02005R2074 — DA — 01.01.2019 — 012.001


Denne tekst tjener udelukkende som dokumentationsværktøj og har ingen retsvirkning. EU's institutioner påtager sig intet ansvar for dens indhold. De autentiske udgaver af de relevante retsakter, inklusive deres betragtninger, er offentliggjort i den Europæiske Unions Tidende og kan findes i EUR-Lex. Disse officielle tekster er tilgængelige direkte via linkene i dette dokument

►B

KOMMISSIONENS FORORDNING (EF)Nr. 2074/2005

af 5. december 2005

om gennemførelsesbestemmelser vedrørende visse produkter i henhold til Europa-Parlamentets og Rådets forordning (EF) nr. 853/2004 og vedrørende offentlig kontrol i henhold til Europa-Parlamentets og Rådets forordning (EF) nr. 854/2004 og (EF) nr. 882/2004, om fravigelse fra Europa-Parlamentets og Rådets forordning (EF) nr. 852/2004 og om ændring af forordning (EF) nr. 853/2004 og (EF) nr. 854/2004

(EØS-relevant tekst)

(EUT L 338 af 22.12.2005, s. 27)

Ændret ved:

 

 

Tidende

  nr.

side

dato

►M1

KOMMISSIONENS FORORDNING (EF) Nr. 1664/2006 af 6. november 2006

  L 320

13

18.11.2006

►M2

KOMMISSIONENS FORORDNING (EF) Nr. 1244/2007 af 24. oktober 2007

  L 281

12

25.10.2007

►M3

KOMMISSIONENS FORORDNING (EF) Nr. 1022/2008 af 17. oktober 2008

  L 277

18

18.10.2008

►M4

KOMMISSIONENS FORORDNING (EF) Nr. 1250/2008 af 12. december 2008

  L 337

31

16.12.2008

►M5

KOMMISSIONENS FORORDNING (EU) Nr. 15/2011 af 10. januar 2011

  L 6

3

11.1.2011

►M6

KOMMISSIONENS GENNEMFØRELSESFORORDNING (EU) Nr. 809/2011 af 11. august 2011

  L 207

1

12.8.2011

►M7

KOMMISSIONENS GENNEMFØRELSESFORORDNING (EU) Nr. 1012/2012 af 5. november 2012

  L 306

1

6.11.2012

►M8

KOMMISSIONENS FORORDNING (EU) Nr. 218/2014 af 7. marts 2014

  L 69

95

8.3.2014

►M9

KOMMISSIONENS GENNEMFØRELSESFORORDNING (EU) 2015/2295 af 9. december 2015

  L 324

5

10.12.2015

►M10

KOMMISSIONENS GENNEMFØRELSESFORORDNING (EU) 2016/759 af 28. april 2016

  L 126

13

14.5.2016

►M11

KOMMISSIONENS FORORDNING (EU) 2017/1973 af 30. oktober 2017

  L 281

21

31.10.2017

►M12

KOMMISSIONENS FORORDNING (EU) 2017/1980 af 31. oktober 2017

  L 285

8

1.11.2017


Berigtiget ved:

►C1

Berigtigelse, EUT L 086, 26.3.2013, s.  35 (1012/2012)




▼B

KOMMISSIONENS FORORDNING (EF)Nr. 2074/2005

af 5. december 2005

om gennemførelsesbestemmelser vedrørende visse produkter i henhold til Europa-Parlamentets og Rådets forordning (EF) nr. 853/2004 og vedrørende offentlig kontrol i henhold til Europa-Parlamentets og Rådets forordning (EF) nr. 854/2004 og (EF) nr. 882/2004, om fravigelse fra Europa-Parlamentets og Rådets forordning (EF) nr. 852/2004 og om ændring af forordning (EF) nr. 853/2004 og (EF) nr. 854/2004

(EØS-relevant tekst)



Artikel 1

Gennemførelsesbestemmelser til forordning (EF) nr. 853/2004 og (EF) nr. 854/2004 om krav vedrørende information om fødevarekæden

I bilag I til nærværende forordning fastsættes krav vedrørende information om fødevarekæden, jf. afsnit III i bilag II til forordning (EF) nr. 853/2004 og afsnit I, kapitel II, punkt A, i bilag I til forordning (EF) nr. 854/2004.

Artikel 2

Gennemførelsesbestemmelser til forordning (EF) nr. 853/2004 og (EF) nr. 854/2004 om krav vedrørende fiskevarer

I bilag II til nærværende forordning fastsættes krav vedrørende fiskevarer, jf. artikel 11, nr. 9), i forordning (EF) nr. 853/2004 og artikel 18, nr. 14) og 15), i forordning (EF) nr. 854/2004.

Artikel 3

Gennemførelsesbestemmelser til forordning (EF) nr. 853/2004 og (EF) nr. 854/2004 om anerkendte analysemetoder for marine biotoksiner

I bilag III til nærværende forordning fastsættes de anerkendte analysemetoder til påvisning af marine biotoksiner, jf. artikel 11, nr. 4), i forordning (EF) nr. 853/2004 og artikel 18, nr. 13), litra a), i forordning (EF) nr. 854/2004.

Artikel 4

Gennemførelsesbestemmelser til forordning (EF) nr. 853/2004 om calciumindholdet i maskinsepareret kød

I bilag IV til nærværende forordning fastsættes calciumindholdet i maskinsepareret kød, jf. artikel 11, nr. 2), i forordning (EF) nr. 853/2004.

Artikel 5

Gennemførelsesbestemmelser til forordning (EF) nr. 882/2004 om lister over virksomheder

I bilag V til nærværende forordning fastsættes krav vedrørende listerne over virksomheder, jf. artikel 31, stk. 2, litra f), i forordning (EF) nr. 882/2004.

▼M6

Artikel 6

Gennemførelsesbestemmelser til forordning (EF) nr. 853/2004 og (EF) nr. 854/2004 om standardsundhedscertifikater og standarddokumenter ved import af visse animalske produkter

1.  I bilag VI til nærværende forordning fastsættes standardsundhedscertifikaterne og standarddokumenterne ved import af de animalske produkter, der er anført i samme bilag, jf. artikel 6, stk. 1, litra d), i forordning (EF) nr. 853/2004.

2.  I bilag VI til nærværende forordning fastsættes det standarddokument, der underskrives af fartøjsføreren, og som kan erstatte det dokument, der kræves i henhold til artikel 14 i forordning (EF) nr. 854/2004, når fiskevarer importeres direkte fra et frysefartøj, jf. artikel 15, stk. 3, i samme forordning.

▼M1

Artikel 6a

Analysemetoder for rå mælk og varmebehandlet mælk

De analysemetoder, der er fastsat i bilag VIa til nærværende forordning, anvendes af de kompetente myndigheder og, hvis det er relevant, af fødevarevirksomhedsledere til at kontrollere, om de grænseværdier, der er fastsat i afsnit IX, kapitel I, del III, i bilag III til forordning (EF) nr. 853/2004, er overholdt, og til at sikre, at mejeriprodukter på korrekt vis underkastes en pasteuriseringsproces som omhandlet i afsnit IX, kapitel II, del II, i bilag III til forordning (EF) nr. 853/2004.

▼M2

Artikel 6b

Krav til offentlig kontrol med hensyn til inspektion af kød, jf. forordning (EF) nr. 854/2004

Krav til offentlig kontrol med hensyn til inspektion af kød er fastsat i bilag VIb.

▼M11

Artikel 6c

Krav til offentlig kontrol af fiskevarer, der er fanget af fartøjer under medlemsstatsflag, og som føres ind i Unionen efter overførsel i tredjelande med eller uden oplagring

1.  Fiskevarer til konsum, der er fanget af fartøjer under medlemsstatsflag, og som — med eller uden oplagring — losses i tredjelande, før de føres ind i Unionen med et andet transportmiddel, skal være ledsaget af et sundhedscertifikat udstedt af det pågældende tredjelands kompetente myndigheder og udfyldt i overensstemmelse med modellen til standardsundhedscertifikat i tillæg VIII til bilag VI.

2.  Det tredjeland, hvor overførslen finder sted, skal være opført på en liste, jf. artikel 11, stk. 1, i forordning (EF) nr. 854/2004.

