02016D0587 — DA — 27.11.2019 — 001.001


Denne tekst tjener udelukkende som dokumentationsværktøj og har ingen retsvirkning. EU's institutioner påtager sig intet ansvar for dens indhold. De autentiske udgaver af de relevante retsakter, inklusive deres betragtninger, er offentliggjort i den Europæiske Unions Tidende og kan findes i EUR-Lex. Disse officielle tekster er tilgængelige direkte via linkene i dette dokument

►B

KOMMISSIONENS GENNEMFØRELSESAFGØRELSE (EU) 2016/587

af 14. april 2016

om godkendelse af den teknologi, der bruges i køretøjers effektive udvendige lysfunktioner, som anvender lysemitterende dioder (LED), som en innovativ teknologi til reduktion af CO2-emissioner fra personbiler i henhold til Europa-Parlamentets og Rådets forordning (EF) nr. 443/2009

(EØS-relevant tekst)

(EUT L 101 af 16.4.2016, s. 17)

Ændret ved:

 

 

Tidende

  nr.

side

dato

►M1

KOMMISSIONENS GENNEMFØRELSESAFGØRELSE (EU) 2019/1861 EØS-relevant tekst af 31. oktober 2019

  L 286

15

7.11.2019




▼B

KOMMISSIONENS GENNEMFØRELSESAFGØRELSE (EU) 2016/587

af 14. april 2016

om godkendelse af den teknologi, der bruges i køretøjers effektive udvendige lysfunktioner, som anvender lysemitterende dioder (LED), som en innovativ teknologi til reduktion af CO2-emissioner fra personbiler i henhold til Europa-Parlamentets og Rådets forordning (EF) nr. 443/2009

(EØS-relevant tekst)



Artikel 1

Godkendelse

Den teknologi, der anvendes i Mazdas lysfunktioner med lysemitterende dioder (LED) og i Hondas lysfunktioner med lysemitterende dioder (LED), godkendes som en innovativ teknologi, jf. artikel 12 i forordning (EF) nr. 443/2009.

Artikel 2

Ansøgning om certificering af CO2-besparelser

▼M1

1.  Fabrikanten kan ansøge om certificering af CO2-besparelserne ved en eller flere udvendige LED-lysfunktioner beregnet til brug i køretøjer med intern forbrændingsmotor i klasse M1 og hybride elkøretøjer i klasse M1 med ikke-ekstern opladning, som er i overensstemmelse med afsnit 5.3.2, punkt 3, i bilag 8 til regulativ nr. 101 fra De Forenede Nationers Økonomiske Kommission for Europa, hvis køretøjerne er udstyret med en eller flere af følgende LED-lysfunktioner:

▼B

a) nærlys

b) fjernlys

c) positionslys

d) tågeforlygte

e) tågebaglygte

f) retningsviserblinklygte fortil

g) retningsviserblinklygte bagtil

h) nummerpladebelysning

i) baklygte.

LED-lysfunktionen eller den kombination af LED-lysfunktioner, der udgør de effektive udvendige LED-lysfunktioner, skal som minimum give den CO2-besparelse, der er angivet i artikel 9, stk. 1, i forordning (EU) nr. 725/2011.

2.  En ansøgning om certificering af besparelserne fra en eller flere effektive udvendige LED-lysfunktioner skal omfatte en uafhængig verifikationsrapport, der bekræfter, at den eller de pågældende LED-lysfunktioner opfylder betingelserne i stk. 1.

3.  Typegodkendelsesmyndigheden afviser en ansøgning om certificering, hvis den finder, at den eller de pågældende udvendige LED-lysfunktioner ikke opfylder betingelserne i stk. 1.

Artikel 3

Certificering af CO2-besparelser

1.  Reduktionen af CO2-emissioner ved brug af effektive udvendige LED-lysfunktioner som omhandlet i artikel 2, stk. 1, bestemmes ved brug af den metode, der er angivet i bilaget.

2.  Hvis en fabrikant ansøger om certificering af CO2-besparelserne fra mere end én effektiv udvendig LED-lysfunktion som omhandlet i artikel 2, stk. 1, for mere end én køretøjstype, fastsætter typegodkendelsesmyndigheden, hvilken af de testede effektive udvendige LED-lysfunktioner, der giver de laveste CO2-besparelser, og registrerer den laveste værdi i de relevante typegodkendelsesdokumenter. Denne værdi angives i typeattesten i overensstemmelse med artikel 11, stk. 2, i gennemførelsesforordning (EU) nr. 725/2011.

