that are explosive or replace them with safe cost-effective engineered fluids like mixtures;

·Develop self-adaptive (machine learning) control algorithms for managing transient conditions and avoiding misbehaviour and instabilities of existing plants, due to impurities in working fluids, non-condensing gases in the cycle, temperature drifts (hot/cold side) and degradation of the working fluid. Thereby avoiding negative impact on lifetime;

·expansion turbines (expanders), compressors and pumps. In recent times, theoretical, numerical and experimental research has improved design methods and guidelines that are specific for ORC fluid machinery, (more specifically sCO2 compressors, given that the compression must occur close to the critical point of the working fluid). However, further experimentation would allow to validate these innovative methods, to devise and verify specific design tools over a large operation range and transfer them to industry. Pumps specifically designed for ORC applications are not commercially available, therefore substantial improvements would be possible, for example, by properly characterizing cavitation in organic fluids, or by using modern aeroacoustics methods to reduce the noise of ORC pumps and compressors;

·turbomachine bearings, sealings and balancing: Existing large ORC turbines technology remains traditional with hydrodynamic bearings or ball bearings and mechanical seals. Future ORC turbine solution could include hermetic turbines with self-lubricating or no-lubrication bearings (e.g. active magnetic bearings). For electricity generation, the generator could be included in the same hermetic casing providing increased compactness to the turbo-generator block and avoiding dynamic sealing on the shaft. These configurations, together with the balancing of plants, could increase the safety and reliability of these machines rotating at high speed;

·integration and demonstration in industrial environment in different processes, thermos-hydraulic coupling of supercritical ORC cycle with low temperature as well as high temperature heat storage.

Capacity installed, generation

The industrial heat needs can be categorised in very low temperature (<100°C), low temperature (100 - 200°C), medium temperature (100 – 500°C) and high temperature (>500°C), as depicted in Figure 180 .

Figure 180 Breakdown of the recent energy demand in EU industry by application (left) and process heating demand by temperature level (centre) and energy source (right)

Source 124

Within the EU industrial sectors, up to 1/3 of the energy utilized in industrial thermal processes is discharged to the environment (lost, wasted), yet it could be further converted into a useable form of energy (usable heat), thus greatly reducing emissions. The potential for utilisation of thermal energy that is currently discarded is estimated at 300-350 TWh/yr compared to the total industrial energy consumption of 3217 TWh in 2016 125 .

Table 14 Excess heat potential in EU28 per sector complemented by calculations on conversion top electricity

Source 181 H2020 project RED-Heat-to-Power 126

Organic Rankine Cycle (ORC) (source 127 )

As of December 31st, 2016, the ORC technology represents a total installed capacity around 2701 MW, distributed over 705 projects and 1754 ORC units. Figure 181  depicts the total installed capacity and the total number of plants divided by application.

Power generation from geothermal brines 128 is the main field of application with 74.8% of all ORC installed capacity in the world; however the total number of plant is relatively low with 337 installations as these applications require large investments and multi-MW plants.

With 376 MW of installed capacity in the world, and 39 MW of new capacity in construction (16 projects), the industrial heat recovery market is still at an early stage but has long passed the demo/prototype phase. The main application is largely heat recovery from Diesel or gas engines and turbines, with 65% of the total installed capacity.

Figure 181 ORC systems capacity and market share

Source-?

Figure 182 ORC capacity per application

Source 182 Thomas Tartière et al. / Energy Procedia 129 (2017) 2–9

Industrial heat pumps

Heat pumps sales in Europe are dominated by space and domestic hot water heating applications. Small units account for the largest volumes, i.e. in buildings. This market is growing fast, as sales in 2018 were at 1,25 million units with was a 12% compared to 2017. The market is young though, with a total stock of installed capacity in the EU of 11,8 million units. Growth is expected mainly in air-water and air-air heat pumps, but there is also considerable growth expected in larger units. (source EHPA, Dec 2019). The industrial heat pumps market in the EU is growing, with 2813 units sold over the period 2009-2016, as depicted in Figure 184 .

Figure 183 Origin of products sold in Europe

Source 183 EHPA, Dec 2019

Figure 184 Number of industrial heat pump sold in EU (showing only countries with reported sales)

Source 129

Cost, LCOE

The cost of recovering thermal energy from industrial processes is very dependent on each case: on the temperature and pressure, on the heat carrying fluid (solid, liquid, type of gas …) and its cleanliness (dusty, corrosive …), on its flow size and time variability. The value of the recovered heat then strongly depends on how and where the heat can be used (locally in the process/plant, in another plant, in a district heating network …), as well as on the cost of transferring the heat to another carrier (liquid water, steam …) and transporting the heat to the point of use. It is therefore very difficult to provide cost data for thermal energy recovery and proved not to be feasible for this report.

The cost of electricity produced from industrial excess heat is therefore also very case dependent. It can however be estimated in some specific examples, as follows:

·a typical 3 MW high temperature ORC power plant in a cement plant complete with waste heat recovery system on industrial fumes will cost around 7.5 MEUR or 2.5 EUR/W and will generate electricity at around 70 EUR/MWh without subsidies. A smaller ORC in a glass container factory will generate electricity without subsidies at around 100 EUR/MWh 130 ;

·even more favourable situations like recovering syngas from an industrial process which would otherwise be burnt in a flare and burning it in a syngas boiler would give room to large 8-10 MW high temperature ORC systems and could cost around 1,5 MEUR/MW producing electricity at 40-45 EUR/MWh without subsidies;

·electricity currently produced by ORC power plant at an LCOE between 30 and 50 EUR/MWh, based on depending on CapEx and assuming between 5000 and 7500 operating hours per year. Capex between 2 to 3.5 EUR/Wel depending on ORC size, type of application (clean gas or dirty gas), layout constrains, etc… Lifetime: more than 25 years. Operation & Maintenance cost: 1-2% of total CapEx per year;. ORC Conversion efficiency from heat to electricity (Wel/Wth input to ORC) between 18 to 28% depending on heat source temperature, ambient air temperature and ORC size. Efficiency increases with higher source temperature and with lower cold source temperature. (source: Turboden internal evaluation);

·based on literature data, the equipment unit cost for simple regenerative sCO2 power cycles ranges between 0.8-1.7 EUR/W installed, not taking into account the installation costs. Depending on the temperature level of the heat source a performance benefit of 2-4%-point (cycle efficiency) vs water/steam can be derived. Assuming that the heat is obtained at zero cost, the LCOE can be estimated to approx. 40 EUR/MWh. It is assumed that a further cost reduction economic can realized by future improvements and cost reduction measures (source: Siemens Energy AG internal evaluation).

The cost of producing heat by means of Heat Pumps can be compared with traditional gas boilers in a typical example of a heat pump of 217 kW operating in Germany. The operating cost depends on the relative costs of gas (for boilers) and electricity (for heat pumps), taking into account the efficiency of the boiler (e.g. 85%) and the COP of the heat pump (e.g. 3.95), as depicted in Figure 185 . Because of higher upfront costs, the payback period of heat pump is longer, ranging from 2 to 10 years depending on the cases, with an average of 4.8 years 131 . Overall, the total cost of ownership over a 20-year period comes at an advantage for the heat pump in most EU countries, as depicted in Figure 186 .

Figure 185 Example operating costs of heat pumps and gas boilers in Germany and Austria – fuel, for heat pump is for electricity, bi-annual fuel prices for 2019S1

Source 184 Bloomberg NEF, based on IEA, Eurostat

Figure 186 Total cost of ownership for a 20-year period, for a heat pump of 217kW, compared to a boiler, for different electricity and gas prices, assumed to operate at 90% capacity annually, no discount rate - Industrial retail electricity price (Euro per kWh)

Source 185 Bloomberg NEF, McKinsey&Company, Eurostat, IEA annex 35

R&I

Public and private R&I funding

H2020 calls relevant for the industrial heat/cold recovery and upgrade 132 :

LC-SC3-EE-6-2018-2019: Business case for industrial waste heat/cold recovery, 4 projects, total cost: EUR 12.5m, total public funding: EUR 11.4m, total private funding: EUR 1.1 million;

LC-SC3-EE-13-2018-2019-2020: Enabling next-generation of smart energy services valorising energy efficiency and flexibility at demand-side as energy resource, 4 projects, total cost: EUR 14.0m, total public funding: EUR 11.7m, total private funding: EUR 2.3m for the 2018 and 2019 calls;

LC-SC3-CC-9-2020 Industrial (Waste) Heat-to-Power conversion to be closed on 1st September 2020, expected one project, public funding EUR 14m, private funding not yet known;

SPIRE-EE-17-2016-2017 - Valorisation of waste heat in industrial systems (including heat upgrade), 3 projects, total cost: EUR 16.7m, total public funding: EUR 13.3m, total private funding: EUR 3.4m for the 2018 and 2019 calls.

National projects on heat pumps:

DK – project SuPrHeat - high-temperature heat pump technologies with supply temperatures of up to 200 °C, with a heat supply capacity of 500 kW. Public funding: DKK 34.2m; private funding: DKK 27.1 million 133 ;

DK – project EUDP N°64010-0026 SteamHP - Utilisation of low grade industrial waste energy by means of new emerging high temperature heat pumps;

FI – project SkaleUp – Heat pump, industrial pilot installation 300 kWh @115°C. Project budget: NOK 400 million 134 ;

NL – project FUSE - Full Scale Industrial Heat Pump Using Natural Refrigerants. Public funding: EUR 0.93 million.

Patenting trends

Patents related to heat recovery are identified amongst the relevant Y02P code family (climate-change mitigation technologies in the production or processing of goods).

The following classes of patents were selected:

Code

Description

Y02P 10/265

Metal processing: process efficiency by heat recovery

Y02P 10/271

Metal processing: process efficiency low temperature heat recovery

Y02P 10/274

Metal processing: process efficiency medium temperature heat recovery

Y02P 10/277

Metal processing: process efficiency high temperature heat recovery

Y02P 20/129

Chemical industry: improvement of production processes by energy recovery

Y02P 40/53

Glass production: Reusing waste heat during processing or shaping

Y02P 40/535

Glass production: Regenerative heating

Y02P 70/129

Improving processes for machines shaping products: heat recovery during rolling

Y02P 70/275

Plastics: reusing heat

Y02P 70/405

Drying: with heating arrangements using waste heat

Y02P 70/623

Artificial filaments - Energy efficient measures, e.g. motor control or heat recovery

Y02P 70/639

Textiles: Energy efficient measures, e.g. motor control or heat recovery

Y02P 70/649

Wall covering: Energy efficient measures, e.g. motor control or heat recovery

Y02P 70/58

Heat recovery or efficiency measures related to manufacturing vehicles

Y02P 70/60

Heat recovery or efficiency measures related to electric components

Y02P 80/152

Sector wide applications: heat recovery

 

The present patent analysis was based on data available from the European Patent Office (EPO). Details of the analysis are described in detail in dedicated JRC publications 135   136 .

Figure 187 shows the patenting activity in the EU27, by Member State, between 2010-2017 (note that 2017 is not complete).

Figure 187 Heat recovery related patents by EU Member States

Source 186 EPO

The patenting activity in the EU-27 is dominated by Germany, which filed more patents than all other EU countries combined. France is the second most active country, but filed less than half as many patents and Germany. Both in France and Germany, patenting activity was relatively constant between 2010 and 2017.

Figure 188 below shows the patenting activity between the EU and other major economies. When selecting only patents that are protected in more than one country, a measure of high-value patents, the EU emerges as the most active patenting region in heat recovery. With more than twice as many patents filed as the second places countries, Japan and the US.

Figure 188 Global patenting activity in heat recovery technologies (high-value patents)

Source 187 EPO

Due to the different patenting procedures in China, when patents protected in only one country are included in the analysis, China is the dominant patenting actor with over 3500 patents filed, as shown in Figure 189 . In this patenting measurement, the EU falls into third, but its activity remains similar to that of Korea and Japan, and ahead of the US.

Figure 189 Global patenting activity in heat recovery technologies (all patents)

Source 188 EPO

Publications / bibliometrics

Using SCOPUS 137 , a bibliometric analysis of the four heat recovery technologies – turbomachines, heat exchangers, heat recovery systems and heat upgrade systems, was performed to compare the research activity in this field.

Turbomachines: There seems to be active research on turbomachines, with 4024 published research papers between 2010 and 2016. Figure 190 shows that the EU-27 is the most active region in that field globally, with around 30% of all published papers linked to an EU research institution, followed closely by China and the US, with around 23% each.

Figure 190 Publications on turbomachines by country, 2010-2020

Source: JRC, Scopus 138

Heat exchangers: Heat exchangers in industry have also been an active research area, with 4624 publications between 2010 and 2020. A similar regional pattern emerges, as shown in Figure 191 . The gap between the EU and the other regions however is more pronounced. Authors from EU institutions appear on 30% of all published paper, while China and the US account for around 18% and 13% of publications respectively.

Figure 191 Publications on heat exchangers by country, 2010-2020

Source: JRC, Scopus 139

Industrial heat recovery systems

A bibliometric search on industrial waste heat recovery systems yielded 1216 published papers between 2010 and 2020. As shown in the figure below, the EU and China are clear leaders in that field of research, with EU research institutions authoring 33% of the output and China 28%.

Figure 192 Publications on waste heat recovery and industry by country, 2010-2020

Source: JRC, Scopus 140

Heat upgrade systems

Research activity on heat upgrade systems is evaluated based on the number of publications on heat pumps, the main heat upgrade technology described in section 1.4. Heat pumps are an extremely researched area, with 15762 published papers between 2010 and 2020. As shown in Figure 193 , the EU and China are leading this research by a very wide margin, with each region affiliated to one third of the published output.

Figure 193 Publications on heat pumps by country, 2010-2020

Source: JRC, Scopus 141

Narrowing down the bibliometric analysis to research on heat pumps and industry, a much smaller number of publications (1449) remains. Figure 194 shows that in this more specific research field, the EU is clearly the most active region in terms of research output, with nearly twice as many publications more than China, the second most active contributor.

Figure 194 Publications on heat pumps and industry by country, 2010-2020

Source: JRC, Scopus 142

Publications

Publications by year

Analysing the publication output on heat recovery technologies by year, there has been clear increase in the number of publications from 2015 onwards, mainly driven by the increase in papers on turbomachines (more than doubled between 2015 and 2017). In relative terms, research output on waste recovery in industry has seen the biggest increase in activity, with five times as many paper published in 2019 than in 2010.

Figure 195 Publications by heat recovery technology, 2010-2020

Source: JRC, Scopus

Publications by EU MS

Figure 196 shows the top ten EU countries by publications in all four technologies above. Germany is the most prolific knowledge producer overall, as well as in three out of the four technologies. The top three knowledge producing countries – Germany, Italy and France – participated in more publications (1743) than all other EU countries combined (1663).

Figure 196 Top ten EU countries by publications, 2010-2020

Source: JRC, Scopus

Considering the bibliometric analysis of all four technologies above, the EU and China seem to be the most active regions in the field of heat recovery by a considerable margin, and heat pumps in particular are an extremely researched technology. It must be noted however that a more detailed bibliometric analysis would need to be undertaken to draw more exhaustive and reliable conclusions.

3.12.2.Value chain analysis

Turnover / Number of companies in the supply chain, incl. EU market leaders / Employment figures

Below an overview of the main companies, and where available their number of employees, their turnover (globally and/or in the EU) is presented, as well as the products that these companies produce. This has been split up as above, with a table on the industry involved in turbines, compressors and Heat-to-Power (H2P) systems, and a table focusing on industrial heat pumps.

There are many global companies active in this business for which EU-specific data were not available (NA) for this report. Considering that the market for turbomachines etcetera is much larger than the market for industrial heat pumps, with many more actors, a separate table for companies active in this area without EU operations is included.

For industrial heat pumps, considering it is an emerging market, the table specifies in what segment companies are active.

It also needs to be noted that the market for turbomachines includes much more than just systems used for heat recovery, but it was not possible to obtain specific heat recovery data for this market for this report. Gross value added growth figures were not available for this report.

Turbomachines (Turbines, compressors), Heat-to-Power (H2P) system integration

Table 15 Companies with operations in EU

Companies with operations in EU

Country

Nb of employees World

Nb of employees in EU

Turnover World

Turnover in EU

Products

Ansaldo Energia (acquired Alstom in 2016)

IT, FR

3,451 (2019)

€984m (2019)

Turbomachines, H2P

Baker Hughes - BH

TPS 143  business headquarter in IT (+ FR, DE, UK), Company headquarter in US

68000

25000

$23.8bn

$6bn

Turbomachines, drilling, sensing, software, valves, etc

Doosan Škoda Power

CZ

1,150

CZK 4.3bn

Turbomachines, H2P

GE Power (part of GE Co.)

US, IT

205,000 (GE Co., 2020)

NA

$95bn (GE Co., 2019)

NA

Turbomachines, H2P

MAN Energy Solutions (VW group)

DE

14,400 (2013)

NA

€3.4 (2013)

NA

Turbomachines, H2P

Mitsubishi Power Europe (Mitsubishi Power, JAP)

UK, IT, JAP, 17 countries

18,000 (world)

IT: 1100, other EU: NA

JPY 1.12tn 144  (2019)

NA

Turbomachines, H2P

Turboden (part of Mitsubishi Heavy Industries)

IT, JAP

NA

250

€64m (2019)

€50m

Turbomachines, H2P-ORC

Siemens Energy AG

DE, and 90+ countries world

91,000

NA

€28.8bn

NA

Turbomachines, H2P

Enertime

FR

30

30

€5m

NA

Turbomachines, H2P-ORC

Solar Turbines Europe (Caterpillar)

US, BE

392

NA

$453m

NA

Turbomachines,

Exergy (acquired by CN) 145

IT

NA

NA

NA

NA

Turbomachines, H2P-ORC

Other companies, active in excess/waste heat recovery, but without activities in the EU28, include:

·India – BHEL, Triveni Turbines;

·China – Dong Fang Turbine Works, Shanghai Turbine Co, Harbin Turbine, Hangzhou Turbine Co;

·Korea – Doosan Heavy Engineering Co;

·Brazil – TGM Turbinas, NG Turbine Co;

·Russia – Power Machines, Ural Turbine Works.

Industrial Heat Pumps (sink temperature > 100°C)

(NB: small size heat pumps and large heat pumps for district heating networks are covered by the CETTIR fiche on Heating and Cooling).

Table 16 Companies with operations in EU

Manufacturer

Country

Nb of employees

Turnover

Source temperature °C

Sink temperature °C

Thermal power kW

ECOP

AT

NA

NA

-20 - 110

150

400 - 700

Enertime

FR

30

EUR 5m

15-120

80-170

2000-10000

ENGIE-Refrigeration

DE

NA

NA

70 - 80

120

1000

Epcon Evaporation Technoloyg

NO

20

NA

60-110

100-150

1000-10000

Hybrid Energy

NO

NA

NA

15 - 75

75 - 110

800 - 1400

Kobe steel

JAP

NA

NA

25 - 65

120

370

Mayekawa

BE, JP

NA

NA

80-100

140

NA

Ochsner Energietechnik GmbH

AT

NA

NA

NA

130

Up to 1500

Olvondo Technology AS

NO

NA

NA

80-100

130-180

200-400

SPP

US

NA

NA

-20 - 110

200 (°F or °C tbc)

400 - 500

Turboden (Mitsubishi Heavy Industries)

IT

250

EUR 64m (2019) 146  

10-75

90-120

5000 - 20000

Viking Heat

NO

NA

NA

30 - 100

80 - 150

28 - 188

Including also domestic, district and industrial heat pumps, there are 103 manufacturing sites in Europe 147

Industrial Heat Pumps – market prospects 148

 

There is a big untapped potential for industrial heat pumps, that can contribute in an important way to the reduction of emissions and the improvement of efficiency in industry. According to industry, Heat pumps for temperatures up to 100°C have the potential to cover 222 TWh/a or 11% of the process heating demand in European industry as depicted in Figure 180 . This could lead to CO2 emission reductions in the order of 51 Mt/a. 149 , 150  At present, there are a limited number of suppliers able to provide systems for temperatures higher than 100°C. In general, these systems are not considered to be mature technology.

In the case that heat pumps also become a mature technology for the supply of heat in the temperature range of 100°C to 200°C, an additional 508 TWh/a or 26% of the total process heat demand can potentially be emission free, with potential additional CO2 reductions in the order of 95 Mt/a.

Combining the two market segments, (i.e. applications up to 100°C and applications in the range of 100°C to 200°C) heat pumps could deliver 730 TWh/a or 37% of the process heat in industry, with a corresponding CO2 emission reduction potential in the order of 146 Mt/a. Being a cross-cutting technology, heat pumps will be applicable to multiple industrial subsectors. Assuming that heat pumps can reach temperatures of 200°C, they will have high potential for the pulp and paper (230 TWh/a), food and beverage (123 TWh/a), chemical (119 TWh/a), non-metallic minerals (43 TWh/a) and machinery (41 TWh/a) sectors 151 .

The European heat pump sector (Including domestic, district and industrial heat pumps) employs a well-trained workforce in R&D, component and heat pump manufacturing, installers, and service and maintenance. A recent European Heat Pump Association report described the industry as an economic force and provider of local labour 152 . The expansion of the sector to establish products and solutions for industrial applications will further drive innovations, stimulating the creation of numerous jobs and contributing significantly to the European economy. Under the assumption that an industrial heat pump market can be established within Europe with a market rollout of 37 TWh/a per year, i.e. 5% of the total potential (730 TWh/a for applications up to 200°C), the total turnover for the entire value chain is estimated to be in order of EUR 2.3 billion/a, leading to the creation of 14,500 new jobs. Technology export will facilitate the creation of further revenue and jobs.

3.12.3.Global market analysis

Global market leaders and EU market leaders

Organic Rankine Cycle (ORC) – source 153

As of December 31st, 2016, the ORC technology represents a total installed capacity around 2701 MW, distributed over 705 projects and 1754 ORC units. Figure 197 .1 (left part) depicts the total installed capacity and the total number of plants divided by application.

Power generation from geothermal brines is the main field of application with 74.8% of all ORC installed capacity in the world being in the EU; however the total number of plants is relatively low with 337 installations as these applications require large investments and multi-MW plants. As a result, only a few established companies (ORMAT, Turboden Exergy, Atlas Copco and TAS) have been active in this capital-intensive sector.

With 376 MW of installed capacity in the world, and 39 MW of new capacity in construction (16 projects), the heat recovery market is still at an early stage but has long passed the demo/prototype phase. The main application is largely heat recovery from Diesel or gas engines and turbines, with 65% of the total installed capacity. ORMAT (US) has been very active in this field with 24 plants around 3-8 MW installed along gas pipelines in the US and Canada. Turboden (IT) follows with 80 MW in 34 plants of average size around 2.5 MW. Using exhaust heat from combustion engines or turbines is easier than industrial heat recovery. Despite their apparently large heat recovery potential, Cement & Lime (9 projects) and Glass (8 projects) industries count for only a small share of the heat recovery market with approximately 100 units.

Table 17 List of ORC manufacturers/designers, with number of installed units and total installed capacity, before DEC 31st, 2016

Manufacturer

ORC units

Total MW

Manufacturer

ORC

units


Total MW

Manufacturer

ORC units


Total MW

ABB

2

3.8

Enogia

11

0.26

Orcan

16

0.3

Adoratec

23

16.4

Enreco

1

0.15

ORMAT

1102

1701

BEP - E-rational

20

3.6

Exergy

34

300

Rank

5

0.07

Calnetix CETY

50

6.3

General Electric

6

101

TAS

17

143

DürrCyplan

6

1.2

GMK

18

5.3

TMEIC

1

1

Electratherm

55

3.14

gT - Energy Tech

2

0.7

Triogen

37

5.2

Enerbasque

3

0.13

Johnson Control

1

1.8

Turboden

267

363

Enertime

2

1.6

Kaishan

40

27.2

UTC Power

10

2.8

Enex

1

9.3

Opcon

3

2.0

Zuccato

21

1.7

Figure 197 Capacity, market share per manufacturer, per application

Source Thomas Tartière et al. / Energy Procedia 129 (2017) 2–9

Supercritical CO2

The table below shows the main companies active in the development of sCO2 technologies. One of the latest technology developments has been realised by ECHOGEN Power Systems (US), which offers a heat recovery system EPS100, rated at 8 MWel with an efficiency of 24% for waste heat supply at +532°C. But this is based on the use of a condensing cycle which inevitably requires a low temperature cooling water for the heat rejection, thus limiting its use.

Table 18 Technical feature of the first prototypes of sCO2 turbines and compressors commissioned and operating in the different academic and industrial organisations involved in research on sCO2 power cycle

Institution

Type

Rotational speed (RPM)

Diameter (mm)

Power (kW)

Design point (°C/bar/kg/s)

Turbines

 

 

 

 

 

BMPC

Radial

55,000

45

100

282/141/2.1

SWRI/GE

Axial

n.a.

n.a.

1000

700/250/8.4

Echogen

Radial

30,000

n.a.

8000

275/n.a./n.a.

KIER

Axial

45,000

73

93

216/123/1.5

KAIST

Radial

80,000

325

n.a.

435/125/5.0

Compressors

 

 

 

 

 

KAIST

Radial

35,000

272

100

33/78/6.4

Source 189 Review of supercritical carbon dioxide (sCO2) technologies for high-grade waste heat to power conversion, Marchionni et al., SN Applied Sciences, 2020

Critical raw material dependence

This is not an issue, considering that industrial heat recovery typically uses materials that are available in most parts of the world and in the EU in particular, such as steel (for heat exchangers and turbomachines, special alloys for high temperature and corrosion resistance), minerals (for refractories of heat exchangers), and –to a lesser extent– copper and other silicon/germanium materials needed for the control electronics.

3.12.4.Future challenges 

ORC systems for industrial heat recovery are commercially available for temperatures of the waste heat source from approximately 100°C up to 5-600°C and power output of tens of kW up to few MW. The major obstacle to the widespread adoption of ORC waste heat recovery technology is economic viability, which depends on the possibility of operating in a fair economic playing field, where the external costs of emissions would be accounted for.

Fortunately, the potential for improvements of the techno-economic performance is still large, thanks to the advancements in building-block sciences, technologies and design and operation methods. Key technology developments include designing innovative thermodynamic cycle configurations, finding alternative (non-flammable) fluids and mixtures that are able to withstand high temperatures, as well as developing specific turbines, compressors and pumps for ORC (including supercritical CO2) systems. Also, integrating and demonstrating their use in an industrial environment, and using advanced control algorithms to better manage irregularities in the process will contribute to the further development of the market for this technology.

Heat pumps

IEA HPP-IETS 154 identified barriers to the deployment of industrial heat pumps, which are still valid today, the main ones being:

·the integration of heat pumps in industry requires knowledge of both the capabilities of heat pumps as well as the underlying process in which they can be applied. Currently, there are limited installers and decision makers which possess this combined knowledge;

·many end-users have a lack of awareness of their heating requirements or consumption, meaning identifying heat pump integration opportunities is laborious or largely time consuming;

·in some cases, the technology is available, but high payback periods lead end-users to conclude that no feasible business case exists for installation of a heat pump. The high payback periods can be attributed to high initial capital costs, or to an unfavourable price of electricity relative to the alternative fossil source, as well as uncertainties in the boundary conditions (gas, electricity, CO2 price) which determine the business case for a heat pump;

·there have been limited cases to demonstrate and prove the reliability of novel heat pump technology in an industrial environment over short time periods but this is not sufficient to introduce a new technology to the market. To tackle this barrier, demonstration projects in various industrial sectors would demonstrate the benefits, reduce the risks and foster deployment of existing but novel heat pumps (today up to 150°C);

·in other cases, the technology for a specific application is not yet available. For instance, the process temperature level is higher than what can be delivered by commercially available heat pump technology. Indeed, the technologies capable of supplying process temperatures in the range 150-250°C and beyond 250°C are today at lower TRLs. R&I can help in identifying new cycles and refrigerants (compliant with F-gas regulation. Further R&I would increase the technological readiness, in order to cover more applications in more industrial sectors. The market potential in industry for such heat pumps needs to be better understood because their COP needs to be above 3 to be economically viable; this is limiting to applications where the excess heat temperature is not too far from the sink temperature 155 .

3.13.Nuclear energy 

[This report focuses on the energy technologies that are needed to achieve climate neutrality in 2050. Based on the modelling and scenarios of the European Commission 156 , nuclear energy is included in this report. This inclusion is not to be considered as a view on the question on whether nuclear energy is a clean technology in the wider sense or not.]