3.  Hvis de i stk. 1 omhandlede fiskevarer losses og transporteres til oplagringsfaciliteter beliggende i det i samme stykke omhandlede tredjeland, skal de pågældende oplagringsfaciliteter være opført på en liste, jf. artikel 12 i forordning (EF) nr. 854/2004.

4.  Hvis de i stk. 1 omhandlede fiskevarer læsses på et fartøj, der fører et tredjelands flag, skal det pågældende tredjeland være opført på en liste, jf. artikel 11, stk. 1, i forordning (EF) nr. 854/2004, og fartøjet skal være opført på en liste, jf. artikel 12 i forordning (EF) nr. 854/2004.

Containerfartøjer, der anvendes til transport af fiskevarer i containere, er ikke omfattet af dette krav.

▼B

Artikel 7

Fravigelse fra forordning (EF) nr. 852/2004 for så vidt angår fødevarer med traditionelle karakteristika

1.  I denne forordning forstås ved »fødevarer med traditionelle karakteristika« fødevarer, der i den medlemsstat, hvor de traditionelt fremstilles, er:

a) historisk anerkendte som traditionelle produkter eller

b) fremstillet i henhold til en lovbestemt eller registreret teknisk reference til den traditionelle proces eller i henhold til traditionelle produktionsmetoder eller

c) beskyttet som en traditionel fødevare af fællesskabsbestemmelser eller en national, regional eller lokal lov.

2.  Medlemsstaterne kan give virksomheder, der fremstiller fødevarer med traditionelle karakteristika, individuelle eller generelle dispensationer fra de krav, der er fastsat i:

a) kapitel II, punkt 1, i bilag II til forordning (EF) nr. 852/2004 for så vidt angår de steder, hvor de pågældende produkter eksponeres for et miljø, der til en vis grad er nødvendigt for, at deres karakteristika kan udvikle sig. Sådanne steder kan bl.a. omfatte vægge, lofter og døre, der ikke er glatte, vandtætte, ikke-absorberende eller af et korrosionsbestandigt materiale, og naturlige, geologiske vægge, lofter og gulve

b) kapitel II, punkt 1, litra f), og kapitel V, punkt 1, i bilag II til forordning (EF) nr. 852/2004 for så vidt angår den type materialer, som de redskaber og det udstyr, der anvendes specifikt til at tilberede, emballere og indpakke de pågældende produkter, er lavet af.

Rengørings- og desinficeringsforanstaltningerne vedrørende steder som omhandlet i litra a) og den hyppighed, hvormed de gennemføres, tilpasses den pågældende aktivitet for at tage hensyn til den særlige flora, der er forbundet med stedet.

Redskaberne og udstyret omhandlet i litra b) skal konstant have en tilfredsstillende hygiejnestandard og skal regelmæssigt rengøres og desinficeres.

3.  Medlemsstater, der giver dispensationer, jf. stk. 2, giver Kommissionen og de øvrige medlemsstater meddelelse herom senest 12 måneder efter, at de individuelle eller generelle dispensationer er givet. Meddelelsen skal indeholde:

a) en kort beskrivelse af de ændrede krav

b) en beskrivelse af de pågældende fødevarer og virksomheder

c) alle andre relevante oplysninger.

Artikel 8

Ændringer af forordning (EF) nr. 853/2004

Bilag II og III til forordning (EF) nr. 853/2004 ændres som angivet i bilag VII til nærværende forordning.

Artikel 9

Ændringer af forordning (EF) nr. 854/2004

Bilag I, II og III til forordning (EF) nr. 854/2004 ændres som angivet i bilag VIII til nærværende forordning.

Artikel 10

Ikrafttrædelse og anvendelse

Denne forordning træder i kraft på tyvendedagen efter offentliggørelsen i Den Europæiske Unions Tidende.

Den anvendes fra den 1. januar 2006; dog anvendes kapitel II og III i bilag V fra den 1. januar 2007.

Denne forordning er bindende i alle enkeltheder og gælder umiddelbart i hver medlemsstat.




BILAG I

INFORMATION OM FØDEVAREKÆDEN

AFSNIT I

FORPLIGTELSER, DER PÅHVILER FØDEVAREVIRKSOMHEDSLEDERE

Fødevarevirksomhedsledere, som opdrætter dyr, der sendes til slagtning, sikrer, at fødevarekædeoplysningerne, jf. forordning (EF) nr. 853/2004, indgår på relevant vis i dokumentationen om de afsendte dyr, således at den pågældende slagterileder har adgang til dem.

AFSNIT II

FORPLIGTELSER, DER PÅHVILER DE KOMPETENTE MYNDIGHEDER

KAPITEL I

BESTEMMELSER OM INFORMATION OM FØDEVAREKÆDEN

1. Den kompetente myndighed på afsendelsesstedet underretter den fødevarevirksomhedsleder, der foretager afsendelsen, om, hvilke elementer af fødevarekædeoplysningerne der mindst skal gives til slagteriet i henhold til afsnit III i bilag II til forordning (EF) nr. 853/2004.

2.

 

Den kompetente myndighed på slagtestedet kontrollerer, at:

a) fødevarekædeoplysningerne konsekvent og effektivt udveksles mellem den fødevarevirksomhedsleder, der opdrættede eller holdt dyrene før afsendelsen, og slagteriets leder

b) fødevarekædeoplysningerne er gyldige og pålidelige

c) relevante oplysninger i påkommende tilfælde meddeles tilbage til bedriften.

3. Hvis dyrene afsendes til slagtning i en anden medlemsstat, samarbejder de kompetente myndigheder på afsendelsesstedet og slagtestedet for at sikre, at oplysningerne fra den fødevarevirksomhedsleder, der foretager afsendelsen, er let tilgængelige for den slagterileder, der modtager dem.

KAPITEL II

TILBAGEMELDING TIL OPRINDELSESBEDRIFTEN

1. Embedsdyrlægen kan anvende modellen i tillæg I til meddelelse af de relevante inspektionsresultater, til bedriften i den samme medlemsstat, hvor dyrene blev opdrættet før slagtningen,, jf. afsnit II, kapitel I, i bilag I til forordning (EF) nr. 854/2004.

2. Den kompetente myndighed er ansvarlig for at meddele de relevante inspektionsresultater, når dyrene er opdrættet på en bedrift i en anden medlemsstat, og den pågældende myndighed skal anvende modellen i tillægget på såvel afsendelseslandets som modtagerlandets sprog.




Tillæg til bilag I

MODEL



1.

Oplysninger til identifikation

 

1.1.

Oprindelsesbedrift (f.eks. ejer eller bestyrer)

 

 

 

navn/nummer

 

 

 

fulde adresse

 

 

 

tlf.

 

 

1.2.

Identifikationsnumre (vedlæg særskilt liste)

 

 

 

antal dyr i alt (pr. art)

 

 

 

eventuelle identifikationsproblemer

 

 

1.3.

Identifikation af besætning/flok/bur (hvis relevant)

 

 

1.4.

Dyreart

 

 

1.5.

Sundhedscertifikatets referencenummer

 

2.

Resultater af undersøgelse før slagtning

 

2.1.

Velfærd

 

 

 

antal problematiske dyr

 

 

 

type/klasse/alder

 

 

 

observationer (f.eks. halebidning)

 

 

2.2.

Dyr blev leveret snavsede

 

 

2.3.

Kliniske fund (sygdom)

 

 

 

antal problematiske dyr

 

 

 

type/klasse/alder

 

 

 

observationer

 

 

 

inspektionsdato

 

 

2.4.

Laboratorieresultater ()

 

3.

Resultater af undersøgelse efter slagtning

 

3.1.

(Makroskopiske) fund

 

 

 

antal problematiske dyr

 

 

 

type/klasse/alder

 

 

 

organ eller sted på dyret/dyrene

 

 

 

slagtedato

 

 

3.2.

Sygdom (der kan anvendes koder ()

 

 

 

antal problematiske dyr

 

 

 

type/klasse/alder

 

 

 

organ eller sted på dyret/dyrene

 

 

 

slagtekrop helt eller delvis kasseret (oplys årsag)

 

 

 

slagtedato

 

 

3.3.

Laboratorieresultater ()

 

 

3.4.

Andre resultater (f.eks. parasitter og fremmedlegemer)

 

 

3.5.

