2005L0055 — DA — 10.06.2006 — 002.001


Dette dokument er et dokumentationsredskab, og institutionerne påtager sig intet ansvar herfor

►B

EUROPA-PARLAMENTETS OG RÅDETS DIREKTIV 2005/55/EF

af 28. september 2005

om indbyrdes tilnærmelse af medlemsstaternes lovgivninger om foranstaltninger mod emission af forurenende luftarter og partikler fra motorer med kompressionstænding til fremdrift af køretøjer og emission af forurenende luftarter fra køretøjsmotorer med styret tænding, som benytter naturgas eller autogas (LPG) som brændstof

(EØS-relevant tekst)

(EFT L 275, 20.10.2005, p.1)

Ændret ved:

 

 

Tidende

  No

page

date

►M1

KOMMISSIONENS DIREKTIV 2005/78/EF EØS-relevant tekst af 14. november 2005

  L 313

1

29.11.2005

►M2

KOMMISSIONENS DIREKTIV 2006/51/EF EØS-relevant tekst af 6. juni 2006

  L 152

11

7.6.2006




▼B

EUROPA-PARLAMENTETS OG RÅDETS DIREKTIV 2005/55/EF

af 28. september 2005

om indbyrdes tilnærmelse af medlemsstaternes lovgivninger om foranstaltninger mod emission af forurenende luftarter og partikler fra motorer med kompressionstænding til fremdrift af køretøjer og emission af forurenende luftarter fra køretøjsmotorer med styret tænding, som benytter naturgas eller autogas (LPG) som brændstof

(EØS-relevant tekst)



EUROPA-PARLAMENTET OG RÅDET FOR DEN EUROPÆISKE UNION HAR —

under henvisning til traktaten om oprettelse af Det Europæiske Fællesskab, særlig artikel 95,

under henvisning til forslag fra Kommissionen,

under henvisning til udtalelse fra Det Europæiske Økonomiske og Sociale Udvalg ( 1 ), og

efter proceduren i traktatens artikel 251 ( 2 ), og

ud fra følgende betragtninger:

(1)

Rådets direktiv 88/77/EØF af 3. december 1987 om indbyrdes tilnærmelse af medlemsstaternes lovgivninger om foranstaltninger mod emission af forurenende luftarter og partikler fra motorer med kompressionstænding til fremdrift af køretøjer og emission af forurenende luftarter fra køretøjsmotorer med styret tænding, som benytter naturgas eller autogas (LPG) som brændstof ( 3 ) er et af særdirektiverne i forbindelse med den typegodkendelsesprocedure, der er fastlagt i Rådets direktiv 70/156/EØF af 6. februar 1970 om tilnærmelse af medlemsstaternes lovgivning om godkendelse af motordrevne køretøjer og påhængskøretøjer dertil ( 4 ). Direktiv 88/77/EØF er blevet ændret flere gange for at indføre strengere grænseværdier for emission af forurenende stoffer. Da der skal foretages yderligere ændringer, bør direktivet omarbejdes af klarhedshensyn.

(2)

Ved Rådets direktiv 91/542/EØF ( 5 ) om ændring af direktiv 88/77/EØF, Europa-Parlamentets og Rådets direktiv 1999/96/EF af 13. december 1999 om indbyrdes tilnærmelse af medlemsstaternes lovgivninger om foranstaltninger mod emission af forurenende luftarter og partikler fra motorer med kompressionstænding til fremdrift af køretøjer og emission af forurenende luftarter fra køretøjsmotorer med styret tænding, som benytter naturgas eller autogas (LPG) som brændstof, og om ændring af Rådets direktiv 88/77/EØF ( 6 ) og Kommissionens direktiv 2001/27/EF ( 7 ) om tilpasning til den tekniske udvikling af Rådets direktiv 88/77/EØF, er der indført bestemmelser, som ganske vist er selvstændige, men alligevel tæt knyttet til ordningen i direktiv 88/77/EØF. Disse selvstændige bestemmelser bør af klarheds- og retssikkerhedshensyn medtages i den omarbejdede tekst af sidstnævnte direktiv.

(3)

Det er nødvendigt, at alle medlemsstater indfører de samme krav, især for at gøre det muligt at gennemføre EF-typegodkendelsesordningen i direktiv 70/156/EØF for alle typer køretøjer.

(4)

Kommissionens program vedrørende luftkvalitet, vejtrafikemissioner, brændstof og teknologier til nedbringelse af emissioner, i det følgende benævnt »det første auto-olie-program«, viste, at en yderligere nedsættelse af de forurenende emissioner fra tunge køretøjer er nødvendig for at leve op til de fremtidige luftkvalitetsnormer.

(5)

I første auto-olie-program blev en nedsættelse af emissionsgrænseværdierne fra og med år 2000, svarende til en nedbringelse på 30 % af emissionerne af carbonmonoxid, kulbrinter i alt, nitrogenoxider og partikler, anset for afgørende for en forbedring af luftkvaliteten på mellemlang sigt. En nedsættelse på 30 % af røgtætheden skulle desuden medvirke til at nedbringe mængden af partikler. De skærpede emissionsgrænseværdier fra år 2005, svarende til en yderligere nedbringelse på 30 % af emissionerne af carbonmonoxid, kulbrinter i alt og nitrogenoxider samt på 80 % af emissionerne af partikler, skulle bidrage betydeligt til at forbedre luftkvaliteten på mellemlang og længere sigt. Den yderligere begrænsning i emissionerne af nitrogenoxider, der gælder fra år 2008, skulle nedbringe emissionerne af dette stof med yderligere 43 %.

(6)

Der anvendes typegodkendelsesprøvninger for forurenende luftarter og partikler og for røgtæthed, som giver mulighed for en mere repræsentativ evaluering af motorers emissionspræstationer ved prøvning under forhold, der ligger tættere på køretøjernes brug i praksis. Fra 2000 er konventionelle motorer med kompressionstænding og motorer med kompressionstænding med visse typer emissionsbegrænsende udstyr blevet afprøvet for røgtæthed i en stationær testcyklus og i en ny belastningsresponstest. Motorer med kompressionstænding med avancerede emissionsbegrænsende systemer afprøves herudover i en ny ikke-stationær testcyklus. Fra 2005 bør alle motorer med kompressionstænding afprøves i samtlige disse testcyklusser. Gasdrevne motorer afprøves kun i den nye, ikke-stationære testcyklus.

(7)

Under alle tilfældigt valgte belastningsforhold inden for et fastsat arbejdsområde må grænseværdierne ikke overskrides med mere end en passende procentdel.

(8)

I forbindelse med fastsættelsen af nye normer og testprocedurer er det nødvendigt at tage hensyn til den indflydelse, den voksende trafik i Fællesskabet har på luftkvaliteten. Kommissionens arbejde på dette område viser, at Fællesskabets motorindustri i høj grad har optimeret teknologi, der muliggør en betydelig nedsættelse af emissioner af forurenende luftarter og partikler. Der skal dog gøres en yderligere indsats med hensyn til emissionsgrænseværdier og andre tekniske krav, der har betydning for miljøbeskyttelsen og folkesundheden. Især bør resultaterne af igangværende forskning i meget fine partiklers egenskaber tages i betragtning i forbindelse med fremtidige foranstaltninger.

(9)

Det er nødvendigt at forbedre brændstofkvaliteten yderligere, så emissionskontrolsystemer kan fungere effektivt og stabilt.

(10)

Fra 2005 bør der indføres nye bestemmelser om egendiagnose (OBD) for at gøre det muligt omgående at konstatere en forringelse eller fejl i det emissionsbegrænsende udstyrs funktion. Dette forventes at give bedre diagnose- og reparationsmuligheder og dermed et betydeligt mere bæredygtigt emissionsniveau for tunge køretøjer i brug. Da OBD-systemer til dieselmotorer til tunge køretøjer på verdensplan stadig er i sin vorden, bør de indføres i Fællesskabet i to etaper, så der er tid til at udvikle systemerne, og så man undgår at tage OBD-systemer i brug, der giver forkerte meldinger. For at hjælpe medlemsstaterne med at sikre, at ejere og operatører af tunge køretøjer efterkommer deres forpligtelse til at reparere fejl, som OBD-systemet angiver, skal den tilbagelagte afstand eller den tid, der er gået, efter at fejlen blev angivet over for føreren, registreres.

(11)

Motorer med kompressionstænding er i sig selv driftssikre og har, ved korrekt og effektiv vedligeholdelse, vist sig i stand til at bevare emissionspræstationer på et højt niveau gennem de lange distancer, som tilbagelægges af tunge køretøjer i kommerciel drift. De kommende emissionsnormer vil imidlertid fremme indførelsen af emissionskontrolsystemer neden for motoren, som for eksempel deNOx-systemer, diesel-partikelfiltre og kombinationer heraf samt eventuelt andre systemer, som endnu ikke er beskrevet. Der må derfor fastsættes krav til levetid, der skal tjene som referenceperiode for procedurer til sikring af, at motorens emissionskontrolsystem stemmer overens med normerne. Ved fastsættelsen af disse krav bør der tages behørigt hensyn til de lange strækninger, der tilbagelægges af tunge køretøjer, til nødvendigheden af korrekt og rettidig vedligeholdelse samt til muligheden for at typegodkende køretøjer i klasse N1 efter nærværende direktiv eller efter Rådets direktiv 70/220/EØF af 20. marts 1970 om tilnærmelse af medlemsstaternes lovgivning om foranstaltninger mod luftforurening forårsaget af emissioner fra motorkøretøjer ( 8 ).

(12)

Medlemsstaterne bør have mulighed for ved hjælp af skatte- og afgiftslettelser at fremme markedsføringen af køretøjer, der opfylder de forskrifter, som er vedtaget på fællesskabsplan, forudsat at sådanne lettelser er i overensstemmelse med traktatens bestemmelser og opfylder visse betingelser, som skal forhindre fordrejning af det indre marked. Dette direktiv begrænser ikke medlemsstaternes ret til at lade emissioner af forurenende stoffer indgå i beregningsgrundlaget for motorkøretøjsafgifter.

(13)

Eftersom nogle af disse skatte- og afgiftslettelser er statsstøtte i henhold til traktatens artikel 87, stk. 1, skal de meddeles Kommissionen i henhold til traktatens artikel 88, stk. 3, med henblik på en evaluering efter de relevante kriterier for forenelighed. Meddelelsen af sådanne foranstaltninger i henhold til dette direktiv berører ikke meddelelsespligten i henhold til traktatens artikel 88, stk. 3.

(14)

For at forenkle og fremskynde processen bør Kommissionen gives beføjelse til at vedtage foranstaltninger til gennemførelse af de grundlæggende bestemmelser i dette direktiv såvel som foranstaltninger til tilpasning af dette direktivs bilag til den videnskabelige og tekniske udvikling.

(15)

De nødvendige foranstaltninger til gennemførelse af dette direktiv og dets tilpasning til den videnskabelige og tekniske udvikling bør vedtages i overensstemmelse med Rådets afgørelse 1999/468/EF af 28. juni 1999 om fastsættelse af de nærmere vilkår for udøvelsen af de gennemførelsesbeføjelser, der tillægges Kommissionen ( 9 ).

(16)

Som følge af den mere udbredte anvendelse af nye alternative brændstoffer og nye emissionskontrolsystemer bør Kommissionen løbende undersøge behovet for at indføre emissionsgrænseværdier for forurenende stoffer, for hvilke der endnu ikke er fastlagt regler.

(17)

Kommissionen bør hurtigst muligt fremsætte de forslag, den finder passende med henblik på et supplerende trin for grænseværdier for NOx- og partikelemissioner.

(18)

Målet for dette direktiv, nemlig gennemførelsen af det indre marked ved indførelse af fælles tekniske krav for alle typer køretøjer vedrørende forurenende emissioner af luftarter og partikler, kan ikke i tilstrækkelig grad opfyldes af medlemsstaterne og kan derfor på grund af direktivets omfang bedre gennemføres på fællesskabsplan; Fællesskabet kan derfor træffe foranstaltninger i overensstemmelse med subsidiaritetsprincippet, jf. traktatens artikel 5. I overensstemmelse med proportionalitetsprincippet, jf. nævnte artikel, går direktivet ikke ud over, hvad der er nødvendigt for at nå dette mål.

(19)

Forpligtelsen til at gennemføre dette direktiv i medlemsstaternes nationale lovgivning bør begrænses til de bestemmelser, der udgør væsentlige ændringer i forhold til de tidligere direktiver. Forpligtelsen til at gennemføre de bestemmelser, der ikke er ændret, følger af de tidligere direktiver.

(20)

Dette direktiv bør ikke berøre medlemsstaternes forpligtelser med hensyn til de i bilag IX, del B, angivne frister for gennemførelse i national ret og anvendelse af direktiverne —

UDSTEDT FØLGENDE DIREKTIV:



Artikel 1

Definitioner

I dette direktiv anvendes følgende definitioner:

a) »køretøj«: et køretøj som defineret i artikel 2 i direktiv 70/156/EØF, og som drives af en motor med kompressionstænding eller gasmotor, dog ikke køretøjer i klasse M1, med en største teknisk tilladt totalvægt på 3,5 tons

b) »motorer med kompressionstænding eller gasmotor«: den fremdrivningsenhed til et køretøj, som kan typegodkendes som separat teknisk enhed som defineret i artikel 2 i direktiv 70/156/EØF

c) »mere miljøvenligt køretøj (EEV)«: et køretøj, der drives af en motor, der overholder de fakultative emissionsgrænseværdier i række C i tabellerne i punkt 6.2.1 i bilag I.

Artikel 2

Medlemsstaternes forpligtelser

1.  For en type motor med kompressionstænding eller gasmotor og for en type køretøj, der drives af en motor med kompressionstænding eller gasmotor, der ikke opfylder kravene i bilag I–VIII, og især hvis motorens emission af forurenende luftarter og partikler og udstødningens røgtæthed ikke ligger inden for grænseværdierne i række A i tabellerne i punkt 6.2.1 i bilag I, skal medlemsstaterne:

a) nægte at meddele EF-typegodkendelse i henhold til artikel 4, stk. 1, i direktiv 70/156/EØF

b) nægte national typegodkendelse.

2.  Medlemsstaterne skal, undtagen for så vidt angår køretøjer og motorer, som skal eksporteres til tredjelande, samt ombytningsmotorer til køretøjer i brug, hvis kravene i bilag I-VIII ikke er opfyldt, og især hvis motorens emission af forurenende luftarter og partikler og udstødningens røgtæthed ikke ligger inden for grænseværdierne i række A i tabellerne i punkt 6.2.1 i bilag I:

a) anse overensstemmelsesattester, som ledsager nye køretøjer eller nye motorer i henhold til direktiv 70/156/EØF, for ugyldige til det formål, der er nævnt i samme direktivs artikel 7, stk. 1

b) forbyde registrering, salg, ibrugtagning eller anvendelse af nye køretøjer, der drives af en motor med kompressionstænding eller gasmotor, samt salg eller anvendelse af nye motorer med kompressionstænding eller gasmotorer.

3.  Fra 1. oktober 2003 for de typer gasmotorer og typer køretøjer, der drives af en gasmotor, der ikke opfylder kravene i bilag I-VIII, med undtagelse af køretøjer og motorer, der eksporteres til tredjelande, samt med undtagelse af udskiftningsmotorer til ibrugtagne køretøjer, jf. dog stk. 1 og 2:

a) anser medlemsstaterne typeattester, som ledsager nye køretøjer eller nye motorer i henhold til direktiv 70/156/EØF, for ugyldige til det formål, der er nævnt i samme direktivs artikel 7, stk. 1

b) forbyder medlemsstaterne registrering, salg, ibrugtagning eller anvendelse af nye køretøjer samt salg eller anvendelse af nye motorer.

4.  Hvis kravene i artikel 3 og 4 og i bilag I-VIII er opfyldt, navnlig når emissionerne af forurenende luftarter og partikler samt udstødningens røgtæthed overholder grænseværdierne i række B1 eller B2 eller de fakultative grænseværdier i række C i tabellerne i punkt 6.2.1 i bilag I, må medlemsstaterne ikke, af grunde der vedrører motorens emission af forurenende luftarter og partikler eller udstødningens røgtæthed:

a) afvise at meddele EF-typegodkendelse i henhold til artikel 4, stk. 1, i direktiv 70/156/EØF eller nægte national typegodkendelse for køretøjer med motorer med kompressionstændings- eller gasmotor

b) forbyde indregistrering, salg, ibrugtagning eller brug af sådanne nye køretøjer, der drives af en kompressionstændings- eller gasmotor

c) afvise at meddele EF-typegodkendelse for en type af kompressionstændings- eller gasmotor

d) forbyde salg eller brug af nye kompressionstændings- eller gasmotorer.

5.  Fra den 1. oktober 2005 for en type motor med kompressionstænding eller gasmotor og en type køretøj, der drives af en motor med kompressionstænding eller gasmotor, der ikke opfylder kravene i artikel 3 og 4 og i bilag I-VIII og især, hvis motorens emission af forurenende luftarter og partikler og udstødningens røgtæthed ikke ligger inden for grænseværdierne i række B1 i tabellerne i punkt 6.2.1 i bilag I:

a) skal medlemsstaterne nægte at meddele EF-typegodkendelse i henhold til artikel 4, stk.1, i direktiv 70/156/EØF

b) skal medlemsstaterne nægte national typegodkendelse.

6.  Fra den 1. oktober 2006 skal medlemsstaterne, undtagen for så vidt angår køretøjer og motorer, som skal eksporteres til tredjelande, samt ombytningsmotorer til køretøjer i brug, hvis kravene i artikel 3 og 4 og i bilag I-VIII ikke er opfyldt, og især hvis motorens emission af forurenende luftarter og partikler og udstødningens røgtæthed ikke ligger inden for grænseværdierne i række B1 i tabellerne i punkt 6.2.1 i bilag I:

a) anse typeattester, der ledsager fabriksnye køretøjer eller fabriksnye motorer som omhandlet i direktiv 70/156/EØF, for ugyldige til det i samme direktivs artikel 7, stk. 1, nævnte formål

b) forbyde registrering, salg, ibrugtagning eller anvendelse af fabriksnye køretøjer, der drives af en motor med kompressionstænding eller gasmotor, samt salg eller ibrugtagning af fabriksnye motorer med kompressionstænding og gasmotorer.

7.  Fra den 1. oktober 2008 for en type motor med kompressionstænding eller gasmotor og en type køretøj, der drives af en motor med kompressionstænding eller gasmotor, der ikke opfylder kravene i artikel 3 og 4 og i bilag I-VIII, og især hvis motorens emission af forurenende luftarter og partikler og udstødningens røgtæthed ikke ligger inden for grænseværdierne i række B2 i tabellerne i punkt 6.2.1 i bilag I:

a) skal medlemsstaterne nægte at meddele EF-typegodkendelse i henhold til artikel 4, stk. 1, i direktiv 70/156/EØF

b) skal medlemsstaterne nægte national typegodkendelse.

8.  Fra den 1. oktober 2009 skal medlemsstaterne, undtagen for så vidt angår køretøjer og motorer, som skal eksporteres til tredjelande, samt ombytningsmotorer til køretøjer i brug, hvis kravene i artikel 3 og 4 og i bilag I-VIII ikke er opfyldt, og især hvis motorens emission af forurenende luftarter og partikler og udstødningens røgtæthed ikke ligger inden for grænseværdierne i række B2 i tabellerne i punkt 6.2.1 i bilag I:

a) anse typeattester, der ledsager fabriksnye køretøjer eller fabriksnye motorer som omhandlet i direktiv 70/156/EØF, for ugyldige til det i samme direktivs artikel 7, stk. 1, nævnte formål

b) forbyde registrering, salg, ibrugtagning eller anvendelse af fabriksnye køretøjer med en motor med kompressionstænding eller gasmotor, samt salg eller ibrugtagning af fabriksnye motorer med kompressionstænding og gasmotorer.

9.  I overensstemmelse med stk. 4 skal en motor, som opfylder kravene i bilag I-VIII, og som navnlig overholder emissionsgrænseværdierne i række C i tabellerne i punkt 6.2.1 i bilag I, anses for at opfylde kravene i stk. 1-3.

I overensstemmelse med stk. 4 skal en motor, som opfylder kravene i artikel 3 og 4 og i bilag I-VIII, og som navnlig overholder emissionsgrænseværdierne i række C i tabellerne i punkt 6.2.1 i bilag I, anses for at opfylde kravene i stk. 1-3 og 5-8.

10.  For motorer med kompressionstænding eller gasmotorer, der i forbindelse med typegodkendelsen skal overholde grænseværdierne i bilag I, punkt 6.2.1, gælder følgende:

Under alle tilfældigt valgte belastningsforhold, som henhører under et bestemt kontrolområde, med undtagelse af specificerede forhold for motorer i brug, der ikke er underlagt en sådan bestemmelse, må de emissionsprøver, som er indsamlet i en periode på kun 30 sek., ikke overstige grænseværdierne i række B2 og C i tabellerne i punkt 6.2.1 i bilag I med mere end 100 %. Kontrolområdet, som denne procentsats skal anvendes på, de udelukkede driftsbetingelser og andre hensigtsmæssige betingelser defineres efter proceduren i artikel 7, stk. 1.

Artikel 3

Emissionskontrolsystemers holdbarhed

1.  Fra den 1. oktober 2005 for nye typegodkendelser og fra 1. oktober 2006 for alle typegodkendelser skal fabrikanten godtgøre, at en motor med kompressionstænding eller gasmotor, der er typegodkendt efter emissionsgrænseværdierne i række B1, B2 eller C i tabellerne i punkt 6.2.1 i bilag I, vil opfylde disse emissionsgrænseværdier ved en levetid på:

a) 100 000 km, dog højst fem år, for motorer til montering i køretøjer i klasse N1 og M2

b) 200 000 km, dog højst seks år, for motorer til montering i køretøjer i klasse N2, N3 med en maksimal teknisk tilladt masse på højst 16 tons og M3, klasse I, klasse II og klasse A samt klasse B med en maksimal teknisk tilladt masse på højst 7,5 tons

c) 500 000 km, dog højst syv år, for motorer til montering i køretøjer i klasse N3 med en maksimal teknisk tilladt masse på over 16 tons og M3, klasse III og klasse B med en maksimal teknisk tilladt masse på over 7,5 tons.

Fra den 1. oktober 2005 for nye typer køretøjer og fra 1. oktober 2006 for alle typer køretøjer skal det ved typegodkendelse af køretøjer også godtgøres, at det forureningsbegrænsende udstyr er funktionsdygtigt i et køretøjs normale levetid under normale driftsbetingelser (overensstemmelse hvad angår køretøjer i brug, der vedligeholdes og anvendes korrekt).

2.  Foranstaltninger til gennemførelse af stk. 1 vedtages senest den 28. december 2005.

Artikel 4

Egendiagnosesystemer

1.  Fra den 1. oktober 2005 for nye typegodkendelser af køretøjer og fra 1. oktober 2006 for alle typegodkendelser skal en motor med kompressionstænding, som er typegodkendt efter emissionsgrænseværdierne i række B1 eller C i tabellerne i punkt 6.2.1 i bilag I, eller et køretøj, der drives af en sådan motor, være udstyret med et system til egendiagnose (OBD), der over for føreren angiver tilstedeværelsen af en fejl, hvis OBD-tærskelværdierne i række B1 eller C i tabellen i stk. 3 overskrides.

Forefindes der efterbehandlingssystemer for udstødningen, kan OBD-systemet spore væsentlige funktionsfejl i:

a) en katalysator, når denne er monteret som separat enhed, uanset om den er en del af et deNOx-system eller et diesel-partikelfilter

b) et deNOx-system (hvis monteret)

c) et diesel-partikelfilter (hvis monteret)

d) et kombineret deNOx-/diesel-partikelfiltersystem.

2.  Fra den 1. oktober 2008 for nye typegodkendelser og fra den 1. oktober 2009 for alle typegodkendelser skal en motor med kompressionstænding eller en gasmotor, der er typegodkendt efter emissionsgrænseværdierne i række B2 eller C i tabellerne i punkt 6.2.1 i bilag I, eller et køretøj, der drives af en sådan motor, være udstyret med et OBD-system, der over for føreren angiver tilstedeværelsen af en fejl, hvis OBD-tærskelværdierne i række B2 eller C i tabellen i stk. 3 overskrides.

OBD-systemet skal desuden omfatte en grænseflade mellem motorens elektroniske styreenhed (EECU) og motorens eller køretøjets eventuelle øvrige elektriske eller elektroniske systemer, der afgiver signaler til eller modtager signaler fra EECU, og som har betydning for emissionskontrolsystemets korrekte funktion, som for eksempel grænsefladen mellem EECU og en elektronisk transmissionsstyreenhed.

3.  OBD-tærskelværdierne fastsættes som følger:



Række

Motorer med kompressionstænding

Masse af nitrogenoxider

(NOx) g/kWh

Masse af partikler

(PT) g/kWh

B1 (2005)

7,0

0,1

B2 (2008)

7,0

0,1

C (EEV)

7,0

0,1

4.  Der sikres ubegrænset og standardiseret adgang til OBD-systemet med henblik på inspektion, diagnose, vedligeholdelse og reparation i overensstemmelse med de relevante bestemmelser i direktiv 70/220/EØF og bestemmelserne om reservedele for at sikre forenelighed med køretøjer, der er udstyret med et OBD-system.

5.  Foranstaltninger til gennemførelse af stk. 1-3 vedtages senest den 28. december 2005.

Artikel 5

Emissionsbegrænsende systemer baseret på selvnedbrydende reagenser

Ved fastsættelsen af de nødvendige foranstaltninger til gennemførelse af artikel 4 efter proceduren i artikel 7, stk. 1, medtager Kommissionen i givet fald tekniske foranstaltninger, der mindsker risikoen for, at emissionskontrolsystemer baseret på selvnedbrydende reagenser ikke bliver tilstrækkelig vedligeholdt i brug. Desuden medtages i givet fald foranstaltninger, der sikrer, at emissioner af ammoniak i forbindelse med anvendelsen af selvnedbrydende reagenser så vidt muligt mindskes.

Artikel 6

Skatte- og afgiftslettelser

1.  Medlemsstaterne kan kun indrømme skatte- og afgiftslettelser for køretøjer, der opfylder bestemmelserne i dette direktiv. Disse lettelser skal opfylde såvel traktatens bestemmelser som denne artikels stk. 2 eller 3.

2.  Skatte- og afgiftslettelserne skal gælde for alle fabriksnye køretøjer, der udbydes til salg på markedet i en medlemsstat, og som tidligere end krævet overholder grænseværdierne i række B1 eller B2 i tabellerne i punkt 6.2.1 i bilag I.

De skal ophøre fra det tidspunkt, hvor overholdelsen af emissionsgrænseværdierne i række B1 som fastsat i artikel 2, stk. 6, bliver obligatorisk, eller fra det tidspunkt, hvor anvendelsen af emissionsgrænseværdierne i række B2 som fastsat i artikel 2, stk. 8, bliver obligatorisk.

3.  Skatte- og afgiftslettelserne skal gælde for alle fabriksnye køretøjer, der udbydes til salg på markedet i en medlemsstat, og som overholder de fakultative emissionsgrænseværdier i række C i tabellerne i punkt 6.2.1 i bilag I.

4.  Ud over kravene i stk. 1 må skatte- og afgiftslettelserne for hver type motorkøretøj ikke overstige ekstraomkostningerne til det tekniske udstyr til overholdelse af grænseværdierne i række B1 eller B2 eller de fakultative grænseværdier i række C i tabellerne i punkt 6.2.1 i bilag I og monteringen heraf i køretøjet.

5.  Medlemsstaterne underretter Kommissionen om planer om indførelse eller ændring af skatte- og afgiftslettelserne i denne artikel i så god tid, at den kan fremsætte sine bemærkninger dertil.

Artikel 7

Gennemførelsesforanstaltninger og ændringer

1.  De nødvendige foranstaltninger til gennemførelse af artikel 2, stk. 10, og artikel 4 i nærværende direktiv vedtages af Kommissionen bistået af det udvalg, der er nedsat ved artikel 13, stk. 1, i direktiv 70/156/EØF efter proceduren i artikel 13, stk. 3, i samme direktiv.

2.  Ændringer, der er nødvendige for at tilpasse direktivet til den videnskabelige og tekniske udvikling, vedtages af Kommissionen bistået af det udvalg, der er nedsat ved artikel 13, stk. 1, i direktiv 70/156/EØF, efter proceduren i artikel 13, stk. 3, i samme direktiv.

Artikel 8

Nye undersøgelser og rapporter

1.  Kommissionen undersøger behovet for at indføre nye emissionsgrænseværdier for tunge køretøjer og motorer dertil for så vidt angår forurenende stoffer, for hvilke der endnu ikke er fastlagt regler. Det sker på grundlag af den udbredte markedsføring af nye alternative brændstoffer og indførelsen af nye emissionskontrolsystemer baseret på tilsætningsstoffer med henblik på at opfylde de fremtidige normer, der er fastsat i dette direktiv. Hvis det er relevant, forelægger Kommissionen Europa-Parlamentet og Rådet et forslag herom.

2.  Kommissionen forelægger Europa-Parlamentet og Rådet forslag til retsakter om yderligere begrænsning af NOx- og partikelemissioner for tunge erhvervskøretøjer.

Kommissionen undersøger i givet fald, om det er påkrævet at fastsætte en supplerende grænseværdi for partikelantal og -størrelse, og medtager i så fald en sådan grænseværdi i forslagene.

3.  Kommissionen aflægger rapport til Europa-Parlamentet og Rådet om, hvor langt man er nået i forhandlingerne om en kørecyklus, som er harmoniseret på verdensplan (WHDC).

4.  Kommissionen forelægger en rapport for Europa-Parlamentet og Rådet om kravene til et system til egenmåling (OBM). I det omfang det er nødvendigt, forelægger Kommissionen på grundlag af denne rapport et forslag til foranstaltninger, der omfatter de tekniske specifikationer og tilsvarende bilag med henblik på typegodkendelse af OBM-systemer, der sikrer mindst samme overvågningsniveauer som OBD-systemet, og som er forenelige med disse systemer.

Artikel 9

Gennemførelse

1.  Medlemsstaterne vedtager og offentliggør senest den 9. november 2006 de love og administrative bestemmelser, der er nødvendige for at efterkomme dette direktiv. Forsinkes vedtagelsen af de i artikel 7 nævnte gennnemførelsesforanstaltninger ud over den 28. december 2005, opfylder medlemsstaterne denne forpligtelse inden for den frist for gennemførelse, der er fastsat i direktivet om disse gennemførelsesforanstaltninger. De meddeler straks Kommissionen teksten til disse bestemmelser og en sammenligningstabel, som viser sammenhængen mellem de pågældende bestemmelser og nærværende direktiv.

Medlemsstaterne anvender disse bestemmelser fra den 9. november 2006 eller, såfremt vedtagelsen af de i artikel 7 nævnte gennnemførelsesforanstaltninger forsinkes ud over den 28. december 2005, fra udløbet af den frist for gennemførelse, der er fastsat i direktivet om disse gennemførelsesforanstaltninger.

Når medlemsstaterne vedtager disse bestemmelser, skal de indeholde en henvisning til dette direktiv, eller de skal ved offentliggørelsen ledsages af en sådan henvisning. De skal desuden indeholde oplysning om, at henvisninger i gældende love og administrative bestemmelser til de direktiver, der ophæves ved dette direktiv, gælder som henvisninger til nærværende direktiv. Medlemsstaterne fastlægger reglerne for denne henvisning og affattelsen af den nævnte oplysning.

2.  Medlemsstaterne meddeler Kommissionen teksten til de vigtigste nationale retsforskrifter, som de udsteder på det område, der er omfattet af dette direktiv.

Artikel 10

Ophævelse

De i bilag IX, del A, nævnte direktiver ophæves med virkning fra den 9. november 2006, uden at dette berører medlemsstaternes forpligtelser med hensyn til de i bilag IX, del B, angivne frister for gennemførelse i national ret og anvendelse af direktiverne.

Henvisninger til de ophævede direktiver gælder som henvisninger til nærværende direktiv og læses efter sammenligningstabellen i bilag X.

Artikel 11

Ikrafttræden

Dette direktiv træder i kraft på tyvendedagen efter offentliggørelsen i Den Europæiske Unions Tidende.

Artikel 12

Adressater

Dette direktiv er rettet til medlemsstaterne.




BILAG I

OMRÅDE, DEFINITIONER OG FORKORTELSER, ANSØGNING OM EF-TYPEGODKENDELSE, SPECIFIKATIONER, PRØVNING OG PRODUKTIONENS OVERENSSTEMMELSE

▼M1

1.   OMRÅDE

Dette direktiv finder anvendelse på kontrol af forurenende gasser og partikler, emissionsbegrænsende anordningers levetid, overensstemmelse for ibrugtagne køretøjer og egendiagnosesystemer (OBD) til alle motorer med kompressionstænding og på forurenende gasser og partikler, emissionsbegrænsende anordningers levetid, overensstemmelse for ibrugtagne køretøjer og egendiagnosesystemer (OBD) til alle motorer med styret tænding, som benytter naturgas eller autogas (LPG) som brændstof, og på motorer med kompressionstænding og styret tænding, jf. artikel 1, med undtagelse af motorer med kompressionstænding monteret i køretøjer i klasse N1, N2 og M2 og på motorer med styret tænding, som benytter naturgas eller LPG og er monteret i køretøjer i klasse N1, og som er typegodkendt i henhold til Rådets direktiv 70/220/EØF ( 10 ).

2.   DEFINITIONER

2.1.

I dette direktiv forstås ved:

»godkendelse af en motor (motorfamilie)«: godkendelse af en motor (motortype) hvad angår størrelsen af emissionen af forurenende gasser og partikler

»understøttende emissionsbegrænsningsstrategi (AECS)«: en emissionsbegrænsningsstrategi, som aktiveres, eller ændrer den grundlæggende emissionsbegrænsningsstrategi med henblik på opfyldelse af særlige formål og som reaktion på en række konkrete omgivende forhold og/eller driftsforhold, f.eks. køretøjets hastighed, motorhastighed, anvendt gear, indsugningsluftens temperatur eller tryk

»grundlæggende emissionsbegrænsningsstrategi (BECS)«: en emissionsbegrænsningsstrategi, som gælder hele motorens arbejdshastigheds- og belastningsområde, medmindre en AECS aktiveres. Eksempler på BECS omfatter (men er ikke begrænset til):

 kortlægning af motortiming

 kortlægning af udstødningsgasrecirkulation (EGR)

 kortlægning af dosering af reagens til selektiv katalytisk reduktion (SCR)

»kombineret deNOx-/partikelfilter«: et efterbehandlingssystem, som er konstrueret til samtidig at reducere emissionen af nitrogenoxider (NOx) og forurenende partikler (PT)

»kontinuerlig regenerering«: efterbehandlingssystemets regenereringsproces, som enten foregår permanent eller mindst én gang pr. ETC-test. En sådan regenereringsproces stiller ikke krav om en særlig prøveprocedure

»kontrolområde«: området med motorhastighed mellem A og C og belastning mellem 25 og 100 procent

»angiven maksimaleffekt (Pmaks)«: den maksimale effekt i »kW EF« (nettoeffekt), som angivet af fabrikanten i ansøgningen om typegodkendelse

▼M2

»manipulationsstrategi«:

 en AECS, som reducerer emissionsbegrænsningen i forhold til BECS, under forhold, som med rimelighed kan forventes at forekomme ved normal drift og anvendelse af køretøjet

 en BECS, som skelner mellem drift under en standardiseret typegodkendelsesprøvning og andre driftsformer og giver et lavere niveau af emissionsbegrænsning under forhold, som ikke i væsentligt omfang er omfattet af de gældende procedurer for typegodkendelse, eller

 en OBD eller en emissionsbegrænsningskontrolstrategi, som skelner mellem drift under en standardiseret typegodkendelsesprøvning og andre driftsformer og giver et lavere niveau af kontrolformåen (timing og nøjagtighed) under forhold, som ikke i væsentligt omfang er omfattet af de gældende procedurer for typegodkendelse

▼M1

»deNOx-system«: et system til efterbehandling af udstødningen, som er konstrueret til at reducere emissionen af nitrogenoxider (NOx) (f.eks. findes der for tiden passive og aktive NOx-katalysatorer (LNC), NOx-absorbere og selektive katalytiske reduktionssystemer (SCR)

»forsinkelse«: det tidsrum der forløber, fra der indtræder en ændring i komponenten, målt i dennes referencepunkt, til systemet fremviser en respons på 10 % af den endelige aflæsning (t 10). For så vidt angår gasformige komponenter er dette normalt den målte komponents transporttid fra prøvetagningssonden til detektoren. Med hensyn til forsinkelse defineres prøvetagningssonden som referencepunktet

»dieselmotor«: en motor, som fungerer efter kompressionstændingsprincippet

»ELR-test«: en prøvningscyklus bestående af en sekvens af belastningstrin med konstant motorhastighed, der skal gennemløbes i henhold til punkt 6.2 i dette bilag

»ESC-test«: en prøvningscyklus bestående af 13 stationære testforløb, der skal gennemløbes i henhold til punkt 6.2 i dette bilag

»ETC-test«: en prøvningscyklus bestående af 1 800 ikke-stationære sekvenser, som sekund for sekund går over i hinanden og gennemløbes i henhold til punkt 6.2 i dette bilag

»konstruktionselement«: i forbindelse med et køretøj eller en motor:

 et kontrolsystem, herunder computerprogrammel, elektroniske kontrolsystemer og computerlogik

 en anordning til kalibrering af kontrolsystemer

 resultatet af vekselvirkninger mellem systemer

 eller

 hardwarekomponenter

»emissionsrelateret fejl«: en ufuldstændighed eller afvigelse fra normale produktionstolerancer, som gælder for konstruktion, materialer eller håndværksmæssig udførelse af anordninger, systemer eller elementer, som har betydning for et emissionsbegrænsningssystems parameter, ydelse eller komponenter. En manglende komponent kan anses for at være en »emissionsrelateret fejl«

»emissionsbegrænsningsstrategi (ESC)«: et eller flere konstruktionselementer, som er inkorporeret i det samlede motorsystem eller køretøj med henblik på at begrænse udstødningsemissioner, og som omfatter en BECS og en AECS

»emissionsbegrænsningssystem«: system til efterbehandling af udstødningen, motorsystemets elektroniske styreenhed(er) og eventuelle emissionsrelaterede komponenter i motorudstødningssystemet, som leverer data til eller modtager data fra sådanne styreenheder og eventuelt kommunikationsgrænsefladen (hardware og meddelelser) mellem motorsystemets elektroniske styreenhed(er) (EECU) og andre styreenheder for drivaggregater eller motor, som har betydning for emissionskontrollen

»motorfamilie mht. efterbehandlingssystem«: fabrikantens gruppering i forbindelse med driftsprøveplanen for bestemmelse af forringelsesfaktorer i henhold til bilag II til Kommissionens direktiv 2005/78/EF af 14. november 2005 om gennemførelse af Europa-Parlamentets og Rådets direktiv 2005/55/EF om indbyrdes tilnærmelse af medlemsstaternes lovgivninger om foranstaltninger mod emission af forurenende gasser og partikler fra motorer med kompressionstænding til fremdrift af køretøjer og emission af forurenende gasser fra køretøjsmotorer med styret tænding, som benytter naturgas eller autogas (LPG) som brændstof og om ændring af bilag I, II, III, IV og VI hertil ( 11 ) og for overensstemmelseskontrol af ibrugtagne køretøjer/motorer i henhold til bilag III til direktiv 2005/78/EF af motorer, som stemmer overens med definitionen på motorfamilie, men som indebærer en yderligere gruppering af motorer, som anvender ensartede systemer til efterbehandling af udstødningen

»motorsystem«: motoren, emissionsbegrænsningssystemet og kommunikationsgrænsefladen (hardware og meddelelser) mellem motorsystemets elektroniske styreenhed(er) (EECU) og andre styreenheder for drivaggregater eller motor

»motorfamilie«: en af fabrikanten foretaget gruppering af motorsystemer, som gennem deres konstruktion, således som den er defineret i bilag II, tillæg 2, til dette direktiv, har ensartede egenskaber hvad angår emissioner fra udstødningen; alle medlemmer af motorfamilien skal opfylde de pågældende emissionsgrænseværdier

»motorens arbejdshastighedsområde«: det motorhastighedsområde, der er det oftest anvendte mellem lav og høj hastighed som fastlagt i bilag III til dette direktiv

»motorhastighed A, B og C«: de prøvehastigheder i motorens arbejdshastighedsområde, som skal anvendes til ESC-test og ELR-test som fastlagt i bilag III, tillæg 1, til dette direktiv

»motorindstilling«: en særlig motor-/køretøjskonfiguration, som omfatter en emissionsbegrænsningsstrategi (ECS), en motorydelseskurve (den typegodkendte ved fuld motorbelastning) og i givet fald et sæt momentbegrænsere

»motortype«: en kategori af motorer, som ikke afviger indbyrdes med hensyn til de væsentlige motorspecifikationer, der er beskrevet i bilag II til dette direktiv

»system til efterbehandling af udstødningen«: en katalysator (oxidation eller 3-vejs), partikelfilter, deNOx-system, kombineret med deNOx-partikelfilter eller eventuelle andre emissionsbegrænsende anordninger, som er monteret nedstrøms for motoren. Denne definition omfatter ikke udstødningsgasrecirkulation, som betragtes som en integreret del af motorsystemet

»gasmotor«: en motor med styret tænding, som anvender naturgas eller flaskegas (LPG) som brændstof

»forurenende gasser«: carbonmonoxid, carbonhydrider (for hvilke der antages et kul:brint-forhold svarende til bruttoformlen CH1,85 for diesel, CH2,525 for LPG og CH2,93 for NG (NMHC) og en bruttoformel på CH3O0,5 for ethanoldrevne dieselmotorer), methan (idet der antages et kul:brint-forhold på CH4 for NG) og nitrogenoxider, idet sidstnævnte udtrykkes som nitrogendioxid-ækvivalenter (NO2)

»høj hastighed (nhi)«: den højeste motorhastighed, hvor motoren yder 70 % af den angivne maksimaleffekt

»lav hastighed (nlo)«: den laveste motorhastighed, hvor motoren yder 50 % af den angivne maksimaleffekt

»væsentlig funktionsfejl« ( 12 ): en permanent eller midlertidig fejl i et system til efterbehandling af udstødningen, som forventes at medføre en umiddelbar eller forsinket stigning i emissionen af gasser og partikler fra motorsystemet, og som ikke på korrekt vis kan beregnes af egendiagnosesystemet

»fejl«:

 enhver forringelse eller form for svigt i det emissionsbegrænsende udstyrs funktion, herunder elektriske fejl, som medfører overskridelse af tærskelværdierne for egendiagnosesystemet (OBD) eller, i givet fald, forhindrer efterbehandlingssystemet for udstødningen i at blive funktionsdygtigt, som medfører, at en emission af et hvilket som helst forurenende stof, der er omfattet af bestemmelserne, overskrider tærskelværdierne for egendiagnose-systemet

 ethvert tilfælde, hvor egendiagnosesystemet ikke kan opfylde dette direktivs krav til overvågning.

En fabrikant må imidlertid gerne betragte en forringelse eller et svigt, som medfører emissioner, som ikke overstiger tærskelværdierne for egendiagnosesystemet, som en fejl

»fejlindikator (MI)«: en visuel indikator, som tydeligt informerer køretøjets fører om fejl i henhold til definitionen i dette direktiv

»motorer med flere indstillingsmuligheder«: en motor, der giver mulighed for mere end én motorindstillingsmulighed

»naturgasområde«: et af områderne H eller L som defineret i Europæisk standard EN 437 fra november 1993

»nettoeffekt«: effekten i »kW EF«: målt i prøvebænk på enden af krumtapakslen eller tilsvarende, i henhold til EF-metoden for måling af effekten af forbrændingsmotorer til køretøjer som fastlagt i Kommissionens direktiv 80/1269/EØF ( 13 )

»egendiagnosesystem« (OBD): et fejlfindingssystem til emissionsbegrænsning, som er monteret i køretøjet og er i stand til at opdage en fejl og finde det sandsynlige fejlsted ved hjælp af fejlkoder i computerhukommelsen

»OBD-motorfamilie«: en i forbindelse med typegodkendelse af OBD-systemet i henhold til kravene i bilag IV til direktiv 2005/78/EF af fabrikanten opstillet gruppe af motorsystemer med OBD-systemer, som har fælles konstruktionsparametre i henhold til dette bilags punkt 8

»opacimeter«: et instrument, der er konstrueret til at måle røgpartiklers røgtæthed (opacitet) ved lysekstinktionsprincippet

»stammotor«: en motor, der er udvalgt af en motorfamilie på en sådan måde, at dens emissionsegenskaber er repræsentative for den pågældende motorfamilie

»partikelefterbehandlingsanordning«: et system til efterbehandling af udstødningen, som er konstrueret med henblik på at reducere emission af forurenende partikler gennem en mekanisk, aerodynamisk, diffusions- eller enertimæssig separation

»forurenende partikler«: materiale, der er indsamlet på et nærmere angivet filtermateriale efter fortynding af udstødningsgassen med ren, filtreret luft, således at temperaturen ikke er over 325 K (52 °C)

»%-belastning«: den brøkdel af det maksimale drejningsmoment, der er til rådighed ved en given motorhastighed

»periodisk regenerering«: en emissionsbegrænsende anordnings regenereringsproces, som foregår periodisk efter mere end 100 timers normal motordrift. I forbindelse med regenereringscyklussen, tillades overskridelse af emissionsstandarden

» ►M2  standardindstilling ◄ «: en AECS, som aktiveres, hvis OBD-systemet opdager en fejl i ECS, som medfører, at fejlindikatoren (MI) aktiveres, og som er uafhængig af indgangssignalet fra den/det pågældende svigtende komponent/system

»kraftudtag«: et af motoren drevet udtag, beregnet til at trække tilbehør monteret på køretøjet

»reagens«: et middel, der opbevares i bilen i en beholder, og som (efter behov) forsyner systemet til efterbehandling af udstødningen, når emissionsbegrænsningssystemet sender et signal herom

»rekalibrering«: en finjustering af en naturgasdrevet motor med det formål at give den samme præstationer (effekt, brændstofforbrug) i et andet naturgasområde

»referencehastighed (nref)«: den 100 procents hastighedsværdi, som anvendes til denormalisering af de relative hastighedsværdier i ETC-testen som angivet i bilag III, tillæg 2, til dette direktiv

»responstid«: forskellen i tid mellem en pludselig ændring i en komponent, målt i dennes referencepunkt, og en passende ændring i målesystemets reaktion, hvorved ændringen i den målte komponent er på mindst 60 % FS og indtræder på under 0,1 sekund. Systemets responstid (t 90) omfatter systemets forsinkelse og dets stigningstid (jf. også ISO 16183);

»stigningstid«: den tid, der forløber fra den viste værdi stiger fra 10 % til 90 % af den endelige aflæsning (t 90t 10). Dette er instrumentets responstid, efter at målesignalet for den komponent, som skal måles, har nået instrumentet. Med hensyn til stigningstid defineres prøvetagningssonden som referencepunktet

»selvtilpasningsevne«: en motors evne til at holde luft/brændstofforholdet konstant

»røg«: partikler, som føres med i udstødningsstrømmen fra en dieselmotor, og som absorberer, reflekterer eller bryder lys

»prøvningscyklus«: en sekvens af testpunkter, der hver er karakteriseret ved en bestemt hastighed og et bestemt drejningsmoment, som motoren skal overholde henholdsvis i stationær funktionsmåde (ESC-test) og i ikke-stationær funktionsmåde (ETC- og ELR-test)

»momentbegrænser«: en anordning, som midlertidigt begrænser motorens maksimale drejningsmoment

»transformationstid«: det tidsrum der forløber, fra der indtræder en ændring i komponenten, målt i prøvesonden, til systemet fremviser en respons på 50 % af den endelige aflæsning (t 50). Transformationstiden anvendes i forbindelse med justering af signalet fra forskellige måleinstrumenter

»levetid«: anvendes om køretøjer og motorer, som er typegodkendt i henhold til enten kolonne B1, B2 eller C i tabellen i punkt 6.2.1 i dette bilag, og betegner den relevante afstand/tid som defineret i artikel 3 (emissionsbegrænsningssystemets holdbarhed) i dette direktiv, i henhold til hvilket der som led i typegodkendelsen skal sikres overholdelse af de relevante emissionsgrænser for gasser, partikler og røg

»Wobbe-indeks (nedre Wl, eller øvre Wu)«: forholdet mellem den ækvivalente brændværdi af en gas pr. enhedsvolumen og kvadratroden af dens relative massefylde ved samme referencebetingelser:

FOR-CL2005L0055DA0020010.0001.0001.xml.jpg

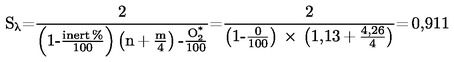
»λ-forskydningsfaktor (Sλ)«: et udtryk, som beskriver motorstyringssystemets nødvendige fleksibilitet med hensyn til en ændring af luftoverskudskoefficienten λ, hvis motoren drives med en gas af anden sammensætning end ren methan (vedrørende beregningen af Sλ, se bilag VII).

▼M2

»emissionsbegrænsningskontrolsystem«: det system, der sikrer, at de NOx-begrænsningsforanstaltninger, der indgår i motorsystemet i henhold til kravene i punkt 6.5 i bilag I, fungerer korrekt.

▼M1

2.2.

Symboler, forkortelser og internationale standarder

2.2.1.   Symboler for testparametre



Symbol

Enhed

Angivelse

A p

m2

Tværsnitsareal af isokinetisk prøvetagningssonde

A e

m2

Udstødningsrørets tværsnitsareal

c

ppm/vol. %

Koncentration

C d

Udledningskoefficient for SSV-CVS

C1

Carbonhydridækvivalent med ét kulstofatom

d

m

Diameter

D 0

m3/s

PDP-kalibreringskurvens skæring med ordinataksen

D

Fortyndingsfaktor (Dilution Factor)

D

Konstant i Bessel-funktionen

E

Konstant i Bessel-funktionen

E E

Virkningsgrad for ethan

E M

Virkningsgrad for methan

E Z

g/kWh

Interpoleret værdi af NOx-emissionen i kontrolpunktet

f

1/s

Hyppighed

f a

Laboratoriets atmosfærefaktor

fc

s–1

Bessel-filterets afskæringsfrekvens

F s

Støkiometrisk koefficient

H

MJ/m3

Brændværdi

H a

g/kg

Indsugningsluftens absolutte fugtindhold

H d

g/kg

Absolut fugtindhold i fortyndingsluft

i

Indeks, som angiver den pågældende prøvningssekvens eller øjeblikkelig måling

K

Bessel-konstant

k

m–1

Lysabsorptionskoefficient

k f

 

Brændstofspecifik faktor for omregning fra tør til våd basis

k h,D

Fugtighedskorrektionsfaktor for NOx for dieselmotorer

k h,G

Fugtighedskorrektionsfaktor for NOx for gasmotorer

K V

 

CFV-kalibreringsfunktion

k W,a

Omregningsfaktor for indsugningsluft fra tør til våd basis

k W,d

Omregningsfaktor for fortyndingsluft fra tør til våd basis

k W,e

Omregningsfaktor for fortyndet udstødningsgas fra tør til våd basis

k W,r

Omregningsfaktor for ufortyndet udstødningsgas fra tør til våd basis

L

%

Drejningsmoment angivet som procent af største drejningsmoment for prøvemotoren

La

m

Effektiv lysvejlængde

M ra

g/mol

Indsugningsluftens molekylemasse

M re

g/mol

Udstødningsgassens molekylemasse

m d

kg

Masse af fortyndingsluftprøve, som ledes gennem filtre til udtagning af partikelprøver

m ed

kg

Samlet masse af fortyndet udstødningsgas i løbet af cyklussen

m edf

kg

Ækvivalent masse af fortyndet udstødningsgas i løbet af cyklussen

m ew

kg

Samlet masse af udstødningsgas i løbet af cyklussen

m f

mg

Masse af opsamlede partikler

m f,d

mg

Masse af opsamlede partikler fra fortyndingsluft

m gas

g/h eller g

Emissionens massestrøm

m se

kg

Opsamlet masse i løbet af cyklussen

m sep

kg

Masse af fortyndingsluftprøve, som ledes gennem filtre til udtagning af partikelprøve

m set

kg

Masse af dobbelt fortyndingsluftprøve, som ledes gennem filtre til udtagning af partikelprøve

m ssd

kg

Masse af sekundær fortyndingsluft

N

%

Røgtæthed (opacitet)

N P

Samlet antal omdrejninger af PDP i løbet af cyklussen

N P,i

Omdrejninger af PDP i et tidsinterval

n

min–1

Motorhastighed

n p

s–1

PDP-hastighed

nhi

min–1

Høj motorhastighed

nlo

min–1

Lav motorhastighed

nref

min–1

Referencemotorhastighed for ETC-test

p a

kPa

Mætningsdamptryk af motorens indsugningsluft

p b

kPa

Totalt atmosfæretryk

p d

kPa

Mætningsdamptryk af fortyndingsluft

p p

kPa

Absolut tryk

p r

kPa

Vanddamptryk efter kølebad

p s

kPa

Tørt atmosfæretryk

p 1

kPa

Trykfald ved pumpeindgang

P(a)

kW

Effekt optaget af det hjælpeudstyr, som skal være monteret under prøvning

P(b)

kW

Effekt optaget af det hjælpeudstyr, som skal være afmonteret under prøvning

P(n)

kW

Nettoeffekt, ukorrigeret

P(m)

kW

Effekt, målt i prøvebænk

q maw

kg/h eller kg/s

Massestrøm af indsugningsluft, våd basis

q mad

kg/h eller kg/s

Massestrøm af indsugningsluft, tør basis

q mdw

kg/h eller kg/s

Massestrøm af fortyndingsluft, våd basis

q mdew

kg/h eller kg/s

Massestrøm af fortyndet udstødningsgas, våd basis

q mdew,i

kg/h

Øjeblikkelig CVS-massestrøm, våd basis

q medf

kg/h eller kg/s

Ækvivalent massestrøm af fortyndet udstødningsgas, våd basis

q mew

kg/h eller kg/s

Massestrøm af udstødningsgas, våd basis

q mf

kg/h eller kg/s

Massestrøm af brændstof

q mp

kg/h eller kg/s

Partikelmassestrøm

q vs

dm3/min

Prøvestrømshastighed til analyseenhed

q vt

cm3/min

Sporgassens strømningshastighed

Ω

Bessel-konstant

Q s

m3/s

PDP/CFV-CVS-volumenhastighed

Q SSV

m3/s

SSV-CVS-volumenhastighed

ra

Forhold mellem tværsnitsareal af isokinetisk sonde og udstødningsrør

r d

Fortyndingsforhold

r D

Diameterforholdet mellem SSV-CVS

r p

Trykforholdet mellem SSV-CVS

r s

Prøveforhold

Rf

FID-responsfaktor

ρ

kg/m3

massefylde

S

kW

Indstilling af dynamometer

S i

m–1

Øjeblikkelig røgtæthed

Sλ

λ-forskydningsfaktor

T

K

Absolut temperatur

T a

K

Absolut temperatur af indsugningsluft

t

s

Måletid

te

s

Elektrisk responstid

tf

s

Filterresponstid for Bessel-funktion

tp

s

Fysisk responstid

Δt

s

Tidsrum mellem på hinanden følgende røgtæthedsbestemmelser (= l/prøveudtagningshastighed)

Δt i

s

Tidsinterval for øjeblikkelig CVS-strøm

τ

%

Røgtransmissionsfaktor

u

Forholdet mellem gaskomponenters og udstødningsgassens massefylde

V 0

m3/omdr.

PDP-gasvolumen pumpet pr. omdrejning

V s

l

Analyseenhedens systemvolumen

W

Wobbe-indeks

Wact

kWh

Faktisk arbejde udført under ETC-prøvningscyklus

Wref

kWh

Referencearbejde udført under ETC-prøvningscyklus

W F

Vægtningsfaktor

WFE

Effektiv vægtningsfaktor

X 0

m3/omdr.

Kalibreringskurve for volumenhastighed i PDP-system

Yi

m–1

1 s Bessel-gennemsnit af røgtæthed

▼B

►M1  2.2.2. ◄

Symboler for kemiske komponenter



CH4

Methan

C2H6

Ethan

C2H5OH

Ethanol

C3H8

Propan

CO

Carbonmonoxid

DOP

Dioctylphtalat

CO2

Carbondioxid

HC

Carbonhydrider

NMHC

Andre carbonhydrider end methan

NOx

Nitrogenoxider

NO

Nitrogenoxid

NO2

Nitrogendioxid

PT

Partikler

►M1  2.2.3. ◄

Forkortelser



CFV

Venturi med kritisk strømning (kritisk venturi)

CLD

Kemiluminescensdetektor

ELR

Europæisk belastningsresponstest

ESC

Europæisk stationær cyklus

ETC

Europæisk ikke-stationær cyklus

FID

Flammeionisationsdetektor

GC

Gaskromatograf

HCLD

Opvarmet kemiluminescensdetektor

HFID

Opvarmet flammeiondetektor

LPG

Liquefied Petroleum Gas (autogas)

NDIR

Ikke-dispersiv infrarødanalysator

NG

Naturgas

NMC

Non-Methan Afskæring

▼M1

2.2.4.

Symboler for brændstofsammensætning



w ALF

brændstoffets hydrogenindhold (% massefylde)

w BET

brændstoffets carbonindhold (% massefylde)

w GAM

brændstoffets svovlindhold (% massefylde)

w DEL

brændstoffets nitrogenindhold (% massefylde)

w EPS

brændstoffets oxygenindhold (% massefylde)

α

molforhold for hydrogen (H/C)

β

molforhold for carbon (C/C)

γ

molforhold for svovl (S/C)

δ

molforhold for nitrogen (N/C)

ε

molforhold for oxygen (O/C)

for et brændstof C βHαOεNδSγ

β = 1 for carbonbaseret brændstof, β = 0 for hydrogenbrændstoffer

2.2.5.

Normer, som der henvises til i dette direktiv



ISO 15031-1

ISO 15031-1: 2001 Road vehicles — Communication between vehicle and external equipment for emissions related diagnostics — Part 1: General information.

ISO 15031-2

ISO/PRF TR 15031-2: 2004 Road vehicles — Communication between vehicle and external equipment for emissions related diagnostics — Part 2: Terms, definitions, abbreviations and acronyms.

ISO 15031-3

ISO 15031-3: 2004 Road vehicles — Communication between vehicle and external equipment for emissions related diagnostics — Part 3: Diagnostic connector and related electrical circuits, specification and use.

SAE J1939-13

SAE J1939-13: Off-Board Diagnostic Connector.

ISO 15031-4

ISO DIS 15031-4.3: 2004 Road vehicles — Communication between vehicle and external equipment for emissions related diagnostics — Part 4: External test equipment.

SAE J1939-73

SAE J1939-73: Application Layer — Diagnostics.

ISO 15031-5

ISO DIS 15031-5.4: 2004 Road vehicles — Communication between vehicle and external equipment for emissions related diagnostics — Part 5: Emissions-related diagnostic services.

ISO 15031-6

ISO DIS 15031-6.4: 2004 Road vehicles — Communication between vehicle and external equipment for emissions related diagnostics — Part 6: Diagnostic trouble code definitions.

SAE J2012

SAE J2012: Diagnostic Trouble Code Definitions Equivalent to ISO/DIS 15031-6, April 30, 2002.

ISO 15031-7

ISO 15031-7: 2001 Road vehicles — Communication between vehicle and external equipment for emissions related diagnostics — Part 7: Data link security.

SAE J2186

SAE J2186: E/E Data Link Security, dated October 1996.

ISO 15765-4

ISO 15765-4: 2001 Road vehicles — Diagnostics on Controller Area Network (CAN) — Part 4: Requirements for emissions-related systems.

SAE J1939

SAE J1939: Recommended Practice for a Serial Control and Communications Vehicle Network.

ISO 16185

ISO 16185: 2000 Road vehicles — engine family for homologation.

ISO 2575

ISO 2575: 2000 Road vehicles — Symbols for controls, indicators and tell-tales.

ISO 16183

ISO 16183: 2002 Heavy duty engines — Measurement of gaseous emissions from raw exhaust gas and of particulate emissions using partial flow dilution systems under transient test conditions.

▼B

3.   ANSØGNING OM EF-TYPEGODKENDELSE

3.1.   Ansøgning om EF-typegodkendelse af en motortype eller motorfamilie som separat teknisk enhed

▼M1

3.1.1.

Ansøgning om godkendelse af en motortype eller motorfamilie med hensyn til emissionen af forurenende gasser og partikler for dieselmotorer, emissionen af forurenende gasser for gasmotorer samt levetid og egendiagnosesystem (OBD), indgives af motorens fabrikant eller af en godkendt repræsentant.

Hvis ansøgningen vedrører en motor, som er forsynet med et egendiagnosesystem (OBD), skal kravene i punkt 3.4 være opfyldt.

▼B

3.1.2.

Ansøgningen skal indgives sammen med følgende dokumenter, der vedlægges i tre eksemplarer, og skal indeholde følgende oplysninger:

3.1.2.1.

en beskrivelse af motortypen eller, i givet fald, af motorfamilien, med angivelse af alle de i bilag II til dette direktiv anførte oplysninger, som er i overensstemmelse med kravene i artikel 3 og 4 i direktiv 70/156/EØF ( 14 ).

3.1.3.

En motor, som er i overensstemmelse med specifikationerne for den i bilag II beskrevne »motortype« eller »stammotor«, skal stilles til rådighed for den tekniske tjeneste, der er ansvarlig for de i punkt 6 beskrevne test.

3.2.   Ansøgning om EF-typegodkendelse af en køretøjstype med hensyn til dennes motor

▼M1

3.2.1.

Ansøgning om godkendelse af et køretøj med hensyn til emissionen af forurenende gasser og partikler for dieselmotorer eller motorer af dieselmotorfamilien, emissionen af forurenende gasser for gasmotorer eller motorer af gasmotorfamilien samt levetid og egendiagnosesystem (OBD), indgives af køretøjets fabrikant eller en godkendt repræsentant.

Hvis ansøgningen vedrører en motor, som er forsynet med et egendiagnosesystem (OBD), skal kravene i punkt 3.4 være opfyldt.

▼B

3.2.2.

Ansøgningen ledsages af nedennævnte dokumenter i tre eksemplarer og af følgende oplysninger:

3.2.2.1.

en beskrivelse af køretøjstypen og af motorrelaterede køretøjsdele samt, i givet fald, af motortypen eller motorfamilien, med angivelse af de i bilag II til dette direktiv anførte oplysninger, samt den krævede dokumentation i henhold til artikel 3 i direktiv 70/156/EØF.

▼M1

3.2.3.

Fabrikanten skal levere en beskrivelse af den fejlindikator (MI), hvormed egendiagnosesystemet informerer føreren af køretøjet om en fejl.

Fabrikanten skal levere en beskrivelse af den indikator og advarselsmetode, hvormed føreren af køretøjet informeres om mangel på et påkrævet reagens.

▼B

3.3.   Ansøgning om EF-typegodkendelse af en køretøjstype med en godkendt motor

▼M1

3.3.1.

Ansøgning om godkendelse af et køretøj med hensyn til emissionen af forurenende gasser og partikler for godkendte dieselmotorer eller motorer af dieselmotorfamilien, emissionen af forurenende gasser for godkendte gasmotorer eller motorer af gasmotorfamilien samt levetid og egendiagnosesystem (OBD), indgives af køretøjets fabrikant eller en godkendt repræsentant.

▼B

3.3.2.

Ansøgningen skal indgives sammen med følgende dokumenter, der vedlægges i tre eksemplarer, og skal indeholde følgende oplysninger:

3.3.2.1.

en beskrivelse af køretøjstypen og af motorrelaterede køretøjsdele, med angivelse af alle oplysninger anført i bilag II til dette direktiv, for så vidt de er relevante, og en kopi af attesten for EF-typegodkendelsesattesten som separat teknisk enhed (bilag VI) for den motor eller motorfamilie, som er monteret i køretøjstypen, samt den krævede dokumentation i henhold til artikel 3 i direktiv 70/156/EØF.

▼M1

3.3.3.

Fabrikanten skal levere en beskrivelse af den fejlindikator (MI), hvormed egendiagnosesystemet informerer føreren af køretøjet om en fejl.

Fabrikanten skal levere en beskrivelse af den indikator og advarselsmetode, hvormed føreren af køretøjet informeres om mangel på et påkrævet reagens.

3.4.   Egendiagnosesystemer

3.4.1.

Ansøgningen om godkendelse af en motor udstyret med egendiagnosesystem (OBD) ledsages af de påkrævede oplysninger jf. punkt 9 i tillæg 1 til bilag II (beskrivelse af stammotoren) og/eller punkt 6 i tillæg 3 til bilag II (beskrivelse af en motortype inden for motorfamilien) samt af følgende dokumenter:

3.4.1.1.

Detaljerede skriftlige oplysninger med fuld beskrivelse af OBD-systemets funktions-data, herunder samtlige relevante dele af motorens emissionsbegrænsningssystem, dvs. følere, aktuatorer og komponenter overvåget af OBD-systemet.

3.4.1.2.

I givet fald en erklæring fra fabrikanten om de parametre, som anvendes som grundlag for overvågning af væsentlige funktionsfejl, og:

3.4.1.2.1.

For den tekniske tjeneste skal fabrikanten forelægge en beskrivelse af potentielle fejl i emissionsbegrænsningssystemet, som har indvirkning på emissionerne. Disse oplysninger skal drøftes og føre til en aftale mellem den tekniske tjeneste og køretøjsfabrikanten.

3.4.1.3.

I givet fald en beskrivelse af kommunikationsgrænsefladen (hardware og meddelelser) mellem motorsystemets elektroniske styreenhed (EECU) og eventuelle andre styreenheder for drivaggregater eller motor, når de udvekslede oplysninger er relevante for emissionsbegrænsningssystemets drift.

3.4.1.4.

I givet fald kopier af andre typegodkendelser sammen med data, der er relevante for udvidelse af typegodkendelser.

