02016D0587 — CS — 27.11.2019 — 001.001


Tento dokument slouží výhradně k informačním účelům a nemá žádný právní účinek. Orgány a instituce Evropské unie nenesou za jeho obsah žádnou odpovědnost. Závazná znění příslušných právních předpisů, včetně jejich právních východisek a odůvodnění, jsou zveřejněna v Úředním věstníku Evropské unie a jsou k dispozici v databázi EUR-Lex. Tato úřední znění jsou přímo dostupná přes odkazy uvedené v tomto dokumentu

►B

PROVÁDĚCÍ ROZHODNUTÍ KOMISE (EU) 2016/587

ze dne 14. dubna 2016

o schválení technologie použité v účinném vnějším osvětlení vozidla využívajícím diod vyzařujících světlo jako inovativní technologie pro snižování emisí CO2 z osobních automobilů podle nařízení Evropského parlamentu a Rady (ES) č. 443/2009

(Text s významem pro EHP)

(Úř. věst. L 101 16.4.2016, s. 17)

Ve znění:

 

 

Úřední věstník

  Č.

Strana

Datum

►M1

PROVÁDĚCÍ ROZHODNUTÍ KOMISE (EU) 2019/1861 Text s významem pro EHP ze dne 31. října 2019,

  L 286

15

7.11.2019




▼B

PROVÁDĚCÍ ROZHODNUTÍ KOMISE (EU) 2016/587

ze dne 14. dubna 2016

o schválení technologie použité v účinném vnějším osvětlení vozidla využívajícím diod vyzařujících světlo jako inovativní technologie pro snižování emisí CO2 z osobních automobilů podle nařízení Evropského parlamentu a Rady (ES) č. 443/2009

(Text s významem pro EHP)



Článek 1

Schválení

Technologie využívaná v osvětlení s diodami vyzařujícími světlo (LED) společnosti Mazda a v osvětlení LED společnosti Honda se schvaluje jako inovativní technologie ve smyslu článku 12 nařízení (ES) č. 443/2009.

Článek 2

Žádost o certifikaci snížení emisí CO2

▼M1

1.  Výrobce může podat žádost o certifikaci snížení emisí CO2 dosaženého pomocí jednoho nebo několika vnějších osvětlení LED určených k použití ve vozidlech s motory s vnitřním spalováním kategorie M1 nebo v hybridních elektrických vozidlech s jiným než externím nabíjením, která splňují požadavky bodu 3 odstavce 5.3.2 přílohy 8 předpisu č. 101 Evropské hospodářské komise OSN, za podmínky, že jsou vybavena jedním z následujících světel LED nebo jejich kombinací:

▼B

a) světlomet potkávacího světla;

b) světlomet dálkového světla;

c) přední obrysovou svítilnu;

d) přední mlhový světlomet;

e) zadní mlhovou svítilnu;

f) přední směrové světlo;

g) zadní směrové světlo;

h) osvětlení poznávací značky;

i) zpětný světlomet.

Světlo LED nebo kombinace světel LED tvořících účinné vnější osvětlení LED musí minimálně přinášet snížení emisí CO2 podle čl. 9 odst. 1 nařízení (EU) č. 725/2011.

2.  K žádosti o certifikaci snížení emisí dosaženého pomocí jednoho nebo několika účinných vnějších osvětlení LED se připojí zpráva o ověření vypracovaná nezávislým ověřujícím orgánem a potvrzující, že uvedené (uvedená) osvětlení LED splňuje (splňují) podmínky stanovené v odstavci 1.

3.  Schvalovací orgán žádost o certifikaci zamítne, pokud zjistí, že jedno nebo několik vnějších osvětlení LED podmínky stanovené v odstavci 1 nesplňuje (nesplňují).

Článek 3

Certifikace snížení CO2

1.  Snížení emisí CO2 dosažené díky použití účinného vnějšího osvětlení LED uvedeného v čl. 2 odst. 1 se určuje pomocí metody stanovené v příloze.

2.  Žádá-li výrobce o certifikaci snížení emisí CO2 dosaženého pomocí více než jednoho účinného vnějšího osvětlení LED uvedeného v čl. 2 odst. 1 pro jednu verzi vozidla, schvalovací orgán určí, které z testovaných účinných vnějších osvětlení LED přináší nejnižší snížení emisí CO2, a nejnižší hodnotu zaznamená v příslušné dokumentaci o schválení typu. Zmíněná hodnota se uvede v prohlášení o shodě v souladu s čl. 11 odst. 2 prováděcího nařízení (EU) č. 725/2011.