Velfærdsrelaterede fund (f.eks. benbrud)

 

4.

Supplerende oplysninger

5.

Kontaktoplysninger

 

5.1.

Slagteri (autorisationsnummer)

 

 

 

navn

 

 

 

fulde adresse

 

 

 

tlf.

 

 

5.2.

Evt. e-mail-adresse

 

6.

Embedsdyrlæge (blokbogstaver)

 

 

underskrift og stempel

 

7.

Dato

8.

Antal sider, der er vedlagt dette skema:

(1)   Mikrobiologiske, kemiske, serologiske osv. (vedlæg resultaterne).

(2)   De kompetente myndigheder kan anføre følgende koder: »A« for sygdomme på OIE's liste, »B100« og »B200« for velfærdsproblemer (afsnit I, kapitel II, litra C, i bilag I til forordning (EF) nr. 854/2004) og »C100« til »C290« for beslutninger vedrørende kød (afsnit II, kapitel V, punkt 1, litra a) til u), i bilag I til forordning (EF) nr. 854/2004). Kodesystemet kan om nødvendigt omfatte yderligere underinddelinger (f.eks. »C141« for en mild generaliseret sygdom og »C142« for en mere alvorlig sygdom). Hvis der anvendes koder, skal de være umiddelbart tilgængelige for fødevarevirksomhedslederen sammen med en passende betydningsforklaring.

(3)   Mikrobiologiske, kemiske, serologiske osv. (vedlæg resultaterne).




BILAG II

FISKEVARER

AFSNIT I

FORPLIGTELSER, DER PÅHVILER FØDEVAREVIRKSOMHEDSLEDERE

I dette afsnit fastsættes nærmere bestemmelser om visuel undersøgelse af fiskevarer for parasitter.

KAPITEL I

DEFINITIONER

1. Ved »synlig parasit« forstås en parasit eller en gruppe af parasitter, der har en størrelse, farve eller konsistens, der klart kan skelnes fra fiskevæv.

2. Ved »visuel undersøgelse« forstås ikke-destruktiv undersøgelse af fisk eller fiskevarer udført med eller uden optiske forstørrelsesmidler og under gode belysningsforhold for det menneskelige øje, herunder om nødvendigt gennemlysning.

3. Ved »gennemlysning« forstås, for så vidt angår fladfisk og fiskefileter, det at holde fisk op foran et lys i et lysdæmpet lokale med henblik på at påvise parasitter.

KAPITEL II

VISUEL UNDERSØGELSE

1. Der foretages visuel undersøgelse af et repræsentativt antal prøver. De personer, der er ansvarlige for virksomhederne på land, og de kvalificerede personer på fabriksfartøjerne træffer afgørelse om omfanget og hyppigheden af undersøgelsen ud fra fiskevarernes art, deres geografiske oprindelse og deres anvendelse. Virksomhedens kvalificerede personale foretager under produktionen visuel undersøgelse af de rensede fisk i bughulen og på lever og rogn bestemt til konsum. Afhængigt af rensningsmetoden foretages den visuelle undersøgelse:

a) i tilfælde af manuel rensning løbende af den, der håndterer fisken, i forbindelse med udtagningen af indvolde og afvaskningen

b) i tilfælde af mekanisk rensning ved udtagning af et repræsentativt antal prøver, dog mindst ti fisk pr. parti.

2. Den visuelle undersøgelse af fiskefileter eller -skiver foretages af kvalificerede personer ved afpudsningen og efter filetering eller udskæring. Når det ikke er muligt at foretage en individuel undersøgelse på grund af fileternes størrelse eller fileteringsmetoden, opstilles der en prøveudtagningsplan, som stilles til rådighed for den kompetente myndighed, jf. afsnit VIII, kapitel II, punkt 4, i bilag III til forordning (EF) nr. 853/2004. Når gennemlysning af fileter er nødvendig ud fra et teknisk synspunkt, skal dette indgå i prøveudtagningsplanen.

AFSNIT II

FORPLIGTELSER, DER PÅHVILER DE KOMPETENTE MYNDIGHEDER

KAPITEL I

GRÆNSEVÆRDIER FOR TVB-N (TOTAL VOLATILE BASIC NITROGEN) FOR VISSE KATEGORIER AF FISKEVARER OG DE ANALYSEMETODER, DER SKAL ANVENDES

▼M3

1. Uforarbejdede fiskevarer anses for uegnede til konsum, når en kemisk kontrol — efter at der ved den organoleptiske bedømmelse er rejst tvivl om deres friskhed — viser, at følgende grænseværdier for TVB-N er overskredet:

a) 25 mg nitrogen pr. 100 g fiskekød for de i kapitel II, punkt 1, anførte arter

b) 30 mg nitrogen pr. 100 g fiskekød for de i kapitel II, punkt 2, anførte arter

c) 35 mg nitrogen pr. 100 g fiskekød for de i kapitel II, punkt 3, anførte arter

d) 60 mg nitrogen pr. 100 g hele fiskevarer anvendt direkte til fremstilling af fiskeolie til konsum, jf. afsnit VIII, kapitel IV, del B, punkt 1, i bilag III til forordning (EF) nr. 853/2004; hvis råvarerne imidlertid er i overensstemmelse med litra a), b) og c) i del B, punkt 1, i nævnte kapitel, kan medlemsstaterne fastsætte grænseværdierne på et højere niveau for visse arter, indtil der er fastsat særlige fællesskabsbestemmelser.

Referencemetoden ved kontrol af grænseværdien for TVB-N omfatter destillation af et proteinfrit perchlorsyreekstrakt som beskrevet i kapitel III.

▼B

2. Destillation, jf. punkt 1, foretages ved hjælp af et apparat, der fungerer som vist på figuren i kapitel IV.

3. Følgende rutinemetoder kan anvendes til at kontrollere grænseværdien for TVB-N:

 den af Conway og Byrne (1933) beskrevne mikrodiffusionsmetode

 den af Antonacopoulos (1968) beskrevne metode til direkte destillation

 metode til destillation af et proteinfrit trichloreddikesyreekstrakt (Codex Alimentariuskomitéen for Fisk og Fiskevarer (1968)).

4. Prøven skal bestå af ca. 100 gram fiskekød, der er udtaget mindst tre forskellige steder og blandet i en kødhakkemaskine.

Medlemsstaterne skal anbefale, at de officielle laboratorier rutinemæssigt anvender den nævnte referencemetode. Hvis resultaterne af en analyse udført efter en af rutinemetoderne er usikre eller bestrides, må alene referencemetoden anvendes til verifikation af resultaterne.

KAPITEL II

ARTSKATEGORIER, FOR HVILKE DER ER FASTSAT GRÆNSEVÆRDIER FOR TVB-N

1. Sebastes spp., Helicolenus dactylopterus, Sebastichthys capensis

2. Arter tilhørende familien Pleuronectidae (med undtagelse af helleflynder: Hippoglossus spp.)

3. Salmo salar, arter tilhørende familien Merlucciidae, arter tilhørende familien Gadidae.

KAPITEL III

BESTEMMELSE AF KONCENTRATIONEN AF TVB-N I FISK OG FISKEVARER

Referenceprocedure

1.   Formål og anvendelsesområde

Der beskrives en referencemetode til at identificere nitrogenkoncentrationen af TVB-N i fisk og fiskevarer. Metoden kan anvendes for TVB-N-koncentrationer fra 5 mg pr. 100 g til i hvert fald 100 mg pr. 100 g.

2.   Definition

Ved »TVB-N-koncentration« forstås nitrogenindholdet af flygtige nitrogenbaser bestemt ved den beskrevne metode.

Koncentrationen udtrykkes i mg pr. 100 g.

3.   Kort beskrivelse

De flygtige nitrogenbaser ekstraheres af en prøve ved hjælp af 0,6 mol perchlorsyreopløsning. Ekstraktet gøres basisk og underkastes dampdestillation, idet de flygtige basebestanddele absorberes i en syreopløsning. TVB-N-koncentrationen bestemmes ved titrering af de absorberede baser.