Artikel 4

Miljøinnovationskode

Miljøinnovationskode »19« anføres i typegodkendelsesdokumenterne, hvor der henvises til afgørelse, jf. artikel 11, stk. 1, i gennemførelsesforordning (EU) nr. 725/2011.

Artikel 5

Ikrafttræden

Denne afgørelse træder i kraft på tyvendedagen efter offentliggørelsen i Den Europæiske Unions Tidende.




BILAG

METODE TIL BESTEMMELSE AF CO2-BESPARELSERNE VED KØRETØJERS EFFEKTIVE UDVENDIGE LYSFUNKTIONER, SOM ANVENDER LYSEMITTERENDE DIODER (LED)

1.   INDLEDNING

For at bestemme de CO2-besparelser, som kan tilskrives en pakke effektive udvendige LED-lysfunktioner, der består af en passende kombination af køretøjslys som omhandlet i artikel 2, til brug i køretøjer i klasse M1, er det nødvendigt at specificere følgende:

1) Prøvningsbetingelser

2) Prøvningsudstyr

3) Fastslåelse af effektbesparelsen

4) Beregning af CO2-besparelserne

5) Beregning af den statistiske fejl

2.   SYMBOLER, PARAMETRE OG ENHEDER

Latinske symboler

image

CO2-besparelser (g CO2/km)

CO2

Kuldioxid

CF

Omregningsfaktor (l/100 km) — (g CO2/km) (g CO2/l), der er anført i tabel 3

m

Det antal effektive udvendige LED-lysfunktioner, som pakken består af

n

Antal målinger foretaget på prøven

P

Køretøjslysets strømforbrug (W)

image

Standardafvigelse af LED-lysets strømforbrug (W)

image

Standardafvigelse af LED-lysets middelstrømforbrug (W)

image

Standardafvigelse af den samlede CO2-besparelse (g CO2/km)

UF

Brugsfaktoren [-] som defineret i tabel 4

v

Gennemsnitlig kørehastighed for NEDC (New European Drive Cycle) [km/h]

VPe

Faktisk effektforbrug [l/kWh] som defineret i tabel 2

image

Den beregnede CO2-besparelses følsomhed i relation til LED-lysets strømforbrug

Græske symboler

Δ

Forskel

ηA

Generatorens virkningsgrad [%]

Nedre indeks

Indeks i) vedrører køretøjslyset

Indeks j) vedrører måling af prøven

EI

Miljøinnovativ

RW

Faktiske brugsforhold

TA

Typegodkendelsesforhold

B

Referenceværdi

3.   PRØVNINGSBETINGELSER

Prøvningsbetingelserne skal opfylde kravene i FN/ECE-regulativ 112 ( 1 ) om ensartede forskrifter for godkendelse af køretøjsforlygter, der afgiver asymmetrisk nærlys og/eller fjernlys og er udstyret med glødelamper og/eller LED-moduler. Vedrørende bestemmelse af strømforbruget henvises der til punkt 6.1.4. i FN/ECE-regulativ nr. 112 samt punkt 3.2.1. og 3.2.2. i bilag 10 til samme regulativ.

4.   PRØVNINGSUDSTYR

Følgende udstyr benyttes, jf. figur 1:

 En strømforsyningsenhed (dvs. en variabel strømforsyning)

 To digitale multimetre, et til måling af jævnstrøm og et til måling af jævnstrømsspænding. Figuren viser, hvordan prøveopstillingen kan se ud, hvis jævnstrømsspændingsmeteret er integreret i strømforsyningsenheden.

image

Prøveopstilling

5.   MÅLINGER OG BESTEMMELSE AF EFFEKTBESPARELSEN

For hver effektiv udvendig LED-lysfunktion i pakken udføres målingen af strømmen som vist i figur 1 ved en spænding på 13,2 V. LED-moduler, der drives af et elektronisk styringsanlæg for lyskilder, skal måles som specificeret af ansøgeren.

Fabrikanten kan anmode om, at foretages andre målinger af strømmen ved yderligere spændinger. I så fald skal fabrikanten forelægge typegodkendelsesmyndigheden verificeret dokumentation af nødvendigheden af at foretage disse andre målinger. Målinger af strømmen ved hver af disse yderligere spændinger foretages mindst fem (5) gange i træk. Den nøjagtige installerede spænding og den målte strøm angives med 4 decimaler.

