02008L0048 — CS — 01.01.2018 — 003.002


Tento dokument slouží výhradně k informačním účelům a nemá žádný právní účinek. Orgány a instituce Evropské unie nenesou za jeho obsah žádnou odpovědnost. Závazná znění příslušných právních předpisů, včetně jejich právních východisek a odůvodnění, jsou zveřejněna v Úředním věstníku Evropské unie a jsou k dispozici v databázi EUR-Lex. Tato úřední znění jsou přímo dostupná přes odkazy uvedené v tomto dokumentu

►B

SMĚRNICE EVROPSKÉHO PARLAMENTU A RADY 2008/48/ES

ze dne 23. dubna 2008

o smlouvách o spotřebitelském úvěru a o zrušení směrnice Rady 87/102/EHS

(Úř. věst. L 133 22.5.2008, s. 66)

Ve znění:

 

 

Úřední věstník

  Č.

Strana

Datum

►M1

SMĚRNICE KOMISE 2011/90/EU Text s významem pro EHP ze dne 14. listopadu 2011,

  L 296

35

15.11.2011

►M2

SMĚRNICE EVROPSKÉHO PARLAMENTU A RADY 2014/17/ЕU Text s významem pro EHP ze dne 4. února 2014

  L 60

34

28.2.2014

►M3

NAŘÍZENÍ EVROPSKÉHO PARLAMENTU A RADY (EU) 2016/1011 ze dne 8. června 2016

  L 171

1

29.6.2016


Opraveno:

►C1

Oprava, Úř. věst. L 207, 11.8.2009, s.  14 (2008/48/ES)

►C2

Oprava, Úř. věst. L 199, 31.7.2010, s.  40 (2008/48/ES)

►C3

Oprava, Úř. věst. L 234, 10.9.2011, s.  46 (2008/48/ES)

►C4

Oprava, Úř. věst. L 081, 23.3.2018, s.  85 (2008/48/ES)




▼B

SMĚRNICE EVROPSKÉHO PARLAMENTU A RADY 2008/48/ES

ze dne 23. dubna 2008

o smlouvách o spotřebitelském úvěru a o zrušení směrnice Rady 87/102/EHS



KAPITOLA I

PŘEDMĚT, OBLAST PŮSOBNOSTI A DEFINICE

Článek 1

Předmět

Účelem této směrnice je harmonizovat některé aspekty právních a správních předpisů členských států, které se týkají smluv o spotřebitelském úvěru.

Článek 2

Oblast působnosti

1.  Tato směrnice se vztahuje na úvěrové smlouvy.

2.  Tato směrnice se nevztahuje na

a) úvěrové smlouvy, které jsou zajištěny hypotékou nebo jiným srovnatelným zajištěním běžně používaným v členském státě na nemovitý majetek nebo které jsou zajištěny právem souvisejícím s nemovitým majetkem;

b) úvěrové smlouvy, jejichž účelem je nabytí nebo zachování vlastnických práv k pozemku nebo ke stávající nebo projektované budově;

c) úvěrové smlouvy na celkovou výši úvěru nižší než 200 EUR nebo vyšší než 75 000 EUR;

d) smlouvy o pronájmu nebo leasingové smlouvy, u kterých není stanovena povinnost odkupu předmětu smlouvy ani ve smlouvě samotné, ani v jiné samostatné smlouvě; má se za to, že povinnost existuje, pokud o tom rozhoduje jednostranně věřitel;

e) úvěrové smlouvy ve formě možnosti přečerpání, kde úvěr musí být splacen do jednoho měsíce;

f) úvěrové smlouvy, kde je úvěr poskytnut bez úroků a jakýchkoli jiných poplatků, a úvěrové smlouvy, podle jejichž podmínek musí být úvěr splacen do tří měsíců a platí se pouze zanedbatelné poplatky;

g) úvěrové smlouvy, kde úvěr nabízí zaměstnavatel svým zaměstnancům jako vedlejší činnost bez úroků nebo s ročními procentními sazbami nákladů nižšími, než jsou sazby převažující na trhu, a které nejsou nabízeny obecně veřejnosti;

h) úvěrové smlouvy, jež jsou uzavírány s investičními podniky vymezenými v čl. 4 odst. 1 směrnice Evropského parlamentu a Rady 2004/39/ES ze dne 21. dubna 2004 o trzích finančních nástrojů ( 1 ) nebo s úvěrovými institucemi vymezenými v článku 4 směrnice 2006/48/ES proto, aby investor mohl provést operaci v souvislosti s jedním nebo více nástroji uvedenými v oddíle C přílohy I směrnice 2004/39/ES, je-li investiční podnik nebo úvěrová instituce poskytující úvěr do této operace zapojen;