4.   Kemikalier

Medmindre andet er angivet, skal der anvendes analyserene kemikalier. Vandet skal enten være destilleret eller demineraliseret og have mindst tilsvarende renhed. Medmindre andet er angivet, forstås ved »opløsning« en vandig opløsning, f.eks.:

a) perchlorsyreopløsning = 6 g pr. 100 ml

b) natriumhydroxidopløsning = 20 g pr. 100 ml

c) standardsaltsyreopløsning 0,05 mol/l (0,05  N)

Anmærkning:

Når der anvendes et automatisk destillationsapparatur, bør titreringen foretages med en standardsaltsyreopløsning på 0,01 mol/l (0,01  N).

d) borsyreopløsning = 3 g pr. 100 ml

e) silikonebaseret skumdæmpningsmiddel

f) phenolphtaleinopløsning = 1 g pr. 100 ml 95 % ethanol

g) indikatoropløsning (Tashiro blandet indikator) 2 g methylrødt og 1 g methylenblåt opløses i 1 000  ml 95 % ethanol.

5.   Udstyr

a) En kødhakkemaskine, hvormed der kan fremstilles tilstrækkeligt homogent finthakket fiskekød.

b) En højhastighedsblender med et omdrejningstal på mellem 8 000 og 45 000 omdrejninger pr. minut.

c) Foldefilter, diameter 150 mm, til hurtigfiltrering.

d) 5 ml burette med 0,01  ml-inddeling.

e) Apparatur til dampdestillation. Apparaturet skal kunne indstilles til forskellige dampmængder og producere en konstant mængde damp i et vist tidsrum. Det skal være sådan indrettet, at de frie baser, der dannes, når analysen gøres basisk, ikke kan slippe bort.

6.   Udførelse

Advarsel: Når der arbejdes med perchlorsyre, som er stærkt ætsende, skal der udvises den nødvendige forsigtighed og træffes passende sikkerhedsforanstaltninger. Prøverne bør — hvis det overhovedet er muligt — forberedes som beskrevet nedenfor snarest muligt efter ankomsten til laboratoriet.

a)  Prøveforberedelse

Analyseprøven hakkes omhyggeligt i en kødhakkemaskine som beskrevet i punkt 5, litra a). 10 g ± 0,1  g af den hakkede prøve afvejes nøjagtigt i en egnet beholder. Dette blandes med 90,0  ml perchlorsyreopløsning som nævnt i punkt 4, litra a); der homogeniseres i to minutter i en blender som beskrevet i punkt 5, litra b), og filtreres.

Det herved fremkomme ekstrakt kan opbevares i mindst syv dage ved en temperatur på ca. 2-6 oC.

b)  Dampdestillation

50,0  ml af ekstraktet, jf. litra a), anbringes i et dampdestillationsapparatur som beskrevet i punkt 5, litra e). Med henblik på en senere kontrol af, at ekstraktet er blevet alkalisk, tilsættes nogle dråber phenolphtalein som beskrevet i punkt 4, litra f). Efter tilsætning af nogle få dråber silikonebaseret skumdæmpningsmiddel tilsættes der 6,5  ml natriumhydroxidopløsning som beskrevet i punkt 4, litra b), til ekstraktet, og dampdestillationen påbegyndes straks.

Dampdestillationen reguleres således, at der produceres ca. 100 ml destillat inden for ti minutter. Destillationsafgangsrøret udmunder under væskeoverfladen i et forlag med 100 ml borsyreopløsning som beskrevet i punkt 4, litra d), hvortil der er tilsat 3-5 dråber indikatoropløsning som beskrevet i punkt 4, litra g). Efter nøjagtigt 10 minutter afsluttes destillationen. Destillationsafgangsrøret tages op af forlaget og skylles med vand. Indholdet af flygtige baser i forlagsopløsningen bestemmes ved titrering med standardsaltsyreopløsning som beskrevet i punkt 4, litra c).

Endepunktet bør ligge ved et pH på 5,0  ± 0,1 .

c)  Titrering

Der skal foretages dobbeltbestemmelse. Metoden er korrekt udført, hvis forskellen mellem de to bestemmelser ikke er større end 2 mg pr. 100 g.

d)  Blindprøve

Der udføres en blindprøve efter samme fremgangsmåde som i litra b). I stedet for ekstraktet anvendes en 50,0  ml perchlorsyreopløsning som beskrevet i punkt 4, litra a).

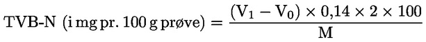
7.   Beregning af TVB-N

Efter titrering af forlagsopløsningen med saltsyre som beskrevet i punkt 4, litra c), beregnes TVB-N-koncentrationen således:

image

V1 = ml 0,01 mol saltsyreopløsning for prøven

V0 = ml 0,01 mol saltsyreopløsning for blindprøven

M = prøvens vægt i g.

Bemærkninger

1. Der skal foretages dobbeltbestemmelse. Metoden er korrekt udført, hvis forskellen mellem de to bestemmelser ikke er større end 2 mg pr. 100 g.

2. Udstyret kontrolleres ved at destillere en NH4Cl-opløsning svarende til 50 mg TVB-N pr. 100 g.

3. Standardafvigelse for reproducerbarhed Sr = 1,20  mg pr. 100 g. Standardafvigelse for sammenlignelighed SR = 2,50  mg pr. 100 g.

KAPITEL IV

TVB-N-APPARATUR TIL DAMPDESTILLATION

image




BILAG III

ANERKENDTE ANALYSEMETODER TIL PÅVISNING AF MARINE BIOTOKSINER

De kompetente myndigheder og, når det er relevant, fødevarevirksomhedslederne skal anvende nedenstående analysemetoder til at kontrollere overholdelsen af de grænseværdier, der er fastsat i afsnit VII, kapitel V, punkt 2, i bilag III til forordning (EF) nr. 853/2004.

I henhold til artikel 7, stk. 2 og 3, i Rådets direktiv 86/609/EØF ( 1 ) skal elementer til erstatning, forbedring og reducering tages i betragtning, når der anvendes biologiske metoder.

▼M12

KAPITEL I

METODE TIL PÅVISNING AF PARALYTISK SKALDYRSGIFT (PSP)

1. Indholdet af paralytisk skaldyrsgift (PSP) i bløddyrs spiselige dele (hele kroppen eller enhver spiselig del heraf) skal påvises i overensstemmelse med den biologiske analysemetode eller en anden internationalt anerkendt metode.

2. Hvis resultaterne bestrides, er referencemetoden den såkaldte Lawrence-metode, der er offentliggjort i AOAC Official Method 2005.06 (Paralytic Shellfish Poisoning Toxins in Shellfish).

▼M2

KAPITEL II

METODE TIL PÅVISNING AF AMNESIFREMKALDENDE SKALDYRSGIFT (ASP)

Det samlede indhold af amnesifremkaldende skaldyrsgift (ASP) i bløddyrs spiselige dele (hele kroppen eller enhver spiselig del heraf) skal påvises ved anvendelse af højtryksvæskechromatografi (HPLC) eller anden internationalt anerkendt metode.

Til screeningformål kan 2006.02-ASP-ELISA-metoden, der er offentliggjort i AOAC Journal fra juni 2006, dog også anvendes til påvisning af det samlede indhold af ASP i bløddyrs spiselige dele.

Hvis resultaterne bestrides, er referencemetoden HPLC-metoden.

▼M5

KAPITEL III

METODER TIL PÅVISNING AF LIPOFILE TOKSINER

A.    Kemiske metoder

1) LC-MS/MS-metoden fra EU-referencelaboratoriet for marine toksiner er referencemetoden til påvisning af marine toksiner som omhandlet i afsnit VII, kapitel V, punkt 2, litra c), d) og e) i bilag III til forordning (EF) nr. 853/2004. Ved denne metode bestemmes mindst følgende forbindelser:

toksiner, som tilhører okadainsyregruppen : OA, DTX1, DTX2 og DTX3 inklusive deres estere

toksiner, der tilhører gruppen af pectenotoksiner : PTX1 og PTX2

toksiner, der tilhører gruppen af yessotoksiner : YTX, 45 OH YTX, Homo YTX og 45 OH Homo YTX

toksiner, der tilhører gruppen af azaspiracider : AZA1, AZA2 og AZA3.

2) Den samlede toksiske ækvivalens beregnes ved hjælp af toksiske ækvivalensfaktorer (TEF) som anbefalet af EFSA.