Strømforbruget fastslås ved at multiplicere den installerede spænding med den målte strøm. Gennemsnittet af strømforbruget for hver effektiv udvendig LED-lysfunktion (

image

) skal beregnes. Hver værdi angives med 4 decimaler. Hvis en stepmotor eller en elektronisk motorcontroller anvendes til at levere elektricitet til LED-lysene, medtages den elektriske last for denne komponent ikke i målingen.

Strømbesparelserne for hver effektiv udvendig LED-lysfunktion (ΔPi) beregnes ved hjælp af følgende formel:

Formel 1

image

hvor strømforbruget for basislysfunktionen er defineret i tabel 1.



Tabel 1

Effektforbrug for forskellige basislysfunktioner

Køretøjslys

Samlet elektrisk effekt (PB)

(W)

Nærlys

137

Fjernlys

150

Positionslys

12

Nummerpladelys

12

Tågeforlygte

124

Tågebaglygte

26

Retningsviserblinklygte fortil

13

Retningsviserblinklygte bagtil

13

Baklygte

52

6.   BEREGNING AF CO2-BESPARELSERNE

Den samlede CO2-besparelse for lyspakken beregnes ved brug af formel 2.

Formel 2

image

hvor

v

:

Gennemsnitlig kørehastighed for NEDC (km/h), som er 33,58 km/h

ηA

:

Generatorens virkningsgrad (%), som er 67 %.

VPe

:

Faktisk effektforbrug (l/kWh) som defineret i tabel 2



Tabel 2

Faktisk effektforbrug

Motortype

Faktisk effektforbrug (VPe)

(l/kWh)

Benzin

0,264

Benzinmotor med turbolader

0,280

Diesel

0,220

CF

:

Omregningsfaktor (l/100 km) — (g CO2/km) (g CO2/l), der er anført i tabel 3



Tabel 3

Brændstofomregningsfaktor

Brændstoftype

Omregningsfaktor (l/100 km) — (g CO2/km) (CF)

(g CO2/l)

Benzin

2 330

Diesel

2 640

UF

:

Brugsfaktoren for køretøjslyset (–) som defineret i tabel 4



Tabel 4

Brugsfaktor for forskellige køretøjslys

Køretøjslys

Brugsfaktor (UF)

(–)

Nærlys

0,33

Fjernlys

0,03

Positionslys

0,36

Nummerpladelys

0,36

Tågeforlygte

0,01

Tågebaglygte

0,01

Retningsviserblinklygte fortil

0,15

Retningsviserblinklygte bagtil

0,15

Baklygte

0,01

7.   BEREGNING AF DEN STATISTISKE FEJL

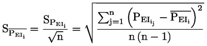
De statistiske fejl i resultaterne af prøvningsmetoden som følge af målingerne skal kvantificeres. For hvert effektiv udvendig LED-lysfunktion beregnes standardafvigelsen ifølge formel 3:

Formel 3

image

hvor:

n

:

Antal målinger foretaget på prøven, som er mindst fem

Standardafvigelsen af strømforbruget for hver effektiv udvendig LED-lysfunktion (
image ) medfører en fejl i CO2-besparelserne (
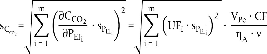
image ). Denne fejl beregnes ved brug af formel 4:

Formel 4

image

8.   STATISTISK SIGNIFIKANS

Det skal for hver type, variant og version af et køretøj udstyret med en kombination af effektive udvendige LED-lysfunktioner påvises, at fejlen i CO2-besparelserne beregnet ved brug af formel 4 ikke er større end forskellen mellem de samlede CO2-besparelser og den minimumstærskel for besparelser, der er angivet i artikel 9, stk. 1, i gennemførelsesforordning (EU) nr. 725/2011 (se formel 5).

Formel 5

image

hvor:

MT

:

Minimumstærskel (g CO2/km), som er 1 g CO2/km

Ligger de samlede CO2-besparelser for pakken af effektive udvendige LED-lysfunktioner, der fremgår af beregningen ved brug af formel 5, under den tærskelværdi, der er angivet i artikel 9, stk. 1, i gennemførelsesforordning (EU) nr. 725/2011, finder artikel 11, stk. 2, andet afsnit, i samme forordning anvendelse.



( 1 ) E/ECE/324/Rev.2/Add.111/Rev.3 — E/ECE/TRANS/505/Rev.2/Add.111/Rev.3, 9. januar 2013.