3.13.1.State of play of the selected technology and outlook

Nuclear energy generation is called to play a key role during the next decades in achieving a decarbonized economy by 2050, mainly due to its contribution to ensuring security of supply. The expected increase of intermittent renewable generation, combined with the current lack of storage technologies, will cause the European power system to face a growing need for flexibility. As the COVID-19 crisis has shown, nuclear energy has proved itself to be both dispatchable and flexible, and will continue to be critical avoiding a significant increase in the energy dependency to imported fuel.

Another essential factor that places nuclear power as a crucial energy source is that it contributes to reducing the power system emissions. IPCC’s 2014 Climate Change Report 157 ranks nuclear energy amongst the lowest emitting energy sources considering its whole lifecycle. The probability to fully decarbonise the economy is higher if it features at least a stable nuclear share, as it grants reduced emissions in the transition phase and less cliff-edge effects in the long term.

On 2018, the European Commission adopted a long-term climate strategy – A Clean Planet for All 158 . According to its projections, by 2050 around a 15% of electricity will be coming from nuclear power, being considered as the backbone of a carbon-free European energy system. Also, within the framework of the Commission´s Taxonomy Regulation 159 , the Technical Expert Group (TEG) on sustainable finance acknowledged that nuclear energy generation has near to zero greenhouse gas emissions in the energy generation phase, contributing to climate change mitigation, and that its potential role of nuclear energy in low carbon energy supply is well documented.

Capacity installed, generation

Nuclear energy has been used for civil purpose (energy production, both electricity and heat) since 1950s. Currently, 441 power reactors in 31 countries are in operation worldwide with 391 GW total electrical capacity 160 . The oldest reactors are still in safe operation over 50 years and the majority of the nuclear fleet is over 30 years. With the long-term operation (LTO) licensing processes, the power reactors can operate safely for 60 years and even up to 80 years 161 . These nuclear power plants are about the 6% of the total installed capacity and provide 11% of the produced electricity 162 . In 2019, the nuclear produced about 33% of low carbon electricity worldwide.

In the EU28, there were 126 power reactor units in operation with 14 Member States with 118 GW total electrical capacity 163 . After the UKs withdrawal from the EU, the remaining fleet is 111 power reactor units with 109 GW total capacity. This capacity is more than 10% of the installed total capacity (1011 TW in 2017) 164 . In terms of the electricity production, the nuclear energy share in 2018 was about 28% in the EU27 165 , which is about half of the low carbon electricity production. In terms of district heating and industrial process heat production, nuclear energy provided around 300 GWh of electric equivalent heat in several EU27 countries (Bulgaria, Czech Republic, Hungary, Slovakia and Romania) in 2018 166 . The average age of the nuclear fleet in EU28 is about 35 years 167 168 .

Concerning the future of nuclear energy, the International Atomic Energy Agency (IAEA) foresees two scenarios. In the high-end scenario, the nuclear electrical capacity will increase up to 554 GW by 2030 (39% increase over current level) and 874 GW by 2050 (119% over current level). However, in the low case scenario, the nuclear energy capacity will decrease by 2030 a 14% of the current level (345 GW) but will slightly increase until 2050 up to 382 GW (96% of the current level). The global electrical generation capacity projected by the IAEA is up to 9.826 GW by 2030 and 12.908 GW by 2050, therefore nuclear energy contribution can vary between 3% and 6.8%. The share of the nuclear energy in the total electricity production can decrease from the current 11% level to 7.8% by 2030 and 6% by 2050 in the low case scenario, however can be slightly increase up to 12.4% by 2030 and 13.7% by 2050 in the high case scenario.

The future of the nuclear energy in the EU was examined in the Commission’s Nuclear Illustrative Programme PINC 169 170 at 15% (99-121 GW in 2050, including UK) and it was emphasised that nuclear energy will remain an important component in the energy mix in EU in 2050.

Nevertheless, a recent IEA report entitled ‘EU 2020 Energy Policy Review’ 171 highlights the issue that “without new policy action at the national level, nuclear power capacity in the EU could fall to 5% by 2040.” It goes on to flag the negative implications of such a situation: “This may have implications not only for the cost of electricity but also the security of supply at a regional level, if not properly studied and addressed. To keep the nuclear energy option open for 2030 and beyond, the EU needs to maintain a level playing field for the financing of nuclear, to support lifetime extensions and new plants in countries where nuclear is accepted, and foster safety and waste disposal for the decommissioning of existing plants”.

Cost, LCOE

The cost of the nuclear energy is composed of capital cost, plant operating costs, external costs and other costs. 172 The capital costs include the site preparation, construction, manufacture, commissioning and financing a nuclear power plant. The overnight cost is the capital cost exclusive of financing charges accruing during the construction period. The overnight cost includes engineering, procurement and construction (EPC) costs, owners' costs (land, cooling infrastructure, associated buildings, site works, switchyards, project management, licences, etc.) and various contingencies. The overnight cost in EU28 is about USD 5,500/kW 173 , and it varies between USD 2021/kW and USD 6215/kW worldwide (for instance USD 3500/kW in China and USD 4100/kW in US). 174  

Table 19 Overnight investment costs

Overnight investment Costs

EUR'13/KWe

2020

2030

2040

2050

Nuclear III gen. (incl. economies of scale)

5300

4557

3873 175

3485

Small Modular Reactors

1800-4500

Refurbishment of existing nuclear reactors

400-800

Source 190 FORATOM, 2020

Lessons learnt in Europe are already allowing similar projects in other parts of the world to be delivered at lower costs and lead-times (e.g. the Taishan EPR projects). Nuclear cost reductions are therefore expected by nuclear experts across Europe (UK 176 , France 177 ) with the aim of a 30-35% cost reduction by 2030 compared to current projects. Cost reductions will also be achieved through a combination of technical (e.g. twin projects) and organisational factors (e.g. restructuring of the European nuclear supply chain).

In addition, beyond 2030, learning by doing and innovation should also allow for future cost reductions. This point was, for instance, noted by the European Commission in its PINC staff working document (pp 13, Box 2) based on a survey of the economic literature, which studied historical cost data. Overnight cost data for 2040 and 2050 are therefore be calibrated based on an experience curve as a function of cumulative nuclear new build in Europe between 2020 and 2039.

The 2016 edition of the World Nuclear Association's World Nuclear Supply Chain report considered capital costs by activity and in terms of labour, goods and materials:

Table 20 Capital Costs by Activity.

Design, architecture, engineering and licensing

5%

Project engineering, procurement and construction management

7%

Construction and installation works:

 

      Nuclear island

28%

      Conventional island

15%

      Balance of plant

18%

Site development and civil works

20%

Transportation

2%

Commissioning and first fuel loading

5%

Total

100%

Source 191 World Nuclear Association, 2016

Table 21 Capital Costs by Labour, Goods and Materials

Equipment

 

Nuclear steam supply system

12%

Electrical and generating equipment

12%

Mechanical equipment

16%

Instrumentation and control system (including software)

8%

Construction materials

12%

Labour onsite

25%

Project management services

10%

Other services

2%

First fuel load

3%

Total

100%

Source 192 World Nuclear Association, 2016

The plant operating costs include the cost of fuel and of operation and maintenance (O&M). Fuel cost figures include used fuel management and final waste disposal. The US Nuclear Energy Institute suggests that the cost of fuel for a coal-fired plant is 78% of total costs, for a gas-fired plant the figure is 87%, and for nuclear the uranium is about 14% (or 34% if all front end and back-end – waste management – costs are included). The front-end fuel cost is composed of mining and concentration (“yellow cake”) cost (43%), conversion cost (8%), enrichment cost (27%) and fuel fabrication cost (22%).

Figure 198 Breakdown of operating costs for nuclear, coal and gas generation

Source 193 Nuclear Energy Institute, 2017

Based on this model and calculation and assuming a burn-up rate of 45,000 MWd/tU, 1 kg uranium produces 360 000 kWh electricity, hence the fuel cost was 0.39¢/kWh in 2017. The 'back-end' of the fuel cycle, including used fuel storage or disposal in a waste repository, contributes up to 10% of the overall costs per kWh, or less if there is direct disposal of used fuel rather than reprocessing. The USD26 billion US 178 used fuel program is funded by a 0.1 cent/kWh levy.

Operation and maintenance (O&M) costs account for about 66% of the total operating cost. O&M may be divided into ‘fixed costs’, which are incurred whether or not the plant is generating electricity, and ‘variable costs’, which vary in relation to the output. Normally these costs are expressed relative to a unit of electricity (for example, cents per kilowatt hour) to allow a consistent comparison with other energy technologies.

Decommissioning costs are about 9-15% of the initial capital cost of a nuclear power plant. But when discounted over the lifetime of the plant, they contribute only a few per cent to the investment cost and even less to the generation cost. In the US they account for 0.1-0.2 cent/kWh, which is no more than 5% of the cost of the electricity produced.

In Europe, also several reports are saying that the costs of the back-end fuel cycle (radioactive waste management and decommissioning) is estimated at 1.75 – 2 EUR/MWh.

External costs are not included in the building and operation of any power plant, and are not paid by the electricity consumer, but by the community generally. The external costs are defined as those actually incurred in relation to health and the environment, and which are quantifiable but not built into the cost of the electricity. The European Commission launched a project, ExternE, in 1991 in collaboration with the US Department of Energy – the first research project of its kind "to put plausible financial figures against damage resulting from different forms of electricity production for the entire EU". The methodology considers emissions, dispersion and ultimate impact. With nuclear energy, the risk of accidents is factored in along with high estimates of radiological impacts from mine tailings (waste management and decommissioning being already within the cost to the consumer). Nuclear energy averages 0.15 euro cents/kWh, much the same as hydro; coal is over 4.0 c/kWh (4.1-7.3), gas ranges 1.3-2.3 c/kWh and only wind shows up better than nuclear, at 0.1-0.2 c/kWh average 179 .

In the Nuclear Energy Technology Roadmap 180 (OECD NEA / IEA, 2015 edition), the total investment needs was calculated about 4.4 trillion USD 181 in the period of 2015 – 2050 to reach the estimated 930 GW nuclear capacity worldwide by 2050. In the EU according to PINC, for the same period to maintain the nuclear electrical production capacity between 95-105 GW, will require 660-770 billion EUR investment (including UK), where the long-term operations requires 45-50 billion EUR, the new built power reactor units contributes with 350-450 billion EUR investments and the decommissioning and spent fuel management needs 123 and 140 billion EUR.

R&I

The Research and Training Programs of the European Atomic Energy Community (2019–2020) and (2021-2025) focus on the safety of nuclear systems, radiation protection and radioactive waste management. These work programs give particular attention to innovations in the safety of reactors and in decommissioning by supporting technology transfer from the research community to industry.

For research infrastructure, the work programs launch actions aiming to maximise the safety of existing and future research reactors. The work programs also contain research topics and actions in nuclear fission to support the implementation of the Nuclear Safety Directive and other related legislation which concerns nuclear systems and safety, management of radioactive waste, spent nuclear fuel and radiation protection/low-dose risk, nuclear safeguards and security. Currently, the main areas for R&I are:

·Harmonisation and development of common industrial standards for EU nuclear infrastructures (conventional and future solutions) throughout their lifetime (construction, operation, decommissioning and waste management). This will allow to build a common framework for energy policies and win from economies of scale through the development of harmonised licensing processes and a competitive and sustainable nuclear supply chain. The scope to the Euratom R&I programme should be broadened in order to address future gaps between 2030-2050;

oFor example, R&I investment should be balanced between the existing fleet and new build enabling investments. Indeed, there are several refurbishment programmes in EU for LTO which require investment and innovative ways of use of supply chain. Furthermore, EU investment in SMRs R&I should be significantly increased as part of a clear strategic vision on supporting conditions for deployment in EU.

·Safety and security of SMRs and advanced reactors (including Gen IV). SMRs and advance reactors can play important role in the energy security, diversification and flexibility of the future low-carbon energy systems. This advanced technology would face to special challenges concerning to safety, physical protection and non-proliferation (nuclear safeguards) matters. Research activities in connection with this challenges would be very important to reach the ambitious climate goals of the EU; 

·Radioactive waste management, including research activities on high-level waste disposal facilities, developing the appropriate model calculations to simulate the aging and its potential consequences of the waste disposal facilities and quantifying the risk and the potential harm can caused by the interim waste and spent fuel storage installations (in case of accident).

The majority of Member States operating nuclear power plants intend to dispose of their spent fuel in deep geological facilities without reprocessing. Currently, three countries have an established plan to develop geological disposal facilities. Finland is the first country in the world where the construction of a deep geological facility has begun, and is expected to be in operation in 2024. Sweden (2032) and France (2035) will also complete the construction of a deep geological facility during the next decade.

However, EU R&I in this field should not focus solely on Deep Geological Repositories (DGR). As highlighted in the latest NEA report 182 , DGR projects are advancing in the EU. It would therefore be positive to broaden the scope of this research area to include options for reducing the radioactive life of the waste (e.g. transmutation), the development of new reactor technologies which generate less waste and options to recycle the waste in other industries (e.g. space applications).

Public R&I funding

In line with the Euratom Treaty, the Commission supports actions through the existing financing instruments that help improve the safe use of nuclear energy, namely nuclear decommissioning assistance programmes, research on safety and waste management and on the development of nuclear fusion energy technologies through the ITER project.

Research and innovation in nuclear energy is mainly promoted through the Euratom Research and Training Programme, which complements the EU research and innovation framework programme "Horizon Europe", providing funding to both established and new technologies. The financial support under the Euratom Research and Training Programme is dedicated only to the safety aspects of new nuclear technologies.

Nuclear safety receives the largest amount of public R&I investment among all SET Plan actions, in the order of EUR 1 billion per year. France is the major investor in nuclear safety R&I, contributing almost half of all public investment at EU level (47.5%).

Figure 199 Public R&I Investment in the EU

Source 194 Energy R&I financing and patenting trends in the EU, JRC, 2017

The EU also provides funding for the International Thermonuclear Experimental Reactor (ITER) project, located at Cadarache (France). It is aimed at demonstrating the feasibility of nuclear fusion as an unlimited and relatively clean source of energy. It is planned that first plasma, the point at which the ITER device is deemed operational, will be achieved by 2025. The completion of the project is foreseen for 2035.

The conclusions 183 adopted by the European Council on July 2020 secure funding for nuclear research and innovation in the instruments deployed by both the EU Recovery Plan and the Multiannual Financial Framework (MFF) 2021-2027.

Budget for Horizon Europe will be 80.9 billion euros (75.9 billion from MFF and 5 billion from the “Next Generation EU” recovery plan. The ITER project will receive funds directly from the 2021-2027 MFF, a total of 5 billion euros.

In order to support nuclear safety in Europe, a specific support coming from the MFF will be granted to the decommissioning of three nuclear power plants: 490M to Ignalina in Lithuania, 50M to Bohunice in Slovakia and 57M to Kozloduy in Bulgaria. In addition, EUR 448 million for nuclear safety and the decommissioning of the EU's own installations will be provided, for a total funding of 1045M.

Private R&I funding

In contrast, contributions to R&I from the private sector are very limited, just under 400 million euros in recent years. The majority of private R&I investment comes from the French private sector (UER 232.5 million), followed by Germany (109.5 million).

Figure 200 Private R&I Investment in the EU

Source 195 Energy R&I financing and patenting trends in the EU, JRC, 2017

Patenting trends

In its 2017 study “Energy R&I financing and patenting trends in the EU”, the JRC assessed available patent data based on the European Patent Office PATSTAT database (EPO, 2017). This data show that patent numbers regarding nuclear safety have been increasing, from 19 in 2008 to 81 in 2013. However, they still only make up a small fraction (~1%) of the total patents in the SET Plan actions, which are 6,609. France is the EU country with a larger share of EU patents in the nuclear sector (58.7%), almost multiplying by five the number of patents in 2013 compared to 2008.

Figure 201 Trends in Patents in the EU

Source 196 Energy R&I financing and patenting trends in the EU, JRC, 2017

Globally, patent data should be compared using a specialisation index, based on the patenting intensity in each SET Plan action. For nuclear safety patents, it reveals that in the reference period 2007-2013 the EU is less specialised in nuclear safety and lags slightly behind the rest of the world, although the difference has reduced from -0.5 in 2007 to -0.2 in 2013.

Figure 202 Global Specialisation Index

Source 197 Energy R&I financing and patenting trends in the EU, JRC, 2017

Publications / bibliometrics

The International Atomic Energy Agency (IAEA), the world's central intergovernmental forum for scientific and technical co-operation in the nuclear field, currently has available in its website 479 non-serial scientific and technical publications 184 , ranging from 1960 to 2020. The most frequent topics are "nuclear power reactors", "legal affairs", "nuclear power and climate change" and "economic studies". There is also an extensive overview of nuclear accident reports.

Semantic Scholar 185 shows around 71,000 results for publications containing “nuclear energy”. There were 2,020 publications in 2019, an amount that has been stable every year for the past decade.

3.13.2.Value chain analysis

Turnover

The annual turnover of the nuclear industry in the EU28 (its direct impact) is EUR 102.5 billion 186 , and includes all the activities directly associated to nuclear power generation. The impact generated through suppliers in the nuclear supply chain, the expenses of the industry’s direct employees, together with the expenses of the suppliers’ employees in the EU28 economy (its indirect impact) is estimated in EUR 404.9 billion. As a result, the overall impact (direct and indirect impacts combined) of the nuclear sector on the European GDP totals 507.4 billion EUR in 2019, which represents a 3-3.5% of the EU28´s GDP. The multiplier effect of the nuclear industry in the EU28´s economy generates an indirect impact of 4 Euro and an overall impact of 5 Euro for every Euro of direct impact.

Gross value added growth

Currently, there are 13 EU countries with nuclear power generation (Belgium, Bulgaria, the Czech Republic, Germany, Spain, Finland, France, Hungary, the Netherlands, Romania, Sweden, Slovakia and Slovenia). The impact of nuclear power generation in these countries derives from both the direct contribution of the sector to GDP growth, job creation and paid taxes, and also from its indirect effects (the suppliers and employees’ contributions).

The other 14 EU countries lack nuclear power generation (Austria, Cyprus, Denmark, Estonia, Greece, Croatia, Ireland, Italy, Lithuania, Luxembourg, Latvia, Malta, Poland and Portugal). Nevertheless, there is also a positive impact deriving from nuclear power generation, due to the interconnectedness of the national economies and labour force markets. EU countries without nuclear capacities have qualified workforce and subcontractors which expertise and technologies for the nuclear industries in other member states with nuclear power, which generates both direct and indirect effects in the non-nuclear countries.

The nuclear industry has also a positive effect on the disposable household income, which is the amount of money that households have available for spending and saving after income taxes have been deduced. Currently, the nuclear industry generates a total disposable household income of 383.1 billion Euro. This amount is the sum of its direct impact in household income (employees directly working in nuclear power plants) and its indirect impact (both into the incomes of employees throughout the nuclear supply chain and the incomes of the industry’s direct employees’ and the suppliers’ employees), which amount to 106.2 billion Euro and 276.9 billion Euro respectively.

This implies that every Euro generated as direct impact of the EU28 nuclear sector generates an indirect impact of 2.6 Euro and a total of 3.6 Euro in disposable income among European households.

Finally, taxes deriving from the EU28 nuclear sector activity significantly contribute to the national budgets of EU member states. The total impact on public revenues generated through the nuclear industry amount 124.2 billion Euro, mainly composed by indirect taxes (VAT) and personal income and corporate income taxes.

The current direct impact that the nuclear industry has on state revenues through tax contributions amounts to 34.4 billion Euro, whereas the indirect impact amounts to 89.8 billion Euro. Here, for every Euro payed directly by the nuclear industry through taxes, 2.6 Euro are generated as indirect tax revenues and 3.6 Euro as total public revenues throughout the EU28.

Number of companies in the supply chain, incl. EU market leaders

At the EU level, FORATOM is the trade association for the nuclear energy industry. Its membership is made up of 15 national nuclear associations and the companies that they represent, and 3 Corporate Members, Fermi Energia (Estonia), CEZ (Czech Republic) and PGE EJ1 (Poland). Nearly 3,000 firms are represented, from large nuclear utilities and nuclear fuel cycle companies, to other companies engaged in the transport of nuclear materials and the management of radioactive waste.

Table 22 FORATOM´s Members,2020

Belgian Nuclear Forum

Bulgarian Atomic Forum

CEZ

Fermi Energia

Finnish Energy

French Nuclear Industry Association

Hungarian Nuclear Forum

Italian Nuclear Association

Nucleair Nederland

Nuclear Industry Association

PGE EJ1

Romanian Atomic Forum

Slovak Nuclear Forum

Slovenian Nuclear Forum

Spanish Nuclear Industry Forum

Swedish Atomic Forum

Swiss Nuclear Forum

Ukrainian Nuclear Forum Association

EU market leaders in front-end nuclear activities are French companies Orano and Framatome (formerly both known as Areva). Orano processes nuclear materials and offers high value-added products and services for the entire nuclear fuel cycle, from raw materials to waste processing. Its activities, ranging from mining to decommissioning and including conversion, enrichment, recycling, logistics and engineering, contribute to the production of low-carbon electricity. Orano currently has 16,000 employees.

Framatome designs, services and installs components, fuel, and instrumentation and control systems for nuclear power plants. Its more than 14,000 employees work every day to help Framatome’s customers supply ever cleaner, safer and more economical low-carbon energy. Framatome is owned by the EDF Group (75.5%), Mitsubishi Heavy Industries (19.5%) and Assystem (5%).

Another major European company is Urenco, focused on the nuclear fuel supply chain, including mining, conversion, enrichment and fabrication. It owns and operates enrichment plants in Germany (Gronau), the Netherlands (Almelo) and the UK (Capenhurst).

During operation, most of EU´s electric utility companies operate and own nuclear facilities and play an active role in their national nuclear energy industry: For example, Electrabel (Belgium); CEZ (Chech Republic); TVO (Finland); EDF (France); MVM (Hungary); Slovenské Elektrárne (Slovakia); and Iberdrola, Endesa and Naturgy (Spain).

Regarding back-end activities, German companies GNS Gesellschaft für Nuklear-Service and Nukem Technologies are specialised in providing services in the field of radioactive waste disposal and decommissioning of nuclear facilities.

Employment figures

The nuclear industry directly creates 351,900 jobs through the industry’s performance. These jobs indirectly sustain other 777,900 jobs (suppliers in the nuclear sector and jobs created through the expenditures of both the industries’ employees and suppliers’ employees in other economic sectors). Overall, the nuclear industry accounts for 1,129,800 jobs. 47% of these jobs are considered highly skilled. In the electricity sector, the average share of highly skilled employees is considerably lower and varies between 25% and 36%.

The nuclear life cycle can be separated into three major phases. The construction phase takes approximately 10 years, and employs 9,600 workers in the EU28. The main activities during the this phase can be divided in field craft labour and field non-manual labour. The field craft labour category comprises civil, electrical, mechanical, piping and instrumentation personnel used during the installation and start-up of the units, and represents the 70-75% of the construction workforce (70-75%). The field non-manual labour comprises of field management, field supervision, field engineers, quality assurance/quality control, environmental-safety and health and administrative/clerical staff and accounts for approximately 25-30%.

Operation phase is estimated to last around 50 years and creates 258,600 jobs in the EU28 (including operation in power plants and nuclear fuel cycle). It implies engineering, materials and services, operations, maintenance, support services, training and management activities.

Finally, the decommissioning phase is usually expected to be completed after 10 years and generates 83,700 jobs. It involves project management and engineering activities that range from site restoration, environmental services and waste management services.

ProdCom statistics

Eurostat´s ProdCom database 187 includes the production value for parts of nuclear reactors (NACE code 2530). The EU27 produces a total of 102 billion euros in import value, the three leading countries being France (36 billion), Sweden (15 billion) and Finland (14 billion). On the export side, the EU27 produces a total of 68 billion euro value, led by Germany (35 billion), Czechia (9 billion) and Sweden and France (both 7 billion).

Table 23 Import and Export values of nuclear reactor parts (in thousand euros) 188 . Eurostat, 2019

 

3.13.3.Global market analysis

Trade (imports, exports)

Trade balance expresses the difference between the value of the exports and the imports from/in a country/region. Currently, the nuclear sector generates an annual trade surplus of 18.1 billion Euro in the EU28 (exports therefore being higher than imports), including both direct and indirect impact.

Imports include all the products and services required for the building and operation of the nuclear power plants, together with the acquisition of other goods and services for other indirect purposes (additional purchases of imported consumption products, resulting from increase in wages or additional salaries paid by the nuclear sector). Exports resulted from the nuclear activity are represented by the sales of electricity generated by the nuclear industry, but also by the indirect exports (increase of exports of manufacturing industry due to lower electricity prices).

Globally, international trade in nuclear goods is a small market. The payments for nuclear contracts include high amounts but are spread out over about many years and, above all, there are relatively very few large contracts. In 2000-10 the global export market amounted to orders for only two new reactors a year, some awarded following a call for tenders, others by mutual agreement.

A nuclear power plant comprises a pressure vessel, steam generators, piping and a control room, as well as other associated equipment to generate electricity with steam. As with any thermal power plant, it is necessary to install turbines, alternators, capacitors and such. The specifically nuclear part of a plant accounts for approximately half its cost, with the conventional part making up the rest. However, other activities must also be included, like trade in uranium, fuel, maintenance services, spare parts, reprocessing of spent fuel and waste management.

Nuclear markets are shifting from the United States and Western Europe to East Asia, the Middle East, South America, and Eastern and Central Europe. This has important implications for the global nuclear landscape after 2030. The U.S. Department of Commerce estimates the global civil nuclear market to be valued between $500 and $740 billion over the next 10 years 189 .

Global market leaders VS EU market leaders

The major companies in the nuclear industry sector globally are part of the World Nuclear Association. WNA´s 181 members are responsible for virtually all of world uranium mining, conversion, enrichment and fuel fabrication; all reactor vendors; major nuclear engineering, construction, and waste management companies; and most of the world's nuclear generation. Other members also provide international services in nuclear transport, law, insurance, brokerage, industry analysis and finance.

One of the major nuclear industry companies is China General Nuclear Power Corporation (CGNPC), which operates four nuclear power plants in China, with five new nuclear power stations under construction and another two planned. With 39,000 employees worldwide, CGNPC is the largest nuclear power operator in China and the largest nuclear power constructor worldwide. It has also diversified its business to other energy sources such as wind energy, solar energy and hydropower.

Rosatom Nuclear Energy State Corporation. It is a state-owned holding company for all Russian nuclear sector, including nuclear power related companies, nuclear weapons companies, research institutes and nuclear and radiation safety agencies.

Other important nuclear companies are Tokyo Electric Power Co. (TEPCO), the largest nuclear operator in Japan, which operates three nuclear power plants; and Bruce Power (Canada), a partnership among Cameco Corporation, TransCanada Corporation, and BPC Generation Infrastructure Trust operating 8 nuclear reactors at the Bruce Nuclear Generating Station, the world's largest operating nuclear facility.

The world’s largest producer of uranium is Kazatoprom, in Kazakhstan. The company produced over 12,000 tons of uranium in 2017, 21% of the world’s uranium production. The company operates 26 deposits grouped into 13 mining assets all located in Kazakhstan.

Other main uranium mining companies are Cameco (Canada). In 2017, the company produced 9,155 tons of uranium, a 15% in the total world’s production; BHP Billiton, a British-Australian firm which owns the Olympic Dam mine which is the largest uranium deposit; and Energy Resources of Australia, a subsidiary of Rio Tinto Group, which provides 11% of the world's uranium production, operating the Ranger Uranium Mine.

When compared globally, the only main EU27 uranium producing company is Orano (France), which produced 8,031 tons of uranium, accounting for 13% of the world’s production, which mainly comes from the McArthur River and Cigar Lake mines in Canada.

For the operation phase, total energy production should be used to compare EU´s market globally. The EU27 currently has 111 active reactors out of 441 (25%), which generate 109GW out of 391GW globally (27%). However, nuclear energy in the EU27 energy mix stands at around 27% while is only 11% worldwide.

Critical raw material dependence

The main raw material dependence within the nuclear industry is uranium. In a nuclear reactor, uranium fuel is used to achieve a controlled fission chain reaction by splitting U-235 atoms. This generates heat which is used to make steam, which in turn spins a turbine to drive a generator, producing electricity.

Globally, the 441 active reactors require around 79,500 tonnes of uranium oxide concentrate which contain around 67,500 tonnes of uranium each year. Although there is an increasing fuel demand, it is balanced by an increase in efficiency. It is estimated that each GW of increased new capacity will require about 150 tU/yr of extra mine production routinely.