3) Hvis der opdages nye analoge stoffer af betydning for folkesundheden, bør de også være omfattet af analysen. Den samlede toksiske ækvivalens beregnes ved hjælp af toksiske ækvivalensfaktorer (TEF) som anbefalet af EFSA.

4) Andre metoder, f.eks. væskechromatografi-massespektometri-metoden (LC-MS), højtryksvæskechromatografi (HPLC) med passende detektion, immunassays og funktionelle assays, f.eks. fosfatase-inhiberingsassay, kan anvendes som alternative eller supplerende metoder til EU-referencelaboratoriets LS-MS/MS-metode, forudsat at:

a) de enten alene eller kombineret kan påvise mindst de analoge stoffer, der er nævnt i litra A, punkt 1, i dette kapitel; mere passende kriterier fastlægges, hvis det er nødvendigt

b) de opfylder de kriterier for metodens ydeevne, som EU-referencelaboratoriet har opstillet. Sådanne metoder bør valideres i samme laboratorium og være testet med succes i henhold til et anerkendt program for præstationsprøvning. EU-referencelaboratoriet støtter aktiviteter i forbindelse med sammenlignende validering af teknikken med deltagelse af flere laboratorier for at muliggøre en formel standardisering

c) anvendelsen af disse metoder giver et tilsvarende folkesundhedsbeskyttelsesniveau.

B.    Biologiske metoder

1) For at give medlemsstaterne mulighed for at tilpasse deres metoder til LC-MS/MS-metoden, som fastsat i litra A, punkt 1, i dette kapitel kan der til påvisning af de marine toksiner, der er omhandlet i afsnit VII, kapitel V, punkt 2, litra c), d) og e), i bilag III til forordning (EF) nr. 853/2004, indtil den 31. december 2014 stadig anvendes procedurer med en række bioassays med mus, som er forskellige med hensyn til analyseprøve (hepatopancreas eller hele kroppen) og med hensyn til de opløsningsmidler, der anvendes til ekstraktion og oprensning.

2) Følsomhed og selektivitet afhænger af, hvilket opløsningsmiddel der vælges til ekstraktion og oprensning, og dette bør tages i betragtning, når det afgøres, hvilken metode der skal anvendes, så alle toksinerne bliver omfattet.

3) Et enkelt bioassay med mus med acetoneekstraktion kan anvendes til at påvise okadainsyre, dinophysistoksiner, azaspiracider, pectenotoksiner og yessotoksiner. Et sådant assay kan om fornødent suppleres med væske-væske-deling med ethylacetat/vand eller dichlormethan/vand for at fjerne eventuelle interferenser.

4) Der anvendes tre mus til hver test. Hvis to ud af tre mus dør, inden for 24 timer efter at de alle har fået injiceret et ekstrakt svarende til 5 g hepatopancreas eller 25 g af hele kroppen, anses det for en positiv indikation af, at en eller flere af de toksiner, der er omhandlet i afsnit VII, kapitel V, punkt 2, litra c), d) og e), i bilag III til forordning (EF) nr. 853/2004, forekommer i mængder, der overstiger de fastsatte grænseværdier.

5) Bioassay med mus med acetoneekstraktion fulgt af væske-væske-deling med diethylether kan anvendes til at påvise okadainsyre, dinophysistoksiner, pectenotoksiner og azaspiracider, men det kan ikke anvendes til at påvise yessotoksiner, da der kan forekomme tab af disse toksiner ved delingen. Der anvendes tre mus til hver test. Hvis to ud af tre mus dør, inden for 24 timer efter at de alle har fået injiceret et ekstrakt svarende til 5 g hepatopancreas eller 25 g af hele kroppen, anses det for en positiv indikation af, at okadainsyre, dinophysistoksiner, pectenotoksiner og azaspiracider forekommer i mængder, der overstiger de grænseværdier, der er fastsat i afsnit VII, kapitel V, punkt 2, litra c) og e), i bilag III til forordning (EF) nr. 853/2004.

6) Bioassay med rotter kan anvendes til at påvise okadainsyre, dinophysistoksiner og azaspiracider. Der anvendes tre rotter til hver test. Hvis mindst en ud af tre rotter pr. forsøg reagerer med diarré, anses det for en positiv indikation af, at okadainsyre, dinophysistoksiner og azaspiracider forekommer i mængder, der overstiger de grænser, der er fastsat i afsnit VII, kapitel V, punkt 2, litra c) og e), i bilag III til forordning (EF) nr. 853/2004.

C.

Efter den periode, der er fastsat i litra B, punkt 1, i dette kapitel, må bioassay med mus kun anvendes ved den periodiske overvågning af produktions- og genudlægningsområder med henblik på påvisning af nye eller ukendte marine toksiner på grundlag af nationale kontrolprogrammer, som medlemsstaterne har udarbejdet.

▼B




BILAG IV

CALCIUMINDHOLD I MASKINSEPARERET KØD

Der gælder følgende for calciumindholdet i maskinsepareret kød, jf. forordning (EF) nr. 853/2004:

1. Det må ikke overstige 0,1  % (= 100 mg/100 g eller 1 000  ppm) af ferskvaren.

2. Det skal bestemmes ved anvendelse af en standardiseret international metode.

▼M9




BILAG V

Liste over godkendte/autoriserede virksomheder

KAPITEL I

ADGANG TIL LISTER OVER GODKENDTE/AUTORISEREDE VIRKSOMHEDER

Som en hjælp til, at medlemsstaterne kan give de øvrige medlemsstater og offentligheden adgang til ajourførte lister over godkendte/autoriserede fødevarevirksomheder, opretter Kommissionen et websted, hvor alle medlemsstater får lagt et link til deres respektive nationale websteder eller meddeler, hvis listerne offentliggøres via TRACES-systemet.

KAPITEL II

DE NATIONALE WEBSTEDERS UDFORMNING

A.    Masterliste

1. De enkelte medlemsstater meddeler Kommissionen en internetadresse på ét nationalt websted, der indeholder masterlisten over lister over godkendte/autoriserede fødevarevirksomheder, der fremstiller animalske produkter som defineret i punkt 8.1 i bilag I til forordning (EF) nr. 853/2004.

2. Masterlisten, jf. punkt 1, skal bestå af én side og være udfyldt på et eller flere officielle EU-sprog.

B.    Struktur

1. Webstedet med masterlisten udarbejdes af den kompetente myndighed eller, hvis det er relevant, en af de kompetente myndigheder, der er omhandlet i artikel 4 i forordning (EF) nr. 882/2004.

2. Masterlisten skal indeholde links til:

a) andre internetsider på samme websted

b) websteder, som andre kompetente myndigheder, enheder eller i givet fald organer står for, såfremt visse lister over godkendte/autoriserede fødevarevirksomheder ikke vedligeholdes af den kompetente myndighed, der er omhandlet i punkt 1.

C.    Opførelse på listerne via TRACES-systemet

Uanset del A og B kan medlemsstaterne fremlægge listerne via TRACES-systemet.

KAPITEL III

LAYOUT OG KODER FOR LISTER OVER GODKENDTE/AUTORISEREDE FØDEVAREVIRKSOMHEDER

Layout, herunder relevante oplysninger og koder, fastlægges med henblik på at sikre, at oplysningerne om godkendte/autoriserede fødevarevirksomheder er bredt tilgængelige, og at listerne er let læselige.

KAPITEL IV

TEKNISKE SPECIFIKATIONER

De opgaver og aktiviteter, der er omhandlet i kapitel II og III, udføres i overensstemmelse med de tekniske specifikationer, som Kommissionen har offentliggjort.

▼M1




BILAG VI

▼M6

STANDARDSUNDHEDSCERTIFIKATER OG STANDARDDOKUMENTER VED IMPORT AF VISSE ANIMALSKE PRODUKTER TIL KONSUM

AFSNIT I

▼M10 —————

▼M6

KAPITEL IV

FISKEVARER

Sundhedscertifikaterne, jf. artikel 6, stk. 1, litra d), i forordning (EF) nr. 853/2004, til anvendelse ved import af fiskevarer skal være i overensstemmelse med det standardcertifikat, der er fastlagt i tillæg IV til dette bilag.