3.4.1.5.

Eventuelt nærmere oplysninger om køretøjsfamilien som angivet i tillæg 8 til dette bilag.

3.4.1.6.

Fabrikantens beskrivelse af de forholdsregler, der er truffet for at forhindre indgreb i og ændring af EECU eller et andet parameter vedrørende grænsefladen jf. punkt 3.4.1.3.

▼B

4.   EF-TYPEGODKENDELSE

4.1.   Meddelelse af brændstofuafhængig EF-typegodkendelse

Brændstofuafhængig EF-typegodkendelse meddeles under følgende forudsætninger:

4.1.1.

For dieselbrændstof opfylder stammotoren kravene i dette direktiv vedrørende det i bilag IV angivne referencebrændstof.

4.1.2.

For naturgas skal stammotorens evne til at tilpasse sig til enhver brændstofsammensætning, som kan optræde på markedet, være godtgjort. For naturgas er der sædvanligvis to typer brændstof med henholdsvis høj brændværdi (H-gas) og lav brændværdi (L-gas), men med betydelig spredning inden for begge områder; de afviger betydeligt i deres energiindhold, udtrykt ved Wobbe-indeks og λ-forskydningsfaktor (Sλ). Formler til beregning af Wobbe-indeks og Sλ er givet i punkt 2.27 og 2.28. Naturgasser med en λ-forskydningsfaktor mellem 0,89 og 1,08 (0,89 ≤ Sλ ≤ 1,08) regnes for at være H-gas, medens naturgasser med en λ-forskydningsfaktor mellem 1,08 og 1,19 (1,08 ≤ Sλ ≤ 1,19) regnes for at være L-gas. Referencebrændstoffernes sammensætning afspejler ekstreme variationer i Sλ.

Stammotoren skal opfylde kravene i dette direktiv vedrørende referencebrændstofferne GR (brændstof 1) og G25 (brændstof 2) som foreskrevet i bilag IV, uden at der foretages rejustering af brændstofsystemet mellem de to tester. Dog tillades én tilpasningskørsel gennem én ETC-cyklus uden måling efter skift af brændstof. Før testning skal motoren tilkøres efter proceduren i punkt 3 i tillæg 2 til bilag III.

4.1.2.1.

På fabrikantens begæring kan motoren afprøves på et tredje brændstof (brændstof 3), hvis λ-forskydningsfaktoren (Sλ) ligger mellem 0,89 (dvs. det nedre område for GR) og 1,19 (dvs. det øvre område for G25), f.eks. når brændstof 3 er et brændstof af handelskvalitet. Resultaterne af denne test kan danne grundlag for vurderingen af produktionens overensstemmelse.

4.1.3.

For motorer, som drives af naturgas og er selvtilpassende dels til H-gasområdet, dels til L-gasområdet, og som kan omstilles mellem H-området og L-området ved hjælp af en kontakt, skal stammotoren afprøves i begge omskifterens positioner på det relevante referencebrændstof som foreskrevet i bilag IV for hvert område. Som brændstof anvendes GR (brændstof 1) og G23 (brændstof 3) for H-gasområdet, samt G25 (brændstof 2) og G23 (brændstof 3) for L-gasområdet. Stammotoren skal i begge omskifterens positioner opfylde kravene i dette direktiv uden omstilling af brændstofsystemet mellem de to tester. Dog tillades én tilpasningskørsel gennem én ETC-cyklus uden måling efter skift af brændstof. Før testning skal motoren tilkøres efter proceduren i punkt 3 i tillæg 2 til bilag III.

4.1.3.1.

På fabrikantens begæring kan motoren afprøves på et tredje brændstof i stedet for G23 (brændstof 3), hvis λ-forskydningsfaktoren (Sλ) ligger mellem 0,89 (dvs. det nedre område for GR) og 1,19 (dvs. det øvre område for G25), f.eks. når brændstof 3 er et brændstof af handelskvalitet. Resultaterne af denne test kan danne grundlag for vurderingen af produktionens overensstemmelse.

4.1.4.

For naturgasdrevne motorer bestemmes for hvert forurenende stof emissionsforholdet »r« som følger:

image

eller

image

og

image

4.1.5.

For LPG skal stammotorens evne til at tilpasse sig til enhver brændstofsammensætning, som kan optræde på markedet, være godtgjort. For LPG forekommer variationer i C3/C4-sammensætningen. Disse variationer afspejler sig i referencebrændstofferne. Stammotoren skal opfylde kravene i dette direktiv vedrørende referencebrændstofferne A og B som foreskrevet i bilag IV, uden at der foretages rejustering af brændstofsystemet mellem de to tester. Dog tillades én tilpasningskørsel gennem én ETC-cyklus uden måling efter skift af brændstof. Før testning skal motoren tilkøres efter proceduren i punkt 3 i tillæg 2 til bilag III.

4.1.5.1.

For hvert forurenende stof bestemmes emissionsforholdet »r« som følger:

image

4.2.   Meddelelse af brændstofbegrænset EF-typegodkendelse

Brændstofbegrænset EF-typegodkendelse meddeles under følgende forudsætninger:

4.2.1.

Godkendelse hvad angår emissionen fra udstødningen, af en motor, som kører på naturgas og er indstillet til at køre på gas i enten H-området eller L-området.

Stammotoren skal afprøves på det relevante referencebrændstof som foreskrevet i bilag IV for hvert område. Som brændstof anvendes GR (brændstof 1) og G23 (brændstof 3) for H-gasområdet, samt G25 (brændstof 2) og G23 (brændstof 3) for L-gasområdet. Stammotoren skal opfylde kravene i dette direktiv uden omstilling af brændstofsystemet mellem de to tester. Dog tillades én tilpasningskørsel gennem én ETC-cyklus uden måling efter skift af brændstof. Før testning skal motoren tilkøres efter proceduren i punkt 3 i tillæg 2 til bilag III.

4.2.1.1.

På fabrikantens begæring kan motoren afprøves på et tredje brændstof i stedet for G23 (brændstof 3), hvis λ-forskydningsfaktoren (Sλ) ligger mellem 0,89 (dvs. det nedre område for GR) og 1,19 (dvs. det øvre område for G25), f.eks. når brændstof 3 er et brændstof af handelskvalitet. Resultaterne af denne test kan danne grundlag for vurderingen af produktionens overensstemmelse.

4.2.1.2.

For hvert forurenende stof bestemmes emissionsforholdet »r« som følger:

image

eller

image

og

image

4.2.1.3.

Motoren skal ved levering til kunden være forsynet med en mærkat (se punkt 5.1.5), som angiver, hvilket gasområde motoren er godkendt til.

4.2.2.

Godkendelse, hvad angår emissionen fra udstødningen, af en motor, som kører på naturgas eller LPG og er indstillet til at køre på brændstof af en bestemt sammensætning.

4.2.2.1.

Stammotoren skal opfylde emissionskravene på referencebrændstofferne GR og G25 for naturgas hhv. referencebrændstofferne A og B for LPG som foreskrevet i bilag IV. Mellem testerne er finindstilling af brændstofsystemet tilladt. Denne finindstilling består i rekalibrering af brændstofsystemets database uden ændring hverken af den grundlæggende reguleringsstrategi eller grundlæggende struktur af databasen. Eventuel nødvendig udskiftning af dele, som direkte vedrører brændstofgennemstrømningen (såsom indsprøjtningsdyser), er tilladt.

4.2.2.2.

Hvis fabrikanten ønsker det, kan motoren afprøves på enten referencebrændstofferne GR og G23 eller referencebrændstofferne G25 og G23, i hvilket tilfælde typegodkendelsen kun er gyldig for gasser i henholdsvis H-området eller L-området.

4.2.2.3.

Motoren skal ved levering til kunden være forsynet med en mærkat (se punkt 5.1.5), som angiver, hvilken gassammensætning motoren er kalibreret til.

4.3.   Godkendelse af et medlem af en motorfamilie hvad angår emissioner fra udstødningen

4.3.1.

Bortset fra i det punkt 4.3.2 omhandlede tilfælde skal godkendelsen af en stammotor uden yderligere prøvning udvides til at gælde alle medlemmer af motorfamilien, gældende for enhver brændstofsammensætning inden for det område, stammotoren er godkendt til (for de i punkt 4.2.2 beskrevne motorer) hhv. samme brændstofområde (for motorerne beskrevet enten i punkt 4.1 eller 4.2), som stammotoren er godkendt til.

4.3.2.

Sekundær testmotor

Såfremt den tekniske tjeneste finder, at den indgivne ansøgning om typegodkendelse af en motor eller af et køretøj hvad angår motoren med hensyn til den valgte stammotor ikke fuldt ud repræsenterer den motorfamilie, som er defineret i bilag I, tillæg 1, kan den tekniske tjeneste vælge en alternativ og om nødvendigt en ekstra referencetestmotor.

4.4.   Typegodkendelsesattest

En attest, som svarer til modellen i bilag VI, udstedes for godkendelser nævnt under punkt 3.1, 3.2 og 3.3.

5.   MÆRKNING AF MOTOR

5.1.   En motor, der er godkendt som teknisk enhed, skal være forsynet med:

5.1.1.

motorfabrikantens fabriks- eller handelsmærke

5.1.2.

fabrikantens handelsbeskrivelse

5.1.3.

EF-typegodkendelsesnummeret med foranstillede kendingsbogstaver på den stat, der har meddelt EF-typegodkendelse ►M1   ( 15 ) ◄ .

5.1.4.

For NG-motorer, en af følgende mærkninger, der anbringes efter EF-typegodkendelsesnummeret:

 »H« for motorer, der er godkendt og kalibreret for gasser i H-serien;

 »L« for motorer, der er godkendt og kalibreret for gasser i L-serien;

 »HL« for motorer, der er godkendt og kalibreret for gasser i både H-serien og L-serien;

 »Ht« for motorer, som er godkendt og kalibreret for en bestemt gassammensætning i H-området af gasser og kan omstilles til en anden nærmere bestemt gas i H-området ved finjustering af motorens brændstofsystem;

 »Lt« for motorer, som er godkendt og kalibreret for en bestemt gassammensætning i L-området og kan omstilles til en anden nærmere bestemt gas i L-området ved finjustering af motorens brændstofsystem;

 »HLt« for motorer, som er godkendt og kalibreret for en bestemt gassammensætning i enten H- eller L-området og kan omstilles til en anden nærmere bestemt gas i enten H- eller L-området ved finjustering af motorens brændstofsystem;

5.1.5.

Mærker

For NG- og LPG-drevne motorer med brændstofbegrænset typegodkendelse finder følgende mærker anvendelse:

5.1.5.1.   Indhold

Der skal gives følgende oplysninger:

I det i punkt 4.2.1.3 omhandlede tilfælde skal mærkets ordlyd være »MÅ KUN ANVENDES MED NATURGAS I H-OMRÅDET«. I givet fald erstattes »H« af »L«.

I det i punkt 4.2.2.3 omhandlede tilfælde skal mærkets ordlyd være »MÅ KUN ANVENDES MED NATURGAS AF SPECIFIKATION …« eller i givet fald »MÅ KUN ANVENDES MED LPG AF SPECIFIKATION …«. Alle oplysninger i den pågældende tabel(ler) i bilag VI skal gives med de enkeltbestanddele og grænser, som angives af motorens fabrikant.

Bogstaverne og tallene skal være mindst 4 mm høje.

Note:

Hvis pladsmangel forhindrer en sådan mærkning, kan der anvendes en forenklet kode. I så tilfælde skal forklarende noter indeholdende samtlige ovennævnte oplysninger være lettilgængelige for den person, der fylder brændstoftanken eller vedligeholder eller reparerer motoren og dens tilbehør, samt for de berørte myndigheder. Placeringen og indholdet af disse forklarende noter fastlægges ved aftale mellem fabrikanten og den godkendende myndighed.

5.1.5.2.   Egenskaber

Mærkaterne skal være holdbare i hele motorens levetid. De skal være let læselige, og bogstaver og tal skal være uudslettelige. Deres fastgørelse skal være holdbar i hele motorens levetid, og de må ikke kunne fjernes uden at de ødelægges eller gøres ulæselige.

5.1.5.3.   Anbringelse

Mærkaterne skal være fastgjort til en motordel, som er nødvendig for motorens normale funktion og sædvanligvis ikke kræver udskfitning i hele motorens levetid. Endvidere skal sådanne mærkater være anbragt således, at de er let læselige for en gennemsnitsbruger, efter at motoren er blevet forsynet med alt motorudstyr nødvendigt for motorens funktion.

5.2.

Ved EF-typegodkendelse af en køretøjestype hvad angår dennes motor, skal de i punkt 5.1.5 foreskrevne mærker endvidere være anbragt tæt på brændstofpåfyldningsåbningen.

5.3.

Ved EF-typegodkendelse af en køretøjstype med godkendt motor skal de i punkt 5.1.5 foreskrevne mærker endvidere være anbragt tæt på brændstofpåfyldningsåbningen.

6.   FORSKRIFTER OG TESTER

▼M1

6.1.   Almindelige bestemmelser

6.1.1.   Emissionsbegrænsende udstyr

6.1.1.1.

Alle dele, der eventuelt kan have indflydelse på emissionen af forurenende gasser og partikler fra diesel- og gasmotorer, skal være udformet, konstrueret og anbragt på en sådan måde, at motoren under normale driftsforhold opfylder forskrifterne i dette direktiv.

6.1.2.

Brug af en manipulationsstrategi er forbudt.

6.1.2.1.

Brug af en motor med flere indstillingsmuligheder er forbudt, indtil der i dette direktiv er fastlagt hensigtsmæssige og klare bestemmelser for sådanne motorer ( 16 ).

6.1.3.

Emissionsbegrænsningsstrategi

6.1.3.1.

Ethvert konstruktionselement og element i den emissionsbegrænsningsstrategi (ECS), som kan have indflydelse på emissionen af forurenende gasser og partikler fra dieselmotorer og af forurenende gasser fra gasmotorer, skal være udformet, konstrueret og anbragt på en sådan måde, at motoren under normale driftsforhold opfylder forskrifterne i dette direktiv. ECS består af den grundlæggende emissionsbegrænsningsstrategi (BECS) og sædvanligvis én eller flere understøttende emissionsbegrænsningsstrategier (AECS).

6.1.4.

Krav til den grundlæggende emissionsbegrænsningsstrategi

6.1.4.1.

Den grundlæggende emissionsbegrænsningsstrategi (BECS) skal være konstrueret således, at motoren under normale driftsforhold opfylder forskrifterne i dette direktiv. Normale driftsforhold er ikke begrænset til de driftsforhold, som er angivet i punkt 6.1.5.4.

6.1.5.

Krav til understøttende emissionsbegrænsningsstrategier

6.1.5.1.

En understøttende emissionsbegrænsningsstrategi (AECS) kan installeres på en motor eller i et køretøj, forudsat at den pågældende AECS:

 udelukkende aktiveres ved andre driftsforhold end de i punkt 6.1.5.4 angivne og til formål, der er defineret i punkt 6.1.5.5

 eller

 kun undtagelsesvis aktiveres under de driftsforhold, som er angivet i punkt 6.1.5.4 til de i punkt 6.1.5.6 definerede formål, og ikke længere end disse formål kræver.

6.1.5.2.

En understøttende emissionsbegrænsningsstrategi (AECS), som aktiveres under de i punkt 6.1.5.4 anførte betingelser, og som medfører brug af en ændret eller modificeret emissionsbegrænsningsstrategi (ESC) i forhold til den, der normalt anvendes under de relevante emissionsprøvninger, kan tillades, hvis, under opfyldelse af kravene i punkt 6.1.7, det fuldt ud påvises, at foranstaltningen ikke permanent mindsker effektiviteten af emissionsbegrænsningssystemet. I alle andre tilfælde betragtes en sådan strategi som en manipulationsstrategi.

6.1.5.3.

En understøttende emissionsbegrænsningsstrategi (AECS), som aktiveres under andre driftsbetingelser end de i punkt 6.1.5.4 angivne, kan tillades, hvis, under opfyldelse af kravene i punkt 6.1.7, det fuldt ud påvises, at foranstaltningen er den mindst mulige nødvendige strategi med henblik på opfyldelse af de i punkt 6.1.5.6 angivne formål for så vidt angår miljøbeskyttelse og andre tekniske aspekter. I alle andre tilfælde betragtes en sådan strategi som en manipulationsstrategi.

6.1.5.4.

Som fastsat i punkt 6.1.5.1 gælder følgende driftsbetingelser ved stationære eller transiente motorfunktioner:

 i en højde på højst 1 000 m (eller ækvivalent atmosfærisk tryk på 90 kPa)

 og

 ved en omgivende temperatur inden for intervallet 275-303 K (2-30 °C) ( 17 ) ( 18 )

 og

 kølervæsketemperatur inden for intervallet 343-373 K (70-100 °C).

6.1.5.5.

En understøttende emissionsbegrænsningsstrategi (AECS) kan installeres på en motor eller i et køretøj, forudsat at den pågældende AECS er omfattet af den relevante typegodkendelsesprøve og aktiveres i overensstemmelse med punkt 6.1.5.6.

6.1.5.6.

AECS aktiveres:

 kun af signaler fra selve køretøjet med henblik på at beskytte motorsystemet (herunder lufthåndteringsaggregatet) og/eller køretøjet mod skader,

 eller

 med henblik på f.eks. operationel sikkerhed, ►M2  standardindstillinger ◄ og nøddriftsstrategier,

 eller

 med henblik på forebyggelse af overdrevne emissioner og i forbindelse med koldstart eller opvarmning af motoren,

 eller

 hvis den anvendes til at slække på kontrollen med ét forurenende stof under specifikke omgivende betingelser eller driftsbetingelser for at sikre, at alle andre forurenende stoffer fortsat overholder de tærskelværdier, som gælder for den pågældende motor. Overordnet kompenserer en sådan AECS-strategi for naturligt forekommende fænomener på en måde, som sikrer en acceptabel kontrol med alle emissionsbestanddele.

6.1.6.

Krav til momentbegrænsere

6.1.6.1.

Momentbegrænsere tillades, såfremt disse overholder kravene i punkt 6.1.6.2 eller 6.5.5. I alle andre tilfælde betragtes momentbegrænsere som en manipulationsstrategi.

6.1.6.2.

Der kan installeres en momentbegrænser på en motor eller i et køretøj, forudsat at:

 momentbegrænseren kun aktiveres af signaler fra selve køretøjet med henblik på at beskytte drivaggregatet eller køretøjskonstruktionen mod skader og/eller med henblik på sikkerhed eller aktivering af kraftudtaget, når køretøjet holder stille eller som led i foranstaltninger, der skal sikre, at deNOx-systemet fungerer korrekt,

 og

 momentbegrænseren kun aktiveres midlertidigt,

 og

 momentbegrænseren ikke griber ind i emissionsbegrænsningsstrategien (ECS),

 og

 momentet i forbindelse med beskyttelse af kraftudtaget eller drivaggregatet begrænses til en konstant værdi, uafhængigt af motorhastigheden, uden at drejningsmomentet ved fuld belastning overstiges,

 og

 momentbegrænseren aktiveres på samme måde for at begrænse ydelsen i et køretøj for at tilskynde føreren til at træffe de foranstaltninger, der er nødvendige for at sikre, at NOx-begrænsningsforanstaltningerne fungerer korrekt i motoren.

6.1.7.

Specielle krav til elektronisk emissionsbegrænsende udstyr

6.1.7.1.   Dokumentationskrav

Fabrikanten skal levere en dokumentationspakke, der giver oplysninger om alle elementer, som vedrører konstruktionen og den emissionsbegrænsningsstrategi (ECS), motorsystemets momentbegrænser samt de metoder, med hvilke output-variablerne kontrolleres, hvad enten denne kontrol er direkte eller indirekte. Dokumentationen skal foreligge i to dele:

a) Den formelle dokumentationspakke, der skal indleveres til den tekniske tjeneste sammen med indgivelse af ansøgningen om typegodkendelse, skal indeholde en komplet beskrivelse af ECS og i givet fald af momentbegrænseren. Denne dokumentation kan være kortfattet, forudsat at der fremlægges bevis for, at enhver form for output tilladt af en matrix inden for de individuelle inputenheders område er identificeret. Disse oplysninger skal indgå som bilag til den i bilagets punkt 3 krævede dokumentation.

b) Yderligere materiale, der viser de parametre, som ændres af en eventuel understøttende emissionsbegrænsningsstrategi (AECS), samt beskriver grænseforholdene, under hvilke en sådan AECS aktiveres. Det yderligere materiale skal omfatte en beskrivelse af brændstofkontrolsystemets logik, indstillingsstrategier og omkoblingspunkter for alle driftsformer. Det skal desuden omfatte en beskrivelse af den momentbegrænser, som er beskrevet i dette bilags punkt 6.5.5.

Det yderligere materiale skal også indeholde en begrundelse for brugen af enhver form for AECS samt indeholde yderligere materiale og testdata, der påviser virkningen på udstødningen af enhver form for AECS, der installeres på motoren eller i køretøjet. Begrundelsen for at anvende en AECS kan være funderet på testdata og/eller en grundig teknisk analyse.

Dette yderligere materiale skal forblive strengt fortroligt og stilles efter anmodning til rådighed for den typegodkendende myndighed. Den typegodkendende myndighed fortroligholder dette materiale.

6.1.8.

Særlige forskrifter vedrørende typegodkendelse af motorer jf. række A i tabellerne i punkt 6.2.1 (motorer, som normalt ikke underkastes ETC-test)

6.1.8.1.

For at kontrollere om en strategi eller foranstaltning skal betragtes som en manipulationsstrategi i henhold til definitionerne i punkt 2, kan typegodkendelsesmyndigheden og/eller den tekniske tjeneste anmode om en yderligere NOx-prøve inden for rammerne af ETC-testen, som kan udføres i sammenhæng med enten typegodkendelsesprøven eller overensstemmelseskontrollen.

6.1.8.2.

Ved kontrol af, hvorvidt en strategi eller foranstaltning bør anses for at være en manipulationsstrategi i henhold til definitionerne i punkt 2, accepteres en yderligere margin på 10 % i forhold til den fastsatte NOx-grænseværdi.

6.1.9.

Overgangsbestemmelserne for udvidelse af typegodkendelser findes i punkt 6.1.5 i bilag I til direktiv 2001/27/EF.

Det eksisterende godkendelsesattestnummer vil være gyldigt indtil den 8. november 2006. I tilfælde af udvidelse ændres kun løbenummeret, som betegner det udvidede basisgodkendelsesnummer, som følger:

Et eksempel på anden udvidelse af den fjerde godkendelse i overensstemmelse med anvendelsesdato A, udstedt i Tyskland:

e1*88/77*2001/27A*0004*02

6.1.10.

Bestemmelser vedrørende det elektroniske systems sikkerhed

6.1.10.1.

Køretøjer med emissionsbegrænsningsenhed skal være således indrettet, at de hindrer ændringer bortset fra de af producenten tilladte. Producenten skal tillade ændringer, hvis de er nødvendige af hensyn til diagnosticering, eftersyn, vedligehold eller reparation af køretøjet. Der må ikke kunne ændres i omprogrammerbar edb-kode eller driftsparametre, som skal være mindst lige så godt beskyttet som anført i ISO 15031-7 (SAE J2186). Det forudsættes, at dataudvekslingen finder sted ved hjælp af de protokoller og datastik, der er foreskrevet i punkt 6 i bilag IV til direktiv 2005/78/EF. Udtagelige kalibreringslagerchips skal være indkapslede, anbragt i lukket beholder eller beskyttet ved elektroniske algoritmer og må ikke kunne udskiftes uden brug af specialværktøj og -procedurer.

6.1.10.2.

Edb-kodede driftsparametre for motoren må ikke kunne ændres uden brug af specialværktøj og -procedurer (f.eks. loddede eller indkapslede computerkomponenter eller forseglede (eller loddede) computerindeslutninger).

6.1.10.3.

Fabrikanterne skal træffe tilstrækkelige forholdsregler til beskyttelse mod ændring af indstillingen af den maksimale brændstoftilførsel, efter køretøjets ibrugtagning.

6.1.10.4.

Fabrikanterne kan anmode den godkendende myndighed om undtagelse fra et af disse krav for køretøjer, for hvilke sådan beskyttelse kan formodes ikke at være nødvendig. For indrømmelse af en sådan undtagelse tages følgende og eventuelt andre kriterier i betragtning af den godkendende myndighed: om der er højtydende chips til rådighed, om køretøjet har en høj maksimalydelse og det sandsynlige salgstal for køretøjet.

6.1.10.5.

Fabrikanter, der anvender systemer med programmerbare edb-koder (f.eks. elektrisk sletbart programmerbart læselager, EEPROM) skal forhindre uvedkommende i at ændre programmeringen. Fabrikanterne skal benytte strategier til ekstra sikring og skrivebeskyttelse, som kræver elektronisk adgang til en ekstern computer, der drives af fabrikanten. Myndigheden kan godkende alternative metoder, der sikrer en tilsvarende beskyttelse mod ændringer.

6.2.   Forskrifter vedrørende emission af forurenende gasser, partikler og røg

For typegodkendelse til række A i tabellerne i punkt 6.2.1 bestemmes emissionerne på grundlag af ESC- og ELR-tests for konventionelle dieselmotorer, herunder motorer udstyret med elektronisk brændstofindsprøjtning, udstødningsgas-recirkulation og/eller oxidationskatalysator. Dieselmotorer med avancerede systemer til efterbehandling af udstødningsgassen, herunder deNOx-katalysatorer og/eller partikelfilter, skal desuden underkastes ETC-test.

For typegodkendelsesprøvning til enten række B1 eller B2 eller række C i tabellerne i punkt 6.2.1 bestemmes emissionerne ved ESC-, ELR- og ETC-testene.

For gasmotorer bestemmes emissionen af forurenende gasser i ETC-testen.

Prøvemetoder for ESC- og ELR-test er beskrevet i bilag III, tillæg 1, mens prøvemetode for ETC-test er beskrevet i bilag III, tillæg 2 og 3.

Emissionerne af forurenende gasser, i givet fald partikler og røg fra den motor, der fremstilles til prøvning, måles ved de metoder, der er beskrevet i bilag III, tillæg 4. I bilag V beskrives de anbefalede analysesystemer for forurenende gasser, anbefalede partikelprøvetagningssystemer samt det anbefalede system til røgtæthedsmåling.

Andre systemer eller analysatorer kan godkendes af den tekniske tjeneste, hvis de findes at give ækvivalente resultater for den pågældende prøvningscyklus. Bestemmelsen af systemernes ækvivalens skal ske på grundlag af en korrelationsundersøgelse af 7 par (eller flere) stikprøver af det betragtede system og et af referencesystemerne i dette direktiv. For så vidt angår partikelemission, anerkendes kun et fuldstrømsfortyndingssystem eller et delstrømsfortyndingssystem, der opfylder kravene i ISO 16183, som ækvivalente referencesystemer. Med »resultater« menes de specifikke emissionsværdier målt under prøvningscyklussen. Korrelationsundersøgelsen, der udføres på samme laboratorium og prøvningscelle og på samme motor, bør fortrinsvis finde sted sideløbende. Ækvivalensen af stikprøveparrenes gennemsnit bestemmes ved hjælp af den i tillæg 4 til dette bilag beskrevne fra F-test- og t-teststatistik, som er registreret under disse laboratorie-, prøvningscelle- og motordriftsforhold. Udsving skal bestemmes i overensstemmelse med ISO 5725 og elimineres fra databasen. For indførelse af et nyt system i direktivet baseres vurderingen af dets ækvivalens på beregninger af repeterbarhed og reproducerbarhed som beskrevet i ISO 5725.

▼B

6.2.1.   Grænseværdier

Den specifikke masse af carbonmonoxid, af de samlede carbonhydrider, af nitrogenoxider og af partikler som bestemt ved ESC-testen samt af udstødningens røgtæthed som bestemt ved ELR-testen må ikke overstige værdierne i tabel 1.



Tabel 1

Grænseværdier — ESC- og ELR-tester

Række

Masse af carbon-monoxid

(CO) g/kWh

Masse af carbon-hydrider

(HC) g/kWh

Masse af nitrogenoxider

(NOx) g/kWh

Masse af partikler

(PT) g/kWh

Røgtæthed

m–1

A (2000)

2,1

0,66

5,0

0,10

0,13 (1)

0,8

B 1 (2005)

1,5

0,46

3,5

0,02

0,5

B 2 (2008)

1,5

0,46

2,0

0,02

0,5

C (EEV)

1,5

0,25

2,0

0,02

0,15

(1)   For motorer med slagvolumen på mindre end 0,75 dm3 pr. cylinder og hastighed ved mærkeeffekten på over 3 000 min-1.

For dieselmotorer, der supplerende afprøves med en ETC-test, og især for gasmotorer, må de specifikke masser af carbonmonoxid, carbonhydrider bortset fra methan, methan (hvis relevant), nitrogenoxider og partikler (hvis relevant) ikke overstige grænseværdierne i tabel 2.



Tabel 2

Grænseværdier — ETC-tester

Dato

Masse af carbonmonoxid

(CO) g/kWh

Masse af carbonhydrider bortset fra methan

(NMHC) g/kWh

Masse af methan

(CH4(1) g/kWh

Masse af nitrogenoxider

(NOx) g/kWh

Masse af partikler

(PT) (2) g/kWh

A (2000)

5,45

0,78

1,6

5,0

0,16

0,21 (3)

B 1 (2005)

4,0

0,55

1,1

3,5

0,03

B 2 (2008)

4,0

0,55

1,1

2,0

0,03

C (EEV)

3,0

0,40

0,65

2,0

0,02

(1)   Kun for NG-motorer.

(2)   Anvendes ikke for gasdrevne motorer på stadium A og stadium B1 og B2.

(3)   For motorer med slagvolumen under 0,75 dm3 pr. cylinder og hastighed ved mærkeeffekten på over 3 000 min-1.

6.2.2.   Måling af carbonhydrider for diesel- og gasdrevne motorer

6.2.2.1.

En fabrikant kan vælge at måle massen af carbonhydrider i ETC-testen i stedet for at måle massen af carbonhydrider bortset fra methan. I så tilfælde er grænsen for massen af carbonhydrider den samme som vist i tabel 2 for massen af carbonhydrider bortset fra methan.

6.2.3.   Særlige krav til dieselmotorer

6.2.3.1.

Den specifikke masse af kvælstofoxider, målt på tilfældige kontrolpunkter i kontrolområdet af ESC-testen, må højst være 10 % over værdierne beregnet ved interpolation mellem de tilstødende testforløb (reference bilag III, tillæg 1, punkt 4.6.2 og 4.6.3).

6.2.3.2.

Røgtætheden ved den tilfældige testhastighed i ELR-prøven må højst være 20 procent over højeste værdier ved de to tilstødende testhastigheder, dog højst 5 % over grænseværdien.

▼M1

6.3.   Holdbarheds- og forringelsesfaktorer

6.3.1.

I forbindelse med dette direktiv skal fabrikanten bestemme de forringelsesfaktorer, som skal anvendes til at påvise, at en motor- og efterbehandlingssystemfamilies emission af forurenende gasser og partikler fortsat er i overensstemmelse med de gældende emissionsgrænseværdier, som er anført i dette bilags punkt 6.2.1, i den relevante holdbarhedsperiode, som er fastsat i dette direktivs artikel 3.

6.3.2.

Procedurerne for påvisning af en motor- og efterbehandlingssystemfamilies overholdelse af de relevante emissionsgrænseværdier i den gældende holdbarhedsperiode er angivet i bilag II til direktiv 2005/78/EF.

6.4.   Egendiagnosesystem (OBD)

6.4.1.

Som fastlagt i dette direktivs artikel 4, stk. 1 og 2, skal dieselmotorer eller køretøjer med dieselmotorer være forsynet med et egendiagnosesystem (OBD) til emissionsbegrænsning, som overholder kravene i bilag IV til direktiv 2005/78/EF.

Som fastlagt i dette direktivs artikel 4, stk. 2, skal gasmotorer eller køretøjer med gasmotorer være forsynet med et egendiagnosesystem (OBD) til emissionsbegrænsning, som overholder kravene i bilag IV til direktiv 2005/78/EF.

6.4.2.

Motorer fremstillet i mindre antal

Som alternativ til de i dette punkt opstillede krav kan motorfabrikanter med en årlig produktion på verdensplan af en motortype, som tilhører en OBD-motorfamilie

 på mindre end 500 enheder, opnå EF-typegodkendelse på baggrund af kravene i nærværende direktiv, såfremt motoren kun overvåges for gennemgang i strømkredsene og efterbehandlingssystemet overvåges for væsentlige funktionsfejl

 på mindre end 50 enheder, opnå EF-typegodkendelse på baggrund af kravene i nærværende direktiv, såfremt det fuldstændige emissionsbegrænsningssystem (dvs. motor- og efterbehandlingssystemet) kun overvåges for gennemgang i strømkredsene.

Typegodkendelsesmyndigheden underretter Kommissionen om de nærmere omstændigheder i forbindelse med hver enkelt godkendelse, der udstedes i henhold til denne bestemmelse.

▼M2

6.5.   Krav til sikring af NOx-begrænsningsforanstaltningernes korrekte funktion

6.5.1.   Almindelige bestemmelser

6.5.1.1.

Dette punkt gælder for alle motorsystemer med kompressionstænding, uanset hvilken teknologi, der anvendes til at overholde de i punkt 6.2.1 angivne emissionsgrænseværdier.

6.5.1.2.

Anvendelsesdatoer

Kravene i punkt 6.5.3, 6.5.4 og 6.5.5 finder anvendelse fra den 9. november 2006 for så vidt angår nye typegodkendelser og fra den 1. oktober 2007 for alle registreringer af nye køretøjer.

6.5.1.3.

Ethvert motorsystem, som er omfattet af dette punkt, skal udformes, konstrueres og monteres således, at det kan overholde disse krav i motorens levetid.

6.5.1.4.

Fabrikanten skal i bilag II angive oplysninger, som fuldt beskriver et af dette punkt omfattet motorsystems funktionelle egenskaber.

6.5.1.5.

I typegodkendelsesansøgningen skal fabrikanten, hvis motorsystemet kræver et reagens, specificere egenskaberne for alle reagenser, som forbruges af et eventuelt system til efterbehandling af udstødningen, f.eks. type og koncentrationer, driftstemperaturforhold, reference til internationale standarder osv.

6.5.1.6.

Med forbehold af kravene i punkt 6.1 skal den emissionsbegrænsende funktion i alle motorsystemer, som er omfattet af dette punkt, opretholdes under alle forhold, der regelmæssigt forekommer inden for Fællesskabets område, herunder især lave omgivende temperaturer.

6.5.1.7.

Med hensyn til typegodkendelse skal fabrikanten for motorsystemer, der kræver et reagens, over for den tekniske tjeneste påvise, at en eventuel emission af ammoniak ikke i den gældende prøvningscyklus overstiger en middelværdi på 25 ppm.

6.5.1.8.

For motorsystemer, der kræver et reagens, skal enhver reagensbeholder, der er monteret i et køretøj, omfatte et middel til udtagning af en prøve af beholderens væske. Udtagningspunktet skal være let tilgængeligt uden brug af specialværktøj eller særlige anordninger.

6.5.2.   Vedligeholdelseskrav

6.5.2.1.

Fabrikanten skal tilse, at alle ejere af nye, tunge køretøjer eller nye motorer til tunge køretøjer, modtager skriftlig vejledning, hvori det angives, at føreren, hvis køretøjets emissionsbegrænsende system ikke fungerer korrekt, via fejlindikatoren (MI) informeres om et problem, og at motoren som følge heraf fungerer med nedsat kraft.

6.5.2.2.

Vejledningen skal oplyse om krav til korrekt anvendelse og vedligeholdelse af køretøjet, herunder, hvis dette er relevant, anvendelse af reagenser.

6.5.2.3.

Vejledningen skal være affattet på et klart og ikke-teknisk sprog og foreligge på det sprog, som tales i det land, hvor et nyt tungt køretøj eller en ny motor til et tungt køretøj sælges eller indregistreres.

6.5.2.4.

Vejledningen skal indeholde en nærmere angivelse af, hvorvidt køretøjets fører skal genpåfylde reagenser mellem de normale serviceintervaller og det forventelige forbrug af reagenser for den pågældende type af tunge køretøjer.

6.5.2.5.

I vejledningen skal det angives, at anvendelsen og genpåfyldningen af et nødvendigt reagens med de korrekte specifikationer er obligatorisk for at sikre, at køretøjet overholder den relevante typeattest, som er udstedt for køretøjet eller motortypen.

6.5.2.6.

Det skal i vejledningen angives, at det kan være strafbart at anvende et køretøj, som ikke forbruger et eventuelt reagens, hvis dette er nødvendigt for nedbringelse af forurenende emissioner, og at eventuelle favorable betingelser for køb eller drift af køretøjet, som er opnået i indregistreringslandet eller et andet land, hvor køretøjet anvendes, kan blive ugyldige.

6.5.3.   Motorsystemets NOx-begrænsning

6.5.3.1.

Fejlfunktion i motorsystemet med hensyn til NOx-emissionsbegrænsning (f.eks. som følge af mangel på ethvert påkrævet reagens, fejlagtig EGR-flow eller deaktivering af EGR) bestemmes ved hjælp af overvågning af NOx-niveauet med følere placeret i udstødningsstrømmen.

6.5.3.2.

Ved enhver afvigelse i NOx-niveauet på mere end 1,5 g/kWh over den gældende grænseværdi, som angivet i tabel 1 i punkt 6.2.1 i bilag I, skal føreren underrettes gennem aktivering af fejlindikatoren (MI), som omhandlet i punkt 3.6.5 i bilag IV til direktiv 2005/78/EF).

6.5.3.3.

Desuden skal en uslettelig fejlkode, der angiver årsagen til overskridelsen af de niveauer, der er anført i punkt 6.5.3.2, lagres i overensstemmelse med punkt 3.9.2 i bilag IV til direktiv 2005/78/EF i mindst 400 dage eller 9 600 motordriftstimer.

Årsagerne til for høj NOx-værdi skal mindst, og hvor det er relevant, identificeres i tilfælde af tom reagensbeholder, afbrydelse af reagensdoseringsaktiviteten, for dårlig reagenskvalitet, for lavt reagensforbrug, fejlagtig EGR-flow eller deaktivering af EGR. I alle andre tilfælde har fabrikanten lov til at henvise til en uslettelig fejlkode »for høj NOx-værdi — grundlæggende årsag ukendt«.

6.5.3.4.

Hvis NOx-niveauet overskrider de egendiagnosegrænseværdier, der er angivet i tabellen i artikel 4, stk. 3, skal en momentbegrænser nedsætte motorkraften i overensstemmelse med kravene i punkt 6.5.5 på en sådan måde, at det tydeligt mærkes af køretøjets fører. Når momentbegrænseren er aktiveret, skal føreren fortsat gøres opmærksom herpå i overensstemmelse med kravene i punkt 6.5.3.2, og en uslettelig fejlkode skal lagres i overensstemmelse med punkt 6.5.3.3.

6.5.3.5

Hvis der er tale om motorsystemer, der er baseret på anvendelse af EGR, og der ikke anvendes andet efterbehandlingssystem til NOx-emissionsbegrænsning, kan fabrikanten anvende en alternativ metode til opfyldelse af kravene i punkt 6.5.3.1 til bestemmelse af NOx-niveauet. På tidspunktet for typegodkendelsen skal fabrikanten påvise, at den alternative metode med hensyn til tid og nøjagtighed af bestemmelsen af NOx-niveauet er lige så god som påkrævet i henhold til kravene i punkt 6.5.3.1, og at den udløser samme konsekvenser som omhandlet i punkt 6.5.3.2, 6.5.3.3 og 6.5.3.4.

6.5.4.   Reagenskontrol

6.5.4.1.

I køretøjer, der kræver anvendelse af et reagens for at opfylde kravene i dette punkt, skal føreren underrettes om reagensbeholdningen i køretøjets reagensbeholder via en mekanisk eller elektronisk indikator på køretøjets instrumentbræt. Denne skal omfatte en advarsel, når reagensbeholdningen falder til:

 under 10 % af beholderens kapacitet, eller en større procentdel efter fabrikantens valg, eller

 under det niveau, der svarer til den mulige kørselsafstand på den af fabrikanten angivne reservebrændstofsmængde.

Reagensindikatoren skal være placeret tæt på brændstofindikatoren.

6.5.4.2.

Føreren skal underrettes i overensstemmelse med kravene i punkt 3.6.5 i bilag IV til direktiv 2005/78/EF, hvis reagensbeholderen bliver tom.

6.5.4.3.

Så snart reagensbeholderen er tom, finder kravene i punkt 6.5.5 anvendelse ud over kravene i punkt 6.5.4.2.

6.5.4.4.

En fabrikant kan vælge at opfylde bestemmelserne i punkt 6.5.4.5 til 6.5.4.12 som alternativ til opfyldelse af kravene i punkt 6.5.3.

6.5.4.5.

Motorsystemer skal omfatte en anordning, som kan afgøre, hvorvidt en væske med de egenskaber, som fabrikanten har oplyst, og som er opført i dette direktivs bilag II, forefindes i køretøjet.

6.5.4.6.

Hvis væsken i reagensbeholderen ikke svarer til de mindstekrav, der er opgivet af fabrikanten og anført i bilag II til dette direktiv, finder de yderligere krav i punkt 6.5.4.12 anvendelse.

6.5.4.7.

Motorsystemer skal være forsynet med en anordning til at bestemme reagensforbruget og til at sikre ekstern adgang til forbrugsoplysninger.

6.5.4.8.

Det gennemsnitlige reagensforbrug og det for motorsystemet gennemsnitligt nødvendige reagensforbrug enten i løbet af den sidste komplette motordriftsperiode på 48 timer eller den periode, som kræves for at forbruge mindst 15 liter (afhængigt af, hvad der indtræder først), skal være tilgængeligt via standarddatastikkets serielle port, som omhandlet i punkt 6.8.3 i bilag IV til direktiv 2005/78/EF.

6.5.4.9.

For at overvåge reagensforbruget skal som minimum følgende parametre i motoren overvåges:

 reagensniveauet i køretøjets beholder

 reagenstilførsel eller -indsprøjtning målt så tæt som teknisk muligt på det punkt, hvor reagenset indsprøjtes i et efterbehandlingssystem for udstødningen.

6.5.4.10.

Ved enhver afvigelse på mere end 50 % i det gennemsnitlige reagensforbrug og motorsystemets gennemsnitligt krævede forbrug i den i punkt 6.5.4.8 definerede periode finder kravene i punkt 6.5.4.12 anvendelse.

6.5.4.11.

Hvis reagensdoseringsaktiviteten afbrydes, finder kravene i punkt 6.5.4.12 anvendelse. Dette er dog ikke påkrævet, hvis sådan afbrydelse finder sted efter ordre fra motorens elektroniske styreenhed, fordi motorens driftsbetingelser er af en sådan art, at motorens emission ikke kræver reagensdosering, forudsat at fabrikanten klart har oplyst den godkendende myndighed om, hvornår sådanne driftsbetingelser finder anvendelse.

6.5.4.12.

Enhver fejl, der detekteres vedrørende punkt 6.5.4.6, 6.5.4.10 eller 6.5.4.11 skal udløse samme konsekvenser i samme rækkefølge som omhandlet i punkt 6.5.3.2, 6.5.3.3 eller 6.5.3.4.

6.5.5.   Foranstaltninger til at bekæmpelse af ulovlige indgreb i efterbehandlingssystemer

6.5.5.1.

I ethvert motorsystem, der er omfattet af dette punkt, skal indgå en momentbegrænser, der underretter føreren om, at motorsystemet fungerer fejlagtigt, eller at køretøjet betjenes fejlagtigt, og derved tilskynder til hurtig udbedring af eventuelle fejl.

6.5.5.2.

Momentbegrænseren skal aktiveres, når køretøjet holder stille første gang efter indtrædelse af betingelserne i et af punkterne 6.5.3.4, 6.5.4.3, 6.5.4.6, 6.5.4.10 eller 6.5.4.11.

6.5.5.3.

Hvis momentbegrænseren går i funktion, må motorens drejningsmoment under ingen omstændigheder overskride en konstant værdi på:

 60 % af det maksimale motordrejningsmoment for køretøjer i klasse N3 > 16 tons, M1 > 7,5 tons, M3/III og M3/B > 7,5 tons

 75 % af det maksimale motordrejningsmoment for køretøjer i klasse N1, N2, N3 ≤ 16 tons, 3,5 < M1 ≤ 7,5 tons, M2, M3/I, M3/II, M3/A og M3/B ≤ 7,5 tons.

6.5.5.4.

Kravene til dokumentation og momentbegrænser er omhandlet i punkt 6.5.5.5 til 6.5.5.8.

6.5.5.5.

Detaljerede skriftlige oplysninger, der fuldt ud beskriver emissionsbegrænsningskontrolsystemets og momentbegrænserens funktionelle driftskarakteristika, skal angives i overensstemmelse med dokumentationskravene i punkt 6.1.7.1, litra b), i dette bilag. Navnlig skal fabrikanten give oplysninger om de algoritmer, som motorens elektroniske styreenhed anvender for at relatere NOx-koncentrationen til den specifikke NOx-emission (i g/kWh) under ETC-testen i overensstemmelse med punkt 6.5.6.5.

6.5.5.6.

Momentbegrænseren skal deaktiveres, når motoren kører i tomgang, hvis de forhold, der aktiverede den, ikke længere er til stede. Momentbegrænseren må ikke automatisk deaktiveres, uden at årsagen til dens aktivering er blevet udbedret.

6.5.5.7.

Det må ikke være muligt at deaktivere momentbegrænseren ved hjælp af en omskifter eller et vedligeholdelsesværktøj.

6.5.5.8.

Momentbegrænseren finder ikke anvendelse på motorer eller køretøjer til brug for de væbnede styrker, redningstjenester, brandvæsenet eller på ambulancer. Permanent deaktivering må kun foretages af motor- eller køretøjsfabrikanten, og en særlig motortype inden for motorfamilien skal have en særlig betegnelse, så den kan identificeres.

6.5.6.   Emissionsbegrænsningskontrolsystemets driftsbetingelser

6.5.6.1.

Emissionsbegrænsningskontrolsystemet skal fungere

 ved alle omgivende temperaturer mellem 266 K og 308 K (– 7 °C og 35 °C)

 i alle højder under 1 600 m

 ved kølevæsketemperaturer over 343 K (70 °C).

Dette punkt gælder ikke overvågningen af reagensniveauet i beholderen, der skal kunne finde sted under alle driftsforhold.

6.5.6.2.

Emissionsbegrænsningskontrolsystemet kan deaktiveres, når en nøddriftsstrategi er aktiv, og denne medfører en momentbegrænsning, der er større end de grænseværdier, der er anført i punkt 6.5.5.3 for den pågældende køretøjsklasse.

6.5.6.3.

Hvis en standardindstilling for emissionen er aktiv, skal emissionsbegrænsningskontrolsystemet forblive i drift og opfylde bestemmelserne i punkt 6.5.

6.5.6.4.

Hvis NOx-begrænsningsforanstaltningerne ikke fungerer korrekt skal dette detekteres inden for fire OBD-prøvningscyklusser, som omhandlet i definitionen i punkt 6.1 i tillæg 1 til bilag IV til direktiv 2005/78/EF.

6.5.6.5.

Algoritmer anvendt af motorens elektroniske styreenhed til relatering af den faktiske NOx-koncentration til den specifikke NOx-emission (i g/kWh) anses ikke for en manipulationsstrategi.

6.5.6.6.

Hvis en AECS, der er blevet godkendt af den typegodkendende myndighed i overensstemmelse med punkt 6.1.5, bliver operationel, kan en stigning i NOx som følge af AECS’en anvendes på den passende NOx-værdi, som omhandlet i punkt 6.5.3.2. I alle sådanne tilfælde skal AECS*ens indflydelse på NOx-grænseværdien beskrives i overensstemmelse med punkt 6.5.5.5.

6.5.7.   Fejl i emissionsbegrænsningskontrolsystemet

6.5.7.1.

Emissionsbegrænsningskontrolsystemet skal overvåges for elektriske fejl og for fjernelse eller deaktivering af enhver føler, der forhindrer, at det diagnosticerer en stigning i emissionen som krævet i punkt 6.5.3.2 og 6.5.3.4.

Eksempler på følere, der påvirker diagnosticeringsevnen, er de følere, der direkte måler NOx-koncentrationen, følere for ureakvaliteten samt følere, der anvendes til overvågning af reagensdoseringsaktivitet, reagensniveau, reagensforbrug eller recirkulationsforhold for udstødningen.

6.5.7.2.

Hvis en fejl i emissionsbegrænsningskontrolsystemet bekræftes, skal føreren straks gøres opmærksom på dette ved hjælp af et advarselssignal i overensstemmelse med punkt 3.6.5 i bilag IV til direktiv 2005/78/EF.

6.5.7.3.

Momentbegrænseren skal aktiveres i overensstemmelse med punkt 6.5.5, hvis fejlen ikke afhjælpes inden for 50 motordriftstimer.

Den i første afsnit fastsatte periode nedsættes til 36 timer at regne fra de datoer, der er angivet i artikel 2, stk. 7 og 8.

6.5.7.4.

Når emissionsbegræningskontrolsystemet har konstateret, at fejlen ikke længere eksisterer, kan den eller de fejlkoder, der er forbundet med fejlen, slettes i systemets hukommelse, undtagen i de tilfælde, der er omhandlet i punkt 6.5.7.5, og momentbegrænseren kan, hvis dette er relevant, deaktiveres i overensstemmelse med punkt 6.5.5.6.

En eller flere fejlkoder, der er forbundet med en fejl i emissionsbegrænsningskontrolsystemet, må ikke kunne slettes fra systemets hukommelse af noget scanningsværktøj.

6.5.7.5.

I tilfælde af fjernelse eller deaktivering af dele af emissionsbegrænsningskontrolsystemet i overensstemmelse med punkt 6.5.7.1 skal en uslettelig fejlkode lagres i overensstemmelse med punkt 3.9.2 i bilag IV til direktiv 2005/78/EF i mindst 400 dage eller 9 600 motordriftstimer.

6.5.8.   Demonstration af emissionsbegrænsningskontrolsystemet

6.5.8.1.

Som led i ansøgningen om typegodkendelse, som omhandlet i punkt 3, skal fabrikanten påvise overensstemmelse med bestemmelserne i dette punkt gennem prøvninger i et motordynamometer i overensstemmelse med punkt 6.5.8.2 til 6.5.8.7.

6.5.8.2.

En motorfamilies eller en OBD-motorfamilies overensstemmelse med kravene i dette punkt kan demonstreres ved prøvning af emissionsbegrænsningskontrolsystemet i en af motorerne i motorfamilien (stammotoren), forudsat at fabrikanten over for den typegodkendende myndighed påviser, at emissionsbegrænsningskontrolsystemerne er tilsvarende inden for familien.

Denne demonstration kan foretages ved at forelægge den typegodkendende myndighed sådanne oplysninger som algoritmer, funktionsanalyser osv.

Stammotoren udvælges af fabrikanten med den typegodkendende myndigheds samtykke.

6.5.8.3.

Prøvningen af emissionsbegrænsningskontrolsystemet omfatter følgende tre faser:

Udvælgelse:

En fejlfunktion i NOx-begrænsningsforanstaltningerne eller en fejl i emissionsbegrænsingskontrolsystemet udvælges af myndigheden fra en liste over fejlfunktioner, som fabrikanten leverer.

Kvalificering:

Fejlfunktionens indflydelse valideres ved måling af NOx-niveauet gennem en ETC-test i en motorprøvebænk.

Demonstration:

Systemets reaktion (begrænsning af drejningsmomentet, advarselssignal osv.) demonstreres ved at lade motoren gennemgå fire OBD-prøvningscyklusser.

6.5.8.3.1.

Til udvælgelsesfasen forsyner fabrikanten den typegodkendende myndighed med en beskrivelse af de overvågningsstrategier, der er anvendt til at bestemme potentielle fejlfunktioner i en NOx-begrænsningsforanstaltning og potentielle fejl i emissionsbegrænsningskontrolsystemet, der enten medfører aktivering af momentbegrænseren eller aktivering af advarselssignalet alene.

Typiske eksempler på fejlfunktioner i denne liste er en tom reagensbeholder, fejlfunktion medførende afbrydelse af reagensdoseringsaktiviteten, for dårlig reagenskvalitet, fejlfunktion medførende for lavt reagensforbrug, fejlagtig EGR-flow eller deaktivering af EGR.

Mindst to og højt tre fejlfunktioner i NOx-begrænsningssystemet eller fejl i emissionsbegrænsningskontrolsystemet udvælges af den typegodkendende myndighed fra denne liste.

6.5.8.3.2.

I kvalificeringsfasen måles NOx-emissionerne i ETC-prøvningscyklussen i henhold til bestemmelserne i tillæg 2 til bilag III. Resultatet af ETC-testen skal anvendes til at bestemme, hvordan systemet til overvågning af NOx-begrænsningen forventes at reagere under demonstrationsprocessen (momentbegrænsning og/eller advarselssignal). Fejlen skal simuleres på en sådan måde, at NOx-niveauet ikke overskrider nogen af de grænseværdier, der er anført i punkt 6.5.3.2 eller 6.5.3.4, med mere end 1 g/kWh.

Emissionskvalificering er ikke påkrævet i tilfælde af tom reagensbeholder eller til demonstration af en fejl i emissionsbegrænsningskontrolsystemet.

Momentbegrænseren skal deaktiveres i kvalifikationsfasen.

6.5.8.3.3.

I demonstrationsfasen gennemfører motoren højst fire OBD-prøvningscyklusser.

Der må ikke være andre fejl end dem, der skal bruges til demonstrationsformål.

6.5.8.3.4.

Før igangsættelse af prøvningssekvensen i punkt 6.5.8.3.3 indstilles emissionsbegrænsningskontrolsystemets status til »ingen fejl«.

6.5.8.3.5.

Afhængig af det valgte NOx-niveau skal systemet aktivere et advarselssignal samt, hvis dette er relevant, momentbegrænseren på et hvilket som helst tidspunkt før afslutningen af detektionssekvensen. Detektionssekvensen kan stoppes, når overvågningssystemet for NOx-begrænsningen har reageret korrekt.

6.5.8.4.

Hvis der er tale om et emissionsbegrænsningskontrolsystem, der først og fremmest er baseret på at overvåge NOx-niveauet ved hjælp af følere placeret i udstødningsstrømmen, kan fabrikanten vælge at overvåge visse systemfunktioner direkte (f.eks. afbrydelse af doseringsaktivitet, lukket EGR-ventil) i forbindelse med efterprøvning af overensstemmelse. I dette tilfælde skal den udvalgte systemfunktion demonstreres.

6.5.8.5.

Det momentbegrænsningsniveau, der kræves af momentbegrænseren i henhold til punkt 6.5.5.3, skal sammen med motorens generelle specifikationer godkendes i henhold til direktiv 80/1269/EF. I demonstrationsprocessen skal fabrikanten over for den typegodkendende myndighed demonstrere, at den korrekte momentbegrænser indgår i motorens elektroniske styreenhed. Separat måling af drejningsmomentet er ikke påkrævet under demonstrationen.

6.5.8.6.

Som et alternativ til punkt 6.5.8.3.3 til 6.5.8.3.5 kan demonstrationen af emissionsbegrænsningskontrolsystemet og momentbegrænseren udføres ved prøvning af et køretøj. Køretøjet køres på vej eller prøvebane med de udvalgte fejlfunktioner eller fejl i emissionsbegrænsningskontrolsystemet for at demonstrere, at advarselssignalet og aktiveringen af momentbegrænseren fungerer i overensstemmelse med kravene i punkt 6.5, og navnlig kravene i punkt 6.5.5.2 og 6.5.5.3.

6.5.8.7.

Hvis lagring af en uslettelig fejlkode i computerhukommelsen er påkrævet for at opfylde kravene i punkt 6.5, skal følgende tre betingelser være opfyldt ved afslutningen af demonstrationssekvensen:

 Det skal ved hjælp af OBD-scanningsværktøjet være muligt at bekræfte tilstedeværelsen i OBD-computerens hukommelse af den relevante uslettelige fejlkode beskrevet i punkt 6.5.3.3, og det skal til den typegodkendende myndigheds tilfredshed kunne påvises, at scanningsværktøjet ikke kan slette denne kode, og

 det skal være muligt at bekræfte den tid, der under detektionssekvensen er forløbet med advarselssignalet aktiveret ved at aflæse den uslettelige tæller, der er omhandlet i punkt 3.9.2 i bilag IV til direktiv 2005/78/EF, og det skal til den typegodkendende myndigheds tilfredshed påvises, at scanningsværktøjet ikke kan slette denne, og

 den typegodkendende myndighed skal have godkendt de designelementer, der viser, at disse uslettelige oplysninger lagres i mindst 400 dage eller 9 600 motordriftstimer i overensstemmelse med punkt 3.9.2 i bilag IV til direktiv 2005/78/EF.

▼B

7.   MONTERING PÅ KØRETØJET

7.1.

Motorens montering på køretøjet skal opfylde følgende specifikationer, sammenholdt med motorens typegodkendelse:

7.1.1.

motorens indsugningsvakuum må ikke overstige det, der er angivet for den typegodkendte motor i bilag VI;

7.1.2.

motorens udstødningsmodtryk må ikke være større end det, der er foreskrevet for den typegodkendte motor i bilag VI;

7.1.3.

udstødningssystemets volumen må ikke afvige mere end 40 % fra det, der er foreskrevet for den typegodkendte motor i bilag VI;

7.1.4.

den effekt, der optages af hjælpeudstyr til drift af motoren, må ikke være større end den, der er foreskrevet for den typegodkendte motor i bilag VI.

8.   MOTORFAMILIE

▼M1

8.1.   Parametre, der er bestemmende for motorfamilien

Den af fabrikanten bestemte motorfamilie skal overholde bestemmelserne i ISO 16185.

▼B

8.2.   Valg af stammotor

8.2.1.   Dieselmotorer

Stammotoren til motorfamilien vælges primært efter kriteriet højeste brændstofforbrug pr. takt ved den angivne hastighed, som svarer til største drejningsmoment. Såfremt dette primære kriterium opfyldes af to eller flere motorer, vælges stammotoren efter det sekundære kriterium højeste brændstofforbrug pr. takt ved mærkehastigheden. Under visse omstændigheder kan de godkendende myndigheder afgøre, at motorfamiliens værst tænkelige forureningsgrad bedst kan karakteriseres ved afprøvning af endnu en motor. De godkendende myndigheder kan således udvælge endnu en motor til afprøvning, baseret på egenskaber, der tilsiger, at denne kan tænkes at have det højeste emissionsniveau blandt motorerne i den pågældende familie.

Såfremt nogle motorer i motorfamilien har andre variable egenskaber, der kan tænkes at være af betydning for emissionerne fra udstødningen, skal også disse egenskaber fastlægges og tages i betragtning ved valg af stammotor.

8.2.2.   Gasmotorer

Stammotoren til familien skal vælges med største slagvolumen som det primære kriterium. Er to eller flere motorer fælles om at opfylde dette primære kriterium, skal stammotoren vælges efter følgende sekundære kriterier i nævnte rækkefølge:

 højeste brændstofforbrug pr. takt ved den hastighed, som svarer til den angivne mærkeeffekt;

 mest avancerede tændingsindstilling;

 laveste recirkulationsforhold for udstødningen;

 ingen luftpumpe eller laveste faktiske luftpumpeydelse.

Under visse omstændigheder kan de godkendende myndigheder afgøre, at den værst tænkelige emission i motorfamilien bedst kan karakteriseres ved, at endnu en motor afprøves. De godkendende myndigheder kan således vælge endnu en motor til prøvning på grundlag af egenskaber, som tilsiger, at den kan have det højeste emissionsniveau inden for motorfamilien.

▼M1

8.3.   Parametre til bestemmelse af OBD-motorfamilien

OBD-motorfamilien bestemmes ved de grundlæggende konstruktionsparametre, som skal være fælles for alle motorsystemer i familien.

For at motorsystemerne kan betragtes som tilhørende samme OBD-motorfamilie, skal de have følgende grundlæggende parametre til fælles:

 metoderne til OBD-overvågning

 metoderne til detektering af fejl

medmindre fabrikanten ved hjælp af relevant teknisk demonstration eller andre hensigtsmæssige procedurer har påvist disse metoders ækvivalens.

NB: motorer, som ikke tilhører samme motorfamilie, kan godt tilhøre samme OBD-familie, under forudsætning af, at ovennævnte kriterier er opfyldt.

▼B

9.   PRODUKTIONENS OVERENSSTEMMELSE

9.1.

▼M1

Der skal træffes foranstaltninger til sikring af produktionens overensstemmelse i henhold til artikel 10 i direktiv 70/156/EØF. Produktionens overensstemmelse kontrolleres på grundlag af beskrivelsen i typegodkendelsesattesterne opstillet i bilag VI til dette direktiv. Ved anvendelse af tillæg 1, 2 eller 3 skal den målte emission af forurenende gasser og partikler fra motorer, som skal underkastes kontrol af produktionens overensstemmelse, justeres ved at benytte de relevante forringelsesfaktorer for den pågældende motor, som anført i punkt 1.5 i tillægget til bilag VI.

Finder myndighederne producentens kontrolprocedure utilfredsstillende, finder bestemmelserne i direktiv 70/156/EØF, bilag X, punkt 2.4.2 og 2.4.3, anvendelse.

▼B

9.1.1.

Hvis der skal foretages måling af emissionen af forurenende stoffer, og motorens typegodkendelse har været genstand for en eller flere udvidelser, skal prøvningen ske på de(n) motor(er), som er beskrevet i informationspakken svarende til den pågældende udvidelse.

9.1.1.1.

Overensstemmelse af en motor, som underkastes forureningsprøvning:

Efter at motoren er overgivet til myndighederne, må fabrikanten ikke foretage nogen justering af de udvalgte motorer.

9.1.1.1.1.

Tre motorer stikprøveudtages af serien. Motorer, der kun underkastes ESC- og ELR-test eller ETC-test med henblik på typegodkendelse til række A i tabellerne i punkt 6.2.1, er underlagt de pågældende prøver til undersøgelse af produktionens overensstemmelse. Med myndighedens godkendelse er alle andre motorer, der er typegodkendt til række A, B1, B2 eller C i tabellerne i punkt 6.2.1, underlagt prøvning i enten ESC- og ELR-serierne eller i ETC-serien med henblik på undersøgelse af produktionens overensstemmelse. Grænseværdierne anføres i dette bilags punkt 6.2.1.

9.1.1.1.2.

Prøverne udføres i henhold til tillæg 1 til dette bilag, når den ansvarlige myndighed er tilfreds med den af fabrikanten oplyste standardafvigelse i produktionen, i overensstemmelse med bilag X til direktiv 70/156/EØF, som finder anvendelse på motordrevne køretøjer og påhængskøretøjer dertil.

Prøverne udføres i henhold til tillæg 2 til dette bilag, når den ansvarlige myndighed ikke er tilfreds med den af fabrikanten oplyste standardafvigelse i produktionen, i overensstemmelse med bilag X til direktiv 70/156/EØF, som finder anvendelse på motordrevne køretøjer og påhængskøretøjer dertil.

På fabrikantens begæring kan prøverne udføres i henhold til tillæg 3 til dette bilag.

9.1.1.1.3.

På grundlag af test af motoren ved stikprøvetagning anses produktionen af en serie at være overensstemmende, når der er nået afgørelsen godkendt for alle de forurenende stoffer, og for uoverensstemmende, når der er nået afgørelsen forkastet for ét forurenende stof, i henhold til de testkriterier, der finder anvendelse i det pågældende tillæg.

Når afgørelsen godkendt er nået for ét forurenende stof, må denne afgørelse ikke ændres ved nogen supplerende prøve, som udføres med henblik på en afgørelse for de øvrige forurenende stoffers vedkommende.

Hvis der ikke nås afgørelsen godkendt for samtlige forurenende stoffer, og der ikke foreligger nogen afgørelse om uoverensstemmelse for ét forurenende stof, foretages test af endnu en motor (se fig. 2).

Nås ingen afgørelse, kan fabrikanten til hver en tid beslutte at standse afprøvningen. I så tilfælde registreres dette som en afgørelse om ikke-beståelse.

9.1.1.2.

Prøverne udføres på nyproducerede motorer. Gasdrevne motorer tilkøres efter proceduren foreskrevet i punkt 3 i tillæg 2 til bilag III.

9.1.1.2.1.

På fabrikantens begæring kan prøverne dog udføres på diesel- eller gasmotorer, som er tilkørt længere end angivet i punkt 9.1.1.2, dog højst 100 timer. I dette tilfælde foretages tilkørslen af fabrikanten, som forpligter sig til ikke at foretage nogen justering af disse motorer.

9.1.1.2.2.

Når fabrikanten anmoder om at foretage tilkørsel i overensstemmelse med punkt 9.1.1.2.1., kan dette ske på:

 alle de motorer, som afprøves,

 den første afprøvede motor, idet der bestemmes en forskydningskoefficient på følgende måde:

 

 de forurenende emissioner måles ved nul og ved »x« timer på den først afprøvede motor

 forskydningskoefficienten for emissionen i tidsrummet mellem nul og »x« timer beregnes for hvert forurenende stof:

 

Emissioner ved »x« timer/Emissioner ved nul timer

koefficienten kan være mindre end én.

De efterfølgende testmotorer underkastes ikke tilkørselsproceduren, men deres emissioner ved nul timer vil blive ændret med forskydningskoefficienten.

I dette tilfælde skal følgende værdier anvendes:

 værdierne ved »x« timer for den første motor,

 værdierne ved nul timer, ganget med forskydningskoefficienten, for de øvrige motorer.

9.1.1.2.3.

For diesel- og LPG-drevne motorer kan alle disse prøver udføres med brændstof af handelskvalitet. På fabrikantens begæring kan dog anvendes det i bilag IV beskrevne referencebrændstof. Dette indebærer tests som beskrevet i punkt 4 i dette tillæg med mindst to af referencebrændstofferne for hver gasmotor.

9.1.1.2.4.