In 2019, mines supplied around 63,000 tonnes of uranium oxide concentrate containing 53,500 tU, an 80% of the annual needs. The rest is obtained from stockpiles of uranium. At the end of 2018, the stockpiled uranium was estimated at 280,000 tU (90,000 tU in Europe and the US, 120,000 tU in China, and 70,000 tU in the rest of Asia). As a result of the mine shutdowns caused by the COVID-19 crisis, the industry has been relying on these stockpiles, which have capped uranium prices for the last decade. However, as stockpiles are consumed, uranium price is rising from less than 24$/Lbs to current 32$/Lbs 190 .

Uranium ore can be mined by several methods (underground, open-cut or in situ leaching), although before it can be used in a reactor for electricity generation it must undergo a series of processes to produce a useable fuel. It is necessary to first convert the uranium oxide into a gas (uranium hexafluoride, UF6), which enables it to be enriched. Enrichment is the process of increasing the proportion of the uranium-235 from its natural level (0.7%) to 4-5%.

After enrichment, the UF6 gas is converted to uranium dioxide (UO2) which is formed into fuel pellets. These fuel pellets are placed inside thin metal tubes, known as fuel rods, which are assembled in bundles to become the fuel elements or assemblies for the core of the reactor. In a typical large power reactor there might be 51,000 fuel rods with over 18 million pellets.

When the uranium fuel has been in the reactor for about three years, the used fuel is removed, stored, and then either reprocessed or disposed underground (see Nuclear Fuel Cycle or Radioactive Waste Management).

Uranium is present in many rocks and even in seawater, although it only constitutes an orebody when its concentration is sufficiently concentrated to be economically recoverable (considering the cost of mining and the market price of the metal). Therefore, uranium reserves are calculated as tonnes recoverable only up to a certain cost.

Kazakhstan produces the largest share of uranium from mines (43% of world supply from mines in 2019), followed by Canada (13%) and Australia (12%). Currently no EU27 country produces uranium from mines, although Spain has recently granted permission to start the building of a uranium mine in Retortillo. Other EU27 countries have plans to build uranium-mining facilities in their territories, like Finland (Rovaniemi), Slovakia (Kuriskova and Novoveska Huta) and Denmark (Greenland). Also, subsidiaries of EU27 companies operate mines in other parts of the world, like Orano Canada.

Table 24 Global production from mines (tonnes U) 2010-2019

Source 198 World Nuclear Association, 2020

Australia has the largest known uranium resources (30% of the world´s resources), followed by Kazakhstan (14%) and Canada and Russia (8% each). No EU27 country has relevant uranium resources in their territory.

Finally, it should also be noted that the use of raw materials in the nuclear sector is broader than just the uranium fuel supply. Mechanical and electrical equipment make up the bulk of the nuclear island supply and will be where a lot of the R&D takes place, for example in new systems design.

Table 25 Global uranium resources (tonnes U) in 2017

Source 199 World Nuclear Association, 2017

3.13.4.Future challenges to fill technology gap

While the nuclear industry expects the overnight costs of current Gen III LWR to be reduced as series production is developed, additional innovations may be required for nuclear energy to maintain its role as a flexible, reliable and dispatchable source of energy and become the backbone of a carbon-free European energy system by 2050.

To reach the expectations by 2050, the industry has to face several challenges in the years to come. In its 2019 Technology Report 191 , the IEA identified three types of innovations in which the nuclear industry is focusing to fill current technology gaps: The development of non-electric applications, the development of innovative fuels and the development of smaller reactors. Regarding each of these, the EU28 is lagging behind the rest of the world and investments and strategic planning are regarded as necessary.

Firstly, coupling reactors with non-electric applications can bring a new era to the nuclear energy industry. Nuclear energy provides low-carbon electricity, although its potential as a source of low-carbon heat is usually ignored, despite there is proven industrial experience of nuclear district heating. Coupling nuclear reactors with non-electric applications can provide policy makers with alternatives to decarbonise transport (for example, by producing hydrogen using nuclear heat and electricity), process heat applications and energy system storage.

Commercialising non-electric applications of nuclear energy faces several challenges, such as the lack of a business model that clearly defines the roles and responsibilities of nuclear plant operators and of users of nuclear heat, a lack of regulatory frameworks to oversee reactor operations and a lack of awareness among policy makers of the potential benefits of nuclear cogeneration.

Secondly, improvements in nuclear fuel design can offer additional benefits to the reactor´s performance and increased nuclear safety. These innovative fuels may incorporate new materials and designs, although further testing and validation are still needed before such fuels can be licensed. Several countries (US, Russia and China) are currently testing innovative Accident Tolerant Fuels (ATF) that could be used in all types of nuclear power plants.

Finally, small modular reactors and advanced reactors can be the perfect solution to meet future energy needs. To cope with the increasing power demand, the nuclear industry has focused in recent decades on constructing large reactors (usually 1400-1700 MW LWRs). However, smaller (300-600 MW) and more flexible reactors will be needed for certain niche markets (those with small grids, isolated communities, or large shares of renewables) to replace fossil fuel-based power plants, or even to provide low-carbon heat.

Most SMR designs of LWR technology use proven technologies, for which the supply chain can be easily adapted. The first examples of SMRs are expected to begin operating in the 2020s. Reactor technologies using other coolants (helium, sodium or molten salts), such as those developed within the Generation IV International Forum or by private companies, are also being demonstrated with prototypes in operation or under construction.

In order to tackle all these future challenges, public-private partnership and collaboration appears as the best solution. Governments should co-operate with the nuclear industry to promote the benefits of nuclear energy and its different applications, such as coupling a nuclear reactor with a non-electric application and stimulate its development.

Governments should also provide support to incentivise research in innovative fuel development and promote international R&I cooperation to facilitate prototype testing. In turn, vendors should complete this testing in both research and power reactors.

In essence, the administration and the nuclear industry should work together to promote the development of this technology, guaranteeing access to R&I financing and support, and developing efficient supply chains that can help cope with the challenges that will arise in the next decades.

3.14.Onshore wind 

3.14.1.State of play of the selected technology and outlook

Onshore wind is a crucial part of the energy mix, as it is a highly cost-effective renewable technology, set to grow further as more sites are under development650. It is expected to deliver the main part of EUs renewable electricity by 2030 192 . EU onshore wind deployment in deep decarbonisation scenarios until 2050 range from about 370 GW (BNEF NEO) to 759 GW (LTS 1.5TECH) 193 . Deploying and integrating this amount of wind energy will bring about both environmental benefits and economic opportunities; stimulating research and innovation is key in this regard.

Capacity installed, generation


The cumulative installed capacity of wind energy globally grew from 198 GW in 2010 to about 591 GW in 2018. Since 2015, the majority of global installed capacity is located in China (36% in 2018), followed by the EU28 (30%) and the US (16%) 194 . The global wind power industry is expected to install more than 600 GW of new capacity over the next ten years, becoming a market worth EUR 77 billion in 2019 to EUR 1 trillion over the next decade 195 .

In 2019, the EU28 installed 12.2 GW of wind power capacity, bringing its cumulative wind power capacity to 191.5 GW 196 . Based upon the ambitions set in European Member States’ National Energy and Climate Plans (NECPs), in 2030 the installed capacity of EU27 should be 268.4 GW.

Cost, LCOE

In the last five years, the costs of both onshore and offshore wind decreased by more than 50%, as a result of larger turbines which allow for better energy capture, better resiliency and reliability 197 ; CAPEX/OPEX savings; global supply chain efficiencies; and competitive procurement mechanisms 198 . Until 2020, JRC shows onshore wind CAPEX values in a range between 1000 EUR/kW and 1800 EUR/kW depending on the region. With increasing competition such as for example the introduction of competitive auctions in Europe, a further drop in CAPEX values to about 960 EUR/kW to 1570 EUR/kW is expected until 2040 199 .

According to WindEurope data, the LCOE of onshore wind will decrease from 40 EUR/MWh in 2019, to 26 EUR/MWh in 2030, to 19 EUR/MWh in 2050. BNEF estimates the LCOE of onshore wind in EU countries between 24 and 55 EUR/MWh, depending on for example location and financing conditions 200 .

Cost assumptions on onshore wind within the PRIMES model see investment costs dropping to about 850 EUR/kW until 2050. According to WindEurope data, investment costs are expected to decrease from 1300 EUR/kW in 2019, to 1000 EUR/kW in 2030, to 850 EUR/kW in 2050 201 .

R&I

There was around 3.5 times more investment in onshore wind than in offshore wind 202 . By far the largest investment area is turbines, in which Europe has a share of about 25%. There is a smaller split in private versus public investment in Europe when compared to the rest of the world 203 .

Besides its offshore wind-related R&I priorities (Offshore BoP and Floating Offshore wind), ETIPWind sees the need to stimulate wind R&I in the areas of grid system integration (e.g. integrated forecasting, energy storage or hybrid solutions), operation and maintenance (e.g. digitalisation, condition monitoring, automated inspection methods), next generation technologies (e.g. recycling of components, sustainable materials and manufacturing processes) and skills & human resources. Similarly, IEA Wind Technology Collaboration programme defines the following main challenges in the science of wind energy which are applicable to both the onshore and offshore sector 204   205   206 : improved understanding of atmospheric and wind power plant flow physics; aerodynamics, structural dynamics, and offshore wind hydrodynamics of enlarged wind turbines; systems science for integration of wind power plants into the future electricity grid. According to WindEurope, R&I efforts in onshore wind should be directed towards cost reduction and to increasing the value of onshore wind energy. This involves scaling up wind turbine manufacturing, transportation and installation; innovation to reduce noise and visual impacts improving circularity and recyclability of components and materials; enhancing the digitalisation of wind and the energy sector; and increasing automation in operations and maintenance.

Public R&I funding

The share of European Public R&D support for wind energy has dropped from 58% in 1998 to 39% in 2018. In 2018, Member States funding for wind energy R&D totalled EUR 215 million, the European Commission contributed another EUR 70 million 207 .

EU public investment has remained roughly constant around EUR 180-200 million per year over the past six years. Japan is by far the largest investor, followed by the US, Germany and the UK. Total EU investment over the past 3 years totalled EUR 583 million, which is slightly more than Japan’s figure. Seven out of the ten top countries where these investments occurred are in the EU 208 .

Figure 203 EU Public RD&D investments in the Wind Value Chain

Source 200 ICF, commissioned by DG GROW - Climate neutral market opportunities and EU competitiveness study (Draft, 2020). Original source: IEA

Figure 204 Top 10 Countries – Public RD&D Investments (Total 2016-2018)

Source 201 Climate neutral market opportunities and EU competitiveness – wind rotors value chain analysis, commissioned by DG GROW. Original source: IEA

Private R&I funding

Generally, about 90% of R&D funding in wind energy comes from the corporate sector, which in Europe is concentrated in Germany, Denmark and Spain as leading OEMs concentrate their industry and value chain there 209 . In 2019 the European wind industry invested EUR 1.9 billion, the equivalent of 5.1% of its contribution to GDP (gross value added), on R&D 210 .

Patenting trends

There were 1,176 wind energy patents registered in Europe in the year 2019. The amount of cumulative patents held by European companies is more than 12,000 211 . The largest amount of patent applications is being done in the onshore wind turbine segment, with a European share of 15%, which is slightly smaller than for offshore wind. Even though the EU has a lower patenting activity than China, patents by EU-based entities are filed in multiple patent offices worldwide, while Chinese entities aim for protection in China only. Thus, the EU has the highest specialisation index (indicating the patenting intensity) in wind energy compared to the rest of the world (see also Figure 29  in the offshore wind energy section) 212 . In 2016, Europe was still leading in the field of patent applications, especially in the wind rotor sector, which filed 67% of the high value patent applications between 2014 and 2016 213 .

Publications / bibliometrics

At country level, bibliometric searches on wind turbine blades identified the United States and China leading in publishing activity in the area of blades, followed by the UK, Denmark and Germany. However, the entire EU28 top up the US and China in terms of publication counts in the period 1996-2016 by more than 40% 214 (see below)

Figure 205 EU28 and main competitors publishing on wind turbine blades, 1996-2016

Source 202 JRC 2018, Monitoring scientific collaboration trends in wind energy components: Bibliometric analysis of scientific articles based on TIM, EUR 29305 EN, Luxembourg

Considering research publications and institutions, the US is a dominant player, followed by the EU 215 .

3.14.2.Value chain analysis

Since the value chains of onshore and offshore wind largely overlap, this section presents onshore wind-specific information. The value chain analysis in the offshore wind energy chapter discusses the shared parts of the wind value chain.

The onshore wind value chain consists of various segments, including turbines (40%); support structures or foundations (2%); logistics/installations (7%); balance of systems (9%); engineering, procurement and construction (EPC) (7%); and deployment (35%) 216 .

100% of onshore turbines with rated capacity of 4 MW and more are European 217 .

For the onshore wind sector, the largest share of the Gross Value Added (GVA) is captured by the turbine manufacturing segment, where the EU relatively captures a higher share than in the other segments 218 .

Figure 206 Breakdown of GVA throughout onshore wind value chain

Source 203 Guidehouse Insights (2020)

Currently, many markets are recovering from the COVID-19 pandemic and adjusting to a new normal of intense price competition. The US and China for example, are experiencing rapid near-term increases of capacity additions. Despite the similarities in total shipments, turbine technology improvements have a direct impact on nacelle, blade and tower dimensions, therewith placing additional stress on turbine transport requirements. Similarly, turbine repowering activity further increases the number of large-scale components being transported during this peak demand period, placing additional stress on the transport industry. A more ‘distributed’ supply chain allows for some logistics optimisation as more suppliers usually means more sourcing locations 219 .

Figure 207 Turbine fleet age structure in leading countries for land-based wind energy

 

Denmark

Germany

Spain

EU28

US

China

Cumulative capacity installed in 2019 (GW)

4.4

53.2

23.5

160.7

97.7

206.8

Share of cumulative capacity

 

 

 

 

 

 

> 10 years

55%

43%

73%

39%

34%

7%

> 15 years

53%

26%

27%

17%

6%

0.4%

> 20 years

23%

4%

3%

3%

1%

0.2%

Source 204 GWEC (Global Wind Council Energy). Global wind energy report 2018. 1–61 (2019); Uihlein, A., Telsnig, T. & Vazquez Hernandez, C. JRC Wind Energy Database, Joint Research Centre. (2019)

Turnover

Total revenues of the European wind industry amounted to EUR 86.1 billion in 2019. Direct revenues of the wind industry totalled EUR 59.6 billion in 2019. Of this at least EUR 30.5 billion is directly from onshore wind developers and onshore OEMs. In 2019 the revenue of onshore OEMs was EUR 16.3 billion. The combined revenue of the onshore/offshore component supply chain amounted to EUR 10 billion 220 .

Figure 208 Turnover and Employees of large EU energy companies

Source 205 Eurobserv’ER 2020

Gross value added growth

In 2019 the direct GVA of onshore OEMS was EUR 5.1 billion. The combined onshore/offshore component supply chain created another EUR 2.2 billion 221 .

Total Gross Value Added of the European wind industry amounted to EUR 37.2 billion to EU GDP in 2019. Activity within the wind energy industry include onshore and offshore wind energy developers, turbine manufacturers, component manufacturers, service providers, and offshore wind energy substructures. Direct Gross Value Added by the wind industry was EUR 22.8 billion in 2019.

Of this at least EUR 13.8 billion is directly from onshore wind developers and OEMs (as compared to EUR 3.6 billion stemming from offshore wind developers, offshore OEMs and offshore wind energy substructures) 222 .

Figure 209 Gross Value Added of the European wind energy industry, dark blue is direct, light blue is indirect

Source 206 WindEurope

Number of companies in the supply chain, incl. EU market leaders

There are 248 operational manufacturing facilities in Europe (30% of all facilities). 155 facilities are dedicated to onshore wind and a further 66 supply to both onshore and offshore wind. Onshore wind projects necessitate large investments with strong pricing competition, which drives down margins. As a consequence, economies of scale provide a competitive advantage, meaning that the incumbents of the established industry create an adverse environment for newcomers throughout the value chain: in 2019, only 15 start-ups received private funding. 40% of these companies were headquartered in the EU27 223 .

Employment figures

The deployment value chain has the largest number of employees, both in Europe and the rest of the world. The share of jobs that Europe has in onshore wind energy is significant compared to the rest of the world: in 2019 the European onshore wind industry provided for 224,000 jobs, of which 122,500 direct FTEs. In 2019 onshore wind accounted for 75% of all jobs in the wind industry675. Member States that employ the most are Germany, Spain and Denmark 224 .

Figure 210 Employment in Wind Energy, 2017

Source 207 EU Global Leadership in Renewables: Progress Report (2020)

Figure 211 Jobs in the European wind industry (in FTEs), dark blue is onshore, light blue is onshore

Source 208 WindEurope, Local Impact Global Leadership (2017) and updated information by WindEurope in August 2020

3.14.3.Global market analysis

In 2019, the EU27 installed 10.8 GW of wind capacity (of which 8.9GW were installed onshore), China 26.2 GW (23.8 GW onshore), and the United States 9.1 GW (all onshore). The share of the EU-27 market size in 2019 in relation to the global market is 17.9% (onshore 16.5%) 225 , 226 ; its market for onshore wind is expected to grow from EUR 25.3 billion in 2002 to EUR 35.4 billion in 2030 at a CAGR of 3.4% during this period 227 .

In emerging markets such as Asia, the market for wind energy is growing and therewith the outsourcing of blades to independent suppliers is becoming more popular among Original Equipment Manufacturers (OEMs) because it offers more flexibility in supply. Asian independent suppliers lead the global market for blades, power converters and towers, while the European independent suppliers lead in control systems685.

In 2019, the installed capacity in China grew with 12% to 236 GW 228 , 229 . The Chinese government announced that as of 2021, onshore wind electricity feed-in tariffs could no longer exceed those of electricity produced in coal-fired plants because the Chinese wind energy sector would be mature enough 230 .

Despite increasing globalisation of the onshore wind power business, some manufacturers are still mainly active in their home markets and a few neighbouring countries in the same region. Others are more broadly represented across many markets. This situation is most notable when examining the Chinese wind market and its domestic wind OEMs 231 . Chinese manufacturers are strongly consolidated in their home market, only allowing foreign manufacturers a penetration below 5% since 2013 of the new wind capacity installed in recent years, down from over 13% in 2010 232 .

Figure 212 Market shares and origin of wind OEMs in the Chinese wind energy market


Figure 213 JRC analysis based on Chinese Wind Energy Association (CWEA) and BNEF

Due to adjustments to more competitive policy environments and reductions or eliminations of subsidies, some countries with mature wind markets are facing stagnating or declining growth. This slow market growth is being offset by increasing wind power development in emerging wind power markets, mostly countries in Asia Pacific, Latin America, the Middle East, Africa and non-traditional markets in Europe684.

Trade (imports, exports)

The European wind industry is a net exporter of wind turbine technology and equipment. In 2019, net exports of this equipment totalled €1.8 billion. In total, 2019 wind energy related gross exports amounted to EUR 8.25 billion 233 .

Between 2009 and 2018, EU-28 exports increased steadily, reaching EUR 2.32 billion in 2018. Conversely, imports have remained constant between EUR 0.03 billion and EUR 0.17 billion over the same period. The EU28 share of global exports increased from 28% in 2016 to 47% in 2018. Top EU exporters are Denmark, Germany, and Spain. Between 2016 and 2018, 8 out of the top 10 global exporters were EU countries. Key rest of the world (RoW) competitors are China and India. Between 2016 and 2018, the largest RoW importers were Mexico, Turkey, Chile and Pakistan 234 .

Global market leaders VS EU market leaders

Europe is a recognised market leader in the wind energy, with 48% of the companies headquartered here. Top EU exporters are Denmark, Germany and Spain. Key competitors for the EU as China and India. Between 2016 and 2018, the largest importers were Mexico, Turkey, Chile and Pakistan 235 .

Critical raw material dependence

The section on offshore wind (3.2.1.4) addresses the critical raw materials dependence of onshore and offshore wind technologies.

3.14.4.Future challenges to fill technology gap

Onshore wind investments are rising steadily, but deploying a total installed onshore wind capacity of 759 GW (LTS 1.5TECH scenario) in the EU by 2050, and more than 5000 GW globally, would require annual investments of more than twice the current investment level. Currently, the biggest part of investments is directed towards the installation on new wind power capacities, leaving a virtually insignificant share for the replacement of retired installed capacities. This highlights the need to direct a bigger part of investment to decommissioning and replacing wind capacities at the end of their life cycle. As of 2040, more than one third of total onshore wind investment will be needed to replace existing capacities with advanced technologies 236 . Besides, third party financing of wind turbines often requires developers to minimise risk with proven technologies, which limits flexibility and the amount of new technologies that become commercial 237 .

(1)

Glassley W.E. (2018), ‘Geology and Hydrology of Geothermal Energy’. In: Bronicki LY (ed): ‘Power Stations Using Locally Available Energy Sources: A Volume in the Encyclopedia of Sustainability Science and Technology Series’, Second Edition. Springer New York, NY, US

(2)

 JRC (2020). Low Carbon Energy Observatory: Geothermal Energy – Technology Development Report 2020, forthcoming.

(3)

 Limberger J, Boxem T, Pluymaekers M, Bruhn D, Manzella A, Calcagno P, Beekman F, Cloetingh S and van Wees JD: Geothermal energy in deep aquifers: A global assessment of the resource base for direct heat utilization. Renewable and Sustainable Energy Reviews 82 (961–975).

(4)

 van Wees J-D, Boxem T, Angelino L and Dumas P (2013): A prospective study on the geothermal potential in the EU. Geoelec.

(5)

JRC (2019). Low Carbon Energy Observatory: Geothermal Energy – Technology Market Report 2018

(6)

European Commission (2018). IN-DEPTH ANALYSIS IN SUPPORT OF THE COMMISSION COMMUNICATION COM(2018) 773 A Clean Planet for all A European long-term strategic vision for a prosperous, modern, competitive and climate neutral economy.

(7)

European Commission (2018). IN-DEPTH ANALYSIS IN SUPPORT OF THE COMMISSION COMMUNICATION COM(2018) 773 A Clean Planet for all A European long-term strategic vision for a prosperous, modern, competitive and climate neutral economy.

(8)

 European Technology Platform on Renewable Heating, Common Vision for the Renewable Heating and Cooling Sector in Europe, 2011

(9)

 EGEC (2020). Geothermal market report 2019, European Geothermal Energy Council.

(10)

 IEA (2019). World Energy Outlook 2019. International Energy Agency

(11)

 IEA (2019). World Energy Outlook 2019. International Energy Agency

(12)

 IEA (2019). World Energy Outlook 2019. International Energy Agency

(13)

 EGEC (2020). Geothermal market report 2019, European Geothermal Energy Council.

(14)

Miranda-Barbosa, E., Sigfússon, B., Carlsson, J. and Tzimas. E, (2017), ‘Advantages from Combining CCS with Geothermal Energy’, Energy Procedia, Vol. 114, pp. 6666–6676.

(15)

Limberger, J., Calcagno, P., Manzella, A., Trumpy, E., Boxem, T., Pluymaekers, M.P.D. and van Wees J.D. (2014), ‘Assessing the prospective resource base for enhanced geothermal systems in Europe’, Geothermal Energy Science, Vol. 2, No 1, pp. 55–71.

(16)

EGEC (2020). Geothermal market report 2019, European Geothermal Energy Council.

(17)

EGEC (2020). Geothermal market report 2019, European Geothermal Energy Council.

(18) 58.5 EUR/MWh (1 USD = 0.85 EUR).
(19)

 IRENA (2019), Global energy transformation: The REmap transition pathway (Background report to 2019 edition).

(20) BNEF (2016). Annex, M., Robertson, D. H., Alves, L. C. R., Castro, L., Kawahara, T., and Taylor, M. 2016 Geothermal Market Outlook, Bloomberg New Energy Finance.
(21) JRC (2018), Tsiropoulos, I., Tarvydas, D., Zucker, A., ‘Cost development of low carbon energy technologies’, Publications Office of the European Union, Luxembourg, EUR 29034 EN.
(22)

Micale, V, Oliver, P, and Messent, F, (2014), ‘The Role of Public Finance in Deploying Geothermal: Background Paper’, Climate Policy Initiative, San Giorgio Group Report.

(23)

Clauser, C. and Ewert, M. (2018), ‘The renewables cost challenge: Levelized cost of geothermal electric energy compared to other sources of primary energy – Review and case study’, Renewable and Sustainable Energy Reviews, Vol. 82, No 3, pp. 3683–3693.

(24)

EGEC (2020). EGEC contribution (DRAFT CERIO 30 June)

(25) EGEC (2020). EGEC contribution (DRAFT CERIO 30 June)
(26)

 JRC (2020). Low Carbon Energy Observatory: Geothermal Energy – Technology Development Report 2020, forthcoming.

(27) Data source: Joint Research Centre (JRC) based on data from the European Patent Office (EPO). Private investments are estimated from patent data available through PATSTAT database 2019 autumn version (JRC update: December 2019) following methodology in Pasimeni, F., Fiorini, A., and Georgakaki, A. (2019), ‘Assessing private R&D spending in Europe for climate change mitigation technologies via patent data’, World Patent Information, Vol. 59, 101927
(28) JRC (2020). Low Carbon Energy Observatory: Geothermal Energy – Technology Development Report 2020, forthcoming.
(29)

JRC (2017), Fiorini, A., Georgakaki, A., Pasimeni, F. and Tzimas, E., ‘Monitoring R&I in Low-Carbon Energy Technologies’, Publications Office of the European Union, Luxembourg, EUR 28446 EN.

(30)

 Pasimeni, F. (2019), ‘SQL query to increase data accuracy and completeness in PATSTAT’, World Patent Information, Vol. 57, pp. 1-7.

(31)

 Pasimeni, F., Fiorini, A., and Georgakaki, A. (2019b), ‘Assessing private R&D spending in Europe for climate change mitigation technologies via patent data’, World Patent Information, Vol. 59, 101927.

(32)

 EurObserv’ER (2019). 19th annual overview barometer.

(33) EGEC (2020). EGEC contribution (DRAFT CERIO 30 June)
(34)

JRC (2017) Magagna D, Telsnig T, Uihlein A, Shortall R and Vázquez Hernández C: Supply chain of renewable energy technologies in Europe: An analysis for wind, geothermal and ocean energy. Publications Office of the European Union, Luxembourg.

(35)

JRC (2017) Magagna D, Telsnig T, Uihlein A, Shortall R and Vázquez Hernández C: Supply chain of renewable energy technologies in Europe : An analysis for wind, geothermal and ocean energy. Publications Office of the European Union, Luxembourg.

(36)

 Goldstein AH and Braccio R (2014): 2013 Market Trends Report. Geothermal Technologies Office. U.S. Department of Energy (DoE).

(37)

BNEF (2018). Company Ranking: Geothermal Turbine Makers 2017. Bloomberg New Energy Finance (BNEF), London.

(38)

 EGEC (2018). 2017 Geothermal Market Report, European Geothermal Energy Council.

(39)

Angelino L, Spencer S and Gindre C (2016): Support schemes for geothermal heat pump technology: What key successful factors ? European Geothermal Congress 2016 (1–2).

(40) JRC (2017) Magagna D, Telsnig T, Uihlein A, Shortall R and Vázquez Hernández C: Supply chain of renewable energy technologies in Europe: An analysis for wind, geothermal and ocean energy. Publications Office of the European Union, Luxembourg.
(41)

 EurObserv’ER (2018). Heat pumps barometer. EURObserv’ER.

(42)

 EurObserv’ER (2019). 19th annual overview barometer.

(43)

 EGEC (2020b). EGEC contribution (DRAFT CERIO 30 June)

(44)

EGEC (2020b). EGEC contribution (DRAFT CERIO 30 June)

(45)

JRC (2019). Low Carbon Energy Observatory: Geothermal Energy – Technology Market Report 2018.

(46)

CEMAC (2016) Akar S: Geothermal Power Plant Turbines: First Look at the Manufacturing Value Chain. Accessed: 11/28/2016. URL: http://www.manufacturingcleanenergy.org/blog-20160523.html

(47)

EGEC (2020). EGEC contribution (DRAFT CERIO 30 June)

(48)

JRC (2020). Low Carbon Energy Observatory: Geothermal Energy – Technology Development Report 2020, forthcoming.

(49)

JRC (2020). Low Carbon Energy Observatory: Geothermal Energy – Technology Development Report 2020, forthcoming.