KAPITEL V

LEVENDE TOSKALLEDE BLØDDYR

Sundhedscertifikaterne, jf. artikel 6, stk. 1, litra d), i forordning (EF) nr. 853/2004, til anvendelse ved import af levende toskallede bløddyr skal være i overensstemmelse med det standardcertifikat, der er fastlagt i tillæg V til dette bilag.

▼M10 —————

▼M6

AFSNIT II

STANDARDDOKUMENTER, DER SKAL UNDERSKRIVES AF FARTØJSFØREREN

Dokumentet, der underskrives af fartøjsføreren, og som kan erstatte det dokument, der kræves i henhold til artikel 14 i forordning (EF) nr. 854/2004, når fiskevarer importeres direkte fra et frysefartøj, jf. artikel 15, stk. 3, i samme forordning, skal være i overensstemmelse med det standarddokument, der er fastlagt i tillæg VII til dette bilag.

▼M10 —————

▼M7




Tillæg IV til bilag VI

Model til sundhedscertifikat ved import af fiskevarer til konsum

image

►(1) C1  

image

image

image

▼M4




Tillæg V til bilag VI

DEL A

MODEL TIL SUNDHEDSCERTIFIKAT VED IMPORT AF LEVENDE TOSKALLEDE BLØDDYR, PIGHUDER, SÆKDYR OG HAVSNEGLE TIL KONSUM

image

image

image

▼M1

DEL B

MODEL TIL SUPPLERENDE SUNDHEDSERKLÆRING TIL FORARBEJDEDE TOSKALLEDE BLØDDYR, DER TILHØRER ARTEN ACANTHOCARDIA TUBERCULATUM

Undertegnede officielle inspektør attesterer, at de forarbejdede toskallede bløddyr, der tilhører arten Acanthocardia tuberculatum, og som er omfattet af sundhedscertifikat referencenr. …

1. er blevet høstet i produktionsområder, der er blevet klart identificeret, overvåget og godkendt af den kompetente myndighed i henhold til Kommissionens beslutning 2006/766/EF ( 2 ), og hvor PSP-indholdet i spiselige dele af disse bløddyr er under 300 μg pr. 100g

2. er blevet transporteret i containere eller på køretøjer, som er plomberet af den kompetente myndighed, direkte til virksomheden:

(navn og officielt godkendelsesnummer på virksomheden, som har særlig tilladelse fra den kompetente myndighed til at foretage behandlingen)

3. er blevet ledsaget under transporten til virksomheden af et dokument udstedt af den kompetente myndighed, som tillader transporten og attesterer produktets art og mængde, oprindelsesområde og bestemmelsesvirksomhed

4. er blevet underkastet varmebehandling som beskrevet i bilaget til beslutning 96/77/EF

5. ikke har et indhold af PSP, der kan påvises ved den biologiske analysemetode, hvilket fremgår af vedlagte analyserapport(er) om den test, der er foretaget af alle partier i den sending, denne erklæring omfatter.

Undertegnede officielle inspektør attesterer, at den kompetente myndighed har efterprøvet, at den egenkontrol, som gennemføres af den virksomhed, der er nævnt i punkt 2, specifikt anvendes på varmebehandling som omhandlet i punkt 4.

Undertegnede officielle inspektør erklærer at være bekendt med bestemmelserne i beslutning 96/77/EF, og at vedlagte analyserapport(er) vedrører den test, der er foretaget af produkterne efter forarbejdningen.



Officiel inspektør

Navn (med blokbogstaver):

Dato:

Stempel

Stilling og titel:

Underskrift:

▼M10 —————

▼M6




Tillæg VII til bilag VI

STANDARDDOKUMENT, DER UNDERSKRIVES AF FARTØJSFØREREN, OG SOM LEDSAGER IMPORT, NÅR FROSNE FISKEVARER IMPORTERES DIREKTE TIL DEN EUROPÆISKE UNION FRA ET FRYSEFARTØJ

image

image

image

▼M11




Tillæg VIII til bilag VI

Model til sundhedscertifikat til brug ved import af fiskevarer til konsum, der er fanget af fartøjer under medlemsstatsflag, og som overføres i tredjelande med eller uden oplagring

image

image

image

▼M1




BILAG VIA

ANALYSEMETODER FOR RÅ MÆLK OG VARMEBEHANDLET MÆLK

KAPITEL I

BESTEMMELSE AF KIMTAL OG SOMATISK CELLETAL

1. Når der kontrolleres på grundlag af kriterierne i afsnit IX, kapitel I, del III, i bilag III til forordning (EF) nr. 853/2004, anvendes følgende standarder som referencemetoder:

a) EN/ISO 4833 til kimtal ved 30 oC

b) ISO 13366-1 til somatisk celletal.

2. Anvendelse af alternative analysemetoder kan accepteres:

a) for kimtal ved 30 oC, når metoderne er validerede på grundlag af referencemetoden omhandlet i punkt 1, litra a), i overensstemmelse med protokollen i EN/ISO-standard 16140 eller andre lignende internationalt anerkendte protokoller.

Omregningsforholdet mellem en alternativ metode og referencemetoden omhandlet i punkt 1, litra a), fastlægges i henhold til ISO-standard 21187.

b) for somatisk celletal ved 30 oC, når metoderne er validerede på grundlag af referencemetoden omhandlet i punkt 1, litra a), i overensstemmelse med protokollen i ISO-standard 8196, og når de gennemføres i overensstemmelse med 13366-2 eller andre lignende internationalt anerkendte protokoller.

KAPITEL II

BESTEMMELSE AF ALKALISK FOSFATASEAKTIVITET

1. Til bestemmelse af den alkaliske fosfataseaktivitet anvendes ISO-standard 11816-1 som referencemetode.

2. Alkalisk fosfataseaktivitet udtrykkes som millienheder enzymaktivitet pr. liter (mU/l). En enhed alkalisk fosfataseaktivitet er den mængde alkalisk fosfataseenzym, der katalyserer omdannelse af 1 mikromol substrat pr. minut.

3. En alkalisk fosfatasetest anses for at give et negativt resultat, hvis den målte aktivitet i komælk udgør højst 350 mU/l.

4. Alternative analysemetoder kan accepteres anvendt, når metoderne er validerede på grundlag af referencemetoden omhandlet i punkt 1 i overensstemmelse med internationalt anerkendte protokoller.

▼M2




BILAG VIb

KRAV TIL OFFENTLIG KONTROL MED HENSYN TIL INSPEKTION AF KØD

1.

I dette bilag forstås ved:

a) »kontrollerede opstaldningsforhold og integrerede produktionssystemer«: en type husdyrhold, hvor dyr holdes under forhold, der opfylder kriterierne i tillægget

b) »ungkvæg«: kvæg, uanset køn, der højst er 8 måneder gamle

c) »ungfår«: får, uanset køn, der ikke har en frembrudt blivende fortand og højst er 12 måneder gamle

d) »ungged«: ged, uanset køn, der højst er 6 måneder gammel

e) »besætning«: et dyr eller en gruppe af dyr, der holdes på en bedrift som en epidemiologisk enhed; findes der mere end én besætning på en bedrift, skal de hver udgøre en særskilt epidemiologisk enhed

f) »bedrift«: enhver virksomhed, enhver bygning eller, hvis der er tale om en frilandsbedrift, ethvert sted beliggende inden for samme medlemsstats område, hvor dyr holdes, opdrættes eller håndteres

g) »virksomhed, der ikke løbende gennemfører slagtninger eller vildthåndteringsaktiviteter«: et slagteri eller en vildthåndteringsvirksomhed, der er udpeget af den kompetente myndighed på grundlag af en risikoanalyse, og hvor det bl.a. er sådan, at slagtninger eller vildthåndteringsaktiviteter ikke finder sted enten gennem hele arbejdsdagen eller på arbejdsdage i direkte forlængelse af hinanden.

2.