For NG-drevne motorer kan alle disse tester foretages med brændstof af handelskvalitet på følgende måde:

 for H-mærkede motorer med brændstof inden for H-området (0,89 ≤ Sλ ≤ 1,00)

 for L-mærkede motorer med brændstof inden for L-området (1,00 ≤ Sλ ≤ 1,19)

 for HL-mærkede motorer med brændstof inden for hele λ-forskydningsfaktorens område (0,89 ≤ Sλ ≤ 1,19).

På fabrikantens begæring kan dog anvendes de i bilag IV beskrevne referencebrændstoffer. Dette indebærer tester som beskrevet i punkt 4.

9.1.1.2.5.

Ved eventuel tvist som følge af manglende overensstemmelse af gasdrevne motorer ved brug af brændstof af handelskvalitet skal prøvning udføres med et referencebrændstof, som stammotoren er blevet testet på, eller med det eventuelle supplerende brændstof 3, som er omhandlet i punkt 4.1.3.1 og 4.2.1.1, og som stammotoren kan have været afprøvet på. Resultatet skal derefter omregnes ved hjælp af de pågældende faktorer »r«, »ra« eller »rb« som beskrevet i punkt 4.1.4, 4.1.5.1 og 4.2.1.2. Hvis r, ra eller rb er mindre end én, skal der ikke foretages nogen korrektion. De målte resultater og de beregnede resultater skal godtgøre, at motoren overholder grænseværdierne med alle de pågældende brændstoffer (brændstof 1 og 2, og, i givet fald, brændstof 3 for NG-drevne motorer, og brændstof A og B for LPG-drevne motorer.

9.1.1.2.6.

Test for produktionens overensstemmelse af en gasdrevet motor, som er udformet med henblik på at køre på ét brændstof af bestemt sammensætning, skal foretages på det brændstof, som motoren er kalibreret for.

Afprøvning af tre motorerBergning af det statistiske testresultatEr de statistiske testresulter infølge det pågældende tillæg i overensstemmelse med kriterierne for af afvise serien for mindst ét forurenende stof?JASerien afvistNEJEr de statistiske testresulter infølge det pågældende tillæg i overensstemmelse med kriterierne for at godkende serien for mindst ét forurenende stof?NEJJAEn afgørelse om beståelse er nået for ét eller flere forurenende stofferEr en afgørelse om beståelse nået for alle forurenende stoffer?JASerien godkendtNEJPrøvning af endnu en motor

Figur 2

Diagram over prøvning af produktionens overensstemmelse

▼M1

9.1.2.

Egendiagnosesystem (OBD)

9.1.2.1.

Hvis egendiagnosesystemet overensstemmelse skal kontrolleres, skal det ske som følger:

9.1.2.2.

Når den godkendende myndighed finder, at produktionskvaliteten synes utilfredsstillende, udtages en tilfældig motor af serien, og den underkastes de i bilag IV til direktiv 2005/78/EF, tillæg 1, beskrevne prøvninger. Prøvningerne kan udføres på en motor, der er tilkørt i maksimalt 100 timer.

9.1.2.3.

Produktionen anses for overensstemmende, hvis denne motor opfylder kravene i de i bilag IV til direktiv 2005/78/EF, tillæg 1, beskrevne prøvninger.

9.1.2.4

Opfylder det udtagne køretøj ikke kravene i punkt 9.1.2.2, udtages en yderligere stikprøve på fire motorer af serien, som underkastes de i bilag IV til direktiv 2005/78/EF, tillæg 1, beskrevne prøvninger. Prøvningerne kan udføres på motorer, der er tilkørt i maksimalt 100 timer.

9.1.2.5.

Produktionen anses for overensstemmende, hvis mindst tre motorer ud af den yderligere stikprøve på fire motorer opfylder kravene i de i bilag IV til direktiv 2005/78/EF, tillæg 1, beskrevne prøvninger.

10.   OVERENSSTEMMELSE FOR IBRUGTAGNE KØRETØJER/MOTORER

10.1.

I forbindelse med dette direktiv skal ibrugtagne køretøjers/motorers overensstemmelse kontrolleres med mellemrum igennem den i køretøjet monterede motors levetid.

10.2.

For så vidt angår typegodkendelser for emissioner er det hensigtsmæssigt med yderligere foranstaltninger for at kunne bekræfte, at de emissionsbegrænsende anordninger er funktionsdygtige i den i køretøjet monterede motors levetid ved almindelig brug.

10.3.

De procedurer, som skal følges i forbindelse med ibrugtagne køretøjers/motorers overensstemmelse, findes i bilag III til direktiv 2005/78/EF til dette direktiv.

▼B




Tillæg 1

FREMGANGSMÅDE VED KONTROL AF PRODUKTIONENS OVERENSSTEMMELSE, NÅR STANDARDAFVIGELSEN ER TILFREDSSTILLENDE

1. I dette tillæg beskrives den fremgangsmåde, der skal anvendes til kontrol af produktionens overensstemmelse hvad angår emission af forurenende stoffer, når standardafvigelsen i fabrikantens produktion er tilfredsstillende.

2. Ved en mindste stikprøvestørrelse på tre motorer indstilles prøvetagningsproceduren således, at sandsynligheden for, at en produktionsbatch holder prøven, når 40 % af motorerne er defekte, er 0,95 (producentens risiko = 5 %), medens sandsynligheden for, at en batch bliver godkendt med 65 % af motorerne defekte, er 0,10 (forbrugerens risiko = 10 %).

▼M1

3. Følgende fremgangsmåde anvendes for hvert af de forurenende stoffer angivet i punkt 6.2.1 i bilag I (jf. figur 2):

Idet:

L

=

den naturlige logaritme til grænseværdien for det forurenende stof

xi

=

den naturlige logaritme til måleværdien (efter anvendelse af den relevante forringelsesfaktor) for den i'te motor i stikprøven

s

=

et estimat for produktionens standardafvigelse (efter uddragelse af den naturlige logaritme til måleværdierne)

n

=

det aktuelle stikprøveantal.

▼B

4. For hver stikprøve beregnes summen af standardafvigelserne fra grænseværdien ved hjælp af følgende formel:

image

5. Hvorefter:

 er det statistiske testresultat større end godkendelsesgrænsen for den pågældende stikprøvestørrelse angivet i tabel 3, er resultatet for det pågældende forurenende stof godkendt;

 hvis det statistiske testresultat er mindre end forkastelsesgrænsen for den pågældende stikprøvestørrelse angivet i tabel 3, er resultatet for det pågældende forurenende stof forkastet;

 ellers afprøves én yderligere motor i henhold til punkt 9.1.1.1 i bilag I, og beregningen foretages for den derved med én forøgede stikprøvestørrelse.



Tabel 3

Beståelses- og forkastelsesgrænse for stikprøveplanen i tillæg 1

Mindste stikprøvestørrelse: 3

Kumuleret antal motorer afprøvet (stikprøvestørrelse)

Godkendelsesgrænse An

Forkastelsesgrænse Bn

3

3,327

– 4,724

4

3,261

– 4,790

5

3,195

– 4,856

6

3,129

– 4,922

7

3,063

– 4,988

8

2,997

– 5,054

9

2,931

– 5,120

10

2,865

– 5,185

11

2,799

– 5,251

12

2,733

– 5,317

13

2,667

– 5,383

14

2,601

– 5,449

15

2,535

– 5,515

16

2,469

– 5,581

17

2,403

– 5,647

18

2,337

– 5,713

19

2,271

– 5,779

20

2,205

– 5,845

21

2,139

– 5,911

22

2,073

– 5,977

23

2,007

– 6,043

24

1,941

– 6,109

25

1,875

– 6,175

26

1,809

– 6,241

27

1,743

– 6,307

28

1,677

– 6,373

29

1,611

– 6,439

30

1,545

– 6,505

31

1,479

– 6,571

32

– 2,112

– 2,112




Tillæg 2

FREMGANGSMÅDE VED KONTROL AF PRODUKTIONENS OVERENSSTEMMELSE, NÅR STANDARDAFVIGELSEN ER UTILFREDSSTILLENDE ELLER IKKE FORELIGGER

1. I dette tillæg beskrives den fremgangsmåde, der skal anvendes til kontrol af produktionens overensstemmelse hvad angår emission af forurenende stoffer, når standardafvigelsen af fabrikantens produktion enten ikke er tilfredsstillende eller ikke foreligger.

2. Med en mindste stikprøvestørrelse på tre motorer indstilles prøvetagningsproceduren således, at sandsynligheden for, at en produktionsbatch holder prøven, når 40 % af motorerne er defekte, er 0,95 (producentens risiko = 5 %), medens sandsynligheden for, at en batch godkendes med 65 % af motorerne defekte, er 0,10 (forbrugerens risiko = 10 %).

▼M1

3. Værdierne af de forurenende stoffer angivet i punkt 6.2.1 i bilag I regnes efter anvendelse af de relevante forringelsesfaktorer for at være logaritmisk normalfordelte og skal transformeres ved uddragelse af den naturlige logaritme til værdierne. Lad m0 og m være henholdsvis mindste og største stikprøvestørrelse (m0 = 3 og m = 32) og lad n være det aktuelle stikprøveantal.

4. Idet den naturlige logaritme til værdierne (efter anvendelse af de relevante forringelsesfaktorer) målt i serien er x1, x2, … xi, og L er den naturlige logaritme til grænseværdien for det forurenende stof, defineres:

image

og

image

image

5. Tabel 4 angiver værdierne af tallene svarende til afgørelsen godkendt (An) og forkastet (Bn) og de tilhørende aktuelle stikprøveantal. Det statistiske testresultat er forholdet

image

, som benyttes til afgørelse af, om serien er godkendt eller ikke, på følgende måde:

For m0 ≤ n < m:

 serien godkendt, hvis

image

 serien forkastet, hvis

image

 foretag endnu en måling, hvis

image

6. Bemærkninger

Følgende rekursionsformel er nyttig til beregning af på hinanden følgende værdier af det statistiske restresultat:

image

image

image



Tabel 4

Beståelses- og forkastelsesgrænse for stikprøveplanen i tillæg 2

Mindste stikprøvestørrelse: 3

Kumuleret antal motorer afprøvet (stikprøvestørrelse)

Godkendelsesgrænse An

Forkastelsesgrænse Bn

3

- 0,80381

16,64743

4

- 0,76339

7,68627

5

- 0,72982

4,67136

6

- 0,69962

3,25573

7

- 0,67129

2,45431

8

- 0,64406

1,94369

9

- 0,61750

1,59105

10

- 0,59135

1,33295

11

- 0,56542

1,13566

12

- 0,53960

0,97970

13

- 0,51379

0,85307

14

- 0,48791

0,74801

15

- 0,46191

0,65928

16

- 0,43573

0,58321

17

- 0,40933

0,51718

18

- 0,38266

0,45922

19

- 0,35570

0,40788

20

- 0,32840

0,36203

21

- 0,30072

0,32078

22

- 0,27263

0,28343

23

- 0,24410

0,24943

24

- 0,21509

0,21831

25

- 0,18557

0,18970

26

- 0,15550

0,16328

27

- 0,12483

0,13880

28

- 0,09354

0,11603

29

- 0,06159

0,09480

30

- 0,02892

0,07493

31

- 0,00449

0,05629

32

- 0,03876

0,03876




Tillæg 3

FREMGANGSMÅDE VED KONTROL AF PRODUKTIONENS OVERENSSTEMMELSE PÅ FABRIKANTENS BEGÆRING

1. I dette tillæg beskrives fremgangsmåden, når produktionens overensstemmelse på fabrikantens begæring kontrolleres hvad angår emission af forurenende stoffer.

2. Med en mindste stikprøvestørrelse på tre motorer indstilles prøvetagningsproceduren således, at sandsynligheden for, at en produktionsbatch holder prøven, når 30 % af motorerne er defekte, er 0,90 (producentens risiko = 10 %), medens sandsynligheden for, at en batch bliver godkendt med 65 % af motorerne defekte, er 0,10 (forbrugerens risiko = 10 %).

▼M1

3. Følgende fremgangsmåde anvendes for hvert af de forurenende stoffer angivet i punkt 6.2.1 i bilag I (jf. figur 2):

Idet:

L

=

grænseværdien for det forurenende stof;

xi

=

måleværdien for den i'te motor i stikprøven;

n

=

det aktuelle stikprøveantal.

▼B

4. For den pågældende stikprøve beregnes det statistiske testresultat, der kvantificerer antallet af ikke-overensstemmende motorer, dvs. xi ≥ L.

5. Hvorefter:

 hvis det statistiske resultat er mindre end eller lig med godkendelsesgrænsen for den pågældende stikprøvestørrelse i tabel 5, nås afgørelsen godkendt for det pågældende forurenende stof;

 er det statistiske resultat større end eller lig med forkastelsesgrænsen for den pågældende stikprøvestørrelse angivet i tabel 5, nås afgørelsen forkastet for det pågældende stof;

 ellers afprøves én yderligere motor i henhold til punkt 9.1.1.1 i bilag I, og beregningen foretages for den derved med én forøgede stikprøvestørrelse.

I tabel 5 beregnes godkendelsesgrænse og forkastelsesgrænse efter ISO 8422/1991.



Tabel 5

Beståelses- og forkastelsesgrænse for stikprøveplanen i tillæg 3

Mindste stikprøvestørrelse: 3

Kumuleret antal motorer afprøvet (stikprøvestørrelse)

Godkendelsesgrænse

Forkastelsesgrænse

3

3

4

0

4

5

0

4

6

1

5

7

1

5

8

2

6

9

2

6

10

3

7

11

3

7

12

4

8

13

4

8

14

5

9

15

5

9

16

6

10

17

6

10

18

7

11

19

8

9

▼M1




Tillæg 4

BESTEMMELSE AF SYSTEMETS ÆKVIVALENS

Bestemmelsen af systemernes ækvivalens skal, jf. punkt 6.2 i dette bilag, ske på grundlag af en korrelationsundersøgelse af (mindst) 7 par stikprøver af det kandiderende system og et af de godkendte referencesystemer i dette direktiv ved anvendelse af en eller flere hensigtsmæssige prøvecyklusser. De ækvivalenskriterier, som skal anvendes, er F-testen og den tosidede Student t-test.

Ved denne statistiske metode undersøges hypotesen om, at populationens standardafvigelse og gennemsnitsværdien af en emission målt med det kandiderende system ikke adskiller sig fra standardafvigelsen og populationens gennemsnitsværdi for den pågældende emission målt med referencesystemet. Hypotesen prøves på baggrund af et signifikansniveau på 5 % for F- og t-værdierne. De kritiske F- og t-værdier for 7-10 par stikprøver er angivet i nedenstående tabel. Hvis F- og t-værdierne beregnet ud fra nedenstående formel er større end de kritiske F- og t-værdier, er det kandiderende system ikke ækvivalent.

I den forbindelse anvendes følgende fremgangsmåde: Bogstaverne R og C med lav skrift henviser til henholdsvis referencesystemet og det kandiderende system:

a) Foretag mindst 7 prøver med det kandiderende system og referencesystemet (helst parallelt). Der refereres til antallet af prøver som nR og nC.

b) Beregn gennemsnitsværdierne xR og xC og standardafvigelserne sR og sC.

c) Beregn F-værdien som følger:

FOR-CL2005L0055DA0020010.0001.0020.xml.jpg

(den største af de to standardafvigelser SR eller SC skal stå i tælleren)

d) Beregn t-værdien som følger:

FOR-CL2005L0055DA0020010.0001.0021.xml.jpg

e) Sammenlign de beregnede F- og t-værdier med de kritiske F- og t-værdier i overensstemmelse med det respektive antal prøvninger, som er angivet i nedenstående tabel. Såfremt der udvælges større stikprøvestørrelser, henvises til de statistiske tabeller for et signifikansniveau på 5 % (konfidensgrad på 95 %).

f) Frihedsgraderne (df) bestemmes som følger:

for F-testen

:

df nR – 1 / nC – 1

for t-testen

:

df nC + nR – 2



F- og t-værdier for udvalgte stikprøvestørrelser

Stikprøvestørrelse

F-test

t-test

 

df

Fcrit

df

tcrit

7

6/6

4,284

12

2,179

8

7/7

3,787

14

2,145

9

8/8

3,438

16

2,120

10

9/9

3,179

18

2,101

g) Ækvivalensen bestemmes som følger:

 Hvis F < Fcrit og t < tcrit, er det kandiderende system ækvivalent med referencesystemet i dette direktiv.

 Hvis F ≥ Fcrit og t ≥ tcrit, er det kandiderende system forskellig fra referencesystemet i dette direktiv.

▼B




BILAG II

OPLYSNINGSSKEMA Nr. …I HENHOLD TIL BILAG I TIL RÅDETS DIREKTIV 70/156/EØF OM EF-TYPEGODKENDELSEog om foranstaltninger mod emission af forurenende luftarter og partikler fra motorer med kompressionstænding til fremdrift af køretøjer, og emission af forurenende luftarter fra køretøjsmotorer med styret tænding, som benytter naturgas eller autogas (LPG), til fremdrift af køretøjer(Direktiv 2005/55/EF)Køretøjstype/stammotor/motortypeDet ikke gældende overstreges.0. ALMINDELIGE OPLYSNINGER0.1. Fabriksmærke (firmabetegnelse):0.2. Type og handelsbetegnelse(r) (eventuelt noteres forskellige udførelser):0.3. Typeidentifikationsmærker som markeret på køretøjet:0.4. Køretøjets klasse (hvis relevant):0.5. Motorkategori: diesel/NG-drevet/LPG-drevet/ethanoldrevet (1)0.6. Fabrikantens navn og adresse:0.7. Anbringelsessted for fabrikationsplader og påskrifter, samt fastgørelsesmåde:0.8. For komponenter og separate tekniske enheder, EF-godkendelsesmærkets anbringelsessted og fastgørelsesmåde:0.9. Adresse(r) på samlefabrik(ker):Bilag1. Hovedspecifikationer for (stam)motoren og oplysninger om prøvningens udførelse.2. Hovedspecifikationer for motorfamilien.3. Hovedspecifikationer for motortypen inden for familien.4. Specifikationer for motorrelaterede køretøjsdele (hvis relevant)5. Fotografier og/eller tegninger af stammotoren/motortypen og, hvis relevant, af motorrummet.6. Fortegnelse over eventuelle yderligere bilag.Dato, journalnummer

►(5) M1  

►(5) M1  

►(5) M1  

►(5) M1  

►(5) M1  




Tillæg 1

HOVEDSPECIFIKATIONER FOR (STAM)MOTOREN OG OPLYSNINGER OM PRØVNINGENS UDFØRELSEFor ikke-konventionelle motorer og systemer skal oplysninger ækvivalente med de her givne fremlægges af fabrikanten.1. Beskrivelse af motoren1.1. Fabrikant:1.2. Fabrikantens motorkode:1.3. Arbejdsmåde: firtakts/totaktsDet ikke gældende overstreges.1.4. Cylinderantal, cylinderarrangement:1.4.1. Boring: mm1.4.2. Slaglængde: mm1.4.3. Tændingsrækkefølge:1.5. Motorens slagvolumen: cm31.6. VolumenkompressionsforholdTolerance angives.:1.7. Tegning(er) af forbrændingskammer og stempeltop:1.8. Mindste tværsnitsareal af indsugnings- og udstødningsporte: cm21.9.Tomgangshastighed: min-11.10. Maksimal nettoeffekt: kW ved min-11.11. Maksimal tilladt motorhastighed: min-11.12. Maksimalt nettodrejningsmoment: Nm ved min-11.13. Forbrændingssystem: kompressionstænding/styret tænding (2)1.14.Brændstof: Diesel/LPG/NG-H/NG-L/NG-HL/ethanol (2)1.15.Kølesystem1.15.1. Væskekøling1.15.1.1. Væskens art:1.15.1.2. Cirkulationspumpe(r) ja/nej (2)1.15.1.3. Karakteristika eller fabrikat(er) og type(r) (hvis relevant):1.15.1.4. Udvekslingsforhold af drev (hvis relevant):1.15.2. Luftkøling1.15.2.1. Blæser: ja/nej (2)1.15.2.2. Karakteristika eller fabrikat(er) og type(r) (hvis relevant):1.15.2.3. Udvekslingsforhold af drev (hvis relevant):1.16.Tilladt temperatur ifølge fabrikanten1.16.1. Væskekøling: maksimal temperatur ved fraløb: K1.16.2.Luftkøling: Referencepunkt:Maksimal temperatur ved referencepunkt: K

1.16.3. Maksimal lufttemperatur ved afgang fra ladeluftkøler (i givet fald):K1.16.4.Maksimal udstødningstemperatur i det punkt af udstødningsrøret (-rørene), der støder op de(n) yderste flange(r) af udstødningsmanifold(er) eller turbolader(e):K1.16.5.Brændstoftemperatur: min. K, maks. Kfor dieselmotorer ved indsprøjtningspumpens indgang, for gasmotorer ved trykregulatorens sluttrin1.16.6. Brændstofttryk: min. kPa, maks. kPaved trykregulatorens sluttrin, kun for NG-drevne gasmotorer1.16.7. Smøremiddeltemperatur: min. K, maks. K1.17. Tryklader: ja/nejDet ikke gældende overstreges.1.17.1. Fabrikat:1.17.2. Type:1.17.3. Beskrivelse af systemet (f.eks. maksimalt ladetryk, ladetrykventil, hvis relevant):1.17.4. Ladeluftkøling: ja/nej (1)1.18.IndsugningssystemStørste tilladte indsugningsvakuum ved mærkehastighed og 100 % belastning som angivet i Rådets direktiv 80/1269/EØF af 16. december 1980 om indbyrdes tilnærmelse af medlemsstaternes lovgivning om motordrevne køretøjers motoreffektEFT L 375 af 31.12.1980, s. 46. Senest ændret ved Kommissionens direktiv 1999/99/EF (EFT L 334 af 28.12.1999, s. 32)., og under de deri angivne driftsbetingelser:kPa1.19.UdstødningssystemStørste tilladte udstødningsmodtryk ved mærkehastighed og ved 100 % belastning som angivet i direktiv 80/1269/EØF, og ved de deri angivne driftsbetingelser:kPaUdstødningssystemets volumen: dm3

►(1) M1  

2.Forureningsbegrænsende foranstaltninger2.1. Anordning til recirkulation af krumtaphusgasser (beskrivelse og tegninger):2.2. Supplerende forureningsbegrænsende anordninger (hvis sådanne forefindes og ikke er omfattet af en anden rubrik):2.2.1. Katalysator: ja/nej (1)2.2.1.1. Mærke(r):2.2.1.2. Type(r):2.2.1.3. Antal katalysatorer og katalysatorelementer:2.2.1.4. Katalysatorens (katalysatorernes) dimensioner, form og volumen:2.2.1.5. Katalytisk virkning:2.2.1.6. Samlet mængde ædelmetaller:2.2.1.7. Relativ koncentration:2.2.1.8. Bærer (struktur og materiale):2.2.1.9. Celletæthed:2.2.1.10. Katalysatorbeholdertype:2.2.1.11. Katalysatorens (katalysatorernes) placering (sted og referenceafstand i udstødningssystemet):2.2.2. Lambda-sonde: ja/nejDet ikke gældende overstreges.2.2.2.1. Fabrikat(er):2.2.2.2. Type:2.2.2.3. Placering:2.2.3. Lufttilførsel: ja/nej (1)2.2.3.1. Type (pulserende luft, luftpumpe, og lign.):

►(1) M1  

2.2.4. Recirkulation af udstødningsgas: ja/nej (1)2.2.4.1. Karakteristika (flowhastighed osv.):2.2.5. Partikelfilter: ja/nej (1)2.2.5.1. Partikelfilterets dimensioner, form og kapacitet:2.2.5.2. Partikelfilterets type og konstruktion:2.2.5.3. Placering (referenceafstand i udstødningssystemet):2.2.5.4. Regeneringsmetode eller -system, beskrivelse og/eller tegning:2.2.6. Andre systemer: ja/nej (1)2.2.6.1. Beskrivelse og funktionsmåde:3.Brændstoftilførsel3.1.Dieselmotorer3.1.1. FødepumpeTrykTolerance angives.: kPa eller karakteristikdiagram (1):3.1.2. Indsprøjtningssystem3.1.2.1. Pumpe3.1.2.1.1. Fabrikat(er):3.1.2.1.2. Type(r):3.1.2.1.3. Brændstoftilførsel: mm3 (2) pr. takt ved en motorhastighed på o./min. ved største indsprøjtningsmængde, eller karakteristikdiagram (1) (2):Anvendt metode: på motor/i prøvebænk (1)Har motoren ladetrykregulering, angives karakteristisk brændstofmængde og ladetryk afhængigt af motorhastigheden.3.1.2.1.4. Indsprøjtningsforstilling3.1.2.1.4.1. Kurve over indsprøjtningsforstilling (2):3.1.2.1.4.2. Statisk indsprøjtningsindstilling (2):3.1.2.2. Indsprøjtningsrør3.1.2.2.1. Længde: mm3.1.2.2.2. Indvendig diameter: mm3.1.2.3. Indsprøjtningsdyse(r)

►(3) M1  

►(3) M1  

►(3) M1  

3.1.2.3.1. Fabrikat(er):3.1.2.3.2. Type(r):3.1.2.3.3.Åbningstryk: kPa (2)eller karakteristikdiagram Det ikke gældende overstreges.Tolerance angives.:3.1.2.4. Regulator3.1.2.4.1. Fabrikat(er):3.1.2.4.2. Type(r):3.1.2.4.3. Afskæringspunkt under fuld belastning: o./min.3.1.2.4.4. Største hastighed, ubelastet: o./min.3.1.2.4.5. Tomgangshastighed: o./min.3.1.3. Koldstartsystem3.1.3.1. Fabrikat(er):3.1.3.2. Type(r):3.1.3.3. Beskrivelse:3.1.3.4. Hjælpestartanordning:3.1.3.4.1. Fabrikat:3.1.3.4.2. Type:3.2. Gasdrevne motorerFor systemer med andet arrangement gives tilsvarende oplysninger (til punkt 3.2).3.2.1. Brændstof: Naturgas/LPG (1)3.2.2. Trykregulator(er) eller fordamper/trykregulator(er) (2)3.2.2.1. Fabrikat(er):3.2.2.2. Type(r):3.2.2.3. Antal trykreduktionstrin:3.2.2.4. Tryk i sluttrinnet: min kPa, maks. kPa3.2.2.5. Antal hovedindstillingspunkter:3.2.2.6. Antal tomgangsindstillingspunkter:3.2.2.7.Attesteringsnummer i henhold til direktiv 1999/96/EFEuropa-Parlamentets og Rådets direktiv 1999/96/EF af 13. december 1999 om indbyrdes tilnærmelse af medlemsstaternes lovgivninger om foranstaltninger mod emission af forurenende luftarter og partikler fra motorer med kompressionstænding til fremdrift af køretøjer og emission af forurenende luftarter fra køretøjsmotorer med styret tænding, som benytter naturgas eller autogas (LPG) som brændstof, og om ændring af Rådets direktiv 88/77/EØF (EFT L 44 af 16.2.2000, s. 1).:3.2.3. Brændstofsystem: blandeenhed/gastilførsel/væsketilførsel/direkte tilførsel (1)3.2.3.1. Regulering af blandingen:3.2.3.2. Systembeskrivelse og/eller diagram og tegninger:3.2.3.3. Attesteringsnummer i henhold til 1999/96/EF:3.2.4. Blandingsenhed3.2.4.1. Nummer:3.2.4.2. Fabrikat(er):3.2.4.3. Type(r):3.2.4.4. Placering:3.2.4.5. Indstillingsmuligheder:

3.2.4.6. Attesteringsnummer i henhold til 1999/96/EF:3.2.5. Tilførsel i indsugningsmanifold3.2.5.1. Tilførsel: single point/multipointDet ikke gældende overstreges.3.2.5.2. Tilførsel: kontinuert/tidsstyret simultan/tidsstyret sekventiel (1)3.2.5.3. Tilførselsudstyr3.2.5.3.1. Fabrikat(er):3.2.5.3.2. Type(r):3.2.5.3.3. Indstillingsmuligheder:3.2.5.3.4. Attesteringsnummer i henhold til 1999/96/EF:3.2.5.4. Fødepumpe (hvis relevant)3.2.5.4.1. Fabrikat(er):3.2.5.4.2. Type(r):3.2.5.4.3. Attesteringsnummer i henhold til 1999/96/EF:3.2.5.5. Tilførselsdyser3.2.5.5.1. Fabrikat(er):3.2.5.5.2. Type(r):3.2.5.5.3. Attesteringsnummer i henhold til 1999/96/EF:3.2.6. Direkte tilførsel3.2.6.1. Tilførselspumpe/trykregulator (1)3.2.6.1.1. Fabrikat(er):3.2.6.1.2. Type(r):3.2.6.1.3. Indstilling:3.2.6.1.4. Attesteringsnummer i henhold til 1999/96/EF:3.2.6.2. Tilførselsdyser3.2.6.2.1. Fabrikat(er):3.2.6.2.2. Type(r):3.2.6.2.3. Åbningstryk eller karakteristikdiagramTolerance angives.:3.2.6.2.4. Attesteringsnummer i henhold til 1999/96/EF:3.2.7. Elektronisk styreenhed3.2.7.1. Fabrikat(er):3.2.7.2. Type(r):3.2.7.3. Indstillingsmuligheder:3.2.8. NG-brændstofspecifikt udstyr3.2.8.1.Variant 1(kun ved godkendelse af motorer til flere nærmere bestemte brændstofsammensætninger)

3.2.8.1.1.Brændstoffets sammensætning:3.2.8.1.2. Tilførselsdyse(r)3.2.8.1.2.1. Fabrikat(er):3.2.8.1.2.2. Type(r):3.2.8.1.3. Andre (i givet fald)3.2.8.2. Variant 2(kun ved godkendelse af flere nærmere bestemte brændstofsammensætninger)4. Ventilindstilling4.1. Største ventilløft, åbnings- og lukkevinkler angivet i forhold til dødpunkterne, eller tilsvarende data:4.2. Reference- og/eller indstillingsspillerumDet ikke gældende overstreges.:5. Tændingssystem (kun motorer med gnisttænding)5.1. Tændingssystemets type: fælles tændspole og tændrør/separat tændspole og tændrør/tændspole på tændrør/andet (angives) (1)5.2. Tændingens styreenhed5.2.1. Fabrikat(er):5.2.2. Type(r):5.3. Tændingens forstillingskurve/forstillingsdiagram (1)Tolerance angives.:5.4. Tændingsindstilling (2): grader før top ved en hastighed på o./min.og et absolut indsugningsmanifoldtryk på kPa5.5. Tændrør5.5.1. Fabrikat(er):5.5.2. Type(r):5.5.3. Gnistgab: mm5.6. Tændspole(r)5.6.1. Fabrikat(er):5.6.2. Type(r):

6.Motordrevet udstyrVed indlevering til prøvning skal motoren være monteret med det hjælpeudstyr, der er nødvendigt til motorens funktion (f.eks. ventilator, vandpumpe mv.), som angivet i direktiv 80/1269/EØF, bilag I, punkt 5.1.1, og ved de deri angivne driftsbetingelser.6.1.Hjælpeudstyr, som skal være monteret ved prøvenHvis montering af motorudstyret på prøvebænk ikke er mulig eller hensigtsmæssig, skal den af udstyret optagne effekt bestemmes og trækkes fra den målte motoreffekt i hele det område, der omfattes af testcyklussen (-cyklusserne).6.2. Hjælpeudstyr, som skal være afmonteret ved prøvenHjælpeudstyr, som udelukkende er nødvendigt til køretøjets funktion (således luftkompressor, airconditionanlæg mv.) skal afmonteres ved prøven. Er afmontering af hjælpeudstyret ikke mulig, skal den af udstyret optagne effekt bestemmes og lægges til den målte motoreffekt i hele det område, der omfattes af testcyklussen (-cyklusserne).7. Supplerende oplysninger om prøvningsbetingelserne7.1. Anvendt smøremiddel7.1.1. Fabrikat:7.1.2. Type:(Angiv olieprocent i blandingen, hvis brændstoffet iblandes smøremidlet):7.2. Eventuelt motordrevet udstyrDen af hjælpeudstyret optagne effekt behøver kun bestemmes:hvis hjælpeudstyr, som er nødvendigt for motorens funktion, ikke er monteret på motoren, og/ellerhvis der på motoren er monteret hjælpeudstyr, som ikke er nødvendigt for motorens funktion.7.2.1. Liste og angivelse af detaljer til identifikation:7.2.2. Optagen effekt ved forskellige angivne motorhastigheder:

8. Motorydelse8.1. MotorhastighederAngiv tolerance, som skal være inden for ± 3 % af de af fabrikanten angivne værdier.Lav motorhastighed (nlo): o./min.Høj motorhastighed (nhi): o./min.ved ESC- og ELR-testcyklusserTomgang: o./min.Hastighed A: o./min.Hastighed B: o./min.Hastighed C: o./min.ved ETC-testcyklusReferencehastighed: o./min.8.2.Motoreffekt (målt efter bestemmelserne i direktiv 80/1269/EØF) i kW

8.3. Dynamometerindstilling (kW)Indstillingen af dynamometeret til ESC- og ELR-test og til referencecyklussen i ETC-testen skal baseres på nettoeffekten P(n) omhandlet i punkt 8.2. Det anbefales, at motoren monteres i prøvestanden i nettotilstand. I så fald er P(m) og P(n) identiske. Hvis det er umuligt eller uhensigtsmæssigt at køre motoren ved nettobetingelser, skal dynamometerindstillingen korrigeres til nettotilstand ved hjælp af ovennævnte formel.8.3.1. ESC- og ELR-testDynamometerindstillingen beregnes efter formlen i bilag III, tillæg 1, punkt 1.2.8.3.2. ETC-testFinder afprøvning af motoren ikke sted under nettobetingelser, skal korrektionsformel til omregning af den effekt eller det arbejde under prøvningscyklussen, som er målt i henhold til bilag III, tillæg 2, punkt 2, til nettoeffekt eller nettoarbejde under cyklussen, forelægges af motorfabrikanten for hele arbejdsområdet i cyklussen, og skal være godkendt af den tekniske tjeneste.

►(2) M1  

►(2) M1  




Tillæg 2

HOVEDSPECIFIKATIONER FOR MOTORFAMILIEN

1. Fælles parametre1.1. Funktionsprincip:1.2. Kølemiddel:1.3.CylinderantalHvis et punkt ikke er relevant, angives dette med i.r..:1.4. De enkelte cylindres slagvolumen:1.5. Luftindtagstype:1.6. Forbrændingskammerets type/konstruktion:1.7. Ventiler og porte - arrangement, størrelse og antal:1.8. Brændstofsystem:1.9. Tændingssystem (gasmotorer):1.10.Forskelligt udstyr:ladeluftkølesystemHvis et punkt ikke er relevant, angives dette med i.r..:udstødningsrecirkulationHvis et punkt ikke er relevant, angives dette med i.r..:vandinjektion/-emulsionHvis et punkt ikke er relevant, angives dette med i.r..:luftindblæsningHvis et punkt ikke er relevant, angives dette med i.r..:1.11.Efterbehandling af udstødningsgassenHvis et punkt ikke er relevant, angives dette med i.r..:Bevis på identisk (eller, for stammotoren, laveste) systemkapacitet pr. afgiven brændstofmængde pr. takt i henhold til nummer (numre) i diagram:2. Fortegnelse over motorfamilien2.1. Dieselmotorfamiliens betegnelse:2.1.1. Specifikation af motorerne i denne familie:

►(1) M1  

2.2. Gasmotorfamiliens betegnelse:2.2.1. Specifikation af motorerne i denne familie:




Tillæg 3

HOVEDSPECIFIKATIONER FOR MOTORTYPEN I DEN PÅGÆLDENDE FAMILIEOplysningerne skal gives for hver motor i familien.1.Beskrivelse af motoren1.1. Fabrikant:1.2. Fabrikantens motorkode:1.3. Funktionsprincip: firtakts/totaktsDet ikke gældende overstreges.1.4. Cylinderantal, cylinderarrangement:1.4.1. Boring: mm1.4.2. Slaglængde: mm1.4.3. Tændingsrækkefølge:1.5. Motorens slagvolumen: cm31.6. VolumenkompressionsforholdTolerance angives.1.7. Tegning(er) af forbrændingskammer og stempeltop:1.8. Mindste tværsnitsareal af indsugnings- og udstødningsporte: cm21.9. Tomgangshastighed: min-11.10. Maksimal nettoeffekt: kW ved min-11.11. Maksimal tilladt motorhastighed: min-11.12. Maksimalt nettodrejningsmoment: Nm ved min-11.13.Forbrændingssystem: kompressionstænding/styret tændingDet ikke gældende overstreges.1.14.Brændstof: Diesel/LPG/NG-H/NG-L/NG-HL/ethanolDet ikke gældende overstreges.1.15.Kølesystem1.15.1. Væskekøling1.15.1.1. Væskens art:1.15.1.2.Cirkulationspumpe(r) ja/nejDet ikke gældende overstreges.1.15.1.3. Karakteristika eller fabrikat(er) og type(r) (hvis relevant):1.15.1.4. Udvekslingsforhold af drev (hvis relevant):1.15.2. Luftkøling1.15.2.1. Blæser: ja/nejDet ikke gældende overstreges.1.15.2.2. Karakteristika eller fabrikat(er) og type(r) (hvis relevant):1.15.2.3. Udvekslingsforhold af drev (hvis relevant):1.16.Tilladt temperatur ifølge fabrikanten1.16.1. Væskekøling: maksimal temperatur ved fraløb: K1.16.2. Luftkøling: Referencepunkt:

Maksimal temperatur ved referencepunkt: K1.16.3. Maksimal lufttemperatur ved afgang fra ladeluftkøler (hvis relevant): K1.16.4. Maksimal temperatur af udstødningen ved det punkt af udstødningsrøret, som støder op til de(n) yderste flange(r) af udstødningsmanifold(er) eller turbolader(e): K1.16.5.Brændstoftemperatur: min. K, maks. Kfor dieselmotorer ved indsprøjtningspumpens indgang, for NG-drevne gasmotorer ved trykregulatorens sluttrin1.16.6.Brændstoftryk: min. kPa, maks. kPaved trykregulatorens sluttrin, kun NG-drevne gasmotorer1.16.7. Smøremiddeltemperatur: min. K, maks. K1.17.Tryklader: ja/nejDet ikke gældende overstreges.1.17.1. Fabrikat:1.17.2. Type:1.17.3. Beskrivelse af systemet (f.eks. maksimalt ladetryk, ladetrykventil, hvis relevant):1.17.4. Ladeluftkøling: ja/nejDet ikke gældende overstreges.1.18.IndsugningssystemStørste tilladte indsugningsundertryk ved motorens mærkehastighed og ved 100 % belastning som angivet i direktiv 80/1269/EØF, og ved de deri angivne driftsbetingelser:kPa1.19.UdstødningssystemStørste tilladte udstødningsmodtryk ved motorens mærkehastighed og ved 100 % belastning som angivet i direktiv 80/1269/EØF, og ved de deri angivne driftsbetingelser:kPaUdstødningssystemets volumen: cm3

►(1) M1  

2.Forureningsbegrænsende foranstaltninger2.1. Anordning til recirkulation af krumtaphusgasser (beskrivelse og tegninger):2.2. Supplerende forureningsbegrænsende anordninger (hvis sådanne forefindes og ikke er omfattet af en anden rubrik):2.2.1. Katalysator: ja/nejDet ikke gældende overstreges.2.2.1.1. Fabrikat(er):2.2.1.2. Type(r):2.2.1.3. Antal katalysatorer og katalysatorelementer:2.2.1.4. Katalysatorens (katalysatorernes) dimensioner, form og volumen:2.2.1.5. Katalytisk virkning:2.2.1.6. Samlet mængde ædelmetaller:2.2.1.7. Relativ koncentration:2.2.1.8. Bærer (struktur og materiale):2.2.1.9. Celletæthed:2.2.1.10 Katalysatorbeholdertype(r):2.2.1.11. Katalysatorens (katalysatorernes) placering (sted og referenceafstand i udstødningssystemet):2.2.2.Lambda-sonde: ja/nejDet ikke gældende overstreges.2.2.2.1. Fabrikat(er):2.2.2.2. Type(r):2.2.2.3. Placering:2.2.3. Lufttilførsel: ja/nejDet ikke gældende overstreges.2.2.3.1. Type (pulserende luft, luftpumpe mv.):

►(1) M1  

2.2.4. Recirkulation af udstødningsgas: ja/ nejDet ikke gældende overstreges.2.2.4.1. Karakteristika (flowhastighed osv.):2.2.5. Partikelfilter: ja/nejDet ikke gældende overstreges.2.2.5.1. Partikelfilterets dimensioner, form og kapacitet:2.2.5.2. Partikelfilterets type og konstruktion:2.2.5.3. Placering (referenceafstand i udstødningssystemet):2.2.5.4. Regeneringsmetode eller -system, beskrivelse og/eller tegning:2.2.6. Andre systemer: ja/nejDet ikke gældende overstreges.2.2.6.1. Beskrivelse og funktionsmåde:3.Brændstoftilførsel3.1.Dieselmotorer3.1.1. FødepumpeTrykTolerance angives. kPa eller karakteristikdiagramDet ikke gældende overstreges.:3.1.2. Indsprøjtningssystem3.1.2.1. Pumpe3.1.2.1.1. Fabrikat(er):3.1.2.1.2. Type(r):3.1.2.1.3.Brændstoftilførsel: mm3Tolerance angives. pr. takt ved en motorhastighed på .o./min. ved største indsprøjtningsmængde, eller karakteristikdiagramDet ikke gældende overstreges.Tolerance angives.:Anvendt metode: på motor/i prøvebænkDet ikke gældende overstreges.Har motoren ladetrykregulering, angives karakteristisk brændstofmængde og ladetryk afhængigt af motorhastigheden.3.1.2.1.4. Indsprøjtningsforstilling3.1.2.1.4.1. Kurve over indsprøjtningsforstillingTolerance angives.:3.1.2.1.4.2. Statisk indsprøjtningsindstillingTolerance angives.:3.1.2.2. Indsprøjtningsrør3.1.2.2.1. Længde: mm3.1.2.2.2.Indvendig diameter: mm3.1.2.3. Indsprøjtningsdyse(r)3.1.2.3.1. Fabrikat(er):3.1.2.3.2. Type(r):3.1.2.3.3.Åbningstryk kPATolerance angives. eller karakteristikdiagramDet ikke gældende overstreges.Tolerance angives.:

►(3) M1  

►(3) M1  

►(3) M1  

3.1.2.4. Regulator3.1.2.4.1. Fabrikat(er):3.1.2.4.2. Type(r):3.1.2.4.3. Afskæringspunkt under fuld belastning: o./min.3.1.2.4.4. Største hastighed, ubelastet: o./min.3.1.2.4.5. Tomgangshastighed: o./min.3.1.3. Koldstartsystem3.1.3.1. Fabrikat(er):3.1.3.2. Type(r):3.1.3.3. Beskrivelse:3.1.3.4. Hjælpestartanordning:3.1.3.4.1. Fabrikat:3.1.3.4.2. Type:3.2.Gasdrevne motorerFor systemer med andet arrangement gives tilsvarende oplysninger (til punkt 3.2).3.2.1. Brændstof: naturgas/LPGDet ikke gældende overstreges.3.2.2. Trykregulator(er) eller fordamper/trykregulator(er)Tolerance angives.3.2.2.1. Fabrikat(er):3.2.2.2. Type(r):3.2.2.3. Antal trykreduktionstrin:3.2.2.4. Tryk i sluttrinnet: min.: kPa, maks. kPa3.2.2.5. Antal hoveddindstillingspunkter:3.2.2.6. Antal tomgangsindstillingspunkter:3.2.2.7. Attesteringsnummer i henhold til direktiv 1999/96/EF:3.2.3. Brændstofsystem: blandeenhed/gastilførsel/væsketilførsel/direkte tilførselDet ikke gældende overstreges.3.2.3.1. Blandingsregulering:3.2.3.2. Systembeskrivelser og/eller diagram og tegninger:3.2.3.3. Attesteringsnummer i henhold til direktiv 1999/96/EF:3.2.4. Blandeenhed3.2.4.1. Nummer:3.2.4.2. Fabrikat(er):3.2.4.3. Type(r):3.2.4.4. Placering:3.2.4.5. Indstillingsmuligheder:3.2.4.6. Attesteringsnummer i henhold til direktiv 1999/96/EF:3.2.5. Tilførsel til indsugningsmanifold3.2.5.1. Tilførsel: single point/multipointDet ikke gældende overstreges.3.2.5.2. Tilførsel: kontinuert/tidsstyret simultan/tidsstyret sekventielDet ikke gældende overstreges.3.2.5.3. Tilførselsudstyr

3.2.5.3.1. Fabrikat(er):3.2.5.3.2. Type(r):3.2.5.3.3. Indstillingsmuligheder:3.2.5.3.4. Attesteringsnummer i henhold til direktiv 1999/96/EF:3.2.5.4. Fødepumpe (hvis relevant):3.2.5.4.1. Fabrikat(er):3.2.5.4.2. Type(r):3.2.5.4.3. Attesteringsnummer i henhold til direktiv 1999/96/EF:3.2.5.5. Tilførselsdyser:3.2.5.5.1. Fabrikat(er):3.2.5.5.2. Type(r):3.2.5.5.3. Attesteringsnummer i henhold til direktiv 1999/96/EF:3.2.6. Direkte tilførsel3.2.6.1. Tilførselspumpe/trykregulatorDet ikke gældende overstreges.3.2.6.1.1. Fabrikat(er):3.2.6.1.2. Type(r):3.2.6.1.3. Indstilling af tilførselstidspunkt:3.2.6.1.4. Attesteringsnummer i henhold til direktiv 1999/96/EF:3.2.6.2. Tilførselsdyser:3.2.6.2.1. Fabrikat(er):3.2.6.2.2. Type(r):3.2.6.2.3. Åbningstryk eller karakteristikdiagramTolerance angives.:3.2.6.2.4. Attesteringsnummer i henhold til direktiv 1999/96/EF:3.2.7. Elektronisk styreenhed3.2.7.1. Fabrikat(er):3.2.7.2. Type(r):3.2.7.3. Indstillingsmuligheder:3.2.8. NG-brændstofspecifikt udstyr3.2.8.1. Variant 1(kun ved godkendelse af motorer til flere nærmere bestemte brændstofsammensætninger)3.2.8.1.1. Brændstoffets sammensætning:

3.2.8.1.2. Tilførselsdyse(r)3.2.8.1.2.1. Fabrikat(er):3.2.8.1.2.2. Type(r):3.2.8.1.3. Andet (i givet fald)3.2.8.2. Variant 2(kun ved godkendelse af flere nærmere bestemte brændstofsammensætninger)4.Ventilindstilling4.1. Største ventilløft, åbnings- og lukkevinkler angivet i forhold til dødpunkterne, eller tilsvarende data:4.2. Reference- og/eller indstillingsspillerumDet ikke gældende overstreges.:5.Tændingssystem (kun motorer med gnisttænding)5.1.Tændingssystemets type: fælles tændspole og tændrør/separat tændspole og tændrør/tændspole på tændrør/andet (angives)Det ikke gældende overstreges.5.2.Tændingens styreenhed5.2.1. Fabrikat(er):5.2.2. Type(r):5.3. Tændingens forstillingskurve/forstillingsdiagramDet ikke gældende overstreges.Tolerance angives.:5.4. Tændingsindstilling grader før top ved en hastighed på o./min.og et absolut indsugningsmanifoldtryk på kPa5.5.Tændrør5.5.1. Fabrikat(er):5.5.2. Type(r):5.5.3. Gnistgab: mm5.6.Tændspole(r)5.6.1. Fabrikat(er):5.6.2. Type(r):

►(1) M1  




Tillæg 4

SPECIFIKATIONER FOR MOTORRELATEREDE KØRETØJSDELE

1.Vakuum i indsugningssystem ved motorens mærkehastighed og 100 % belastning: kPa2.Udstødningsmodtryk ved motorens mærkehastighed og 100 % belastning: kPa3.Udstødningssystemets volumen: cm34.Effekt optaget af det motorudstyr, som er nødvendigt for motorens funktion, således som dette er angivet i direktiv 80/1269/EØF, bilag I, punkt 5.1.1, og under de deri angivne driftsomstændigheder.

▼M1




Tillæg 5

OPLYSNINGER VEDRØRENDE EGENDIAGNOSE

1.

I overensstemmelse med bestemmelserne i punkt 5 i bilag IV til direktiv 2005/78/EF skal køretøjsfabrikanten give følgende supplerende oplysninger med henblik på at give mulighed for produktion af egendiagnosekompatible udskiftnings- eller servicekomponenter samt diagnoseværktøj og prøvningsudstyr, medmindre sådanne oplysninger er omfattet af intellektuel ophavsret eller særlig knowhow, som tilhører køretøjsfabrikanten eller leverandøren (leverandørerne) til producenten af det originale fabriksudstyr.

Oplysningerne i dette afsnit skal i givet fald gentages i tillæg 2 til EF-typegodkendelsesattesten (bilag VI til dette direktiv):

1.1.

Beskrivelse af art og antal forbehandlingscyklusser, som er anvendt ved den oprindelige typegodkendelse af køretøjet.

1.2.

Beskrivelse af arten af den egendiagnosecyklus, som er anvendt ved den oprindelige typegodkendelse af køretøjet til den komponent, som overvåges af egendiagnosesystemet.

1.3.

Et fuldstændigt dokument, hvor alle overvågede komponenter er beskrevet med strategi for fejldetektion og aktivering af fejlkontrollampe (fast antal kørecyklusser eller statistisk metode) med en liste over de relevante sekundære overvågede parametre for hver komponent, som overvåges af egendiagnosesystemet. Fortegnelse over alle de anvendte egendiagnosekoder og -formater (med forklaring af hver enkelt), som er knyttet til de enkelte emissionsrelaterede komponenter i drivaggregatet og til de enkelte ikke emissionsrelaterede komponenter, når overvågning af komponenten er bestemmende for aktivering af fejlindikatoren (MI).

1.3.1.

De oplysninger, som foreskrives under dette punkt, kan f.eks. afgives ved, at udfylde en tabel svarende til den nedenstående og vedhæfte denne til bilaget:



Komponent

Fejlkode

Overvågningsstrategi

Kriterier for fejldetektering

Kriterier for aktivering af fejlindikatoren

Sekundære parametre

Forbehandling

Demonstrationsprøve

SCR-katalysator

Pxxxx

NOx-sensor 1 og 2 signaler

Difference mellem signaler fra sensor 1 og 2

3. cyklus

Motor-hastighed, motorbelastning, katalysatortemperatur, reagensaktivitet

Tre OBD-prøvecyklusser (3 korte ESC-cyklusser)

OBD-prøvecyklus (kort ESC-cyklus)

1.3.2.

De oplysninger, som kræves i henhold til dette tillæg, kan begrænses til den komplette fortegnelse over fejlkoder, som er registreret af OBD-systemet i de tilfælde, hvor punkt 5.1.2.1 i bilag IV til direktiv 2005/78/EF ikke finder anvendelse (f.eks. for så vidt angår udskiftnings- eller servicekomponenter). Disse oplysninger kan f.eks. bestemmes ved at udfylde de to første kolonner i tabellen i ovenstående punkt 1.3.1.

Den samlede informationspakke bør stilles til rådighed for den typegodkendende myndighed som led i det yderligere materiale, der omtales i punkt 6.1.7.1 i bilag I til dette direktiv (»Dokumentationskrav«).

1.3.3.

De i dette punkt krævede oplysninger skal gentages i tillæg 2 til EF-typegodkendelsesattesten (bilag VI til dette direktiv).

Såfremt punkt 5.1.2.1 i bilag IV til direktiv 2005/78/EF ikke finder anvendelse, fordi der er tale om udskiftnings- eller servicekomponenter, kan oplysningerne i tillæg 2 til EF-typegodkendelsesattesten (bilag VI til dette direktiv) begrænses til de i punkt 1.3.2 nævnte.

▼B




BILAG III

PRØVNINGSFORSKRIFTER

1.   INDLEDNING

1.1.

I dette bilag beskrives metoderne til bestemmelse af emissionen af forurenende luftarter, partikler og røg fra de afprøvede motorer. Der beskrives tre testcyklusser, som finder anvendelse i henhold til bestemmelserne i bilag I, punkt 6.2:

 ESC-testcyklussen, der består af 13 stationære testforløb med konstant hastighed

 ELR-testcyklussen, der består af en række ikke-stationære belastningstrin ved forskellige omdrejningstal, som indgår som del af én testprocedure og gennemføres sideløbende

 ETC-testcyklussen, som består af en række ikke-stationære forløb, der sekund for sekund går over i hinanden.

1.2.

Ved prøvningen skal motoren være anbragt i prøvebænk, der er tilsluttet et dynamometer.

1.3.

Måleprincip

I motorens udstødning måles indholdet af gasformige komponenter (carbonmonoxid, total mængde carbonhydrider kun for dieselmotorer (kun ved ESC-test), andre carbonhydrider end methan for diesel- og gasmotorer (kun i ETC-test), methan for gasmotorer (kun i ETC-test), samt nitrogenoxider), partikler (kun dieselmotorer) og røg (kun dieselmotorer ved ELR-test). Desuden anvendes carbondioxid ofte som sporgas til bestemmelse af fortyndingsforholdet i delstrøms- og fuldstrømsfortyndingssystemer. God teknisk skik tilsiger rutinemæssig brug af carbondioxid-bestemmelse som et udmærket redskab til at opdage måleproblemer under prøvningen.

▼M1

1.3.1.   ESC-test

Under en foreskreven sekvens af driftsbetingelser med varm motor skal mængderne af ovennævnte emissioner fra udstødningen måles kontinuerligt ved udtagning af en prøve af den ufortyndede eller fortyndede udstødningsgas. Prøvningscyklussen består af en række arbejdsmåder med forskellig hastighed og effekt, som dækker dieselmotorers typiske arbejdsområde. I hver af disse arbejdsmåder bestemmes koncentrationen af hver forurenende gas, udstødningsstrømmen og den afgivne effekt, og de målte værdier vægtes. Ved partikelbestemmelse fortyndes udstødningsgassen med konditioneret omgivende luft ved anvendelse af enten et delstrømsfortyndingssystem eller et fuldstrømsfortyndingssystem. Partiklerne indsamles på et enkelt passende filter i forhold til vægtningsfaktorerne for hver arbejdsmåde. For hvert forurenede stof beregnes den emitterede mængde i gram pr. kilowatt-time som beskrevet i tillæg 1 til dette bilag. Desuden skal der måles NOx i tre prøvningspunkter inden for det kontrolområde, der vælges af den tekniske tjeneste, og de målte værdier skal sammenholdes med værdierne beregnet for de arbejdsmåder i prøvningscyklussen, der omfatter de valgte prøvningspunkter. NOx-kontrolmålingerne sikrer, at motorens emissionsbegrænsning er effektiv inden for motorens typiske arbejdsområde.

▼B

1.3.2.   ELR-test

Ved en påbudt belastningsresponsprøve bestemmes røgtætheden af den varme motor med opacimeter. Prøven består i, at motoren ved konstant hastighed udsættes for en belastning fra 10 % til 100 % ved tre forskellige motorhastigheder. Derudover gennemløbes et fjerde belastningstrin, valgt af den tekniske tjeneste ( 50 ), og den heri målte værdi sammenholdes med værdierne fra de foregående belastningstrin. Værdien svarende til spidsen af røgtæthedskurven beregnes ved hjælp af en algoritme til gennemsnitsberegning som beskrevet i tillæg 1 til dette bilag.

▼M1

1.3.3.   ETC-test

Under en foreskreven cyklus med varm motor og glidende overgang mellem driftsomstændigheder, som nøje bygger på vejtypespecifikke køremønstre for kraftige motorer i lastbiler og busser, måles tallene for ovennævnte forurenende stoffer efter fortynding af den samlede udstødningsgas med konditioneret omgivende luft (CVS-system med dobbelt fortynding for partikler) eller ved at bestemme gaskomponenterne i den ufortyndede udstødningsgas og partiklerne ved hjælp af et delstrømsfortyndingssystem. Ved hjælp af værdierne for motordrejningsmoment og -omdrejningstal registreret af dynamometeret integreres effekten med hensyn til tiden for prøvningscyklussen. Resultatet er det arbejde, motoren har udført gennem prøvningscyklussen. For et CVS-system bestemmes koncentrationen af NOx og HC gennem cyklussen ved integration af signalet fra analysatoren, mens koncentrationen af CO, CO2 og NMHC kan bestemmes ved integration af signalet fra analysatoren eller ved indsamling i prøvesæk. Hvis de måles i den ufortyndede udstødningsgas, bestemmes alle gaskomponenter gennem cyklussen ved integration af signalet fra analysatoren. For partikler indsamles en proportional prøve på et passende filter. Strømningshastigheden af den ufortyndede eller fortyndede udstødningsgas bestemmes gennem cyklussen med henblik på beregning af masseemissionen af hvert forurenende stof. Sammen med det af motoren udførte arbejde benyttes masseemissionen af hvert forurenende stof til beregning af den emitterede mængde i gram pr. kilowatt-time som beskrevet i tillæg 2 til dette bilag.

▼B

2.   PRØVNINGSBETINGELSER

▼M1

2.1.   Prøvningsbetingelser for motoren

2.1.1.

Den absolutte temperatur (T a) af motorens indsugningsluft måles ved motorens luftindtag i Kelvin, det tørre atmosfæretryk (p s) måles i kPa, og parameteren f a bestemmes efter følgende anvisninger: På flercylindrede motorer med flere separate grupper af indsugningsmanifolder, f.eks. V-motorer, måles gennemsnitstemperaturen for de separate grupper.

a) for motorer med kompressionstænding:

Motorer med naturlig indsugning og mekanisk trykladning:

FOR-CL2005L0055DA0020010.0001.0022.xml.jpg

For trykladede motorer med eller uden køling af motorens indgangsluft:

FOR-CL2005L0055DA0020010.0001.0023.xml.jpg

b) for motorer med gnisttænding:

FOR-CL2005L0055DA0020010.0001.0024.xml.jpg

2.1.2.

Prøvningens gyldighed

For at prøvningen kan anses for gyldig, skal det for parameteren fa gælde:

0,96 ≤ f a ≤ 1,06

▼B

2.2.   Motorer med ladeluftkøling

Ladelufttemperaturen registreres og må ved motorhastigheden svarende til motorens mærkeeffekt og fuld belastning højst afvige ± 5 K fra den maksimale ladelufttemperatur angivet i bilag II, tillæg 1, punkt 1.16.3. Kølemidlets temperatur skal være mindst 293 K (20 °C).

Anvendes testsystem eller udvendig blæser, må ladelufttemperaturen ved motorhastigheden svarende til motorens mærkeeffekt og fuld belastning højst afvige ± 5 K fra den maksimale ladelufttemperatur angivet i bilag II, tillæg 1, punkt 1.16.3. Den indstilling af ladeluftkøleren, som anvendes for at opfylde ovennævnte betingelser kontrolleres ikke og skal anvendes gennem hele testcyklussen.

2.3.   Motorens luftindtag

Det anvendte luftindtag skal have en indsnævring, der højst afviger ± 100 Pa fra motorens øvre grænse ved den hastighed, som svarer til den angivne maksimaleffekt og fuld belastning.

2.4.   Motorens udstødningssystem

Det anvendte udstødningssystem skal have et udstødningsmodtryk, som højst afviger ± 1 000 Pa fra motorens øvre grænse ved den hastighed, som svarer til den angivne maksimaleffekt og fuld belastning, og et volumen, som højst afgiver ± 40 % fra det af fabrikanten angivne. Der kan anvendes et testsystem, forudsat at dette svarer til motorens faktiske driftsbetingelser. Udstødningssystemet skal opfylde kravene til udtagning af prøver af udstødningsgas som angivet i bilag III, tillæg 4, punkt 3.4, og i bilag V, punkt 2.2.1, EP, samt punkt 2.3.1, EP.

Har motoren anordning til efterbehandling af udstødningsgassen, skal udstødningsrøret have samme diameter som det, der anvendes mindst fire rørdiametre oven for indgangen til den udvidelse, som indeholder efterbehandlingsenheden. Afstanden fra udstødningsmanifoldflange eller turboladerudgang til efterbehandlingsenheden skal være den samme som i den udformning, som er opstillet af fabrikanten eller inden for de afstandsspecifikationer, han har angivet. Udstødningens modtryk eller indsnævring skal overholde samme kriterier som ovenfor angivet og kan være indstillet ved hjælp af en ventil. Efterbehandlingsenheden kan være afmonteret under forprøver og under registrering af motorens data og kan erstattes med en tilsvarende beholder med inaktiv katalysatorbærer.

2.5.   Kølesystem

Kølesystemets kapacitet skal være tilstrækkelig til at holde motorens driftstemperatur på den af fabrikanten angivne normalværdi.

2.6.   Smøreolie

Specifikationer for den ved prøvningen anvendte smøreolie skal registreres og angives sammen med prøvningsresultaterne som angivet i bilag II, tillæg 1, punkt 7.1.

2.7.   Brændstof

Der skal anvendes det i bilag IV specificerede referencebrændstof.

Brændstoftemperatur og målepunkt skal af fabrikanten angives inden for grænserne i bilag II, tillæg 1, punkt 1.16.5. Brændstoftemperaturen må ikke være under 306 K (33 °C). Holder brændstoffet ikke den angivne temperatur, skal temperaturen være 311 K ± 5 K (38 °C ± 5 °C) ved brændstoftilførslens indgang.

For NG- og LPG-drevne motorer skal brændstoftemperatur og målepunkt ligge inden for grænserne i bilag II, tillæg 1, punkt 1.16.5, eller i bilag II, tillæg 3, punkt 1.16.5, når motoren ikke er en stammotor.

▼M1

2.8

Er motoren forsynet med et system til efterbehandling af udstødningen, skal de under prøvningscyklussen målte emissioner være repræsentative for emissionerne i marken. Er motoren forsynet med et system til efterbehandling af udstødningen, der forbruger et reagens, skal det reagens, der anvendes til prøvningerne være i overensstemmelse med punkt 2.2.1.13 i tillæg 1 til bilag II.

2.8.1.

Er der tale om system til efterbehandling, der er baseret på en kontinuerlig regenereringsproces, måles emissionerne på et stabiliseret efterbehandlingssystem.

Regenereringsprocessen skal finde sted mindst én gang under ETC-testen, og fabrikanten skal angive de normale betingelser, under hvilke regenerering finder sted (sodbelastning, temperatur, modtryk i udstødningssystemet, osv.).

For at kontrollere regenereringsprocessen skal der mindst gennemføres 5 ETC-test. Under disse test registreres udstødningstemperatur og –tryk (temperatur før og efter efterbehandlingssystemet, modtryk i udstødningssystemet, osv.).

Efterbehandlingssystemet anses for at være tilfredsstillende, hvis de betingelser, der er angivet af fabrikanten, forekommer under prøvningen i et tilstrækkeligt tidsrum.

Det endelige prøvningsresultat er den aritmetiske middelværdi af resultaterne af de forskellige ETC-test.

Hvis efterbehandlingen af udstødningen har en sikkerhedsarbejdsmåde, der skifter til en periodisk regenereringsarbejdsmåde, bør den kontrolleres i overensstemmelse med punkt 2.8.2. I dette særlige tilfælde vil emissionsgrænserne i tabel 2 i bilag I kunne overskrides og ville i så fald ikke blive vægtet.

2.8.2.

Er der tale om en efterbehandling af udstødningen baseret på en periodisk regenereringsproces, måles emissionerne i mindst to ETC-test – den ene under regenerering og den anden før eller efter regenerering – på et stabiliseret efterbehandlingssystem, og resultaterne vægtes.

Regenereringsprocessen skal finde sted mindst én gang under ETC-testen. Motoren kan være udstyret med en omskifter, der kan forhindre eller tillade regenereringsprocessen, forudsat at denne operation ikke har indflydelse på den oprindelige kalibrering af motoren.

Fabrikanten skal angive de normale parameterbetingelser, under hvilke regenereringsprocessen finder sted (sodbelastning, temperatur, modtryk i udstødningssystemet) og dennes varighed (n2). Fabrikanten skal også angive alle data til bestemmelse af tidsrummet mellem to regenereringer (n1). Den nøjagtige procedure til bestemmelse af dette tidsrum aftales med den tekniske tjeneste på grundlag af et velbegrundet teknisk skøn.

Fabrikanten leverer et efterbehandlingssystem, der er blevet ladet for at opnå regenerering under en ETC-test. Regenerering må ikke finde sted i motorens konditioneringsfase.

Middelværdier for emissioner mellem regenereringsfaserne bestemmes ud fra den aritmetiske middelværdi af flere ETC-test foretaget med omtrent ens intervaller. Det anbefales at foretage mindst én ETC så kort tid som muligt før en regenereringsprøvning og én ETC umiddelbart efter en regenereringsprøvning. Alternativt kan fabrikanten levere data, der påviser, at emissionerne forbliver konstante (± 15 %) mellem regenereringsfaserne. I dette tilfælde kan emissionerne fra en enkelt ETC-test anvendes.

Under regenereringsprøvningen registreres alle de data, der er nødvendige for at detektere regeneration (CO- eller NOx-emissioner, temperatur før og efter efterbehandlingssystemet, modtrykket i udstødningssystemet osv.).

Under regenereringsprocessen kan emissionsgrænserne i tabel 2 i bilag I overskrides.

De målte emissioner vægtes i overensstemmelse med punkt 5.5 og 6.3 i tillæg 2 til dette bilag, og det endelige resultat må ikke overskride grænserne i tabel 2 i bilag I.

▼B




Tillæg 1

ESC- OG ELR-TESTCYKLUSSER

1.   INDSTILLING AF MOTOR OG DYNAMOMETER

1.1.   Bestemmelse af motorhastighed A, B og C

Motorhastighed A, B og C angives af fabrikanten i henhold til følgende forskrifter:

Den høje hastighed nhi bestemmes ved beregning af 70 % mærkenettoeffekten P(n), således som bestemt i bilag II, tillæg 1, punkt 8.2. Det højeste motoromdrejningstal på effektkurven, hvor denne effekt indtræder, defineres som nhi.