(50)  Reactive power is power that does not contribute to the effective real power transmitted (active power), but it is the extra power that needs to be spent (and lost) to transfer active power over the network due to the physical and electrical characteristics of AC transmission. Since in HVDC, the voltage is constant, reactive power is not generated (and lost). Only two conductors are needed (or even one conductor if the ground or the sea is used as return) for HVDC compared to the three conductors traditionally used for HVAC.
(51)

 Later changed to be the first multiterminal link

(52) Largest mercury-arc valves ever made. The mercury-arc valves since replaced by Thyristors.
(53) First HVDC scheme order with thyristors, although operation was delayed. First to use a DC voltage greater than 500 kV. First HVDC link in Africa.
(54) First HVDC Link in China
(55) 3-terminal HVDC system in parallel to and AC interconnection. Switching devices IEGT/IGBT.
(56) 5-terminal HVDC system. Provides voltage support to the existing ±50 kV 60 MW LCC-HVDC system onSijiao island to prevent commutation failure.
(57) Cascaded 2-Level converters
(58)  PROMOTioN (PROgress on Meshed HVDC Offshore Transmission Networks)
(59) MIGRATE (Massive InteGRATion of power Electronic devices
(60)  ETIP SNET (2020). R&I Roadmap 2020-2030
(61)  IEA (2019). World energy investment https://www.iea.org/reports/world-energy-investment-2019
(62)  ETIP SNET (2018), Presentation of recent and ongoing R&I projects in the scope of the ETIP SNET. https://www.etip-snet.eu/wp-content/uploads/2018/11/Project_monitoring_Part1-Final-1-1.pdf
(63)  ICF (2018). Assessment of the Potential for High-Voltage Direct Current Transmission to Mitigate the Impacts of Non-Dispatchable Generation technologies. https://www.eia.gov/analysis/studies/electricity/hvdctransmission/pdf/transmission.pdf
(64)  Google patents (2020)
(65) Navigant (2020) - International Strategic Partnerships in Energy
(66)  Growth rates in this chapter are reported as Compounded Annual Growth Rates (CAGR)
(67) Guidehouse Insights (2020) Advanced Transmission & Distribution Technologies Ovierview. Retrieved at https://guidehouseinsights.com/reports/advanced-transmission-and-distribution-technologies-overview
(68) EU energy models (e.g. Primes) do not model HVDC separately and therefore no longer-term figures are available, but it is clear that the HVDC market is expected to grow consistently in particular with the growth of the offshore energy market.
(69) Global Industrial Analysts, Inc., retrieved at https://www.strategyr.com/market-report-hvdc-transmission-forecasts-global-industry-analysts-inc.asp
(70)  UHVDC is particularly interesting to transport electricity over very long distances, which is less important in the EU. UHVDC is also less attractive in the EU as permitting is more difficult, for example because cable towers are higher than normal high-voltage transmission cable towers.
(71) In comparison: turnkey HVAC systems are often delivered by engineering, procurement, and construction firms.
(72) Guidehouse Insights (2020) Advanced Transmission & Distribution Technologies Ovierview. Retrieved at https://guidehouseinsights.com/reports/advanced-transmission-and-distribution-technologies-overview
(73) Prysmian, Nexans, and NKT Cables are the three major European cable companies
(74) Key technologies in this area are for example grid forming converters and DC Circuit Breakers
(75)  T&D world (2018).
(76)  National Renewable Energy Laboratory (2013). Economic Development from New Generation. https://www.nrel.gov/docs/fy13osti/57411.pdf
(77) Guidehouse analysis of UN COMTRADE
(78) European Commission: JRC Report https://rmis.jrc.ec.europa.eu/?page=crm-list-2017-09abb4
(79) Critical Raw Materials Resilience: Charting a Path towards greater Security and Sustainability, COM(2020)404, p3, https://ec.europa.eu/docsroom/documents/42849
(80) R. Nagarajan, Infineon Technologies, DC-Hybrid grid round table, 2018 https://ec.europa.eu/energy/sites/ener/files/documents/nagarajan_infineon_dc_grids_final.pdf
(81)  Studies have proposed the very high continuous power capacity HTS DC cable system in the range of 5 to 20 GW at 200 kV
(82) IPCC special report on renewable energy sources and climate change mitigation. Chapter 5, Hydropower. Intergovernmental Panel on Climate Change. 2011. Cambridge University Press, UK & New York NY, USA.
(83) Kougias, I.. Low Carbon Eenegry Observatory, Hydropower Technology Development Report 2018, EUR 29912 EN, European Commission, Luxembourg, 2019, ISBN 978-92-76-12437-5, https://doi.org/10.2760/49932 , JRC 118316.
(84) European Commission (2018). IN-DEPTH ANALYSIS IN SUPPORT OF THE COMMISSION COMMUNICATION COM(2018) 773 A Clean Planet for all A European long-term strategic vision for a prosperous, modern, competitive and climate neutral economy.
(85) European Commission. Communication Stepping up Europe’s 2030 climate ambition. 2020. Brussels. Accompanying document available here .
(86) Kougias, I., & Szabó, S. Pumped hydroelectric storage utilization assessment: Forerunner of renewable energy integration or Trojan horse? Energy. 2017 140, 318-329.
(87) IHA. Hydropower Status Report 2020. International Hydropower Association. London, United Kingdom: 2020.
(88) Eurostat. Energy statistics - Supply, transformation and consumption of electricity - annual data 2019.
(89) IRENA. Renewable Power Generation Costs in 2019. International Renewable Energy Agency. Abu Dhabi, UAE: 2020.
(90) IRENA. Renewable Power Generation Costs in 2019. International Renewable Energy Agency. Abu Dhabi, UAE: 2020.
(91) Kougias I et al.. Analysis of emerging technologies in the hydropower sector. Renewable and Sustainable Energy Reviews. 2019 Oct; 113, 109257. https://doi.org/10.1016/j.rser.2019.109257
(92) Kougias, I.. Low Carbon Eenegry Observatory, Hydropower Technology Development Report 2018, EUR 29912 EN, European Commission, Luxembourg, 2019, ISBN 978-92-76-12437-5, https://doi.org/10.2760/49932 , JRC 118316.
(93) Pasimeni, F et al. (2018): SETIS Research & Innovation country dashboards. European Commission, Joint Research Centre (JRC), http://data.europa.eu/89h/jrc-10115-10001 .
(94)  IEA. International Energy Agency RD&D Online Data Service. Available from: http://www.iea.org/statistics/RDDonlinedataservice/  
(95) This is equivalent to EUR 14.3 million and EUR 29.4 million, respectively (1 USD = 0.84 EUR).
Water Power Technologies Office Budget. Detailed information available
here .
(96) This is equivalent to EUR 14.3 million and EUR 29.4 million, respectively (1 USD = 0.84 EUR).
Water Power Technologies Office Budget. Detailed information available
here .
(97) Kougias I, Low carbon Eenergy Observatory, Hydropower Technology Development Report 2019, European Commission, Ispra, 2020, JRC120763.
(98) EurObserv’ER. The State of Renewable Energies in Europe. 19th EurObserv’ER Rep 2019:153.
(99) Kougias, I.. Low Carbon Eenegry Observatory, Hydropower Technology Development Report 2018, EUR 29912 EN, European Commission, Luxembourg, 2019, ISBN 978-92-76-12437-5, https://doi.org/10.2760/49932 , JRC 118316.
(100) Kougias I et al.. Analysis of emerging technologies in the hydropower sector. Renewable and Sustainable Energy Reviews. 2019 Oct; 113, 109257. https://doi.org/10.1016/j.rser.2019.109257
(101) Pasimeni, F et al. Assessing private R&D spending in Europe for climate change mitigation technologies via patent data’, World Patent Information. 2019, 59, 101927. doi: 10.1016/j.wpi.2019.101927
(102) Fiorini, A et al. Monitoring R&I in Low-Carbon Energy Technologies, EUR 28446 EN, European Commission, Luxembourg, 2017, ISBN 978-92-79-65591-3, doi: 10.2760/434051, JRC 105642.
(103)  ISI Web of Knowledge. Available at: jcr.clarivate.com. The search considered the topics (TS) of hydropower and hydroelectric technologies, covering the different possible spellings.
(104) EurObserv’ER. The State of Renewable Energies in Europe. 19th EurObserv’ER Rep 2019:153.
(105) DNV, GL. "The Hydropower sector’s Contribution to a sustainable and prosperous Europe." (2015).
(106)

 Hydropower & Dams, 2020. Hydropower & Dams - World Atlas. Int. J. Hydropower Dams.

(107) EurObserv’ER. The State of Renewable Energies in Europe. 19th EurObserv’ER Rep 2019:153.
(108) IRENA. Renewable Energy and Jobs Annual Review 2019. International Renewable Energy Agency. Abu Dhabi, UAE: 2019.
(109) DNV, GL. "The Hydropower sector’s Contribution to a sustainable and prosperous Europe." (2015).
(110)

 Eurostat, 2020. Sold production, exports and imports by PRODCOM list (NACE Rev. 2) - annual data. Data is available online at: https://ec.europa.eu/eurostat/web/prodcom/data/database  

(111) International Trade Center (ITC). Trade statistics for international business development 2020.
(112) International Trade Center (ITC). Trade statistics for international business development 2020.
(113) International Trade Center (ITC). Trade statistics for international business development 2020.
(114)  McCoy power reports (2018). Hydro Turbines and generators 12M’17 Report. Available online at: https://www.mccoypower.net/products
(115)  Whitehead M and Albertani R. How Composite Materials Can be Used for Small Hydro Turbines (2015). Hydro Review, Vol 34(2).
(116) Strategic long-term vision for a climate-neutral EU by 2050, European Commission, 28.11.2018, https://ec.europa.eu/clima/policies/strategies/2050_en
(117) Industrial Waste Heat Recovery: Potential Applications, Available Technologies and Crosscutting R&D Opportunities”, Oak Ridge National Laboratory Report, ORNL/TM-2014/622 - https://info.ornl.gov/sites/publications/files/Pub52987.pdf
(118) Powering a climate-neutral economy: An EU Strategy for Energy System Integration, 8 July 2020, COM(2020)299final, p8.     https://ec.europa.eu/energy/sites/ener/files/energy_system_integration_strategy_.pdf
(119) The Commission considers inside-factory processes very important for the Green Deal as is made clear in the New Industrial Strategy for Europe (COM(2020) 102 final, section 2.2 and 3.3), and support for R&I in this area is a priority for the European Commission. It is addressed by specific programmes under the Horizon 2020 programme (notably the Sustainable Process Industries through Resources and energy Efficiency (SPIRE) private public partnership, which is expected to continue under Horizon Europe) and Horizon Europe programme. But it is beyond the scope of this report that focuses on energy technologies.
(120)   https://cordis.europa.eu/project/id/680738
(121) the critical point of CO2 is reached at 74 bar and 31.1 °.C, the critical point designates conditions under which a liquid and its vapour can coexist
(122) It is roughly half of the Carnot efficiency calculated with the maximum and minimum thermodynamic equivalent temperatures. This so-called second-law efficiency is the correct way of evaluating a thermodynamic engine depending on the temperature of the heat source and sink. If their temperature difference is large the amount of thermal energy that can be converted into mechanical or electrical energy (first-law efficiency) is inherently larger.
(123) H2020 project I-ThERM, Nb. 680599, Budget: €4.0m, start-end: 01-10-2015 - 31-03-2019
(124) Heat Roadmap Europe, RES =renewable energy source, Eurostat Energy Balances 2019
(125) Agathokleous et al. 2019
(126) Source: H2020 project RED-Heat-to-Power Michael Papapetrou et al., Applied Thermal Engineering, Volume 138, 25 June 2018, Pages 207-216 , as well as internal calculations for electricity production
(127) Thomas Tartière et al. / Energy Procedia 2017
(128) Geothermal brine: hot, concentrated, saline solution that has circulated through crustal rocks
(129) Bloomberg NEF, Industrial heat pump primer, Nov. 2019, based on EHPA data
(130) source: Enertime internal evaluation; https://www.enertime.com/
(131) Bloomberg NEF, Industrial heat pump primer, Nov. 2019
(132) more information on Heat Pumps R&I at national and European level available in IHP white paper July 2020, not yet exploited here
(133)  Public funding: EUR 4.6m, private funding : EUR 3.6m (1 EUR = 7.44 DKK)
(134) Budget : EUR 36m (1 EUR = 11.1 NOK)
(135) Pasimeni, F et al. (2019) Assessing private R&D spending in Europe for climate change mitigation technologies via patent data’, World Patent Information. Pergamon, 59. doi: 10.1016/j.wpi.2019.101927
(136) Fiorini, A et al. (2017) Monitoring R&I in Low-Carbon Energy Technologies Methodology for the R&I indicators in the State of the Energy Union Report, JRC Science for Policy report. doi: 10.2760/434051
(137)  Elsevier’s SCOPUS database. Available at www.scopus.com
(138)  Search keywords: (turbomachine AND heat) OR (turbomachinery AND heat)
(139)  Search keywords: ("heat exchanger" AND industry) OR ("heat exchanger" AND industrial)
(140)  Search keywords: (“waste heat recovery” AND industry) OR (“waste heat recovery” AND industrial)
(141)  Search keywords: “heat pump”
(142)  Search keywords: (“heat pump” AND industry) OR (“heat pumps” AND industrial)
(143) Turbomachinery Process Solutions
(144) EUR 9.1m (1 EUR = 122.8 JPY)
(145) Acquired by the Chinese company Nanjing TICA Thermal Technology Co. Ltd on 25 Sept 2019. Products: ORC
(146) New product developed: 2019 Turnover in IHP = 0€
(147) EHPA, Dec 2019
(148) Source: IHP white paper. These prospects need to be verified and assessed independently
(149) Fleiter T, Elsland R, Rehfeldt M, Steinbach J, Reiter U, Catenazzi G, et al. Heat Roadmap Europe. Deliverable 3.1: Profile of heating and cooling demand in 2015. 2017.
(150) Koffi B, Cerutti A, Duerr M, Iancu A, Kona A, Janssens-Maenhout G. JRC Technical Reports: Covenant of Mayors for Climate and Energy: Default emission factors for local emission inventories. 2017. https://doi.org/10.2760/290197.
(151) Rehfeldt M, Fleiter T, Toro F. A bottom-up estimation of the heating and cooling demand in European industry.Energy Effciency 2018;11:1057–82. https://doi.org/10.1007/s12053-017-9571-y.
(152) Nowak T, Westring P. European heat pump association, European heat pump market and statistics - Report 2019. 2019.
(153) Thomas Tartière et al. / Energy Procedia 129 (2017) 2–9
(154) IEA Heat Pump Centre. IEA Annex 35. Application of Industrial Heat Pumps. Final Report. Part 1 & 2. 2014.
(155)  as the COP depends on the Heat Pump max lift
(156) Communication from the Commission, A Clean Planet for all - A European strategic long-term vision for a prosperous, modern, competitive and climate neutral economy. COM (2018) 773 final
(157)

 Climate Change Report, IPCC (2014) https://www.ipcc.ch/site/assets/uploads/2018/02/ipcc_wg3_ar5_annex-iii.pdf

(158)

 Communication from the Commission, A Clean Planet for all - A European strategic long-term vision for a prosperous, modern, competitive and climate neutral economy. COM (2018) 773 final

(159)

Taxonomy Report: Technical Annex (2020)

https://ec.europa.eu/info/sites/info/files/business_economy_euro/banking_and_finance/documents/200309-sustainable-finance-teg-final-report-taxonomy-annexes_en.pdf

(160) World Nuclear Association, (2020) https://www.world-nuclear.org/information-library/facts-and-figures/reactor-database.aspx
(161) NRC Issues Subsequent Renewed Licenses for Turkey Point Reactors to 80 years ( https://www.nrc.gov/reading-rm/doc-collections/news/2019/19-062.pdf )
(162)  IAEA Reference data series No. 1 – Energy, Electricity and Nuclear Power Estimates for the Period up to 2050 (2017 edition)
(163) Country Nuclear Power Profiles, IAEA (2020) https://cnpp.iaea.org/pages/index.htm
(164) EU energy in figures – Statistical pocket book 2019
(165) https://ec.europa.eu/eurostat/statistics-explained/index.php/Nuclear_energy_statistics#Nuclear_heat_and_gross_electricity_production  
(166)  Operating Experience with Nuclear Power Stations in Member States, IAEA, 2019 Edition, https://www.iaea.org/publications/13575/operating-experience-with-nuclear-power-stations-in-member-states
(167) Optimising the European Supply Chain, Foratom ( https://www.foratom.org/downloads/report-optimising-the-european-nuclear-supply-chain/?wpdmdl=45050&refresh=5ee0a1469b1ff1591779654 )
(168) IEA Report - Nuclear Power in a Clean Energy System, IEA Report, May 2019: https://www.iea.org/reports/nuclear-power-in-a-clean-energy-system
(169) Nuclear Illustrative Programme presented under Article 40 of the Euratom Treaty – Communication from the Commission (COM(2017) 237
(170) Communication from the Commission, A Clean Planet for all - A European strategic long-term vision for a prosperous, modern, competitive and climate neutral economy. COM (2018) 773 final
(171) IAEA (2020) https://www.iea.org/reports/european-union-2020
(172) World Nuclear Association (2020) https://www.world-nuclear.org/information-library/economic-aspects/economics-of-nuclear-power.aspx
(173) EUR 4620 (1 USD = 0.84 EUR)
(174)  Nuclear Energy Technology Roadmap – 2015 edition (OECD NEA / IEA)
(175)  Similar figures (4500 $/KWe in 2040) can be also found in IEA WEO 2019  
(176)  Energy Technologies Institute (2018) http://www.eti.co.uk/library/the-eti-nuclear-cost-drivers-project-summary-report
(177)

 SFEN (2020), The cost of new nuclear power plants in France

(178) EUR 22 billion (1 USD = 0.84 EUR)
(179) NB these are the external costs only. If these costs were in fact included, the EU price of electricity from coal would double and that from gas would increase 30%. These are without attempting to include the external costs of global warming.
(180)

 OECD NEA / IEA, 2015 edition

(181) EUR 3.7 trillion (1 USD = 0.84 EUR)
(182)  Management and Disposal of High-Level Radioactive Waste: Global Progress and Solutions, OECD (2020) https://www.oecd-nea.org/rwm/pubs/2020/7532-dgr-geological-disposal-radioactive-waste.pdf
(183)

 EUCO 10/20 https://www.consilium.europa.eu/media/45109/210720-euco-final-conclusions-en.pdf

(184)   https://www.iaea.org/publications/search/type/non-serial-publications
(185)   https://www.semanticscholar.org/search?q=%22nuclear%20energy%22&sort=relevance
(186) Eurostat (2019) https://appsso.eurostat.ec.europa.eu/nui/submitViewTableAction.do
(187)   https://appsso.eurostat.ec.europa.eu/nui/submitViewTableAction.do
(188)  Other NACE codes that may include production of goods within the nuclear industry are:
(189) Restoring America’s Competitive Nuclear Energy Advantage, U.S. Department of Energy, 2020
(190) 20-27 EUR (1 USD = 0.84 EUR)
(191)   IEA Technology Report – May 2019
(192) Wind Europe
(193) JRC, Low carbon energy technologies in deep decarbonisation scenarios - Deliverable D 440 for the Low Carbon Energy Observatory, European Union, Petten, 2019, JRC118354.
(194)  JRC, Low Carbon Energy Observatory, Wind Energy Technology Market Report, European Commission, 2019, JRC118314.
(195)  Guidehouse Insights Estimates (from ASSET study, 2020)
(196)  Eurobserv’ER, Wind Energy Barometer, 2020.
(197)  ASSET Study commissioned by DG ENERGY - Gathering data on EU competitiveness on selected clean energy technologies (Draft, 2020)
(198) GWEC, Global Wind Energy Report 2019, 2020.
(199) JRC, Cost development of low carbon energy technologies - Scenario-based cost trajectories to 2050, 2017 Edition, 2018, JRC109894
(200) BNEF, Interactive datasets - LCOE data, 2020.
(201) WindEurope
(202) ICF, commissioned by DG GROW - Climate neutral market opportunities and EU competitiveness study (Draft, 2020)
(203) WindEurope
(204) ETIPWind, ETIPWind Roadmap 2020, https://etipwind.eu/files/reports/ETIPWind-roadmap-2020.pdf, 2020.
(205) Veers P, Dykes K, Lantz E, Barth S, Bottasso CL, Carlson O, Clifton A, Green J, Green P, Holttinen H, Laird D, Lehtomäki V, Lundquist JK, Manwell J, Marquis M, Meneveau C, Moriarty P, Munduate X, Muskulus M, Naughton J, Pao L, Paquette J, Peinke J, Robertson A, Sanz Rodrigo J, Sempreviva AM, Smith JC, Tuohy A and Wiser R: Grand challenges in the science of wind energy. Science 366 (eaau2027). DOI:10.1126/science.aau2027
(206) JRC, Low Carbon Energy Observatory, Wind Energy Technology Development Report 2020, European Commission, 2020, JRC120709.
(207)

IEA, Energy Technology RD&D budget 2020, 2019.

(208) ICF, commissioned by DG GROW - Climate neutral market opportunities and EU competitiveness study (Draft, 2020)
(209)  JRC, Low Carbon Energy Observatory, Wind Energy Technology Market Report, European Commission, 2019, JRC118314.
(210)  WindEurope
(211)  ASSET Study commissioned by DG ENERGY - Gathering data on EU competitiveness on selected clean energy technologies (Draft, 2020)
(212) JRC, Low Carbon Energy Observatory, Wind Energy Technology Development Report 2020, European Commission, 2020, JRC120709.
(213)  ICF, commissioned by DG GROW - Climate neutral market opportunities and EU competitiveness study (Draft, 2020)
(214) JRC, Monitoring scientific collaboration trends in wind energy components: Bibliometric analysis of scientific articles based on TIM, 2018, JRC111622.
(215)  Eurobserv’er Wind Energy Barometer, 2020
(216)  ASSET Study commissioned by DG ENERGY - Gathering data on EU competitiveness on selected clean energy technologies (Draft, 2020)
(217) WindEurope
(218)  ASSET Study commissioned by DG ENERGY - Gathering data on EU competitiveness on selected clean energy technologies (Draft, 2020)
(219)  ASSET Study commissioned by DG ENERGY - Gathering data on EU competitiveness on selected clean energy technologies (Draft, 2020)
(220)  ICF, commissioned by DG GROW - Climate neutral market opportunities and EU competitiveness study (Draft, 2020)
(221) JRC, Low Carbon Energy Observatory, Wind Energy Technology Market Report, European Commission, 2019, JRC118314.
(222) WindEurope, Local Impact Global Leadership (2017) and updated information by WindEurope in August 2020
(223)  ASSET Study commissioned by DG ENERGY - Gathering data on EU competitiveness on selected clean energy technologies (Draft, 2020)
(224)  ICF, commissioned by DG GROW - Climate neutral market opportunities and EU competitiveness study (Draft, 2020)
(225) JRC, Low Carbon Energy Observatory, Wind Energy Technology Development Report 2020, European Commission, 2020, JRC120709.
(226)  GWEC, Global Wind Energy Report 2019 (2020)
(227)  Guidehouse Insights Estimates
(228) JRC, Low Carbon Energy Observatory, Wind Energy Technology Development Report 2020, European Commission, 2020, JRC120709.
(229) GWEC, Global Wind Energy Report 2019, 2020.
(230)  Eurobserv’ER, Wind Energy Barometer, 2020.
(231)  ASSET Study commissioned by DG ENERGY - Gathering data on EU competitiveness on selected clean energy technologies (Draft, 2020)
(232) JRC, JRC Analysis based on data from Chinese Wind Energy Association (CWEA) and BNEF, 2020.
(233) WindEurope
(234)  ICF, commissioned by DG GROW - Climate neutral market opportunities and EU competitiveness study (Draft, 2020)
(235) ICF, commissioned by DG GROW - Climate neutral market opportunities and EU competitiveness study (Draft, 2020)
(236)  IRENA, Future of wind: Deployment, investment, technology, grid integration and socio-economic aspects (A Global Energy Transformation paper), International Renewable Energy Agency, Abu Dhabi, 2019.
(237) WindEurope
Top

Brussels, 14.10.2020

SWD(2020) 953 final

COMMISSION STAFF WORKING DOCUMENT

Clean Energy Transition – Technologies and Innovations

Accompanying the document

REPORT FROM THE COMMISSION TO THE EUROPEAN PARLIAMENT AND THE COUNCIL

on progress of clean energy competitiveness

{COM(2020) 953 final}


1.

2.

3.

3.1.

3.2.

3.3.

3.4.

3.5.

3.6.

3.7.

3.8.

3.9.

3.10.

3.11.

3.12.

3.13.

3.14.

3.15.Renewable fuels 

3.15.1.State of play of the selected technology and outlook

Renewable fuels in this document refer to liquid and gaseous advanced biofuels as well as synthetic fuels (or gas) produced from hydrogen from renewable electricity and CO2 from the atmosphere (renewable e-fuels and e-gas).

Renewable fuels are a cornerstone of the future EU energy system 1 . They are necessary where direct heating or electrification are not feasible or have higher costs. Renewable gases and hydrogen can offer solutions to store the energy produced from variable renewable sources, exploiting synergies between the electricity sector, gas sector and end-use sectors. Renewable liquids can provide high energy density where space and weight limit the viability of other solutions (e.g. long-haul aviation).

First generation biofuels have reached commercialisation, and increasing their deployment raises sustainability issues that constrain their growth potential. Therefore, where possible, this analysis sets focus on advanced biofuels. However, economic indicators are often only available for conventional biofuels or for all biofuels in general.

Carbon capture and use/storage (CCUS) technologies are relevant for both bioenergy (BECCS) and recycled carbon fuels but are addressed in another chapter. While renewable fuels also include hydrogen, which is also an important feedstock for production of e-fuels, they are not addressed in this section as there is a separate section on hydrogen production from electrolysers.

In all scenarios of the analysis in support of the EU’s long-term decarbonisation strategy (LTS) 2 (EU28), energy related consumption of biomass and waste increases from about 140 Mtoe in 2015 to about 200 Mtoe in 2030. Thereafter, demand diverges significantly to between about 170 and 250 Mtoe by 2050 in the 1.5°C scenarios. Displayed in Table 26 below are the developments of various fuel needs according to the LTS.

Table 26 Liquid and gaseous fuel needs identified by the LTS 1.5°C scenarios

Fuel types

2015 value

Needs in 2050

Primary Sectors

Biogas

16 Mtoe

54-71 Mtoe

Power, Industry

E-gas

0

40-50 Mtoe

Residential heating, industry, transport

Liquid Biofuels

16 Mtoe

40 Mtoe

Transport

Liquid E-fuels

0

20-41 Mtoe

Transport

 

The models used by the European Commission 3 show there is no single fuel solution, instead requiring multiple fuels and other energy vectors in parallel. The heavy industry relies increasingly on e-gas and biogas until 2050. In the transport sector specific nodes require different mixes of electrification and various types of fuels. Light road vehicles in 2050 might be powered by 80% electric and 16% hydrogen fuel cells. The priority for e-fuels and biofuels lies in road freight, aviation and maritime since alternative solutions (in particular electrification) are more difficult in these sub-sectors. While the models do not foresee full decarbonisation of the aviation sector by 2050, it reaches a use of 50% renewable fuels.

Similar to EU28 biomass consumption in the EU LTS 1.5C scenarios, the IEA B2DS scenario (a global sustainable development scenario aligned with 1.75°C warming), describes a global climate mitigation pathway in which bioenergy use doubles on a global scale by 2060. Because of global limits to sustainable biomass feedstock supply, the B2DS scenario also prioritises biomass use to those sectors that are otherwise hard to decarbonise (heavy industry and long-range transport).

Figure 214 Development of biofuels in IEA 2 °C (2DS) and 1.75°C (B2DS) scenarios. The primary bioenergy supply remains the same, while the distribution of the demand varies between the two scenarios.

Source 209 IEA 2017 4

Capacity installed

Current installed capacity of advanced biofuel production in the EU28 is 358,828 tons (230,000 – 309,000 toe) 5 per year while another 151,900 t/y (100,000 – 130,000 toe) are currently under construction, and 1.7 Mt/y (1.1 – 1.5 Mtoe) are planned ( Figure 215 ) 6 . If waste fats and oils (FAME and HVO) are included, current capacity would be much higher (6.5 Mt/y). 7 However, feedstocks are still primarily conventional. Current installed production capacity of e-fuels are much smaller, around 150 toe (toe) of liquid e-fuels around 1400 toe of e-gas 8 .