Článek 4

Kód ekologické inovace

Kód ekologické inovace č. 19 se uvede v dokumentaci o schválení typu, v níž se v souladu s čl. 11 odst. 1 prováděcího nařízení (EU) č. 725/2011 odkazuje na toto rozhodnutí.

Článek 5

Vstup v platnost

Toto rozhodnutí vstupuje v platnost dvacátým dnem po zveřejnění v Úředním věstníku Evropské unie.




PŘÍLOHA

METODA PRO URČENÍ SNÍŽENÍ EMISÍ CO2 DOSAŽENÉHO POMOCÍ VNĚJŠÍHO OSVĚTLENÍ VOZIDLA VYUŽÍVAJÍCÍHO DIOD VYZAŘUJÍCÍCH SVĚTLO (LED).

1.   ÚVOD

Aby bylo možné určit snížení emisí CO2, ke kterému došlo díky souboru účinného vnějšího osvětlení LED sestávajícího z vhodné kombinace světel vozidla pro použití ve vozidle kategorie M1 uvedených v článku 2, je třeba stanovit:

1) zkušební podmínky;

2) zkušební zařízení;

3) určení úspor energie;

4) výpočet snížení emisí CO2;

5) výpočet statistické chyby.

2.   SYMBOLY, PARAMETRY A JEDNOTKY

Latinské symboly

image

snížení emisí CO2 [g CO2/km]

CO2

oxid uhličitý

CF

přepočítací koeficient (l/100 km) – (g CO2/km) [g CO2/l] podle tabulky č. 3

m

počet účinných vnějších světel LED, z nichž soubor sestává

n

počet měření na vzorek

P

spotřeba energie světla vozidla [W]

image

směrodatná odchylka spotřeby energie světla LED [W]

image

průměrná směrodatná odchylka spotřeby energie světla LED [W]

image

směrodatná odchylka celkového snížení emisí CO2 [g CO2/km]

UF

Faktor využití [–] podle tabulky č. 4

v

průměrná rychlost jízdy v novém evropském jízdním cyklu (NEDC) [km/h]

VPe

spotřeba na efektivní výkon [l/kWh] podle tabulky č. 2

image

citlivost vypočteného snížení emisí CO2 vzhledem ke spotřebě energie světla LED

Řecké symboly

Δ

rozdíl

ηA

účinnost alternátoru [%]

Dolní indexy

Index (i) je odkazem na světla vozidla

Index (j) je odkazem na měření vzorku

EI

ekologicky inovativní

RW

reálné podmínky

TA

podmínky schvalování typu

B

referenční

3.   ZKUŠEBNÍ PODMÍNKY

Zkušební podmínky splňují požadavky předpisu EHK/OSN č. 112 ( 1 ) – Jednotná ustanovení pro schvalování světlometů motorových vozidel s asymetrickým potkávacím světlem nebo dálkovým světlem nebo oběma světly a vybavených žárovkami a/nebo moduly s diodami vyzařujícími světlo (LED). Spotřeba energie se určuje podle bodu 6.1.4 předpisu EHK/OSN č. 112 a bodů 3.2.1 a 3.2.2 přílohy 10 uvedeného předpisu.

4.   ZKUŠEBNÍ ZAŘÍZENÍ

Použijí se tyto přístroje znázorněné na obr.:

 napájecí zdroj (tj. variabilní zdroj napětí),

 dva digitální multimetry, jeden pro měření stejnosměrného proudu a druhý pro měření stejnosměrného napětí. Na obr. je znázorněno možné zkušební uspořádání, pokud je měřič stejnosměrného napětí součástí napájecího zdroje.

image

Zkušební uspořádání

5.   MĚŘENÍ A URČOVÁNÍ ÚSPOR ENERGIE

U každého účinného vnějšího světla LED, jež je součástí souboru, se provádí měření proudu při napětí 13,2 V, jak je znázorněno na obr. 1. LED modul (moduly) ovládaný (ovládané) elektronickým ovladačem zdrojů světla se měří podle specifikací žadatele.

Výrobce může požádat o další měření proudu při jiných dalších napětích. V takovém případě musí výrobce schvalovacímu orgánu předat ověřenou dokumentaci týkající se nutnosti provést tato další měření. Měření proudu při každém z uvedených dalších napětí se musí provádět v nepřetržitém sledu nejméně pětkrát (5x). Přesná přivedená napětí a naměřený proud se zaznamenají s přesností na čtyři desetinná místa.