Det lave motoromdrejningstal nlo bestemmes ved beregning af 50 % mærkenettoeffekten P(n), således som bestemt i bilag II, tillæg 1, punkt 8.2. Det laveste motoromdrejningstal på effektkurven, hvor denne effekt indtræder, defineres som nlo.

Motorhastighed A, B og C bestemmes på følgende måde:

image

image

image

Motorhastighed A, B og C kan bestemmes på en af følgende måder:

a) Med henblik på nøjagtig bestemmelse af nhi og nlo måles på ekstra testpunkter i forbindelse med godkendelse af motoreffekten efter direktiv 80/1269/EØF. Den maksimale effekt, nhi og nlo bestemmes af effektkurven, og motorhastighed A, B og C beregnes efter ovenstående forskrifter.

b) Motoren kortlægges langs hele belastningskurven fra den maksimale ubelastede motorhastighed til tomgangshastighed, idet der anvendes mindst 5 målepunkter pr. 1 000 motoromdrejninger på skalaen og målepunkter som højst afviger ± 50 o./min. fra omdrejningstallet svarende til den angivne maksimaleffekt. Af den således registrerede kurve bestemmes maksimaleffekten, nhi og nlo, og motorhastighed A, B og C beregnes efter ovenstående forskrifter.

Hvis den målte motorhastighed A, B og C ikke afviger mere end ± 3 % fra den af fabrikanten angivne motorhastighed, anvendes den af fabrikanten angivne motorhastighed til emissionsprøvningen. Hvis nogen motorhastighed overskrider tolerancen, anvendes den målte motorhastighed til emissionsprøvningen.

1.2.   Bestemmelse af dynamometerets indstilling

Momentkurven ved fuld motorbelastning bestemmes eksperimentelt ved forsøg, hvor man beregner drejningsmomentværdierne ved de foreskrevne prøvningssekvenser under nettobetingelser som foreskrevet i bilag II, tillæg 1, punkt 8.2. I givet fald tages hensyn til den af det motordrevne udstyr optagne effekt. Dynamometerindstillingen beregnes for hver testforløb ved hjælp af formlen:

image

når afprøvning finder sted under nettobetingelser

image

når afprøvning ikke finder sted under nettobetingelser

hvor:

s

=

dynamometerindstilling, kW

P(n)

=

motorens nettoeeffekt som angivet i bilag II, tillæg 1, punkt 7.2, kW

L

=

belastningsprocent som angivet i punkt 2.7.1,%

P(a)

=

effekt optaget af det hjælpeudstyr, der skal monteres, som angivet i bilag II, tillæg 1, punkt 6.1

P(b)

=

effekt optaget af hjælpeudstyr, som skal afmonteres, som angivet i bilag II, tillæg 1, punkt 6.2.

2.   ESC-TEST

På fabrikantens begæring kan der gennemføres en foreløbig testcyklus for at konditionere motoren og udstødningssystemet før målecyklussen.

▼M1

2.1.   Klargøring af prøvetagningsfilter

Mindst én time før prøvningen skal hvert filter anbringes i en delvist overdækket petriskål, som er beskyttet mod støvkontaminering, og som stilles til stabilisering i et vejerum. Efter forløbet af stabiliseringsperioden vejes hvert filter, og taravægten noteres. Det pågældende filter opbevares derefter i en lukket petriskål eller filterholder, indtil det skal bruges til prøvning. Filteret skal anvendes inden for otte timer efter udtagning af vejerummet. Taravægten noteres.

▼B

2.2.   Montering af måleapparaturet

Instrumenter og prøvetagningssonder skal monteres som foreskrevet. Anvendes et totalstrømssystem til fortynding af udstødningsgassen, skal udstødningsrøret være tilsluttet systemet.

2.3.   Start af fortyndingssystemet og motoren

Fortyndingssystemet og motoren startes og varmes op, indtil alle temperatur- og trykværdier har stabiliseret sig ved fuld belastning i henhold til fabrikantens anbefalinger og god teknisk skik.

2.4.   Start af systemet til partikeludskillelse

Systemet til partikeludskillelse startes med omføring (bypass). Fortyndingsluftens baggrundskoncentration af partikler kan bestemmes ved, at fortyndet luft ledes gennem filtrene. Anvendes filtreret fortyndingsluft, kan der foretages en enkelt måling enten før eller efter prøvens udførelse. Er fortyndingsluften ikke filtreret, skal der måles ved begyndelsen og slutningen af prøvecyklus, og gennemsnitsværdien beregnes.

2.5.   Indstilling af fortyndingsforholdet

Fortyndingsluften skal indstilles således, at temperaturen af den fortyndede udstødningsgas, målt umiddelbart før hovedfilteret, ikke er over 325 K (52 °C) i noget forløb. Fortyndingsforholdet (q) må ikke være under 4.

For systemer reguleret af koncentrationen af CO2 eller NOx skal fortyndingsluftens koncentration af CO2 eller NOx måles ved begyndelsen og slutningen af hver prøve. Ved måling af fortyndingsluftens baggrundskoncentration af CO2 eller NOx må start- og slutværdierne ikke afvige mere end henholdsvis 100 ppm og 5 ppm indbyrdes.

2.6.   Kontrol af analysatorerne

Analysatorerne til emissionsbestemmelse skal være nulstillet og kalibreret.

2.7.   Testcyklus

2.7.1.   Ved betjening af dynamometeret på testmotoren går man frem efter følgende cyklus bestående af 13 forløb:



Forløb nr.

Motorhastighed

Belastning, i %

Vægtningsfaktor

Forløbets længde

1

tomgang

0,15

4 minutter

2

A

100

0,08

2 minutter

3

B

50

0,10

2 minutter

4

B

75

0,10

2 minutter

5

A

50

0,05

2 minutter

6

A

75

0,05

2 minutter

7

A

25

0,05

2 minutter

8

B

100

0,09

2 minutter

9

B

25

0,10

2 minutter

10

C

100

0,08

2 minutter

11

C

25

0,05

2 minutter

12

C

75

0,05

2 minutter

13

C

50

0,05

2 minutter

2.7.2.   Testsekvens

Testsekvensen påbegyndes. Rækkefølgen af forløbene skal svare til disses nummerering i punkt 2.7.1.

Motoren skal fungere i den foreskrevne tid i hvert forløb, således at ændringer i motorhastighed og -belastning er fuldført inden for de første 20 sekunder. Den foreskrevne motorhastighed skal holdes inden for ± 50 o./min., og det foreskrevne drejningsmoment må højst afvige ± 2 % fra det maksimale drejningsmoment ved testhastigheden.

På fabrikantens begæring kan testsekvensen gentages et tilstrækkeligt antal gange til, at der frafiltreres en større masse af partikler på filteret. Fabrikanten skal forelægge en detaljeret beskrivelse af procedurerne til dataevaluering og beregning. Indholdet af forurenende luftarter bestemmes kun ved den første prøvningscyklus.

2.7.3.   Analyseapparaternes respons

Analyseapparaternes målinger skal optegnes med båndskriver eller måles med et tilsvarende dataoptegningssystem, idet udstødningsgassen gennemstrømmer analysatorerne gennem hele testcyklussen.

▼M1

2.7.4.   Udtagning af partikelprøver

Det anvendes ét filter til hele prøvningsproceduren. De i testcyklussen for de forskellige arbejdsmåder angivne vægtningsfaktorer anvendes ved, at der indsamles en prøve, som er proportional med udstødningens massestrøm i hvert enkelt arbejdsmåde i prøvningscyklussen. Dette kan opnås ved tilsvarende indstilling af prøvestrømningshastighed, prøvetagningstid og/eller fortyndingsforhold, således at kravet til effektive vægtningsfaktorer i punkt 5.6 er opfyldt.

Prøvetagningstiden pr. arbejdsmåde skal være mindst 4 sekunder pr. 0,01 vægtningsfaktor. Udtagning af prøverne skal finde sted senest muligt i hver arbejdsmåde. Prøvetagning af partikler skal afsluttes tidligst 5 sekunder før slutningen af hver arbejdsmåde.

▼B

2.7.5.   Motorens tilstand

Motorhastighed og -belastning, indsugningsluftens temperatur og vakuum, udstødningens temperatur og modtryk, brændstofstrømningshastighed og luft- eller udstødningsstrøm, ladelufttemperatur, brændstoftemperatur og -fugtindhold skal registreres i hver arbejdsmåde, idet kravene til hastighed og belastning (se punkt 2.7.2) er opfyldt på tidspunktet for udtagning af partikelprøver, og i hvert tilfælde i det sidste minut af hvert forløb.

Eventuelle yderligere data, der måtte være nødvendige til beregningerne, skal registreres (jf. punkt 4 og 5).

2.7.6.   NOx-kontrol inden for kontrolområdet

Umiddelbart efter gennemførelse af forløb 13 foretages kontrol af NOx inden for kontrolområdet.

Motoren skal konditioneres i forløb 13 i tre minutter, før målingerne påbegyndes. Der foretages tre målinger på forskellige punkter inden for kontrolområdet, valgt af den tekniske tjeneste ( 51 ). Perioden for hver måling skal være 2 minutter.

Målingen, der sker efter samme procedure som for NOx-målingen i cyklussen bestående af 13 testforløb, skal gennemføres i overensstemmelse med punkt 2.7.3, 2.7.5, og 4.1 i dette tillæg, samt med bilag III, tillæg 4, punkt 3.

Beregningen skal foretages i overensstemmelse med punkt 4.

2.7.7.   Efterkontrol af analyseapparaterne

Efter emissionstesten gentages kontrollen med anvendelse af en nulstillingsgas og samme kalibreringsgas. Prøveresultatet regnes for acceptabelt, hvis forskellen mellem målingen før prøven og efter prøven er mindre end 2 % af værdien for kalibreringsgassen.

3.   ELR-TEST

3.1.   Montering af måleapparaturet

Opacimeter og prøvetagningssonder skal, i givet fald, være monteret efter lyddæmperen og en eventuel efterbehandlingsenhed i overensstemmelse med de almindelige monteringsanvisninger fra instrumentets fabrikant. Derudover skal kravene i punkt 10 i ISO DIS 11614 overholdes, hvor det er hensigtsmæssigt.

Før nulpunkts- og fuldskalakontrol skal opacimeteret varmes op og stabiliseres efter fabrikantens anvisninger. Har opacimeteret renseluftsystem til undgåelse af tilsodning af instrumentets optiske dele, skal også dette system aktiveres og justeres efter fabrikantens anvisninger.

3.2.   Kontrol af opacimeteret

Ved nulpunkts- og fuldskalakontrol skal apparatet være indstillet på udlæsning af opacitet, da der er to veldefinerede kalibreringspunkter på opacitetsskalaen, nemlig 0 % opacitet og 100 % opacitet. Lysabsorptionskoefficienten beregnes derefter korrekt på grundlag af den målte røgtæthed og LA som angivet af opacimeterets fabrikant, når instrumentet er stillet tilbage på udlæsning af k-værdi med henblik på testen.

Når opacimeterets lysstråle ikke spærres, skal visningen indstilles til en røgtæthed på 0,0 % ± 1,0 %. Idet lystilgangen til apparatets føler er spærret, indstilles visningen til en opacitet på 100,0 % ± 1,0 %.

3.3.   Testcyklus

3.3.1.   Konditionering af motoren

Motoren og systemet skal varmes op ved maksimal motoreffekt for at stabilisere motorens driftsparametre i henhold til fabrikantens anvisninger. Formålet med forkonditioneringsfasen er desuden at undgå, at den egentlige måling påvirkes af belægninger i udstødningssystemet efter en foregående prøve.

Når motoren er stabiliseret, skal cyklus påbegyndes senest 20 ± 2 s efter forkonditioneringsfasen. På fabrikantens begæring kan der gennemføres en foreløbig testcyklus for at konditionere motoren og udstødningssystemet før målecyklussen.

3.3.2.   Testsekvens

Testen består af en sekvens af tre belastningstrin ved hver af de tre motorhastigheder A (cyklus 1), B (cyklus 2) og C (cyklus 3), bestemt som angivet i bilag III, punkt 1.1, efterfulgt af cyklus 4 ved en hastighed inden for kontrolområdet og en belastning, som er mellem 10 % og 100 % og vælges af den tekniske tjeneste ( 52 ). Ved betjening af dynamometeret på testmotoren går man frem i følgende rækkefølge som vist i fig. 3.

HastighedCyklus 1Cyklus 2Cyklus 3Cyklus 4Valgt punktCBA100 %Belastning10 %

Figur 3

Sekvens ved ELR-test

a) Motoren bringes til at fungere ved motorhastighed A og 10 procents belastning i 20 ± 2 s. Den foreskrevne hastighed skal holdes med en nøjagtighed af ± 20 o./min., og det foreskrevne drejningsmoment skal holdes med en nøjagtighed på ± 2 % af det maksimale drejningsmoment ved testhastigheden.

b) Ved afslutningen af foregående segment flyttes hastighedsreguleringsarmen hurtigt til helt åben stilling, hvor den holdes i 10 ± 1 s. Der påføres den nødvendige dynamometerbelastning, således at motorhastigheden holdes med en nøjagtighed af ± 150 o./min. i de første 3 sekunder, og ± 20 o./min. under resten af segmentet.

c) Den i a) og b) beskrevne sekvens gentages to gange.

d) Ved afslutning af det tredje belastningstrin justeres motoren til motorhastighed B og 10 procents belastning i løbet af 20 ± 2 s.

e) Sekvens a) til c) skal gennemløbes med motorhastighed B.

f) Ved afslutning af det tredje belastningstrin justeres motoren til motorhastighed C og 10 procents belastning i løbet af 20 ± 2 s.

g) Sekvens a) til c) skal gennemløbes med motorhastighed C.

h) Ved afslutning af det tredje belastningstrin justeres motoren til den valgte motorhastighed og en vilkårlig belastning over 10 procent i løbet af 20 ± 2 s.

i) Sekvens a) til c) skal gennemløbes ved den valgte motorhastighed.

3.4.   Godkendelse af cyklussen

De relative standardafvigelser af de gennemsnitlige røgtæthedsværdier ved hver testhastighed (A, B, C) skal være mindre end 15 % af den tilsvarende gennemsnitsværdi (SVA, SVB, SVC, beregnet i henhold til afsnit 6.3.3 af de tre på hinanden følgende belastningstrin ved hver testhastighed), dog højst 10 % af grænseværdien angivet i bilag I, tabel 1. Er værdien større, gentages sekvensen, indtil 3 på hinanden følgende belastningstrin opfylder godkendelseskravet.

3.5.   Efterkontrol af opacimeteret

Opacimeterets nulpunktsforskydning må ikke være større end ± 5,0 % af den i bilag I, tabel 1 angivne grænseværdi.

▼M1

4.   BEREGNING AF STRØMMEN AF UDSTØDNINGSGAS

4.1.   Bestemmelse af massestrømmen af ufortyndet udstødningsgas

For at beregne emissionerne i den ufortyndede udstødning er det nødvendigt at kende strømmen af udstødningsgas. Udstødningsgassens massestrøm bestemmes efter punkt 4.1.1 eller 4.1.2. Udstødningsstrømmen skal bestemmes med en nøjagtighed på ± 2,5 % af den aflæste værdi eller ± 1,5 % af motorens maksimumsværdi, afhængig af hvilken af disse værdier der er den største. Tilsvarende metoder (f.eks. som beskrevet i punkt 4.2 i tillæg 2 til dette bilag) kan benyttes.

4.1.1.   Direkte måling

Direkte måling af udstødningsstrømmen kan foretages med systemer som:

 differenstrykanordninger som f.eks. en venturidyse

 ultralyd-flowmeter

 vortex-flowmeter.

Der skal tages forholdsregler til undgåelse af målefejl, som giver anledning til fejl i emissionsværdier. Sådanne forholdsregler omfatter omhyggelig montering af anordningen i motorens udstødningssystem i henhold til fabrikantens anvisninger og god teknisk skik. Især må motorens ydelse og emissioner ikke påvirkes af monteringen af anordningen.

4.1.2.   Metode til måling af luft- og brændstofstrømme

Dette omfatter måling af luftstrøm og brændstofstrøm. Der skal anvendes luft-flowmetere og brændstof-flowmetere, der opfylder de samlede krav til nøjagtighed i punkt 4.1. Beregning af udstødningsgasstrømmen foretages ved brug af følgende formel:

q mew = q maw + q mf

4.2.   Bestemmelse af massestrømmen af fortyndet udstødningsgas

Til beregning af emissioner i den fortyndede udstødning ved anvendelse af et fuldstrømsfortyndingssystem, er det nødvendigt at kende strømmen af fortyndet udstødningsgas. Den fortyndede udstødnings strømningshastighed (q mdew) måles i hver arbejdsmåde med en PDP-CVS, CFV-CVS eller SSV-CVS i overensstemmelse med de generelle formler i punkt 4.1 i tillæg 2 til dette bilag. Nøjagtigheden skal være ± 2 % af den aflæste værdi eller bedre og bestemmes efter bestemmelserne i punkt 2.4 i tillæg 5 til dette bilag.

▼M1

5.   BEREGNING AF FORURENENDE LUFTARTER

5.1.   Evaluering af data

Til vurdering af gasemissioner tages gennemsnittet af »aflæst værdi på kurve« i de sidste 30 sekunder af hver arbejdsmåde, og gennemsnitskoncentrationen (konc) af HC, CO and NOx i hver arbejdsmåde bestemmes af gennemsnitsaflæsningen på kurven og de tilhørende kalibreringsdata. Anden form for registrering kan anvendes, forudsat at tilsvarende datafangst er sikret.

Til kontrol af NOx i kontrolområdet finder ovenstående krav kun anvendelse på NOx.

Vælger man at bestemme strømmen af udstødningsgas q mew eller af fortyndet udstødningsgas q mdew, skal det ske som angivet i punkt 2.3 i tillæg 4 til dette bilag.

5.2.   Korrektion ved omregning tør/våd

Den målte koncentration omregnes til våd basis ved hjælp af følgende formler, medmindre målingen i forvejen fandt sted på våd basis. Omregningen foretages for hver arbejdsmåde.

cwet = kw × cdry

For ufortyndet udstødningsgas:

FOR-CL2005L0055DA0020010.0001.0030.xml.jpg

eller

FOR-CL2005L0055DA0020010.0001.0031.xml.jpg

hvor:

pr

=

vanddamptryk efter kølebad i kPa

pb

=

total barometerstand i kPa

Ha

=

indsugningsluftens fugtindhold i g vand pr. kg. tør luft

kf

=

0,055584 × wALF – 0,0001083 × wBET – 0,0001562 × wGAM + 0,0079936 × wDEL + 0,0069978 × wEPS

For fortyndet udstødningsgas:

FOR-CL2005L0055DA0020010.0001.0032.xml.jpg

eller

FOR-CL2005L0055DA0020010.0001.0033.xml.jpg

For fortyndingsluften:

KWd = 1 – KW1

FOR-CL2005L0055DA0020010.0001.0034.xml.jpg

For indsugningsluften:

KWa = 1 – KW2

FOR-CL2005L0055DA0020010.0001.0035.xml.jpg

hvor

H a

=

indsugningsluftens fugtindhold i g vand pr. kg tør luft

H d

=

fortyndingsluftens fugtindhold i g vand pr. kg tør luft

og kan afledes af målinger af relativ fugtighed, dugpunkt, damptryk eller måling med tør/våd termometerføler ved anvendelse af generelt accepterede formler.

5.3.   NOx-korrektion for fugtindhold og temperatur

Da NOx-emissionen påvirkes af den omgivende luft, skal NOx-koncentrationen korrigeres for temperatur og fugtindhold af den omgivende luft ved hjælp af korrektionsfaktorerne i følgende formler. Faktorerne er gyldige inden for et område fra 0 til 25 g/kg tør luft.

a) for motorer med kompressionstænding:

FOR-CL2005L0055DA0020010.0001.0036.xml.jpg

læses:

T a

=

indsugningsluftens temperatur i K

H a

=

indsugningsluftens fugtindhold i g vand pr. kg tør luft

hvor

H a kan afledes af målinger af relativ fugtighed, dugpunkt, damptryk eller måling med tør/våd termometerføler ved anvendelse af de generelt accepterede formler.

b) for motorer med gnisttænding

k h.G = 0,6272 + 44,030 × 10–3 × H a - 0,862 × 10–3 × H a 2

hvor

H a kan afledes af målinger af relativ fugtighed, dugpunkt, damptryk eller måling med tør/våd termometerføler ved anvendelse af de generelt accepterede formler.

5.4.   Beregning af emissionsmassestrømshastigheder

For hver arbejdsmåde beregnes emissionens massestrømshastighed (g/h) som følger. Ved beregning af NOx anvendes korrektionsfaktoren for fugtighed k h,D, eller k h,G, som bestemt i overensstemmelse med punkt 5.3.

Den målte koncentration omregnes til våd basis i overensstemmelse med punkt 5.2, medmindre målingen i forvejen fandt sted på våd basis. Tabel 6 angiver værdier for u gas for udvalgte komponenter baseret på ideelle gasegenskaber og de brændstoffer, der er relevante for dette direktiv.

a) for ufortyndet udstødningsgas

m gas = u gas × c gas × q mew

hvor:

u gas

=

forholdet mellem udstødningskomponentens og udstødningsgassens massefylde

c gas

=

koncentration af den pågældende komponent i den ufortyndede udstødningsgas, ppm

q mew

=

udstødningens massestrømshastighed, kg/h

b) for den fortyndede gas

m gas = u gas × c gas,c × q mdew

hvor:

u gas

=

forholdet mellem udstødningskomponentens og luftens massefylde

c gas,c

=

baggrundskorrigeret koncentration af den pågældende komponent i den fortyndede udstødningsgas, ppm

q mdew

=

den fortyndede udstødnings massestrømshastighed, kg/h

hvor:

FOR-CL2005L0055DA0020010.0001.0037.xml.jpg

Fortyndingsfaktoren D beregnes i overensstemmelse med punkt 5.4.1 i tillæg 2 til dette bilag.

5.5.   Beregning af specifik emission

Emissionerne (g/kWh) beregnes for alle enkeltkomponenter som følger:

FOR-CL2005L0055DA0020010.0001.0038.xml.jpg

hvor:

m gas er massen af den enkelte gas

P n er nettoeffekten bestemt i overensstemmelse med punkt 8.2 i bilag II.

De i ovenstående beregning anvendte vægtningsfaktorer er de punkt 2.7.1 angivne.



Tabel 6

Værdierne for ugas i den ufortyndede og fortyndede udstødningsgas for forskellige udstødningskomponenter

Brændstof

 

NOx

CO

THC/NMHC

CO2

CH4

Diesel

Ufortyndet udstødning

0,001587

0,000966

0,000479

0,001518

0,000553

Fortyndet udstødning

0,001588

0,000967

0,000480

0,001519

0,000553

Ethanol

Ufortyndet udstødning

0,001609

0,000980

0,000805

0,001539

0,000561

Fortyndet udstødning

0,001588

0,000967

0,000795

0,001519

0,000553

CNG

Ufortyndet udstødning

0,001622

0,000987

0,000523

0,001552

0,000565

Fortyndet udstødning

0,001588

0,000967

0,000584

0,001519

0,000553

Propan

Ufortyndet udstødning

0,001603

0,000976

0,000511

0,001533

0,000559

Fortyndet udstødning

0,001588

0,000967

0,000507

0,001519

0,000553

Butan

Ufortyndet udstødning

0,001600

0,000974

0,000505

0,001530

0,000558

Fortyndet udstødning

0,001588

0,000967

0,000501

0,001519

0,000553

Bemærkninger:

— u-værdier for ufortyndet udstødning baseret på ideelle gasegenskaber ved λ = 2, tør luft, 273 K, 101,3 kPa

— u-værdier for fortyndet udstødning baseret på ideelle gasegenskaber og luftmassefylde

— u-værdier for CNG med en nøjagtighed på 0,2 % for massesammensætning af: C = 66 – 76 %; H = 22 – 25 %; N = 0 – 12 %

— u-værdi af CNG for HC svarer til CH2,93 (for HC i alt anvendes u-værdi for CH4)

5.6.   Beregning af områdekontrolværdier

For de tre kontrolpunkter, valgt i henhold til afsnit 2.7.6, skal NOx-emissionen måles og beregnes i overensstemmelse med punkt 5.6.1 og endvidere bestemmes ved interpolation mellem de af prøvningscyklussens arbejdsmåder, der er nærmest det pågældende kontrolpunkt i henhold til punkt 5.6.2. De målte værdier sammenholdes derefter med de interpolerede værdier i henhold til punkt 5.6.3.

5.6.1.   Beregning af den specifikke emission

NOx-emissionen for hvert kontrolpunkt (Z) beregnes som følger:

m NOx,Z = 0,001587 × c NOx,Z × k h,D × q mew

FOR-CL2005L0055DA0020010.0001.0039.xml.jpg

5.6.2.   Bestemmelse af emissionsværdien i prøvningscyklussen

NOx-emissionen for hvert kontrolpunkt interpoleres fra prøvningscyklussens fire nærmeste arbejdsmåder omkring det valgte kontrolpunkt Z som vist i fig. 4. For disse arbejdsmåder (R, S, T, U) gælder følgende definitioner:

Hastighed(R) = hastighed(T) = nRT

Hastighed(S) = hastighed(U) = nSU

Belastningsprocent(R) = belastningsprocent(S)

Belastningsprocent(T) = belastningsprocent(U).

NOx-emissionen for det valgte kontrolpunkt Z beregnes som følger:

FOR-CL2005L0055DA0020010.0001.0040.xml.jpg

og:

FOR-CL2005L0055DA0020010.0001.0041.xml.jpg

FOR-CL2005L0055DA0020010.0001.0042.xml.jpg

FOR-CL2005L0055DA0020010.0001.0043.xml.jpg

FOR-CL2005L0055DA0020010.0001.0044.xml.jpg

hvor:

ER, ES, ET, EU = specifik NOx-emission i de tilstødende arbejdsmåder, beregnet efter punkt 5.6.1.

MR, MS, MT, MU = motorens drejningsmoment i de tilstødende arbejdsmåder.

DrejningsmomentHastighed

Figur 4

Interpolation af NOx-kontrolpunkt

5.6.3.   Sammenholdelse af NOx-emissionsværdier

Den målte specifikke NOx-emission i kontrolpunktet (NOx,Z) sammenholdes med den interpolerede værdi (EZ) på følgende måde:

FOR-CL2005L0055DA0020010.0001.0045.xml.jpg

6.   BEREGNING AF PARTIKELEMISSIONER

6.1.   Evaluering af data

Til vurdering af partikelemissionen registreres den totale masse (m sep), der er ledt gennem filteret i hver arbejdsmåde.

Filteret bringes tilbage til vejerummet og konditioneres i mindst én, men højst 80 timer, hvorefter de vejes. Filtrenes bruttovægt bestemmes, og taravægten (jf. punkt 2.1) fratrækkes, hvilket giver massen af opsamlede partikler m f.

Skal der korrigeres for baggrund, noteres massen (m d) af fortyndingsluft, der er ført gennem filtret, og partikelmassen (m f,d). Er der foretaget flere end én måling, beregnes kvotienten m f,d/m d for hver enkeltmåling, og gennemsnittet af værdierne beregnes.

6.2.   Delstrømsfortyndingssystem

De i prøverapporten angivne resultater for partikelemissioner beregnes i følgende trin. Da reguleringen af fortyndingsluftens hastighed kan finde sted på forskellige måder, gælder der forskellige metoder til beregning af q medf. Alle beregninger skal baseres på gennemsnitsværdier for de enkelte arbejdsmåder i prøvetagningsperioden.

6.2.1.   Isokinetiske systemer

q medf = q mew × rd

FOR-CL2005L0055DA0020010.0001.0046.xml.jpg

hvor r a er forholdet mellem tværsnitsarealet af henholdsvis den isokinetiske prøvesonde og udstødningsrøret:

FOR-CL2005L0055DA0020010.0001.0047.xml.jpg

6.2.2.   Systemer med måling af CO2- eller NOx-koncentration

qmedf = qmew × rd

FOR-CL2005L0055DA0020010.0001.0048.xml.jpg

hvor:

c wE

=

våd koncentration af sporgassen i den ufortyndede udstødning

c wD

=

våd koncentration af sporgassen i den fortyndede udstødning

c wA

=

våd koncentration af sporgassen i fortyndingsluften

Koncentrationer, der er målt på tør basis, skal omregnes til våd basis som angivet i dette tillægs punkt 5.2.

6.2.3.   Systemer med CO2-måling og kulstofbalancemetoden ( 53 )

FOR-CL2005L0055DA0020010.0001.0049.xml.jpg

hvor:

c (CO2)D

=

CO2-koncentration i den fortyndede udstødning

c (CO2)A

=

CO2-koncentration i fortyndingsluften

(koncentrationsangivelser i % v/v på våd basis)

Denne ligning bygger på forudsætningen om kulstofbalance (kulstofatomer tilført til motoren afgives som CO2) og er udledt i følgende trin:

qmedf = qmew × rd

og

FOR-CL2005L0055DA0020010.0001.0050.xml.jpg

6.2.4.   Systemer med flowmåling

qmedf = qmew × rd

FOR-CL2005L0055DA0020010.0001.0051.xml.jpg

6.3.   Fuldstrømsfortyndingssystem

Alle beregninger skal baseres på gennemsnitsværdier for de enkelte arbejdsmåder i prøvetagningsperioden. Strømmen af fortyndet udstødningsgas q mdew bestemmes i overensstemmelse med punkt 4.1 i tillæg 2 til dette bilag. Den samlede prøvemasse m sep bestemmes i overensstemmelse med punkt 6.2.1 i tillæg 2 til dette bilag.

6.4.   Beregning af partikelmassestrømshastigheden

Partikelmassestrømshastigheden beregnes på følgende måde. Hvis der anvendes et fuldstrømsfortyndingssystem, erstattes q medf som bestemt i overensstemmelse med punkt 6.2 med q mdew som bestemt i overensstemmelse med punkt 6.3.

PTmass = mf msep × qmedf 1000

qmedf = Σ i = 1 i = n qmedfi × Wfi

msep = Σ i = 1 i = n msepi

i = 1, … n

Partikelmassestrømshastigheden kan korrigeres for baggrund på følgende måde:

PTmass = {mf msep - [mf,d md × Σ i = 1 i = n (1 - 1 Di) × Wfi]} × qmedf 1000

hvor D beregnes i overensstemmelse med punkt 5.4.1 i tillæg 2 til dette bilag

▼B

►M1  7. ◄    BEREGNING AF RØGTÆTHED

►M1  7.1. ◄    Bessel-algoritmen

Bessel-algoritmen skal anvendes til beregning af 1 s gennemsnit ud fra de øjeblikkelige røgtætheder, omregnet efter punkt 6.3.1. Algoritmen emulerer et anden ordens lavpasfilter og anvender iterativ beregning til bestemmelse af koefficienterne. Disse koefficienter afhænger af røgtæthedsmålesystemets responstid og af prøvetagningsfrekvensen. Derfor skal punkt 6.1.1 gentages, hver gang systemets responstid og/eller prøvetagningsfrekvens ændrer sig.

►M1  7.1.1. ◄    Beregning af filterresponstid og Bessel-konstanter

Den nødvendige Bessel-responstid (tF) er en funktion af røgtæthedsmålesystemets fysiske og elektriske responstid som angivet i bilag III, tillæg 4, punkt 5.2.4, og beregnes af følgende ligning:

image

hvor:

tp

=

fysisk responstid, s

te

=

elektrisk responstid, s

Beregningerne til opstilling af et skøn over filterets afskæringsfrekvens (fc) er baseret på et trinformet indgangssignal fra 0 til 1 på ≤ 0,01 s (jf. bilag VII). Responstiden defineres som tiden mellem det punkt, hvor Bessel-afgangssignalet når 10 % (t10) og det punkt hvor det når 90 % (t90) af denne trinfunktions værdi. Dette gøres ved iteration af fc indtil t90 - t10 ≈ tF. Den første iterative beregning af fc er givet ved følgende formel:

image

Bessel-konstanterne E og K beregnes af følgende ligninger:

image

image

hvor:

D

=

0,618034

Δt

=

image

Ω

=

image

►M1  7.1.2. ◄    Beregning af Bessel-algoritmen

Ved hjælp af værdierne for E og K beregnes 1 sekunds Bessel-gennemsnit af responsen på et trininput Si på følgende måde:

image

hvor:

Si-2

=

Si-1 = 0

Si

=

1

Yi-2

=

Yi-1 = 0

Tiderne t10 og t90 beregnes ved interpolation. Forskellen i tid mellem t90 og t10 definerer responstiden tF for den pågældende værdi af fc. Er denne responstid ikke tilstrækkelig tæt på den ønskede responstid, fortsætte iterationen, indtil den faktiske responstid højst afviger 1 % fra den ønskede respons som følger:

image

►M1  7.2. ◄    Dataevaluering

Røgtæthedsværdierne måles med en frekvens på mindst 20 Hz.

►M1  7.3. ◄    Bestemmelse af røgtæthed

►M1  7.3.1. ◄    Omregning af data

Da den grundlæggende målestørrelse for alle røgtæthedsmålere er transmittans, skal røgtæthedsværdierne omregnes fra transmittans (τ) til lysabsorptionskoefficient (k) på følgende måde:

image

og

image

hvor:

k

=

lysabsorptionskoefficient (m-1)

LA

=

effektiv lysvej angivet af instrumentfabrikanten, m

N

=

opacitet,%

τ

=

transmittans,%

Omregningen skal foretages inden der sker yderligere behandling af data.

►M1  7.3.2. ◄    Beregning af Bessel-gennemsnit af røgtætheden

Den mest hensigtsmæssige afskæringsfrekvens fc er den, der frembringer den ønskede filterresponstid tF. Når denne frekvens er bestemt ved den iterative proces i punkt 6.1.1, beregnes de korrekte værdier af konstanterne E og K i Bessel-algoritmen. Derefter anvendes Bessel-algoritmen på kurven over den øjeblikkelige røgtæthed (k-værdi) som beskrevet i punkt 6.1.2:

image

Bessel-algoritmen er af rekursiv art. Man har derfor brug for nogle startværdier på input Si-1 og Si-2 og startværdier på output Yi-1 og Yi-2 for at få algoritmen i gang. Disse kan forudsættes at være 0.

For hvert belastningstrin med de tre omdrejningstal A, B og C, vælges 1-sekunds-maksimumsværdien Ymaks. blandt de enkelte værdier Yi af hver røgtæthedskurve.

►M1  7.3.3. ◄    Slutresultat

Gennemsnitlig røgtæthed (SV) for hver cyklus (hver testhastighed) beregnes således:

For testhastighed A

:

SVA = (Ymax1,A + Ymax2,A + Ymax3,A) / 3

For testhastighed B

:

SVB = (Ymax1,B + Ymax2,B + Ymax3,B) / 3

For testhastighed C

:

SVC = (Ymax1,C + Ymax2,C + Ymax3,C) / 3

hvor:

Ymax1, Ymax2, Ymax3 = højeste Bessel-gennemsnit af røgtætheden ved hvert af de tre belastningstrin

Slutværdien beregnes på følgende måde:

SV = (0,43 x SVA) + (0,56 x SVB) + (0,01 x SVC)




Tillæg 2

ETC-TESTCYKLUS

1.   OPTEGNING AF MOTORENS KARAKTERISTIK

1.1.   Bestemmelse af hastighedsområdet for motorkarakteristikken

For at der kan genereres en ETC på testcellen, må motorens omdrejningstal-drejningsmomentkarakteristik fastlægges inden testcyklussen. Minimums- og maksimumsomdrejningstallet for karakteristikken er defineret således:

Minimumshastighed for karakteristikken

=

tomgangshastighed

Maksimumshastigheden for karakteristikken

=

den laveste af følgende størrelser: nhi × 1,02 eller den hastighed, hvor drejningsmomentet ved fuld belastning går mod nul

1.2.   Optegning af motorens effektkarakteristik

Motoren skal varmes op ved maksimal motoreffekt for at stabilisere motorens driftsparametre efter fabrikantens anvisninger og god teknisk skik. Når motoren er stabiliseret, skal motordiagrammet optegnes som følger:

a) Motoren skal være ubelastet og gå med tomgangshastighed.

b) Motoren skal arbejde med fuld last ved den mindste karakteristikhastighed.

c) Motorhastigheden øges med en hastighed på gennemsnitligt 8 ± 1 min-1/s fra den minimale til den maksimale karakteristikhastighed. Motorens hastigheds- og drejningsmomentpunkter skal registreres med en målefrekvens på mindst ét punkt i sekundet.

1.3.   Generering af karakteristikkurve for motoren

Alle datapunkter registreret under punkt 1.2 skal forbindes ved lineær interpolation mellem punkterne. Den resulterende drejningsmomentkurve er motorens karakteristik og skal anvendes til at konvertere de normaliserede drejnings-momentværdier fra testcyklussen til egentlige drejningsmomentværdier for testcyklussen som beskrevet i punkt 2.

1.4.   Alternativ optegning af karakteristik

Anser en fabrikant ovennævnte teknikker til optegning af karakteristik for sikkerhedsmæssigt utilfredsstillende eller dårligt repræsentative for en given motor, kan alternative teknikker til optegning af karakteristik anvendes. Sådanne alternative teknikker skal opfylde den angivne karakteristikprocedures formål: at bestemme det maksimale drejningsmoment, der er til rådighed ved alle motorhastigheder, som gennemløbes under testcyklussen. Hvis der afviges fra de teknikker til optegning af karakteristik, som er foreskrevet i dette punkt med begrundelse i sikkerhed eller repræsentativitet, skal sådanne afvigende teknikker godkendes af den tekniske tjeneste tillige med begrundelsen for deres anvendelse. Dog kan gentagne fald i motorhastigheden i intet tilfælde anvendes til regulerede eller turboladede motorer.

1.5.   Gentagelse af test

Der behøver ikke optages karakteristik af motoren før hver eneste testcyklus. Der skal optegnes ny karakteristik af en motor før en testcyklus, såfremt:

 der er gået urimelig lang tid siden sidste kortlægning, vurderet ud fra et teknisk skøn,

 eller

 der er foretaget fysiske ændringer eller rekalibrering af motoren, som muligvis kan have indflydelse på motorens præstationer.

2.   GENERERING AF REFERENCETESTCYKLUSSEN

Testcyklussen er beskrevet i tillæg 3 til dette bilag. De normaliserede værdier af drejningsmoment og omdrejningstal skal omregnes til faktiske værdier som beskrevet nedenfor, hvorved referencetestcyklussen fremkommer.

2.1.   Faktisk hastighed

Hastigheden denormaliseres ved hjælp af følgende ligning:

image

Referencehastigheden (nref) svarer til de 100 % hastighedsværdier, der er angivet i dynamometerskemaet i tillæg 3. Den defineres således (se fig. 1 i bilag I):

image

hvor man som nhi og nlo enten anvender de foreskrevne angivelser i bilag I, punkt 2 eller værdier bestemt efter bilag III, tillæg 1, punkt 1.1.

2.2.   Faktisk drejningsmoment

Drejningsmomentet normaliseres i forhold til det maksimale drejningsmoment ved den pågældende hastighed. Referencecyklussens drejningsmomentværdier denormaliseres ved hjælp af den karakteristik, der er fastlagt i henhold til punkt 1.3, på følgende måde:

Faktisk drejningsmoment = (% drejningsmoment × maks. drejningsmoment/100)

for den pågældende faktiske hastighed, bestemt i punkt 2.1.

For de negative drejningsmomentværdier i kørepunkterne (»m«) skal til generering af referencecyklussen anvendes denormaliserede værdier, bestemt på en af følgende måder:

 minus 40 % af det positive drejningsmoment, der er til rådighed i det tilknyttede hastighedspunkt;

 optegning af det negative drejningsmoment, der er nødvendigt for at bringe motoren fra karakteristikkens minimums- til maksimumshastighed;

 bestemmelse af det negative drejningsmoment, der skal til for at drive motoren i tomgangs- og referencehastighed, og lineær interpolation mellem disse to punkter.

2.3.   Eksempel på fremgangsmåden ved denormalisering

Som eksempel vises, hvordan følgende testpunkter denormaliseres:

% hastighed

=

43

% drejningsmoment

=

82

Følgende værdier er givet:

Referencehastighed

=

2 200 min- 1

Tomgangshastighed

=

600 min- 1

resulterende i

faktisk hastighed = (43 × (2 200 - 600)/100) + 600 = 1 288 min-1

faktisk drejningsmoment = (82 × 700/100) = 574 Nm

hvor det maksimale drejningsmoment, aflæst på kurvebladet ved 1 288 min-1, er 700 Nm.

▼M1

3.   EMISSIONSPRØVNING

På fabrikantens begæring kan der gennemføres en forprøvning til konditionering af motoren og udstødningssystemet før målecyklussen.

NG- og LPG-drevne motorer tilkøres ved hjælp af en ETC-test. Motoren gennemgår mindst to ETC-cyklusser, således at CO-emission, som måles gennem den ene ETC-cyklus, ikke er mere end 10 % højere end den CO-emission, som er målt gennem den foregående ETC-cyklus.

3.1.   Klargøring af prøvetagningsfiltre (hvis relevant)

Mindst én time før prøvningen skal hvert filter anbringes i en delvist overdækket petriskål, som er beskyttet mod støvkontaminering, og som stilles til stabilisering i et vejerum. Efter forløbet af stabiliseringsperioden vejes hvert filter, og taravægten noteres. Det pågældende filter opbevares derefter i en lukket petriskål eller filterholder, indtil det skal bruges til prøvning. Filteret skal anvendes inden for otte timer efter udtagning af vejerummet. Taravægten noteres.

3.2.   Montering af måleapparaturet

Instrumenter og prøvetagningssonder skal monteres som foreskrevet. Udstødningsrøret skal være tilsluttet fuldstrømsfortyndingssystemet, hvis dette anvendes.

3.3.   Start af fortyndingssystemet og motoren

Fortyndingssystemet og motoren startes og varmes op, indtil alle temperatur- og trykværdier har stabiliseret sig ved fuld belastning i henhold til fabrikantens anbefalinger og god teknisk skik.

3.4.   Start af prøveudtagningssystemet (kun dieselmotorer)

Systemet til partikeludtagning startes med omføring (bypass). Fortyndingsluftens baggrundskoncentration af partikler kan bestemmes ved, at fortyndet luft ledes gennem partikelfiltrene. Anvendes filtreret fortyndingsluft, kan der foretages en enkelt måling enten før eller efter prøvningens udførelse. Hvis fortyndingsluften ikke filtreres, kan der måles ved cyklussens begyndelse og afslutning, og gennemsnittet heraf beregnes.

Fortyndingssystemet og motoren startes og varmes op, indtil alle temperatur- og trykværdier har stabiliseret sig i henhold til fabrikantens anbefalinger og god teknisk skik.

Hvis der er tale om efterbehandling med periodisk regenerering, må regenerering ikke finde sted under motorens opvarmning.

3.5.   Indstilling af fortyndingssystemet

Fortyndingssystemets strømningshastigheder (fuldstrøm eller delstrøm) indstilles således, at kondensation af vand i systemet undgås, og således at filteroverfladens temperatur ikke overstiger 325 K (52 °C) (jf. bilag V, punkt 2.3.1, DT).

3.6.   Kontrol af analysatorerne

Analysatorerne til emissionsbestemmelse skal være nulstillet og kalibreret. Anvendes sække til prøveudtagning, skal de være udsuget.

3.7.   Procedure for motorstart

Den stabiliserede motor startes efter den af fabrikanten i instruktionsbogen givne fremgangsmåde, enten ved hjælp af en startmotor fra produktionen eller dynamometeret. Hvis det ønskes, kan motoren startes direkte fra forkonditioneringsfasen, uden at motoren forinden standses, efter at motoren har nået tomgangshastighed.

3.8.   Prøvningscyklus

3.8.1.   Prøvningssekvens

Prøvningssekvensen påbegyndes, når motoren har nået tomgangshastighed. Prøvningen udføres i henhold til referencecyklussen beskrevet i punkt 2 i dette tillæg. Styresignalerne for motorhastighed og drejningsmoment sættes til 5 Hz eller derover (10 Hz anbefales). Feedbackværdierne for motorhastighed og drejningsmoment registreres mindst én gang i sekundet under prøvningscyklussen, og signalerne kan filtreres elektronisk.

3.8.2.   Måling af gasemissioner

3.8.2.1.   Fuldstrømsfortyndingssystem

Hvis prøvningscyklussen påbegyndes direkte fra forkonditioneringsfasen, skal måleudstyret samtidig startes ved start af motoren eller ved begyndelsen af prøvningssekvensen:

 Begynd indsamling eller analyse af fortyndingsluft.

 Begynd indsamling eller analyse af fortyndet udstødningsgas.

 Begynd måling af mængden af fortyndet udstødningsgas (CVS) og de nødvendige temperatur- og trykmålinger.

 Begynd registreringen af feedbackværdier for hastighed og drejningsmoment fra dynamometeret.

HC og NOx skal måles kontinuerligt i fortyndingstunnelen med en frekvens på 2 Hz. Gennemsnitskoncentrationerne bestemmes ved integration af signalerne fra analysatorerne gennem prøvningscyklussen. Systemets responstid må ikke være over 20 s og skal om nødvendigt koordineres med svingninger i CVS-strømmen og prøvetagningstid/prøvningscyklus. CO, CO2, NMHC og CH4 bestemmes ved integration eller ved analyse af koncentrationen i prøveopsamlingssækken, som er opsamlet gennem cyklussen. Koncentrationerne af forurenende gasser i fortyndingsluften bestemmes ved integration eller ved opsamling i baggrundssækken. Alle andre værdier registreres med mindst én måling i sekundet (1 Hz).

3.8.2.2.   Måling af ufortyndet udstødning

Hvis prøvningscyklussen påbegyndes direkte fra forkonditioneringsfasen, skal måleudstyret startes samtidig med motoren eller ved begyndelsen af prøvningssekvensen:

 Begynd analysen af koncentrationerne af ufortyndet udstødningsgas.

 Begynd målingen af udstødningsgas eller indsugningsluft og brændstoffets strømningshastighed.

 Begynd registreringen af feedbackværdier af hastighed og drejningsmoment fra dynamometeret.

Til vurdering af emissionen af gasser registreres og lagres emissionskoncentrationerne (HC, CO and NOx) samt udstødningsgassens massestrømshastighed med mindst 2 Hz i et computersystem. Systemets responstid må ikke være over 10 s. Alle andre data kan registreres med en målefrekvens på mindst 1 Hz. For analoge analysatorer registreres responsen, og kalibreringsdata kan anvendes online eller offline under dataevalueringen.

Til beregning af masseemissionen af gaskomponenter tidsjusteres sporene af de registrerede koncentrationer og sporet af udstødningsgassens massestrømshastighed ved hjælp af transformationstiden som defineret i punkt 2 i bilag I. Responstiden for hver gasemissionsanalysator og massestrømssystemet for udstødningsgas bestemmes i overensstemmelse med punkt 4.2.1 og 1.5 i tillæg 5 til dette bilag og registreres.

3.8.3.   Partikelprøvetagning (hvis relevant)

3.8.3.1.   Fuldstrømsfortyndingssystem

Hvis prøvningscyklussen påbegyndes direkte fra forkonditioneringsfasen, skal systemet til udtagning af partikelprøver stilles om fra bypass til partikeludtagning, når motoren startes eller prøvningssekvensen påbegyndes.

Hvis der ikke bruges strømningskompensation, skal prøvetagningspumpen (-pumperne) indstilles således, at strømningshastigheden gennem partikelprøvesonde eller overføringsrør holdes på en værdi, der højst afviger ± 5 % fra den indstillede strømningshastighed. Hvis der anvendes strømningskompensation (dvs. proportionalregulering af prøvestrømmen), skal det være godtgjort, at forholdet mellem gennemstrømningen i hovedtunnelen og partikelprøvestrømmen højst ændrer sig ± 5 % fra den indstillede værdi (bortset fra de første 10 sekunders prøvetagning).

Bemærkning: Anvendes dobbelt fortynding, er prøvestrømmen nettoforskellen mellem strømningshastigheden gennem prøvetagningsfiltre og strømmen af sekundær fortyndingsluft.

Gennemsnitstemperatur og -tryk ved gasmåleren (-målerne) eller flowmeterindgang skal registreres. Hvis den indstillede strømningshastighed ikke kan holdes gennem hele cyklussen (med en nøjagtighed af ± 5 %) på grund af stor partikelbelastning af filteret, skal prøvningsresultaterne kasseres. Prøvningen må da gentages med mindre gennemstrømningshastighed og/eller større filterdiameter.

3.8.3.2.   Delstrømsfortyndingssystem

Hvis prøvningscyklussen påbegyndes direkte fra forkonditioneringsfasen, skal systemet til udtagning af partikelprøver stilles om fra bypass til partikeludtagning, når motoren startes eller prøvningssekvensen påbegyndes.

Til kontrol af et delstrømsfortyndingssystem er det nødvendigt, at systemet har en kort responstid. Transformationstiden for systemet bestemmes efter proceduren i punkt 3.3 i tillæg 5 til bilag III. Hvis den kombinerede transformationstid for målingen af udstødningsstrømmen (jf. punkt 4.2.1) og delstrømssystemet er under 0,3 s, må der anvendes online-kontrol. Hvis transformationstiden er over 0,3 s skal der anvendes look ahead-kontrol på grundlag af et allerede registret prøvningsforløb. I så fald skal kombinationens stigningstid være ≤ 1 s og kombinationens forsinkelsestid ≤ 10 s.

Systemets respons som helhed skal kunne sikre en repræsentativ prøveudtagning af partikler, qmp,i, proportionelt med udstødningens massestrøm. For at bestemme proportionaliteten foretages en regressionsanalyse af qmp,i versus qmew,i med en datafangsthastighed på mindst 1 Hz, og følgende kriterier skal være opfyldt:

 Korrelationskoefficienten R2 for den lineære regression mellem qmp,i and qmew,i må ikke være mindre end 0,95.

 Middelfejl på estimatet for qmp,i på qmew,i må ikke være større end 5 % af qmp maksimum.

 Regressionslinjens qmp-skæring må ikke være mere end ± 2 % af qmp maksimum.

Man kan vælge at foretage en forprøvning, og forprøvningens massestrømningssignal kan anvendes til at kontrollere prøvestrømmen ind i partikelsystemet (look ahead–styring). En sådan procedure er påkrævet, hvis transformationstiden for partikelsystemet, t50,P, eller transformationstiden for massestrømningssignalet, t50,F, eller begge er > 0,3 s. Der opnås en korrekt styring af delstrømsfortyndingssystemet, hvis tidssporet af forprøvningens qmew,pre, som styrer qmp, forskydes med en look ahead-tid på t50,P + t50,F.

Til bestemmelse af korrelationen mellem qmp,i and qmew,i anvendes data fra selve prøvningen, med qmew,i-tiden justeret med t50,F i forhold til qmp,i (intet bidrag fra t50,P til tidsjusteringen). Det vil sige, at tidsforskydningen mellem qmew og qmp er forskellen i deres transformationstider, som bestemt i overensstemmelse med punkt 3.3 i tillæg 5 til bilag III.

3.8.4.   Motorstop

Hvis motoren går i stå, uanset hvor i cyklussen det sker, skal motoren forkonditioneres og genstartes, og prøvningen gentages. Hvis der optræder fejl i noget af det foreskrevne prøvningsudstyr under prøvningscyklussen, skal prøvningsresultaterne kasseres.

3.8.5.   Operationer efter prøvningen

Efter udførelse af prøvningen standses målingen af rumfanget af den fortyndede udstødningsgas eller strømningshastigheden af den ufortyndede udstødningsgas, gastilførslen til opsamlingssækkene samt partikelprøvepumpen. For integrerende analysesystemer skal prøvetagningen fortsætte til udløb af systemets responstider.

Koncentrationerne i opsamlingssækkene skal, hvis de bruges, analyseres snarest muligt og under ingen omstændigheder senere end 20 minutter efter afslutning af prøvningscyklussen.

Efter emissionsprøvingen gentages kontrollen af analysatorerne med anvendelse af en nulstillingsgas og samme kalibreringsgas. Prøvningsresultatet regnes for acceptabelt, hvis forskellen mellem målingen før prøvningen og efter prøvningen er mindre end 2 % af værdien for kalibreringsgassen.

3.9.   Kontrol af prøvningsforløbet

3.9.1.   Dataforskydning

For at minimere den skævhed, der skyldes tidsforsinkelsen mellem feedback- og referencecyklus, kan hele sekvensen af feedback-signaler bestående af motorhastighed og drejningsmoment fremskyndes eller forsinkes i forhold til sekvensen af referencehastigheds- og drejningsmomentsignalerne. Hvis feedback-signalerne forskydes, skal hastighed og drejningsmoment forskydes lige meget i samme retning.

3.9.2.   Beregning af det udførte arbejde i cyklussen

Det faktisk udførte arbejde under cyklussen Wact (kWh) beregnes ved hjælp af hvert datapar bestående af målt motorhastighed og drejningsmoment. Dette skal ske efter eventuel forskydning af feedback-data, hvis man vælger at foretage en sådan. Det faktiske arbejde Wact benyttes til sammenligning med arbejdet Wref i referencecyklussen og til beregning af de specifikke bremseemissioner (jf. punkt 4.4 og 5.2). Samme metode anvendes til integration af både referencemotoreffekt og faktisk motoreffekt. Til eventuel bestemmelse af værdier mellem tilstødende referenceværdier eller tilstødende måleværdier anvendes lineær interpolation.

Ved integration af det faktiske arbejde i cyklussen og referencecyklussen skal alle negative drejningsmomentværdier sættes lig nul og medindregnes. Hvis integrationen foretages med mindre frekvens end 5 Hertz, og drejningsmomentet inden for et givet tidsafsnit skifter fortegn fra positivt til negativt eller omvendt, skal den negative del beregnes og sættes lig nul. Den positive del skal medregnes i den integrerede værdi.

Wact skal være mellem – 15 % og + 5 % af Wref

3.9.3.   Statistiske beregninger til godkendelse af prøvningscyklussen

Der foretages lineær regressionsanalyse af feedback-værdierne på referenceværdierne for hastighed, drejningsmoment og effekt. Dette skal ske efter eventuel forskydning af feedback-data, hvis man vælger at foretage en sådan. Der anvendes mindste kvadraters metode, med bedste tilnærmelse repræsenteret ved en ligning med formen:

y = mx + b

hvor:

y

=

Feedback- (faktisk) hastighed (min–1), drejningsmoment (Nm), eller effekt (kW)

m

=

regressionslinjens hældning

x

=

referenceværdien for hastighed (min–1), drejningsmoment (Nm), eller effekt (kW)

b

=

regressionslinjens skæring med y-aksen

For hver regressionslinje beregnes middelfejlen på estimatet (SE) af y på x og determinationskoefficienten (r2).

Det anbefales, at denne analyse foretages ved 1 Hertz. Alle negative værdier af referencedrejningsmomentet samt de tilhørende feedbackværdier skal udgå ved den statistiske beregning til godkendelse af drejningsmoment og effekt under cyklussen. For at en test kan anses for gyldig, skal kriterierne i tabel 7 være opfyldt.



Tabel 7

Regressionslinjernes tolerancer

 

Hastighed

Drejningsmoment

Effekt

Middelfejl på estimatet (SE) af Y på X

Max 100 min–1

Maksimum 13 % (15 %) (1) af maksimalt motordrejningsmoment iflg. motorens effektkarakteristik

Maksimum 8 % (15 %) (1) af maksimal motoreffekt på karakteristik

Regressionslinjens hældning, m

0,95 til 1,03

0,83–1,03

0,89–1,03

(0,83–1,03) (1)

Determinations-koefficient, r2

min0,9700

(min 0,9500) (1)

min 0,8800

(min 0,7500) (1)

min 0,9100

(min 0,7500) (1)

Regressionslinjens skæring med Y-aksen, b

± 50 min–1

± 20 Nm eller ± 2 % (± 20 Nm eller ± 3 %) (1) af maximalt drejningsmoment; det største gælder

± 4 kW eller ± 2 % (± 4 kW eller ± 3 %) (1) af maksimal effekt; det største gælder

(1)   Frem til 1. oktober 2005 kan tallene i parentes anvendes til typegodkendelsesprøvning af gasmotorer. (Kommissionen aflægger beretning om udviklingen af gasmotorteknologi med henblik på at bekræfte eller ændre de regressionslinjetolerancer for gasmotorer, der er angivet i tabellen).

Sletning af punkter af regressionsanalyserne er tilladt, hvor dette er nævnt i tabel 8.



Tabel 8

Punkter, som det er tilladt at slette af regressionsanalysen

Betingelser

Punkter, som kan slettes

Feedback-værdier for fuldlast og drejningsmoment < 95 % referenceværdien for drejningsmomentet

Drejningsmoment og/eller effekt

Feedback-værdier for fuldlast og hastighed < 95 % referenceværdien for hastigheden

Hastighed og/eller effekt

Ingen belastning, ikke et tomgangspunkt, og drejningsmoment-feedbackværdi > referenceværdien for drejningsmomentet

Drejningsmoment og/eller effekt

Feedbackværdier for ingen belastning, hastighed ≤ tomgangshastighed + 50 min–1 og feedbackværdi for drejningsmoment = det af fabrikanten fastsatte/målte drejningsmoment ved tomgang ± 2 % af max. drejningsmoment

Hastighed og/eller effekt

Feedbackværdier for ingen belastning, hastighed > tomgangshastighed + 50 min–1 og feedbackværdier for drejningsmoment > 105 % af referenceværdien for drejningsmomentet

Drejningsmoment og/eller effekt

Feedback-værdier ingen belastning og hastighed < 105 % referenceværdien for hastigheden

Hastighed og/eller effekt

▼M1

4.   BEREGNING AF STRØMMEN AF UDSTØDNINGSGAS

4.1.   Bestemmelse af den fortyndede udstødningsgasstrøm

Den totale fortyndede udstødningsgasstrøm gennem cyklussen (kg/test) beregnes på grundlag af måleværdierne gennem cyklussen og de tilsvarende kalibreringsdata for flowmeteret (V o for PDP, K v for CFV, C d for SSV), som foreskrevet i punkt 2 i tillæg 5 til bilag III). Følgende formler anvendes, hvis temperaturen af den fortyndede udstødningsgas holdes konstant gennem cyklussen ved hjælp af en varmeveksler (± 6 K for et PDP-CVS, ± 11 K for et CDV-CVS, ± 11 K for et SSV-CVS), jf. punkt 2.3 i bilag V).

For PDP-CVS systemet:

m ed = 1,293 × V 0 × N P × (p b - p 1) × 273 / (101,3 × T)

hvor:

V 0

=

volumen gas pumpet pr. omdrejning under prøvningsbetingelserne, m3/omdr.

Np

=

totalt antal pumpeomdrejninger pr. prøvning

p b

=

atmosfæretryk i prøvningscelle, kPa

p 1

=

trykfald under atmosfæretrykket ved pumpeindgang, kPa

T

=

gennemsnitstemperatur af fortyndet udstødningsgas ved pumpeindgang gennem cyklussen, K

For CFV-CVS systemet:

m ed = 1,293 × t × K v × p / T 0,5

hvor:

t

=

cyklustid, s

K V

=

kalibreringsfaktor for kritisk venturi ved standardbetingelser

p p

=

absolut tryk ved venturiens indgang, kPa

T

=

absolut temperatur ved venturiens indgang, K

For SSV-CVS systemet

m ed = 1,293 × QSSV

hvor:

QSSV = A0d2Cdpp √[1 T (rp 1,4286 - rp 1,7143) × (1 1 -rD4rp1,4286)]

læses:

A 0

=

samling af konstanter og enhedskonverteringer

(m3 min) (K1 2 kPa) (1 mm2)

= 0,006111 i SI-enheder på

d

=

SVV-halsens diameter, m

C d

=

SSV-udladningskoefficient

p p

=

absolut tryk ved venturiens indgang, kPa

T

=

temperatur ved venturiens indgang, K

r p

=

forholdet mellem det det absolutte statiske tryk ved indgang og SVV-hals =1 - ΔP PA

rD

=

SSV-halsens diameter, d, i forhold til indgangsrørets indvendige diameter =d D

Anvendes et system med flowkompensation (dvs. uden varmeveksler) skal de øjeblikkelige masseemissioner beregnes og integreres gennem cyklussen. I så fald beregnes den øjeblikkelige masse af den fortyndede udstødningsgas på følgende måde:

For PDP-CVS systemet:

m ed,i = 1,293 × V 0 × N P,i × (p bp 1) × 273 / (101,3 × T)

hvor:

N P,i = totalt antal pumpeomdrejninger pr. tidsinterval

For CFV-CVS systemet:

m ed,i = 1,293 × Δt i × K V × p p / T 0,5

hvor:

Δt i = tidsinterval, s

For SSV-CVS systemet:

med = 1,293 × QSSV × Δti

hvor:

Δt i = tidsinterval, s

Realtidsberegningen indledes med enten en rimelig værdi for C d, f.eks. 0,98, eller en rimelig værdi for Q ssv. Hvis beregningen indledes med Q ssv, anvendes begyndelsesværdien for Q ssv til anslåelse af Re.

Under alle emissionsprøvninger skal Reynolds-tallet ved SSV-halsen befinde sig inden for området af de Reynolds-tal, der anvendes til at aflede kalibreringskurven udviklet i punkt 2.4 i tillæg 5 til dette bilag.

4.2.   Bestemmelse af massestrømmen af ufortyndet udstødningsgas

For at kunne beregne emissionerne i den ufortyndede udstødningsgas og for at kunne styre et delstrømsfortyndingssystem er det nødvendigt at kende udstødningsgassens massestrømshastighed. Til bestemmelse af udstødningens massestrømshastighed kan en af de metoder, der er beskrevet i punkt 4.2.2 til 4.2.5, anvendes.

4.2.1.   Responstid

For så vidt angår emissionsberegninger skal responstiden for begge de metoder, der beskrives nedenfor, være lig eller mindre end kravet til analysatorernes responstid, som defineret i punkt 1.5 i tillæg 5 til dette bilag.

Til styring af et delstrømsfortyndingssystem er det nødvendigt, at systemet har en kortere responstid. Til delstrømsfortyndingssystemer med online-styring kræves der en responstid på ≤ 0,3 s. For delstrømsfortyndingssystemer med look ahead-styring baseret på et allerede registreret prøvningsforløb, kræves der en responstid for systemet til måling af udstødningsstrømmen på ≤ 5 s med en stigningstid på ≤ 1 s. Systemets responstid skal angives af instrumentfabrikanten. Kravene til den kombinerede responstid for udstødningsgasstrøm og delstrømsfortyndingssystem er angivet i punkt 3.8.3.2.

4.2.2.   Direkte måling

Direkte måling af den øjeblikkelige udstødningsstrøm kan foretages med systemer som:

 differenstrykanordninger som f.eks. en venturidyse

 ultralyd-flowmeter

 vortex-flowmeter.

Der skal tages forholdsregler til undgåelse af målefejl, som giver anledning til fejl i emissionsværdier. Sådanne forholdsregler omfatter omhyggelig montering af anordningen i motorens udstødningssystem i henhold til fabrikantens anvisninger og god teknisk skik. Især må motorens ydelse og emissioner ikke påvirkes af monteringen af anordningen.

Udstødningsstrømmen skal bestemmes med en nøjagtighed på mindst ± 2,5 % af den aflæste værdi eller ± 1,5 % af motorens maksimumsværdi, afhængig af hvilken af disse værdier der er den største.

4.2.3.   Metode til måling af luft- og brændstofstrømme

Dette omfatter måling af luftstrøm og brændstofstrøm. Der skal anvendes luft-flowmetere og brændstof-flowmetere, der opfylder de krav til nøjagtighed i målingen af udstødningens totalstrøm, som omhandlet i punkt 4.2.2. Beregning af udstødningsgasstrømmen foretages ved brug af følgende formel:

qmew = qmaw + qmf

4.2.4.   Måling af sporstoffer

Dette omfatter måling af koncentrationen af sporgas i udstødningen. En kendt mængde inaktiv gas (f.eks. rent helium) indsprøjtes i udstødningsgasstrømmen som sporstof. Gassen blandes med og fortyndes af udstødningsgassen, men reagerer ikke i udstødningsrøret. Koncentrationen af gassen måles derefter i prøven af udstødningsgas.

For at sikre en fuldstændig blanding af sporgassen, anbringes prøvetagningssonden for udstødningsgas mindst 1 meter eller 30 gange udstødningsrørets diameter efter sporgassens indsprøjtningspunkt, afhængig af hvilken afstand der er den største. Prøvetagningssonden kan placeres tættere på indsprøjtningspunktet, hvis det kontrolleres, at der finder en fuldstændig blanding sted, ved at sammenligne koncentrationen af sporgas med referencekoncentrationen, når sporgassen indsprøjtes før motoren.

Sporgassens strømningshastighed skal indstilles således, at koncentrationen af sporgas ved motorens tomgangshastighed efter blandingen er lavere end sporgasanalysatorens fulde skalaudslag.

Beregning af udstødningsgasstrømmen foretages ved brug af følgende formel:

qmew,i = qvt × ρe 60 × (cmix,i - ca)

hvor:

q mew,i

=

øjeblikkelig udstødningsmassestrøm, kg/s

q vt

=

sporgasstrøm, cm3/min

c mix.i

=

øjeblikkelig koncentration af sporgassen efter blanding, ppm

ρ e

=

udstødningsgassens massefylde, kg/m3 (jf. tabel 3)

c a

=

baggrundskoncentration af sporgassen i indsugningsluften, ppm

Når baggrundskoncentrationen er mindre end 1 % af koncentrationen af sporgas efter blanding (c mix.i) ved maksimal udstødningsstrøm, kan der ses bort fra baggrundskoncentrationen.

Systemet skal som helhed opfylde nøjagtighedskravene for udstødningsgasstrømmen, og skal kalibreres i overensstemmelse med punkt 1.7 i tillæg 5 til dette bilag.