Figure 215 Existing and planned EU28 production capacity of advanced biofuels based on known plant construction and projects

Source 210 ETIP Bioenergy Working Group 2 9

Different fuel production processes are expected to grow at varying rates until 2030 as displayed in Figure 216 below. Particularly cellulosic ethanol (sometimes referred to as 2G alcohol) stands out as rapidly scaling up from current capacity, but this estimation may be overly optimistic. 10  

Figure 216 Anticipated EU28 production potential of different advanced biofuel production pathways towards 2030 in terms of annual kilo-tonnes produced

Source 211 JRC 2019 11 page 13



Figure 217 below displays the current global capacity for advanced biofuels (except FAME and HVO, which are already commercialised). Current installed capacity of advanced biofuels in the rest of the world is comparable to that of EU. However, planned production capacity is likely to scale up, particularly in co-processing of bio-oils in oil refineries, where current production is mostly in the EU. Production capacity outside the EU is expected to soon reach 5 times that of the EU28. Because co-processing has relatively low CAPEX costs, oil companies are expressing increased interest in adjusting refinery production to accommodate for it.

Figure 217 Existing and planned global production capacity of advanced bio-fuel plants excluding HVO and FAME

Source 212 JRC 2019 12 , page 8

According to the JRC Low Carbon Energy Observatory 13 , e-fuel capacity is currently very limited. Nearly all existing and projected power to gas (power to methane) plants as well as power to liquid (power to methanol) installations are in the EU28 with the exception of a few in Switzerland. There are 11 power to methane plants in the EU equalling a combined capacity of 7MW (1440 toe) of methane, but this could increase to 16MW (3300 toe) if all planned and announced plants become operational. Power to methanol capacity is nearly 800 kW (165 toe) and power to liquid plants (petrol, kerosene, diesel) in the EU currently amount to 150kW (31 toe) 14 .

Cost, LCOE

By 2030 to 2035, production costs of advanced biofuels are expected to decrease as learning effects and innovation progress due to the expansion from a currently limited number of commercial plants as well as some upscaling of individual plants. Figure 218 below provides current costs ranges and estimates of expected cost reductions. Particularly ethanol produced from advanced (lignocellulosic) feedstock is expected to make large improvements. 80-120 EUR/MWh is roughly 22-33 EUR/GJ, which would be comparable to current costs of ethanol produced with conventional feedstock. On the other hand, bio-oil processing costs are expected to experience only very minor cost reductions, remaining one of the most costly processes.

Figure 218 Expected medium term (10-15 yr.) cost reductions of advanced biofuel production as successors to existing plants are built and plant size scales up

Source 213 IEA 2020 15

The cost of liquid e-fuels are also expected to decrease significantly by 2030 to 44-58 EUR/GJ compared to current cost of 55-78 EUR/EJ 16 . IRENA and DENA estimate costs will reach 1-1.5 EUR/litre in 2030 compared to 3-5 EUR/litre today as scaling up of hydrogen production and CO2 capture technologies reduce overall costs 17 . Figure 219 below illustrates this development.

The most cost-efficient production of e-fuels is expected to be reached outside of the EU, in countries where hydrogen production and CO2 capture are expected to benefit from optimal solar and wind conditions. Thus, imports could possibly fall to 28 EUR/GJ by 2030.

Figure 219 Potential cost of e-fuels in 2030

Source 214 Gielen et al. 2020 18

R&I

Public & Private R&I funding

In the past private funding has been much higher than public funding of R&I. Figure 220 below compares the public and private investments in biofuels until 2014 within the EU28.

Figure 220 Current development of investments in biofuels in the EU

Source 215 JRC 2019 19 , page 5

Recently EU investments in biofuels have decreased, falling in 2018 to below 2005 levels 20 . In 2018 the global R&I investments to biofuels were EUR 1.5 billion, approximately 80% from government funding 21 . The EEA describes this development as likely due to the saturation of 1st generation biofuel capacity as well as high cost of advanced biofuels and uncertainty in policy development. However, global investments in biofuel capacity have also dropped by 64% from 2017 to 2018, amounting to EUR 405 billion 22 . EU investments in biofuel capacity were EUR 84 million in 2018 compared to EUR 337 million in the US 23 .

Patenting trends

From 2004 until 2014, the EU28 has been the leading patent developer in high value inventions related to advanced biofuels as can be seen in Figure 221 below. More recent figures were not available for this report.

Figure 221 Development of high value inventions related to advanced biofuels in leading countries

Source 216 JRC, 2019 24

Publications / bibliometrics

EU28 institutions accounted for 1000 studies or roughly 35% of the scientific literature on advanced biofuels between 2016 and September 2020. Leading with 1098 studies (38%) was the US. China followed the EU with 316 studies. The total number of studies has been relatively constant during the nearly 5-year period, averaging roughly 340 studies annually, and Figure 222  shows the geographic distribution. 25

Figure 222 Geographic distribution of the scientific literature on advanced biofuels from 2016 to 2020 based on “Web of Science” database.

Source 217 Data compiled from Web of Science, 2020 26

3.15.2.Value chain analysis

The status of value chains depends on the conversion pathway considered to process various feedstocks into finished fuels. These conversion pathways and the associated finished fuels can be seen in the table below. There are often several potential pathways based on various feedstocks that can lead to the same finished fuels.

Table 27 Conversion pathways and advanced biofuels produced by them

Source 218 JRC 2019 27 , page 2

Turnover

The EU27 biofuels industry turnover was EUR 14 billion in 2017 as shown in Figure 223  below 28 . This includes only bioethanol and biodiesel, which currently rely mostly on 1st generation feedstocks. These are already fully commercialised as opposed to much of the advanced biofuel feedstock and production pathways. For most advanced biofuels, turnover estimates are not available. The JRC Low Carbon Energy Observatory 29 estimates an annual revenue of EUR 21 Million from pyrolysis oil-based diesel, jet-fuel and gasoline (using wood and straw-based feedstocks) 30 .

Figure 223 Turnover of biofuels industry in the EU27

 

Source 219 COM, 2020 31

Gross value-added and growth

In 2017 the EU27 bio-economy employed around 17.5 million people and generated approximately EUR 614 billion of value added, therefore representing around 8.9% of the EU27 labour force and generating 4.7% of the EU27 GDP. Biofuels (bioethanol and biodiesel) represented EUR 3 billion of the bioeconomy’s value added. Since 2008, the value added of biofuels has grown by 38% 32 . Figure 224 displays the development in gross value added by bioethanol and biodiesel since 2008.

Figure 224 Liquid Biofuel value added growth in the EU27

 

Source 220 COM Bioeconomy 33

Number of companies in the supply chain, incl. EU market leaders

There are approximately 40 companies within the EU with advanced biofuel facilities in production, under construction or planned. Since current facilities are limited and future capacities of planned facilities are not always known it is difficult to estimate who market leaders are. Also, current conventional biofuel production is commercialised, largely outscaling current advanced biofuel capacity. Therefore, market leaders for advanced biofuels are not the same as for conventional biofuels, where companies such as Neste play a leading role.

The ETIP Bioenergy has surveyed the existing and planned demonstration projects for advanced biofuels including company, production capacity and production pathway. Figure 225  below displays the cumulative capacity data by company, published by ETIP Bioenergy 34 .

Figure 225 Total existing and future output capacity of companies in the EU with existing or planned advanced biofuel plants

Source 221 Data compiled from ETIP Bioenergy, 2020 35

From this survey it is possible to extract the following assessment:

·According to both current operational capacity and planned installations UPM Biofuels is the leading producer of advanced biofuels in the EU, currently producing 130,000 t/y of HVO from tall oil and planning to add a facility producing 500,000 t/y.

·BioMCN (65,000 t/y methanol from FAME) and Fortum (50,000 t/y pyrolisis oils) have the next highest operational capacities;

·Once construction is completed, Clariant will have the largest capacity for ethanol production in the EU (50,000t/y from agricultural residues);

·If planned facilities follow through, Enerkem could achieve the second largest advanced biofuels capacity in the EU with a potential capacity of 485000 t/y in gassication produced methanol. This includes a joint venture with Suez for 265,000 t/y as well as a joint venture with Air Liquide, Nouryon, Port of Rotterdam and Shell for 220,000 t/y;

·However information on other planned facilities such as from Total is unavailable so that it is not possible to predict potential market leaders in the near future;

·Also it is important to note that, while the total operational capacity of St1 is only 14,000 t/y and planned additional capacity is 120,000 t/y, St1 operates the most existing cellulosic ethanol plants in the EU. Five 1000t to 7000t plants are distributed throughout Finland and Sweden, while three more residue base ethanol plants are planned for Sweden and Norway, each with 40,000t/y capacity.

Employment figures

According to IRENA, liquid biofuels employs 208,000 people in the EU28 while biogas employs 67,000 people. Direct and indirect employment have grown in the past decade, reaching 248,000 jobs in 2018 as shown in Figure 226 . Additional jobs occur in the upstream agricultural and forestry sectors. It is unclear how many of these jobs are linked to advanced as opposed to conventional biofuels. Likewise, no data is available for employment in the e-fuels sector.

Figure 226 Development of biofuel jobs in the EU28

Source 222 Statistica 2020

Productivity (labour and factor)

Employees of the EU27 biofuels industry (bioethanol and biodiesel) generate an average annual value of EUR 157 thousand 36 .

ProdCom statistics

Net-export values of the EU28 have been highly variable in recent years. The EU28 generated a net-export value of EUR 38 million for biofuels in 2018. By comparison, the EU28 had a net deficit of EUR -277 million in 2017 and EUR -118 million in 2016. In 2015 the net-export value was almost double that in 2018, with EUR 65 million. The US net-export values of biofuels far exceed the EU28 or any other country, having achieved an average net-value of EUR 1.5 billion for the period 2015-2018 37 . 

3.15.3.Global market analysis

Trade (imports, exports)

The net consumption of bioethanol in the EU is slightly larger than the production, resulting in a net import ( Figure 227 ). Domestic bioethanol production has levelled off and declined due to higher costs as advanced (cellulosic) feedstocks increasingly replace conventional feedstocks. Since the COVID-19 pandemic, the production has also declined due to reduced fuel demand.

Figure 227 EU28 Consumption, Production, Import and Export of Bioethanol

Source 223 USDA 2020 38

Although the EU28 is the largest producer of Biodiesel, FAME and HVO fuels, consumption exceeds this production slightly, requiring net imports ( Figure 228 ). The demand is less impacted by the COVID-19 pandemic, since these fuels are more relevant for heavy duty vehicles as opposed to light weight passenger vehicles.

Figure 228 EU Consumption, Production, Import and Export of Biodiesel, FAME and HVO (here Biodiesel & HDRD)

Source 224 USDA 2020 39

Global market leaders VS EU market leaders

For several advanced biofuel pathways, a comparatively high percentage of companies and in some cases production facilities are located within the EU28 as Figure 229 below. For these technologies, this may be an indicator of technological and competitive advantage for further development within the EU.

Figure 229 Advanced biofuel companies and plants in the EU28 compared to rest of world as indicators of EU market share

Source 225 JRC 2019 40

However, comparing existing and planned capacity is a further indication of current and future market position. While advanced biofuel production pathways are at various stages of development, the following already produce more significant amounts of fuels:

·enzymatic hydrolysis and fermentation;

·co-processing;

·FAME and HVO from advanced feedstocks.

Currently, the EU28 is market leader in Biodiesel, FAME, HVO and Co-processing. However, these are dominated by conventional biomass feedstocks and relevant waste feedstock is limited, therefore a slight reduction in FAME capacity is expected in the EU, as can be seen Figure 230 .

Figure 230 Installed and planned capacity of FAME and HVO biofuels in the EU compared to rest of the world

Source 226 data compiled from JRC 2019 41

The EU may also lose market leadership in co-processing in the future as the rest of the world plans to add capacity. This is apparent below in Figure 231 , which compares the installed and planned capacities for advanced biofuel processes in the EU28 and the rest of the world. The figure also displays that there is little to no existing capacity for several of the advanced biofuel processing technologies, since they are at early stages of demonstration.

Planned capacity for the EU28 indicates achieving a potential head start in hydrolysis as well as gasification with Fischer-Tropsch and gasification with catalytic synthesis.

Figure 231 Installed and planned capacity of advanced biofuels in the EU compared to rest of the world

Source 227 data compiled from JRC 2019 42

Since e-fuels are less developed, a market does not yet really exist. However, most e-fuel companies and plants are in the EU as well as 88% of the e-fuel development projects. The EU is also a pioneer in the field of power to methanol, which typically uses CO2 from biogas 43 . 

Critical raw material dependence

E-fuel production depends on availability of renewable hydrogen and renewable electricity. Therefore, any critical raw material dependencies are in the technologies producing renewable electricity and hydrogen, which those sections of this report cover.

Advanced biofuels are not dependent on any of the critical raw materials presented in either the 2020 Commission communication or Foresight Study on critical raw materials. Particularly since they can also be produced throughout the EU and the rest of the world, this gives them a strategic advantage over other technologies. It is therefore possible to reduce foreign dependency through local and regional value chains.

3.15.4.Future challenges to fill technology gap

Reaching the expectations of LTS 1.5°C scenarios by 2050, requires dramatic scaling up of renewable fuel production. Advanced biofuel capacity would have to expand from 1.8 Mt capacity today to roughly 40 Mt capacity by 2050 to reach amounts achieved in EU LTS scenarios. This requires large-scale demonstrations and commercialisation of several production pathways by 2030. Similarly, e-fuel production would need to rapidly advance from slightly over 1000 tons to nearly 40 Mt production capacity by 2050. To achieve this FOAK plants, demonstrations and commercial expansion are necessary within the next 30 years.

However, the production of advanced biofuels is limited by the availability of a sustainable feedstock. The Renewable Energy Directive aims to ensure that biomass is produced in a sustainable way, and therefore conventional biomass contribution is capped to avoid direct competition with food production and sustainability criteria are established to prevent land use changes or degradation and harm to biodiversity. Upholding these criteria also implies that there is a limit to the potential for scaling up biomass in a sustainable way. It has been highly debated what amount of sustainable biomass is available in the EU. On a global scale, the IEA considers this (including waste, residues and designated feedstocks) to be roughly 140 EJ (3,300 Mtoe). The EU-LTS implies an availability between 150 and 250 Mtoe within the EU28. Given the inconclusiveness regarding sustainable supply, the LTS prioritises the use of biomass for those areas where electrification is not feasible, and e-fuels are too expensive.

Sustainable feedstock supply will therefore be an increasing challenge. To help address this challenge, R&I can contribute to integration of advanced biofuel feedstock with other land uses (e.g. agroforestry systems) as well as using feedstock to improve soil conservation and remediate degraded land. In this way, it may be possible to increase sustainable feedstock supply while contributing to other sustainability goals, such as soil conservation and improved rural socio-economic conditions.

However, a foreseeable challenge might also be the potential supply chain competition between sectors as well as within the biofuels sector. The 2018 updated EU Bioeconomy Strategy suggests a potential increase in demand in biomass. One of the objectives of the EU Bioeconomy Strategy 44 is to increasingly replace fossil-based materials and chemicals with bio-based products. To reduce pressure on biomass resources, circularity is central to the Bioeconomy Strategy, as it is the renewable segment of the circular economy. The Bioeconomy Strategy also recognises ecological boundaries to bioeconomy and aims to improve understanding of these boundaries and optimise resource use.

E-fuels are also limited by the availability of electricity as well as hydrogen, both of which will face increasing demand from other sectors. To address this challenge, key measures include improvements in energy efficiency and scaling up of renewable energy resources as well as hydrogen electrolysers and transport infrastructure.

One of the greatest challenges is the speed with which renewable fuels must scale up to achieve 2030 and 2050 emission targets, particularly for aviation and shipping sectors. This means scaling liquid biofuels from 16 Mtoe up to 40 Mtoe within 30 years, while shifting from conventional to advanced feedstock and production pathways. More dramatically, the LTS implies scaling up e-fuels from a negligible amount today up to 20-40 Mtoe also within 30 years. Investments and reforms in Recovery and Resilience Plans of Member States, as well as stronger policy incentives may help give more speed to this transition.

Related to this are the challenge of reducing investment and operating costs. While various advanced biofuel production pathways have reached demonstration level, high investment and operating costs remain a barrier. Large-scale demonstrations can help address this challenge by increasing experience and reducing operating costs. Increased public financial support for R&D can also help to reduce private investment risks. Yet, even with these measures, costs will likely remain higher than conventional biofuels and fossil fuels. Levelling the playing field will likely require stronger policy incentives.

While production capacity developments indicate the EU will likely remain a market leader in specific fuel pathways, such as HVO, FAME as well as ethanol production from hydrolysis and fermentation, there are other key pathways where the EU risks falling behind the rest of the world. These include pyrolysis oil, aerobic fermentation and HTL, all of which are key pathways for jet-fuel. This could imply a further challenge to supply security as well as the speed at which it is possible for the aviation sector to decarbonise. To address this challenge, it may help to focus R&I priority on production pathways that yield fuels suited for such key sectors over those that primarily provide fuel to sectors with potential alternative solutions such as electrification or hydrogen.

3.16.Solar thermal power

3.16.1.State of play of the selected technology and outlook

Solar thermal electric or concentrating solar power (CSP 45 ) plants generate electricity by converting solar energy to heat, which is then used to generate electricity in a thermal power block. When combined with a thermal storage system, CSP provides dispatchable, renewable electricity. CSP plants require high levels of steady, direct normal insolation (DNI > 1900 kWh/m2/year). This limits the range of potential locations in the first instance. Only southernmost Europe offers suitable (but not good) locations. European organisations are leaders in R&D and engineering for CSP systems. Growth of the sector worldwide can support EU jobs and promote economic growth.

Concerning the role of CSP in the EU energy transition, the Commission’s 2018 LTS scenarios uses a single solar technology category for electricity generation, covering both PV and CSP. The cost assumptions imply that the solar power capacity in the scenarios is almost entirely covered by PV. On the other hand, the potential additional market value of CSP’s capacity to use stored thermal energy to generate power after sundown has not been not taken into account up to now. In the Low Carbon Energy Observatory project the JRC used a more technology-rich model to look at the possible impact of individual technology and cost developments in Europe. Although the baseline scenario shows no CSP uptake, a pro-renewables scenario and a “SET-Plan” scenario, where all technologies meet their SET plan cost reduction targets, show the CSP capacity growing to over 100 GW by 2050.

The two major designs used today are parabolic trough power plants and central receiver or power tower systems. CSP systems comprise the following main elements: solar field (reflectors and receivers), a heat transfer and storage system, and thermal-to-electric power conversion unit. CSP plants are rated in terms of the maximum power output in MW (AC electricity output). The annual load capacity factor for a commercial plant without storage is approximately 27% but can be made much higher by increasing the size of the solar field and adding thermal storage to allow operation also after sundown. Indeed thermal storage is increasingly the key selling point for CSP technology. The current generation of plants with 150 MW rating and 10 hours storage offer a storage capacity an order of magnitude above large battery units, and at about 50% less cost per MWh. From an environmental perspective, water consumption is comparable to fossil thermal power plants, but dry-cooling CSP designs are under development. Life cycle analysis of GHG emissions leads to low values, typically below 40 gCO2eqv/kWh.

CSP can be combined with other power generation technologies, either for solar-assisted power generation or in hybrid configurations. There is interest for combining CSP with a PV field to support the ancillary power requirements in daytime. CSP can also provide heat for industrial processes. Fuel synthesis is a further option, as demonstrated by EU supported projects on thermochemical splitting of H2O and CO2 into hydrogen and carbon monoxide.

Capacity installed, generation

The current worldwide capacity of CSP power plants is approximately 5.6 GW, with only a marginal penetration in the global electricity market. There are 83 operational plants in 11 countries. The IEA envisages a modest role for CSP in the long-term, with installed capacity rising to 60 GW by 2030 and 267 GW by 2040 under its sustainable development scenario. The main markets are expected to be in the Middle East and Asia-Pacific regions, particular in China and India. The EU market is limited; by 2050 installed capacity would amount to 14 GW, providing about 1% (45 TWh) of its electricity 46 . The IRENA ReMAP analysis is more ambitious 47 , with a 2050 scenario including 633 GW of CSP (contribution 3.7% of electricity generation).

In the EU27 current capacity is 2.4 GW. Spain has approximately 45 plants of 50 MW size, which were installed in the period 2009-2013 until a change in Spanish government policy halted further developments. The National Energy and Climate Plans (NECPs) indicate 6.2 GW of new capacity by 2030 (the total installed capacities would then be Spain, 7.3 GW, Italy 0.88 GW, Greece, 0.1 GW, Cyprus, 0.05 GW, Portugal, 0.3 GW).

Figure 232 Annual CSP capacity additions and country breakdown

Source 228 NREL/SolarPACES data base and JRC analysis 48

Cost, LCOE

CAPEX for CSP plants has fallen by over 50% in the last 10 years. The value for a large plant (100 MW or larger) with 8 hour storage is currently about 6 EUR million/MW. Both the SET Plan and US research programmes recognise that this needs to come down to the level of 3 EUR million/MW. CSP technology has significant scope for improvement in all areas: the solar field, the power block, high-temperature higher efficiency power cycles and thermal storage. However, with very modest global market growth, it remains a challenge to develop volume production processes to drive down costs, as has happened for other renewables. This is all the more critical as the deployment of a new generation of large battery storage units with capacity of hundreds of MWh is already underway in Australia and the US. Such plants may compete with CSP as providers of dispatchable electricity.

IRENA’s LCEO estimates for 2019 are approximately 180 USD/MWh, and recent auctions suggest that this can be halved for plants currently in construction in favourable locations. As mentioned above, LCOE may not however fully reflect the market value of dispatchable CSP electricity.

Figure 233 LCOE trend for CSP plants

Source 229 IRENA 49

R&I

Public R&I funding

Based on IEA data and JRC analysis, public funding is in the range EUR 70-100m (excluding China). The main declared contributors in 2016 were US, Australia, Germany, Switzerland, France and Denmark. In terms of time trends, funding saw a substantial increase around 2008-2010, followed by some levelling off and even a decreasing trend more recently.

Private R&I funding

Patent data provides an alternative route to assessing R&D investments made by public and private organisations (albeit with a 3 to 4 time lag given the process for processing applications). The JRC analysed data from Patstat (European Patent Office) for the period 2000 to 2016. For the EU28 this data indicates private/public innovation investments of approximately EUR 300 million in 2014. Compared to the values reported above for publicly funded R&D, the data suggests that EU private/industrial organisations are making investments of the order of EUR 200 million per year. It remains to be seen whether the declining trend is confirmed by more recent data, or whether it has stabilised, aided by the latest market developments. For China, the estimates are considered to contain substantial uncertainties, also in view of significant year-to-year fluctuations. Nonetheless they confirm that Chinese organisations are making substantial investments in STE technology, as in all forms of clean power generation, and can be expected to compete strongly with European and US firms in the international market in the coming years.

Patenting trends

This analysis looked at the Patstat (European Patent Office) data for the period to 2016. Overall filings grew strongly over the last decade and are at a level of about 2500 per year. The main application areas are the generic solar thermal energy category, heat exchange systems and mounting and tracking. In terms of the global regional breakdown for 2016, considering all patent family applications China is dominant with an 82% share. In contrast, the EU28 is leader with a 37% share for “high value” patents (applications in more than one patent office).

Publications / bibliometrics

Approximately 300 research articles (excluding reviews, books, conference proceedings etc) are published on CSP annually. Figure 235 shows the geographical breakdown in terms of author affiliation for the previous five years (2015 to the present) according to a search performed with the Clarivate Web of Science search tool. It identified 1811 articles, and organisations from EU28 countries are involved in 47%. The US is also a leader in this area and there is a significant (and increasing) contribution from China The most prolific organisations include the US DoE, DLR, the Helmholtz Association, CNRS, Chinese Academy of Sciences and the University of Seville. The most frequent topics include thermal heat transfer and thermal storage.

A separate analysis in Scopus of the 20 most cited articles for the same time period found that EU28 organisations were involved in 40%, the US in 15%, China in 10% and other countries in 50%.

Figure 234 Regional breakdown of patent families for 2016 for all patent family applications (2761) and high value applications (138) submitted to multiple patent offices.

Source 230 JRC analysis of PATSTAT data

Figure 235 Geographic distribution of the top-20 countries with organisations that published CSP research articles (excluding reviews) from 2015 to the present

Source 231 JRC analysis using Clarivate Web of Science search tool

3.16.2.Value chain analysis

Turnover

The JRC estimates the 2020 global market at : approximatley EUR 3 billion. This is consistent with the assessment of ResearchAndMarkets.com that : “the CSP power market is projected to grow from an estimated USD 3.5 billion in 2020 to USD 7.6 billion by 2025, at a CAGR of 16.4% from 2020 to 2025”

Number of companies in the supply chain, incl. EU market leaders

Leading CSP technology companies CSP include Abengoa (Spain), BrightSource Energy (US), Aalborg CSP (Denmark), Supcon Soalr (China), TSK Flagsol (Germany), , Cobra Energia (Spain), Torresol Energy (Spain), Acciona Energy (Spain), Siemens (Germany). Ener-T International (Israel), Flabeg FE (Germany), Ingeteam Power Technology (Spain), Rioglass (Belgium), Sener (Spain).

The European trade association ESTELA lists 49 organisations with activities are spread over 9 EU27 countries and a strong Spanish presence.

Table 28 Companies listed in in the ESTELA European solar thermal industry directory

Aalborq CSPA

Abengoa

ĄTEG

ATA Insļghts.

ATA Renewables

BASF ESPAÑOLA

CENER

CMI sa - BU SOLAR

CSP Services GmbH

DLR

Eastman Chemical - Theminol Products

ECILIMP TERMOSOLAR

Empresarios Agrupados

ENEA

Enel Green Power

ENGIE

Exera Enerqia Srl

Fichtner GmbH 8 Co. KG

Fraunhofer ISE

Grupo Cobra

IA Tech GmbH

IK4 TEKNIKER

IMDEA Energy

Innogy SE

Kraftanlagen München GmbH

LEITAT Technoloqical Center

Meteo

NEMATIA Technologies, SL

PROMES-CNRS

Protarget AG

PSA CIEMAT

Rioglass

ROBA Piping Projects

sbp sonne qmbl

JENER

SENIOR FIEXONICS

Seried Consultores S.l.

Solarlite CSP Technoloqy GmbH

SQM International N.V.

SUAVAL Group

Suntrace GmbH

Tecnalia Research & Innovation

The Cyprus Institute

The Dow Chemical Company

TSK Flagsol Engineering GmbH

Universidad Carlos III de Madrid

VIRTUALMECH

Wacker Chemie AG

Employment figures

IRENA reports that the CSP provides 34,000 jobs, of which approximately 5000 in Europe 50 .

ProdCom statistics

There is no Prodcom code that specifically addresses CSP plants. This probably reflects small size of the market and that it involves a mix of technologies and components: reflectors, solar absorbers/receivers, heat transfer & storage equipment, steam boilers and the steam turbine & generator sets 51 .

3.16.3.Global market analysis

Trade (imports, exports)

No detailed data on trade for CSP equipment and services has been located up to now. However, in terms of the global annual market it is likely that trade represents a sginifiant share (>50%) since most projects are developed in countries other than those of the main suppliers (EU, China)

In its input paper to the Strategic Research and Innovation Agenda of the Clean Energy Transition Partnership for Horizon Europe, the EU CSP industry foresees a conservative 50% share in the future developments up to 2030. Given the IEA estimate of 60 GW worldwide installed to that year, this could mean a business market of around EUR 100 billion.

Global market leaders VS EU market leaders

EU27 companies have traditionally been leaders in all aspects of CSP technology and project development. A recent trend is the emergence of Chinese organisations as international project developers (e.g. Shanghai Electric) and technology providers (e.g. Supcon Solar).

Critical raw material dependence

CSP plants do not use (or not significantly use) materials from the EU’s critical raw materials list 2020.

3.16.4.Future challenges to fill technology gap

The EU is well positioned in the solar thermal power market. However, the market potential of the CSP technology appears still untapped, especially considering the high number of possible applications.

There are a wide range of options for decreasing costs and improving the performance of CSP plants. The solar field (comprising the reflecting systems themselves and the ground-works) accounts for approximately 40% of CAPEX and is an obvious target for cost reductions. Indeed a recent US analysis 52 sees potential for saving 44% of solar field costs, 14% of power block costs, 23% with a higher efficiency cycle and 19% with low cost thermal storage.

Ultimately, higher working fluid temperatures and heat storage density are needed to raise efficiency. CSP is uniquely placed to provide high input temperatures in the solar receiver, but use of molten salt-based systems may be limited by corrosion problems with high temperature ternary salts. Hence the interest in various air, supercritical CO2 or liquid metal concepts, coupled with high temperature and economic heat storage methods. The following H2020 projects are exploring such concepts 53 .