Spotřeba energie se určí vynásobením přivedeného napětí a naměřeného proudu. Je třeba vypočítat průměrnou hodnotu spotřeby energie každého účinného vnějšího světla LED (

image

). Všechny hodnoty se musí vyjádřit s přesností na čtyři desetinná místa. Pokud je pro dodávku elektrické energie do světelných zdrojů LED použit krokový motor nebo elektronický regulátor, tak se z měření vyloučí elektrické zatížení této součásti.

Výsledná úspora energie každého účinného vnějšího světla LED (ΔPi) se vypočte podle tohoto vzorce:

Vzorec č. 1

image

pokud je spotřeba energie příslušného referenčního světla vozidla definována podle tabulky č. 1.



Tabulka č. 1

Požadavky na příkon pro různá referenční světla vozidla

Světlo vozidla

Celkový elektrický příkon (PB)

[W]

Světlomet potkávacího světla

137

Světlomet dálkového světla

150

Přední obrysové světlo

12

Osvětlení registrační značky

12

Přední mlhový světlomet

124

Zadní mlhová svítilna

26

Přední směrové světlo

13

Zadní směrové světlo

13

Zpětný světlomet

52

6.   VÝPOČET SNÍŽENÍ EMISÍ CO2

Celkové snížení emisí CO2 u souboru osvětlení se vypočte podle vzorce č 2.

Vzorec č. 2

image

přičemž

v

:

průměrná rychlost jízdy v jízdním cyklu NEDC [km/h], která činí 33,58 km/h

ηA

:

účinnost alternátoru [%], která činí 67 %

VPe

:

spotřeba na efektivní výkon [l/kWh] podle tabulky č. 2



Tabulka č. 2

Spotřeba na efektivní výkon

Typ motoru

Spotřeba na efektivní výkon (VPe)

[l/kWh]

Benzin

0,264

Benzinový s turbodmychadlem

0,280

Nafta

0,220

CF

:

přepočítací koeficient (l/100 km) – (g CO2/km) [g CO2/l] podle tabulky č. 3



Tabulka č. 3

Přepočítací koeficient podle paliva

Druh paliva

Přepočítací koeficient (l/100 km) – (g CO2/km) (CF)

[g CO2/l]

Benzin

2 330

Nafta

2 640

UF

:

faktor využití světla vozidla [–] podle tabulky č. 4



Tabulka č. 4

Faktor využití pro různá světla vozidla

Světlo vozidla

Faktor využití (UF)

[–]

Světlomet potkávacího světla

0,33

Světlomet dálkového světla

0,03

Přední obrysové světlo

0,36

Osvětlení registrační značky

0,36

Přední mlhový světlomet

0,01

Zadní mlhová svítilna

0,01

Přední směrové světlo

0,15

Zadní směrové světlo

0,15

Zpětný světlomet

0,01

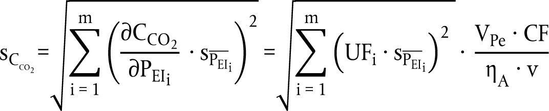
7.   VÝPOČET STATISTICKÉ CHYBY

Ve výsledcích zkušební metody je nezbytné vyčíslit statistické chyby způsobené měřeními. U každého účinného vnějšího světla LED, jež je součástí souboru, se směrodatná odchylka vypočítá podle vzorce č. 3.

Vzorec č. 3

image

přičemž:

n

:

Počet měření výběrového souboru, který činí alespoň 5.

Směrodatná odchylka spotřeby energie každého účinného vnějšího světla LED (
image ) vede k chybě ve snížení emisí CO2 (
image ). Tuto chybu je nutné vypočítat pomocí vzorce č. 4.

Vzorec č. 4

image

8.   STATISTICKÁ VÝZNAMNOST

Pro každý typ, variantu a verzi vozidla vybaveného kombinací účinných vnějších světel LED je třeba prokázat, že chyba ve snížení emisí CO2 vypočtená podle vzorce č. 4 není vyšší než rozdíl mezi celkovým snížením emisí CO2 a minimálním limitem snížení emisí uvedeným v čl. 9 odst. 1 prováděcího nařízení (EU) č. 725/2011 (viz vzorec č. 5).

Vzorec č. 5

image

přičemž:

MT

:

Minimální limit [g CO2/km], který činí 1 g CO2/km

Pokud je celkové snížení emisí CO2 dosažené pomocí účinných vnějších světel LED vypočtené podle vzorce č. 5 pod limitem uvedeným v čl. 9 odst. 1 prováděcího nařízení (EU) č. 725/2011, použije se čl. 11 odst. 2 druhý pododstavec uvedeného nařízení.



( 1 ) E/ECE/324/Rev.2/Add.111/Rev.3 — E/ECE/TRANS/505/Rev.2/Add.111/Rev.3, 9. ledna 2013.