4.2.5.   Målemetode med luftstrøm og luft/brændstof-blandingsforhold

Dette indebærer beregning af udstødningsmasse ud fra luftstrøm og luft/brændstof-blandingsforhold. Beregning af udstødningsgassens øjeblikkelige massestrøm foretages efter følgende formel:

qmew,i = qmaw,i × (1 + 1 A/Fst × λi)

læses:

A/Fst = 138,0 × (β + α 4 - ε 2 + γ) 12,011 × β + 1,00794 × α + 15,9994 × ε + 14,0067 × δ + 32,065 × γ

λi = β × (100 - cCO × 10–4 2 - cHC × 10–4) + (α 4 × 1 - 2 × cCO × 10–4 3,5 × cCO2 1 + cCO × 10–4 3,5 × cCO2 - ε 2 - δ 2) × (cCO2 + cCO × 10–4) 4,764 × (β + α 4 - ε 2 + γ) × (cCO2 + cCO × 10–4 + cHC × 10–4)

hvor:

A/F st

=

støkiometrisk luft/brændstofforhold, kg/kg

λ

=

luftoverskudskoefficient

c CO2

=

tør CO2-koncentration, %

c CO

=

tør CO-koncentration, ppm

c HC

=

HC-koncentration, ppm

Bemærkning: β kan være 1 for brændstof, der indeholder kulstof, og 0 for hydrogen-brændstof.

Luft-flowmeteret skal opfylde kravene til nøjagtighed i punkt 2.2 i tillæg 4 til dette bilag, CO2-analysatoren skal opfylde kravene i punkt 3.3.2 i tillæg 4 til dette bilag og systemet som helhed skal opfylde kravene for udstødningsgasstrømmen.

Man kan også vælge at anvende udstyret til måling af luft-/brændstofforholdet, som f.eks. en føler af zirconia-typen, til måling af luftoverskudskoefficienten, hvis dette opfylder kravene i punkt 3.3.6 i tillæg 4 til dette bilag.

▼M1

5.   BEREGNING AF FORURENENDE GASSER

5.1.   Evaluering af data

Til vurdering af emissionen af gasser i den fortyndede udstødningsgas, registreres emissionskoncentrationerne (HC, CO and NOx) og massestrømshastigheden for den fortyndede udstødningsgas i overensstemmelse med punkt 3.8.2.1 og lagres i et computersystem. For analoge analysatorer registreres responsen, og kalibreringsdata kan anvendes online eller offline under dataevalueringen.

Til vurdering af emissionen af gasser i den ufortyndede udstødningsgas registreres emissionskoncentrationerne (HC, CO and NOx) og massestrømshastigheden for udstødningsgassen i overensstemmelse med punkt 3.8.2.2 og lagres i et computersystem. For analoge analysatorer registreres responsen, og kalibreringsdata kan anvendes online eller offline under dataevalueringen.

5.2.   Korrektion ved omregning tør/våd

Hvis koncentrationen måles på tør basis, omregnes den målte koncentration til våd basis ved hjælp af følgende formel. Ved kontinuerlig måling anvendes omregningen på hver øjeblikkelig måling før videre beregning.

cwet = kW × cdry

Omregningsligningerne i punkt 5.2 til tillæg 1 i dette bilag finder anvendelse.

5.3.   NOx-korrektion for fugtindhold og temperatur

Da NOx-emissionen påvirkes af den omgivende luft, skal NOx-koncentrationen korrigeres for den omgivende lufts temperatur og fugtindhold ved hjælp af korrektionsfaktorerne i punkt 5.3 i tillæg 1 til dette bilag. Faktorerne er gyldige inden et område fra 0 til 25 g/kg tør luft.

5.4.   Beregning af emissionsmassestrømshastigheder

Emissionsmassen gennem cyklussen (g/test) beregnes som følger, afhængig af den anvendte målemetode. Den målte koncentration omregnes til våd basis i overensstemmelse med punkt 5.2 i tillæg 1 til dette bilag, medmindre målingen i forvejen fandt sted på våd basis. De respektive værdier for u gas, der skal anvendes, findes i tabel 6 i tillæg 1 til dette bilag for udvalgte komponenter baseret på ideelle gasegenskaber og de brændstoffer, der er relevante for dette direktiv.

a)  for ufortyndet udstødningsgas:

mgas = ugas × Σ i = 1 i = n cgas,i × qmew,i × 1 f

hvor:

u gas

=

forholdet mellem udstødningskomponentens og udstødningsgassens massefylde ud fra tabel 6

c gas,i

=

den øjeblikkelige koncentration af den pågældende komponent i den ufortyndede udstødningsgas, ppm

q mew,i

=

udstødningens øjeblikkelige massestrømshastighed, kg/s

f

=

dataindsamlingsfrekvens, Hz

n

=

antal målinger

b)  for den fortyndede udstødningsgas uden flow-kompensation:

mgas = ugas × cgas × med

hvor:

u gas

=

forholdet mellem udstødningskomponentens og luftens massefylde ud fra tabel 6

c gas

=

gennemsnitlig baggrundskorrigeret koncentration af den pågældende komponent, ppm

m ed

=

samlet fortyndet udstødningsmasse gennem cyklussen, kg

c)  for den fortyndede udstødningsgas med flow-kompensation:

mgas = [ugas × Σ i = 1 i = n (ce,i × qmdew,i × 1 f)] - [(med × cd × (1 - 1/D) × ugas)]

hvor:

c e,i

=

den øjeblikkelige koncentration af den pågældende komponent, målt i den fortyndede udstødningsgas, ppm

c d

=

koncentration af den pågældende komponent, målt i fortyndingsluften, ppm

q mdew,i

=

den øjeblikkelige massestrømshastighed af fortyndet udstødningsgas, kg/s

m ed

=

samlet masse af fortyndet udstødningsgas gennem cyklussen, kg

u gas

=

forholdet mellem udstødningskomponentens og luftens massefylde ud fra tabel 6

D

=

fortyndingsfaktor (jf. punkt 5.4.1)

Hvis det er relevant, beregnes koncentrationen af NMHC og CH4 ved en af metoderne vist i punkt 3.3.4 i tillæg 4 til dette bilag, på følgende måde:

a)  GC-metoden (fuldstrømsfortyndingssystem, udelukkende):

cNMHC = cHC – cCH4

b)  NMC-metoden:

cNMHC = cHC(w/oCutter) × (1 - EM) - cHC (w/Cutter) EE - EM

cCH4 = cHC(w/Cutter) - cHC(w/oCutter) × (1 - EE) EE - EM

hvor:

c HC(w/Cutter)

=

HC-koncentrationen med prøvegassen gennem NMC

c HC(w/oCutter)

=

HC-koncentration med prøvegassen sendt uden om NMC

5.4.1.   Bestemmelse af baggrundskorrigerede koncentrationer (kun fuldstrømsfortyndingssystem)

Til beregning af nettokoncentrationen af forurenende stoffer skal de gennemsnitlige baggrundskoncentrationer af forurenende gasser i fortyndingsluften trækkes fra de målte koncentrationer. Baggrundskoncentrationernes gennemsnitsstørrelse kan bestemmes ved prøvesækmetoden eller ved kontinuerlig måling med integration. Der skal anvendes følgende formel.

c = ce - cd × (1 - 1 D)

hvor:

c e

=

koncentration af det pågældende forurenende stof, målt i den fortyndede udstødningsgas, ppm

c d

=

koncentration af det pågældende forurenende stof, målt i fortyndingsluften, ppm

D

=

fortyndingsfaktor

Fortyndingsfaktoren beregnes således:

a) for diesel- og LPG-drevne motorer:

D = FS cCO2 + (cHC + cCO) × 10–4

b) for NG-drevne gasmotorer:

D = FS cCO2 + (cNMHC + cCO) × 10–4

hvor:

c CO2

=

koncentration af CO2 i den fortyndede udstødningsgas, % v/v

c HC

=

koncentration af HC i den fortyndede udstødningsgas, ppm C1

c NMHC

=

koncentration af NMHC i den fortyndede udstødningsgas, ppm C1

c CO

=

koncentration af CO i den fortyndede udstødningsgas, ppm

F S

=

støkiometrisk koefficient.

Koncentrationer, der er målt på tør basis, skal omregnes til våd basis som angivet i punkt 5.2 i tillæg 1 til dette bilag.

Den støkiometriske faktor beregnes på følgende måde:

FS = 100 × 1 1 + α 2 + 3,76 × (1 + α 4 - ε 2)

hvor

α, ε er de molære forhold for et brændstof CH α O ε

Kendes brændstoffets sammensætning ikke, kan der i stedet anvendes følgende støkiometriske koefficienter:

F S (diesel)

=

13,4

F S (LPG)

=

11,6

F S (NG)

=

9,5

5.5.   Beregning af specifikke emissioner

De specifikke emissioner (g/kWh) beregnes på følgende måde:

a) alle komponenter undtagen NOx:

Mgas = mgas Wact

b) NOx:

Mgas = mgas × kh Wact

hvor:

Wact = faktisk udført arbejde i cyklussen i overensstemmelse med punkt 3.9.2.

5.5.1.

Hvis der er tale om et periodisk system til efterbehandling af udstødningen, vægtes emissionerne som følger:

MGas = (n1 × MGas,n1 + n2 × MGas,n2) (n1 + n2)

hvor:

n1

=

antal ETC-test mellem to regenereringer

n2

=

antal ETC i løbet af en regenerering (mindst én ETC-test)

M gas,n2

=

emissioner i løbet af en regenerering

M gas,n1

=

emissioner efter en regenerering.

6.   BEREGNING AF PARTIKELEMISSIONEN (HVIS RELEVANT)

6.1.   Evaluering af data

Partikelfiltret skal bringes tilbage til vejerummet senest én time efter afslutningen af prøvningen. Det skal konditioneres i en delvist overdækket petriskål, som er beskyttet mod støvkontaminering, i mindst 1 time men ikke over 80 timer, og derefter vejes. Filtrenes bruttovægt bestemmes, og taravægten fratrækkes, hvilket giver massen af opsamlede partikler m f. Til evalueringen af partikelkoncentrationen registreres den samlede masse af opsamlede partikler (m sep) gennem filtrene gennem prøvningscyklussen.

Skal der korrigeres for baggrund, noteres massen (m d) af fortyndingsluft, der er ført gennem filtret, og partikelmassen (m f,d).

6.2.   Beregning af massestrømmen

6.2.1.   Fuldstrømsfortyndingssystem

Partikelmassen (g/test) beregnes på følgende måde:

mPT = mf msep × med 1000

hvor:

m f

=

partikelmasse opsamlet gennem cyklussen, mg

m sep

=

masse af fortyndet udstødningsgas, der passerer gennem filtrene til opsamling af partikler, kg

m ed

=

masse af fortyndet udstødningsgas gennem cyklussen, kg

Anvendes dobbelt fortyndingssystem, skal massen af sekundær fortyndingsluft trækkes fra den samlede masse af den dobbelt fortyndede udstødningsgas udskilt af partikelfiltrene.

msep = mset – mssd

hvor:

m set

=

masse af dobbelt fortyndet udstødningsgas gennem partikelfilter, kg

m ssd

=

masse af sekundær fortyndingsluft, kg

Hvis fortyndingsluftens baggrundskoncentration af partikler bestemmes i overensstemmelse med punkt 3.4, kan partikelmassen baggrundskorrigeres. I så fald beregnes partikelmassen (g/test) på følgende måde:

mPT = [mf msep - mf,d md × (1 - 1 D)] × med 1000

hvor:

mPT, msep, med

=

se ovenfor

md

=

masse af primær fortyndingsluft udtaget af baggrundspartikeludskiller, kg

mf,d

=

masse af udskilte baggrundspartikler i primær fortyndingsluft, mg

D

=

fortyndingsfaktor som bestemt i punkt 5.4.1

6.2.2.   Delstrømsfortyndingssystem

Partikelmassen (g/test) beregnes efter en af følgende metoder:

a)  mPT = mf msep × medf 1000

hvor:

m f

=

partikelmasse opsamlet gennem cyklussen, mg

m sep

=

masse af fortyndet udstødningsgas, der passerer gennem filtrene til opsamling af partikler, kg

m edf

=

masse af ækvivalent fortyndet udstødningsgas gennem cyklussen, kg

Den samlede masse af ækvivalent fortyndet udstødningsgas gennem cyklussen bestemmes på følgende måde:

medf = i = n Σ i = 1 qmedf,i × 1 f

qmedf,i = qmew,i × rd,i

rd,i = qmdew,,i (qmdew,,i - qmdw,,i)

hvor:

q medf,i

=

øjeblikkelig ækvivalent massestrømshastighed af fortyndet udstødningsgas, kg/s

q mew,i

=

udstødningens øjeblikkelige massestrømshastighed, kg/s

r d,i

=

øjeblikkelig fortyndingsforhold

q mdew,i

=

øjeblikkelig massestrømshastighed af fortyndet udstødning gennem fortyndingstunnelen, kg/s

q mdw,i

=

øjeblikkelige massestrømshastighed af fortyndingsluft, kg/s

f

=

dataindsamlingsfrekvens, Hz

n

=

antal målinger

b)  mPT = mf rs × 1000

hvor:

m f

=

partikelmasse opsamlet gennem cyklussen, mg

r s

=

gennensnitlig prøvetagningskoefficient gennem prøvningscyklussen

læses:

rs = mse mew × msep msed

hvor:

m se

=

opsamlet masse gennem cyklussen, kg

m ew

=

samlet udstødningsmassestrøm gennem cyklussen, kg

m sep

=

masse af fortyndet udstødningsgas, der passerer gennem filtrene til opsamling af partikler, kg

m ed

=

masse af fortyndet udstødningsgas gennem fortyndingstunnelen, kg

Bemærkning: Er der tale om et system med totalprøveudtagning, er m sep og M ed identiske.

6.3.   Beregning af den specifikke emission

Den specifikke partikelemission (g/kWh) beregnes på følgende måde:

MPT = mPT Wact

hvor:

Wact = faktisk udført arbejde i cyklussen i overensstemmelse med punkt 3.9.2, kWh.

6.3.1

Hvis der er tale om et system med periodisk regenerering til efterbehandling af udstødningen, vægtes emissionerne som følger:

PT = (n1 × PTn1 + n2 × PT n2) (n1 + n2)

hvor:

n1

=

antal ETC-test mellem to regenereringer

n2

=

antal ETC-test under en regenerering (mindst én ETC-test)

PTn2

=

emissioner under en regenerering

PTn1

=

emissioner før eller efter en regenerering.

▼B




Tillæg 3



DYNANOMETERSKEMA FOR ETC-TEST

Tid

s

Normal hastighed

%

Normalt drejningsmoment

%

1

0

0

2

0

0

3

0

0

4

0

0

5

0

0

6

0

0

7

0

0

8

0

0

9

0

0

10

0

0

11

0

0

12

0

0

13

0

0

14

0

0

15

0

0

16

0,1

1,5

17

23,1

21,5

18

12,6

28,5

19

21,8

71

20

19,7

76,8

21

54,6

80,9

22

71,3

4,9

23

55,9

18,1

24

72

85,4

25

86,7

61,8

26

51,7

0

27

53,4

48,9

28

34,2

87,6

29

45,5

92,7

30

54,6

99,5

31

64,5

96,8

32

71,7

85,4

33

79,4

54,8

34

89,7

99,4

35

57,4

0

36

59,7

30,6

37

90,1

»m«

38

82,9

»m«

39

51,3

»m«

40

28,5

»m«

41

29,3

»m«

42

26,7

»m«

43

20,4

»m«

44

14,1

0

45

6,5

0

46

0

0

47

0

0

48

0

0

49

0

0

50

0

0

51

0

0

52

0

0

53

0

0

54

0

0

55

0

0

56

0

0

57

0

0

58

0

0

59

0

0

60

0

0

61

0

0

62

25,5

11,1

63

28,5

20,9

64

32

73,9

65

4

82,3

66

34,5

80,4

67

64,1

86

68

58

0

69

50,3

83,4

70

66,4

99,1

71

81,4

99,6

72

88,7

73,4

73

52,5

0

74

46,4

58,5

75

48,6

90,9

76

55,2

99,4

77

62,3

99

78

68,4

91,5

79

74,5

73,7

80

38

0

81

41,8

89,6

82

47,1

99,2

83

52,5

99,8

84

56,9

80,8

85

58,3

11,8

86

56,2

»m«

87

52

»m«

88

43,3

»m«

89

36,1

»m«

90

27,6

»m«

91

21,1

»m«

92

8

0

93

0

0

94

0

0

95

0

0

96

0

0

97

0

0

98

0

0

99

0

0

100

0

0

101

0

0

102

0

0

103

0

0

104

0

0

105

0

0

106

0

0

107

0

0

108

11,6

14,8

109

0

0

110

27,2

74,8

111

17

76,9

112

36

78

113

59,7

86

114

80,8

17,9

115

49,7

0

116

65,6

86

117

78,6

72,2

118

64,9

»m«

119

44,3

»m«

120

51,4

83,4

121

58,1

97

122

69,3

99,3

123

72

20,8

124

72,1

»m«

125

65,3

»m«

126

64

»m«

127

59,7

»m«

128

52,8

»m«

129

45,9

»m«

130

38,7

»m«

131

32,4

»m«

132

27

»m«

133

21,7

»m«

134

19,1

0,4

135

34,7

14

136

16,4

48,6

137

0

11,2

138

1,2

2,1

139

30,1

19,3

140

30

73,9

141

54,4

74,4

142

77,2

55,6

143

58,1

0

144

45

82,1

145

68,7

98,1

146

85,7

67,2

147

60,2

0

148

59,4

98

149

72,7

99,6

150

79,9

45

151

44,3

0

152

41,5

84,4

153

56,2

98,2

154

65,7

99,1

155

74,4

84,7

156

54,4

0

157

47,9

89,7

158

54,5

99,5

159

62,7

96,8

160

62,3

0

161

46,2

54,2

162

44,3

83,2

163

48,2

13,3

164

51

»m«

165

50

»m«

166

49,2

»m«

167

49,3

»m«

168

49,9

»m«

169

51,6

»m«

170

49,7

»m«

171

48,5

»m«

172

50,3

72,5

173

51,1

84,5

174

54,6

64,8

175

56,6

76,5

176

58

»m«

177

53,6

»m«

178

40,8

»m«

179

32,9

»m«

180

26,3

»m«

181

20,9

»m«

182

10

0

183

0

0

184

0

0

185

0

0

186

0

0

187

0

0

188

0

0

189

0

0

190

0

0

191

0

0

192

0

0

193

0

0

194

0

0

195

0

0

196

0

0

197

0

0

198

0

0

199

0

0

200

0

0

201

0

0

202

0

0

203

0

0

204

0

0

205

0

0

206

0

0

207

0

0

208

0

0

209

0

0

210

0

0

211

0

0

212

0

0

213

0

0

214

0

0

215

0

0

216

0

0

217

0

0

218

0

0

219

0

0

220

0

0

221

0

0

222

0

0

223

0

0

224

0

0

225

21,2

62,7

226

30,8

75,1

227

5,9

82,7

228

34,6

80,3

229

59,9

87

230

84,3

86,2

231

68,7

»m«

232

43,6

»m«

233

41,5

85,4

234

49,9

94,3

235

60,8

99

236

70,2

99,4

237

81,1

92,4

238

49,2

0

239

56

86,2

240

56,2

99,3

241

61,7

99

242

69,2

99,3

243

74,1

99,8

244

72,4

8,4

245

71,3

0

246

71,2

9,1

247

67,1

»m«

248

65,5

»m«

249

64,4

»m«

250

62,9

25,6

251

62,2

35,6

252

62,9

24,4

253

58,8

»m«

254

56,9

»m«

255

54,5

»m«

256

51,7

17

257

56,2

78,7

258

59,5

94,7

259

65,5

99,1

260

71,2

99,5

261

76,6

99,9

262

79

0

263

52,9

97,5

264

53,1

99,7

265

59

99,1

266

62,2

99

267

65

99,1

268

69

83,1

269

69,9

28,4

270

70,6

12,5

271

68,9

8,4

272

69,8

9,1

273

69,6

7

274

65,7

»m«

275

67,1

»m«

276

66,7

»m«

277

65,6

»m«

278

64,5

»m«

279

62,9

»m«

280

59,3

»m«

281

54,1

»m«

282

51,3

»m«

283

47,9

»m«

284

43,6

»m«

285

39,4

»m«

286

34,7

»m«

287

29,8

»m«

288

20,9

73,4

289

36,9

»m«

290

35,5

»m«

291

20,9

»m«

292

49,7

11,9

293

42,5

»m«

294

32

»m«

295

23,6

»m«

296

19,1

0

297

15,7

73,5

298

25,1

76,8

299

34,5

81,4

300

44,1

87,4

301

52,8

98,6

302

63,6

99

303

73,6

99,7

304

62,2

»m«

305

29,2

»m«

306

46,4

22

307

47,3

13,8

308

47,2

12,5

309

47,9

11,5

310

47,8

35,5

311

49,2

83,3

312

52,7

96,4

313

57,4

99,2

314

61,8

99

315

66,4

60,9

316

65,8

»m«

317

59

»m«

318

50,7

»m«

319

41,8

»m«

320

34,7

»m«

321

28,7

»m«

322

25,2

»m«

323

43

24,8

324

38,7

0

325

48,1

31,9

326

40,3

61

327

42,4

52,1

328

46,4

47,7

329

46,9

30,7

330

46,1

23,1

331

45,7

23,2

332

45,5

31,9

333

46,4

73,6

334

51,3

60,7

335

51,3

51,1

336

53,2

46,8

337

53,9

50

338

53,4

52,1

339

53,8

45,7

340

50,6

22,1

341

47,8

26

342

41,6

17,8

343

38,7

29,8

344

35,9

71,6

345

34,6

47,3

346

34,8

80,3

347

35,9

87,2

348

38,8

90,8

349

41,5

94,7

350

47,1

99,2

351

53,1

99,7

352

46,4

0

353

42,5

0,7

354

43,6

58,6

355

47,1

87,5

356

54,1

99,5

357

62,9

99

358

72,6

99,6

359

82,4

99,5

360

88

99,4

361

46,4

0

362

53,4

95,2

363

58,4

99,2

364

61,5

99

365

64,8

99

366

68,1

99,2

367

73,4

99,7

368

73,3

29,8

369

73,5

14,6

370

68,3

0

371

45,4

49,9

372

47,2

75,7

373

44,5

9

374

47,8

10,3

375

46,8

15,9

376

46,9

12,7

377

46,8

8,9

378

46,1

6,2

379

46,1

»m«

380

45,5

»m«

381

44,7

»m«

382

43,8

»m«

383

41

»m«

384

41,1

6,4

385

38

6,3

386

35,9

0,3

387

33,5

0

388

53,1

48,9

389

48,3

»m«

390

49,9

»m«

391

48

»m«

392

45,3

»m«

393

41,6

3,1

394

44,3

79

395

44,3

89,5

396

43,4

98,8

397

44,3

98,9

398

43

98,8

399

42,2

98,8

400

42,7

98,8

401

45

99

402

43,6

98,9

403

42,2

98,8

404

44,8

99

405

43,4

98,8

406

45

99

407

42,2

54,3

408

61,2

31,9

409

56,3

72,3

410

59,7

99,1

411

62,3

99

412

67,9

99,2

413

69,5

99,3

414

73,1

99,7

415

77,7

99,8

416

79,7

99,7

417

82,5

99,5

418

85,3

99,4

419

86,6

99,4

420

89,4

99,4

421

62,2

0

422

52,7

96,4

423

50,2

99,8

424

49,3

99,6

425

52,2

99,8

426

51,3

100

427

51,3

100

428

51,1

100

429

51,1

100

430

51,8

99,9

431

51,3

100

432

51,1

100

433

51,3

100

434

52,3

99,8

435

52,9

99,7

436

53,8

99,6

437

51,7

99,9

438

53,5

99,6

439

52

99,8

440

51,7

99,9

441

53,2

99,7

442

54,2

99,5

443

55,2

99,4

444

53,8

99,6

445

53,1

99,7

446

55

99,4

447

57

99,2

448

61,5

99

449

59,4

5,7

450

59

0

451

57,3

59,8

452

64,1

99

453

70,9

90,5

454

58

0

455

41,5

59,8

456

44,1

92,6

457

46,8

99,2

458

47,2

99,3

459

51

100

460

53,2

99,7

461

53,1

99,7

462

55,9

53,1

463

53,9

13,9

464

52,5

»m«

465

51,7

»m«

466

51,5

52,2

467

52,8

80

468

54,9

95

469

57,3

99,2

470

60,7

99,1

471

62,4

»m«

472

60,1

»m«

473

53,2

»m«

474

44

»m«

475

35,2

»m«

476

30,5

»m«

477

26,5

»m«

478

22,5

»m«

479

20,4

»m«

480

19,1

»m«

481

19,1

»m«

482

13,4

»m«

483

6,7

»m«

484

3,2

»m«

485

14,3

63,8

486

34,1

0

487

23,9

75,7

488

31,7

79,2

489

32,1

19,4

490

35,9

5,8

491

36,6

0,8

492

38,7

»m«

493

38,4

»m«

494

39,4

»m«

495

39,7

»m«

496

40,5

»m«

497

40,8

»m«

498

39,7

»m«

499

39,2

»m«

500

38,7

»m«

501

32,7

»m«

502

30,1

»m«

503

21,9

»m«

504

12,8

0

505

0

0

506

0

0

507

0

0

508

0

0

509

0

0

510

0

0

511

0

0

512

0

0

513

0

0

514

30,5

25,6

515

19,7

56,9

516

16,3

45,1

517

27,2

4,6

518

21,7

1,3

519

29,7

28,6

520

36,6

73,7

521

61,3

59,5

522

40,8

0

523

36,6

27,8

524

39,4

80,4

525

51,3

88,9

526

58,5

11,1

527

60,7

»m«

528

54,5

»m«

529

51,3

»m«

530

45,5

»m«

531

40,8

»m«

532

38,9

»m«

533

36,6

»m«

534

36,1

72,7

535

44,8

78,9

536

51,6

91,1

537

59,1

99,1

538

66

99,1

539

75,1

99,9

540

81

8

541

39,1

0

542

53,8

89,7

543

59,7

99,1

544

64,8

99

545

70,6

96,1

546

72,6

19,6

547

72

6,3

548

68,9

0,1

549

67,7

»m«

550

66,8

»m«

551

64,3

16,9

552

64,9

7

553

63,6

12,5

554

63

7,7

555

64,4

38,2

556

63

11,8

557

63,6

0

558

63,3

5

559

60,1

9,1

560

61

8,4

561

59,7

0,9

562

58,7

»m«

563

56

»m«

564

53,9

»m«

565

52,1

»m«

566

49,9

»m«

567

46,4

»m«

568

43,6

»m«

569

40,8

»m«

570

37,5

»m«

571

27,8

»m«

572

17,1

0,6

573

12,2

0,9

574

11,5

1,1

575

8,7

0,5

576

8

0,9

577

5,3

0,2

578

4

0

579

3,9

0

580

0

0

581

0

0

582

0

0

583

0

0

584

0

0

585

0

0

586

0

0

587

8,7

22,8

588

16,2

49,4

589

23,6

56

590

21,1

56,1

591

23,6

56

592

46,2

68,8

593

68,4

61,2

594

58,7

»m«

595

31,6

»m«

596

19,9

8,8

597

32,9

70,2

598

43

79

599

57,4

98,9

600

72,1

73,8

601

53

0

602

48,1

86

603

56,2

99

604

65,4

98,9

605

72,9

99,7

606

67,5

»m«

607

39

»m«

608

41,9

38,1

609

44,1

80,4

610

46,8

99,4

611

48,7

99,9

612

50,5

99,7

613

52,5

90,3

614

51

1,8

615

50

»m«

616

49,1

»m«

617

47

»m«

618

43,1

»m«

619

39,2

»m«

620

40,6

0,5

621

41,8

53,4

622

44,4

65,1

623

48,1

67,8

624

53,8

99,2

625

58,6

98,9

626

63,6

98,8

627

68,5

99,2

628

72,2

89,4

629

77,1

0

630

57,8

79,1

631

60,3

98,8

632

61,9

98,8

633

63,8

98,8

634

64,7

98,9

635

65,4

46,5

636

65,7

44,5

637

65,6

3,5

638

49,1

0

639

50,4

73,1

640

50,5

»m«

641

51

»m«

642

49,4

»m«

643

49,2

»m«

644

48,6

»m«

645

47,5

»m«

646

46,5

»m«

647

46

11,3

648

45,6

42,8

649

47,1

83

650

46,2

99,3

651

47,9

99,7

652

49,5

99,9

653

50,6

99,7

654

51

99,6

655

53

99,3

656

54,9

99,1

657

55,7

99

658

56

99

659

56,1

9,3

660

55,6

»m«

661

55,4

»m«

662

54,9

51,3

663

54,9

59,8

664

54

39,3

665

53,8

»m«

666

52

»m«

667

50,4

»m«

668

50,6

0

669

49,3

41,7

670

50

73,2

671

50,4

99,7

672

51,9

99,5

673

53,6

99,3

674

54,6

99,1

675

56

99

676

55,8

99

677

58,4

98,9

678

59,9

98,8

679

60,9

98,8

680

63

98,8

681

64,3

98,9

682

64,8

64

683

65,9

46,5

684

66,2

28,7

685

65,2

1,8

686

65

6,8

687

63,6

53,6

688

62,4

82,5

689

61,8

98,8

690

59,8

98,8

691

59,2

98,8

692

59,7

98,8

693

61,2

98,8

694

62,2

49,4

695

62,8

37,2

696

63,5

46,3

697

64,7

72,3

698

64,7

72,3

699

65,4

77,4

700

66,1

69,3

701

64,3

»m«

702

64,3

»m«

703

63

»m«

704

62,2

»m«

705

61,6

»m«

706

62,4

»m«

707

62,2

»m«

708

61

»m«

709

58,7

»m«

710

55,5

»m«

711

51,7

»m«

712

49,2

»m«

713

48,8

40,4

714

47,9

»m«

715

46,2

»m«

716

45,6

9,8

717

45,6

34,5

718

45,5

37,1

719

43,8

»m«

720

41,9

»m«

721

41,3

»m«

722

41,4

»m«

723

41,2

»m«

724

41,8

»m«

725

41,8

»m«

726

43,2

17,4

727

45

29

728

44,2

»m«

729

43,9

»m«

730

38

10,7

731

56,8

»m«

732

57,1

»m«

733

52

»m«

734

44,4

»m«

735

40,2

»m«

736

39,2

16,5

737

38,9

73,2

738

39,9

89,8

739

42,3

98,6

740

43,7

98,8

741

45,5

99,1

742

45,6

99,2

743

48,1

99,7

744

49

100

745

49,8

99,9

746

49,8

99,9

747

51,9

99,5

748

52,3

99,4

749

53,3

99,3

750

52,9

99,3

751

54,3

99,2

752

55,5

99,1

753

56,7

99

754

61,7

98,8

755

64,3

47,4

756

64,7

1,8

757

66,2

»m«

758

49,1

»m«

759

52,1

46

760

52,6

61

761

52,9

0

762

52,3

20,4

763

54,2

56,7

764

55,4

59,8

765

56,1

49,2

766

56,8

33,7

767

57,2

96

768

58,6

98,9

769

59,5

98,8

770

61,2

98,8

771

62,1

98,8

772

62,7

98,8

773

62,8

98,8

774

64

98,9

775

63,2

46,3

776

62,4

»m«

777

60,3

»m«

778

58,7

»m«

779

57,2

»m«

780

56,1

»m«

781

56

9,3

782

55,2

26,3

783

54,8

42,8

784

55,7

47,1

785

56,6

52,4

786

58

50,3

787

58,6

20,6

788

58,7

»m«

789

59,3

»m«

790

58,6

»m«

791

60,5

9,7

792

59,2

9,6

793

59,9

9,6

794

59,6

9,6

795

59,9

6,2

796

59,9

9,6

797

60,5

13,1

798

60,3

20,7

799

59,9

31

800

60,5

42

801

61,5

52,5

802

60,9

51,4

803

61,2

57,7

804

62,8

98,8

805

63,4

96,1

806

64,6

45,4

807

64,1

5

808

63

3,2

809

62,7

14,9

810

63,5

35,8

811

64,1

73,3

812

64,3

37,4

813

64,1

21

814

63,7

21

815

62,9

18

816

62,4

32,7

817

61,7

46,2

818

59,8

45,1

819

57,4

43,9

820

54,8

42,8

821

54,3

65,2

822

52,9

62,1

823

52,4

30,6

824

50,4

»m«

825

48,6

»m«

826

47,9

»m«

827

46,8

»m«

828

46,9

9,4

829

49,5

41,7

830

50,5

37,8

831

52,3

20,4

832

54,1

30,7

833

56,3

41,8

834

58,7

26,5

835

57,3

»m«

836

59

»m«

837

59,8

»m«

838

60,3

»m«

839

61,2

»m«

840

61,8

»m«

841

62,5

»m«

842

62,4

»m«

843

61,5

»m«

844

63,7

»m«

845

61,9

»m«

846

61,6

29,7

847

60,3

»m«

848

59,2

»m«

849

57,3

»m«

850

52,3

»m«

851

49,3

»m«

852

47,3

»m«

853

46,3

38,8

854

46,8

35,1

855

46,6

»m«

856

44,3

»m«

857

43,1

»m«

858

42,4

2,1

859

41,8

2,4

860

43,8

68,8

861

44,6

89,2

862

46

99,2

863

46,9

99,4

864

47,9

99,7

865

50,2

99,8

866

51,2

99,6

867

52,3

99,4

868

53

99,3

869

54,2

99,2

870

55,5

99,1

871

56,7

99

872

57,3

98,9

873

58

98,9

874

60,5

31,1

875

60,2

»m«

876

60,3

»m«

877

60,5

6,3

878

61,4

19,3

879

60,3

1,2

880

60,5

2,9

881

61,2

34,1

882

61,6

13,2

883

61,5

16,4

884

61,2

16,4

885

61,3

»m«

886

63,1

»m«

887

63,2

4,8

888

62,3

22,3

889

62

38,5

890

61,6

29,6

891

61,6

26,6

892

61,8

28,1

893

62

29,6

894

62

16,3

895

61,1

»m«

896

61,2

»m«

897

60,7

19,2

898

60,7

32,5

899

60,9

17,8

900

60,1

19,2

901

59,3

38,2

902

59,9

45

903

59,4

32,4

904

59,2

23,5

905

59,5

40,8

906

58,3

»m«

907

58,2

»m«

908

57,6

»m«

909

57,1

»m«

910

57

0,6

911

57

26,3

912

56,5

29,2

913

56,3

20,5

914

56,1

»m«

915

55,2

»m«

916

54,7

17,5

917

55,2

29,2

918

55,2

29,2

919

55,9

16

920

55,9

26,3

921

56,1

36,5

922

55,8

19

923

55,9

9,2

924

55,8

21,9

925

56,4

42,8

926

56,4

38

927

56,4

11

928

56,4

35,1

929

54

7,3

930

53,4

5,4

931

52,3

27,6

932

52,1

32

933

52,3

33,4

934

52,2

34,9

935

52,8

60,1

936

53,7

69,7

937

54

70,7

938

55,1

71,7

939

55,2

46

940

54,7

12,6

941

52,5

0

942

51,8

24,7

943

51,4

43,9

944

50,9

71,1

945

51,2

76,8

946

50,3

87,5

947

50,2

99,8

948

50,9

100

949

49,9

99,7

950

50,9

100

951

49,8

99,7

952

50,4

99,8

953

50,4

99,8

954

49,7

99,7

955

51

100

956

50,3

99,8

957

50,2

99,8

958

49,9

99,7

959

50,9

100

960

50

99,7

961

50,2

99,8

962

50,2

99,8

963

49,9

99,7

964

50,4

99,8

965

50,2

99,8

966

50,3

99,8

967

49,9

99,7

968

51,1

100

969

50,6

99,9

970

49,9

99,7

971

49,6

99,6

972

49,4

99,6

973

49

99,5

974

49,8

99,7

975

50,9

100

976

50,4

99,8

977

49,8

99,7

978

49,1

99,5

979

50,4

99,8

980

49,8

99,7

981

49,3

99,5

982

49,1

99,5

983

49,9

99,7

984

49,1

99,5

985

50,4

99,8

986

50,9

100

987

51,4

99,9

988

51,5

99,9

989

52,2

99,7

990

52,8

74,1

991

53,3

46

992

53,6

36,4

993

53,4

33,5

994

53,9

58,9

995

55,2

73,8

996

55,8

52,4

997

55,7

9,2

998

55,8

2,2

999

56,4

33,6

1000

55,4

»m«

1001

55,2

»m«

1002

55,8

26,3

1003

55,8

23,3

1004

56,4

50,2

1005

57,6

68,3

1006

58,8

90,2

1007

59,9

98,9

1008

62,3

98,8

1009

63,1

74,4

1010

63,7

49,4

1011

63,3

9,8

1012

48

0

1013

47,9

73,5

1014

49,9

99,7

1015

49,9

48,8

1016

49,6

2,3

1017

49,9

»m«

1018

49,3

»m«

1019

49,7

47,5

1020

49,1

»m«

1021

49,4

»m«

1022

48,3

»m«

1023

49,4

»m«

1024

48,5

»m«

1025

48,7

»m«

1026

48,7

»m«

1027

49,1

»m«

1028

49

»m«

1029

49,8

»m«

1030

48,7

»m«

1031

48,5

»m«

1032

49,3

31,3

1033

49,7

45,3

1034

48,3

44,5

1035

49,8

61

1036

49,4

64,3

1037

49,8

64,4

1038

50,5

65,6

1039

50,3

64,5

1040

51,2

82,9

1041

50,5

86

1042

50,6

89

1043

50,4

81,4

1044

49,9

49,9

1045

49,1

20,1

1046

47,9

24

1047

48,1

36,2

1048

47,5

34,5

1049

46,9

30,3

1050

47,7

53,5

1051

46,9

61,6

1052

46,5

73,6

1053

48

84,6

1054

47,2

87,7

1055

48,7

80

1056

48,7

50,4

1057

47,8

38,6

1058

48,8

63,1

1059

47,4

5

1060

47,3

47,4

1061

47,3

49,8

1062

46,9

23,9

1063

46,7

44,6

1064

46,8

65,2

1065

46,9

60,4

1066

46,7

61,5

1067

45,5

»m«

1068

45,5

»m«

1069

44,2

»m«

1070

43

»m«

1071

42,5

»m«

1072

41

»m«

1073

39,9

»m«

1074

39,9

38,2

1075

40,1

48,1

1076

39,9

48

1077

39,4

59,3

1078

43,8

19,8

1079

52,9

0

1080

52,8

88,9

1081

53,4

99,5

1082

54,7

99,3

1083

56,3

99,1

1084

57,5

99

1085

59

98,9

1086

59,8

98,9

1087

60,1

98,9

1088

61,8

48,3

1089

61,8

55,6

1090

61,7

59,8

1091

62

55,6

1092

62,3

29,6

1093

62

19,3

1094

61,3

7,9

1095

61,1

19,2

1096

61,2

43

1097

61,1

59,7

1098

61,1

98,8

1099

61,3

98,8

1100

61,3

26,6

1101

60,4

»m«

1102

58,8

»m«

1103

57,7

»m«

1104

56

»m«

1105

54,7

»m«

1106

53,3

»m«

1107

52,6

23,2

1108

53,4

84,2

1109

53,9

99,4

1110

54,9

99,3

1111

55,8

99,2

1112

57,1

99

1113

56,5

99,1

1114

58,9

98,9

1115

58,7

98,9

1116

59,8

98,9

1117

61

98,8

1118

60,7

19,2

1119

59,4

»m«

1120

57,9

»m«

1121

57,6

»m«

1122

56,3

»m«

1123

55

»m«

1124

53,7

»m«

1125

52,1

»m«

1126

51,1

»m«

1127

49,7

25,8

1128

49,1

46,1

1129

48,7

46,9

1130

48,2

46,7

1131

48

70

1132

48

70

1133

47,2

67,6

1134

47,3

67,6

1135

46,6

74,7

1136

47,4

13

1137

46,3

»m«

1138

45,4

»m«

1139

45,5

24,8

1140

44,8

73,8

1141

46,6

99

1142

46,3

98,9

1143

48,5

99,4

1144

49,9

99,7

1145

49,1

99,5

1146

49,1

99,5

1147

51

100

1148

51,5

99,9

1149

50,9

100

1150

51,6

99,9

1151

52,1

99,7

1152

50,9

100

1153

52,2

99,7

1154

51,5

98,3

1155

51,5

47,2

1156

50,8

78,4

1157

50,3

83

1158

50,3

31,7

1159

49,3

31,3

1160

48,8

21,5

1161

47,8

59,4

1162

48,1

77,1

1163

48,4

87,6

1164

49,6

87,5

1165

51

81,4

1166

51,6

66,7

1167

53,3

63,2

1168

55,2

62

1169

55,7

43,9

1170

56,4

30,7

1171

56,8

23,4

1172

57

»m«

1173

57,6

»m«

1174

56,9

»m«

1175

56,4

4

1176

57

23,4

1177

56,4

41,7

1178

57

49,2

1179

57,7

56,6

1180

58,6

56,6

1181

58,9

64

1182

59,4

68,2

1183

58,8

71,4

1184

60,1

71,3

1185

60,6

79,1

1186

60,7

83,3

1187

60,7

77,1

1188

60

73,5

1189

60,2

55,5

1190

59,7

54,4

1191

59,8

73,3

1192

59,8

77,9

1193

59,8

73,9

1194

60

76,5

1195

59,5

82,3

1196

59,9

82,8

1197

59,8

65,8

1198

59

48,6

1199

58,9

62,2

1200

59,1

70,4

1201

58,9

62,1

1202

58,4

67,4

1203

58,7

58,9

1204

58,3

57,7

1205

57,5

57,8

1206

57,2

57,6

1207

57,1

42,6

1208

57

70,1

1209

56,4

59,6

1210

56,7

39

1211

55,9

68,1

1212

56,3

79,1

1213

56,7

89,7

1214

56

89,4

1215

56

93,1

1216

56,4

93,1

1217

56,7

94,4

1218

56,9

94,8

1219

57

94,1

1220

57,7

94,3

1221

57,5

93,7

1222

58,4

93,2

1223

58,7

93,2

1224

58,2

93,7

1225

58,5

93,1

1226

58,8

86,2

1227

59

72,9

1228

58,2

59,9

1229

57,6

8,5

1230

57,1

47,6

1231

57,2

74,4

1232

57

79,1

1233

56,7

67,2

1234

56,8

69,1

1235

56,9

71,3

1236

57

77,3

1237

57,4

78,2

1238

57,3

70,6

1239

57,7

64

1240

57,5

55,6

1241

58,6

49,6

1242

58,2

41,1

1243

58,8

40,6

1244

58,3

21,1

1245

58,7

24,9

1246

59,1

24,8

1247

58,6

»m«

1248

58,8

»m«

1249

58,8

»m«

1250

58,7

»m«

1251

59,1

»m«

1252

59,1

»m«

1253

59,4

»m«

1254

60,6

2,6

1255

59,6

»m«

1256

60,1

»m«

1257

60,6

»m«

1258

59,6

4,1

1259

60,7

7,1

1260

60,5

»m«

1261

59,7

»m«

1262

59,6

»m«

1263

59,8

»m«

1264

59,6

4,9

1265

60,1

5,9

1266

59,9

6,1

1267

59,7

»m«

1268

59,6

»m«

1269

59,7

22

1270

59,8

10,3

1271

59,9

10

1272

60,6

6,2

1273

60,5

7,3

1274

60,2

14,8

1275

60,6

8,2

1276

60,6

5,5

1277

61

14,3

1278

61

12

1279

61,3

34,2

1280

61,2

17,1

1281

61,5

15,7

1282

61

9,5

1283

61,1

9,2

1284

60,5

4,3

1285

60,2

7,8

1286

60,2

5,9

1287

60,2

5,3

1288

59,9

4,6

1289

59,4

21,5

1290

59,6

15,8

1291

59,3

10,1

1292

58,9

9,4

1293

58,8

9

1294

58,9

35,4

1295

58,9

30,7

1296

58,9

25,9

1297

58,7

22,9

1298

58,7

24,4

1299

59,3

61

1300

60,1

56

1301

60,5

50,6

1302

59,5

16,2

1303

59,7

50

1304

59,7

31,4

1305

60,1

43,1

1306

60,8

38,4

1307

60,9

40,2

1308

61,3

49,7

1309

61,8

45,9

1310

62

45,9

1311

62,2

45,8

1312

62,6

46,8

1313

62,7

44,3

1314

62,9

44,4

1315

63,1

43,7

1316

63,5

46,1

1317

63,6

40,7

1318

64,3

49,5

1319

63,7

27

1320

63,8

15

1321

63,6

18,7

1322

63,4

8,4

1323

63,2

8,7

1324

63,3

21,6

1325

62,9

19,7

1326

63

22,1

1327

63,1

20,3

1328

61,8

19,1

1329

61,6

17,1

1330

61

0

1331

61,2

22

1332

60,8

40,3

1333

61,1

34,3

1334

60,7

16,1

1335

60,6

16,6

1336

60,5

18,5

1337

60,6

29,8

1338

60,9

19,5

1339

60,9

22,3

1340

61,4

35,8

1341

61,3

42,9

1342

61,5

31

1343

61,3

19,2

1344

61

9,3

1345

60,8

44,2

1346

60,9

55,3

1347

61,2

56

1348

60,9

60,1

1349

60,7

59,1

1350

60,9

56,8

1351

60,7

58,1

1352

59,6

78,4

1353

59,6

84,6

1354

59,4

66,6

1355

59,3

75,5

1356

58,9

49,6

1357

59,1

75,8

1358

59

77,6

1359

59

67,8

1360

59

56,7

1361

58,8

54,2

1362

58,9

59,6

1363

58,9

60,8

1364

59,3

56,1

1365

58,9

48,5

1366

59,3

42,9

1367

59,4

41,4

1368

59,6

38,9

1369

59,4

32,9

1370

59,3

30,6

1371

59,4

30

1372

59,4

25,3

1373

58,8

18,6

1374

59,1

18

1375

58,5

10,6

1376

58,8

10,5

1377

58,5

8,2

1378

58,7

13,7

1379

59,1

7,8

1380

59,1

6

1381

59,1

6

1382

59,4

13,1

1383

59,7

22,3

1384

60,7

10,5

1385

59,8

9,8

1386

60,2

8,8

1387

59,9

8,7

1388

61

9,1

1389

60,6

28,2

1390

60,6

22

1391

59,6

23,2

1392

59,6

19

1393

60,6

38,4

1394

59,8

41,6

1395

60

47,3

1396

60,5

55,4

1397

60,9

58,7

1398

61,3

37,9

1399

61,2

38,3

1400

61,4

58,7

1401

61,3

51,3

1402

61,4

71,1

1403

61,1

51

1404

61,5

56,6

1405

61

60,6

1406

61,1

75,4

1407

61,4

69,4

1408

61,6

69,9

1409

61,7

59,6

1410

61,8

54,8

1411

61,6

53,6

1412

61,3

53,5

1413

61,3

52,9

1414

61,2

54,1

1415

61,3

53,2

1416

61,2

52,2

1417

61,2

52,3

1418

61

48

1419

60,9

41,5

1420

61

32,2

1421

60,7

22

1422

60,7

23,3

1423

60,8

38,8

1424

61

40,7

1425

61

30,6

1426

61,3

62,6

1427

61,7

55,9

1428

62,3

43,4

1429

62,3

37,4

1430

62,3

35,7

1431

62,8

34,4

1432

62,8

31,5

1433

62,9

31,7

1434

62,9

29,9

1435

62,8

29,4

1436

62,7

28,7

1437

61,5

14,7

1438

61,9

17,2

1439

61,5

6,1

1440

61

9,9

1441

60,9

4,8

1442

60,6

11,1

1443

60,3

6,9

1444

60,8

7

1445

60,2

9,2

1446

60,5

21,7

1447

60,2

22,4

1448

60,7

31,6

1449

60,9

28,9

1450

59,6

21,7

1451

60,2

18

1452

59,5

16,7

1453

59,8

15,7

1454

59,6

15,7

1455

59,3

15,7

1456

59

7,5

1457

58,8

7,1

1458

58,7

16,5

1459

59,2

50,7

1460

59,7

60,2

1461

60,4

44

1462

60,2

35,3

1463

60,4

17,1

1464

59,9

13,5

1465

59,9

12,8

1466

59,6

14,8

1467

59,4

15,9

1468

59,4

22

1469

60,4

38,4

1470

59,5

38,8

1471

59,3

31,9

1472

60,9

40,8

1473

60,7

39

1474

60,9

30,1

1475

61

29,3

1476

60,6

28,4

1477

60,9

36,3

1478

60,8

30,5

1479

60,7

26,7

1480

60,1

4,7

1481

59,9

0

1482

60,4

36,2

1483

60,7

32,5

1484

59,9

3,1

1485

59,7

»m«

1486

59,5

»m«

1487

59,2

»m«

1488

58,8

0,6

1489

58,7

»m«

1490

58,7

»m«

1491

57,9

»m«

1492

58,2

»m«

1493

57,6

»m«

1494

58,3

9,5

1495

57,2

6

1496

57,4

27,3

1497

58,3

59,9

1498

58,3

7,3

1499

58,8

21,7

1500

58,8

38,9

1501

59,4

26,2

1502

59,1

25,5

1503

59,1

26

1504

59

39,1

1505

59,5

52,3

1506

59,4

31

1507

59,4

27

1508

59,4

29,8

1509

59,4

23,1

1510

58,9

16

1511

59

31,5

1512

58,8

25,9

1513

58,9

40,2

1514

58,8

28,4

1515

58,9

38,9

1516

59,1

35,3

1517

58,8

30,3

1518

59

19

1519

58,7

3

1520

57,9

0

1521

58

2,4

1522

57,1

»m«

1523

56,7

»m«

1524

56,7

5,3

1525

56,6

2,1

1526

56,8

»m«

1527

56,3

»m«

1528

56,3

»m«

1529

56

»m«

1530

56,7

»m«

1531

56,6

3,8

1532

56,9

»m«

1533

56,9

»m«

1534

57,4

»m«

1535

57,4

»m«

1536

58,3

13,9

1537

58,5

»m«

1538

59,1

»m«

1539

59,4

»m«

1540

59,6

»m«

1541

59,5

»m«

1542

59,6

0,5

1543

59,3

9,2

1544

59,4

11,2

1545

59,1

26,8

1546

59

11,7

1547

58,8

6,4

1548

58,7

5

1549

57,5

»m«

1550

57,4

»m«

1551

57,1

1,1

1552

57,1

0

1553

57

4,5

1554

57,1

3,7

1555

57,3

3,3

1556

57,3

16,8

1557

58,2

29,3

1558

58,7

12,5

1559

58,3

12,2

1560

58,6

12,7

1561

59

13,6

1562

59,8

21,9

1563

59,3

20,9

1564

59,7

19,2

1565

60,1

15,9

1566

60,7

16,7

1567

60,7

18,1

1568

60,7

40,6

1569

60,7

59,7

1570

61,1

66,8

1571

61,1

58,8

1572

60,8

64,7

1573

60,1

63,6

1574

60,7

83,2

1575

60,4

82,2

1576

60

80,5

1577

59,9

78,7

1578

60,8

67,9

1579

60,4

57,7

1580

60,2

60,6

1581

59,6

72,7

1582

59,9

73,6

1583

59,8

74,1

1584

59,6

84,6

1585

59,4

76,1

1586

60,1

76,9

1587

59,5

84,6

1588

59,8

77,5

1589

60,6

67,9

1590

59,3

47,3

1591

59,3

43,1

1592

59,4

38,3

1593

58,7

38,2

1594

58,8

39,2

1595

59,1

67,9

1596

59,7

60,5

1597

59,5

32,9

1598

59,6

20

1599

59,6

34,4

1600

59,4

23,9

1601

59,6

15,7

1602

59,9

41

1603

60,5

26,3

1604

59,6

14

1605

59,7

21,2

1606

60,9

19,6

1607

60,1

34,3

1608

59,9

27

1609

60,8

25,6

1610

60,6

26,3

1611

60,9

26,1

1612

61,1

38

1613

61,2

31,6

1614

61,4

30,6

1615

61,7

29,6

1616

61,5

28,8

1617

61,7

27,8

1618

62,2

20,3

1619

61,4

19,6

1620

61,8

19,7

1621

61,8

18,7

1622

61,6

17,7

1623

61,7

8,7

1624

61,7

1,4

1625

61,7

5,9

1626

61,2

8,1

1627

61,9

45,8

1628

61,4

31,5

1629

61,7

22,3

1630

62,4

21,7

1631

62,8

21,9

1632

62,2

22,2

1633

62,5

31

1634

62,3

31,3

1635

62,6

31,7

1636

62,3

22,8

1637

62,7

12,6

1638

62,2

15,2

1639

61,9

32,6

1640

62,5

23,1

1641

61,7

19,4

1642

61,7

10,8

1643

61,6

10,2

1644

61,4

»m«

1645

60,8

»m«

1646

60,7

»m«

1647

61

12,4

1648

60,4

5,3

1649

61

13,1

1650

60,7

29,6

1651

60,5

28,9

1652

60,8

27,1

1653

61,2

27,3

1654

60,9

20,6

1655

61,1

13,9

1656

60,7

13,4

1657

61,3

26,1

1658

60,9

23,7

1659

61,4

32,1

1660

61,7

33,5

1661

61,8

34,1

1662

61,7

17

1663

61,7

2,5

1664

61,5

5,9

1665

61,3

14,9

1666

61,5

17,2

1667

61,1

»m«

1668

61,4

»m«

1669

61,4

8,8

1670

61,3

8,8

1671

61

18

1672

61,5

13

1673

61

3,7

1674

60,9

3,1

1675

60,9

4,7

1676

60,6

4,1

1677

60,6

6,7

1678

60,6

12,8

1679

60,7

11,9

1680

60,6

12,4

1681

60,1

12,4

1682

60,5

12

1683

60,4

11,8

1684

59,9

12,4

1685

59,6

12,4

1686

59,6

9,1

1687

59,9

0

1688

59,9

20,4

1689

59,8

4,4

1690

59,4

3,1

1691

59,5

26,3

1692

59,6

20,1

1693

59,4

35

1694

60,9

22,1

1695

60,5

12,2

1696

60,1

11

1697

60,1

8,2

1698

60,5

6,7

1699

60

5,1

1700

60

5,1

1701

60

9

1702

60,1

5,7

1703

59,9

8,5

1704

59,4

6

1705

59,5

5,5

1706

59,5

14,2

1707

59,5

6,2

1708

59,4

10,3

1709

59,6

13,8

1710

59,5

13,9

1711

60,1

18,9

1712

59,4

13,1

1713

59,8

5,4

1714

59,9

2,9

1715

60,1

7,1

1716

59,6

12

1717

59,6

4,9

1718

59,4

22,7

1719

59,6

22

1720

60,1

17,4

1721

60,2

16,6

1722

59,4

28,6

1723

60,3

22,4

1724

59,9

20

1725

60,2

18,6

1726

60,3

11,9

1727

60,4

11,6

1728

60,6

10,6

1729

60,8

16

1730

60,9

17

1731

60,9

16,1

1732

60,7

11,4

1733

60,9

11,3

1734

61,1

11,2

1735

61,1

25,6

1736

61

14,6

1737

61

10,4

1738

60,6

»m«

1739

60,9

»m«

1740

60,8

4,8

1741

59,9

»m«

1742

59,8

»m«

1743

59,1

»m«

1744

58,8

»m«

1745

58,8

»m«

1746

58,2

»m«

1747

58,5

14,3

1748

57,5

4,4

1749

57,9

0

1750

57,8

20,9

1751

58,3

9,2

1752

57,8

8,2

1753

57,5

15,3

1754

58,4

38

1755

58,1

15,4

1756

58,8

11,8

1757

58,3

8,1

1758

58,3

5,5

1759

59

4,1

1760

58,2

4,9

1761

57,9

10,1

1762

58,5

7,5

1763

57,4

7

1764

58,2

6,7

1765

58,2

6,6

1766

57,3

17,3

1767

58

11,4

1768

57,5

47,4

1769

57,4

28,8

1770

58,8

24,3

1771

57,7

25,5

1772

58,4

35,5

1773

58,4

29,3

1774

59

33,8

1775

59

18,7

1776

58,8

9,8

1777

58,8

23,9

1778

59,1

48,2

1779

59,4

37,2

1780

59,6

29,1

1781

50

25

1782

40

20

1783

30

15

1784

20

10

1785

10

5

1786

0

0

1787

0

0

1788

0

0

1789

0

0

1790

0

0

1791

0

0

1792

0

0

1793

0

0

1794

0

0

1795

0

0

1796

0

0

1797

0

0

1798

0

0

1799

0

0

1800

0

0

»m« = kørsel.

ETC-dynamometerskemaet er vist grafisk nedenfor i figur 5.

Hastighed (%)ETCBykørselLandevejMotorvejDrejningsmoment (%)Tid (s)

Figur 5

ETC-dynamometerskema




Tillæg 4

MÅLE- OG PRØVETAGNINGSMETODER

▼M1

1.   INDLEDNING

Gaskomponenter, partikler og røg afgivet af den afprøvede motor skal måles med de metoder, der er beskrevet i bilag V. I de pågældende afsnit af bilag V beskrives de anbefalede analysesystemer for gasemissioner (punkt 1), de anbefalede systemer til partikelfortynding og -prøvetagning (punkt 2), og de anbefalede opacimetre til røgtæthedsmåling (punkt 3).

I ESC-testen skal gaskomponenterne bestemmes i den ufortyndede udstødningsgas. Anvendes et fuldstrømsfortyndingssystem til partikelbestemmelse, kan man vælge også at bestemme gasemissionen i den fortyndede udstødningsgas. Bestemmelse af partikler finder sted enten med et delstrøms- eller fuldstrømsfortyndingssystem.

Til ETC-testen kan følgende systemer anvendes:

 et CVS-fuldstrømsfortyndingssystem til bestemmelse af emissioner af gasser og partikler (dobbelte fortyndingssystemer må anvendes),

 eller

 en kombination af måling i den ufortyndede udstødning af gasemissioner og et delstrømsfortyndingssystem for partikelemissioner,

 eller

 enhver kombination af de to principper (f.eks. ufortyndet måling af gasser og fuldstrømsmåling af partikler).

▼B

2.   DYNAMOMETER OG TESTCELLE

Til emissionsprøvning af motorer på motordynamometer skal følgende udstyr anvendes:

2.1.   Motordynamometer

Der skal anvendes et motordynamometer med specifikationer, der gør det velegnet til udførelse af testcyklerne beskrevet i tillæg 1 og 2 til dette bilag. Hastighedsmålesystemets nøjagtighed skal være ± 2 % af den aflæste værdi. Systemet til måling af drejningsmoment skal have en nøjagtighed på ± 3 % af aflæsningen i området > 20 % af fuldskalaværdien og en nøjagtighed på ± 0,6 % af fuldskalaværdien i området ≤ 20 % af fuldskalaværdien.

▼M1

2.2.   Andre instrumenter

I nødvendigt omfang skal anvendes instrumenter til måling af brændstofforbrug, luftforbrug, temperatur af kølemiddel og smøremiddel, udstødningsgastryk og indsugningsmanifoldvakuum, udstødningsgastemperatur, indsugningslufttemperatur og -fugtindhold samt brændstoftemperatur. Disse instrumenter skal opfylde kravene i tabel 9:



Tabel 9

Måleinstrumenternes nøjagtighed

Måleinstrument

Nøjagtighed

Brændstofforbrug

± 2 % af den maksimale værdi for motoren

Luftforbrug

± 2 % af den aflæste værdi eller ± 1 % af den maksimale værdi for motoren, afhængig af, hvilken værdi er den største

Udstødningsgasstrøm

± 2,5 % af den aflæste værdi eller ± 1,5 % af den maksimale værdi for motoren, afhængig af, hvilken værdi er den største

Temperatur ≤ 600 K (327 °C)

± 2 K absolut temperatur

Temperatur ≥ 600 K (327 °C)

± 1 % af aflæst værdi

Atmosfæretryk

± 0,1 kPa absolut

Udstødningsgastryk

± 0,2 kPa absolut

Indsugningsvakuum

± 0,05 kPa absolut

Andre trykangivelser

± 0,1 kPa absolut

Relativ fugtighed

± 3 % absolut

Absolut fugtindhold

± 5 % af aflæst værdi

Fortyndingsluftstrøm

± 2 % af aflæst værdi

Fortyndet udstødningsgasstrøm

± 2 % af aflæst værdi

▼M1 —————

▼M1

3.   BESTEMMELSE AF GASKOMPONENTER

3.1.   Generelle specifikationer for analysatorerne

Analysatorernes måleområde skal være passende til den foreskrevne nøjagtighed ved bestemmelse af koncentrationen af udstødningsgassens komponenter (punkt 3.1.1). Det anbefales, at analysatorerne benyttes således, at den målte koncentration er mellem 15 % og 100 % af fuld skalavisning.

Dog kan det godtages, at der måles værdier under 15 % af fuld skalavisning, såfremt der benyttes udlæsningssystemer (computere eller dataloggere) med tilstrækkelig nøjagtighed og opløsningsevne ved værdier under 15 % af måleområdets øverste værdi. I så fald skal der foretages ekstra kalibreringer på mindst 4 ensartet fordelte punkter med værdi forskellig fra nul for at sikre, at kalibreringskurverne er nøjagtige i henhold til punkt 1.6.4 i tillæg 5 til dette bilag.

Udstyrets elektromagnetiske kompatibilitet (EMC) skal være således, at yderligere fejl reduceres til det mindst mulige.

3.1.1.   Nøjagtighed

Analysatoren må ikke afvige fra det nominelle kalibreringspunkt med mere end ± 2% af den aflæste værdi over hele måleområdet bortset fra nul, eller ± 0,3 % af fuldt skalaudslag, afhængig af, hvilken værdi er den største. Nøjagtigheden bestemmes i overensstemmelse med de kalibreringskrav, der er fastlagt i punkt 1.6 i tillæg 5 til dette bilag.

Bemærkning: For så vidt angår dette direktiv defineres nøjagtighed som analysatorens afvigelse fra de nominelle kalibreringsværdier ved anvendelse af en kalibreringsgas (= faktisk værdi).

3.1.2.   Nøjagtighed

For måleområder over 155 ppm (eller ppmC) må nøjagtigheden, defineret som 2,5 gange standardafvigelsen af 10 gentagne målinger på en given kalibreringsgas, ikke være over ± 1 % af fuldt skalaudslag; for måleområder under 155 ppm (eller ppmC) må repeterbarheden ikke være over ± 2 %.

3.1.3.   Støj

Apparatets top-til-top respons på nulstillingsgas og kalibreringsgas må i et vilkårligt 10 sekunders interval ikke overstige 2 % af fuldt skalaudslag i noget måleområde.

3.1.4.   Nulpunktsforskydning

Ved nulpunktsrespons forstås gennemsnitsrespons, herunder støj, på en nulstillingsgas inden for et tidsrum af 30 sekunder. Nulpunktsresponsens forskydning skal inden for en periode på 1 time være mindre end 2 % af fuldt skalaudslag i det laveste anvendte måleområde.

3.1.5.   Forskydning af respons på kalibreringsgas

Ved responsen på kalibreringsgassen forstås gennemsnitsrespons, herunder støj, på en kalibreringsgas inden for et tidsrum af 30 sekunder. Forskydningen af responsen på kalibreringsgassen skal inden for en periode på 1 time være mindre end 2 % af fuldt skalaudslag i det laveste anvendte måleområde.

3.1.6.   Stigningstid

Stigningstiden for den analysator, der er monteret i målesystemet, må ikke være på over 3,5 s.

Bemærkning: Det vil ikke ved en evaluering alene af analysatorens responstid kunne bestemmes, om systemet som helhed er egnet til transient prøvning. Voluminer og især døde voluminer i hele systemet vil ikke blot påvirke transporttiden fra sonden til analysatoren, men også stigningstiden. Også transporttider inden i analysatoren ville blive defineret som responstid for analysatoren, ligesom konverteren eller vandlåse inden i NOx-analysatorer. Bestemmelsen af hele systemets responstid er beskrevet i punkt 1.5 i tillæg 5 til dette bilag.

3.2.   Tørring af gassen

Anordningen til gastørring, der er frivillig, skal have minimal indvirkning på koncentrationen af de målte gasser. Der må ikke anvendes kemiske tørremidler til fjernelse af vand i prøven.

3.3.   Analysatorer

Punkt 3.3.1. til 3.3.4 beskriver de måleprincipper, der skal anvendes. En detaljeret beskrivelse af målesystemerne findes i bilag V. Gasserne analyseres ved hjælp af de i det følgende angivne instrumenter. For ikke-lineære analysatorer tillades brug af lineariseringskredse.

3.3.1.   Analyse af carbonmonoxid (CO)

Carbonmonoxid-analysatoren skal være et ikke-dispersivt infrarødabsorptionsapparat (NDIR).

3.3.2.   Analyse af carbondioxid (CO2)

Carbondioxid-analysatoren skal være et ikke-dispersivt infrarødabsorptionsapparat (NDIR).

3.3.3.   Analyse af kulbrinter (HC)

Carbonhydridanalysatoren skal for dieselmotorer være af typen opvarmet flammeionisationsdetektor (HFID), hvor detektor, ventiler, ledninger mv. er opvarmet, således at gastemperaturen holdes på 463 K ± 10 K (190 ± 10 °C). For NG- og LPG-drevne gasmotorer kan carbonhydridanalysatoren være af typen ikke-opvarmet flammeionisationsdetektor (FID), afhængig af den anvendte metode (jf. punkt 1,3 i bilag V).

3.3.4.   Analyse af andre carbonhydrider end methan (NMHC) (kun NG-drevne gasmotorer)

Carbonhydrider bortset fra methan bestemmes med en af følgende metoder:

3.3.4.1.   Gaskromatografisk bestemmelse (GC)

Carbonhydrider bortset fra methan bestemmes ved fratrækning af methan bestemt med en gaskromatograf (GC) konditioneret ved 423 K (150 °C) fra de carbonhydrider, der er målt i overensstemmelse med punkt 3.3.3.