·NEXTOWER (2017-2020) is working on a high temperature ceramic solar receivers with a maximum materials temperature of at least 800°C, to be exploited with a molten salt or liquid lead heat transfer and storage system;

·SCARABEUS (2019-2023) is working on supercritical CO2 cycles with a maximum temperature of up to 700°C;

·CAPTURE (2015-2020) studies an air receiver concept intended to operate at 1200oC,

·NEXT-CSP (2016-2020) aims to demonstrate a particle-in-tube heat transfer concept with a 4 MWth receiver on the Themis facility solar tower, capable to heat particles up to 800°C;

·POLYPHEM (2018-2022) studies a high temperature air receiver supplying a micro-gas turbine top cycle; recovered heat is stored in a thermocline and used in an ORC bottom cycle.

Bringing innovative concepts to a commercial level remains a major challenge. For instance, the solar thermal power sector uses different kind of turbines for producing electricity: steam turbines, gas turbines, and more recently, turbines working on supercritical CO2 cycles (having increased efficiency, compared to steam turbines). The main parameters to consider to orient the turbine choice are the expected maximum temperature which can be achieved by the working fluid in the plant and the required power capacity. Often these turbines are not “off-the-shelf” products but custom made turbines by specialized suppliers. Some turbines for the solar thermal power sector are still R&I target in the EU and USA (e.g. supercritical CO2 cycles).

The SET plan CSP implementation plan sees first-of-a-kind plants as essential to allow full-scale demonstration and create investor confidence. Such projects could apply to the new Innovation Fund or for Recovery Funds. Finally, standardisation is also important for critical components and for installation qualification. EU organisations should be encouraged to continue to support efforts at international level.

3.17.Smart Grids 54 – Digital infrastructure 55  

3.17.1.Smart Grids in the energy transition

Smart energy networks, especially a smart electricity grid, have a fundamental enabling role to play in the energy transition. Europe’s electricity networks have provided the vital links between electricity producers and consumers with great success for many decades. The fundamental architecture of these networks has been developed to meet the needs of large, generation technologies, located remotely from demand centres.

However, in recent times, environmental and energy challenges are changing the electricity generation landscape in Europe and beyond. The drive for lower-carbon technologies, renewable energy sources (RES), combined with greatly improved efficiency on the demand side, will enable consumers to become much more inter-active with the networks. More customer-centric networks are the way ahead, but these fundamental changes will impact significantly the network design and control.

The analysis which underpins the Commission Long Term Strategy “A Clean Planet for All” 56 shows that a very important single driver for a decarbonised energy system is the growing role of electricity which will be mostly generated by renewables 57 .

A smart electricity grid opens the door to new capabilities and applications with far-reaching impacts:

·It provides the capacity to integrate safely more energy from renewable energy sources (RES), electric vehicles and distributed flexible generation into the network;

·Delivers power more reliably through comprehensive control and monitoring capabilities using automatic grid reconfiguration to prevent or restore outages (self-healing capabilities);

·Delivers power more efficiently and without compromising the needed reliability through demand response and by enabling consumers to have greater control over their electricity consumption and to participate actively in the electricity market.

The future energy system will have to rely on much higher balancing capacities such as better interconnections, more storage, deeper demand response, capability to integrate with other sectors and flexible generation units. Digitalisation, energy storage, power electronics components, HVDC, software platforms or demand-response to name some, are all key elements of a decarbonised energy system. While not all of them can be strictly classified as technologies, the combination of all elements into one system that is moving towards real time operations to accommodate higher shares of renewable energy generation aims to be a clean “technology”.

The following analysis will focus on elements like digitalisation in the O&M of the grids and the use of digitalisation to integrate Distributed Energy Resources (DER) 58 .

The figure below 59 is already providing an overview of the status of emerging digital applications in the power sector that include the transmission and distribution grids.

Figure 236 Emerging digital applications in the power system

Source 232 https://www.irena.org/publications/2019/Sep/Enabling-Technologies

3.17.2.Investment in Smart Grids & digital infrastructure

Investment in Smart Grids is mainly on hardware. At the same time, hardware dominates the investment in digital grid infrastructure. Elements of hardware in the digital grid infrastructure include smart meters and growing number of EV chargers. This leaves the investment in software in the order of a few percentage points of the total amount as shown in the figures below.

Figure 237 Global Investment in Smart Grids by technology area 2014-2019 (billion USD)

Source 233 https://www.iea.org/reports/tracking-energy-integration-2020/smart-grids

Figure 238 Smart Grid investment by category made by European TSO in recent years (2018)

Source 234 60

Public R&I investments in smart grids at EU level are mainly supported through Horizon 2020, at almost EUR 1 billion over the period 2014-2020, of which EUR 100 million was invested in dedicated digitalisation projects and many other smart grid projects that dedicate a considerable amount of their budget to digitalisation (at least EUR 400 million) 61 . Having said so, most of the investment in R&I for grid management software comes from the private sector 62 .

Figure 239 R&I Investment in Grid management, 2018

Source 235 63

Smart electricity grids are also one of the 12 priority areas under the TEN-E Regulation. Cross-border smart grids could benefit from higher levels of support from regulatory authorities through inclusion in national network development plans, political recognition, and eligibility for EU financial assistance in the form of grants for studies and works as well as innovative financial instruments under the Connecting Europe Facility  (CEF). From 2014 to 2019, CEF has provided up to EUR 134million of financial assistance related to different smart electricity grids projects across the EU.

IEA published in June 2020 64 the following analysis related to grid investment that shows different trends and reasons for grid investments in different regions of the world:

·in Europe, 2019 investments remained stable at nearly USD 50 billion 65 , with a larger portion of spending allocated to upgrading and refurbishing the existing grid to accommodate more variable renewable energy and greater electrification;

·smart meters, utility automation and electric vehicle charging infrastructure now account for more than 15% of total grid spending (USD 40 billion 66 ) globally;

·electricity grid investments declined for the third consecutive year, falling to less than USD 275 billion 67 (7% from 2018). The United States overtook China as the top grid investor for the first time in a decade;

·grid investment in the United States increased by 12%, following a continuous upward trend in the last decade to finance the considerable labour required to upgrade aging infrastructure, digitalise the system, electrify sectors such as transport and heat, and secure the grid against natural disasters and cyberattacks.

Because of some of the above mentioned grid investments, curtailment of renewable energy generation could be reduced. For Europe some estimations listed below include:

·enhanced digitalisation 68 : 67 TWh in 2040 (demand-response 22 TWh & storage technologies 45 TWh). Estimated in 2016 by the IEA;

·grid capacity increase of 128 GW 69 up to 2040: 110 TWh (45 billion Euro investment). Estimated in 2020 by ENTSO-E.

Related to the above, and as a word of caution on the potential to reduce curtailment, it is worth noting that the IEA in his report of June 2020 has indicated that “Experience from 2019 shows that new technology alternatives can avoid or defer investment in traditional transmission and other network infrastructure. The benefits demand response and storage technologies can offer to networks remain contentious. Regulations will need to evolve to reflect their new roles, including the leveraging of flexibility from consumer aggregation and grid congestion”.

In this context, the implementation of the Clean Energy Package appears to be crucial in reaching the expected curtailment reduction estimations. In Germany alone, 6.48 TWh were curtailed in 2019 and grid stabilisation measures costed EUR 1.2 billion 70 .

Related to demand response, a handful of appliances could provide the required flexibility.

In 2016, in preparation of the CEP (Clean Energy Package), the theoretical Demand Response potential in 2030 in the EU was estimated 71 to be around 160 GW: Electric vehicles (around 30GW), Home electricity storage (around 30 GW), Ventilation (around 18GW), Refrigeration, households + retail (around 16 GW), Heat pumps (around 10 GW), Air conditioning (around 7 GW). These figures would have to be updated but it is expected that the message stays the same, focusing on some appliances might be enough to deliver the expected benefits.

What was indicated in 2016 as future possibilities 72 ( Table 29 ) has already translated into commercial propositions in 2020 73 where owners of small-scale assets help balance the grid and ensure security of supply.

Table 29 Capabilities of DER to provide future ancillary services (2016)

3.17.3.Digital infrastructure for O&M of the Grid

During the last decades, the O&M strategies have transitioned towards what is today’s new target; predictive maintenance. In getting there, digitalisation plays a key role.

Figure 240 Evolution over the last decades of O&M approach

Source 236 Guidehouse Insights, 2018

In order to understand the status of network assets to successfully delivering predictive maintenance, utilities rely on additional sensors and measurement devices that collect data in real-time. This data is then communicated to a central analytics platform that can be used to analyse the data to generate insights about how the asset is likely to behave in future and react preventively. The central analytics platforms are known as Asset Performance Management (APM) platforms. They help reduce (O&M) costs, improve efficiency, reduce unplanned downtimes, and extend the lifetime of the asset.

The IEA estimated some of these benefits in 2016 74 :

Figure 241 Global Cumulative savings 2016-2040 IEA 2017

Source 237 IEA, 2017

In recent years, there has been an emergence of distributed intelligence (edge computing) that doesn’t rely on central analytics platforms and that is increasing the capabilities of IoT devices from sensing to actuating ( i.e. at substation level).

The next section will focus on two elements of the O&M. Namely, IoT devices and software platforms for predictive maintenance, APMs.

IoT devices

Broadly, the entire transmission and distribution infrastructure is transitioning away from modular or integrated analog sensors, and moving toward multifunctional digital sensors, often capable of decision-making in real time and onsite, and even further onto connected, interactive IoT devices. This represents significant technological advancements, and as the price of sensor devices themselves continues to fall, and communications and compatible IT systems become ubiquitous, market penetration will continue to grow in the European market.

Across the entire European markets for grid monitoring, sensors, and connected IoT devices, a recent study 75 estimates that more than 90% of overall new investment is occurring on the distribution networks.

Market size

Across the forecast period, the same study 76 expects the EU27 market for the sensors and monitors to grow from EUR 1.15 billion in 2020 to EUR 1.73 billion by 2030, at a compound annual growth rate (CAGR) of 4.6%. A few factors limit the market for standalone sensor equipment. Namely:

·the trend to fully integrate sensors and IoT equipment into major primary assets like transformers and protective equipment. Thus market size and growth for standalone metering devices is capped;

·devices can cost as little as EUR 50-100, so even large volumes do not necessarily lead to a very large market;

·the transmission side of the market is already well equipped with monitoring devices, lowering the necessity for new equipment in that part of the market.



Figure 242 Sensing and IOT Monitoring Devices Revenue, EU27, 2020-2030

Source 238 ASSET Study commissioned by DG ENERGY - Gathering data on EU competitiveness on selected clean energy technologies (Draft, 2020)

Vendor overview

The study 77 estimates that the top players cover approximately 70-75% of the European market. The remainder of the market is made up of smaller, local players, and low-cost sensor and device providers from China. Major AMI (Advance Metering Infrastructure) providers are not necessarily included in this technology and use case, as the products are fundamentally different. Top players with a High Market share are: Hitachi ABB, Siemens, Itron, Schneider Electric.

Software platforms for predictive maintenance 78

APM (Asset Performance Manager) can be seen as a platform that integrates multiple systems and sources of asset data, with dedicated asset analytics that sit on top to offer insights that cut costs and improve safety and reliability of the power grid.

In assessing the market for predictive analysis, APM builds a bridge between software such as enterprise asset management systems (AMSs), geographic information systems (GISs), meter data management systems (MDMSs), mobile workforce management systems (MWMSs), and other relevant sources of data that pertain to assets. Upon consolidating this information, analytics can translate data into meaningful insights that cut costs and improve safety and reliability of the power grid.

Looking at the software implementation itself, there is growing acceptance of software as a service (SaaS) purchase models for utilities even though some of the utilities are also developing in house solutions.

Market size

The study estimates that the APM revenue in EU27 market will grow at a CAGR of 6.4% between 2020-2030, to reach 160 Million Euro in 2020.

The scope of analysis includes APM software and deployment spending 79 . APM software consists of software license fees and SaaS spending, while deployment includes implementation and integration services as well as annual maintenance fees. While still nascent, the market for APM solutions can be viewed as relatively strong from a global perspective.

Figure 243 APM Market size, EU27, 2020-2030

Source 239 ASSET Study xxx, 2020

Vendor overview

APM is a relatively new sub-market of utility IT & analytics, and no vendors’ position is dominant. The competitive landscape for APM technologies is a relatively diverse mix of IT and OT (Operational Technology) system providers, data management solution providers, and analytics vendors. This includes companies such as Hitachi ABB, IBM, Schneider Electric SE, Oracle, GE, Siemens, and C3.ai.

Schneider Electric SE and Siemens are the key EU-based providers of APM technologies.

3.17.4.Digital infrastructure for flexibility management in the grid 80

In a system with a growing share of variable RES and distributed energy resources congestion starts appearing, creating demand for inter-TSO and TSO-DSO coordination across voltage levels.

The technologies like Distributed Energy Resources Management System (DERMS) and Advanced Distribution Management System (ADMS) have been deployed to address the issues of system imbalances, congestion and, commercial flexibility services. DERMS software offers control systems that enables optimized control of the grid and DER (to the extent that a utility may be able to dispatch and control DER).

ADMS (DMS, OMS and SCADA) unifies operational and engineering data for state analysis, switching, outage management, and planning. It maintains a single as-operated model of the distribution network based on the as-built model (typically from a geographic information system [GIS]). This consolidated suite of applications includes real-time monitoring, simulation, static engineering applications, and outage management.

In addition to DERMS and ADMS that support the flexibility market use case, there are other technologies that also play roles of varying degrees of significance in enabling the use of the flexibility such as:

·Advanced Metering Infrastructure (AMI) enables the flexibility market through provisioning of the end-consumer/prosumer data and communications to both behind-the-meter and front-of-the-meter DERs;

·Virtual Power Plants (VPPs) and aggregators are increasingly becoming popular where the markets have matured enough to allow the participation of aggregated energy services into the mainstream markets;

·DER analytics ;

·BEMS (Building Energy Management System) , HEMS ( Home Energy Management System);

·EV charging infrastructure & platforms.

While in this document some of them are analysed separately, there isn’t always a clear cut and there is a trend towards the merging of some of the software suites.

In order to understand the size of the flexibility market sw compared to others, see the table below where the use cases have been extracted from the EC study “Assessment and Roadmap for digital transformation of the energy sector towards an innovative Internal Energy Market” 81 .

Table 30 Overview of market sizes, growth and lead vendors

H (High), M (Medium), L (Low) refer to market share

Source 240 ASSET Study commissioned by DG ENERGY  - Gathering data on EU competitiveness on selected clean energy technologies (Draft, 2020)

Complementing the market size information above, it can be seen that a handful of global companies, many of which are European, are active in different energy related software markets.

Table 31 Technology Vendor market share mapping (draft)

Source 241 ASSET Study commissioned by DG ENERGY  - Value & Supply Chain for Digital Technologies in some use cases in the Energy Sector (Draft, 2020)

Globally the situation is very similar with a small pool of companies dominating the landscape 82 .

The figure below shows the respective global market shares of the top six providers across all value chain segments (DERMS, DER Analytics and VPP).

Figure 244 Grid management technologies Global market share of biggest providers

Source 242 ASSET Study commissioned by DG ENERGY - Gathering data on EU competitiveness on selected clean energy technologies (Draft, 2020)

Trying to enter the market, several oil and gas (O&G) and other energy providers are making strategic investments in grid management technologies by acquiring companies (Next Krafwerke (DE), Kiwi power (UK), Limejump (UK)) and have acquired or made strategic investments in smaller start-ups in European and US market 83 .

DERMS (Distributed Energy Resources Management System)

EU growth will be driven by a number of market and technology factors, including the proliferation of DERs, network constraints, high levels of grid automation, carbon and energy efficiency requirements, and larger digital transformation initiatives.

Market Size

Figure 245 DERMS Revenue, EU Market 84

Source 243 Guidehouse Insights

It is to be noted that the biggest share of the market is on deployment of solutions. This is valid for many grid related software solutions as will be shown below.

Vendor overview

The DERMS market is largely characterized by a small pool of global vendors having a moderate market share: Schneider Electric, Siemens, GE, Hitachi ABB.

ADMS (Advanced Distribution Management System)

EU growth will be driven by high rates of substation and feeder automation, carbon and energy efficiency targets, adoption of renewables, smart metering initiatives.

Because an ADMS conceptually includes many of the functions of the distribution SCADA, it is natural to consider it fundamental to the system. Many utilities’ SCADA systems are not yet at the end of their useful life. Therefore, desired ADMS upgrades may require integration with these systems (as opposed to replacement). Vendors typically offer an ADMS as a suite that includes a modular set of systems with multiple licenses that can be purchased over time to facilitate gradual installation.

As the need for multitude of IT systems grows, implementation and integration can become exponentially more challenging and expensive. Vendors are responding by making their suites of systems highly interoperable and adopting modular system architectures.

Market size

The ADMS revenue in EU27 market will grow at a CAGR of 5.4% between 2020-2030. The ADMS software revenue stems from the licensing costs and software customisations, whereas the deployment revenue is the annualized spending on the implementation and integration services and support and maintenance.

Figure 246 ADMS Revenue, EU Market

Source 244 Guidehouse Insights

Europe has the highest penetration of ADMS technologies globally. This is due to several factors, including high rates of substation and feeder automation, carbon and energy efficiency targets, adoption of renewables, smart metering initiatives, and more.

Most Western European utilities are expected to have one or more ADMS modules deployed while Eastern Europe shows lower rates of ADMS penetration regionally.

Vendor overview

The ADMS market is largely characterized by a small pool of global vendors.

The pool is made up of traditional, large OEMs (General Electric [GE], Schneider Electric SE, Oracle Corporation, Siemens AG, ABB, and Advanced Control Systems—Indra). It also includes a couple smaller vendors (ETAP, OSI, and Survalent Technology Corporation) making inroads around managed services and cooperative and public utility targeting.

 VPP (Virtual Power Plant)

VPP aggregation platforms are software platforms that enable aggregators to manage a portfolio of distributed energy resources such as batteries, photovoltaics, flexible loads and electric vehicles in a manner that allows customers to access a greater number of energy markets.

VPPs can help to transform passive energy consumers into active prosumers through the integration and optimisation of technologies such as demand response (DR), solar PV systems, advanced batteries, and EV supply equipment (EVSE). At scale, VPPs represent the concept that intelligent aggregation and optimisation of DER can provide the same essential services as a traditional 24/7 centralized power plant.

Europe has been and continues to be (for the near future) the global VPP leader in terms of capacity. This is a function of several factors, including DER growth, market opening, valuation of non-traditional assets, and carbon reduction and efficiency goals. However, explicit demand response participation by residential loads through aggregators is not yet fully developed in all the EU MSs due to technical, market and regulatory barriers.

Germany is anticipated to capture about one-third of the total VPP market’s annual capacity by 2028 85 .

Market size

Europe has also been the driving force behind VPP spending, accounting for nearly 45% of global spending in 2020.

Figure 247 VPP Revenue, EU Market

Source 245 Guidehouse Insight, 2020

While software cost is majorly attributed by the licensing, development and customisations, the deployment consists of implementation and integration services to enable VPP aggregation platform and provide ongoing maintenance activities

Vendor overview

Leaders are currently in the strongest position for long-term success in the VPP market.

Companies with High share include ABB and Next Kraftwerke followed with some with Moderate market share such as Schneider Electric or Centrica Business solutions.

Building Energy Management Systems (BEMS) and Home Energy Management Systems (HEMS)

While not part of the grid management these technologies are included here due to their increasing interaction with the grid and managing of flexibility loads.

HEMS and BEMS are hardware, software, and services platforms that facilitate monitoring and management of energy in residential and commercial buildings. HEMS are a key component of Smart Homes and are strictly related to Smart Appliance and Smart Lighting, where EU companies are among the world market leaders 86 . HEMS and BEMS have increased their capabilities with the advancement of technologies such as IoT, machine learning or AI and are aggregating increasing amount of data.

EU27 is a global leader in BEMS 87 Companies have successfully leveraged their leadership in building controls and related hardware, and moved into ever more advanced energy management systems.

This is not the case for HEMS where many key players are coming from North America. Same as for BEMS, during the last years, the HEMS market has been integrating new data streams coming from consumer smart home devices and energy appliances.

Figure 248 Overview EMS market & players

Source 246 ASSET Study commissioned by DG ENERGY - Gathering data on EU competitiveness on selected clean energy technologies (Draft, 2020)

Market size 88

Figure 249 EU27 Market Size 2020-2030

Source 247 Guidehouse Insights, 2020

Barriers to rapid deployment of the solutions to manage grid flexibility  89  

Barriers to a more rapid deployment of the solutions to manage flexibility in the grid include:

·energy market/system regulations not designed for the emerging applications and technological solutions;

·system Costs - Digital grid management technologies, particularly DERMSs, are naturally expensive due to their control system capabilities and number of integration points;

·communications Requirements - DER deployments have been sparse, making it difficult for utilities to justify the establishment of dedicated networks. Communications investments in the short term are likely to be small and incremental, using public cellular networks and past investments as much as possible;

·data Quality Remains a Concern - To adapt to the complex operating environment experienced today, utilities need to further invest in data integrity, most notably connectivity model correction and accuracy;

·availability of System Alternatives - Most major utilities do not require a DERMS at this time to enable granular control of DER.

3.17.5.Future challenges

The following conclusions can be drawn based on the analysis of the different smart grid sub-sectors described in this section:

·investment in grid reinforcement and digital infrastructure is necessary to reduce the curtailment of renewable energy sources. The lion’s share of smart grid investments is in hardware, including in digital grid infrastructure (such as smart meters and eV chargers). The share of software investment is in the order of a few percentage points;

·a handful of global companies, many of which are European, dominate the market of software solutions for the management of the grid and the management of the flexibility provided by DER. In this context, European companies such as ABB, Siemens or Schneider Electric are very well positioned to maintain their existing European and global leading position in various grid and flexibility management software solutions market;

·new entrants have difficulties to enter the market, but oil & gas and energy providers are doing so through acquisitions of stablished players and investment in start-ups.

The digital technologies that underpin the solutions in this chapter are in different states of maturity when applied to the energy sector, as shown in the next figure.

Figure 250 This figure includes the maturity level in 2019 and also includes various technologies such as Block chain or Digital Twins from the 2018 figure

Source 248 Gartner, 2019

But it is important to note that in the development of smart grids, the volume of data generated by energy systems and the digital technologies used are not considered a barrier when moving towards real time operations. 90 There is no evidence that the data volumes being generated, transmitted and analysed is an issue today. Furthermore, developments in digital technologies such as edge computing, smarter IoT devices, AI, machine learning, big data etcetera, are able to handle the data amounts typically dealt with in the energy sector, also when moving towards real time data handling.

The challenge to promote competitiveness of the digital energy services is access to data, data interoperability and sharing of data among different stakeholders and of different parts of the energy value chain as well as in integrating different platforms and software solutions making use of data. Market-wide interoperable platforms for easy data access and data exchange are therefore key.

Interoperability is required at many levels (including technical & semantic interoperability). In this context, one of the challenges is the mix of legacy technologies/devices and state-of-the-art ones (in particular because of the long life duration of the components in the energy sector, often between 20 and 40 years).

Easy access to and sharing of data should allow all possible sources of flexibility to contribute, but the focus in promoting market participation could be on a handful of appliances that could provide the bulk of the required flexibility volumes 91 in the demand response side. The implementation of the Clean Energy Package is key in setting the conditions for data access and sharing to enable the development of the market for smart grids and energy services.

The role of citizens and communities is key when it comes to making the flexibility at appliance level available for the grid; therefore, this is addressed in the next section.

3.18.Citizen and community engagement 

Moving towards net-zero economies and societies can only be successful when citizens go along with the required changes. It is therefore important to understand the perspective and the role of citizens in the energy market and in the energy transition at large. More concretely, effective energy transition places citizens at the heart of its strategy by closely looking into main motivational factors and strategies to engage them and situating the energy consumer in a broader social context.

However, it is unrealistic to assume that all, or even a majority of citizens, will become active purely using economic incentives. As an example, citizens do not necessarily invest in energy efficiency, even when this would be economically beneficial for themselves. This suggests that other factors than pure economic self-interest motivate engagement in the energy transition. Engagement strategies can be both individual and community-oriented. The evidence shows an increasing trend of EU projects focusing on a more inclusive approach based on individual and community dynamics 92 . In other words, there is an emerging trend of engagement strategies based on changing community’s behaviours to reach goals that benefit the community at large, as well as an approach that aims at changing individual behaviours tapping into non-economic factors, such as by providing energy consumption feedback appealing to social norms 93 .

This section doesn’t follow the structure of other sections as citizen and communities engagement is not a competitive industry in itself, but it is a key dimension for successful policies that depend on citizen and community engagement, and for many companies that want to be competitive in the clean energy technology market. Therefore, this section addresses, in a brief way, the regulatory, technical social and behavioural, barriers and the state-of-play to address them. Future reporting can address how the EU performs in this sector compared to the rest of the world.

3.18.1.Citizen and community engagement in the Energy transition – status and outlook

To engage citizens in the energy transition, it is important to identify potential accelerators – such as social innovation – as well as social or behavioural barriers and levers to greater citizen engagement. This is recognised in the EU’s scenarios for 2050, as the scenarios that achieve higher GHG reductions are those that couple technological solutions with consumer choices that reduce or use energy demand in a more efficient way.

Estimates suggest that by 2030, energy communities could own some 17% of installed wind capacity and 21% of solar 94 . By 2050, almost half of EU households are expected to be producing renewable energy.

Public institutions, especially local authorities are often crucial to facilitate energy consumers engagement by building the sense of a community and to reach those that are the hardest to reach, e.g. vulnerable consumers 95 In addition, collective action enabled by citizen energy communities can empower energy consumers to not only become an active consumer but also an active market player by providing energy services to the grid and contributing towards more competitive and efficient energy markets. A collective approach to energy consumer engagement through citizen energy communities also facilitates the emergence of innovative energy services and new energy market players 96 .

It is therefore encouraging to note that the number of energy community initiatives is growing rapidly in the EU and there are currently 3.500 Renewable Energy Cooperatives in Europe. 97  

Figure 251 Indicative number of energy community initiatives

Source 249 JRC based on various sources, 2019

The figure above 98 shows an indicative number of energy community initiatives such as cooperatives, eco-villages, small-scale heating organisations and other projects led by citizen groups in nine European countries. An analysis of 24 case studies of Community energy projects in nine countries 99 in Figure 252 shows the type of activities these initiatives are typically engaged in.

Figure 252 Indicative share of activities across energy community initiatives

Source 250 JRC based on the case student, 2019

3.18.2.Technical and regulatory barriers & possible solutions 

Technical barriers for renewable energy self-consumers as well as jointly acting renewable energy self-consumers are mainly associated with expensive and lengthy grid connections, which requires active management of distribution electricity grids and innovative commercial and connection arrangements 100 . This is particularly an issue for the increasing number of energy cooperatives in Europe. Another technological barrier is the use and availability of data and ICT (e.g. block chain) for effective control of the energy community. 101  

The main regulatory challenges for collective self-consumers are associated with self-consumers not being able to legally set up a renewable energy community or citizen energy community, with lack of incentives to set up jointly acting renewable self-consumer projects and, in some cases, with the reduction or removal of existent incentives, such as feed-in tariffs 102 .

The Clean Energy Package (CEP) enables citizens to have a real influence over their energy footprint through specific market arrangements and reinforced consumer rights. 103 Moreover, the CEP acknowledges the central role that collectively acting consumers can play in the energy transition and have established a legislative framework where ’jointly-acting consumers’ and ’jointly-acting renewable self-consumers’ have more opportunities to get involved. Additionally, the CEP also introduces the concepts of “citizen energy communities” and “renewable energy communities” as a way to engage consumers and increase the acceptance of renewables. These concepts may also contribute to tackle energy poverty by transferring the extra energy produced to vulnerable households.

These recent policy developments have paved the way for development of favourable frameworks across Europe for jointly-acting energy consumers and energy self-consumers. Some Member States (France, Germany, UK, Netherlands, Belgium, Croatia, Italy, Spain and Portugal) have already put in place regulatory frameworks to facilitate the uptake of energy communities as a way to engage and empower the energy consumer/self-consumer. Some initial results in this respect indicate that the current legal framework at the EU level represents a clear opportunity for energy consumers and citizens taking the lead and clearly benefit from the energy transition 104 .

3.18.3.Social and behavioural barriers and key elements from science, research and innovation to address them

The choices to renovate one’s house or to self-produce renewable energy are exemplary ways for citizens to engage in the energy transition. However, the level of adoption of these behaviours is far less than the level required to achieve the ambitious environmental targets. At the same time, while some citizens are concerned with the protection of the environment, others do not perceive it as priority. The reason behind such a heterogeneous landscape lies in the fact that citizens face multiple barriers in making optimal choices for themselves and the society. In particular, in addition to structural factors (like the availability of capital), the choice to engage in the energy transition is influenced by several social and behavioural dimensions 105 .