Inspektion efter slagtning på virksomheder, der ikke løbende gennemfører slagtninger eller vildthåndteringsaktiviteter

a)

I henhold til afsnit III, kapitel II, punkt 2, litra b), i bilag I til forordning (EF) nr. 854/2004 kan den kompetente myndighed beslutte, at embedsdyrlægen ikke behøver at være permanent til stede ved inspektion efter slagtning, under forudsætning af at følgende betingelser er opfyldt:

i) Den pågældende virksomhed er en virksomhed, der ikke løbende gennemfører slagtninger eller vildthåndteringsaktiviteter, og som har tilstrækkelige faciliteter til at opbevare kød, der udviser abnormiteter, indtil embedsdyrlægen kan foretage en endelig inspektion efter slagtning.

ii) En officiel medhjælper foretager inspektionen efter slagtning.

iii) Embedsdyrlægen er til stede på virksomheden mindst en gang om dagen, når der foretages slagtninger, eller når der er foretaget slagtninger.

iv) Den kompetente myndighed har etableret en procedure for regelmæssig vurdering af de officielle medhjælperes præstationer på de pågældende virksomheder, herunder:

 overvågning af individuelle præstationer

 verifikation af dokumentation vedrørende resultater af inspektionerne og sammenligning med de tilsvarende slagtekroppe

 kontrol af slagtekroppe i lagerrummet.

b)

Ved den risikoanalyse, som den kompetente myndighed gennemfører, jf. punkt 1, litra g), for at identificere, hvilke virksomheder der kan være omfattet af dispensationen omhandlet i punkt 2, litra a), skal der som minimum tages hensyn til følgende elementer:

i) antallet af slagtede eller håndterede dyr pr. time eller pr. dag

ii) de slagtede eller håndterede dyrs art og klasse

iii) virksomhedens produktion (antal dyr)

iv) historik med hensyn til slagtninger eller håndteringsaktiviteter

v) effektiviteten af eventuelle supplerende foranstaltninger i fødevarekæden vedrørende tilvejebringelse af slagtedyr med henblik på at sikre fødevaresikkerheden

vi) effektiviteten af det eksisterende HACCP-baserede system

vii) optegnelser vedrørende audit

viii) den kompetente myndigheds historiske data vedrørende inspektioner før slagtning og inspektioner efter slagtning.

3.

Krav vedrørende en risikobaseret kødinspektion uden indsnit

▼M8 —————

▼M2

b)

Uanset de særlige krav i afsnit IV, kapitel I og II, i bilag I til forordning (EF) nr. 854/2004 kan procedurerne for inspektion efter slagtning af ungkvæg, ungfår og unggeder begrænses til kun at omfatte besigtigelse med begrænset palpering, under forudsætning af at følgende betingelser er opfyldt:

i) Fødevarevirksomhedslederen sikrer, at ungkvæget holdes under kontrollerede opstaldningsforhold og i et integreret produktionssystem som fastsat i tillægget til dette bilag.

ii) Fødevarevirksomhedslederen sikrer, at ungkvæget holdes i en officielt kvægtuberkulosefri besætning.

iii) Fødevarevirksomhedslederen er ikke omfattet af de overgangsordninger vedrørende information om fødevarekæden, der er fastsat i artikel 8 i forordning (EF) nr. 2076/2005.

iv) Den kompetente myndighed gennemfører eller lader gennemføre regelmæssig serologisk og/eller mikrobiologisk overvågning af et udvalgt antal dyr på grundlag af en risikoanalyse af farer for fødevaresikkerheden, som forekommer hos levende dyr, og som er relevante på bedriftsniveau.

v) Inspektionen efter slagtning af ungkvæg omfatter altid palpering af de retropharyngeale, bronchiale og mediastinale lymfeknuder.

c)

Hvis der påvises abnormiteter, skal slagtekroppen og slagteaffaldet underkastes en komplet inspektion efter slagtning, jf. afsnit IV, kapitel I og II, i bilag I til forordning (EF) nr. 854/2004. Den kompetente myndighed kan dog på grundlag af en risikoanalyse beslutte, at kød med mindre abnormiteter som nærmere defineret af den kompetente myndighed, som ikke udgør nogen risiko for dyrs eller menneskers sundhed, ikke behøver at blive underkastet en komplet inspektion efter slagtning.

d)

Ungkvæg, ungfår, unggeder og fravænnede svin, der ikke sendes direkte fra den bedrift, hvor de er født, til et slagteri, kan flyttes én gang til en anden bedrift (til opdræt eller opfedning), inden de sendes til et slagteri. I sådanne tilfælde:

i) kan der anvendes forskriftsmæssige samlesteder til ungkvæg, ungfår eller unggeder mellem oprindelsesbedriften og opdræts-/opfedningsbedriften såvel som mellem sådanne bedrifter og slagteriet

ii) skal der sikres sporbarhed for det enkelte dyr eller parti af dyr.

4.

Supplerende krav til inspektion efter slagtning af dyr af hestefamilien

a)

Fersk kød af dyr af hestefamilien, som er opdrættet i lande, der ikke er fri for snive, jf. artikel 2.5.8.2. i den zoosanitære kodeks vedrørende landdyr fra Verdensorganisationen for Dyresundhed, må ikke markedsføres, medmindre det pågældende kød stammer fra dyr af hestefamilien, der er undersøgt for snive i overensstemmelse med afsnit IV, kapitel IX, punkt D, i bilag I til forordning (EF) nr. 854/2004.

b)

Fersk kød af dyr af hestefamilien med snive erklæres uegnet til konsum som fastsat i afsnit IV, kapitel IX, punkt D, i bilag I til forordning (EF) nr. 854/2004.




Tillæg til bilag VIb

Ved anvendelsen af dette bilag betyder »kontrollerede opstaldningsforhold og integrerede produktionssystemer«, at fødevarevirksomhedslederen skal overholde nedenstående kriterier:

a) Alt foder kommer fra et anlæg, der fremstiller foder i overensstemmelse med kravene i artikel 4 og 5 i Europa-Parlamentets og Rådets forordning (EF) nr. 183/2005 ( 3 ). Når dyrene får grovfoder eller afgrøder som foder, skal det behandles på passende vis og om muligt tørres og/eller pelleteres.

b) Der anvendes så vidt muligt et alt ind-alt ud-system. Når der indsættes dyr i besætningen, skal de holdes i isolation, så længe det kræves af veterinærtjenesterne, for at forhindre indslæbning af sygdomme.

c) Ingen af dyrene har adgang til udendørsfaciliteter, medmindre fødevarevirksomhedslederen med en risikoanalyse kan godtgøre over for den kompetente myndighed, at varigheden af udendørsadgangen og faciliteterne og forholdene i den forbindelse ikke indebærer en fare for indslæbning af sygdom til besætningen.

d) Der skal foreligge detaljerede oplysninger om dyrene fra fødsel til slagtning og deres driftsforhold som fastsat i afsnit III i bilag II til forordning (EF) nr. 853/2004.

e) Hvis dyrene får strøelse, skal forekomst eller indslæbning af sygdom undgås ved passende behandling af strøelsesmaterialet.

f) Personalet på bedriften skal overholde de almindelige hygiejnebestemmelser i bilag I til forordning (EF) nr. 852/2004.

g) Der skal være etableret procedurer for kontrol med adgangen til de steder, hvor der holdes dyr.

h) Bedriften omfatter ikke turist- eller campingfaciliteter, medmindre fødevarevirksomhedslederen med en risikoanalyse kan godtgøre over for den kompetente myndighed, at faciliteterne er tilstrækkeligt adskilt fra dyreopdrætsenheden til, at direkte og indirekte kontakt mellem mennesker og dyr ikke er mulig.

i) Dyrene har ikke adgang til steder med henkastet affald eller husholdningsaffald.

j) Der skal være etableret en skadedyrsbekæmpelsesplan.

k) Der fodres ikke med ensilage, medmindre fødevarevirksomhedslederen med en risikoanalyse kan godtgøre over for den kompetente myndighed, at foderet ikke kan overføre farer til dyrene.

l) Spildevand og slam fra rensningsanlæg udledes ikke til områder, som dyrene har adgang til, og anvendes ikke til gødskning af græsningsarealer, der anvendes til dyrkning af afgrøder, som anvendes til foder, medmindre det behandles på passende vis og lever op til den kompetente myndigheds krav.