3.3.4.2.   Bestemmelse af carbonhydrider bortset fra methan ved afskærings-metoden (NMC-metoden)

Bestemmelsen af delen af andre carbonhydrider end methan foretages med en opvarmet NMC på samme ledning som en FID som i punkt 3.3.3 ved fratrækning af methan fra carbonhydriderne.

3.3.5.   Analyse af kvælstofoxider (NOx)

Måles der på tør basis, skal nitrogenoxid-analysatoren enten være en kemiluminescensdetektor (CLD) eller opvarmet kemiluminescensdetektor (HCLD) med NO2/NO-konverter. Måles der på våd basis, skal der anvendes en HCLD med konverter, hvis temperatur holdes over 328 K (55 °C), forudsat at resultatet af vanddæmpningsprøven (jf. punkt 1.9.2.2 i tillæg 5 til dette bilag) er tilfredsstillende.

3.3.6.   Måling af luft-/brændstofforholdet

Udstyret til måling af luft-/brændstofforhold, der anvendes til at bestemme udstødningsgasstrømmen, som nærmere omhandlet i punkt 4.2.5 i tillæg 2 til dette bilag, skal være en wide range luft-/brændstofforholdsføler eller lambda-føler af Zirconia-typen. Føleren skal monteres direkte på udstødningsrøret, hvor udstødningsgassens temperatur er høj nok til at forhindre vandkondensation.

Nøjagtigheden af føleren med indbygget elektronik skal ligge inden for:

± 3 % af den aflæste værdi

λ < 2

± 5 % af den aflæste værdi

2 ≤ λ < 5

± 10 % af den aflæste værdi

5 ≤ λ

For at opfylde ovenstående krav til nøjagtighed, skal føleren kalibreres som angivet af instrumentfabrikanten.

3.4.   Prøveudtagning af gasemissioner

3.4.1.   Ufortyndet udstødningsgas

Prøvetagningssonder til bestemmelse af forurenende gas skal være monteret i en afstand af mindst 0,5 m, dog mindst tre gange udstødningsrørets diameter, oven for udstødningsgassystemets afgang, men tilstrækkelig tæt på motoren til at sikre en udstødningsgastemperatur på mindst 343 K (70 °C) ved sonden.

Er der tale om en flercylindret motor med forgrenet udstødningsmanifold, skal prøvetagningssonden være placeret så langt nede, at det sikres, at prøven er repræsentativ for den gennemsnitlige udstødningsemission fra alle cylindrene. I flercylindrede motorer med flere separate grupper af udstødningsmanifolder, f.eks. V-motorer, anbefales det at kombinere manifolderne oven for prøveudtagningssonden. Hvis dette ikke er praktisk muligt, er det tilladt at foretage en prøvetagning fra den gruppe, der har den højeste CO2-emission. Andre metoder kan benyttes, hvis det er godtgjort, at de korrelerer med ovenstående metoder. Til beregning af emissionen fra udstødningen skal motorens samlede udstødningsmassestrøm anvendes.

Hvis motoren er forsynet med et system til efterbehandling af udstødningen, skal udstødningsgasprøven tages neden for efterbehandlingsanordningen.

3.4.2.   Fortyndet udstødningsgas

Udstødningsrøret mellem motoren og fuldstrømsfortyndingssystemet skal opfylde kravene i punkt 2.3.1 i bilag V (EP).

Prøvetagningssonden (-sonderne) for gasemissioner skal være placeret et sted i fortyndingstunnelen, hvor fortyndingsluft og udstødningsgas er godt opblandet og tæt på prøvetagningssonden for partikler.

Prøvetagningen kan generelt ske på to måder:

 De forurenende stoffer udtages i en prøvetagningssæk i løbet af cyklussen og måles efter prøvningens afslutning

 de forurenende stoffer udtages kontinuerligt og integreret i løbet af cyklussen; denne metode er obligatorisk for HC og NOx.

4.   BESTEMMELSE AF PARTIKELINDHOLD

Til bestemmelse af partikler kræves et fortyndingssystem. Fortynding kan foretages enten ved hjælp af et delstrømssystem eller et fuldstrømssystem. Fortyndingssystemet skal have tilstrækkelig strømningskapacitet til helt at udelukke dannelse af kondensvand i fortyndings- og prøvetagningssystemer. Den fortyndede udstødningsgas temperatur skal være under 325 K (52 °C) ( 54 ) umiddelbart oven for filterholderne. Fugtighedsregulering af fortyndingsluften før den tilføres fortyndingssystemet er tilladt, og især affugtning er nyttig, når fortyndingsluftens fugtindhold er højt. Fortyndingsluftens temperatur skal være højere end 288 K (15 °C) i umiddelbar nærhed af indgangen til fortyndingstunnellen.

Delstrømsfortyndingssystemet skal konstrueres til at udtrække en proportionel prøve fra udstødningsgasstrømmen, og således reagere på vandringer i udstødningens strømningshastighed, og indføre fortyndingsluft i denne prøve for at opnå en temperatur på under 325 K (52 °C) ved prøvningsfilteret. Med henblik herpå er det afgørende, at fortyndingsforholdet eller prøvetagningsforholdet r dil eller r s bestemmes på en sådan måde, at nøjagtighedsgrænserne i punkt 3.2.1 i tillæg 5 til dette bilag overholdes. Til udtagning kan der anvendes forskellige metoder, som i vid udstrækning vil være bestemmende for prøvetagningsudstyr og –metoder (punkt 2.2 i bilag V).

Generelt skal prøvetagningssonden for partikler være placeret i umiddelbar nærhed af prøvetagningssonden for gasemissioner, men dog i tilstrækkelig afstand fra denne til ikke at skabe interferens. Monteringsbestemmelserne i punkt 3.4.1 finder derfor også anvendelse på prøvetagning af partikler. Prøvetagningsledningen skal opfylde kravene i punkt 2 i bilag V.

Er der tale om en flercylindret motor med forgrenet udstødningsmanifold, skal prøvetagningssonden være placeret så langt nede, at det sikres, at prøven er repræsentativ for den gennemsnitlige udstødningsemission fra alle cylindrene. I flercylindrede motorer med flere separate grupper af udstødningsmanifolder, f.eks. V-motorer, anbefales det at kombinere manifolderne oven for prøveudtagningssonden. Hvis dette ikke er praktisk muligt, er det tilladt at foretage en prøveudtagning fra den gruppe, der har den højeste partikelemission. Andre metoder kan benyttes, hvis det er godtgjort, at de korrelerer med ovenstående metoder. Til beregning af emissionen fra udstødningen skal motorens samlede udstødningsmassestrøm anvendes.

Til bestemmelse af partikelmasse kræves et prøveudtagningssystem til partikelbestemmelse, partikelfiltre, en mikrogramvægt og et vejerum med temperatur- og fugtighedsregulering.

Prøvetagning af partikler skal ske ved enkeltfiltermetoden, hvor der anvendes ét filter (jf. punkt 4.1.3) til hele prøvningscyklussen. Ved ESC-test skal prøvetagningstid og -strøm overvåges nøje i prøvetagningsfasen.

4.1.   Partikelfiltre

Den fortyndede udstødning skal prøveudtages ved hjælp af et filter, der opfylder kravene i punkt 4.1.1 og 4.1.2 under prøvningssekvensen.

4.1.1.   Filterspecifikation

Der skal anvendes glasfiberfiltre med fluor-kulstofbelægning. Alle filtertyper skal have en udskillelsesgrad på mindst 99 % for 0,3 μm DOP (dioktylphthalat) ved en gasfasehastighed på mellem 35 og 100 cm/s.

4.1.2.   Filterstørrelse

Det anbefales at anvende filtre med en diameter på 47 mm eller 70 mm. Filtre med større diameter kan accepteres (punkt 4.1.4), mens filtre med mindre diameter ikke er tilladt.

4.1.3.   Filtergennemstrømningshastighed

Gassens lineære hastighed gennem filteret skal være 35 til 100 cm/s. Stigningen i tryktabet fra prøvningens start til dens afslutning må ikke overstige 25 kPa.

4.1.4.   Filterbelastning

Den påkrævede mindste filterbelastning for de mest almindelige filterstørrelser er angivet i tabel 10. For større filtre, skal den mindste filterbelastning være 0,065 mg/1 000 mm2 filterareal.



Tabel 10

Mindste filterbelastninger

Filterdiameter (mm)

Mindstebelastning (mg)

47

0,11

70

0,25

90

0,41

110

0,62

Hvis det på grundlag af tidligere prøvning er usandsynligt, at den påkrævede mindste filterbelastning opnås i en prøvningscyklus efter optimisering af strømningshastigheder og fortyndelsesforhold, kan en mindre filterbelastning være acceptabel, hvis de involverede parter er enige herom, og hvis det kan påvises, at dette opfylder nøjagtighedskravene i punkt 4.2, f.eks. med en 0,1 μg-vægt.

4.1.5.   Filterholder

Ved emissionsprøvningerne placeres filtrene i en filterholderenhed, der opfylder kravene i punkt 2.2 i bilag V. Filterholderenheden skal være konstrueret således, at den giver en strømningsfordeling over filterets pletareal. Hurtigtvirkende ventiler skal være placeret enten ovenfor eller nedenfor filterholderen. En inertipræklassifikator med et 50 %-skæringspunkt mellem 2,5 μm og 10 μm kan monteres umiddelbart ovenfor filterholderen. Det anbefales kraftigt at anvende en præklassifikator, hvis der anvendes en prøveudtagningssonde med åbent rør, der vender opad i udstødningsstrømmen.

4.2.   Specifikationer for vejerum og analysevægt

4.2.1.   Vejerum

Temperaturen af det vejerum (eller -lokale), hvor partikelfiltrene konditioneres og vejes, skal være 295 K (22° ± 3 °C) ved al konditionering og vejning af filtre. Luftfugtigheden skal holdes på et niveau svarende til et dugpunkt på 282,5 K ± 3 K (9,5 °C ± 3 °C) og en relativ fugtighed på 45 % ± 8 %.

4.2.2.   Vejning af referencefiltre

Luften i vejerum (eller -lokale) skal være fri for kontaminanter (såsom støv), der kan sætte sig på partikelfiltrene, medens de stabiliseres. Forstyrrelser i vejerummets specifikationer i henhold til beskrivelsen i punkt 4.2.1 kan tillades, hvis forstyrrelsernes varighed ikke er over 30 minutter. Vejerummet skal opfylde de foreskrevne specifikationer, inden personer træder ind i vejerummet. Der vejes mindst to ubrugte referencefiltre; dette finder sted højst fire timer før eller efter vejning af prøvefiltrene, men helst samtidig dermed. Referencefiltrene skal være af samme størrelse og materiale som prøvefiltrene.

Hvis referencefiltrenes gennemsnitsvægt ændrer sig med mere end 10 μg mellem prøvefiltervægtningerne, skal alle prøvefiltrene kasseres, og emissionsprøvningen skal gentages.

Hvis de i punkt 4.2.1 angivne betingelser med hensyn til vejerummets stabilitet ikke er opfyldt, men referencefiltervægtningerne opfylder ovennævnte kriterier, kan motorfabrikanten vælge enten at godtage vejningen af prøvefiltrene eller at betragte prøvningsresultaterne som ugyldige, bringe vejerummets reguleringssystem i orden og gentage prøven.

4.2.3.   Analysevægt

Den analysevægt, der anvendes til at bestemme filtervægten, skal have en nøjagtighed (standardafvigelse) på mindst 2 μg og en opløsning på mindst 1 μg (1 ciffer = 1 μg), specificeret af vægtens fabrikant.

4.2.4.   Elimination af virkningerne af statisk elektricitet

For at eliminere virkningerne af statisk elektricitet skal filtrene neutraliseres før vejning, hvilket kan ske ved brug af en jordledning af polonium, et Faradays bur eller en anordning med tilsvarende virkning.

4.2.5.   Specifikationer for strømningsmåling

4.2.5.1.   Almindelige forskrifter

De absolutte nøjagtigheder for flowmetre eller instrumenter til strømningsmåling skal svare til specifikationerne i punkt 2.2.

4.2.5.2.   Særlige bestemmelser for delstrømsfortyndingssystemer

For delstrømsfortyndingssystemer skal man især være opmærksom på nøjagtigheden af prøvningsstrømmen q mp, hvis den ikke måles direkte, men bestemmes ved differensflowmåling:

q mp = q mdewq mdw

I dette tilfælde er en nøjagtighed på ± 2 % for q mdew og q mdw ikke tilstrækkelig til at sikre en acceptabel nøjagtighed for q mp. Bestemmes gasstrømmen ved differensflowmåling, skal den maksimale fejl på differensen være af en sådan størrelse, at nøjagtigheden af q mp ligger inden for ± 5 %, når fortyndingsforholdet er mindre end 15. Den kan beregnes som den kvadratiske middelværdi af fejlene på de enkelte instrumenter.

Acceptable nøjagtigheder for q mp kan opnås med en af følgende metoder:

De absolutte nøjagtigheder for q mdew og q mdw er ± 0,2 %, hvilket sikrer en nøjagtighed for q mp på ≤ 5 % ved et fortyndingsforhold på 15. Større fejl vil dog forekomme med højere fortyndingsforhold.

Kalibrering af q mdw i forhold til q mdew udføres således, at der opnås de samme nøjagtigheder for q mp som i punkt a). Nærmere beskrivelse af en sådan kalibrering findes i punkt 3.2.1 i tillæg 5 til bilag III.

Nøjagtigheden af q mp bestemmes indirekte ud fra nøjagtigheden af fortyndingsforholdet som bestemt ved hjælp af en sporgas, f.eks. CO2. Også her kræves der nøjagtigheder, der svarer til metode a) for q mp.

Den absolutte nøjagtighed af q mdew and q mdw ligger inden for ± 2 % af fuld skalavisning, den maksimale fejl for forskellen mellem q mdew and q mdw ligger inden for 0,2 %, og linearitetsfejlen ligger inden for ± 0,2 % af den højeste q mdew observeret under prøvningen.

▼B

5.   BESTEMMELSE AF RØGTÆTHED

Dette punkt indeholder specifikationer for påbudt og frivilligt testudstyr til anvendelse ved ELR-testen. Røgtætheden skal måles med et opacimeter, som kan indstilles til udlæsning af opacitet (røgtæthed) og lysabsorptionskoefficient. Indstillingen til udlæsning af opacitet må kun anvendes til kalibrering og kontrol af apparatet. Til måling af røgtætheden under testcyklus skal apparatet være indstillet til måling af lysabsorptionskoefficient.

5.1.   Generelle forskrifter

Til ELR-test skal det til røgtæthedsmåling og databehandling anvendte system have tre funktionelle enheder. Disse enheder kan være sammenbygget i én enkelt enhed eller kan forefindes som et system af indbyrdes forbundne komponenter. De tre funktionelle enheder er:

 Et opacimeter, som opfylder forskrifterne i bilag V, punkt 3.

 En databehandlingsenhed, som er i stand til at udføre de i bilag III, tillæg 1, punkt 6 beskrevne funktioner.

 En printer og/eller et elektroniske lagringsmedium til registrering og udlæsning af de røgtæthedstal, som foreskrives i bilag III, tillæg 1, punkt 6.3.

5.2.   Særlige krav

5.2.1.   Linearitet

Systemet skal være lineært inden for ± 2 % røgtæthed.

5.2.2.   Nulpunktsforskydning

Nulpunktsforskydningen må inden for et tidsrum af 1 time ikke være over ± 1 % røgtæthed.

5.2.3.   Opacimeterets skalavisning og måleområde

Ved aflæsning af opacitet skal måleområdet være opacitet mellem 0 og 100 % med en aflæsenøjagtigheden på 0,1 % opacitet. Til aflæsning af lysabsorptionskoefficient skal området være 0-30 m-1 lysabsorptionskoefficient, og aflæsenøjagtigheden 0,01 m-1 lysabsorptionskoefficient.

5.2.4.   Instrumentets responstid

Opacimeterets fysiske responstid må ikke være over 0,2 s. Den fysiske responstid er den tid, det tager aflæsningen på en hurtigreagerende modtageenhed at nå fra 10 til 90 % af hele ændringen, når opaciteten af den målte gas ændrer sig i løbet af mindre end 0,1 s.

Opacimeterets elektriske responstid må ikke være over 0,05 s. Den elektriske responstid er den tid, det tager aflæsningen på en hurtigreagerende modtageenhed at nå fra 10 til 90 % af fuld skalavisning, når lyskilden afbrydes eller fuldstændig slukkes i løbet af mindre end 0,01 s.

5.2.5.   Neutralfiltre

For eventuelle neutralfiltre, der anvendes i forbindelse med kalibrering, linearitetsmåling eller nulstilling af opacimeteret, skal værdien være kendt med en nøjagtighed på 1,0 % opacitet. Nøjagtigheden af filterets nominelle værdi skal kontrolleres mindst en gang årligt ved hjælp af en reference, der kan henføres til en national eller international standard.

Neutralfiltre er præcisionsudstyr, som let kan blive beskadiget under brug. Håndteringen bør indskrænkes til det mindst mulige og bør, når den er nødvendig, ske med forsigtighed for at undgå at filteret ridses eller tilsmudses.




Tillæg 5

KALIBRERINGSMETODE

1.   KALIBRERING AF ANALYSEAPPARATURET

1.1.   Introduktion

Hver analysator skal kalibreres så ofte som nødvendigt til opfyldelse af nøjagtighedskravene i dette direktiv. I dette punkt beskrives den kalibreringsmetode, som skal anvendes til analysatorerne omhandlet i bilag III, tillæg 4, punkt 3 samt i bilag V, punkt 1.

1.2.   Kalibreringsgasser

For alle anvendte kalibreringsgasser skal holdbarhedsperioden overholdes.

Den af for kalibreringsgassens fabrikant angivne udløbsdato skal registreres.

1.2.1.   Rene gasser

Renhedskravene til gasserne er fastlagt ved nedenstående renhedsgrænser. Følgende gasser skal være til rådighed til anvendelse ved prøven:

Renset kvælstof

(Urenheder ≤ 1 ppm C1, ≤ 1 ppm CO, ≤ 400 ppm CO2, ≤ 0,1 ppm NO).

Renset ilt

(Renhed > 99,5 % v/v O2).

Hydrogen-helium blanding

(40 ± 2 % hydrogen, resten helium)

(Urenheder ≤ 1 ppm C1, ≤ 400 ppm CO2).

Renset syntetisk luft

(Urenheder ≤ 1 ppm C1, ≤ 1 ppm CO, ≤ 400 ppm CO2, ≤ 0,1 ppm NO)

(Oxygenindhold mellem 18 og 21 % v/v).

Renset propan eller CO til CVS-kontrol.

1.2.2.   Kalibrerings- og nulstillingsgasser

Blandinger med følgende kemiske sammensætning skal være til rådighed:

C3H8 og renset syntetisk luft (se punkt 1.2.1)

CO og renset kvælstof

NOx og renset kvælstof (indholdet af NO2 i denne kalibreringsgas må ikke være over 5 % af NO-indholdet)

CO2 og renset kvælstof

CH4 og renset syntetisk luft

C2H6 og renset syntetisk luft.

Bemærkning: Andre gaskombinationer er tilladt, forudsat at gasserne ikke reagerer indbyrdes.

Den faktiske koncentration i en kalibrerings- eller nulstillingsgas må ikke afvige mere end ± 2 % fra den nominelle. Alle koncentrationer for kalibreringsgasser skal angives på volumenbasis (% v/v eller ppm v/v).

De til kalibrering og nulstilling anvendte gasblandinger kan også fremstilles med et gasdeleapparat ved fortynding med renset N2 eller med renset syntetisk luft. Blanderens nøjagtighed skal være således, at koncentrationen af fortyndet kalibreringsgas kan bestemmes med en nøjagtighed på ± 2 %.

▼M1

1.2.3.   Anvendelse af præcisionsanordninger til blanding

De til kalibrering og nulstilling anvendte gasblandinger kan også fremstilles med præcisionsanordninger til blanding (gasdeleapparater) ved fortynding med renset N2 eller med renset syntetisk luft. Blandingsanordningens nøjagtighed skal være således, at koncentrationen af blandet kalibreringsgas kan bestemmes med en nøjagtighed på ± 2 %. Denne nøjagtighed betyder, at primære gasser anvendt til blanding skal kendes med en nøjagtighed på mindst ± 1 %, der kan henføres til nationale eller internationale gasstandarder. Kontrollen skal udføres ved mellem 15 og 50 % af fuld skalavisning for hver kalibrering, i hvilken indgår en blandingsanordning.

Man kan vælge at kontrollere blandingsanordningen med et instrument af lineær art, f.eks. et som bruger NO-gas med CLD. Instrumentets kalibreringsværdi skal justeres med kalibreringsgassen direkte tilsluttet instrumentet. Blandingsanordningen skal kontrolleres ved de anvendte indstillinger, og den nominelle værdi skal sammenlignes med instrumentets målte koncentrationer. Denne forskel skal i hvert punkt være inden for ± 1 % af den nominelle værdi.

▼B

1.3.   Betjening af analysatorer og prøvetagningssystem

Ved betjening af analysatorer skal fabrikantens anvisninger for opstart og betjening følges. Mindstekravene i punkt 1.4 til 1.9 skal være overholdt.

▼M1

1.4.   Tæthedsprøve

Systemet skal gennemgå en tæthedsprøve. Sonden afkobles fra udstødningssystemet, og dens ende tilproppes. Analysatorens pumpe startes. Efter den indledende stabilisering skal alle flowmetre vise nul. Hvis ikke, kontrolleres prøvetagningsledningerne, og fejlen rettes.

På vakuumsiden tillades en utæthed svarende til højst 0,5 % af strømmen under brug i den del af systemet, der kontrolleres. Størrelsen af strømmen under brug kan skønnes ud fra størrelsen af strømmen gennem analyseapparatet og omledningsforbindelse.

Alternativt kan systemet udsuges til et tryk på mindst 20 kPa vakuum (80 kPa absolut). Efter den indledende stabilisering må trykforøgelsen i systemet Δp (kPa/min) ikke være større end:

Δp = p / V s × 0,005 × q vs

hvor:

V s

=

systemets volumen, 1

q vs

=

systemets strømningshastighed, l/min

En alternativ metode er at indføre en trinvis ændring af koncentrationen i begyndelsen af prøvetagningsledningen ved at skifte fra nulstillings- til kalibreringsgas. Hvis den aflæste koncentration efter et passende tidsrum er ca. 1 % lavere end den tilførte koncentration, er det tegn på kalibreringsfejl eller utæthed.

▼M1

1.5.   Kontrol af analysesystemets responstid

Systemets indstillinger til evaluering af responstid skal være nøjagtigt de samme som under måling i prøvningsforløbet (dvs. tryk, strømningshastigheder, filterindstillinger på analysatorerne og alle andre ting, der har indflydelse på responstiden). Bestemmelsen af responstid skal finde sted med gasomskiftning direkte ved indgangen til prøvetagningssonden. Gasomskiftningen skal ske på under 0,1 sekund. De gasser, der anvendes til prøvningen, skal forårsage en koncentrationsændring på mindst 60 % FS.

Koncentrationssporet for hver enkel gaskomponent registreres. Responstiden defineres som forskellen i tid mellem gasomskiftningen og den relevante ændring af den registrerede koncentration. Systemets responstid består (t 90) af forsinkelsestid til måledetektoren og detektorens stigningstid. Forsinkelsestid defineres som tiden fra ændringen (t 0) indtil responsen er 10 % af den endelige aflæste værdi (t 10). Stigningstiden defineres som tiden mellem 10 % og 90 % respons af den endelige aflæste værdi (t 90t 10).

Med hensyn til justering af analysator- og udstødningsstrømssignaler i tilfælde af ufortyndede målinger defineres transformationstiden som tiden fra ændringen (t 0), indtil responsen er 50 % af den endelige aflæste værdi (t 50).

Systemets responstid skal være ≤ 10 sekunder med en stigningstid ≤ 3,5 sekunder for alle begrænsede komponenter (CO, NOx, HC eller NMHC) og alle anvendte områder.

▼M1

1.6.   Kalibrering

1.6.1.   Instrumentenhed

Instrumentenheden kalibreres, og kalibreringskurverne kontrolleres i forhold til standardgasser. Der anvendes samme strømningshastigheder som ved prøvetagning af udstødning.

1.6.2.   Opvarmningstid

Opvarmningstiden skal være i overensstemmelse med fabrikantens anbefalinger. Hvis opvarmningstiden ikke er nærmere specificeret, anbefales det, at analysatorerne opvarmes i mindst 2 timer.

1.6.3.   NDIR- og HFID-analysator

NDIR-analysatoren finjusteres i nødvendigt omfang og HFID-analysatoren forbrændingsflamme optimeres (punkt 1.8.1).

1.6.4.   Fastlæggelse af kalibreringskurven

 Ethvert normalt anvendt driftsområde kalibreres.

 Med renset, syntetisk luft (eller nitrogen) nulstilles CO-, CO2-, NOx- og HC-analysatorerne.

 De pågældende kalibreringsgasser tilføres analysatorerne, værdierne registreres, og kalibreringskurven optegnes.

 Kalibreringskurven optegnes med mindst 6 kalibreringspunkter (ekskl. nul), jævnt fordelt over driftsområdet. Den højeste nominelle koncentration skal svare til mindst 90 % af fuldt skalaudslag.

 Kalibreringskurven beregnes ved hjælp af mindste kvadraters metode. En best-fit lineær eller ikke-lineær ligning kan anvendes.

 Kalibreringspunkterne må ikke afvige fra best-fit linjen, fastlagt ved brug af de mindste kvadraters metode, med mere end ± 2 % af den aflæste værdi eller ± 0,3 % af fuld skalavisning; det største gælder.

 Om nødvendigt gentages kontrollen af nulstillingen og kalibreringen.

1.6.5.   Alternative metoder

Hvis det kan godtgøres, at tilsvarende nøjagtighed kan opnås med alternativ teknologi (f.eks. computer, elektronisk styret områdevælger osv.), kan sådanne alternativer benyttes.

1.6.6.   Kalibrering af sporgasanalysator til måling af udstødningsstrøm

Kalibreringskurven optegnes med mindst 6 kalibreringspunkter (ekskl. nul), jævnt fordelt over driftsområdet. Den højeste nominelle koncentration skal svare til mindst 90 % af fuldt skalaudslag. Kalibreringskurven beregnes ved hjælp af mindste kvadraters metode.

Kalibreringspunkterne må ikke afvige fra best-fit linjen, fastlagt ved brug af de mindste kvadraters metode, med mere end ± 2 % af den aflæste værdi eller ± 0,3 % af fuld skalavisning; det største gælder.

Analysatoren indstilles på nul, og måleområdet bestemmes inden prøvningen ved hjælp af en nulstillingsgas og en kalibreringsgas med en nominel værdi på over 80 % af analysatorens fulde visning.

▼B

►M1  1.6.7. ◄    Efterprøvning af kalibreringen

Før hver bestemmelse skal hvert af de normalt anvendte måleområder efterprøves på følgende måde:

Kalibreringen kontrolleres ved hjælp af en nulstillingsgas og en kalibreringsgas med nominel koncentration på over 80 % af fuldt skalaudslag i det pågældende måleområde.

Afviger kontrolværdierne for de to nævnte punkter højst ± 4 % af fuldt skalaudslag fra den angivne referenceværdi, kan indstillingsparametrene ændres. I modsat fald skal der optegnes en ny kalibreringskurve i overensstemmelse med punkt 1.5.5.

1.7.   Kontrol af NOx-konverterens virkningsgrad

Virkningsgraden af konverteren, der anvendes til konvertering af NO2 til NO, kontrolleres som anført i punkt 1.7.1 til 1.7.8 (fig. 6).

1.7.1.   Prøveopstilling

Ved hjælp af prøveopstillingen vist i fig. 6 (se også bilag III, tillæg 4, punkt 3.3.5) og nedenstående fremgangsmåde kontrolleres konverterens virkningsgrad med en ozonisator.

1.7.2.   Kalibrering

CLD- og HCLD-apparaterne kalibreres i det mest anvendte arbejdsområde efter fabrikantens anvisninger ved hjælp af nulstillings- og kalibreringsgas (NO-indholdet deri skal være ca. 80 % af arbejdsområdet, og NO2-koncentrationen i gasblandingen under 5 % af NO-koncentrationen). NOx-analysatoren skal være stillet på NO-måling, således at kalibreringsgassen ikke går gennem konverteren. Den viste koncentration registreres.

1.7.3.   Beregning

NOx-konverterens virkningsgrad beregnes af følgende udtryk:

image

hvor:

a

=

er NOx-koncentrationen i henhold til punkt 1.7.6

b

=

er NOx-koncentrationen i henhold til punkt 1.7.7

c

=

er NO-koncentrationen i henhold til punkt 1.7.4

d

=

er NO-koncentrationen i henhold til punkt 1.7.5

1.7.4.   Oxygentilførsel

Via en T-samling tilføres kontinuerligt oxygen eller nulstillingsluft til gasstrømmen, indtil den aflæste koncentration er ca. 20 % lavere end den aflæste kalibreringskoncentration anført i punkt 1.7.2 (Analysatoren er indstillet på NO-måling). Den aflæste koncentration c skal registreres. Ozonisatoren skal være ude af funktion under denne proces.

1.7.5.   Aktivering af ozonisatoren

Ozonisatoren aktiveres nu, således at den danner tilstrækkelig ozon til at nedsætte koncentrationen af NO til ca. 20 % (mindst 10 %) af den kalibreringskoncentration, der er angivet i punkt 1.7.2. Den viste koncentration d registreres. (Analysatoren indstilles på NO).

1.7.6.   NOx-måling

NO-analysatoren stilles derefter om på NOx, således at gasblandingen (bestående af NO, NO2, O2 og N2) nu ledes gennem konverteren. Den aflæste koncentration a skal registreres (Analysatoren indstilles på NOx).

1.7.7.   Dekatering af ozonisatoren

Ozonisatoren deaktiveres nu. Den i punkt 1.7.6 beskrevne gasblanding ledes gennem konverteren og til detektoren. Den aflæste koncentration b skal registreres. (Analysatoren indstilles på NOx).

1.7.8.   NO-måling

Når der er skiftet til NO og ozonisatoren deaktiveret, afbrydes også tilførslen af ilt eller syntetisk luft. Den af analysatoren målte NOx-værdi må højst afvige ± 5 % fra den, der er målt i henhold til punkt 1.7.2. (Analysatoren indstilles på NO).

1.7.9.   Kontrollens hyppighed

Konverterens virkningsgrad skal afprøves før hver kalibrering af NOx-analysatoren.

1.7.10.   Krav til virkningsgraden

Konverterens virkningsgrad må ikke være under 90 %; en virkningsgrad på over 95 % må dog stærkt tilrådes.

Bemærkninger:

Hvis der ved hjælp af ozonisatoren ikke kan opnås en reduktion fra 80 % til 20 % i overensstemmelse med punkt 1.7.5, når analyseenheden er indstillet på det mest anvendte område, anvendes det højeste område, som giver denne reduktion.

magnetventilreguleringstransformatorozonisatortil analysator

Figur 6

Diagram over opstilling til kontrol af NO2-konverterens virkningsgrad

1.8.   Justering af flammeion-analysatoren

1.8.1.   Optimering af detektorens respons

FID-enheden skal justeres som angivet af instrumentets fabrikant. Der anvendes en kalibreringsgas bestående af propan i luft til optimering af responsen i det mest anvendte måleområde.

Med brændstof- og luftstrømme indstillet i henhold til fabrikantens anvisninger tilføres analysatoren en kalibreringsgas på 350 ± 75 ppm C. Responsen på en given brændstoftilførsel bestemmes ud fra forskellen mellem responsen på kalibreringsgas og responsen på nulstillingsgas. Brændstoftilførslen indstilles trinvis over og under fabrikantens specifikation. Responsen på kalibreringsgas og nulstillingsgas ved de pågældende værdier af brændstoftilførslen registreres. Forskellen mellem responsen på kalibrerings- og nulstillingsgassen afbildes i kurveform, og brændstoftilførslen indstilles, så den svarer til kurvens »fede« side.

1.8.2.   Responsfaktorer for carbonhydrider

Analyseapparatet kalibreres med propan i luft og renset syntetisk luft som angivet i punkt 1.5.

Responsfaktorerne skal bestemmes, når en analyseenhed idriftsættes samt efter større serviceeftersyn. Responsfaktoren (Rf) for et given carbonhydrid er forholdet mellem C1-udslaget på FID-analysatoren og gaskoncentrationen i cylinderen, angivet i ppm C1.

Prøvegassen skal have en koncentration, der giver en respons på ca. 80 % af fuldt skalaudslag. Regnet i volumen skal koncentrationen være bestemt med en nøjagtighed på ± 2 % i forhold til en gravimetrisk standard, udtrykt i volumenenheder. Desuden skal gascylinderen være forkonditioneret i 24 timer ved en temperatur på 298 K ± 5 K (25 C ± 5 C).

Nedenfor er angivet, hvilke prøvegasser der skal anvendes og det anbefalede område for responsfaktoren:

Methan og renset syntetisk luft: 1,00 ≤ Rf ≤ 1,15

Propylen og renset syntetisk luft: 0,90 ≤ Rf ≤ 1,10

Toluen og renset syntetisk luft: 0,90 ≤ Rf ≤ 1,10

Værdierne er angivet i forhold til responsfaktoren (Rf) på 1,00 for propan og renset syntetisk luft.

1.8.3.   Kontrol af oxygeninterferens

Kontrol af oxygeninterferens skal finde sted, når en analysator idriftsættes samt efter hovedserviceintervallerne.

Definition af responsfaktoren og metode til dens bestemmelse er givet i punkt 1.8.2. Nedenfor er angivet, hvilke prøvegasser der skal anvendes og det anbefalede område for den relative responsfaktor:

image

Værdierne er angivet i forhold til responsfaktoren (Rf) på 1,00 for propan og renset syntetisk luft.

Iltkoncentrationen i FID-brænderen skal med en nøjagtighed på ± 1 molprocent svare til oxygenkoncentrationen i den brænderluft, der er anvendt til den seneste kontrol af oxygeninterferens. Er forskellen større, foretages kontrol af iltinterferens, og om nødvendigt justeres analysatoren.

1.8.4.   Virkningsgraden af afskæringen af andre carbonhydrider end methan (NMC, kun NG-drevne gasmotorer)

NMC anvendes til fjernelse af carbonhydrider bortset fra methan fra prøvegassen gennem oxidation af alle carbonhydrider bortset fra methan. Det ideelle er en konverteringsgrad på 0 % for methan og 100 % for de andre carbonhydrider, repræsenteret ved ethan. For at få en nøjagtig bestemmelse af NMHC bestemmer man de to virkningsgrader og anvender dem til beregning af massestrømmen af NMHC-emissioner (se bilag III, tillæg 2, punkt 4.3).

1.8.4.1.   Virkningsgrad for methan

Methankalibreringsgassen ledes gennem FID-enheden med og uden omledning ved NMC-enheden, og de to koncentrationer registreres. Virkningsgraden bestemmes som følger:

image

hvor:

concw

=

HC-koncentration, når CH4 ledes gennem NMC-enheden, og

koncw/o

=

HC koncentration, når CH4 ledes uden om NMC-enheden.

1.8.4.2.   Virkningsgrad for ethan

Ethankalibreringsgassen ledes gennem FID-enheden med og uden omledning ved NMC-enheden, og de to koncentrationer registreres. Virkningsgraden bestemmes som følger:

image

hvor:

koncw

=

HC-koncentration, når C2H6 ledes gennemm NMC-enheden, og

koncw/o

=

HC-koncentration, når C2H6 ledes uden om NCM-enheden.

1.9.   Interferensvirkninger med CO-, CO2- og NOx-analysatorer

Målingerne kan på flere måder påvirkes ved interferens fra andre gasser end den, der bestemmes. Positiv interferens forekommer i NDIR-enheder, hvor den interfererende gas giver samme virkning som den målte, blot i mindre grad. Negativ interferens forekommer ligeledes i NDIR-enheder, når den interfererende gas udvider absorptionsbåndet for den målte gas, samt i CLD-enheder, når den interfererende gas dæmper strålingen. Interferenskontrollen i punkt 1.9.1 og 1.9.2 skal foretages før første ibrugtagning af en analysator samt i forbindelse med større eftersyn.

1.9.1.   CO-interferenskontrol for analysatorerne

Vand- og CO2 kan interferere med CO-analysatorens resultater. Kontrol heraf foretages ved, at en CO2-kalibreringsgas med en koncentration svarende til 80 til 100 % af fuldt skalaudslag i det højeste under testningen anvendte måleområde bobles gennem vand ved rumtemperatur, og analysatorens respons registreres. For måleområder på 300 ppm eller derover må responsen ikke være over 1 % af fuldt skalaudslag, for måleområder under 300 ppm må responsen ikke være over 3 ppm.

1.9.2.   Kontrol af NOx-analysatorernes dæmpning

De to gasser, der har interesse i forbindelse med analysatorer af typen CLD (og HCLD), er CO2 og vanddamp. Disse gassers dæmpning er proportional med deres koncentration, hvorfor der kræves teknikker til bestemmelse af dæmpningen ved de højeste koncentrationer, der forventes at optræde under prøverne.

1.9.2.1.   Kontrol af dæmpning fra CO2

En CO2-kalibreringsgas med en koncentration på 80 til 100 % af fuldskalaværdien i det maksimale måleområde ledes gennem NDIR-analysatoren, og CO2-værdien registreres som A. Derefter fortyndes den ca. 50 % med NO-kalibreringsgas og ledes gennem NDIR og (H)CLD, idet CO2- og NO-værdierne registreres som henholdsvis B og C. Der lukkes for CO2-tilførslen, og kun NO-kalibreringsgassen ledes gennem (H)CLD-enheden; NO-værdien registreres som D.

Dæmpningen, som ikke må være over 3 % af fuld skalavisning, beregnes på følgende måde:

image

hvor:

A

=

er ufortyndet CO2-koncentration, målt med NDIR, i %

B

=

er fortyndet CO2-koncentration, målt med NDIR, i %

C

=

er den fortyndede NO-koncentration, målt med (H)CLD, i ppm

D

=

er den ufortyndede NO-koncentration, målt med (H)CLD, i ppm.

Alternative metoder til fortynding og kvantitativ bestemmelse af CO2- og NO-kalibreringsgasserne, således dynamisk opblanding, kan anvendes.

1.9.2.2.   Kontrol af dæmpning fra vand

Denne kontrol finder kun anvendelse på gaskoncentrationsmålinger på våd basis. Ved beregning af dæmpningen fra vand skal der tages hensyn til fortyndingen af NO-kalibreringsgassen med vanddamp og tilpasning af blandingens vanddampkoncentration til den, der forventes under testningen.

En NO-kalibreringsgas med en koncentration på 80 til 100 % af fuldt skalaudslag i det højeste måleområde ledes gennem (H)CLD-analysatoren, og NO-værdien registreres som D. Derefter bobles NO-kalibreringsgassen gennem vand ved rumtemperatur og ledes gennem (H)CLD-analysatoren, og NO-værdien registreres som C. Analysatorens absolutte arbejdstryk og vandtemperaturen bestemmes og registreres som henholdsvis E og F. Blandingens mætningsdamptryk svarende til gennemboblerens vandtemperatur F bestemmes og registreres som G. Blandingens vanddamptryk (H, i %) beregnes på følgende måde:

image

Den forventede koncentration (De) af den fortyndede NO-kalibreringsgas (i vanddamp) beregnes således:

image

Idet atomforholdet H/C for dieselolie sættes til 1,8:1, beregnes den under prøven forventede maksimale vanddampkoncentration (Hm, i %) for diesel-udstødningsgas ud fra CO2-koncentrationen i ufortyndet kalibreringsgas (A, målt i punkt 1.9.2.1), som følger:

image

Dæmpningen fra vand, som ikke må være over 3 % af fuld skalavisning, beregnes på følgende måde:

image

hvor:

De

=

er den forventede NO-koncentration, i ppm

C

=

er den fortyndede NO-koncentration, i ppm

Hm

=

er den maksimale vanddampkoncentration, i %

H

=

er den faktiske vanddampkoncentration, i %.

Bemærkning:

Det er vigtigt, at den til denne kontrol anvendte NO-kalibreringsgas indeholder mindst muligt NO2, da der i dæmpningsberegningerne ikke er taget hensyn til opløsning af NO2 i vand.

1.10.   Kalibreringsintervaller

Kalibrering af analysatorerne som angivet i punkt 1.5 skal foretages mindst hver 3. måned, samt hver gang der er foretaget reparationer eller ændringer, som kan tænkes at påvirke kalibreringen.

2.   KALIBRERING AF CVS-SYSTEMET

2.1.   Generelt

CVS-systemet kalibreres med et nøjagtigt flowmeter, der kan henføres til nationale eller internationale standarder, og en forsnævringsanordning. Strømningen gennem systemet måles ved forskellige indstillinger af forsnævringen, og systemets styreparametre måles og sammenholdes med gennemstrømningen.

Der kan anvendes forskellige typer flowmetre, f.eks. kalibreret venturi, kalibreret laminart flowmeter, kalibreret turbinemeter.

2.2.   Kalibrering af fortrængningspumpe (PDP)

Alle parametre vedrørende pumpen skal måles samtidig med parametrene vedrørende det flowmeter, der er serieforbundet med pumpen. Den beregnede strømningshastighed (i m3/min ved pumpeindgangen, absolut tryk og temperatur) afsættes mod en korrelationsfunktion, der er dannet ved en bestemt kombination af pumpeparametre. Derefter bestemmes den lineære ligning, som udtrykker sammenhængen mellem pumpeydelsen og korrelationsfunktionen. Hvis drevet på noget CVS arbejder med flere hastigheder, skal der kalibreres for hvert af de anvendte områder. Under kalibreringen skal temperaturen holdes stabil.

2.2.1.   Dataanalyse

Luftgennemstrømningen (Qs) ved hver indstilling af forsnævringen (mindst 6 indstillinger) beregnes i standard-m3/min på grundlag af flowmeterdataene med den af fabrikanten foreskrevne metode. Luftstrømningshastigheden omregnes derefter til pumpeydelse (V0) i m3/omdr. ved absolut pumpeindgangstemperatur og -tryk på følgende måde:

image

hvor:

Qs

=

luftstrøm ved standardbetingelserne (101,3 kPa, 273 K), m3/s

T

=

temperatur ved pumpeindgangen, K

pA

=

absolut tryk ved pumpens indgang (pB-p1), kPa

n

=

pumpehastighed (omdr./s)

For at tage hensyn til vekselvirkningen mellem trykvariationer ved pumpen og pumpens sliphastighed beregnes korrelationsfunktionen (X0) mellem pumpehastighed, trykdifference mellem pumpeindgang og -afgang og absolut pumpeafgangstryk på følgende måde:

image

hvor:

Δpp

=

trykforskel mellem pumpeindgang og pumpeafgang, kPa

pA

=

absolut afgangstryk ved pumpeudgang, kPa

Kalibreringsligningen beregnes ved en lineær mindste kvadraters tilnærmelse på følgende måde:

image

Konstanterne D0 og m er henholdsvis regressionslinjernes skæringspunkt og hældning og beskriver således disse.

For et CVS-system med mange hastigheder skal kalibreringskurverne genereret med forskellige pumpeydelser være tilnærmselsesvis parallelle, og værdierne svarende til skæringspunktet (D0) skal stige med aftagende pumpeydelse.

De af ligningen beregnede værdier skal ligge inden for ± 0,5 % af den målte værdi af V0. Værdien af m vil være forskellig for forskellige pumper. Tilførte partikler vil med tiden mindske pumpens slip, således at m aftager. Derfor skal pumpen kalibreres ved opstart, efter større vedligeholdelsesindgreb samt hvis efterprøvningen af det samlede system (afsnit 2.4) tyder på, at sliphastigheden har ændret sig.

2.3.   Kalibrering af kritisk venturi (CFV)

Kalibrering af CFV bygger på strømningsligningen for en kritisk venturi. Gasstrømmen er en funktion af indgangstryk og -temperatur som vist nedenfor:

image

hvor:

Kv

=

kalibreringsfaktor

pA

=

absolut tryk ved venturiens indgang, kPa

T

=

temperatur ved venturiens indgang, K.

2.3.1.   Dataanalyse

Luftgennemstrømningen (Qs) ved hver indstilling af forsnævringen (mindst 8 indstillinger) beregnes i standard-m3/min. af flowmeterdataene med den af fabrikanten foreskrevne metode. Kalibreringsfaktoren beregnes af kalibreringsdataene for hver indstilling på følgende måde:

image

hvor:

Qs

=

luftstrømningshastighed ved standardbetingelserne (101,3 kPa, 273 K), m3/s

T

=

temperatur ved venturiens indgang, K

pA

=

absolut tryk ved venturiens indgang, kPa.

For at bestemme området med kritisk strømning afsættes Kv som funktion af venturiens indgangstryk. For kritisk (droslet) strømning vil Kv være forholdsvis konstant. Når trykket aftager (vakuum øges) aftager venturiens drosselvirkning og Kv mindskes, ensbetydende med at CFV-enheden arbejder uden for det tilladte arbejdsområde.

For mindst otte punkter i området med kritisk strømning beregnes gennemsnitsværdien af Kv og standardafvigelsen. Standardafvigelsen må ikke være over ± 0,3 % af gennemsnitsværdien af Kv.

▼M1

2.4.   Kalibrering af subsonisk venturi (SSV)

Kalibrering af SSV bygger på strømningsligningen for en subsonisk venturi. Gasstrømmen er en funktion af indgangstryk og temperatur, trykfald mellem SSV-indgang og hals.

2.4.1.   Dataanalyse

Luftgennemstrømningen (QSSV) ved hver indstilling af forsnævringen (mindst 16 indstillinger) beregnes i standard-m3/min på grundlag af flowmeterdataene med den af fabrikanten foreskrevne metode. Udladningskoefficienten beregnes ud fra kalibreringsdataene for hver indstilling på følgende måde:

QSSV = A0d2Cdpp √ [1 T (rp1,4286 - rp1,7143) × (1 1 - rD 4rp1,4286)]

hvor:

Q SSV

=

luftstrømningshastighed ved standardbetingelserne (101,3 kPa, 273 K), m3/s

T

=

temperatur ved venturiens indgang, K

d

=

SVV-halsens diameter, m

r p

=

forholdet mellem det det absolutte statiske tryk ved indgang og SVV-hals =1 - ΔP PA

r D

=

SSV-halsens diameter, d, forhold til indgangsrørets indvendige diameter =d D

For at bestemme området for subsonisk strømning, optegnes C d som en funktion af Reynolds’ tal ved SSV-halsen. Re ved SVV-halsen beregnes ved hjælp af følgende formel:

Re = A1 QSSV dμ

hvor:

A 1

=

en samling af konstanter og enhedskonverteringer = 25,55152

= 25,55152 (1m3) (min s) (mm m)

Q SSV

=

luftstrømningshastighed ved standardbetingelserne (101,3 kPa, 273 K), m3/s

d

=

SVV-halsens diameter, m

μ

=

gassens absolutte eller dynamiske viskositet, beregnet efter følgende formel:

μ = bT 3/2 S + T = bT 1/2 1 + S T kg/m–s

b

=

empirisk konstant =1,458 × 10 6 kg msK 1/2

S

=

empirisk konstant = 110,4 K

Da Q SSV er et input til Re-formelen, startes beregningerne med et indledende gæt af kalibreringsventuriens Q SSV eller C d og gentages, indtil Q SSV konvergerer. Konvergensmetoden skal være nøjagtig til 0,1 % af punkt eller bedre.

For mindst 16 punkter i det subsoniske strømningsområde skal de værdier for C d, der beregnes ud fra tilnærmelsesligningen for den fremkomne kalibreringskurve ligge inden for ± 0,5 % af den målte værdi for C d for hvert kalibreringspunkt.

▼B

►M1  2.5. ◄    Kontrol af det samlede system

Nøjagtigheden af det samlede CVS-prøvetagnings- og analysesystem bestemmes ved tilledning af en kendt masse af en forurenende luftart til systemet, medens dette er bragt til at fungere på normal måde. Der analyseres for den forurenende luftart, og dens masse beregnes efter bilag III, tillæg 2, punkt 4.3, bortset fra propan, for hvilket der for HC anvendes en faktor 0,000472 i stedet for 0,000479. Der skal anvendes en af følgende to teknikker.

►M1  2.5.1. ◄    Måling med blænde med kritisk strømning

En kendt mængde af en ren gas (carbonmonoxid eller propan) ledes til CVS-systemet gennem en kalibreret kritisk blænde. Hvis indgangstrykket er tilstrækkelig højt, er strømningshastigheden, som justeres ved hjælp af den kritiske blænde, uafhængigt af blændens afgangstryk (≡ kritisk strømning). CVS-systemet bringes til at fungere som ved en sædvanlig emissionstest af udstødningsgas i 5 til 10 minutter. En gasprøve analyseres med det sædvanlige udstyr (prøvetagningssæk eller integrationsmetoden), og gassens masse beregnes. Den således bestemte masse må højst afvige ± 3 % fra den kendte masse af tilledt gas.

►M1  2.5.2. ◄    Gravimetrisk måling

Vægten af en lille cylinder fyldt med carbonmonoxid eller propan bestemmes med en præcision på ± 0,01 gram. CVS-systemet bringes til at fungere som ved en sædvanlig emissionstest af udstødningsgas i 5 til 10 minutter, medens der tilledes carbonmonoxid eller propan til systemet. Den afgivne mængde ren gas bestemmes ved differentialvejning. En gasprøve analyseres med det sædvanlige udstyr (prøvetagningssæk eller integrationsmetoden), og gassens masse beregnes. Den således bestemte masse må højst afvige ± 3 % fra den kendte masse af tilledt gas.

▼M1

3.   KALIBRERING AF SYSTEMET TIL PARTIKELBESTEMMELSE

3.1.   Indledning

Kalibreringen af partikelmålingen er begrænset til de flowmetre, der anvendes til at bestemme prøvetagningsstrømning og fortyndingsforhold. Hver flowmeter skal kalibreres så ofte som nødvendigt for at opfylde nøjagtighedskravene i dette direktiv. Den kalibreringsmetode, der skal anvendes, er beskrevet i punkt 3.2.

3.2.   Flowmålinger

3.2.1.   Periodisk kalibrering

 For at opfylde nøjagtighedskravene til flowmålinger som nærmere angivet i punkt 2.2 i tillæg 4 til dette bilag, skal flowmeteret eller instrumenterne til flowmåling kalibreres med et nøjagtigt flowmeter, der kan henføres til internationale og/eller nationale standarder.

 Hvis gasprøvestrømmen bestemmes ved differensflowmåling skal flowmeteret eller instrumenterne til flowmåling kalibreres efter en af nedenstående metoder, således at sondestrømmen q mp ind i tunnellen opfylder nøjagtighedskravene i punkt 4.2.5.2 i tillæg 4 til dette bilag:

 

a) Flowmeteret for q mdw skal serieforbindes med flowmeteret for q mdew, forskellen mellem de to flowmetre skal kalibreres for mindst 5 punkter, med strømningsværdier ensartet fordelt mellem den laveste q mdw-værdi anvendt under prøvningen og værdien af q mdew anvendt under prøvningen. Strømmen kan ledes uden om fortyndingstunnelen.

b) En kalibreret massestrømsanordning skal serieforbindes til flowmeteret for q mdew, og nøjagtigheden skal kontrolleres for de værdier, der anvendes i prøvningen. Derefter serieforbindes strømningsanordningen til flowmeteret for q mdw, og nøjagtigheden kontrolleres for mindst 5 indstillinger svarende til et fortyndingsforhold mellem 3 og 50, i forhold til q mdew anvendt under prøvningen.

c) Overføringsrøret, TT, frakobles udstødningen og en kalibreret flowmeteranordning med et passende område til måling af q mp tilsluttes overføringsrøret. Derefter indstilles q mdew til den værdi, der anvendes under prøvningen, og q mdw indstilles sekventielt til mindst 5 værdier svarende til fortyndingsforhold, r, mellem 3 og 50. Alternativt kan der etableres en særlig bane for kalibreringsstrømmen, hvor strømmen omledes tunnellen, mens den samlede strømning og strømningen af fortyndingsluft gennem de tilsvarende måler er som i selve prøvningen.

d) En sporgas ledes ind i overføringsrøret, TT, for udstødningen. Denne sporgas kan være en af udstødningsgassens komponenter, f.eks. CO2 eller NOx. Efter fortynding i tunnellen måles sporgaskomponenten. Dette foretages for 5 fortyndingsforhold mellem 3 og 50. Prøvestrømmens nøjagtighed bestemmes ud fra fortyndingsforholdet r d:

qmp = qmdew rd

 Der tages hensyn til gasanalysatorernes nøjagtighed for at sikre nøjagtigheden af q mp.

3.2.2.   Kontrol af carbonstrømmen

 Det anbefales at gennemføre en kontrol af carbonstrømmen for at konstatere, om der er måle- og kontrolproblemer og for at kontrollere, at delstrømssystemet fungerer korrekt. Kontrollen af carbonstrømmen bør foretages mindst hver gang en ny motor installeres, eller hvis der foretages en signifikant ændring i konfigurationen af prøvningsrummet.

 Motoren skal køre med maksimalt drejningsmoment og maksimal hastighed eller enhver anden stabil tilstand, der frembringer 5 % CO2 eller mere. Delstrømsprøvetagningssystemet skal køre med en fortyndingsfaktor på ca. 15 til 1.

 Hvis der gennemføres en carbonstrømskontrol, anvendes den metode, der er beskrevet i tillæg 6 til dette bilag. Strømningshastighederne for carbon beregnes i overensstemmelse med punkt 2.1 til 2.3 i tillæg 6 til dette bilag. Alle strømningshastigheder for carbon skal være i overensstemmelse med hinanden inden for 6 %.

3.2.3.   Kontrol forud for testen

 Der foretages en forudgående kontrol inden for 2 timer før prøvningsforløbet på følgende måde:

 Strømningsmålernes nøjagtighed kontrolleres ved samme metode som den, der anvendes til kalibrering (jf. punkt 3.2.1) for mindst to punkter, herunder strømningsværdier for q mdw, som svarer til fortyndingsforhold mellem 5 og 15 for den q mdew, der anvendes under prøvningen.

 Hvis det kan påvises ved hjælp af registreringer fra kalibreringsproceduren i punkt 3.2.1, at flowmeterkalibreringen er stabil over en længere periode, kan den forudgående kontrol undlades.

3.3.   Bestemmelse af transformationstiden (for delstrømsfortyndingssystemer kun for ETC)

 Systemindstillingerne for evaluering af transformationstid skal være nøjagtigt de samme som ved måling under prøvningsforløbet. Transformationstiden bestemmes ved følgende metode:

 Et uafhængigt referenceflowmeter med et passende måleområde for sondestrømningen serieforbindes og tilsluttes sonden tæt. Dette flowmeter skal have en transformationstid på under 100 ms for den strømningstrinstørrelse, der anvendes ved måling af responstid, med strømningsbegrænsning tilstrækkelig lav til ikke at påvirke delstrømsfortyndingssystemets dynamiske funktion, og i overensstemmelse med god teknisk skik.

 Tilførslen af udstødningsstrømmen (eller luftstrømmen, hvis udstødningsstrømmen beregnes) til delstrømsfortyndingssystemet skal kunne reguleres trinvis fra en lav strømning til 90 % af fuld skalavisning. Udløseren for trinændring bør være den samme som den, der anvendes til at starte »look ahead«-styringen under selve prøvningen. Udstødningsstrømmens trinstimulering og flowmeterets respons skal registreres med en prøvetagningshastighed på mindst 10 Hz.

 For disse data bestemmes transformationstiden for delstrømsfortyndingssystemet, hvilket er tiden fra igangsættelsen af trinstimuleringen til punktet for 50 % flowmeterrespons. På samme måde bestemmes transformationstiden for delstrømsfortyndingssystemets q mp-signal og udstødningsflowmeterets q mew,i-signal. Disse signaler anvendes i de regressionskontroller, der udføres efter hver prøvning (jf. punkt 3.8.3.2 i tillæg 2 til dette bilag).

 Beregningen skal gentages for mindst 5 stignings- og sænkningsstimuleringer, og gennemsnittet af resultaterne beregnes. Referenceflowmeterets interne transformationstid (< 100 msec) trækkes fra denne værdi. Dette er delstrømfortyndingssystemets »look ahead«-værdi, som anvendes i overensstemmelse med punkt 3.8.3.2 i tillæg 2 til dette bilag.

3.4.   Kontrol af delstrømsbetingelserne

Udstødningsgassens hastighedsområde og trykvariationerne kontrolleres og justeres om nødvendigt til at opfylde kravene i punkt 2.2.1 i bilag V (EP).

3.5.   Kalibreringsintervaller

Flowmålingsinstrumenterne skal kalibreres mindst hver tredje måned, eller hver gang der foretages en reparation eller ændring, der vil kunne påvirke kalibreringen.

▼B

4.   KALIBRERING AF UDSTYR TIL RØGTÆTHEDSMÅLING

4.1.   Indledning

Opacimeteret skal kalibreres så ofte som nødvendigt til at opfylde nøjagtighedskravene i dette direktiv. I dette punkt beskrives den kalibreringsmetode, som skal anvendes til de i bilag III, tillæg 4, punkt 5, samt i bilag V, punkt 3, nævnte komponenter.

4.2.   Kalibreringsmetode

4.2.1.   Opvarmningstid

Opacimeteret varmes op og stabiliseres efter fabrikantens anvisninger. Har opacimeteret renseluftsystem til undgåelse af tilsodning af instrumentets optiske dele, skal også dette system aktiveres og justeres efter fabrikantens anvisninger.

4.2.2.   Måling af responsens linearitet

Opacimeterets linearitet kontrolleres, når apparatet er indstillet til udlæsning af opacitet i henhold til fabrikantens anvisninger. Tre neutralfiltre, hvis transmittans er kendt, og som opfylder kravene i bilag III, tillæg 4, punkt 5.2.5, anbringes i opacimeteret, og aflæsningen registreres. Den nominelle opacitet af neutralfiltrene skal være ca. 10 %, 20 % og 40 %.

Lineariteten må højst afvige ± 2 % opacitet fra neutralfilterets nominelle værdi. Enhver ulinearitet større end ovennævnte værdi skal korrigeres før testen.

4.3.   Kalibreringsintervaller

Opacimeteret kalibreres i henhold til punkt 4.2.2 mindst hver 3. måned samt efter alle reparationer eller ændringer af systemet, som kan tænkes at påvirke kalibreringen.

▼M1




Tillæg 6

KONTROL AF CARBONSTRØM

1.   INDLEDNING

Bortset fra en meget lille del kommer al carbon i udstødningen fra brændstoffet, og bortset fra en minimal del optræder al dette i udstødningsgassen som CO2. Dette er grundlaget for systemkontrol baseret på CO2-målinger.

Strømmen af carbon ind i systemerne til udstødningsmåling bestemmes ud fra brændstoffets strømningshastighed. Strømningen af carbon ved forskellige prøvetagningspunkter i systemerne til prøveudtagning af emissioner og partikler bestemmes ud fra CO2-koncentrationerne og gasstrømningshastighederne ved disse punkter.

På denne måde udgør motoren en kendt kilde af carbonstrømning, og ved at observere den samme carbonstrøm i udstødningsrøret og ved udgangen af delstrømsprøvetagningssystemet (PM) kontrolleres for utætheder og målenøjagtighed. Denne kontrol indebærer den fordel, at komponenterne fungerer under motorens faktiske prøvningsforhold med hensyn til temperatur og strømning.

Følgende diagram viser de prøvetagningspunkter, ved hvilke carbonstrømmene skal kontrolleres. De specifikke ligninger for carbonstrømmene ved hvert prøvetagningspunkt er angivet nedenfor.

Målepunkter til kontrol af carbonstrømAirFuelCO2 RAWENGINEPartial Flow SystemCO2 PFS

Figur 7

2.   BEREGNINGER

2.1.   Carbons strømningshastighed ind i motoren (punkt 1)

Carbons massestrømshastighed ind i motoren for et brændstof CH α O ε er:

qmCf = 12,011 12,011 + α + 15,9994 × ε × qmf

hvor:

q mf = brændstoffets massestrømshastighed, kg/s

2.2.   Carbons strømningshastighed i den ufortyndede udstødning (punkt 2)

Carbons massestrømningshastighed i motorens udstødningsrør bestemmes ud fra den ufortyndede CO2-koncentration og udstødningsgassens massestrømshastighed:

qmCe = (cCO2,r - cCO2,a 100) × qmew × 12,011 Mre

hvor:

c CO2,r

=

våd CO2-koncentration i den ufortyndede udstødningsgas, %

c CO2,a

=

våd CO2-koncentration i den omgivende luft, % (ca. 0,04 %)

q mew

=

udstødningsgassens massestrømshastighed på våd basis, kg/s

M re

=

udstødningsgassens molekylemasse

Hvis CO2 måles på tør basis, skal det omregnes til våd basis som angivet i punkt 5.2 i tillæg 1 til dette bilag.

2.3.   Carbons strømningshastighed i fortyndingssystemet (punkt 3)

Carbons strømningshastighed bestemmes ud fra den fortyndede CO2-koncentration, udstødningsgassens massestrømshastighed og prøvestrømshastigheden:

qmCp = (cCO2,d - cCO2,a 100) × qmdew × 12,011 Mre × qmew qmp

hvor:

c CO2,d

=

våd CO2-koncentration in den fortyndede udstødningsgas ved fortyndingstunnellens udgang, %

c CO2,a

=

våd CO2-koncentration i den omgivende luft, % (ca. 0,04 %)

q mdew

=

den fortyndede udstødningsgas massestrømshastighed på våd basis, kg/s

q mew

=

udstødningsgassens massestrømshastighed på våd basis, kg/s (kun delstrømssystemer)

qmp

=

prøvestrøm af udstødningsgas ind i delstrømsfortyndingssystem, kg/s (kun delstrømssystemer)

M re

=

udstødningsgassens molekylemasse

Hvis CO2 måles på tør basis, skal det omregnes til våd basis som angivet i punkt 5.2 i tillæg 1 til dette bilag.

2.4.

Udstødningsgassens molekylemasse (Mre) beregnes som følger:

Mre = 1 + qmf qmaw qmf qmaw × α 4 + ε 2 + δ 2 12,011 + 1,00794 × α + 15,9994 × ε + 14,0067 × δ + 32,065 × γ + Ha × 10–3 2 × 1,00794 + 15,9994 + 1 Mra 1 + Ha × 10–3

hvor

q mf

=

brændstoffets massestrømshastighed, kg/s

q maw

=

indsugningsluftens massestrømshastighed på våd basis, kg/s

H a

=

indsugningsluftens fugtindhold i g vand pr. kg tør luft

M ra

=

den tørre indsugningslufts molekylemasse (= 28,9g/mol)

α, δ, ε, γ

=

molære forhold for et brændstof CH α O δ N ε S γ

Alternativt kan følgende molekylemasser anvendes:

M re (diesel)

=

28,9 g/mol

M re (LPG)

=

28,6 g/mol

M re (NG)

=

28,3 g/mol

▼B




BILAG IV

TEKNISKE SPECIFIKATIONER FOR DET REFERENCEBRÆNDSTOF, SOM FORESKRIVES TIL GODKENDELSESPRØVNING OG TIL KONTROL AF PRODUKTIONENS OVERENSSTEMMELSE



1.1.  Dieselreferencebrændstof til prøvning af motorer efter emissionsgrænser i række A i tabellerne i punkt 6.2.1 i bilag I (1)

Parameter

Enhed

Grænser (2)

Testmetode

Offentliggørelse

Minimum

Maksimum

Cetan (3)

 

52,0

54,0

EN-ISO 5165

1998 (4)

Massefylde ved 15 °C

kg/m3

833

837

EN-ISO 3675

1995

Destillation

 
 
 
 
 

— 50 %-punkt

°C

245

EN-ISO 3405

1998

— 95 %-punkt

°C

345

350

EN-ISO 3405

1998

— slutkogepunkt

°C

370

EN-ISO 3405

1998

Flammepunkt

°C

55

EN 27719

1993

CFPP

°C

- 5

EN 116

1981

Viskositet ved 40 °C

mm2/s

2,5

3,5

EN-ISO 3104

1996

Polycykliske aromatiske carbonhydrider

% m/m

3,0

6,0

IP 391 (7)

1995

Svovlindhold (5)

mg/kg

300

pr. EN-ISO/DIS 14596

1998 (4)

Kobberkorrosion

 

1

EN-ISO 2160

1995

Kulstofrest ved Conradson-test på 10 % destillationsrest

% m/m

0,2

EN-ISO 10370

 

Askeindhold

% m/m

0,01

EN-ISO 6245

1995

Vandindhold

% m/m

0,05

EN-ISO 12937

1995

Syretal (stærk syre)

mg KOH/g

0,02

ASTM D 974-95

1998 (4)

Iltningsstabilitet (6)

mg/ml

0,025

EN-ISO 12205

1996

% m/m

EN 12916

[2000] (4)

(1)   Hvis det er nødvendigt at beregne den termiske virkningsgrad af en motor eller et køretøj, kan brændstoffets brændværdi beregnes af:

(2)   De i specifikationen angivne værdier er »faktiske værdier«. Deres grænseværdier er fastsat i henhold til ISO 4259 »Petroleum products — Determination and application of precision data in relation to methods of test«, idet minimumsværdien er fastsat på grundlag af en minimumsforskel på 2R større end nul: for maksimums- og minimumsværdi har minimumsforskellen været 4R (R = reproducerbarhed). Til trods for dette mål, som er nødvendigt af statistike grunde, bør brændstoffabrikanten tilstræbe en værdi på nul, når den foreskrevne maksimumsværdi er 2R, og en gennemsnitsværdi i tilfælde, hvor der angives maksimums- og minimumsværdier. Dersom det bliver nødvendigt at afgøre, om et brændstof opfylder kravene i specifikationen, anvendes ISO 4259.