Using Social Sciences and Humanities (SSH) is critical in order to better understand public perceptions of energy policies, corresponding choices and forms of organisation and behaviour, as well as surrounding contexts and governance arrangements and how they could be adapted to the new challenges. In addition, factoring in Behavioural Sciences is key to both understand the factors that affect citizens’ participation in the energy transition, and to design more effective interventions enabling them to become actors of change 106 .

In particular, in the last years, a plethora of empirical knowledge has given a more evidence-based understanding of human behaviour to inform the policy-making process 107 . The insights of these fields well serve the scope of engaging citizens, as they can be applied by different actors. As an example, these fields highlight that the decision structure is crucial for citizens to engage in decisions that are beneficial for themselves and society. In order for citizens to engage in pro-environmental behaviours, like the decision to become a prosumer, the decision should be structured in a way that citizens perceive it as easy. Changing behaviour requires effort but the cognitive capacities to make optimal decisions are limited 108 .

Similarly, providing more information or more economic incentives does not necessarily translate in a change in behaviour, especially when this information is framed as too complex, or the associated benefits are perceived as too uncertain. Therefore, citizens should be provided with assistance to process that information, and it needs to be presented in a way that accounts for uncertainty aversion. As citizen engagement in the energy transition requires cross-sectoral and multi-level collaborations among different actors, this knowledge has to be accessible not only to a few expert actors. Therefore, a closer dialogue between social and behavioural scientists with key-decision stakeholders should be encouraged 109 .

Evidence also shows the importance of leveraging on collective dynamics and on the specific social context to activate consumers’ response. A participatory approach that builds on a sense of community and of shared values and goals can be beneficial in mobilising consumers’ response 110 . A more participatory and inclusive approach offer also the possibility of reaching mainstream consumers as well as those that are the hardest to reach (e.g. vulnerable consumers) and to address energy poverty 111 .

Engaging consumers in a collective effort requires the implementation of well-thought engagement strategies. Figure 253 presents some engagement interventions used in collective action R&I projects to involve consumers at collective level to reach a common objective.

Figure 253 Consumer engagement interventions trialled in collective action projects

Source 251 JRC

These engagement strategies can be grouped in five main areas 112 :

·increased awareness;

·participatory approach;

·incentives and rewards;

·community trusted actors;

·behaviourally informed interventions.

Besides interventions, involvement of relevant stakeholders appears as one of the main enabling factors for effective consumer engagement.

3.18.4.R&I to further develop citizen and community engagement

In practice, addressing the social and behavioural factors to promote citizen engagement in the energy transition means:

·analysing the nature of the problem (i.e. low uptake of energy efficiency measures or low adoption of storage systems), by assessing theory-driven hypotheses with qualitative and quantitative methods and identifying barriers (such as present-biased preferences, incorrect beliefs, status quo bias, and limited attention) and levers (such as pro-environmental preferences, personal and social norms, trust, autarky aspirations and status concerns);

·improving traditional instruments (i.e. financial, regulatory and information instruments) that are already addressing the problem, such as by using a framing that captures citizens’ attention, targeting financial instruments based on existing motivations, and providing information on the behaviour of a relevant group;

·trailing interventions on the decision structure, such as by decreasing the perceived financial effort (like enabling citizens to pay the energy efficiency measure with the generated energy savings), setting pro-environmental default options (like thermostat settings), providing options to publicly commit to save a certain amount of energy.

The benefits of integrating SSH and Behavioural Sciences were demonstrated in a range of H2020 projects that provided guidance, lessons and recommendations on how to increase citizen engagement 113 :

·engage and inform consumers/citizens in new ways through:

oeducation, awareness and dialogue - explaining technical aspects to consumers/citizens is helpful to implement a successful engagement strategy (e.g. H2020 project GAIA 114 );

odeveloping user-friendly interfaces (including apps) that turn energy management technologies into easy-to-use services (H2020 projects PeakApp 115 , eTeacher 116 , FEEdBACk 117 ). The apps can also attract consumers/citizens by offering an added value, such as an overview of their energy consumption in real time;

ouse of drivers such as social inclusion, quality of life and sharing benefits (e.g. in the H2020 project ECHOES 118 );

oenergy cooperatives/ energy communities that increase the acceptance for renewable energy projects and provides an opportunity to invest private capital in such projects (H2020 project ECHOES 119 ).

·identify success factors that support citizen’s engagement:

oa pro-active public administration and participatory mechanisms: explore the dimension “working with” through experimentation, creativity, rather than “extracting data from”, knowledge-sharing and fostering a local identity (H2020 project SMARTEES 120 );

oapplying a behavioural science approach to better understand individual behaviour in the domain of energy efficiency, (H2020 projects PENNY 121 , BRISKEE 122 );

obetter understand the decision making of consumers/citizens (H2020 project SHAPE ENERGY 123 );

otest behaviourally informed interventions to improve energy consumption (H2020 project NEWCOMERS 124 );

orecognising the segmentation of consumers’ profile: what is valuable for consumers/citizens depends on the situation. For a hospital, it is important not to have a blackout, while for residential buildings it could be to reduce CO2 output (H2020 project Energy-SHIFTS 125 ).

3.18.5.Challenges

Engaging consumers/citizens in the longer-term is a challenge that needs to be addressed in order to keep them as active as during the project. Easy-to-use IT tools such as apps can contribute to keep the continuity of consumer/citizen engagement.

Applying SSH knowledge on a large scale and replication best practices widely and rapidly is needed to achieve the levels of citizen engagement required to achieve climate neutrality in 2050. As demonstrated in the presented projects, energy-related projects and initaitives should take into account the social and behavioural dimension already at the stage of their design. This requires guiding the design of technological solutions, supporting local administrations in their dialogues with citizens and other key stakeholders, and strengthening communication about community energy projects. This should lead to more and long-term sustainable behaviour.

Moreover, engaging consumers/citizens in the longer-term is a challenge that needs to be addressed in order to keep them as active as during the project. Easy-to-use IT tools such as apps can contribute to keep the continuity of consumer/citizen engagement.

A more participatory approach that builds on a sense of community and of shared values and goals can be beneficial in mobilising consumers’ response and for reaching those that are the hardest to reach (e.g. vulnerable consumers) and to address energy poverty.

Last but not least, recent policy developments acknowledge the role of jointly acting renewable energy self-consumers and further encourages the active role consumers may have in the energy transition. This means that energy communities as a legal entity of jointly acting consumers should be able to compete on a level playing field with other market players, however, adequate regulatory frameworks need to prevent undue restoration in existing energy markets. 126  

3.19.Smart cities & communities

3.19.1.Introduction

Urbanisation is progressing quickly worldwide. Today, 55% of the global population is living in cities and it is expected to increase to 68% by 2050 127 . It is likely that soon 80% of the EU’s population will live in cities. As a consequence, cities are responsible for a high level of energy consumption and particularly vulnerable to the impacts of climate change. Cities as complex systems can holistically tackle the challenges and provide innovative solutions in different fields 128 . Moreover, the majority of energy and climate policies depend on local authorities for their implementation.

In this context, cities are key actors to realise the European Green Deal, and they can play a key role in developing a holistic and integrated approach to the energy transition, and its link with other sectors, such as mobility, ICT, and waste or water management. This challenges companies to innovate and provide solutions that look beyond individual technologies. In smart cities digital and telecommunication, technologies contribute to the efficiency of traditional networks and services increasing the benefit of its inhabitants and businesses. 129 When this works well, it provides for both better living standards in more sustainable cities and for innovative companies that provide technologies or services that have proven to work.

This section does not follow the structure of other sections as smart cities and communities is not a competitive industry in itself, but it creates a market for systemic innovation that can contribute to the competitiveness of the EU clean technology industry. Therefore, this section addresses the 4 steps but not the individual indicators, as many smart city investments or companies are combining a range of technologies to provide a systemic innovation. This section therefore makes no cross-reference to the many other relevant sections.

3.19.2.Current situation and outlook

To support this interaction between cities and industry, the European Commission launched the H2020 Lighthouse Programme 130 in 2013, supporting cities and companies to cooperate to test and develop integrated solutions that include clean mobility, energy-efficient districts with a high share of renewables as well as ICT-enabled and smart integrated infrastructures. Cities applying to be a Lighthouse City have to have a Covenant of Mayors Sustainable Energy and Climate Action Plan or a similar plan, that is at least equally ambitious. Since then, the European Commission funded 17 projects of EUR 18-25 million each. Furthermore, in order to ensure replication and scaling-up afterwards, demonstrations in 2 to 3 lighthouse cities are closely followed by 3-5 fellow cities that plan to implement the integrated solutions at a later stage.

Currently, the programme now counts 46 lighthouse cities and 70 fellow cities. While only 3 out of the 17 projects are now finalised, the programme has nevertheless already achieved 53% energy savings, up to 88% CO2 reduction, more than 17.500 smart meters installed and over 1 million m2 floor space refurbished, more than 5.270 e-vehicles introduced, nearly 500 e-charging stations installed, and more than 260.000 citizens engaged in this transformation 131 . It is coordinated with Member States investments in smart cities and communities through the Strategic Energy Technology (SET) Plan’s action 3.2 on Smart Cities & Communities 132 and the Joint Programming Initiative Urban Europe 133 .

In Horizon Europe, support for smart cities will continue, in particular through the Mission on Climate-Neutral and Smart Cities that aims to realise 100 climate-neutral cities by 2030. In addition, cooperation and exploitation of synergies are being developed with the 10 000+ cities of the Covenant of Mayors for Climate and Energy to i.a. replicate Smart City solutions across the Union. Last, but not least, the Smart Cities Marketplace 134 collaborates with both initiatives and will continue to support rolling out of Smart City solutions with its Explore-Shape-Deal 135 process and private investments facilitated by its Investor Network 136 .

3.19.3.Value chain analysis

Technologies

Providing solutions in the urban context requires addressing a complex, holistic, multi-actor, multi-sector and multi-level ecosystem 137 . Smart city solutions combine different technologies and innovations and integrate them, in particular:

·smart Cities & Communities drive investments in energy system integration 138 and combine energy efficiency technologies with citizens’ empowerment measures as well as renewable energy generation, such as (renewable) heating and cooling;

·to address GHG emissions from transport, urban mobility challenges and air pollution, smart cities invest in electric mobility and logistics, Hydrogen vehicles 139 , as well as alternative Mobility schemes (e.g. smart booking, routing and information systems);

·digital technologies are key for smart cities, to make energy system integration happen, as well as integration with the transport system (for e-mobility) and for alternative mobility schemes. Furthermore, digital technologies provide the data and feed the models that cities need to manage this ever-more complex integration and optimisation of systems, in particular to plan and/or steer future investments. Many modelling tools are already available 140 to predict the impact of a technological solution applied to a real-world scenario and should be considered as effective planning aids. Urban (data) platforms, open digital marketplaces (ensuring security and respecting privacy) and AI are key for this, but also to enable innovative peer to peer collaborative schemes between citizens and/or visitors, allowing them to provide shared access to their flexible assets, such as locally generated energy, parking places, personal EV-charging facilities, to name a few. Open Source solutions are important since they avoid vendor lock-ins, ensure a level playing field and they help building user confidence.

System innovations and non-technical prerequisites

Beyond the pure integration of above-listed technologies and areas, the realisation of a Smart City depends to a much larger extent on system innovations and non-technical prerequisites. They are connected to “social innovation” and novel ways of capturing both economic and non-economic values. Below key factors are listed in a non-exhaustive way:

·institutional Capacity and ownership: city administrations – supported by their respective local leaders – need to understand and respect the needs of the city society and translate it into strategies, plans and measures. In order to be capable to do this, city administrations have to build the necessary know-how, both in terms of available technologies and solutions, but also in terms of interactions with the city society, planning skills, standards, business models, to name just a few;

·experimenting, engaging and learning processes: a culture of innovation based on experimenting and the possibility of learning from failures and successes need to be established. This includes regulatory experimenting (e.g. regulatory sandboxes, exemptions for living labs, pilot regulation), allowing administrations to grant exemptions from existing regulations to test and replicate promising (social) innovations. It also requires purposeful and sensible engagement of civil society in a multi-directional and inclusive way, with citizen-driven approaches and citizen-empowerment. 141 This needs to be followed up through learning processes for public and private actors;

·standards: standards for single technologies,  integrated energy systems, and holistic comprehensive multi-sectorial standards such as the areas of integrated planning or city scale KPIs will help making Smart City approaches cost effective, lowering their (commercial) risks and facilitating the replication and scale-up of solutions, which is key for achieving the impact needed for the Clean Energy Transition.

3.19.4.Global Market analysis

As the urbanisation trend is global, worldwide efforts have been drastically increased over the past decade in the field of making cities smarter and a driver for innovation, for example:

·the US Department of Transportation relaunched its smart city challenge 142 in 2016, encouraging cities across the country to submit innovative plans and compete for grants;

·China highlights smart city development as one of the major priorities in its 14th Five-Year Plan (covering 2021–2025) 143 , and more than 500 cities across the country have already developed strategies or launched pilot projects;

·India has a 100 smart cities 144 programme well underway;

·the Smart Nation Singapore programme 145 combines a number of measures to transform Singapore into a “smart nation” across six core areas, most of which are also relevant for cities: strategic national projects, urban living, transport, health, digital government services, start-ups and businesses. 

Furthermore, other countries in the world have national smart city programmes and market investment initiatives in development, such as Brazil, Russia, Korea, and Malaysia. These initiatives contribute to the global fight against climate change and at the same time present a market for EU companies that provide smart city solutions. Therefore the EU promotes international cooperation of cities, for example through the Global Covenant of Mayors. 146

3.19.5.Challenges

Enabling cities to drive climate neutral transformations require an integrated, coordinated approach in which technologies, holistic urban planning, a combination of large-scale public and private investments, effective communication and co-creation between policy makers, economic actors and citizens concur to achieve the goal. This, in turn, requires research and innovation in technologies as well as in processes, knowledge and capacity growth involving city authorities, businesses and citizens, in particular:

·to build capacity and tools to develop integrated strategies and planning: This should include tools and processes for strategy development (e.g. participatory foresight, horizon scanning, etc.) and for planning for participation, engagement and orchestration of public and private stakeholders as well as city society. Evidence shows that cities still lack the needed horizontal co-ordination, co-operation, and collaboration;

·financing the transition constitutes a critical gap for the transition to climate-neutral cities: cities often act individually and lack the capacity to develop and adequately present projects attractive for private or public investors. Credit rating is a further common barrier;

·systematic screening of investments: Investment decisions taken today are often irreversible and will impact urban sustainability for a long time to come, as the lifespan of buildings and infrastructures is at least several decades. Knowledge on low hanging fruits and upcoming opportunities for making cities low carbon is often lacking at city level, despite the availability of detailed geographical data.

Quite substantial research has been done on social innovation, co-creation, and co-realisation with citizens of climate-neutral and smart solutions. Citizen and communities engagement in the energy transition – behavioural and social dimension, communication), and there is a need to make this knowledge available and operational to local administrations, for example in the form of guidelines.

4.Conclusions

The “Clean Energy Transition – Technologies and Innovation Report” (CETTIR) is the Staff Working Document (SWD) underpinning the first annual Competitiveness Progress Report (CPR) 147 .

This SWD first provides more details and data on the technologies that are addressed in the CPR, namely Offshore wind, Ocean energy, Solar photovoltaics, Renewable hydrogen, Batteries, and Smart grids 148 .

The analysis is completed by the other clean and low carbon energy technologies and topics that are important to achieve climate-neutrality in 2050 149 . These are: Buildings, Carbon Capture and Storage (CCS), Geothermal, High Voltage Direct Current Systems, Hydropower, Industrial Heat Recovery, Nuclear Energy, Onshore Wind, Renewable Fuels, Solar Thermal Power, Smart Girds – Digital Infrastructure, Citizen and community engagement, and Smart Cities and communities.

Competitiveness is assessed, in this SWD as well as in the CPR, at macroeconomic level and at the level of specific technologies/topics, mapping a set of widely recognized competitiveness indicators and studying their evolution and use those as the basis to identify future challenges. The macroeconomic assessment shows that the clean energy technologies perform better as the rest of the economy, in terms of value-added, labour productivity and employment growth.

Concerning the technology and topic specific analysis, the following issues are worth highlighting:

On solar photovoltaics and batteries, the challenge for EU is to grasp the market opportunities that will arise from the growing demand, both in Europe and globally. For the solar photovoltaics EU industry, this would mean increasing the market share in the manufacturing segments of the value chain where specialization or high performance/high value products are key, building on the strong knowledge of the EU research institutions, the skilled labour force, and the existing and emerging industry players 150 . Similarly, in the batteries industry, Europe is currently devoting great efforts to both regaining a share of the cell manufacturing segment and at the same time developing the next generation of Li-ion batteries. Through the European Batteries Alliance, the EU works to enhance its future position in this market.

On offshore wind energy, ocean energy and renewable hydrogen, the EU currently holds a first-mover advantage. But this competitive position may change as the market grows and further competitors enter the market.

Given the prospect of a growing domestic market is important for the industry to strengthen its position and expand in the global market. However, the expected, multi-fold increase of the market capacity size for these technologies suggests that the industry’s structure will change. The challenge is to pool expertise along the value chains, within an innovative and competitive market, to reach the required economies of scale.

For this reason, the announced European Clean Hydrogen Alliance aims at further strengthening Europe’s global leadership of the electrolyser industrial sector. Furthermore, because of the similarities between the technologies, the EU’s current leading position in the market along the whole electrolysers value chain, from component supply to final integration capability, offers significant spill-over potential between batteries, electrolysers and fuel cells.

As regards offshore wind and ocean energy, a long-term vision will be set out in the upcoming offshore renewable energy strategy. Ocean energy technologies are yet to become commercially viable. In order to maintain and expand the EU’s current leading position, the challenge is to increase the scale and number of demonstrators, and at the same time accelerate the commercialization of the most advanced technological approaches. The offshore wind industry shows an impressive capacity to innovate, with a rapid cost decrease and remarkable performance improvements. This sector, which is now pushing the boundaries of the technology (e.g. floating offshore for countries/markets with steeper coastlines), will benefit by the projected expansion of the home market. This, together with sustained R&I funding would strengthen the current EU technology leadership and the EU competitive advantage in the global market.

The EU holds a strong competitive position in onshore wind and hydropower technologies. For onshore wind, the large scale of the market 151 and increasing capacity outside Europe offer promising prospects to a relatively well positioned EU industry in the wind value chain 152 . More specifically, EU researchers and companies are leading players in the onshore wind value chain developing digital technologies (sensing and monitoring systems) for onshore wind turbines. In this context, further innovations efforts in reducing visual impact and noise, and in increasing the turbines performances will contribute to further and fully exploit the EU competitive advantage.

Similarly, for hydropower, the importance of the market 153 and the EU’s share in global exports (the global exports in 2019 accounted for EUR 878 million in 2019 with EU countries holding 48% of it) are a good basis for a competitive industry, with European companies present in major value chain segments (e.g. design, manufacturing and supply of hydropower equipment, R&D and civil works).

The increasing need for a more flexible operation of both onshore wind parks and hydropower stations demands a higher level of digitalisation, which is therefore a key priority for the EU competitiveness.

Another key challenge for wind onshore and hydropower is to use repowering/refurbishment of older installations as an opportunity to radically reduce their environmental footprint and increase social acceptance.

For renewable fuels the key issue is to shift from first to second and third generation fuels so that the feedstock becomes sustainable, and to optimise its use. To do so, scale up to increase industrial production, via demonstration projects, will be important moving forward.

To increase the availability of sustainable biofuels beyond the limited waste and residue feed-stocks, it is important to lower costs and risks through large scale demonstration of the key production pathways (pyrolysis, gasification, fermentation). In parallel, large R&I investments could help to gain experience and push technology development in the currently limited e-fuel development, while maintaining the EU’s competitive edge through first of a kind plants, demonstrations and scaling up.

The EU is well positioned in the geothermal (market of approx. 1 EUR billion) and the solar thermal power (market of approx. EUR 3 billion) markets. These markets are comparatively small but there is untapped potential considering the high number of possible applications.

EU is a net exporter of services for geothermal energy projects and equipment, mainly as project developers, utilities and operators. To fully exploit the untapped geothermal potential, the areas that are most urgently in need for funding need to be identified to better target R&I funding. Past and current EU-funded projects have been and are advancing the state-of-the art, mainly for exploration (drilling), new materials/tools and the enhancement of reservoirs, among others. However, it is difficult to assign levels of importance to each research area. The areas that are most urgently in need for funding should be identified to better focus the support. This would also allow to fill the lack of high-skilled labour force (geothermal engineers and trainers) and non-technical experts so that to strengthen the position of the EU industry in the global market.

Similarly, EU companies have traditionally been leaders in all value chain segments of the solar thermal power technology. However, to face its US and emerging Chinese competitors and to maintain and expand its competiveness, it is important for the EU industry to improve the performance and the cost effectiveness of solar thermal power plants.

The development of Carbon Capture and Storage (CCS) technologies is currently hampered by the lack of viable business models and markets. The analysis of the whole value chain (capture, transportation with pipelines and storage) shows that the EU28 + Norway market size value is about EUR 450 million, second only to North America (with a size larger than EUR 800 million). The public sector can help in creating viable business models by supporting the development of CO2 transport infrastructure to create scale and lower the risk for private investors in CCS on both sides of the infrastructure.

As regards nuclear energy technologies, important EU companies are competitive across several segments of the value chain. The EU nuclear sector currently generates an annual trade surplus of EUR 18.1 billion. To maintain competitiveness, the sector focuses on developing and constructing on schedule, and guaranteeing safety and waste disposal for the decommissioning of existing plants.

Smart grids can open the door to new applications with far-reaching inter-disciplinary impacts, among which providing the capacity to safely integrate more renewable energy sources, smart buildings, electric vehicles and distributed generation into the network. The EU smart grid industry is expected to grow considerably over the next decade, and although it is a small market compared to wind or PV, it creates value for everything connected to the grid. Due to its regulated nature, governments and regulators in the EU play a key role in exploiting the benefits of this industry.

HVDC systems are key to transport electricity over larger distances, and are particularly important to develop EU’s offshore wind resources. So far, vendors have sold turnkey systems independently, as they were installed as point-to-point HVDC connections. In the more interconnected offshore grid of the future, HVDC systems from different manufacturers will need to be interconnected. This brings technological challenges to maintain grid control and to ensure the interoperability of HVDC equipment and systems. Moreover, as all components need to be installed on offshore platforms it is important to reduce their size.

In the converter stations’ value chain, power electronics play a key role in determining the efficiency and the size of the equipment. However, the energy system specific applications represent only a small share of the global electronic components market (passive, active, electromechanical components and others which was about EUR 316 billion in 2019), and there is a need to develop power electronic solutions specifically for offshore energy applications.

A key sector when it comes to the reduction of CO2 emissions is the buildings sector, representing 40% of the EU’s energy usage. The EU has a strong position in sectors 154 such as prefabricated building components, district heating systems, heat pump technologies and home/buildings energy management systems (HEMS/BEMS). In the specialized sector of prefabricated buildings, EU 28 production value increased from EUR 31.85 billion (in 2009) to EUR 44.38 billion (in 2018), and exports from the EU are growing as well, although at much smaller volumes (1.88 billion EUR in 2018). The lighting sector is experiencing a radical transformation, not only because solid state devices consume a fraction of the energy of the older technology, but also because of the broad spectrum of possibilities (colour, shape, size) to integrate lighting in the living and working environment. The EU has a long tradition in designing and supplying innovative and high efficient lighting systems but as this market will be driven by large scale mass production it seems to favour Asian suppliers, despite the high innovative capacity in manufacturing and design existing in Europe.

The EU is a world leader in District Heating and Cooling (DHC) technology and exports it globally, especially to China, USA and South Korea. The industrial heat recovery sector is important for its CO2 emission reduction potential in a hard-to-decarbonize sector and the current industry in the EU, for example in industrial heat pumps, would benefit if the sizable market potential for the recovery of industrial waste heat would be developed further.

But the energy transition is not all about technologies, it is also about fitting these technologies into the system.

On the basis of the observed urbanization trends, cities can play a key role in developing a holistic and integrated approach to the energy transition, as they integrate grids to transport people, goods, energy and water with ICT and digital solutions. The challenge for cities to drive climate neutral transformations is to combine technologies, holistic urban planning, large-scale public and private investments, and co-creation between policy makers, economic actors and citizens. Technology adaptation, process innovation, knowledge and capacity growth involving city authorities, businesses and citizens are the driver of the transformation.

Succeeding in moving towards net-zero economies and societies requires placing citizens at the heart of all actions by closely looking into main motivational factors and strategies to engage them and situating the energy consumer in a broader social context. The engagement strategies will have to be both individual and community-oriented, aiming not only at providing economic incentives, but also at changing individual behaviours tapping into non-economic factors, such as by providing energy consumption feedback appealing to social norms. The current legal framework at the EU level represents a clear opportunity for energy consumers and citizens taking the lead and clearly benefit from the energy transition.

The clean energy sector is gaining in importance in the EU economy, in line with the increased demand for clean technologies. The evidence collected in this report points at common challenges to enable a better exploitation of the economic potential of the clean and low carbon energy sector, namely:

1.The decrease of public and private investments in clean energy R&I together with a decrease in patenting activities;

2.Key characteristics of the energy market (in particular the high capital intensity, long investment cycles, new market dynamics, coupled with a low rate of return on investment) make it difficult to attract sufficient levels of investment into this sector, which affects its ability to innovate;

3.Use the increased resource efficiency and higher spill-over potential of the clean energy technologies (compared to the conventional ones) to catalyse their accelerated deployment and market uptake.