▼B




BILAG VII

ÆNDRINGER AF FORORDNING (EF) Nr. 853/2004

I bilag II og III til forordning (EF) nr. 853/2004 foretages følgende ændringer:

1) Bilag II, afsnit I, punkt B, ændres således:

a) Punkt 6, andet afsnit, affattes således:

»BE, CZ, DK, DE, EE, GR, ES, FR, IE, IT, CY, LV, LT, LU, HU, MT, NL, AT, PL, PT, SI, SK, FI, SE og UK.«

b) Punkt 8 affattes således:

»8. Når mærket anvendes af en virksomhed, der er beliggende inden for Fællesskabet, skal det være ovalt og omfatte forkortelsen CE, EC, EF, EG, EK, EY, ES, EÜ, EK, EB eller WE.«

2) Bilag III ændres således:

a) Afsnit I, kapitel IV, punkt 8, affattes således:

»8. Slagtekroppe og øvrige dele af kroppen, der er bestemt til konsum, skal afhudes fuldstændigt, bortset fra svin, hovedet af får, geder og kalve samt fødderne af kvæg, får og geder. Hoveder og tæer skal håndteres på en sådan måde, at kontaminering undgås.«

b) I afsnit II indsættes som kapitel VII:

»KAPITEL VII: VANDBINDINGSMIDLER

Fødevarevirksomhedsledere sikrer, at fjerkrækød, der er behandlet specifikt for at øge vandbindingen, ikke markedsføres som fersk kød, men som tilberedt kød, eller anvendes til fremstilling af forarbejdede produkter.«

c) Afsnit VIII, kapitel V, litra E, punkt 1, affattes således:

»1. Fiskevarer fra giftige fisk af følgende familier må ikke markedsføres: Tetraodontidae, Molidae, Diodontidae og Canthigasteridae. Ferske, tilberedte og forarbejdede fiskevarer fra familien Gempylidae, navnlig Ruvettus pretiosus og Lepidocybium flavobrunneum, må kun markedsføres indpakket/emballeret, og de skal mærkes med de relevante forbrugeroplysninger om tilberedning og om risikoen ved forekomst af stoffer med negative virkninger for mave-tarm-kanalen. Trivialnavn såvel som videnskabeligt navn skal anføres på mærkningen.«

d) Afsnit IX ændres således:

i) Kapitel I, del II, litra B, punkt 1, litra e), affattes således:

»e) pattedypnings- eller pattespraymidler anvendes kun, når de er godkendt eller registreret i henhold til Europa-Parlamentets og Rådets direktiv 98/8/EF af 16. februar 1998 om markedsføring af biocidholdige produkter ( *1 ).«

ii) Kapitel II, del II, punkt 1, affattes således:

»1. Hvis rå mælk eller mejeriprodukter varmebehandles, skal lederen af fødevarevirksomheden sikre, at behandlingen opfylder kravene i kapitel XI i bilag II til forordning (EF) nr. 852/2004. Vedkommende skal ved anvendelsen af følgende processer navnlig sikre, at de overholder de angivne specifikationer:

a) Pasteurisering sker ved en behandling, der omfatter:

i) en høj temperatur i et kort tidsrum (mindst 72 oC i 15 sekunder)

ii) en lav temperatur i et langt tidsrum (mindst 63 oC i 30 minutter) eller

iii) andre kombinationer af tid og temperatur med henblik på at opnå en tilsvarende effekt

således at produkterne, hvis det er relevant, viser en negativ reaktion på en alkalisk fosfataseprøve umiddelbart efter behandlingen.

b) UHT-behandling sker ved en behandling:

i) der omfatter en kontinuerlig varmestrøm med en høj temperatur i et kort tidsrum (mindst 135 oC i et passende tidsrum), således at det behandlede produkt ikke indeholder levedygtige mikroorganismer eller sporer, der kan vokse i produktet, når det opbevares i en aseptisk beholder ved omgivelsestemperatur, og

ii) som er tilstrækkelig til at sikre, at produktet fortsat er mikrobiologisk stabilt efter inkubation i 15 dage ved 30 oC i lukkede beholdere eller i 7 dage ved 55 oC i lukkede beholdere eller efter anvendelse af andre metoder, der dokumenterer, at produktet har gennemgået en korrekt varmebehandling.«

e) Afsnit X, kapitel II, ændres således:

i) Del III, punkt 5, affattes således:

»5. Efter udslåning skal alle det flydende ægs bestanddele forarbejdes snarest muligt for at eliminere mikrobiologiske risici eller reducere dem til et acceptabelt niveau. Et parti, som er blevet forarbejdet utilstrækkeligt, kan omgående underkastes en ny forarbejdning på samme virksomhed, forudsat at denne nye forarbejdning gør det egnet til konsum. Hvis det konstateres, at et parti er uegnet til konsum, skal det denatureres for at sikre, at det ikke anvendes til konsum.«

ii) Del V, punkt 2, affattes således:

»2. Når der er tale om flydende æg, skal den i punkt 1 omhandlede etiket ligeledes være påført ordene: »ikke-pasteuriseret flydende æg — behandles på bestemmelsesstedet« samt angivelse af dato og tidspunkt for udslåningen.«

f) I afsnit XIV indsættes som kapitel V:

»KAPITEL V: MÆRKNING

Indpakning og emballering, der indeholder gelatine, skal være påført ordene »gelatine egnet til konsum«, og tilberedningsdatoen skal være angivet.«




BILAG VIII

ÆNDRINGER AF FORORDNING (EF) Nr. 854/2004

I bilag I, II og III til forordning (EF) nr. 854/2004 foretages følgende ændringer:

1) Bilag I, afsnit I, kapitel III, punkt 3, ændres således:

a) Litra a), andet led, affattes således:

»BE, CZ, DK, DE, EE, GR, ES, FR, IE, IT, CY, LV, LT, LU, HU, MT, NL, AT, PL, PT, SI, SK, FI, SE og UK.«

b) Litra c) affattes således:

»c) Når mærket anvendes på et slagteri i Fællesskabet, skal det omfatte forkortelsen CE, EC, EF, EG, EK, EY, ES, EÜ, EK, EB eller WE.«

2) Kapitel II, litra A, punkt 4 og 5, i bilag II affattes således:

»4. Den kompetente myndighed kan klassificere områder som klasse B-områder, hvor der må høstes levende toskallede bløddyr, men hvorfra bløddyrene først må markedsføres til konsum efter behandling i et renseanlæg eller efter genudlægning, så de kan opfylde sundhedsnormerne i punkt 3. Levende toskallede bløddyr fra disse områder må ikke indeholde over 4 600 E. coli pr. 100 g kød og væske mellem skallerne. Referencemetoden til denne analyse er en MPN-test (Most Probable Number) med fem rør og tre fortyndinger som specificeret i ISO 16649-3. Der kan anvendes alternative metoder, hvis de er blevet valideret i forhold til referencemetoden i overensstemmelse med kriterierne i EN/ISO 16140.

5. Den kompetente myndighed kan klassificere områder som klasse C-områder, hvor der må høstes levende toskallede bløddyr, men hvorfra bløddyrene først må markedsføres efter genudlægning i en lang periode, så de kan opfylde sundhedsnormerne i punkt 3. Levende toskallede bløddyr fra disse områder må ikke indeholde over 46 000 E. coli pr. 100 g kød og væske mellem skallerne. Referencemetoden til denne analyse er en MPN-test (Most Probable Number) med fem rør og tre fortyndinger som specificeret i ISO 16649-3. Der kan anvendes alternative metoder, hvis de er blevet valideret i forhold til referencemetoden i overensstemmelse med kriterierne i EN/ISO 16140.«

3) Kapitel II, litra G, punkt 1, i bilag III affattes således:

»1. Fiskevarer fra giftige fisk af følgende familier må ikke markedsføres: Tetraodontidae, Molidae, Diodontidae og Canthigasteridae. Ferske, tilberedte og forarbejdede fiskevarer fra familien Gempylidae, navnlig Ruvettus pretiosus og Lepidocybium flavobrunneum, må kun markedsføres indpakket/emballeret, og de skal mærkes med de relevante forbrugeroplysninger om tilberedningen og om risikoen ved forekomst af stoffer med negative virkninger for mave-tarm-kanalen. Trivialnavn såvel som videnskabeligt navn skal anføres på mærkningen.«



( ) EFT L 358 af 18.12.1986, s. 1.

( ) Se side 53 i denne EUT.

( 1 ) EUT L 35 af 8.2.2005, s. 1.

( *1 ) EFT L 123 af 24.4.1998, s. 1.