(3)   Det angivne interval for cetan opfylder ikke kravet om et område på mindst 4R. I tilfælde af tvist mellem brændstofleverandør og –bruger kan bestemmelserne i ISO 4259 imidlertid anvendes til afgørelse af tvistigheder, forudsat at målingerne gentages et tilstrækkeligt antal gange til, at den fornødne præcision kan opnås. Dette må foretrækkes frem for enkeltstående målinger.

(4)   Offentliggørelsesmåned indføjes på et senere tidspunkt.

(5)   Det faktiske svovlindhold i det brændstof, der anvendes til prøven, indberettes. Derudover skal det referencebrændstof, der anvendes for at godkende et køretøj eller en motor med hensyn til grænseværdierne i linje B i tabellen i punkt 6.2.1 i bilag I til dette direktiv, have et maksimalt svovlindhold på 50 ppm. Kommissionen vil hurtigst muligt forelægge en ændring til dette bilag, der afspejler markedsgennemsnittet for svovlindholdet i brændstof for så vidt angår det brændstof, der er defineret I bilag IV til direktiv 98/70/EF.

(6)   Selv om iltningsstabiliteten kontrolleres, må holdbarheden antages at være begrænset. Vedrørende opbevaringsforhold og holdbarhed må henvises til leverandøren.

(7)   Ny og bedre metode for polycykliske aromatiske stoffer under udvikling.

▼M1

1.2.

Dieselreferencebrændstof til prøvning af motorer efter emissionsgrænserne, der er angivet i række B1, B2 eller C i tabellerne i punkt 6.2.1 i bilag I



Parameter

Enhed

Grænseværdier (1)

Prøvningsmetode

minimum

maksimum

Cetantal (2)

 

52,0

54,0

EN-ISO 5165

Massefylde ved 15 °C

kg/m3

833

837

EN-ISO 3675

Destillation:

 
 
 
 

– 50 %-punkt

°C

245

EN-ISO 3405

– 95 %-punkt

°C

345

350

EN-ISO 3405

– slutkogepunkt

°C

370

EN-ISO 3405

Flammepunkt

°C

55

EN 22719

Koldfilterpunkt (CFPP)

°C

– 5

EN 116

Viskositet ved 40 °C

mm2/s

2,3

3,3

EN-ISO 3104

Polycykliske aromatiske carbonhydrider

% m/m

2,0

6,0

IP 391

Svovl (3)

mg/kg

10

ASTM D 5453

Kobberkorrosion

 

klasse 1

EN-ISO 2160

Kulstofrest efter Conradson (10 % destillationsrest)

% m/m

0,2

EN-ISO 10370

Askeindhold

% m/m

0,01

EN-ISO 6245

Vandindhold

% m/m

0,02

EN-ISO 12937

Syretal (stærk syre)

mg KOH/g

0,02

ASTM D 974

Oxidationsstabilitet (4)

mg/ml

0,025

EN-ISO 12205

Smøregenskaber (HFRR slidskanningsdiameter ved 60 ° C)

μm

400

CEC F-06-A-96

FAME

forbudt

(1)   De i specifikationen angivne værdier er »faktiske værdier«. Deres grænseværdier er fastsat i henhold til ISO 4259 »Petroleum products - Determination and application of precision data in relation to methods of test«, idet minimumsværdien er fastsat på grundlag af en minimumsforskel på 2R større end nul: for maksimums- og minimumsværdi har minimumsforskellen været 4R (R = reproducerbarhed).

(2)   Det angivne interval for cetan opfylder ikke kravet om et område på mindst 4R. I tilfælde af tvist mellem brændstofleverandør og -bruger kan bestemmelserne i ISO 4259 imidlertid anvendes til afgørelse af tvistigheder, forudsat at målingerne gentages et tilstrækkeligt antal gange til, at den fornødne præcision kan opnås. Dette må foretrækkes frem for enkeltstående målinger.

(3)   Det faktiske svovlindhold i det brændstof, der anvendes til Type I-prøvningen, indberettes.

(4)   Selv om oxidationsstabiliteten kontrolleres, kan produktet ikke forventes at have ubegrænset holdbarhed. Der bør indhentes retningslinjer for opbevaring og holdbarhed fra leverandøren.

▼B



►M1  1.3. ◄   Ethanol til dieselmotorer (1)

Parameter

Enhed

Grænseværdier (2)

Testmetode (3)

minimum

maximum

Alkohol, masse

% m/m

92,4

ASTM D 5501

Andre alkoholer end ethanol i alkoholer i alt, masse

% m/m

2

ADTM D 5501

Massefylde ved 15 °C

kg/m3

795

815

ASTM D 4052

Askeindhold

% m/m

 

0,001

ISO 6245

Flammepunkt

°C

10

 

ISO 2719

Syreindhold beregnet som eddikesyre

% m/m

0,0025

ISO 1388-2

Syretal (stærk syre)

KOH mg/l

1

 

Farve

Efter skala

10

ASTM D 1209

Dry-rest ved 100 °C

mg/kg

 

15

ISO 759

Vandindhold

% m/m

 

6,5

ISO 760

Aldehyder beregnet som eddikesyre

% m/m

 

0,0025

ISO 1388-4

Svovlindhold

mg/kg

10

ASTM D 5453

Estere, beregnet som ethylacetat

% m/m

0,1

ASSTM D 1617

(1)   Der kan efter motorfabrikantens anvisninger tilsættes cetantalsforbedrende midler til ethanolbrændstof. Den størst tilladte mængde er 10 %.

(2)   De i specifikationen angivne værdier er »faktiske værdier« Deres grænseværdier er fastsat i henhold til ISO 4259 »Petroleum products — Determination and application of precision data in relation to methods of test«, idet minimumsværdien er fastsat på grundlag af en minimumsforskel på 2R større end nul; for maksimums- og minimumsværdi har minimumsforskellen været 4R (R = reproducerbarhed). Til trods for dette mål, som er nødvendigt af statistiske grunde, bør brændstoffabrikanten tilstræbe en værdi på nul, når den foreskrevne maksimumsværdi er 2R, og en gennemsnitsværdi i tilfælde, hvor der angives maksimums- og minimumsværdier. Dersom det bliver nødvendigt at afgøre, om et brændstof opfylder kravene i specifikationen, anvendes ISO 4259.

(3)   Ækvivalente ISO-metoder vil blive taget i anvendelse, når de udstedes for alle de ovenfor nævnte egenskaber.

2.

NATURGAS (NG)

På det europæiske marked sælges to gastyper:

 gas i H-området, hvor referencebrændstofferne GR og G23 ligger højest og lavest

 gas i L-området, hvor referencebrændstofferne G23 og G25 ligger højest og lavest.

Specifikationerne for referencebrændstofferne GR, G23 og G25 er givet nedenfor:



Referencebrændstof GR

Emne

Enhed

Basis

Grænse

Prøvningsmetode

minimum

maksimum

Sammensætning:

 
 
 
 
 

Methan

 

87

84

89

 

Ethan

 

13

11

15

 

Rest (1)

mol-%

1

ISO 6974

Svovlindhold

mg/m3 (2)

10

ISO 6326-5

(1)   Inaktive +C2+.

(2)   Værdien bestemmes ved standardbetingelserne (293,2 K (20 °C) og 101,3 kPa).



Referencebrændstof G23

Emne

Enhed

Basis

Grænse

Prøvningsmetode

minimum

maksimum

Sammensætning:

 
 
 
 
 

Methan

 

92,5

91,5

93,5

 

Rest (1)

mol-%

1

ISO 6974

N2

 

7,5

6,5

8,5

 

Svovlindhold

mg/m3 (2)

10

ISO 6326-5

(1)   Inaktive (forskellig fra N2) + C2+ + C2+.

(2)   Værdien bestemmes ved standardbetingelserne (293,2 K (20 °C) og 101,3 kPa).



Referencebrændstof G25

Emne

Enhed

Basis

Grænse

Prøvningsmetode

minimum

maksimum

Sammensætning:

 
 
 
 
 

Methan

 

86

84

88

 

Rest (1)

mol-%

1

ISO 6974

N2

 

14

12

16

 

Svovlindhold

mg/m3 (2)

10

ISO 6326-5

(1)   Inaktive (andre end N2) + C2+ + C2+.

(2)   Værdien bestemmes ved standardbetingelserne (293,2 K (20 °C)og 101,3 kPa).

▼M1

3.

TEKNISKE DATA FOR LPG-REFERENCEBRÆNDSTOFFER

A.   Tekniske data for LPG-referencebrændstoffer til prøvning af køretøjer efter emissionsgrænserne i række A i tabellerne i punkt 6.2.1 i bilag I



Parameter

Enhed

Brændstof A

Brændstof B

Prøvningsmetode

Sammensætning:

 
 
 

ISO 7941

C3-indhold

% v/v

50 ± 2

85 ± 2

 

C4-indhold

% v/v

rest

rest

 

< C3, >C4

% v/v

max. 2

max. 2

 

Olefiner

% v/v

max. 12

max. 14

 

Fordampningsrest

mg/kg

max. 50

max. 50

ISO 13757

Vand ved 0 °C

 

fri

fri

visuel inspektion

Totalt svovlindhold

mg/kg

max. 50

max. 50

EN 24260

Hydrogensulfid

 

ingen

ingen

ISO 8819

Kobberkorrosion

skala

klasse 1

klasse 1

ISO 6251 (1)

Lugt

 

karakteristisk

karakteristisk

 

Motoroktantal

 

min. 92,5

min. 92,5

EN 589 bilag B

(1)   Metoden er ikke nødvendigvis nøjagtig til bestemmelse af korrosive stoffer, såfremt prøven indeholder korrosionsinhibitorer eller andre kemikalier, som nedsætter dens korrosivitet over for kobberstrimlen. Tilsætning af sådanne forbindelser alene med det formål at påvirke prøvningsmetoden er derfor forbudt.

B.   Tekniske data for LPG-referencebrændstoffer til prøvning af køretøjer efter emissionsgrænserne i række B1, B2 eller C i tabellerne i punkt 6.2.1 i bilag I



Parameter

Enhed

Brændstof A

Brændstof B

Prøvningsmetode

Sammensætning:

 
 
 

ISO 7941

C3-indhold

% v/v

50 ± 2

85 ± 2

 

C4-indhold

% v/v

rest

rest

 

< C3, >C4

% v/v

Max. 2

max. 2

 

Olefiner

% v/v

max. 12

max. 14

 

Fordampningsrest

mg/kg

max. 50

max. 50

ISO 13757

Vand ved 0 °C

 

fri

fri

Visuel inspektion

Totalt svovlindhold

mg/kg

max. 10

max. 10

EN 24260

Hydrogensulfid

 

ingen

ingen

ISO 8819

Kobberstrimmelkorrosion

Klassifice-ring

klasse 1

klasse 1

ISO 6251 (1)

Lugt

 

karakteristisk

karakteristisk

 

Motoroktantal

 

min. 92,5

min. 92,5

EN 589 bilag B

(1)   Metoden er ikke nødvendigvis nøjagtig til bestemmelse af korrosive stoffer, såfremt prøven indeholder korrosionsinhibitorer eller andre kemikalier, som nedsætter dens korrosivitet over for kobberstrimlen. Tilsætning af sådanne forbindelser alene med det formål at påvirke prøvningsmetoden er derfor forbudt.

▼B




BILAG V

SYSTEM TIL ANALYSE OG PRØVETAGNING

1.   BESTEMMELSE AF EMISSIONEN AF FORURENENDE LUFTARTER

1.1.   Indledning

En detaljeret beskrivelse af det anbefalede prøvetagnings- og analysesystem er givet i punkt 1.2 og fig. 7 og 8 tilsvarende resultater vil kunne opnås med afvigende udformning af systemerne, kræves der ikke nøje overensstemmelse med fig. 7 og 8. Der kan anvendes supplerende komponenter som instrumenter, ventiler, magnetventiler og kontakter til at tilvejebringe supplerende oplysninger og koordinere funktionerne af de indgående systemer. Andre komponenter kan udelades, hvis de for nogle systemers vedkommende ikke er nødvendige af hensyn til nøjagtigheden, og hvis udeladelsen af dem er teknisk velbegrundet.

nulstillingsgasnulstillingsgas2 prøvetagningssonder (frivillige)nulstillingsgaskalibreringsgasudluftningluftbrændstofudluftningnulstillingsgaskalibreringsgasnulstillingsgaskalibreringsgasudluftningudluftningudluftningnulstillingsgaskalibreringsgasudluftningudluftning

Figur 7

Blokdiagram over system til bestemmelse af CO, CO2, NOx og HC i ufortyndet udstødningsgas (kun ESC)

1.2.   Beskrivelse af analysesystemet

Der beskrives et analysesystem til bestemmelse af forurenende luftarter i den ufortyndede udstødningsgas (fig. 7, kun ESC) hhv. i den fortyndede udstødningsgas (fig. 8, ETC og ESC). Systemet er baseret på anvendelse af følgende udstyr:

 HFID-analysatorer til måling af carbonhydrider

 NDIR-analysatorer til måling af carbonmonoxid og carbondioxid

 HCLD- eller tilsvarende analysator til måling af nitrogenoxider

Prøven til bestemmelse af alle komponenter kan enten tages ved hjælp af en enkelt prøveudtagningssonde eller med to tætsiddende sonder med indvendig forgrening til de forskellige analysatorer. Der skal være draget omsorg for, at der ikke kan forekomme kondensation af udstødningsgassens komponenter (herunder vand og svovlsyre) noget sted i analysesystemet.

til PSS (se fig. 21samme plan (se fig. 21)(se fig. 20)nulstillingsgasnulstillingsgaskalibreringsgasudluftningluftbrændstofudluftningnulstillingsgaskalibreringsgasnulstillingsgaskalibreringsgasudluftningudluftningudluftningnulstillingsgaskalibreringsgasudluftningudluftning

Figur 8

Blokdiagram over system til bestemmelse af CO, CO2, NOx og HC i fortyndet udstødningsgas (ETC, frivillig for ESC)

1.2.1.   Komponenter i fig. 7 og 8

EP udstødningsrør

SP1 prøvetagningssonde for udstødningsgas (kun fig. 7)

Det anbefales at benytte en lige, lukket, flerhullet sonde af rustfrit stål. Den indvendige diameter må ikke være større end den indvendige diameter af prøvetagningsledningen. Sondens vægtykkelse må ikke være over 1 mm. Der skal være mindst 3 huller, som er beliggende i 3 forskellige radiære planer og er dimensioneret, så de optager omtrent samme prøvetagningsstrøm. Sonden skal strække sig over mindst 80 % af udstødningsrørets diameter. Der kan anvendes en eller to prøvetagningssonder.

SP2 prøvetagningssonde for fortyndet udstødningsgas (kun fig. 8)

Sonden skal:

 være defineret som de første 254 mm til 762 mm af den opvarmede prøvetagningslinje HSL1

 have en indvendig diameter på mindst 5 mm

 være monteret i fortyndingstunnelen DT (se punkt 2.3, fig. 20) i et punkt, hvor fortyndingsluft og udstødningsgas bliver opblandet godt (dvs. ca. 10 tunneldiametre nedstrøms for det punkt, hvor udstødningsgassen føres ind i fortyndingstunnelen)

 være placeret i tilstrækkelig afstand (radialt) fra de andre sonder og fra tunnelvæggen til at være upåvirket af slipstrømme og hvirvler

 være opvarmet, således at gasstrømmens temperatur ved afgangen fra sonden er øget til 463 K ± 10 K (190 °C ± 10 °C).

SP3 sonde til udtagning af prøver af fortyndet udstødningsgas til bestemmelse af CO, CO2, og NOx (kun fig. 8)

Sonden skal:

 være i samme plan som SP2

 være placeret i tilstrækkelig (radial) afstand fra andre sonder og fra tunnelvæggen til at være upåvirket af slipstrømme og hvirvler

 være opvarmet og isoleret i hele sin længde til en temperatur af 328 K (55 °C) for at forhindre dannelse af kondensvand.

HSL1 opvarmet prøveudtagsledning

Prøveudtagsledningen leder gasprøver fra en enkeltsonde til forgreningspunktet(-punkterne) og til HC-analysatoren.

Denne prøveudtagsledning skal:

 have en indvendig diameter på mindst 5 mm og højst 13,5 mm

 være fremstillet af rustfrit stål eller PTFE

 såfremt udstødningsgassens temperatur ved prøvetagningssonden er højst 463 K (190 °C), holde en vægtemperatur på 463 K ± 10 K (190 °C ± 10 °C), målt i hvert særskilt reguleret opvarmet afsnit

 såfremt udstødningsgassens temperatur ved prøvetagningssonden er over 463 K (190 °C), holde en vægtemperatur på over 453 K (180 °C)

 holde en gastemperatur på 463 K ± 10 K (190 °C ± 10 °C) umiddelbart før det opvarmede filter F2 og HFID

HSL2 opvarmet NOx-prøvetagningsledning

Denne prøveudtagsledning skal:

 holde en vægtemperatur på 328 K til 473 K (55 °C til 200 °C) indtil konverteren C, når der anvendes kølebad B, og indtil analysatoren når der ikke anvendes kølebad B

 være fremstillet af rustfrit stål eller PTFE.

SL prøveudtagsledning for CO og CO2

Ledningen skal være fremstillet af PTFE eller rustfrit stål. Den kan være opvarmet eller uopvarmet.

BK sæk til baggrundsbestemmelse (frivillig; kun fig. 8)

Til bestemmelse af baggrundskoncentrationer

BG sæk til baggrundsbestemmelse (frivillig; kun fig. 8 og CO2)

Til bestemmelse af prøvernes koncentrationer.

F1 opvarmet forfilter (frivilligt)

Temperaturen skal være den samme som HSL1.

F2 opvarmet filter

Filteret skal udskille alle partikler fra gasprøven før analysatoren. Temperaturen skal være den samme som HSL1. Filteret skal udskiftes efter behov.

P opvarmet prøvetagningspumpe

Pumpen skal være opvarmet, og temperaturen svare til HSL1.

HC

Opvarmet flammeiondetektor (HFID) til carbonhydridbestemmelse. Temperaturen skal holdes mellem 453 og 473 K (180 og 200 °C).

CO, CO2

NDIR-analysatorer til bestemmelse af carbonmonoxid og carbondioxid (frivillig til bestemmelse af fortyndingsforhold ved partikelbestemmelse).

NO

CLD eller HCLD-analysator til bestemmelse af nitrogenoxider. Anvendes HCLD, skal temperaturen holdes i intervallet mellem 328 K og 473 K (55 °C og 200 °C).

C konverter

Der skal anvendes en konverter til katalytisk reduktion af NO2 til NO før bestemmelse i CLD- eller HCLD-enheden.

B kølebad (frivilligt)

Til køling af udstødningsgasprøven og fortætning af dennes vandindhold. Badets temperatur holdes mellem 273 K og 277 K (0 °C og 4 °C) ved istilsætning eller køling. Kølebadet kan undlades, hvis analyseenheden er fri for interferens fra vanddamp som fastlagt i bilag III, tillæg 5, punkt 1.9.1 og 1.9.2. Hvis vandet fjernes ved kondensation, skal prøvegassens temperatur eller dugpunkt overvåges enten i vandudskilleren eller nedstrøms for denne. Prøvegassens temperatur og dugpunkt må ikke være over 280 K (7 °C). Der må ikke benyttes kemiske tørremidler til fjernelse af vandindholdet i prøven.

T1, T2, T3 temperaturføler

Til overvågning af gasstrømmens temperatur.

T4 temperaturføler

Til overvågning af NO2-NO konverterens temperatur.

T5 temperaturføler

Til regulering af kølebadets temperatur.

G1, G2, G3 manometer

Til måling af trykket i prøveudtagsledningerne.

R1, R2 trykregulator

Til kontrol af henholdsvis luft og brændstof til HFID-analysatoren.

R3, R4, R5 trykregulator

Til regulering af trykket i prøveudtagsledninger og af gastilførslen til analysatorerne.

FL1, FL2, FL3 flowmeter

Til flowregulering af prøvegasomledning.

FL4 til FL6 flowmeter (frivilligt)

Til regulering af gennemstrømningshastigheden i analysatorerne.

V1 til V5 omskifterventil

Passende ventiler til omskiftning mellem prøve, kalibreringsgas eller nulstillingsgas til analysatoren.

V6, V7 magnetventil

Til omgåelse af NO2-NO-konverteren.

V8 nåleventil

Til afbalancering af gennemstrømningen gennem NO2-NO-konverteren og omledningen.

V9, V10 nåleventil

Til regulering af gasstrømmene til analysatorerne.

V11, V12 pendulventil (frivillig)

Til udtømning af kondensat fra bad B.

1.3.   NMHC-bestemmelse (kun NG-drevne gasmotorer)

1.3.1.   Gaskromatografisk bestemmelse (GC, fig. 9)

Ved gaskromatografi indsprøjtes et lille afmålt rumfang af prøven i en analysekolonne, som det føres igennem af en inaktiv bæregas. Kolonnen adskiller de forskellige komponenter efter kogepunkt, så de elueres af kolonnen på forskellige tidspunkter. Derefter føres de gennem en detektor, som afgiver et elektrisk signal, der afhænger af deres koncentration. Da metoden ikke er kontinuerlig, kan den kun anvendes i forbindelse med prøveopsamling i sæk som beskrevet i bilag III, tillæg 4, punkt 3.4.2.

Til NMHC skal anvendes en automatisk gaskromatograf med FID-enhed. Udstødningsgassen opsamles i en prøvetagningssæk, hvorfra der udtages en del, som injiceres i gaskromatografen. Prøven adskilles i to fraktioner (CH4/luft /CO og NMHC/CO2/H2O) på Porapak-kolonne. Molekylsigte-kolonnen adskiller CH4 fra luft og CO, før den ledes ind i FID-enheden, hvor dens koncentration måles. En komplet cyklus, fra indsprøjtning af én prøve til indsprøjtning af den næste, kan fuldføres på 30 s. Til NMHC-bestemmelse skal CH4-koncentrationen trækkes fra den samlede HC-koncentration (se bilag III, tillæg 2, punkt 4.3.1).

Fig. 9 viser en typisk opstilling til gaskromatografisk rutinebestemmelse af CH4. Andre gaskromatografiske metoder kan anvendes, hvis det er teknisk velbegrundet.

ytil xbrændstoftilførsellufttilførseludluftningxtil yovnprøveudluftningkalibreringsgas

Figur 9

Blokdiagram for gaskromatografisk bestemmelse af methan

Komponenter i fig. 9

Der anvendes en Porapak N-kolonne 180/300 μm (mesh 50/80), længde 610 mm × ø indv. 2,16 mm, som inden brug skal være konditioneret i mindst 12 timer med bæregas ved 423 K (150 °C).

Der anvendes en kolonne type 13X, 250/350 μm (mesh 45/60), længde 1 220 mm × ø indv. 2,16 mm, som inden brug skal være konditioneret i mindst 12 timer med bæregas ved 423 K (150 °C).

Til opretholdelse af konstant temperatur af kolonner og ventiler under analysatorens drift og til konditionering af kolonnerne ved 423 K (150 °C).

Et stykke rør af rustfrit stål med tilstrækkelig længde til at give et rumfang på ca. 1 cm3.

Tilfører prøven til gaskromatografen.

Der skal anvendes en tørreenhed bestående af molykylsigte til fjernelse af vand og andre kontaminanter, der måtte være tilstede i bæregassen.

Flammeiondetektor (FID) til måling af koncentrationen af methan.

Til indsprøjtning af prøve udtaget af prøvetagningssækken gennem SL i fig. 8. Den skal have et lille skadeligt volumen, være gastæt og kunne opvarmes til 423 K (150 °C).

Til omskift mellem kalibreringsgas, prøve og ingen tilførsel.

Til indstilling af strømningshastighederne i systemet.

Til regulering af henholdsvis brændstof (= bæregas), prøve og luft.

Til regulering af lufttilførslen til FID-enheden.

Til regulering af strømmen af henholdsvis brændstof (= bæregas), prøve og luft.

Filtre af sintret metal, der forhindrer, at der kommer korn ind i pumpen eller instrumentet.

Til måling af den omledte prøvegasstrøm.

1.3.2.   Bestemmelse med afskæring af andre carbonhydrider end methan (NMC, fig. 10)

Afskæringsenheden oxiderer alle carbonhydrider, bortset fra CH4, til CO2 og H2O, så FID-enheden kun bestemmer CH4, når prøven ledes gennem NMC-enheden. Anvendes opsamling i prøvetagningssæk, skal der være monteret et strømafledningssystem ved SL (se punkt 1.2, fig. 8), som enten kan lede gasstrømmen gennem eller uden om afskæringsenheden, afhængigt af den øverste del af fig. 10. Til NMHC-bestemmelse skal begge værdier (HC og CH4) aflæses på FID-enheden og registreres. Anvendes integrationsmetoden, skal der monteres en NMC på samme ledning som endnu en FID-enhed, parallelt med den normale FID ind i HSL1 (se punkt 1.2, fig. 8), afhængigt af den nederste del af fig. 10. Til NMHC-bestemmelse aflæses værdierne fra de to FID-enheder (HC og CH4) og registreres.

Afskæringsenheden skal før prøvningen ved en temperatur lig med eller over 600 K (327 °C) karakteriseres med hensyn til katalytisk virkning på CH4 og C2H6 ved H2O-niveauer, som er repræsentative for udstødningsstrømmen. Dugpunkt og O2-indhold af den udtagne prøvestrøm af udstødningsgas skal være kendt. FID-enhedens relative respons på CH4 skal registreres (se bilag III, tillæg 5, punkt 1.8.2).

nulstillingsgaskalibreringprøve(se figur 8)udluftningPrøvesækmetodennulstillingsgaskalibreringprøve(se figur 8)udluftningudluftningIntegrationsmetoden

Figur 10

Blokdiagram over system til bestemmelse af methan med afskæring af carbonhydrider, bortset fra methan (NMC)

Komponenterne i fig. 10

Til oxidering af alle carbonhydrider bortset fra methan.

Opvarmet flammeiondetektor (HFID) til bestemmelse af HC- og CH4-koncentrationen. Temperaturen skal holdes mellem 453 K og 473 K (180 °C og 200 °C).

Til omskift mellem prøve-, nulstillings- og kalibreringsgas. Er identisk med V2 i fig. 8.

Til omledning uden om NMC-systemet.

Til afbalancering af gennemstrømningen i NMC-systemet og omledningen.

Til regulering af trykket i prøvetagningsledningen og tilførslen til HFID-enheden. Er identisk med R3 i fig. 8.

Til måling af den omledte prøvegasstrøm. FL1 er identisk med FL1 i fig. 8.

2.   FORTYNDING AF UDSTØDNINGSGASSEN OG BESTEMMELSE AF PARTIKELINDHOLDET

2.1.   Introduktion

En udtømmende beskrivelse af de anbefalede systemer til fortynding og prøveudtagning er givet i punkt 2.2, 2.3 og 2.4 samt fig. 11 til 22. Da tilsvarende resultater vil kunne opnås med afvigende udformning af systemerne, kræves der ikke nøje overensstemmelse med den i disse figurer viste udformning. Der kan anvendes supplerende komponenter som instrumenter, ventiler, magnetventiler og kontakter til at tilvejebringe supplerende oplysninger og koordinere funktionerne af de indgående systemer. Andre komponenter kan udelades, hvis de for nogle systemers vedkommende ikke er nødvendige af hensyn til nøjagtigheden, og hvis udeladelsen af dem er teknisk velbegrundet.

2.2.   Delstrømsfortyndingssystem

Fig. 11 til 19 viser et fortyndingssystem, der er baseret på fortynding af en del af udstødningsgasstrømmen. Til deling og efterfølgende fortynding af udstødningsgasstrømmen kan forskellige typer fortyndingssystemer anvendes. Til den efterfølgende udskillelse af partikler kan enten al den fortyndede udstødningsgas eller en del heraf ledes til partikelprøveudskillelsessystemet (punkt 2.4, fig. 21). Den førstnævnte metode benævnes totalprøveudtagning, den sidstnævnte delstrømsprøveudtagning.

Beregningen af fortyndingsforholdet vil afhænge af den anvendte type system. Følgende typer anbefales:

Isokinetiske systemer (fig. 11 og 12)

I denne type systemer afpasses tilførslen til overføringsrøret efter udstødningsgasstrømmens hastighed og/eller tryk, hvorfor der kræves uforstyrret og homogen strømning af udstødningsgassen ved prøveudtagssonden. Dette opnås sædvanligvis ved hjælp af en resonator og et lige tilførselsrør opstrøms for prøveudtagningsstedet. Delingsforholdet kan derved beregnes af let målelige størrelser som rørdiametre. Det skal bemærkes, at isokinetiske forhold kun anvendes til tilpasning af strømningsparametrene, ikke til tilpasning af størrelsesfordelingen. Dette sidste er dog typisk unødvendigt, da partiklerne er så små, at de følger strømlinjerne.

Flowkontrollerede systemer med koncentrationsmåling (fig. 13 til 17)

I disse systemer tages en prøve af den samlede udstødningsgasstrøm ved indstilling af strømningshastigheden af fortyndingsluften og af den samlede strøm af fortyndet udstødningsgas. Fortyndingsforholdet bestemmes af koncentrationen af sporluftarter som CO2 eller NOx, der er naturligt forekommende i motorens udstødning. Koncentrationerne i den fortyndede udstødningsgas og i fortyndingsluften måles, medens koncentrationen i den ufortyndede udstødningsgas enten kan måles direkte eller bestemmes af brændstoftilførselshastigheden og kulstofbalancen, forudsat at brændstoffets sammensætning er kendt. Systemerne kan reguleres ved det beregnede fortyndingsforhold (fig. 13 og 14 ) eller ved størrelsen af den tilførte strøm til overføringsrøret (fig. 12, 13 og 14).

Strømningsregulerede systemer med flowmåling (fig. 18 og 19)

I disse systemer tages en prøve af den samlede udstødningsgasstrøm ved indstilling af strømningshastigheden af fortyndingsluft og af den samlede fortyndede udstødningsgasstrøm. Fortyndingsforholdet bestemmes af forskellen mellem de to strømningshastigheder. Der kræves nøjagtig indbyrdes kalibrering af flowmetrene, da den relative forskel mellem de to strømningshastigheder kan føre til væsentlige fejl ved større fortyndingsforhold (15 og derover). Strømningsreguleringen er ganske enkel og består i, at den fortyndede udstødningsgasstrøm holdes konstant, medens man varierer strømningshastigheden af fortyndingsluften om nødvendigt.

Når der anvendes fortyndingssystemer efter delstrømsprincippet, skal der drages omsorg for at undgå eventuelle problemer med tab af partikler i overføringsrøret, idet der tages en repræsentativ prøve fra motorens udstødning, og delingsforholdet bestemmes. I de beskrevne systemer er der taget hensyn til disse vigtige punkter.

udstødningse fig. 21til partikelprøvetagningssystemudluftning

Figur 11

Fortyndingssystem efter delstrømsprincippet med isokinetisk sonde og delstrømsprøveudtagning (SB-regulering)

Den ufortyndede udstødningsgas overføres fra udstødningsrøret (EP) af den isokinetiske prøveudtagssonde (ISP) gennem overføringsrøret (TT) til fortyndingstunnelen (DT). Trykforskellen mellem udstødningsgassen i udstødningsrøret og i sondens indgang måles af tryktransduceren DPT. Dette signal føres til strømningsregulatoren FC1, som regulerer sugepumpen SB således, at der opretholdes en trykforskel på nul ved sondens yderste ende. Under disse omstændigheder er udstødningsgassens hastighed i EP og ISP ens, og strømmen gennem ISP og TT er en fast brøkdel (delingsforholdet) af udstødningsgasstrømmen. Delingsforholdet er bestemt af tværsnitsarealet af EP og ISP. Strømningshastigheden af fortyndingsluft måles med flowmeteret FM1. Fortyndingsforholdet beregnes af fortyndingsluftens strømningshastighed og delingsforholdet.

luftudstødningse fig. 21til partikelprøvetagningssystemudluftning

Figur 12

Fortyndingssystem efter delstrømsprincippet med isokinetisk sonde og delstrømsprøvetagning (PB-regulering)

Den ufortyndede udstødningsgas overføres fra udstødningsrøret (EP) af den isokinetiske prøveudtagssonde (ISP) gennem overføringsrøret (TT) til fortyndingstunnelen (DT). Trykforskellen mellem udstødningsgassen i udstødningsrøret og i sondens indgang måles af tryktransduceren DPT. Dette signal overføres til strømningsregulatoren FCI, der regulerer trykpumpen PB, således at trykdifferensen ved enden af sonden holdes på nul. Dette gøres ved at tage en lille brøkdel af fortyndingsluften (efter at dennes strømningshastighed er målt af flowmeteret FM1), og tilføre den til TT ved hjælp af en pneumatisk åbning. Under disse omstændigheder er udstødningsgassens hastighed i EP og ISP ens, og strømmen gennem ISP og TT er en fast brøkdel (delingsforholdet) af udstødningsgasstrømmen. Delingsforholdet er bestemt af tværsnitsarealet af EP og ISP. Fortyndingsluften suges gennem DT af sugepumpen SB, og strømningshastigheden måles af FM1 ved indgangen til DT. Fortyndingsforholdet beregnes af fortyndingsluftens strømningshastighed og delingsforholdet.

luftfrivillig til PB el. SBse fig. 21til partikelprøvetagningssystemudluftningudstødning

Figur 13

Delstrømsfortyndingssystem med måling af CO2- eller NOx-koncentration og delstrømsprøveudtagning

Den ufortyndede udstødningsgas overføres fra udstødningsrøret EP til fortyndingstunnelen DT gennem prøvetagningsrøret SP og overføringsrøret TT. Koncentrationerne af sporgasser (CO2 eller NOx) måles i den ufortyndede og fortyndede udstødningsgas samt i fortyndingsluften ved hjælp af gasanalysatoren (-erne) EGA. Signalerne herfra overføres til strømningsregulatoren FC2, der ved styring enten af trykpumpen PB eller sugepumpen SB opretholder det korrekte delings- og fortyndingsforhold i DT. Fortyndingsforholdet beregnes af sporgaskoncentrationerne i ufortyndet udstødningsgas, fortyndet udstødningsgas og fortyndingsluft.

luftfrivillig til Pfrivillig fra FC2nærmere detaljer:se figur 21udstødning

Figur 14

Delstrømsfortyndingssystem med CO2-koncentrationsmåling, kulstofbalance og udtagning af totalstrømsprøve

Den ufortyndede udstødningsgas overføres fra udstødningsrøret EP til fortyndingstunnelen DT gennem prøvetagningsrøret SP og overføringsrøret TT. CO2-koncentrationen i den fortyndede udstødningsgas og i fortyndingsluften måles af gasanalysatoreren (-ne) EGA. Signalerne for CO2 brændstofstrøm GFUEL tilføres enten strømningsregulatoren FC2 eller partikelprøvetagningssystemets strømningsregulator FC3 (jf. fig. 21). FC2 regulerer trykpumpen PB, medens FC3 regulerer prøvetagningspumpen P (se fig. 21) og derved indstiller systemets indad- og udadgående strømme, således at det ønskede delingsforhold og fortyndingsforhold i fortyndingstunnelen DT opretholdes. Fortyndingsforholdet beregnes af CO2-koncentrationerne og GFUEL ved hjælp kulstofbalancen.

luftse figur 21til partikelprøvetagningssystemudluftningudstødning

Figur 15

Delstrømsfortyndingssystem med enkelt venturi, koncentrationsmåling og delstrømsprøveudtagning

Ufortyndet udstødningsgas overføres fra udstødningsrøret (EP) gennem prøvetagningssonden SP og overføringsrøret (TT) til fortyndingstunnelen (DT) som følge af det undertryk, som venturien (VN) skaber i DT. Gashastigheden i overføringsrøret TT afhænger af impulsudvekslingen i venturiområdet og påvirkes derfor af gassens absolutte temperatur ved afgangen fra TT. Det betyder, at udstødningsgassens delingsforhold ikke er konstant ved en given tunnelgennemstrømning, og at fortyndingsforholdet ved lav belastning er en smule lavere end ved høj belastning. Koncentrationen af sporluftarterne (CO2 eller NOx) måles i den ufortyndede udstødningsgas, den fortyndede udstødningsgas og fortyndingsluften med udstødningsgasanalysatoren (-erne) EGA, og fortyndingsforholdet beregnes af de således målte værdier.

luftse figur. 21til partikelprøvetagningssystemudluftningudstødning

Figur 16

Delstrømsfortyndingssystem med dobbelt venturi eller dobbelt blænde, koncentrationsmåling og delstrømsprøveudtagning

Den ufortyndede udstødningsgas føres fra udstødningsrøret EP gennem prøvetagningssonden SP og overføringsrøret TT til fortyndingstunnelen DT af en strømdeler, der indeholder et sæt blænder eller venturier. Den første (FD1) er placeret i EP, den anden (FD2) i TT. Herudover kræves to trykreguleringsventiler (PCV1 og PCV2), der holder udstødningsgassens delingsforhold konstant ved at regulere modtrykket i EP og trykket i DT. PCV1 er placeret nedstrøms for SP i EP, PCV2 mellem trykpumpen PB og DT. Koncentrationerne af sporgasserne (CO2 eller NOx) måles i den ufortyndede udstødningsgas, den fortyndede udstødningsgas og fortyndingsluften med udstødningsgasanalysatorerne EGA. Disse værdier er nødvendige til kontrol af udstødningsgassens delingsforhold og kan anvendes til justering af PCV1 og PCV2, hvorved delingsforholdet kan reguleres nøjagtigt. Fortyndingsforholdet beregnes af sporgaskoncentrationerne.

luftfriskluftindblæsningse figur 21til partikelprøvetagningssystemudluftningluft

Figur 17

Delstrømsfortyndingssystem med opdeling i flere rør, koncentrationsmåling og delstrømsprøveudtagning

Den ufortyndede udstødningsgas føres fra udstødningsrøret EP til fortyndingstunnelen DT gennem overføringsrøret TT af en strømdeler FD3, der består af en række rør af ens dimensioner (samme diameter, længde og indlejringsradius), monteret i EP. Udstødningsgassen fra et af disse rør ledes til fortyndingstunnelen DT, medens gassen fra de øvrige rør føres gennem dæmpekammeret DC. Det er således det samlede antal rør, der er bestemmende for udstødningsgassens delingsforhold. Til at holde delingsforholdet konstant kræves en trykdifferens på nul mellem dæmpekammeret DC og afgangen fra overføringsrøret TT, hvilket måles af differenstryktransduceren DPT. Et differenstryk på nul opnås ved indblæsning af frisk luft i fortyndingstunnelen DT ved afgangen fra overføringsrøret TT. Koncentrationerne af sporgasserne (CO2 eller NOx) måles i den ufortyndede udstødningsgas, den fortyndede udstødningsgas og fortyndingsluften med udstødningsgasanalysatorerne EGA. Disse værdier er nødvendige til regulering af udstødningsgassens delingsforhold og kan anvendes til styring af den indblæste lufts strømningshastighed, hvorved delingsforholdet kan reguleres nøjagtigt. Fortyndingsforholdet beregnes af sporgaskoncentrationerne.

frivillig til P (PSS)udluftning(Nærmere detaljer: se figur 21)udstødning

Figur 18

Delstrømsfortyndingssystem med strømningsregulering og totalstrømsprøveudtagning

Den ufortyndede udstødningsgas overføres fra udstødningsrøret EP til fortyndingstunnelen DT gennem prøvetagningsrøret SP og overføringsrøret TT. Den samlede strømningshastighed gennem tunnelen justeres ved hjælp af strømningsregulatoren FC3 og prøvetagningspumpen P i partikelprøveudtagningssystemet (jf. fig. 18). Fortyndingsluftens strømningshastighed reguleres af strømningsregulatoren FC2, der kan benytte GEXHW, GAIRW, eller GFUEL som styresignal til regulering af udstødningsgassens delingsforhold. Fortyndingstunnelen DT's indgående prøvegasstrøm er forskellen mellem den samlede gennemstrømning og fortyndingsluftstrømmen. Fortyndingsluftens strømningshastighed måles af flowmeteret FM1, den samlede strømningshastighed måles af flowmeteret FM3 i partikelprøveudtagningssystemet (se fig. 21). Af de to strømningshastigheder beregnes fortyndingsforholdet.

lufttil PB el. SBse figur 21til prøvetagningssystem(se figur 21)udstødningudluftning

Figur 19

Delstrømsfortyndingssystem med strømningsregulering og delstrømsprøveudtagning

Den ufortyndede udstødningsgas overføres fra udstødningsrøret EP til fortyndingstunnelen DT gennem prøvetagningsrøret SP og overføringsrøret TT. Udstødningsgassens delingsforhold og den indgående strøm til DT reguleres af strømningsregulatoren FC2, som styrer flow (eller hastighed) af trykpumpen PB og sugepumpen SB i forhold dertil. Dette er muligt, fordi den af partikelprøvetagningssystemet udtagne prøve returneres til DT. GEXHW, GAIRW eller GFUEL kan anvendes som styresignaler for strømningsregulatoren FC2. Fortyndingsluftens strømningshastighed måles med flowmeteret FM1, den samlede gennemstrømning med flowmeteret FM2. Af de to strømningshastigheder beregnes fortyndingsforholdet.

2.2.1.   Komponenter i fig. 11 til 19

EP udstødningsrør

Udstødningsrøret kan være isoleret. For at mindske udstødningsrørets termiske træghed anbefales et forhold mellem rørets tykkelse og diameter på højst 0,015. Brugen af bøjelige rørafsnit skal være begrænset til en længde af højst 12 rørdiametre. Bøjninger bør indskrænkes til det mindst mulige for at mindske inertiafsætningen. Indgår en prøvebænkslydpotte i systemet, kan denne ligeledes være isoleret.

I isokinetiske systemer skal udstødningsrøret være fri for skarpe bøjninger og bratte diameterændringer i en afstand af mindst seks rørdiametre opstrøms og tre rørdiametre nedstrøms for spidsen af prøvetagningssonden. På prøvetagningsstedet skal gashastigheden være over 10 m/s undtagen i tomgang. Udstødningsgassens tryksvingninger må i gennemsnit ikke overstige ± 500 Pa. Foranstaltninger til nedsættelse af tryksvingningerne ud over brug af et udstødningssystem af chassistype (bestående af en lydpotte og en efterbehandlingsenhed) må ikke ændre motorydelsen eller medføre partikelafsætning.

I systemer uden isokinetisk sonde anbefales, at røret i en afstand af mindst seks rørdiametre opstrøms for og tre rørdiametre nedstrøms for prøvetagningssonden er lige.

SP prøvetagningssonde (fig. 10, 14, 15, 16, 18 og 19)

Dens indvendige diameter skal være mindst 4 mm. Diameterforholdet mellem udstødningsrør og sonde skal være mindst 4. Sonden skal være et åbent, opadvendt rør beliggende i udstødningsrørets midtlinje, eller en flerhullet sonde som beskrevet under SP1 i punkt 1.2.1, fig. 5.

ISP: isokinetisk prøvetagningssonde (fig. 11 og 12)

Den isokinetiske prøvetagningssonde skal være placeret vendt mod strømmen og i udstødningsrørets midtlinje, hvor kravene til strømningsforholdene i afsnit EP er opfyldt, og skal være udformet således, at den giver en proportional prøve af den ufortyndede udstødningsgas. Dens indvendige diameter skal være mindst 12 mm.

For at isokinetisk opdeling af udstødningsgassen kan finde sted, kræves et reguleringssystem til opretholdelse af et differenstryk på nul mellem EP og ISP. Under disse omstændigheder er gashastigheden i EP og ISP ens, og massestrømmen gennem ISP er en fast brøkdel af udstødningsgasstrømmen. ISP skal være forbundet med en differenstryktransducer (DPT). Ved hjælp af en strømningsregulator FC1 fastholdes et differenstryk mellem EP og ISP på nul.

Strømdelere FD1, FD2 (fig. 16)

I udstødningsrøret (EP) og i overføringsrøret (TT) er henholdsvis indsat et sæt venturier eller blænder, som giver en proportional prøve af den ufortyndede udstødningsgas. For at proportional deling kan opnås, kræves et reguleringssystem bestående af to trykreguleringsventiler PCV1 og PCV2, som regulerer trykket i udstødningsrøret EP og fortyndingstunnelen DT.

FD3 strømdeler (fig. 17)

I udstødningsrøret EP er monteret et sæt rør (en flerrørsenhed), der giver en proportional prøve af den ufortyndede udstødningsgas. Det ene af rørene fører udstødningsgas til fortyndingstunnelen DT, medens de øvrige rør fører udstødningsgassen til et dæmpekammer DC. Rørene skal have ens dimensioner (samme diameter, længde, bøjningsradius), således at delingsforholdet for udstødningsgassen alene afhænger af det samlede antal rør. For at proportional deling kan opnås, kræves et reguleringssystem, der opretholder et differenstryk på nul mellem flerrørsenhedens udmunding i dæmpekammeret DC og afgangen fra overføringsrøret TT. Under disse omstændigheder er udstødningsgassens hastighed i udstødningsrøret EP og strømdeleren FD3 proportionale, og gennem overføringsrøret TT strømmer en fast brøkdel af udstødningsgasstrømmen. De to punkter skal være forbundet med en differenstryktransducer DPT. Reguleringen af differenstrykket på nul sker ved hjælp af strømningsregulatoren FC1.

EGA: udstødningsgasanalysator (fig. 13, 14, 15, 16 og 17)

Der kan anvendes CO2- eller NOx-analysatorer (med brug af kulstofbalance alene for CO2) Analysatorerne kalibreres på samme måde som dem, der benyttes til bestemmelse af forurenende luftarter. Til bestemmelse af koncentrationsforskelle kan anvendes en eller flere analysatorer. Målesystemet skal kunne bestemme GEDFW,i med en præcision på ± 4 %.

TT overføringsrør (fig. 11 til 19)

For overføringsrøret gælder:

 røret skal være så kort som muligt, og ikke over 5 m langt

 rørets diameter skal mindst være lig prøvetagningssondens, men højst 25 mm

 røret skal være placeret i fortyndingstunnelens midtlinje og vende i strømmens retning.

Er rørets længde 1 meter eller derunder, skal det være isoleret med et materiale med en varmeledningsevne på højst 0,05 W/m*K med en radial isoleringstykkelse svarende til sondens diameter. Er røret længere end 1 meter, skal det være isoleret og opvarmet til en vægtemperatur på 523 K (250 °C).

DPT differenstryktransducer (fig. 11, 12, og 17)

Differenstryktransduceren skal have et område på højst ± 500 Pa.

FC1 strømningsregulator (fig. 11, 12 og 17)

I isokinetiske systemer (fig. 11 og 12) kræves en strømningsregulator til opretholdelse af et differenstryk på nul mellem EP og ISP. Reguleringen kan finde sted på følgende måder:

a) ved at styre sugepumpens (SB) hastighed eller gennemstrømning og fastholde trykpumpens (PB) hastighed i hvert testforløb (fig. 11), eller

b) ved at indstille sugepumpen (SB) på en konstant massestrøm af fortyndet udstødningsgas og styre pumpehastigheden af trykpumpen (PB) og dermed udstødningsprøvegasstrømmen i et område ved enden af overføringsrøret (TT) (fig. 12).

For trykregulerede systemer må restfejlen i reguleringssløjfen ikke være over ± 3 Pa. Tryksvingningerne i fortyndingstunnelen må i gennemsnit ikke overstige ± 250 Pa.

For at opnå proportional opdeling af udstødningsgassen i flerrørssystemer (fig. 17) kræves en strømningsregulator, der holder et differenstryk på nul mellem udgangen af flerrørsenheden og afgangen fra overføringsrøret (TT). Reguleringen kan ske ved styring af luftindblæsningen i fortyndingstunnelen (DT) ved afgangen fra TT.

PCV1, PCV2 trykreguleringsventiler (fig. 16)

Til proportional strømdeling i systemer med dobbelt venturi/blænde kræves to trykreguleringsventiler, der regulerer modtrykket i udstødningsrøret (EP) og trykket i fortyndingstunnelen (DT). Ventilerne skal være placeret nedstrøms for SP i EP og mellem PB og DT.

DC dæmpekammer (fig. 17)

Ved afgangen fra flerrørsenheden skal forefindes et dæmpekammer til minimering af tryksvingningerne i udstødningsrøret (EP).

VN venturi (fig. 15)

Fortyndingstunnelen er forsynet med en venturi, der skaber undertryk omkring afgangen fra overføringsrøret TT. Størrelsen af gasstrømmen gennem TT bestemmes af impulsudvekslingen i venturiområdet og er som hovedregel proportional med strømningshastigheden i trykpumpen PB, hvorved fortyndingsforholdet bliver konstant. Da impulsudvekslingen påvirkes af temperaturen ved afgangen fra overføringsrøret TT og af trykforskellen mellem udstødningsrøret EP og fortyndingstunnelen DT, er det faktiske fortyndingsforhold en smule lavere ved lav end ved høj belastning.

FC2 strømningsregulator (fig. 13, 14, 18, og 19; frivillig)

Til regulering af gennemstrømningen i trykpumpen PB og/eller sugepumpen SB kan anvendes en strømningsregulator. Den kan tilsluttes signalet for udstødningsgas-, indsugningsluft- eller brændstofstrøm og/eller differenssignalet for CO2 eller NOx. Anvendes en tryksat luftforsyning (fig. 15), kontrollerer strømningsregulatoren FC2 luftstrømmen direkte.

FM1 flowmeter (fig. 11, 12, 18 og 19)

Gasmåler eller andet flowmeter til måling af fortyndingsluftstrømmen. FM1 er frivillig, hvis sugepumpen PB er kalibreret til måling af gennemstrømningen.

FM2 flowmeter (fig. 19)

Gasmåler eller andet flowmeter til måling af strømmen af fortyndet udstødningsgas. FM2 er frivillig, hvis sugepumpen SB er kalibreret til måling af gennemstrømningen.

PB trykblæser (fig. 11, 12, 13, 14, 15, 16 og 19)

Til regulering af fortyndingsluftens strømningshastighed kan PB tilsluttes strømningsregulatorerne FC1 eller FC2. En trykpumpe PB kræves ikke, hvis der anvendes et drosselspjæld. Er PB kalibreret, kan den anvendes til måling af fortyndingsluftstrømmen.

SB sugeblæser (fig. 11, 12, 13, 16, 17 og 19)

Kun til systemer med delstrømsprøveudtagning. Er SB kalibreret, kan den anvendes til måling af den fortyndede udstødningsgasstrøm.

DAF fortyndingsluftfilter (fig. 11 til 19)

Det anbefales, at fortyndingsluften filtreres og skrubbes med trækul for at fjerne baggrundsindholdet af carbonhydrider. På fabrikantens begæring skal der efter god teknisk skik tages prøver af fortyndingsluften til bestemmelse af baggrundskoncentrationen af partikler, som derefter kan trækkes fra de målte værdier i den fortyndede udstødningsgas.

DT fortyndingstunnel (fig. 11 til 19)

For fortyndingstunnelen gælder:

 tunnelen skal være tilstrækkelig lang til at sikre fuldstændig opblanding af udstødningsgas og fortyndingsluft ved turbulent strømning

 tunnelen skal være udført i rustfrit stål med:

 

 for tunneler med indv. diameter over 75 mm, et forhold tykkelse/diameter på ikke over 0,025

 for fortyndingstunneler med indvendig diameter højst 75 mm, nominel tykkelse på mindst 1,5 mm

 er tunnelen af typen med delstrømsprøveudtagning, skal dens diameter være mindst 75 mm

 er tunnelen beregnet til totalprøveudtagning, anbefales en tunneldiameter på mindst 25 mm

 tunnelen kan opvarmes til en vægtemperatur på højst 325 K (52 °C) ved direkte opvarmning eller ved forvarmning af fortyndingsluften, forudsat at lufttemperaturen ikke er over 325 K (52 °C), før udstødningsgassen tilføres fortyndingstunnelen

 kan være isoleret.

Motorens udstødningsgas skal være fuldstændig opblandet med fortyndingsluft. For systemer med delstrømsprøvetagning skal opblandingens kvalitet efter idriftsættelse kontrolleres ved, at tunnelens CO2-profil bestemmes, mens motoren er i gang (mindst fire målepunkter med samme indbyrdes afstand). Om nødvendigt kan anvendes en blænde til at sikre opblanding.

Bemærkninger:

Bemærkninger: Hvis temperaturen omkring fortyndingstunnelen (DT) er under 293 K (20 °C), bør der tages forholdsregler til at undgå tab af partikler på de kolde overflader af fortyndingstunnelens vægge. Det anbefales derfor, at tunnelen opvarmes og/eller isoleres inden for ovennævnte grænser.

Ved stærk belastning af motoren kan tunnelen køles med ikke-aggressive midler som f.eks. roterende ventilator, forudsat at temperaturen af kølemediet ikke er under 293 K (20 °C).

HE varmeveksler (fig. 16 og 17)

Varmeveksleren skal have tilstrækkelig kapacitet til at holde sugepumpen SB's indgangstemperatur inden for ± 11 K af den gennemsnitlige driftstemperatur, der er iagttaget under testen.

2.3.   Fortyndingssystem af fuldstrømstypen

I fig. 20 beskrives et system, hvor al udstødningsgassen fortyndes, og der udtages et konstant prøvevolumen (Constant Volume Sampling (CVS)). Det samlede rumfang af blandingen af udstødningsgas og fortyndingsluft skal måles. Der kan enten anvendes et PDP- eller CFV-system.

Til efterfølgende indsamling af partikler ledes en prøve af den fortyndede udstødningsgas til partikelindsamlingssystemet (punkt 2.4, fig. 21 og 22). Gøres dette direkte, betegnes det enkelt fortynding. Fortyndes prøven en ekstra gang i den sekundære fortyndingstunnel, betegnes det dobbelt fortynding. Sidstnævnte er nyttigt, hvis kravene til filteroverfladens temperatur ikke kan opfyldes ved enkelt fortynding. Skønt det dobbelte fortyndingssystem delvis er et fortyndingssystem, beskrives det som en modifikation af partikelprøvetagningssystemet i punkt 2.4, fig. 22, da det for de fleste komponenters vedkommende svarer til et typisk partikelprøvetagningssystem.

lufttil baggrundsfilterfrivilligfrivilligudstødningse figur 21til partikelprøvetagningssystem ellertil DDS (se figur 22)hvis EFC anvendesudluftningudluftning

Figur 20

Fuldstrømsfortyndingssystem

Hele mængden af ufortyndet udstødningsgas opblandes i fortyndingstunnelen med fortyndingsluft. Strømningshastigheden af den fortyndede udstødningsgas måles enten med en fortrængningspumpe PDP eller med en kritisk venturi CFV. Til proportional partikeludskillelse og strømningsmåling kan benyttes en varmeveksler HE eller elektronisk strømningskompensation EFC. Da partikelbestemmelsen er baseret på den totale fortyndede udstødningsgasstrøm, behøver fortyndingsforholdet ikke beregnes.

2.3.1.   Komponenter i fig. 20

EP udstødningsrør

Udstødningsrørets længde må ikke være over 10 m, regnet fra afgangen af motorens udstødningsmanifold, turboladerafgang eller efterbehandlingsenhed til fortyndingstunnelen. Hvis udstødningsrøret neden for motorens udstødningsmanifold, turboladerafgang eller efterbehandlingsenhed er over 4 m langt, skal hele den del af røret, som er over 4 m, være isoleret, bortset fra en eventuel røgtæthedsmåler placeret i selve udstødningsrøret. Isoleringens radiale tykkelse skal være mindst 25 mm. Isoleringsmaterialets varmeledningsevne må højst være 0,1 W/mK, målt ved 673 K. For at mindske udstødningsrørets termiske træghed anbefales et forhold mellem rørets tykkelse og diameter på højst 0,015. Brugen af bøjelige rørsektioner bør begrænses til en længde af højst 12 rørdiametre.

PDP fortrængningspumpe

PDP måler den totale fortyndede udstødningsgasstrøm på grundlag af antal pumpeomdrejninger og pumpens slagvolumen. Modtrykket i udstødningssystemet må ikke kunstigt sænkes af PDP eller tilførselssystemet for fortyndingsluft. Modtrykket i udstødningssystemet, målt under statiske forhold mens PDP-systemet er i funktion, må ikke afvige mere end ± 1,5 kPa fra det målte statiske tryk med samme motorhastighed og -belastning uden tilslutning til PDP. Temperaturen af gasblandingen umiddelbart foran fortrængningspumpen PDP må ikke afvige mere end ± 6 K fra den gennemsnitlige driftstemperatur målt under prøven, når der ikke anvendes strømningskompensation. Strømningskompensation kan kun anvendes, hvis temperaturen ved indgangen til PDP ikke er over 323 K (50 °C).

CFV kritisk venturi

CFV måler den totale fortyndede udstødningsgasstrøm ved at opretholde neddroslet (kritisk) strømning. Modtrykket i udstødningssystemet, målt under statiske forhold når konstantvolumen-prøvetagningssystemet CFV er i funktion, må ikke afvige mere end ± 1,5 kPa fra det målte statiske tryk uden tilslutning til CFV med samme motorhastighed og -belastning. Temperaturen af gasblandingen umiddelbart foran fortrængningspumpen CFV må ikke afvige mere end ± 11 K fra den gennemsnitlige driftstemperatur målt under prøven, når der ikke anvendes strømningskompensation.

HE varmeveksler (frivillig når EFC anvendes)

Varmevekslerens kapacitet skal være tilstrækkelig til at holde temperaturen inden for ovennævnte grænser.

EFC elektronisk strømningskompensation (ikke obligatorisk, når varmeveksler anvendes)

Hvis indgangstemperaturen til enten fortrængningspumpe PDP eller kritisk venturi CFV ikke holdes inden for de ovenfor angivne grænser, kræves et system til elektronisk strømningsberegning, som konstant måler strømningshastigheden og regulerer det proportionale prøveudtag i partikeludskillelsessystemet. Hertil anvendes strømningshastighedssignalerne, der afgives løbende, til at korrigere prøvegassens strømningshastighed gennem partikeludskillelsessystemets partikelfiltre i tilsvarende (se punkt 2.4, fig. 21 og 22).

DT fortyndingstunnel

For fortyndingstunnelen gælder:

 tunnelens diameter skal være tilstrækkelig lille til at skabe turbulent strømning (Reynolds' tal >4 000) og tilstrækkelig lang til at sikre fuldstændig opblanding af udstødningsgas og fortyndingsluft; til opblanding kan anvendes en blænde

 skal være mindst 460 mm i diameter med et enkelt fortyndingssystem

 skal være mindst 210 mm i diameter med et dobbelt fortyndingssystem

 kan være isoleret.

Motorens udstødning skal ledes med strømmen i det punkt, hvor den tilføres fortyndingstunnelen, og skal være godt opblandet.

Hvis der anvendes enkelt fortynding, overføres en prøve fra fortyndingstunnelen til partikeludskillelsessystemet (punkt 2.4, fig. 21). PDP eller CFV skal have tilstrækkelig strømningskapacitet til at holde temperaturen af den fortyndede udstødningsgas på højst 325 K (52 °C) umiddelbart før partikelhovedfilteret.

Anvendes dobbelt fortynding, overføres en prøve fra fortyndingstunnelen til den sekundære fortyndingstunnel, hvor den fortyndes yderligere, og ledes derefter gennem prøveudskillelsesfiltrene (punkt 2.4, fig. 22). PDP eller CFV skal have tilstrækkelig strømningskapacitet til at holde temperaturen af den fortyndede udstødningsgas på højst 464 K (191 °C) i prøvetagningsområdet. Det sekundære fortyndingssystem skal tilføre tilstrækkelig fortyndingsluft til at holde temperaturen af den dobbelt fortyndede udstødningsgasstrøm på højst 325 (52 °C) umiddelbart før det primære partikelfilter.

DAF fortyndingsluftfilter

Det anbefales, at fortyndingsluften filtreres og skrubbes med trækul for at fjerne baggrundsindholdet af carbonhydrider. På motorfabrikantens begæring kan der tages prøver fortyndingsluften efter god teknisk skik for at bestemme baggrundskoncentrationen af partikler, som derefter kan trækkes fra de værdier, der måles i den fortyndede udstødningsgas.

PSP partikelprøvetagningssonde

Prøvetagningssonden, som er den forreste del af PTT,

 skal være placeret, så den vender mod strømmen et sted, hvor fortyndingsluft og udstødningsgas er godt opblandet, dvs. i midtlinjen af fortyndingstunnelen DT, ca. 10 tunneldiametre nedstrøms for det punkt, hvor udstødningsgassen tilføres fortyndingstunnelen

 skal have en indvendig diameter på mindst 12 mm

 tunnelen kan opvarmes til en vægtemperatur på højst 325 K (52 °C) ved direkte opvarmning eller ved forvarmning af fortyndingsluften, forudsat at lufttemperaturen ikke er over 325 K (52 °C), før udstødningsgassen tilføres fortyndingstunnelen

 kan være isoleret.

2.4.   Partikelprøvetagningssystem

Der kræves et system til udskillelse af partiklerne på partikelfilteret. Ved total prøveindsamling med delstrømsfortynding, hvor hele den fortyndede udstødningsgasprøve ledes gennem filtrene, udgør fortyndingssystemet (punkt 2.2, fig. 14 og 18) og prøvetagningssystemet sædvanligvis en helhed. Er der tale om delstrømsprøvetagning med delstrømsfortynding eller fuldstrømsfortynding, hvor kun en del af den fortyndede udstødningsgas føres gennem filtrene, er fortyndingssystemet (punkt 2.2, fig. 11, 12, 13, 15, 16, 17 og 19; punkt 2.3, fig. 20) og prøvetagningssystemet sædvanligvis separate enheder.

I dette direktiv anses det dobbelte fortyndingssystem (fig. 22) i et totalstrømsfortyndingssystem som en særlig modifikation af et typisk prøvetagningssystem som det i fig. 21 viste. I det dobbelte fortyndingssystem indgår alle de vigtigste dele af partikelprøvetagningssystemet, og desuden visse fortyndingsfaciliteter som fortyndingslufttilførsel og en sekundær fortyndingstunnel.

For at undgå enhver påvirkning af reguleringssløjferne anbefales det at lade prøvetagningspumpen arbejde under hele prøveforløbet. Ved enkeltfiltermetoden skal der anvendes et omledningssystem til at lede prøven gennem prøvetagningsfiltrene til ønsket tid. Interferens med reguleringssløjferne fra tilkoblingsproceduren skal være minimeret.

fra fortyndingstunnel DT(se figur 11 til 20)frivillig:fra EGAel.fra PDPel.fra CFVel.fra GFUEL

Figur 21

Partikelprøvetagningssystem

En prøve af den fortyndede udstødningsgas overføres ved hjælp af prøvetagningspumpen P fra fortyndingstunnelen (DT) i et totalstrømsfortyndingssystem eller fuldstrømsfortyndingssystem gennem partikelprøvetagningssonden PSP og partikeloverføringsrøret PTT. Prøven ledes gennem filterholderen (-holderne) FH, som indeholder partikelprøvefiltrene. Prøvestrømmens strømningshastighed reguleres af strømningsregulatoren (FC3). Anvendes elektronisk strømningskompensation (EFC) (se fig. 20), benyttes strømningshastigheden af fortyndet udstødningsgas som styresignal for FC3.

udluftningfra fortyndingstunnel DT (se fig. 20)frivillig

Figur 22

Dobbelt fortyndingssystem (kun fuldstrømssystem)

En prøve af den fortyndede udstødningsgas overføres fra fortyndingstunnelen (DT) i et totalstrømsfortyndingssystem gennem partikelprøvetagningssonden PSP og partikeloverføringsrøret PTT til den sekundære fortyndingstunnel SDT, hvor den fortyndes yderligere. Prøven ledes dernæst gennem filterholderen (-holderne), der indeholder partikelprøvetagningsfiltrene. Fortyndingsluftens strømningshastighed er sædvanligvis konstant, hvorimod prøvegassens strømningshastighed reguleres af strømningsregulatoren FC3. Anvendes elektronisk strømningskompensation (EFC) (se fig. 20), benyttes strømningshastigheden af fortyndet udstødningsgas som styresignal for FC3.

2.4.1.   Komponenterne i fig. 21 og 22

PTT partikeloverføringsrør (fig. 21 og 22)

Partikeloverføringsrøret skal være så kort som muligt og højst 1 020 mm langt. Når det er relevant (dvs. for delstrømsfortyndingssystemer med delstrømsprøvetagning og for fuldstrømsfortyndingssystemer), er længden af prøvetagningssonderne (hhv. SP, ISP og PSP, se punkt 2.2 og 2.3) medregnet heri.

Dimensioneringen er gyldig for:

 delstrømsfortyndingssystemer med delvis prøvetagning samt totalstrømsfortyndingssystemer med enkelt fortyndingssystem fra prøvesondens spids til filterholderen

 delstrømsfortyndingssystemer med total prøvetagning fra enden af fortyndingstunnelen til filterholderen

 totalstrømsfortyndingssystemer med dobbelt fortynding fra enden af sonden til den sekundære fortyndingstunnel.

Overføringsrøret:

 kan være opvarmet til en vægtemperatur på højst 325 K (52 °C) ved direkte opvarmning eller ved forvarmning af fortyndingsluften, forudsat at lufttemperaturen ikke er over 325 K (52 °C), før udstødningsgassen tilføres fortyndingstunnelen

 kan være isoleret.

SDT sekundær fortyndingstunnel (fig. 22)

Diameteren af den sekundære fortyndingstunnel skal være mindst 75 mm og dens længde skal være tilstrækkelig til, at gassens opholdstid er mindst 0,25 sekund for den dobbeltfortyndede prøve. Den primære filterholder, FH, skal være placeret højst 300 mm fra afgangen fra SDT.

For den sekundære fortyndingstunnel gælder:

 tunnelen kan være opvarmet til en vægtemperatur på højst 325 K (52 °C) ved direkte opvarmning eller ved forvarmning af fortyndingsluften, forudsat at lufttemperaturen ikke er over 325 K (52 °C), før udstødningsgassen tilføres fortyndingstunnelen

 kan være isoleret.