5.List of missing indicators for specific technologies/topics

CETTIR Technologies and Sectors

Missing Indicators

Technology analysis

Value Chain analysis

Global Market Analysis

Batteries

Private R&I funding (we have only figures, not text); Publications / bibliometrics

GVA growth; Employment figures; Productivity

 

Buildings: Prefabricated building components

Cost / LCOE; Patenting trends; Publications / bibliometrics

Employment figures; Productivity (labour and factor); ProdCom statistics

 

Buildings: Energy efficient lighting

Cost / LCOE; Public R&I funding
; Private R&I funding

Employment figures; Productivity (labour and factor); ProdCom statistics

 

Buildings: district heating and cooling industry

Cost / LCOE; Public R&I funding; Private R&I funding; Publications / bibliometrics

Turnover; Gross value added growth; Employment figures
; Productivity (labour and factor)

; ProdCom statistics

 

Buildings: heat pumps

Public R&I funding; Private R&I funding; Publications / bibliometrics

Productivity (labour and factor)
; ProdCom statistics

 

CCS 155

Publications / bibliometrics

Turnover; GVA; employment figures; Productivity; ProdCom statistics

Trade

Solar Thermal Power (CSP)

 

GVA; Employment figures; Productivity (labour and factor)

 

HVDC

 

Productivity; ProdCom statistics

 

Hydrogen

Private R&I Funding, publications and bibliometrics

Turnover, GVA, productivity, ProdCom statistics

Trade; global market leaders vs EU market leaders

Industrial Heat Recovery

 

Turnover (available for heat pumps in general, not industrial heat pumps specific); GVA; Productivity; ProdCom statistics

Trade (no aggregated data available);

Nuclear

 

Employment; Productivity (labour and factor)

 

Ocean

Publications and Publiometrics

Productivity (labour and factor); ProdCom Statistics

Trade

PV

Private R&I Funding

Productivity (labour and factor); ProdCom Statistics

 

List of acronyms

AC

Alternating Current

ADMS

Advanced Distribution Management System

AEL

Alkaline Electrolysis

AEMEL

Anion Exchange Membrane

AHT

Absorption heat transformers

AMI

Advance Metering Infrastructure

AMPERE

Automated photovoltaic cell and Module industrial Production to regain and secure European Renewable Energy market

AMS

Asset management systems

APM

Asset Performance Management

ASSET

Advanced System Studies for the Energy Transition

BECCS

Bioenergy with carbon capture and storage

BEMS

Building Energy Management System

BIM

Building information modelling 

BIPV

Building Integrated Photovoltaics

BNEF

Bloomberg New Energy Finance

BNEF NEO

Bloomberg's New Energy Outlook scenario

BOS

Balance of System

CAGR

Compound Annual Growth Rate 

CAPEX

Capital Expenditures

CCGT

Combined Cycle Gas Turbines

CCS

Carbon Capture and Storage

CCU

Carbon Capture and Utilisation

CCUS

Carbon Capture, Utilisation and Storage

CdTe

Thin-Film Technology of Cadmium Telluride used in PV

CEMAC

Clean Energy Manufacturing Analysis Center

CEP

Clean Energy Package

CESBA

Common European Sustainability Building Assessment

CETTIR

Clean Energy Transition – Technologies and Innovations Report

CF

Capacity Factor

CHP

Combined heat and power

CIGS

Thin-Film Technology of Copper Indium/Gallium Disulfide/Diselenide used in PV

CIGS

Copper indium gallium selenide solar cells

CPC

Compound Parabolic Concentrator

CPR

Competitiveness Progress Report

CRMs

Critical Raw Materials 

CSP

Concentrating Solar Power

DC

Direct Current

DER

Distributed Energy Resources

DERMS

Distributed Energy Resources Management System

DG ENER

The Commission's Directorate-General for Energy

DG MARE

The Commission's Directorate-General for Maritime Affairs and Fisheries

DGR

Deep Geological Repositories

DHC

District Heating and Cooling system/technology

DSO

Distribution System Operators

EEAG

Guidelines for State Aid for Energy and Environmental Protection 

EERA

European Energy Research Alliance

EGEC

European Geothermal Energy Council

EGS

Enhanced Geothermal Systems

EIB

European Investment Bank

EPBD

Energy Performance of Buildings Directive

EPC

Energy Performance Certificate

EPC

Engineering, Procurement and Commissioning

EPO

European Patent Office 

ERA-NET

ERA-NET under Horizon 2020 is a funding instrument designed to support public-public partnerships

ERDF

European Regional Development Fund 

ETIPs

European Technology and Innovation Platforms

ETS

Emissions Trading System

EV

Electric Vehicles

EVSE

EV supply equipment

FAME

Fatty Acid Methyl Ester

FCH JU

Fuel Cells and Hydrogen Joint Undertaking

FEED

Front-end Engineering Design

FP6

Sixth Framework Programme 2002-2006

FP7

Seventh Framework programme 2007-2013

FTEs

Full Time Equivalents

GDP

Gross Domestic Product

GHG

Greenhouse Gases

GID

Geographic Information Systems

GIL

Gas Insulated Line

GP ER

Greenpeace’s Energy Revolution scenario

GSHP

Ground Source Heat Pumps

GSHPs

Ground Source Heat Pumps

GVA

Gross Value Added 

H&C

Heating and Cooling

H2020

Horizon 2020

H2P

Heat-to-Power

HEMS

Home Energy Management System

HJT

Heterojunction

HS Codes

Harmonized System Codes

HTL

Hydrothermal Liquefaction

HTS

High Temperature Superconductor

HVAC

High Voltage Alternate Current

HVDC

High Voltage Direct Current

HVO

Hydrotreated Vegetable Oil

ICC

US International Code Council

ICT

Information and Communication Technology

IEA

International Energy Agency 

IEA TCP 

International Energy Agency - Technology Collaboration Programme

IEA WEO SDS

IEA's Sustainable Development Scenario in the World Energy Outlook

IEE

Intelligent Energy Europe

IET

Institute for Energy and Transport

IGBTs

Insulated-Gate Bipolar Transistors

IoT

Internet of Things

IPCC

Intergovernmental Panel on Climate Change

IRENA

International Renewable Energy Agency

IRENA GRO TES

IRENA's Global Energy Transformation, Transforming Energy Scenario

ITER

International Thermonuclear Experimental Reactor

JRC

Joint Research Centre 

JRC GECO 2C_M

JRC Global Energy and Climate Outlook 2 °C medium scenario

JRC-EU-TIMES

Partial equilibrium energy system model maintained by the IET of the JRC

LAE

Lighting Application Efficiency 

LCC HVDC

Line Commutated or Phase-commutated Converters

LCEO

Low Carbon Energy Observatory

LCOE

Levelised Cost of Electricity

LED

Light-emitting Diode

LFP

Li iron phosphate 

LHV

Lower Heating Value

Li-Ion

Lithium-ion

LIPA

Long Island Power Authority

LTO

Long Term Operation

LTS

European Commission's Long Term Strategy for climate neutrality in 2050

LTS 1.5 LIFE

Long Term Scenario Refers to the scenario in the Long Term Strategy which builds upon the 1.5 TECH scenario but assesses the impact of a highly circular economy and the potential beneficial role of a change in consumer choices that are less carbon intensive. It also explores how to strengthen the land use sink, to see by how much this reduces the need for negative emissions technologies.

LTS 1.5 TECH

Long Term Scenario Refers to the scenario in the Long Term Strategy which pushes all zero-carbon energy carriers as well as efficiency, and relies on a negative emissions technology in the form of bioenergy combined with carbon capture and storage to balance remaining emissions.

LWR

Light-water Reactor

MDMS

meter data management system

MI

Mass Impregnated cable systems

MMC

Modular Multilevel Converter

MSP

Maritime Spatial Planning 

MSs

Member States

MtCO2

Million tonnes of CO2

Mtoe

Million Tonnes of Oil Equivalent

MWMS

mobile workforce management systems

NCA

nickel cobalt aluminium oxide 

NECPs

National Energy and Climate Plans

NER300 Programme

One of the world's largest funding programmes for innovative low-carbon energy demonstration projects

NMC

nickel manganese cobalt oxide 

NSERC

The Natural Sciences and Engineering Research Council of Canada

NSF

National Science Foundation of US

O&G

Oil and Gas

O&M

Operation and Maintenance

OECD

Organisation for Economic Cooperation and Development

OEE

Ocean Energy Europe

OEMs

Original Equipment Manufacturers 

OF

Oil-filled cable

OLED

Organic Light-Emitting Diode

OPEX

Operating Expense

ORC

Organic Rankine Cycle

OT

Operational Technology

OTEC

Ocean Thermal Energy Conversion 

OWC

Oscillating Water Column 

Patstat

European Patent Office

PEM

Proton Exchange Membrane

PEMEL

Polymer Exchange Membrane

PERC

Passive Emitter Rear Contact

PHS

Pumped Hydropower Storage

PINC

European Commission’s Nuclear Illustrative Programme

PMSGs

Permanent Magnet Synchronous Generators 

PPAs

Power Purchase Agreements 

PV

Solar Photovoltaic

PWM

Pulse Width Modulation

R&D 

Research and Development

R&I 

Research and Innovation

RE

Renewable Energy

REEs

Rare Earth Materials 

RES

Renewable Energy Sources

RoW

Rest of the World

SaaS

Software as a Service

SC

Superconductors

SCADA

Supervisory Control and Data Acquisition

SDG

Sustainable Development Goals

SET plan

European Strategic Energy Technology Plan

SMEs

Small and Medium Enterprises

SMRs

Small Modular Reactors

SOEL

Solid Oxide Electrolysis – high temperature

SSH

Social Sciences and Humanities

SSL

Solid-State Lighting 

STEM

Science, Technology, Engineering and Math

STL

Superconducting Transmission Lines

TEN-E

Trans-European Network for Energy

TFC

Trilateral Flash Cycle

TRL

Technology Readiness Level

TSO

Transmission System Operators

UHVDC

Ultra High Voltage Direct Current

UV

Ultraviolet

VIPV

Vehicle Integrated Photovoltaic

VPP

Virtual Power Plants

VSC HVDC

Voltage Source Converters

WACC

Weighted Average Cost of Capital

WEEE

Waste Electrical and Electronic Equipment

WEO

World Energy Outlook

XLPE

Cross-linked polyethylene

ZEP

Zero Emissions Platform ETIP

(1) Powering a climate-neutral economy: An EU Strategy for Energy System Integration, COM(2020), https://ec.europa.eu/energy/sites/ener/files/energy_system_integration_strategy_.pdf
(2) Communication from the Commission, A Clean Planet for all - A European strategic long-term vision for a prosperous, modern, competitive and climate neutral economy. COM (2018) 773 final
(3) Communication from the Commission, A Clean Planet for all - A European strategic long-term vision for a prosperous, modern, competitive and climate neutral economy. COM (2018) 773 final, p. 11
(4) IEA Energy Technology Perspectives 2017, pg. 323
(5)  Tonnes of biofuels were given by ETIP Bioenergy. Conversion to toe depends on fuel type. Range of toe estimated by using conversion factors of bioethanol (0.64) and biodiesel (0.86) to toe.
(6)  ETIP Bioenergy Working Group 2 – Conversion Processes and ETIP-B-SABS2 project team, Current status of advanced biofuels demonstrations in Europe, 2020. https://www.etipbioenergy.eu/images/ETIP-B-SABS2_WG2_Current_Status_of_Adv_Biofuels_Demonstrations_in_Europe_Mar2020_final.pdf
(7) A. O’Connell, M. Prussi, M. Padella, A. Konti, L. Lonza, Sustainable Advanced Biofuels Technology Market Report, 2019.
(8)

A. O’Connell, A. Konti, M. Padella, M. Prussi, L. Lonza, Advanced Alternative Fuels

Technology Market Report, 2019.

(9) ETIP Bioenergy Working Group 2 – Conversion Processes and ETIP-B-SABS2 project team, Current status of advanced biofuels demonstrations in Europe, 2020.
(10) According to JRC experts
(11) A. O’Connell, M. Prussi, M. Padella, A. Konti, L. Lonza, Sustainable Advanced Biofuels Technology Market Report, 2019, p. 13
(12) A. O’Connell, M. Prussi, M. Padella, A. Konti, L. Lonza, Sustainable Advanced Biofuels Technology Market Report, 2019, p. 8.
(13) JRC 2020, Low Carbon Energy Observatory, Wind Energy Technology Development Report 2020, European Commission, JRC120709
(14) A. O’Connell, A. Konti, M. Padella, M. Prussi, L. Lonza, Advanced Alternative Fuels Technology Market Report 2018.
(15)

 IEA Bioenergy, Advanced biofuels – potential for cost reduction, 2020

(16)

JRC, State of the Art on Alternative Fuels Transport Systems in the European Union Update 2020

(17)

 Dolf Gielen, Gabriel Castellanos, Kilian Crone,The outlook for Powerfuels in aviation, shipping, 2020. https://energypost.eu/the-outlook-for-powerfuels-in-aviation-shipping/

(18)  Dolf Gielen, Gabriel Castellanos, Kilian Crone, The outlook for Powerfuels in aviation, shipping, 2020. https://energypost.eu/the-outlook-for-powerfuels-in-aviation-shipping/
(19)  A. O’Connell, M. Prussi, M. Padella, A. Konti, L. Lonza, Sustainable Advanced Biofuels Technology Market Report 2019, p.5.
(20) Eionet Report - ETC/CME 2019/8
(21)  Eionet Report - ETC/CME 2019/8
(22) Frankfurt School-UNEP, Global Trends in Renewable Energy Investment, 2019. https://wedocs.unep.org/bitstream/handle/20.500.11822/29752/GTR2019.pdf?sequence=1&isAllowed=y  
(23)  Values converted from USD based on exchange rate of European Central Bank on 15/09/2020 (1EUR = 1.1876 USD)
(24)  A. O’Connell, M. Prussi, M. Padella, A. Konti, L. Lonza, Sustainable Advanced Biofuels Technology Market Report 2019, p.7.
(25) Web of Science, 2020: https://wcs.webofknowledge.com/RA/analyze.do?product=WOS&SID=E6pWBx18Vuae7bU66PW&field=CU_CountryTerritory_CountryTerritory_en&yearSort=false
(26)  ibid
(27)  A. O’Connell, M. Prussi, M. Padella, A. Konti, L. Lonza, Sustainable Advanced Biofuels Technology Market Report, 2019, p.2.
(28) Data compiled by Statistica 2020 based on the 14th to 19th European Observer Reports.
(29) JRC 2020, Low Carbon Energy Observatory, Wind Energy Technology Development Report 2020, European Commission, JRC120709
(30) A. O’Connell, M. Prussi, M. Padella, A. Konti, L. Lonza, Sustainable Advanced Biofuels Technology Market Report, 2019.
(31)

Data compiled from COM, Bioeconomy, 2020, https://ec.europa.eu/knowledge4policy/bioeconomy/topic/economy_en

(32)

 Data compiled from COM, Bioeconomy, 2020, https://ec.europa.eu/knowledge4policy/bioeconomy/topic/economy_en

(33)

 Data compiled from COM, Bioeconomy, 2020, https://ec.europa.eu/knowledge4policy/bioeconomy/topic/economy_en

(34)  ETIP Bioenergy Working Group 2 – Conversion Processes and ETIP-B-SABS2 project team, Current status of advanced biofuels demonstrations in Europe, 2020.
(35) ETIP Bioenergy Working Group 2 – Conversion Processes and ETIP-B-SABS2 project team, Current status of advanced biofuels demonstrations in Europe, 2020.
(36)

 Data compiled from COM, Bioeconomy, 2020, https://ec.europa.eu/knowledge4policy/bioeconomy/topic/economy_en

(37)

  https://www.eurobserv-er.org/online-database/  

(38)

Foreign Agriculture Service, United States Department of Agriculture (USDA), Biofuels Annual, 2020.

(39) Foreign Agriculture Service, United States Department of Agriculture (USDA), Biofuels Annual, 2020.
(40)  A. O’Connell, M. Prussi, M. Padella, A. Konti, L. Lonza, Sustainable Advanced Biofuels Technology Market Report, 2019, p.10.
(41) Data compiled from: A. O’Connell, M. Prussi, M. Padella, A. Konti, L. Lonza, Sustainable Advanced Biofuels Technology Market Report, 2019.
(42)

 Data compiled from: A. O’Connell, M. Prussi, M. Padella, A. Konti, L. Lonza, Sustainable Advanced Biofuels Technology Market Report, 2019.

(43)

A. O’Connell, A. Konti, M. Padella, M. Prussi, L. Lonza, Advanced Alternative Fuels Technology Market Report, 2019.

(44)   https://ec.europa.eu/research/bioeconomy/pdf/ec_bioeconomy_strategy_2018.pdf#view=fit&pagemode=none  
(45) Solar thermal electricity (STE) is also known as concentrated of concentrating solar power (CSP). In principle STE also includes non-concentrating solar technologies, of which the solar chimney (the solar updraft tower concept is the main example). The term CSP also covers generation of solar heat for industrial processes.
(46)

IEA World energy Outlook 2018

(47)

IRENA (2018), Global energy Transformation: A Roadmap to 2050, IRENA, Abu Dhabi

(48)

 Taylor, N., Solar Thermal Electricity Technology Development Report - Deliverable D2.3.3 for the Low Carbon Energy Observatory, European Commission, Ispra, 2020, JRC120955

(49)

 IRENA (2020), Renewable Power Generation Costs in 2019, International Renewable Energy Agency, Abu Dhabi.

(50)

 IRENA Renewable Energy and Jobs – Annual Review 2019

(51) ProdCom item 841919 “Instantaneous or storage water heaters, non-electric (excl. instantaneous gas water heaters and boilers or water heaters for central heating)” refers to solar thermal heating for use in buildings.
(52) 3A. Shultz, Concentrating Solar-Thermal Power Introduction, US DOE Solar Energy Technology Office 2020 Peer Review (available via https://www.energy.gov)
(53)

Taylor, N., Solar Thermal Electricity Technology Development Report - Deliverable D2.3.3 for the Low Carbon Energy Observatory, European Commission, Ispra, 2020, JRC120955

(54) In this document Smart Grids is considering the traditional grid as part of it
(55) In this document Digital infrastructure is considered as including both the hardware and software elements.
(56)  Communication from the Commission, A Clean Planet for all - A European strategic long-term vision for a prosperous, modern, competitive and climate neutral economy. COM (2018) 773 final
(57)   https://ec.europa.eu/clima/policies/strategies/2050_en  
(58) In this document DER include energy generating (i.e. wind, PV), energy storing (i.e. batteries) or energy using (i.e. freezers, air conditioning) resources
(59) https://www.irena.org/publications/2019/Sep/Enabling-Technologies
(60) https://ses.jrc.ec.europa.eu/sites/ses.jrc.ec.europa.eu/files/publications/dsoobservatory2018.pdf
(61) https://www.h2020-bridge.eu
(62)  ASSET Study commissioned by DG ENERGY - Gathering data on EU competitiveness on selected clean energy technologies (Draft, 2020)
(63)  ASSET Study commissioned by DG ENERGY - Gathering data on EU competitiveness on selected clean energy technologies (Draft, 2020)
(64) https://www.iea.org/reports/tracking-power-2020
(65) EUR 42 billion (1 USD = 0.84 EUR)
(66) EUR 33.7 billion (1 USD = 0.84 EUR)
(67) EUR 328 billion (1 USD = 0.84 EUR)
(68)   https://www.iea.org/reports/digitalisation-and-energy  (2017)
(69)   https://www.entsoe.eu/news/2020/08/10/93gw-of-additional-solutions-for-cross-border-electricity-exchange-needed-by-2040-to-achieve-the-eu-green-deal/ ENTSO-E clarifies “The System Needs study expresses needs in terms of cross-border trans mission capacity increase and identifies the most cost-efficient combination of increases, but it does not mean that the identified set of increases are the only solution. The identified needs can be addressed in multiple ways such as increased transmission capacity, storage, hybrid offshore infrastructure, smart grids and power to gas”.
(70)

including costs of curtailment, redispatch and procuring reserve power. These costs are higher in Germany than elsewhere in Europe but nevertheless give a good indication of the cost of curtailment. Zahlen zu Netz- und Systemsicherheitsmaßnahmen - Gesamtjahr 2019, BNetzA, https://www.bundesnetzagentur.de/DE/Sachgebiete/ElektrizitaetundGas/Unternehmen_Institutionen/Versorgungssicherheit/Netz_Systemsicherheit/Netz_Systemsicherheit_node.html, p3

(71) Ecodesign Preparatory study on Smart Appliances (Lot33) https://eco-smartappliances.eu/en
(72) Ecodesign Preparatory study on Smart Appliances (Lot33) https://eco-smartappliances.eu/en
(73) https://equigy.com/
(74)  https://www.iea.org/reports/digitalisation-and-energy
(75)  ASSET Study commissioned by DG ENERGY - Value & Supply Chain for Digital Technologies in some use cases in the Energy Sector (Draft, 2020)
(76)  ASSET Study commissioned by DG ENERGY - Value & Supply Chain for Digital Technologies in some use cases in the Energy Sector (Draft, 2020)
(77)  ASSET Study commissioned by DG ENERGY - Value & Supply Chain for Digital Technologies in some use cases in the Energy Sector (Draft, 2020)
(78)  ASSET Study commissioned by DG ENERGY - Value & Supply Chain for Digital Technologies in some use cases in the Energy Sector (Draft, 2020)
(79)

 The market covers spending of transmission and distribution network operators. APM software related to generation is only included if owned by a T&D grid operator. UK is excluded (10-15% of APM market)

(80)  ASSET Study commissioned by DG ENERGY - Gathering data on EU competitiveness on selected clean energy technologies (Draft, 2020)
(81) Assessment and Roadmap for digital transformation of the energy sector towards an innovative Internal Energy Market https://data.europa.eu/doi/10.2833/36433
(82)  ASSET Study commissioned by DG ENERGY - Gathering data on EU competitiveness on selected clean energy technologies (Draft, 2020)
(83)  ASSET Study commissioned by DG ENERGY - Gathering data on EU competitiveness on selected clean energy technologies (Draft, 2020)
(84)  ASSET Study commissioned by DG ENERGY - Value & Supply Chain for Digital Technologies in some use cases in the Energy Sector (Draft, 2020)
(85)  ASSET Study commissioned by DG ENERGY - Value & Supply Chain for Digital Technologies in some use cases in the Energy Sector (Draft, 2020)
(86)

Information on the trends in market development for Smart Appliances is available in the following report Smart Home and Appliances: State of the art available at https://publications.jrc.ec.europa.eu/repository/handle/JRC113988

(87)  Guidehouse Insights. (2020). Guidehouse Insights Leaderboard: Intelligent Building Software. Retrieved at https://guidehouseinsights.com/reports/guidehouse-insights-leaderboard-intelligent-building-software
(88) SW include just the software revenue associated with HEMS and BEMS offerings. The forecasts do not capture hardware revenue. The BEMS Deployment forecast captures systems integration services for BEMS, including, HVAC, lighting, controls, and IoT integration
(89)  ASSET Study commissioned by DG ENERGY - Gathering data on EU competitiveness on selected clean energy technologies (Draft, 2020)
(90) This is based on consultation with a broad range of experts through ETIP SNET WG4, BRIDGE R&I WG, JRC, as well as information from the ongoing ASSET Study commissioned by DG ENERGY - Value & Supply Chain for Digital Technologies in some use cases in the Energy Sector (Draft, 2020)
(91) Data to be found with updated calculations for confirmation of collected expert feedback.
(92) Mengolini, A., Gangale, F., Vasiljevska, J., “Exploring Community-Oriented Approaches in Demand Side Management Projects in Europe” Sustainability 2016, 8(12), 1266; https://doi.org/10.3390/su8121266
(93)

 Serrenho, T., P. Zangheri, and B. Bertoldi. "Energy Feedback Systems: Evaluation of Meta-Studies on Energy Savings through Feedback." Science for Policy Report by the Joint Research Centre (JRC), the European Commission’s Science and Knowledge service. Luxembourg: Office of the European Union (2015).

(94) Clean energy for all Europeans (https://op.europa.eu/en/publication-detail/-/publication/b4e46873-7528-11e9-9f05-01aa75ed71a1/language-en?WT.mc_id=Searchresult&WT.ria_c=null&WT.ria_f=3608&WT.ria_ev=search)
(95) Collective action in the energy sector: insights from EU research and innovation projects, JRC Science for Policy Report, EUR 30339, 2020 and Mengolini, A., Gangale, F., Vasiljevska, J., “Exploring Community-Oriented Approaches in Demand Side Management Projects in Europe” Sustainability 2016, 8(12), 1266; https://doi.org/10.3390/su8121266
(96)

ASSET Study commissioned by DG ENERGY – Energy Communities in the European Union, 2019

(97) REScoop.eu is the European federation for renewable energy cooperatives, a network of 1.500 European REScoops and their 1.000.000 citizens, https://www.rescoop.eu/federation
(98)

Energy communities: an overview of energy and social innovation, Aura Caramizaru, Andreas Uihlein, Science for Policy Report JRC, https://ec.europa.eu/jrc/en/publication/eur-scientific-and-technical-research-reports/energy-communities-overview-energy-and-social-innovation

(99) Energy communities: an overview of energy and social innovation, Aura Caramizaru, Andreas Uihlein, Science for Policy Report JRC, https://ec.europa.eu/jrc/en/publication/eur-scientific-and-technical-research-reports/energy-communities-overview-energy-and-social-innovation
(100)

https://www.spenergynetworks.co.uk/userfiles/file/ARC_Closedown_Report.pdf

(101)

 ASSET Study commissioned by DG ENERGY – Energy Communities in the European Union, 2019

(102)

Campos Ines et al. ’Regulatory challenges and opportunities for collective renewable energy prosumers in the EU’

(103) For example, they can take control of household bills by using smart meters, or invest to produce their own renewable energy (e.g. solar panels) and consume, store or sell the energy they produce, see further: Article 15 of the Electricity Directive; Article 21 of the Renewable Energy Directive
(104)

 Campos Ines et al. ’Regulatory challenges and opportunities for collective renewable energy prosumers in the EU’

(105) Bertoldi, P. "Overview of the European Union policies to promote more sustainable behaviours in energy end-users." Energy and Behaviour. Academic Press, 2020. 451-477. https://doi.org/10.1016/B978-0-12-818567-4.00018-1
(106) DellaValle, N, and Siddharth S. "Nudging and boosting for equity? Towards a behavioural economics of energy justice." Energy Research & Social Science, 2020, 68: 101589 https://doi.org/10.1016/j.erss.2020.101589
(107)

 Lourenço, Joana Sousa, et al. "Behavioural insights applied to policy: European Report 2016." Brussels: European Union (2016).

(108) Allcott, H., and Mullainathan, S.. "Behavior and energy policy." Science, 2010, 1204-1205., https://doi.org/10.1126/science.1180775
(109) Sovacool, Benjamin K. "Diversity: energy studies need social science." Nature News, 2014, 529., https://doi.org/10.1038/511529a
(110) Mengolini, A., Gangale, F., Vasiljevska, J., “Exploring Community-Oriented Approaches in Demand Side Management Projects in Europe” Sustainability 2016, 8(12), 1266; https://doi.org/10.3390/su8121266
(111) Energy poverty through the lens of research and innovation projects, JRC Science for Policy Report, EUR 29785, 2019
(112)

 Collective action in the energy sector: insights from EU research and innovation projects, JRC Science for Policy Report, EUR 30339, 2020

(113) From the Workshop report « Making the best use of Social Sciences and Humanities (SSH) in the clean energy transition », Brussels, 20.11.2019 From the Workshop report « Making the best use of Social Sciences and Humanities (SSH) in the clean energy transition », Brussels, 20.11.2019
(114) http://gaia-project.eu/index.php/en/homepage-3/
(115) http://www.peakapp.eu/
(116) http://eteacher-project.eu/
(117) http://feedback-project.eu/
(118) https://echoes-project.eu/
(119) https://echoes-project.eu/
(120) https://smartees.eu/
(121) http://www.shapeenergy.eu/
(122) https://www.briskee-cheetah.eu/briskee/
(123) http://www.shapeenergy.eu/
(124) https://www.newcomersh2020.eu/
(125) https://energy-shifts.eu/
(126) Regulatory Aspects of Self-Consumption and Energy Communities, CEER Report, 2019.
(127)

  https://ec.europa.eu/knowledge4policy/foresight/topic/continuing-urbanisation/urbanisation-worldwide_en

Based on previously accepted definitions of urbanised areas, the ratio of the world's urban population is expected to increase from 55% in 2018 (approximately 4.2 billion people) to 68% by 2050, meaning that the world's urban population will nearly double. By 2100, some 85% of the population will live in cities, with urban population increasing from less than 1 billion in 1950 to 9 billion by 2100.

(128) See also https://urban.jrc.ec.europa.eu/thefutureofcities/
(129) See also https://ec.europa.eu/info/eu-regional-and-urban-development/topics/cities-and-urban-development/city-initiatives/smart-cities_en
(130)

  https://smartcities-infosystem.eu/scc-lighthouse-projects

(131)

Dinges, M., J. Borsboom, M. Gualdi, G. Haindlmaier and S. Heinonen (2020). Foresight on Demand: Climate-neutral and Smart Cities. Services to support the Mission Board “Climate-neutral and Smart Cities” under the framework contract 2018/RTD/A2/PP-07001-2018-LOT1. June 2020. Vienna: Austrian Institute of Technology

(132)   https://setis.ec.europa.eu/system/files/setplan_smartcities_implementationplan.pdf
(133)   https://jpi-urbaneurope.eu/ped
(134)   https://eu-smartcities.eu
(135)   https://eu-smartcities.eu/news/welcome-smart-cities-marketplace
(136)   https://eu-smartcities.eu/page/eip-scc-marketplace-investor-network
(137)

 "Complexity, Cognition and the City" by Juval Portugali, ISBN 978-3-642-27087-1, published in 2011.

(138)

 F1.1. OECD Policy paper for Smart Cities and Inclusive Growth

(139) As well as ideas to invest in Urban Air Mobility (air taxis, drones, autonomous vehicles with AI) in the longer run
(140)

See also: “Living Labs” activity in JRC-Ispra and JRC-Petten and other JRC.C.3 activities such as resLoadSim, Interoperability Lab, etc.

(141) e.g. with crowdfunding, social innovation, citizen-driven innovation
(142)   https://www.transportation.gov/smartcity/what-comes-next
(143)   http://english.www.gov.cn/premier/news/201911/26/content_WS5ddd1626c6d0bcf8c4c17d87.html
(144)   http://smartcities.gov.in/content
(145)   https://www.smartnation.gov.sg/what-is-smart-nation/initiatives
(146) https://www.globalcovenantofmayors.org/
(147)

 Report from the Commission to the European Parliament and the Council on progress of clean energy competitiveness (COM(2020)953)

(148)  Renewable hydrogen strategy, European Batteries Alliance, upcoming Renewable offshore strategy,
(149) Based on the scenarios developed in the 2050 Long-term strategy
(150) Assessment of Photovoltaics (PV) Final Report, Trinomics (2017).
(151) EU wind industry revenues in 2019: EUR 86.1 billion
(152) European manufacturers represent around 35%; Chinese manufacturers almost 50%
(153) Current EU28 market: EUR 25 billion
(154) The buildings sector is analysed only partially in this SWD. Important sub-sectors not analysed include the buildings envelope, insulation materials, construction techniques, modelling, design.
(155) With only a relatively small number of projects worldwide and no viable business model for CCS, some terms of market economics and related statistical data (turnover, gross value-added growth, employment figures, trade, etc.) are not considered applicable for CCS today
Top