FH filterholder(e) (fig. 21 og 22)

Til hoved- og ekstrafilter kan enten anvendes ét enkelt filterhus eller separate filterhuse. Kravene i bilag III, tillæg 4, punkt 4.1.3, skal være opfyldt.

Filterholderen (-holderne):

 kan være opvarmet til en vægtemperatur på højst 325 K (52 °C) ved direkte opvarmning eller ved forvarmning af fortyndingsluften, forudsat at lufttemperaturen ikke er over 325 K (52 °C), før udstødningsgassen tilføres fortyndingstunnelen

 kan være isoleret.

P prøvetagningspumpe (fig. 21 og 22)

Partikelprøvetagningspumpen skal være placeret i tilstrækkelig afstand fra tunnelen, således at gassens indgangstemperatur fastholdes (inden for en afvigelse på ± 3 K), hvis der ikke anvendes strømningskorrektion med regulatoren FC3.

DP fortyndingsluftpumpe (fig. 22)

Fortyndingsluftpumpen skal være anbragt således, at den sekundære fortyndingsluft leveres ved en temperatur på 298 K ± 5 K (25 °C ± 5 °C), hvis fortyndingsluften ikke forvarmes.

FC3 strømningsregulator (fig. 21 og 22)

Til at kompensere for variationer i partikelprøvegassens strømningshastighed forårsaget af svingninger i temperatur og modtryk på prøvens vej anvendes en strømningsregulator, medmindre dette kan ske på anden måde. Strømningsregulator kræves, hvis der benyttes elektronisk strømningskompensation (EFC) (se fig. 20).

FM3 flowmeter (fig. 21 og 22)

Gasmåler eller flowmeter skal være placeret i tilstrækkelig afstand fra prøvetagningspumpen P, således at gassens indgangstemperatur holdes konstant (inden for ± 3K), hvis der ikke anvendes strømningskorrektion med regulatoren FC3.

FM4 flowmeter (fig. 22)

Gasmåler eller flowmeter til måling af fortyndingsluftstrømmen skal være placeret således, at gassens indgangstemperatur holdes på 298 K ± 5 K (25 °C ± 5 °C).

BV kugleventil (frivillig)

Kugleventilen skal have en indvendig diameter mindst lig partikeloverføringsrørets PTT indvendige diameter og en omskiftningstid på mindre end 0,5 sekund.

Bemærkninger:

Hvis temperaturen omkring PSP, PTT, SDT, og FH er under 293 K (20 °C), bør der tages forholdsregler til at undgå tab af partikler på de kolde overflader af væggene af disse dele. Derfor anbefales opvarmning og/eller isolering af disse dele inden for de grænser, der foreskrives i de pågældende beskrivelser. Derudover anbefales, at filteroverfladens temperatur under prøvetagningen ikke er under 293 K (20 °C).

Ved stærk belastning af motoren kan tunnelen køles med ikke-aggressive midler som f.eks. roterende ventilator, forudsat at temperaturen af kølemediet ikke er under 293 K (20 °C).

3.   BESTEMMELSE AF RØGTÆTHED

3.1.   Indledning

Punkt 3.2 og 3.3 og fig. 23 og 24 indeholder detaljerede beskrivelser af de anbefalede systemer til røgtæthedsmåling. Da tilsvarende resultater vil kunne opnås med afvigende udformning af systemerne, kræves der ikke nøje overensstemmelse med fig. 23 og 24. Der kan anvendes supplerende komponenter som instrumenter, ventiler, magnetventiler og kontakter til at tilvejebringe supplerende oplysninger og koordinere funktionerne af de indgående systemer. Andre komponenter kan udelades, hvis de for nogle systemers vedkommende ikke er nødvendige af hensyn til nøjagtigheden, og hvis udeladelsen af dem er teknisk velbegrundet.

Måleprincippet består i, at der sendes lys gennem en bestemt længde af den undersøgte røg, og ved at måle, hvor stor en del af det indfaldende lys, som når frem til en modtager, kan man bestemmes prøvens lysabsorberende egenskaber. Røgtæthedsmåling afhænger af apparatets konstruktion og kan finde sted i udstødningsrøret (linjeopacimeter af fuldstrømstypen), ved enden af udstødningsrøret (fuldstrømsopacimeter ved rørafgang) eller ved udtagning af en prøve fra udstødningsrøret (delstrømsopacimeter). Til bestemmelse af lysabsorptionskoefficienten ud fra opacitetssignalet skal instrumentets optiske lysvej være angivet af instrumentets fabrikant.

3.2.   Fuldstrømsopacimeter

Der kan anvendes to hovedtyper af fuldstrømsopacimetre (fig. 23). Med linjeopacimeteret måles røgtætheden af den samlede udstødningsgas i udstødningsrøret. Med denne type opacimeter afhænger den effektive lysvej af opacimeterets konstruktion.

Med opacimeteret i rørafgangen måles røgtætheden af den samlede udstødningsgas ved afgangen fra udstødningsrøret. Med denne type opacimeter afhænger den effektive lysvej af udstødningsrørets udformning og afstanden mellem enden af udstødningsrøret og opacimeteret.

(frivillig)

Figur 23

Fuldstrømsopacimeter

3.2.1.   Komponenter i fig. 23

EP udstødningsrør

Med linjeopacimeteret må der ikke være nogen ændringer i udstødningsrørets diameter i en afstand af 3 rørdiametre før og efter målestedet. Hvis diameteren i måleområdet er større end udstødningsrørets diameter, anbefales det, at røret konvergerer gradvis før måleområdet.

Med fuldstrømsopacimeteret ved rørafgang skal de sidste 0,6 m af udstødningsrøret have cirkulært tværsnit og være uden vinkler og bøjninger. Enden af udstødningsrøret skal være skåret af i en ret vinkel. Opacimeteret skal være monteret centralt i røgstrømmen højst 25 ± 5 mm fra enden af udstødningsrøret.

OPL optisk lysvej

Længden af den røgfyldte lysvej mellem opacimeterets lyskilde og modtager, i nødvendigt omfang korrigeret for uhomogenitet som følge af massefyldegradienter og randeffekter. Den optiske lysvejlængde skal angives af instrumentets fabrikant under hensyntagen til eventuelle foranstaltninger mod tilsodning (f.eks. skylleluft). Er lysvejlængden ikke oplyst, skal den bestemmes i henhold til ISO DIS 11614, punkt 11.6.5. Til korrekt bestemmelse af lysvejlængde skal udstødningsgassens hastighed være mindst på 20 m/s.

LS lyskilde

Lyskilden skal være en glødelampe med en farvetemperatur mellem 2 800 og 3 250 K eller en grøn lysdiode, hvis spektrum har maksimum mellem 550 og 570 nm. Lyskilden skal være beskyttet mod tilsodning på en måde, som ikke ændrer lysvejen, således at denne afviger fra fabrikantens specifikationer.

LD lysdetektor

Detektoren skal være en fotocelle eller fotodiode (om nødvendigt med filter). Er lyskilden en glødelampe, skal dens responsspektrum have toppunkt (maksimal respons) svarende til den fototopiske kurve for det menneskelige øje, dvs. i området 550 til 570 nm, medens responsen i området under 430 nm og over 680 nm skal være mindre end 4 % af den maksimale respons. Lysdetektoren skal være beskyttet mod tilsodning på en måde, som ikke ændrer lysvejen således at denne afviger fra fabrikantens specifikationer.

CL kollimatorlinse

Det afgivne lys skal kollimeres til en stråle med en diameter på højst 30 mm. Med en tolerance på 3° skal lyset i strålebundtet være parallelt med den optiske akse.

T1 temperaturføler (frivillig)

Udstødningsgassens temperatur kan overvåges gennem hele testen.

3.3.   Delstrømsopacimeter

Med delstrømsopacimeteret (fig. 24) tages en repræsentativ prøve af udstødningsgas fra udstødningsrøret og ledes gennem en overføringsledning til målekammeret. Med denne type opacimeter afhænger den effektive lysvej af opacimeterets konstruktion. De i det følgende punkt anførte responstider gælder ved opacimeterets minimumsflowhastighed, således som denne angives af instrumentets fabrikant.

udstødning(frivillig)

Figur 24

Delstrømsopacimeter

3.3.1.   Komponenter i fig. 24

EP udstødningsrør

Udstødningsrøret skal i en afstand af mindst seks rørdiametre opstrøms for og tre rørdiametre nedstrøms for prøvetagningssonden være lige.

SP prøvetagningssonde

Prøvetagningssonden skal være et åbent rør, som vender modsat strømmen og er placeret i eller omkring udstødningsrørets midtlinje. Sonden skal have en afstand på mindst 5 mm fra udstødningsrørets væg. Sondens diameter skal sikre, at den udtagne prøve er repræsentativ og at gennemstrømningen i opacimeteret er tilstrækkelig.

TT overføringsrør

For partikelprøveoverføringsrøret gælder:

 Røret skal være så kort som muligt og skal sikre en udstødningsgastemperatur på 373 ± 30 K (100 °C ± 30 °C) ved indgangen til målekammeret.

 Rørets vægtemperatur skal være tilstrækkeligt over udstødningsgassens dugpunkt til at forhindre kondensation.

 Rørets diameter skal i hele dets længde være lig prøvetagningsrørets diameter.

 Rørets responstid skal være mindre end 0,05 s ved mindste flowmetergennemstrømning bestemt i henhold til bilag III, tillæg 4, punkt 5.2.4.

 Røret må ikke have nævneværdig indvirkning på røgtæthedskurvens toppunkt.

FM flowmåleanordning

Flowmåleanordning til bestemmelse af det korrekte flow ind i målekammeret. Instrumentets fabrikant skal angive en minimums- og maksimumsflowhastighed, som skal være sådan, at kravene til responstid af TT og lysvejlængde er opfyldt. Flowmåleanordningen kan være anbragt tæt på prøvetagningspumpen P, hvis en sådan anvendes.

MC målekammer

Målekammeret skal indvendigt have ikke-reflekterende overflade eller tilsvarende optisk overflade. Indfald af falsk lys på detektoren som følge af indvendige reflekser af diffust lys skal være nedsat til et minimum.

Gastrykket i målekammeret må ikke afvige mere end 0,75 kPa fra atmosfæretrykket. Når konstruktionen gør dette umuligt, skal opacimeterets aflæsning omregnes til atmosfæretryk.

Målekammerets vægtemperatur skal med en nøjagtighed på ± 5 K være indstillet mellem 343 K (70 °C) og 373 K (100 °C), men under alle omstændigheder tilstrækkeligt over udstødningsgassens dugpunkt til at hindre kondensdannelse. Målekammeret skal være udstyret med passende anordninger til måling af temperaturen.

OPL optisk lysvejlængde

Længden af den røgfyldte lysvej mellem opacimeterets lyskilde og modtager, i nødvendigt omfang korrigeret for uhomogenitet som følge af massefyldegradienter og randeffekter. Den optiske lysvejlængde skal angives af instrumentets fabrikant under hensyntagen til eventuelle foranstaltninger mod tilsodning (f.eks. skylleluft). Er lysvejlængden ikke oplyst, skal den bestemmes i henhold til ISO DIS 11614, punkt 11.6.5.

LS lyskilde

Lyskilden skal være en glødelampe med en farvetemperatur mellem 2 800 og 3 250 K eller en grøn lysdiode, hvis spektrum har maksimum mellem 550 og 570 nm. Lyskilden skal være beskyttet mod tilsodning på en måde, som ikke ændrer lysvejen, således at denne afviger fra fabrikantens specifikationer.

LD lysdetektor

Detektoren skal være en fotocelle eller fotodiode (om nødvendigt med filter). Er lyskilden en glødelampe, skal dens responsspektrum have toppunkt (maksimal respons) svarende til den fototopiske kurve for det menneskelige øje, dvs. i området 550 til 570 nm, medens responsen i området under 430 nm og over 680 nm skal være mindre end 4 % af den maksimale respons. Lysdetektoren skal være beskyttet mod tilsodning på en måde, som ikke ændrer lysvejen, således at denne afviger fra fabrikantens specifikationer.

CL kollimatorlinse

Det afgivne lys skal kollimeres til en stråle med en diameter på højst 30 mm. Lyset i strålebundtet skal være parallelt med den optiske akse med en tolerance på 3°.

T1 temperaturføler

At overvåge udstødningsgassens temperatur ved indgangen til målekammeret.

P prøvetagningspumpe (frivillig)

En prøvetagningspumpe nedstrøms for målekammeret kan anvendes til at føre gassen gennem målekammeret.




BILAG VI

EF-TYPEGODKENDELSESATTESTMeddelelse om:typegodkendelseDet ikke gældende overstreges.udvidelse af typegodkendelseDet ikke gældende overstreges.for en type køretøj/separat teknisk enhed (motortype/motorfamilie)/komponentDet ikke gældende overstreges.i henhold til direktiv 88/77/EØF, senest ændret ved direktiv 2001/27/EFEF typegodkendelse nr.: Udvidelse nr.:DEL I0Almindelige oplysninger0.1 Køretøjets/den separate tekniske enheds/komponentens fabriksmærkeDet ikke gældende overstreges.:0.2 Handelsbetegnelse for køretøjstypen/den separate tekniske enhed/komponentenDet ikke gældende overstreges.:0.3 Fabrikantens typebetegnelse som markeret på køretøj/separat teknisk enhed/komponentDet ikke gældende overstreges.:0.4 Køretøjets klasse:0.5 Motorens klasse: diesel/NG-dreven/ethanoldrevenDet ikke gældende overstreges.:0.6 Fabrikantens navn og adresse:0.7 Navn og adresse på fabrikantens godkendte repræsentanter (udfyldes evt.):DEL II1 Kort beskrivelse (udfyldes evt.): se bilag I2 Teknisk tjeneste, der forestår afprøvningen:3 Dato for prøverapport:4 Prøverapportens nr.:5 Begrundelse for forlængelse af typegodkendelsen (udfyldes evt.):6 Eventuelle bemærkninger: se bilag I.7 Sted:8 Dato:9 Underskrift:10 Der vedlægges en liste over de dokumenter vedrørende typegodkendelsen, der er deponeret hos den myndighed, som har meddelt typegodkendelse. De udleveres efter anmodning.




▼M1

Tillæg1

▼B

til EF-typegodkendelsesattest nr. … vedrørende typegodkendelse af køretøj/separat teknisk enhed/komponent ( 56 )

1 Kort beskrivelse1.1 Følgende oplysninger gives i forbindelse med typegodkendelse af et køretøj, der er monteret med motor:1.1.1 Motorens fabriksmærke (firmabetegnelse):1.1.2 Type og handelsebetegnelse (eventuelt angives forskellige udførelser):1.1.3 Fabrikationskode som markeret på motoren:1.1.4 Køretøjets klasse (udfyldes evt.):1.1.5Motorens klasse: diesel/NG-dreven/LPG-dreven/ethanol-dreven (1)1.1.6 Fabrikantens navn og adresse:1.1.7 Navn og adresse på fabrikantens autoriserede repræsentant (udfyldes evt.):1.2 Hvis den under punkt 1.1 anførte motor er typegodkendt som en separat teknisk enhed:1.2.1 Motorens/motorfamiliens typegodkendelsesnummer (1):1.3 Rubrikker som skal udfyldes i forbindelse med typegodkendelse af motor/motorfamilie (1) /som separat teknisk enhed (betegnelser som skal være overholdt ved montering af motoren på køretøjet):1.3.1 Maksimalt og/eller minimalt indsugningsundertryk: kPa1.3.2 Maksimalt tilladt modtryk: kPa1.3.3 Udstødningssystemets volumen: cm31.3.4 Effekt, som absorberes af det udstyr, som er nødvendigt for motorens funktion:1.3.4.1 I tomgang: kW. Ved lav motorhastighed: Ved høj motorhastighed: kWVed hastighed A: kW. Ved hastighed B: kW. Ved hastighed C: kW.Ved refernecehastighed: kW1.3.5 Begrænsninger vedrørende anvendelse (udfyldes evt.):1.4 Emissionsværdier for motoren/stammotoren (1)1.4.1 ESC-test (hvis nødvendig):CO: g/kWhTHC: g/kWhNOx: g/kWhPT: g/kWh1.4.2 ELR-test (hvis nødvendig):Røgtæthed: m-11.4.3ETC-test (hvis nødvendig):CO: g/kWhTHC: g/kWh (1)NMHC: g/kWh (1)CH4: g/kWh (1)NOx: g/kWh (1)PT: g/kWh (1)

►(1) M1  

▼M1

1.4.   Emissionsværdier for motoren/stammotoren ( 57 ):

1.4.1.   ESC-test

Ældningsfaktor (DF): beregnet/fastsat (57) 

DF-værdier og emissioner i ESC-testen specificeres i nedenstående tabel:



ESC-test

DF:

CO

THC

NOx

PT

 
 
 
 

Emissioner

CO

(g/kWh)

THC

(g/kWh)

NOx

(g/kWh)

PT

(g/kWh)

Målte:

 
 
 
 

Beregnet med DF:

 
 
 
 

1.4.2.   ELR-test

Røgtæthed: … m–1

1.4.3.   ETC-test

Ældningsfaktor (DF): beregnet/fastsat (57) 



ETC-test

DF:

CO

NMHC

CH4

NOx

PT

 
 
 
 
 

Emissioner

CO

(g/kWh)

NMHC

(g/kWh) (1)

CH4

(g/kWh) (1)

NOx

(g/kWh)

PT

(g/kWh) (1)

Målt med regenerering:

 
 
 
 
 

Målt uden regenerering:

 
 
 
 
 

Målt/vægtet:

 
 
 
 
 

Beregnet med DF:

 
 
 
 
 

(1)   Det ikke gældende overstreges.

▼M1




Tillæg 2

OPLYSNINGER VEDRØRENDE EGENDIAGNOSESYSTEMET (OBD)

Som anført i tillæg 5 til bilag II i dette direktiv skal køretøjsfabrikanten give oplysningerne i dette tillæg med henblik på at give mulighed for produktion af egendiagnose-kompatible udskiftnings- eller servicekomponenter samt diagnoseværktøj og prøvningsudstyr. Køretøjsfabrikanten behøver ikke give sådanne oplysninger, hvis de er omfattet af intellektuel ophavsret eller udgør særlig knowhow, som tilhører køretøjsfabrikanten eller dennes leverandør (leverandører) af originalt fabriksudstyr (OEM-leverandører).

På anmodning skal dette tillæg stilles til rådighed uden forskelsbehandling for enhver berettiget fabrikant af komponenter, diagnoseværktøj eller prøvningsudstyr.

I overensstemmelse med bestemmelserne i punkt 1.3.3 i tillæg 5 til bilag II skal de oplysninger, der kræves i henhold til dette punkt, svare til de oplysninger, der gives i ovennævnte tillæg.

1. Beskrivelse af art og antal forbehandlingscyklusser, som er anvendt ved den oprindelige typegodkendelse af køretøjet.

2. Beskrivelse af arten af den egendiagnosecyklus, som er anvendt ved den oprindelige typegodkendelse af køretøjet til den komponent, som overvåges af egendiagnosesystemet.

3. Et fuldstændigt dokument, hvor alle overvågede komponenter er beskrevet med strategi for fejldetektion og aktivering af fejlkontrollampe (fast antal kørecyklusser eller statistisk metode), med en liste over de relevante sekundære overvågede parametre for hver komponent, som overvåges af egendiagnosesystemet. Fortegnelse over alle de anvendte egendiagnosekoder og -formater (med forklaring af hver enkelt), som er knyttet til de enkelte emissionsrelaterede komponenter i drivaggregatet og til de enkelte ikke emissionsrelaterede komponenter, når overvågning af komponenten er bestemmende for aktivering af fejlindikatoren.

▼B




BILAG VII

EKSEMPEL PÅ BEREGNINGSMÅDE

1.   ESC-TEST

1.1.   Forurenende luftarter

Måledata til beregning af de enkelte resultater er givet nedenfor. I dette eksempel måles CO og NOx på tør basis, HC på våd basis. HC-koncentrationen er givet i propanækvivalenter (C3) og skal ganges med tre for at omregnes til kulstof- (C1-) ækvivalenter. Beregningsmetoden er den samme for de andre testforløb.



P

(kW)

Ta

(K)

Ha

(g/kg)

GEXH

(kg)

GAIRW

(kg)

GFUEL

(kg)

HC

(ppm)

CO

(ppm)

NOx

(ppm)

82,9

294,8

7,81

563,38

545,29

18,09

6,3

41,2

495

Beregning af korrektionsfaktor for omregning fra tør til våd basis KW,r (bilag III, tillæg 1, punkt 4.2):

image

og

image

image

Beregning af våde koncentrationer:

image

image

Beregning af fugtighedskorrektionsfaktoren KH,D for NOx (bilag III, tillæg 1, punkt 4.3):

image

image

image

Beregning af emissionsmassestrømme (bilag III, tillæg 1, punkt 4.4):

image

image

image

Beregning af specifikke emissionsværdier (bilag III, tillæg 1, punkt 4.5):

I følgende beregningseksempel er valgt CO; for de øvrige komponenter er beregningsmåden den samme.

Emissionsmassestrømmene for de enkelte testforløb ganges med de respektive vægtningsfaktorer som foreskrevet i bilag III, tillæg 1, punkt 2.7.1, og lægges sammen, resulterende i den gennemsnitlige emissionsmassestrøm i hele testcyklussen:



CO

=

image

 

=

30,91 g/h

Motoreffekten i de enkelte testforløb ganges med de respektive vægtningsfaktorer som foreskrevet i bilag III, tillæg 1, punkt 2.7.1, og lægges sammen, resulterende i den gennemsnitlige effekt i hele testcyklussen:



image

=

image

 

=

60,006 kW

image

Beregning af den specifikke NOx -emission i det tilfældigt valgte punkt (bilag III, tillæg 1, punkt 4.6.1):

Lad os antage, at der i det tilfældige punkt er bestemt følgende værdier:

nZ

=

1 600 min-1

MZ

=

495 Nm

NOx mass.Z

=

487,9 g/h (beregnet efter foregående formler)

P(n)Z

=

83 kW

NOx,Z

=

487,9/83 = 5,878 g/kWh

Bestemmelse af emissionsværdien fra testcyklussen (bilag III, tillæg 1, punkt 4.6.2):

Lad os antage, at de fire tilstødende testforløb i ESC-testen er som følger:



nRT

nSU

ER

ES

ET

EU

MR

MS

MT

MU

1 368

1 785

5,943

5,565

5,889

4,973

515

460

681

610

image

image

image

image

image

Sammenligning af værdierne af NOx- emissionen (bilag III, tillæg 1, punkt 4.6.3)

image

1.2.   Partikelemissioner

Partikelbestemmelsen bygger på det princip, at der indsamles partikler gennem hele testcyklussen, medens strømmen af prøvegas (MSAM og GEDF) bestemmes i de enkelte testforløb. Beregningen af GEDF afhænger af det anvendte system. I de følgende eksempler betragtes et system med CO2-måling og kulstofbalancemetoden samt et system med flowmåling. Når der er tale om et fuldstrømsfortyndingssystem, måles GEDF direkte af CVS-udstyret.

Beregning af GEDF (bilag III, tillæg 1, punkt 5.2.3 og 5.2.4):

Lad os antage, at der er målt følgende data i testforløb 4. Beregningsmåden er den samme for de øvrige testforløb.



GEXH

(kg/h)

GFUEL

(kg/h)

GDILW

(kg/h)

GTOTW

(kg/h)

CO2D

(%)

CO2A

(%)

334,02

10,76

5,4435

6,0

0,657

0,040

a) kulstofbalancemetoden

image

b) flowmålemetoden

image

image

Beregning af massestrømmen (bilag III, tillæg 1, punkt 5.4):

Emissionsmassestrømmene GEDFW for de enkelte testforløb ganges med de respektive vægtningsfaktorer som angivet i bilag III, tillæg 1, punkt 2.7.1, og lægges sammen, resulterende i den gennemsnitlige GEDF i hele testcyklussen. Den totale prøvetagningshastighed MSAM beregnes ved sammenlægning af prøvetagningshastighederne for de enkelte testforløb.



image

=

image

 

=

3 604,6 kg/h

image

=

0,226 + 0,122 + 0,151 + 0,152 + 0,076 + 0,076 + 0,076 + 0,136 + 0,151 + 0,121 + 0,076 + 0,076 + 0,075

 

=

1,515 kg

Antages det, at massen af partiklerne på filtrene er 2,5 mg, fås:

image

Baggrundskorrektion (frivillig)

Lad os antage, at der er foretaget én baggrundsmåling med følgende resultater. Beregningen af fortyndingsfaktoren DF er den samme som i punkt 3.1 i dette bilag og er ikke vist her.

image



Sum af DF

=

image

 

=

0,923

image

Beregning af den specifikke emission (bilag III, tillæg 1, punkt 5.5):



image

=

image

 

=

60,006 kW

image

hvis baggrundskorrigeret

image

Beregning af den specifikke vægtningsfaktor (bilag III, tillæg 1, punkt 5.6):

Forudsættes værdierne at være de samme som beregnet for arbejdsmåde 4 ovenfor, fås

image

Denne værdi er inden for det tilladte område på 0,10 ± 0,003.

2.   ELR-TEST

Da Bessel-filtrering som metode til gennemsnitsberegning er helt ny i europæiske bestemmelser om udstødningsemissioner, er i det følgende givet en beskrivelse af Bessel-filteret, et eksempel på konstruktion af en Bessel-algoritme samt et eksempel på beregning af den endelige røgtæthed. Konstanterne i Bessel-algoritmen afhænger udelukkende af opacimeterets konstruktion og datafangstsystemets prøvetagningsfrekvens. Det anbefales, at opacimeterets fabrikant oplyser de endelige Bessel-filterkonstanter ved forskellige prøvetagningsfrekvenser, og at disse konstanter anvendes af kunden ved konstruktion af Bessel-algoritmen og ved beregning af røgtætheden.

2.1.   Almindelige bemærkninger om Bessel-filteret

På grund af højfrekvent forvrængning fremtræder det ubehandlede opacitetssignal sædvanligvis som en meget diffus kurve. For at fjerne disse højfrekvente forvrængninger kræves et Bessel-filter til ELR-testen. Bessel-filteret er selv et rekursivt anden ordens lavpasfilter, som sikrer hurtigst mulig stigning i signalet uden oversvingning.

Hvis man tager udgangspunkt i et tidstro udstødningsrøgforløb i udstødningsrøret, vil hvert opacimeter vise en forskellig røgtæthedskurve med forsinkelse. Det målte opacitetssignals forsinkelse og størrelse er hovedsagelig bestemt af geometrien af opacimeterets målekammer, herunder prøvetagningsledningerne til udstødningsgas, og af den tid, opacimeterets elektronik er om at behandle signalet. Disse to virkninger er karakteriseret af to størrelser, som kaldes den fysiske og den elektriske responstid og repræsenterer et særskilt filter for hver opacimetertype.

Formålet med at anvende et Bessel-filter er at sikre en ensartet samlet filterkarakteristik for hele opacimetersystemet, bestående af:

 opacimeterets fysiske responstid (tp)

 opacimeterets elektriske responstid (te)

 filterresponstiden for det anvendte Bessel-filter (tF)

Den resulterende samlede responstid for systemet tAver er givet ved:

image

og skal være ens for alle typer opacimetre for at give samme røgtæthed. Derfor er man nødt til at indføre et Bessel-filter, således at filterresponstiden (tF) sammen med den fysiske (tp) og elektriske (te) responstid af det enkelte opacimeter resulterer i den ønskede samlede responstid (tAver). Eftersom tp og te er givne størrelser for det enkelte opacimeter og tAver er sat til 1,0 s i dette direktiv, kan tF beregnes af:

image

Pr. definition er filterresponstiden tF den tid, et filtreret udgangssignal er om at stige fra 10 % til 90 % af værdien af et trinformet indgangssignal. Derfor skal Bessel-filterets afskæringsfrekvens iterativt beregnes således, at Bessel-filterets responstid er i overensstemmelse med den krævede stigningstid.

Indgangssignal (trinfunktion)signal (-)Bessel-filtreret udgangssignalTid [s]

Figur a

Kurve over et trinformet indgangssignal og det filtrerede udgangssignal

Figur a viser både kurven over et trinformet indgangssignal, et Bessel-filtreret udgangssignal og Bessel-filterets responstid (tF).

Konstruktion af Bessel-filterets endelige algoritme er en flertrinsproces, hvori der indgår flere iterationssløjfer. Et diagram over iterationsmetoden er vist nedenfor.

Karakteristiske opacimeterværdiertp, te [s]RegulerungTAver [s]Datafangstsystemets prøvetagningsfrekvens[Hz]Nødvendig samletBessel-filterresponstidtFTrin 1fc = fc,newKonstruktion af Bessel-filter-algoritmefc, E, KTrin 2Anvendelse af Bessel-filter på trinformet indgangssignalTrin 3t(10 %), t(90 %)Beregning af itereret filterresponstidtFiter = t(90 %) - t(10 %)Trin 4Justering af afskæringsfrekvensfc,new = fc × (1 + Δ)Afvigelse mellem tF og tFiterFOR-CL2005L0055DA0020010.0001.0117.xml.jpgTrin 5IterationKontrol af iterationskriteriernej|Δ| ≤ 0,01jaTrin 6Endelige Bessel-filterkonstanter og algoritmeYi = …Trin 7

2.2.   Beregning af Bessel-algoritmen

I dette eksempel konstrueres Bessel-algoritmen i flere trin i henhold til ovenstående iterationsprocedure, som er baseret på bilag III, tillæg 1, punkt 6.1.

For opacimeter og datafangstsystem forudsættes følgende specifikationer:

 fysisk responstid tp: 0,15 s

 elektrisk responstid te: 0,05 s

 samlet responstid tAver: 1,00 s (pr. definition i dette direktiv)

 prøvetagningsfrekvens: 150 Hz

Trin 1   Krævet responstid af Bessel-filter tF

image

Trin 2   Gætning af afskæringsfrekvens og beregning af Bessel-konstanterne E og K til første iteration

fc

=

image

Δt

=

1/150 = 0,006667 s

Ω

=

image

E

=

image

K

=

image

Derved fås Bessel-algoritmen:

image

hvor Si repræsenterer de mulige værdier af det trinformede indgangssignal (enten 0 eller 1), og Yi repræsenterer de filtrerede værdier af udgangssignalet.

Trin 3   Anvendelse af Bessel-filteret på det trinformede indgangssignal

Bessel-filterets responstid tF er defineret som den tid, det tager et filtreret udgangssignal at stige fra 10 % til 90 % af størrelsen af et trinformet indgangssignal. For at bestemme tiderne svarende til 10 % (t10) og 90 % (t90) af udgangssignalet skal der anvendes et Bessel-filter på et trinformet indgangssignal, hvor fc, E og K er sat til ovenstående værdier.

I tabel B er angivet indekstal, tid og størrelse af et trinformet indgangssignal og de resulterende værdier af det filtrerede udgangssignal for første og anden iteration. For punkterne nærmest t10 og t90 er anvendt fed skrift.

I første iteration i tabel B indtræder 10 % værdien mellem indeks nr. 30 og 31, og 90 % værdien mellem indeks nr. 191 og 192. Til beregning af tF,iter er den nøjagtige værdi af t10 og t90 bestemt ved lineær interpolation mellem nabomålepunkter på følgende måde:

image

image

hvor outupper og outlower er de respektive nærmestliggende punkter af det Bessel-filtrerede udgangssignal, og tlower er det nærmestliggende tidspunkt som angivet i tabel B.

image

image

Trin 4   Filterresponstiden for første iterationssløjfe:

image

Trin 5   Afvigelsen mellem ønsket og opnået filterresponstid i første iterationssløjfe:

image

Trin 6   Kontrol af iterationskriterierne:

Der kræves en værdi på |Δ| = 0,01. Da 0,081641 >0,01, er iterationskriterierne ikke opfyldt, og der skal begyndes på endnu en iterationssløjfe. Til denne iterationssløjfe beregnes en ny afskæringsfrekvens af fc og Δ på følgende måde:

image

Denne nye afskæringsfrekvens anvendes i anden iterationssløjfe, igen begyndende med trin 2. Iterationen skal gentages, indtil iterationskriterierne er opfyldt. De resulterende værdier af første og anden iteration er sammenfattet i tabel A.



Tabel A

Værdier af første og anden iteration

Parameter

1. iteration

2. iteration

fc

(Hz)

0,318152

0,344126

E

(-)

7,07948 E-5

8,272777 E-5

K

(-)

0,970783

0,968410

t10

(s)

0,200945

0,185523

t90

(s)

1,276147

1,179562

tF,iter

(s)

1,075202

0,994039

Δ

(-)

0,081641

0,006657

fc,new

(Hz)

0,344126

0,346417

Trin 7   Endelig Bessel-algoritme

Så snart iterationskriterierne er opfyldt, beregnes de endelige Bessel-filterkonstanter og den endelige Bessel-algoritme som angivet under trin 2. I dette eksempel er iterationskriterierne opfyldt efter den anden iteration (Δ = 0,006657≤ 0,01). Den endelige algoritme benyttes derefter til bestemmelse af den gennemsnitlige røgtæthed (se næste afsnit 2.3).

image



Tabel B

Værdierne af trinformet indgangssignal og Bessel-filtreret udgangssignal for første og anden iterationssløjfe

Index i

[-]

Tid

[s]

Trinformet indgangssignal Si

[-]

Filtreret udgangssignal Yi

[-]

1. iteration

2. iteration

- 2

- 0,013333

0

0,000000

0,000000

- 1

- 0,006667

0

0,000000

0,000000

0

0,000000

1

0,000071

0,000083

1

0,006667

1

0,000352

0,000411

2

0,013333

1

0,000908

0,001060

3

0,020000

1

0,001731

0,002019

4

0,026667

1

0,002813

0,003278

5

0,033333

1

0,004145

0,004828

~

~

~

~

~

24

0,160000

1

0,067877

0,077876

25

0,166667

1

0,072816

0,083476

26

0,173333

1

0,077874

0,089205

27

0,180000

1

0,083047

0,095056

28

0,186667

1

0,088331

0,101024

29

0,193333

1

0,093719

0,107102

30

0,200000

1

0,099208

0,113286

31

0,206667

1

0,104794

0,119570

32

0,213333

1

0,110471

0,125949

33

0,220000

1

0,116236

0,132418

34

0,226667

1

0,122085

0,138972

35

0,233333

1

0,128013

0,145605

36

0,240000

1

0,134016

0,152314

37

0,246667

1

0,140091

0,159094

~

~

~

~

~

175

1,166667

1

0,862416

0,895701

176

1,173333

1

0,864968

0,897941

177

1,180000

1

0,867484

0,900145

178

1,186667

1

0,869964

0,902312

179

1,193333

1

0,872410

0,904445

180

1,200000

1

0,874821

0,906542

181

1,206667

1

0,877197

0,908605

182

1,213333

1

0,879540

0,910633

183

1,220000

1

0,881849

0,912628

184

1,226667

1

0,884125

0,914589

185

1,233333

1

0,886367

0,916517

186

1,240000

1

0,888577

0,918412

187

1,246667

1

0,890755

0,920276

188

1,253333

1

0,892900

0,922107

189

1,260000

1

0,895014

0,923907

190

1,266667

1

0,897096

0,925676

191

1,273333

1

0,899147

0,927414

192

1,280000

1

0,901168

0,929121

193

1,286667

1

0,903158

0,930799

194

1,293333

1

0,905117

0,932448

195

1,300000

1

0,907047

0,934067

~

~

~

~

~

2.3.   Beregning af røgtæthed

Nedenstående skema sammenfatter proceduren ved bestemmelse af den endelige størrelse af røgtætheden.

Hastighed ABelastningstrin 1Hastighed BBelastningstrin 1Hastighed CBelastningstrin 1Hastighed ABelastningstrin 2Hastighed BBelastningstrin 2Hastighed CBelastningstrin 2Hastighed ABelastningstrin 3Hastighed BBelastningstrin 3Hastighed CBelastningstrin 3Opacitet N af ubehandlet gas (%)Konvertering til lysabsorptionskoefficient k [1/m]k = -(1/LA) × ln(1-N/100)Filtering med Bessel-filterValg af maksimal k-værdi (topværdi) for hvert hastigheds- og belastningstrinYmaks.1,AYmaks.1,BYmaks.1,CYmaks.2,AYmaks.2,BYmaks.2,CYmaks.3,AYmaks.3,BYmaks.3,CGodkendelse af cyklus for hver hastighedBeregning af gennemsnitlig røgtæthed for hver hastighedSVA = (Ymaks.1,A + Ymaks.2,A + Ymaks.3,A)/3SVB = (Ymaks.1,B + Ymaks.2,B + Ymaks.3,B)/3SVC = (Ymaks.1,C + Ymaks.2,C + Ymaks.3,C)/3Beregning af endelig røgtæthedSV = 0,43 × SVA + 0,56 × SVB + 0,01 × SVC

I fig. b ses kurven over det målte, ubehandlede opacitetssignal og den ufiltrerede og filtrerede lysabsorptionskoefficient (k-værdi) i første belastningstrin af en ELR-test, og maksimumværdien Ymaks.1,A (topværdi) af den filtrerede k-kurve er vist. Tilsvarende indeholder tabel C de numeriske værdier af indeks i, tid (prøvetagningsfrekvens 150 Hz), ubehandlet opacitet, ufiltreret k-værdi og filtreret k-værdi. Filtrering skete med brug af konstanterne i den Bessel-algoritme, der opstilledes i punkt 2.2 i dette bilag. På grund af den store datamængde indeholder tabellen kun de dele af røgtæthedskurven, der ligger nærmest begyndelsen og toppen.

top = 0,5424 m-1Opacitet NUfiltreret røgtæthedskonstant kFiltreret røgtæthedskonstant kOpacitet N [%]Røgtæthedskonstant k [1/m]Tid (s)

Figur b

Kurve over målt opacitet N, ufiltreret røgtæthed k og filtreret røgtæthed k

Topværdien (i = 272) beregnes under forudsætning af følgende data i tabel C. Alle andre enkeltværdier af røgtæthed beregnes på samme måde. Som startværdier i algoritmen sættes S-1, S-2, Y-1 and Y-2 til nul.



LA (m)

0,430

Index i

272

N ( %)

16,783

S271 (m-1)

0,427392

S270 (m-1)

0,427532

Y271 (m-1)

0,542383

Y270 (m-1)

0,542337

Beregning af k-værdi (bilag III, tillæg 1, punkt 6.3.1):

image

Denne værdi svarer til S272 i følgende ligning.

Beregning af Bessel-gennemsnit af røgtæthed (bilag III, tillæg 1, punkt 6.3.2):

I følgende ligning anvendes Bessel-konstanterne fra punkt 2.2 ovenfor. Den faktiske ufiltrerede k-værdi som beregnet ovenfor svarer til S272 (Si). S271 (Si-1) og S270 (Si-2) er de to foregående ufiltrerede k-værdier, medens Y271 (Yi-1) og Y270 (Yi-2) er de to foregående filtrerede k-værdier.



image

=

image

 

=

image

Denne værdi svarer til Ymaks.1,A i følgende ligning.

Beregning af den endelige værdi af røgtætheden (bilag III, tillæg 1, punkt 6.3.3):

Fra hver røgtæthedskurve tages den maksimale filtrerede k-værdi til videre beregning.

Følgende værdier forudsættes:



Hastighed

Ymax (m-1)

Cyklus 1

Cyklus 2

Cyklus 3

A

0,5424

0,5435

0,5587

B

0,5596

0,5400

0,5389

C

0,4912

0,5207

0,5177

image

image

image

image

Validering af cyklus (bilag III, tillæg 1, punkt 3.4)

Før SV beregnes, skal cyklussen godkendes ved beregning af de relative standardafvigelser af røgtætheden under de tre cyklusser for hver hastighed.



Hastighed

Gennemsnitlig SV

(m-1)

abs. std. afv.

(m-1)

rel. std. afv.

(%)

A

0,5482

0,0091

1,7

B

0,5462

0,0116

2,1

C

0,5099

0,0162

3,2

I dette eksempel er godkendelseskriteriet på 15 % opfyldt for hver hastighed.



Tabel C

Værdierne af opaciteten N og af ufiltreret og filtreret k-værdi i begyndelsen af belastningstrinnet

Index i

[-]

Tid

[s]

Opacitet N

[%]

Ufiltreret k-værdi

[m-1]

Filtreret k-værdi

[m-1]

- 2

0,000000

0,000000

0,000000

0,000000

- 1

0,000000

0,000000

0,000000

0,000000

0

0,000000

0,000000

0,000000

0,000000

1

0,006667

0,020000

0,000465

0,000000

2

0,013333

0,020000

0,000465

0,000000

3

0,020000

0,020000

0,000465

0,000000

4

0,026667

0,020000

0,000465

0,000001

5

0,033333

0,020000

0,000465

0,000002

6

0,040000

0,020000

0,000465

0,000002

7

0,046667

0,020000

0,000465

0,000003

8

0,053333

0,020000

0,000465

0,000004

9

0,060000

0,020000

0,000465

0,000005

10

0,066667

0,020000

0,000465

0,000006

11

0,073333

0,020000

0,000465

0,000008

12

0,080000

0,020000

0,000465

0,000009

13

0,086667

0,020000

0,000465

0,000011

14

0,093333

0,020000

0,000465

0,000012

15

0,100000

0,192000

0,004469

0,000014

16

0,106667

0,212000

0,004935

0,000018

17

0,113333

0,212000

0,004935

0,000022

18

0,120000

0,212000

0,004935

0,000028

19

0,126667

0,343000

0,007990

0,000036

20

0,133333

0,566000

0,013200

0,000047

21

0,140000

0,889000

0,020767

0,000061

22

0,146667

0,929000

0,021706

0,000082

23

0,153333

0,929000

0,021706

0,000109

24

0,160000

1,263000

0,029559

0,000143

25

0,166667

1,455000

0,034086

0,000185

26

0,173333

1,697000

0,039804

0,000237

27

0,180000

2,030000

0,047695

0,000301

28

0,186667

2,081000

0,048906

0,000378

29

0,193333

2,081000

0,048906

0,000469

30

0,200000

2,424000

0,057067

0,000573

31

0,206667

2,475000

0,058282

0,000693

32

0,213333

2,475000

0,058282

0,000827

33

0,220000

2,808000

0,066237

0,000977

34

0,226667

3,010000

0,071075

0,001144

35

0,233333

3,253000

0,076909

0,001328

36

0,240000

3,606000

0,085410

0,001533

37

0,246667

3,960000

0,093966

0,001758

38

0,253333

4,455000

0,105983

0,002007

39

0,260000

4,818000

0,114836

0,002283

40

0,266667

5,020000

0,119776

0,002587



Værdierne af opaciteten N og af ufiltreret og filtreret k-værdi omkring Ymaks.l,A(= topværdi, angivet med fede typer)

Index i

[-]

Tid

[s]

Opacitet N

[%]

Ufiltreret k-værdi

[m-1]

Filtreret k-værdi

[m-1]

259

1,726667

17,182000

0,438429

0,538856

260

1,733333

16,949000

0,431896

0,539423

261

1,740000

16,788000

0,427392

0,539936

262

1,746667

16,798000

0,427671

0,540396

263

1,753333

16,788000

0,427392

0,540805

264

1,760000

16,798000

0,427671

0,541163

265

1,766667

16,798000

0,427671

0,541473

266

1,773333

16,788000

0,427392

0,541735

267

1,780000

16,788000

0,427392

0,541951

268

1,786667

16,798000

0,427671

0,542123

269

1,793333

16,798000

0,427671

0,542251

270

1,800000

16,793000

0,427532

0,542337

271

1,806667

16,788000

0,427392

0,542383

272

1,813333

16,783000

0,427252

0,542389

273

1,820000

16,780000

0,427168

0,542357

274

1,826667

16,798000

0,427671

0,542288

275

1,833333

16,778000

0,427112

0,542183

276

1,840000

16,808000

0,427951

0,542043

277

1,846667

16,768000

0,426833

0,541870

278

1,853333

16,010000

0,405750

0,541662

279

1,860000

16,010000

0,405750

0,541418

280

1,866667

16,000000

0,405473

0,541136

281

1,873333

16,010000

0,405750

0,540819

282

1,880000

16,000000

0,405473

0,540466

283

1,886667

16,010000

0,405750

0,540080

284

1,893333

16,394000

0,416406

0,539663

285

1,900000

16,394000

0,416406

0,539216

286

1,906667

16,404000

0,416685

0,538744

287

1,913333

16,394000

0,416406

0,538245

288

1,920000

16,394000

0,416406

0,537722

289

1,926667

16,384000

0,416128

0,537175

290

1,933333

16,010000

0,405750

0,536604

291

1,940000

16,010000

0,405750

0,536009

292

1,946667

16,000000

0,405473

0,535389

293

1,953333

16,010000

0,405750

0,534745

294

1,960000

16,212000

0,411349

0,534079

295

1,966667

16,394000

0,416406

0,533394

296

1,973333

16,394000

0,416406

0,532691

297

1,980000

16,192000

0,410794

0,531971

298

1,986667

16,000000

0,405473

0,531233

299

1,993333

16,000000

0,405473

0,530477

300

2,000000

16,000000

0,405473

0,529704

3.   ETC-TEST

3.1.   Forurenende luftarter (dieselmotor)

Lad os antage, at man med et PDP-CVS-system har opnået følgende testresultater:



V0 (m3/omdr.)

0,1776

Np (omdr.)

23 073

pB (kPa)

98,0

p1 (kPa)

2,3

T (K)

322,5

Ha (g/kg)

12,8

NOx konce (ppm)

53,7

NOx koncd (ppm)

0,4

COkonce (ppm)

38,9

COkoncd (ppm)

1,0

HCkonce (ppm)

9,00

HCkoncd (ppm)

3,02

CO2,konce (%)

0,723

Wact (kWh)

62,72

Bestemmelse af den fortyndede udstødningsgasstrøm (bilag III, tillæg 2, punkt 4.1):

image

Beregning af NOx-korrektionsfaktoren (bilag III, tillæg 2, punkt 4.2):

image

Bestemmelse af baggrundskorrigerede koncentrationer (bilag III, tillæg 2, punkt 4.3.1.1):

Lad os antage, at man har et diesel-brændstof med sammensætning C1H1,8:

image

image

image

image

image

Beregning af emissionens massestrøm (bilag III, tillæg 2, punkt 4.3.1):

image

image

image

Beregning af de specifikke emissioner (bilag III, tillæg 2, punkt 4.4):

image

image

image

3.2.   Partikelemissioner (dieselmotor)

Lad os antage, at der er målt følgende testresultater med et PDP-CVS-system med dobbelt fortynding:



MTOTW (kg)

4 237,2

Mf,p (mg)

3,030

Mf,b (mg)

0,044

MTOT (kg)

2,159

MSEC (kg)

0,909

Md (mg)

0,341

MDIL (kg)

1,245

DF

18,69

Wact (kWh)

62,72

Beregning af masseemissionen (bilag III, tillæg 2, punkt 5.1):

image

image

image

Beregning af baggrundskorrigerede koncentrationer (bilag III, tillæg 2, punkt 5.1):

image

Beregning af de specifikke emissioner (bilag III, tillæg 2, punkt 5.2):

image

image

3.3.   Forurenende luftarter (CNG-motor)

Det antages, at der er opnået følgende testresultater med et PDP-CVS-system med dobbelt fortynding:



MTOTW (kg)

4 237,2

Ha (g/kg)

12,8

NOx konce (ppm)

17,2

NOx koncd (ppm)

0,4

COkonce (ppm)

44,3

COkoncd (ppm)

1,0

HCkonce (ppm)

27,0

HCkoncd (ppm)

3,02

CH4 konce (ppm)

18,0

CH4 koncd (ppm)

1,7

CO2,konce ( %)

0,723

Wact (kWh)

62,72

Beregning af NOx-korrektionsfaktoren (bilag III, tillæg 2, punkt 4.2):

image

Beregning af NMHC-koncentrationen (bilag III, tillæg 2, punkt 4.3.1):

a) Gaskromatografisk bestemmelse

image

b) NMC-metoden

Idet virkningsgraden for methan sættes til 0,04, og virkningsgraden for ethan til 0,98 ( se bilag III, tillæg 5, punkt 1.8.4), fås

image

Beregning af baggrundskorrigerede koncentrationer (bilag III, tillæg 2, punkt 4.3.1.1):

Idet brændstoffet forudsættes at være referencebrændstof G20 (100 % methan) med sammensætningen C1H4, fås

image

image

For NMHC er baggrundskoncentrationen forskellen mellem HCkoncd og CH4 koncd

image

image

image

image

Beregning af emissionsmassestrømmen (bilag III, tillæg 2, punkt 4.3.1):

image

image

image

image

Beregning af de specifikke emissioner (bilag III, tillæg 2, punkt 4.4):

image

image

image

image

4.   λ-FORSKYDNINGSFAKTOR (Sλ)

4.1.   Beregning af λ-forskydningsfaktoren (Sλ) ( 58 )

image

hvor:

Sλ

=

λ-forskydningsfaktor

inert %

=

brændstoffets indhold af inerte gasser i % v/v (f.eks. N2, CO2, He osv.)

O2 *

=

brændstoffets oprindelige iltindhold i % v/v

n og m

=

henviser til et gennemsnitligt CnHm, som repræsentanterer brændstoffets carbonhydrider, dvs.:

image

image

hvor:

CH4

=

brændstoffets indhold af methan (% v/v)

C2

=

brændstoffets totale indhold af C2-carbonhydrider (f.eks. C2H6, C2H4 osv.), (% v/v)

C3

=

brændstoffets totale indhold af C3-carbonhydrider (f.eks. C3H8, C3H6 osv.), (% v/v)

C4

=

brændstoffets totale indhold af C4-carbonhydrider (f.eks. C4H10, C4H8 osv.), (% v/v)

C5

=

brændstoffets totale indhold af C5-carbonhydrider (f.eks. C5H12, C5H10 osv.), (% v/v)

fortynd.

=

brændstoffets indhold af fortyndende gasser (dvs. O2 *, N2, CO2, He osv.), (% v/v).

4.2.   Eksempler til beregning af λ-forskydningsfaktoren Sλ

Eksempel 1:  G25: CH4 = 86 %, N2 = 14 % (v/v)

image

image

image

Eksempel 2:  GR: CH4 = 87 %, C2H6 = 13 % (v/v)

image

image

image

Eksempel 3:  USA: CH4 = 89 %, C2H6 = 4,5 %, C3H8 = 2,3 %, C6H14 = 0,2 %, O2 = 0,6 %, N2 = 4 %

image

image

image




BILAG VIII

SÆRLIGE TEKNISKE KRAV FOR ETHANOLDREVNE DIESELMOTORER

For ethanoldrevne dieselmotorer gælder følgende specifikke ændringer til de relevante afsnit, formler og faktorer i testmetoderne i bilag III.

I BILAG III, TILLÆG 1

4.2.   Korrektion ved omregning tør/våd

image

4.3.   NOx-korrektion for fugtindhold og temperatur

image

hvor

A

=

0,181 GFUEL/GAIRD - 0,0266

B

=

– 0,123 GFUEL/GAIRD + 0,00954

Ta

=

luftens temperatur, K

Ha

=

indsugningsluftens fugtindhold i g vand pr. kg tør luft

4.4.   Beregning af emissionsmassestrømme

Massestrømmene af emissioner (g/h) for hvert forløb beregnes på følgende måde, idet udstødningsgassens massefylde forudsættes at være 1,272 kg/m3 ved 273 K (0 °C) og 101,3 kPa:

image

image

image

hvor

NOx konc, COkonc, HCkonc ( 59 ) er gennemsnitskoncentrationer (ppm) i den ufortyndede udstødningsgas som bestemt i punkt 4.1.

Hvis man (frivilligt) vælger at bestemme emissionen af luftarter med et fuldstrømsfortyndingssystem, skal følgende formel anvendes:

image

image

image

hvor

NOx konc, COkonc, HCkonc (59)  er de baggrundskorrigerede gennemsnitskoncentrationer (ppm) i den fortyndede udstødningsgas for hvert forløb, bestemt i henhold til bilag III, tillæg 2, punkt 4.3.1.1.

I BILAG III, TILLÆG 2:

Punkt 3.1, 3.4, 3.8.3 og 5 i tillæg 2 gælder ikke kun for dieselmotorer, men også for ethanoldrevne dieselmotorer.

4.2.

Testbetingelserne vælges således, at lufttemperaturen og luftfugtigheden som målt ved motorens luftindsugning er på standardbetingelser under testforløbet. Standardbetingelserne er 6 ± 0,5 g vand pr. kg tør luft inden for et temperaturinterval på 298 ± 3 K. Inden for disse grænser foretages der ingen yderligereNOx-korrektioner. Testen er ugyldig, hvis disse betingelser ikke er opfyldt.

4.3.

Beregning af emissionens massestrøm

4.3.1.   Systemer med konstant massestrøm

For systemer med varmeveksler bestemmes massen af forurenende stoffer (g/test) ved hjælp af følgende formler:

image

image

image

hvor

NOx konc, COkonc, HCkonc ( 60 ), NMHCkonc = baggrundskorrigerede gennemsnitskoncentrationer i cyklussen, genereret ved integration (obligatorisk for NOx og HC) eller ved måling med sæk, i ppm

MTOTW = total masse af fortyndet udstødningsgas i cyklussen, som bestemt i punkt 4.1, i kg.

4.3.1.1.   Bestemmelse af baggrundskorrigerede koncentrationer

Til beregning af nettokoncentrationen af forurenende stoffer skal de gennemsnitlige baggrundskoncentrationer af forurenende luftarter i fortyndingsluften trækkes fra de målte koncentrationer. Baggrundskoncentrationernes gennemsnitsstørrelse kan bestemmes ved prøvesækmetoden eller ved kontinuert måling med integration. Der skal anvendes følgende formel.

image

hvor

konc

=

koncentration af det pågældende forurenende stof i den fortyndede udstødningsgas, korrigeret for mængden af det pågældende forurenende stof i fortyndingsluften, i ppm

konce

=

koncentration af det pågældende forurenende stof, målt i den fortyndede udstødningsgas, i ppm

koncd

=

koncentration af det pågældende forurenende stof, målt i fortyndingsluften, i ppm

DF

=

fortyndingsfaktor.

Fortyndingsfaktoren beregnes således:

image

hvor

CO2,konce

=

CO2 i den fortyndede udstødningsgas% v/v

HCkonce

=

koncentration af HC i den fortyndede udstødningsgas ppm C1

COkonce

=

koncentration af CO i den fortyndede udstødningsgas ppm

FS

=

støkiometrisk koefficient.

Koncentrationer, der er målt på tør basis, skal omregnes til våd basis som angivet i bilag III, tillæg 1, punkt 4.2.

Den støkiometriske koefficient beregnes for den generelle brændstofsammensætning CHαOβNγ således:

image

Kendes brændstoffets sammensætning ikke, kan der i stedet anvendes følgende støkiometriske koefficienter:

FS (ethanol) = 12,3

4.3.2.   Systemer med strømningskompensation

For systemer uden varmeveksler bestemmes massen af forurenende stoffer (g/test) ved beregning af den øjeblikkelige masseemission og integration af de øjeblikkelige værdier over hele cyklussen. Desuden skal de øjeblikkelige koncentrationsværdier direkte korrigeres for baggrundskoncentration. Der anvendes følgende formler

image

image

image

hvor

konce

=

koncentration af det pågældende forurenende stof, målt i den fortyndede udstødningsgas, i ppm

koncd

=

koncentration af det pågældende forurenende stof, målt i fortyndingsluften, i ppm

MTOTW,i

=

øjeblikkelig masse af fortyndet udstødningsgas (se punkt 4.1), i kg

MTOTW

=

total masse af fortyndet udstødningsgas i hele cyklussen (se punkt 4.1), i kg

DF

=

fortyndingsfaktor som bestemt i punkt 4.3.1.1.

4.4.

Beregning af specifikke emissioner

De specifikke emissioner (g/kWh) beregnes for alle enkeltkomponenter som følger:

image

image

image

hvor

Wact = faktisk arbejde i cyklus som bestemt i punkt 3.9.2, i kWh.




BILAG IX

FRISTER FOR GENNEMFØRELSE AF DE OPHÆVEDE DIREKTIVER I NATIONAL RET

Jf. artikel 10



Del A

Ophævede direktiver

Direktiv

EF-Tidende

Direktiv 88/77/EØF

EFT L 36 af 9.2.1988, s. 33.

Direktiv 91/542/EØF

EFT L 295 af 25.10.1991, s. 1.

Direktiv 96/1/EF

EFT L 40 af 17.2.1996, s. 1.

Direktiv 1999/96/EF

EFT L 44 af 16.2.2000, s. 1.

Direktiv 2001/27/EF

EFT L 107 18.4.2001, s. 10.



Del B

Tidsfrister for gennemførelse i national ret

Direktiv

Tidsfrister for gennemførelse

Anvendelsesdato

Direktiv 88/77/EØF

1. juli 1988

 

Direktiv 91/542/EØF

1. januar 1992

 

Direktiv 96/1/EF

1. juli 1996

 

Direktiv 1999/96/EF

1. juli 2000

 

Direktiv 2001/27/EF

1. oktober 2001

1. oktober 2001




BILAG X

SAMMENLIGNINGSTABEL

(Jf. artikel 10 stk. 2)



Direktiv 88/77/EØF

Direktiv 91/542/EØF

Direktiv 1999/96/EF

Direktiv 2001/27/EF

Dette direktiv

Artikel 1

 

Artikel 1

Artikel 2, stk. 1

Artikel 2, stk. 1

Artikel 2, stk. 1

Artikel 2, stk. 1

Artikel 2, stk. 4

Artikel 2, stk. 2

Artikel 2, stk. 2

Artikel 2, stk. 2

Artikel 2, stk. 2

Artikel 2, stk. 1

Artikel 2, stk. 3

Artikel 2, stk. 3

Artikel 2, stk. 4

Artikel 2, stk. 4

Artikel 2, stk. 3

Artikel 2, stk. 3

Artikel 2, stk. 2

Artikel 2, stk. 4

Artikel 2, stk. 3

Artikel 2, stk. 5

Artikel 2, stk. 4

Artikel 2, stk. 5

Artikel 2, stk. 5

Artikel 2, stk. 6

Artikel 2, stk. 6

Artikel 2, stk. 7

Artikel 2, stk. 7

Artikel 2, stk. 8

Artikel 2, stk. 8

Artikel 2, stk. 9

Artikel 3

Artikel 5 og 6

Artikel 3

Artikel 4

Artikel 4

Artikel 3, stk. 1

Artikel 3, stk. 1

Artikel 6, stk. 1

Artikel 3, stk. 1, litra a)

Artikel 3, stk. 1, litra a)

Artikel 6 stk. 2

Artikel 3, stk. 1, litra b)

Artikel 3, stk. 1, litra b)

Artikel 6, stk. 3

Artikel 3, stk. 2

Artikel 3, stk. 2

Artikel 6, stk. 4

Artikel 3, stk. 3

Artikel 3, stk. 3

Artikel 6, stk. 5

Artikel 4

Artikel 7

Artikel 6

Artikel 5 og 6

Artikel 7

Artikel 8

Artikel 5

Artikel 4

Artikel 8

Artikel 3

Artikel 9

Artikel 10

Artikel 9

Artikel 4

Artikel 11

Artikel 7

Artikel 7

Artikel 10

Artikel 5

Artikel 12

Bilag I til VII

Bilag I til VII

Bilag VIII

Bilag VIII

Bilag IX

Bilag X



( 1 ) EUT C 108 af 30.4.2004, s. 32.

( 2 ) Europa-Parlamentets udtalelse af 9.3.2004 (EUT C 102 E af 28.4.2004, s. 272) og Rådets afgørelse af 19.9.2005 (endnu ikke offentliggjort i EUT).

( 3 ) EFT L 36 af 9.2.1988, s. 33. Senest ændret ved tiltrædelsesakten af 2003.

( 4 ) EFT L 42 af 23.2.1970, s. 1. Senest ændret ved Kommissionens direktiv 2005/49/EF (EUT L 194 af 26.7.2005, s. 12).

( 5 ) EFT L 295 af 25.10.1991, s. 1.

( 6 ) EFT L 44 af 16.2.2000, s. 1.

( 7 ) EFT L 107 af 18.4.2001, s. 10.

( 8 ) EFT L 76 af 6.4.1970, s. 1. Senest ændret ved Kommissionens direktiv 2003/76/EF (EUT L 206 af 15.8.2003, s. 29).

( 9 ) EFT L 184 af 17.7.1999, s. 23.

( 10 ) EFT L 76 af 6.4.1970, s. 1. Senest ændret ved Kommissionens direktiv 2003/76/EF (EUT L 206 af 15.8.2003, s. 29).

( 11 ) EUT L 313 af 29.11.2005, s. 1.

( 12 ) Artikel 4, stk. 1, i dette direktiv indeholder bestemmelser om overvågning af væsentlige funktionsfejl i stedet for overvågning af forringelsen eller tabet af den katalytiske eller filtermæssige effektivitet i et system til efterbehandling af udstødningen. I punkt 3.2.3.2 og 3.2.3.3 i bilag IV til direktiv 2005/78/EF. gives eksempler på væsentlige funktionsfejl.

( 13 ) EFT L 375 af 31.12.1980, s. 46. Senest ændret ved direktiv 1999/99/EF (EFT L 334 af 28.12.1999, s. 32).

( 14 ) EFT L 42 af 23.2.1970, s. 1. Senest ændret ved Kommissionens direktiv 2004/104/EF (EUT L 337 af 13.11.2004, s. 13).

( 15 ) 1 = Tyskland, 2 = Frankrig, 3 = Italien, 4 = Nederlandene, 5 = Sverige, 6 = Belgien, 7 = Ungarn, 8 = Den Tjekkiske Republik 9 = Spanien, 11 = Det Forenede Kongerige, 12 = Østrig, 13 = Luxembourg, 17 = Finland, 18 = Danmark, 20 = Polen 21 = Portugal, 23 = Grækenland, 24 = Irland, 26 = Slovenien, 27 = Slovakiet, 29 = Estland, 32 = Letland, 36 = Litauen, 49 = Cypern, 50 = Malta.

( 16 ) I forbindelse med et forslag, som vedrører kravene i dette direktivs artikel 10, vil Kommissionen også tage stilling til, hvorvidt direktivet skal fastsætte særlige foranstaltninger for motorer med flere indstillingsmuligheder.

( 17 ) Indtil 1. oktober 2008 gælder følgende: »ved en omgivende temperatur inden for intervallet 279-303 K (6-30 °C)«.

( 18 ) Dette temperaturinterval vil blive revideret som led i revideringen af dette direktiv med særlig fokus på, hvorvidt den lavere temperaturgrænse er hensigtsmæssig.

( 19 ) Det ikke gældende overstreges.

( 20 ) For ikke-konventionelle motorer og systemer skal oplysninger ækvivalente med de her givne fremlægges af fabrikanten.

( 21 ) Det ikke gældende overstreges.

( 22 ) Tolerance angives.

( 23 ) Det ikke gældende overstreges.

( 24 ) EFT L 375 af 31.12.1980, s. 46. Senest ændret ved Kommissionens direktiv 1999/99/EF (EFT L 334 af 28.12.1999, s. 32).

( 25 ) Det ikke gældende overstreges.

( 26 ) Tolerance angives.

( 27 ) Det ikke gældende overstreges.

( 28 ) Tolerance angives.

( 29 ) For systemer med andet arrangement gives tilsvarende oplysninger (til punkt 3.2).

( 30 ) Europa-Parlamentets og Rådets direktiv 1999/96/EF af 13. december 1999 om indbyrdes tilnærmelse af medlemsstaternes lovgivninger om foranstaltninger mod emission af forurenende luftarter og partikler fra motorer med kompressionstænding til fremdrift af køretøjer og emission af forurenende luftarter fra køretøjsmotorer med styret tænding, som benytter naturgas eller autogas (LPG) som brændstof, og om ændring af Rådets direktiv 88/77/EØF (EFT L 44 af 16.2.2000, s. 1).

( 31 ) Det ikke gældende overstreges.

( 32 ) Tolerance angives.

( 33 ) Det ikke gældende overstreges.

( 34 ) Tolerance angives.

( 35 ) Angiv tolerance, som skal være inden for ± 3 % af de af fabrikanten angivne værdier.

( 36 ) Hvis et punkt ikke er relevant, angives dette med »i.r.«.

( 37 ) Oplysningerne skal gives for hver motor i familien.

( 38 ) Det ikke gældende overstreges.

( 39 ) Tolerance angives.

( 40 ) Det ikke gældende overstreges.

( 41 ) Det ikke gældende overstreges.

( 42 ) Tolerance angives.

( 43 ) For systemer med andet arrangement gives tilsvarende oplysninger (til punkt 3.2).

( 44 ) Det ikke gældende overstreges.

( 45 ) Tolerance angives.

( 46 ) Det ikke gældende overstreges.

( 47 ) Tolerance angives.

( 48 ) Det ikke gældende overstreges.

( 49 ) Tolerance angives.

( 50 ) Testpunkterne skal vælges ved hjælp af anerkendte statistiske randomiseringmetoder.

( 51 ) Testpunkterne skal vælges ved hjælp af anerkendte statistiske randomiseringsmetoder.

( 52 ) Testpunkterne skal vælges ved hjælp af anerkendte statistiske randomiseringsmetoder.

( 53 ) Denne værdi er kun gældende for det referencebrændstof, der er specificeret i bilag IV.

( 54 ) Kommissionen reviderer temperaturen oven for filterholderen, 325 K (52 °C), og foreslår om nødvendigt en alternativ temperatur, der finder anvendelse ved typegodkendelse af nye typer fra 1. oktober 2008.

( 55 ) Det ikke gældende overstreges.

( 56 ) Det ikke gældende overstreges.

( 57 ) Det ikke gældende overstreges.

( 58 ) Det støkiometriske luft/brændstof-forhold for automobilbrændstoffer — SAE J1829, juni 1987. John B. Heywood, Internal »Combustion Engine Fundamentals, McGraw-Hill, 1988, kapitel 3.4, Combustion stoichiometry« (s. 68-72).

( 59 ) Baseret på C1-ækvivalenter.

( 60 ) Baseret på C1-ækvivalenter.