i) úvěrové smlouvy, které jsou výsledkem urovnání dosaženého před soudem nebo jiným orgánem stanoveným zákonem;

j) úvěrové smlouvy, které se vztahují k bezplatně odložené platbě stávajícího dluhu;

k) úvěrové smlouvy, při jejichž uzavření se po spotřebiteli žádá, aby jako záruku složil věřiteli do úschovy nějakou věc, a v nichž je odpovědnost spotřebitele přísně omezena na tuto zastavenou věc;

l) úvěrové smlouvy související s půjčkami poskytovanými omezenému okruhu veřejnosti na základě právního předpisu pro účely obecného zájmu a za nižších úrokových sazeb, než jaké převažují na trhu, nebo zcela bezúročně, nebo na základě jiných podmínek, jež jsou pro spotřebitele výhodnější než podmínky převažující na trhu, a za úrokových sazeb, které nejsou vyšší, než jaké převažují na trhu.

▼M2

2a.  Bez ohledu na odst. 2 písm. c) se tato směrnice vztahuje na nezajištěné úvěrové smlouvy na celkovou výši úvěru přesahující 75 000 EUR, jejichž účelem je rekonstrukce nemovitosti určené k bydlení.

▼B

3.  V případě úvěrových smluv ve formě možnosti přečerpání, kde úvěr musí být splacen na požádání nebo do tří měsíců, se použijí pouze články 1, 2 a 3, čl. 4 odst. 1, odst. 2 písm. a) až c) a odst. 4, články 6 až 9, čl. 10 odst. 1, 4 a 5, články 12, 15 a 17 a články 19 až 32.

4.  V případě úvěrových smluv ve formě překročení se použijí pouze články 1, 2, 3, 18, 20 a 22 až 32.

5.  Členské státy mohou stanovit, že pouze články 1 až 4, 6, 7 a 9, čl. 10 odst. 1, odst. 2 písm. a) až h) a l) a odst. 4 a články 11, 13 a 16 až 32 se použijí v případě úvěrových smluv uzavřených organizací, která

a) je založena pro vzájemný prospěch svých členů;

b) nevykazuje zisk ve prospěch jiných osob, než jsou její členové;

c) plní společenské poslání požadované vnitrostátním právem;

d) přijímá a spravuje úspory a poskytuje úvěrové zdroje pouze svým členům a

e) poskytuje úvěr na základě roční procentní sazby nákladů, která je nižší než sazba převládající na trhu nebo která podléhá stropu stanovenému vnitrostátním právem,

a jejíž členství je omezeno na osoby bydlící nebo zaměstnané v konkrétní oblasti nebo zaměstnance konkrétního zaměstnavatele včetně jeho bývalých zaměstnanců, kteří jsou v důchodu, nebo osoby splňující jiné podmínky stanovené podle vnitrostátního práva jako základ pro existenci společné vazby mezi členy.

Členské státy mohou vyjmout z oblasti působnosti této směrnice úvěrové smlouvy uzavřené takovou organizací, pokud celková hodnota všech existujících úvěrových smluv uzavřených danou organizací není významná ve vztahu k celkové hodnotě všech existujících úvěrových smluv v členském státě, v němž má organizace sídlo, a celková hodnota všech existujících úvěrových smluv uzavřených všemi takovými organizacemi v daném členském státě je nižší než 1 % celkové hodnoty všech existujících úvěrových smluv uzavřených v tomto členském státě.

Členské státy každoročně posoudí, zda jsou podmínky pro uplatňování jakékoli takové výjimky nadále splněny, a přijmou opatření ke zrušení výjimky v případech, kdy se domnívají, že tyto podmínky již splněny nejsou.

6.  Členské státy mohou stanovit, že pro úvěrové smlouvy, které stanoví možnost ujednání mezi věřitelem a spotřebitelem o odložení platby nebo metodách splácení, pokud je spotřebitel již v prodlení podle původní úvěrové smlouvy, se použijí pouze články 1 až 4, 6, 7 a 9, čl. 10 odst. 1, odst. 2 písm. a) až i), l) a r) a odst. 4 a články 11, 13, 16 a 18 až 32, jestliže

a) je pravděpodobné, že by tato ujednání mohla odvrátit případné soudní řízení týkající se tohoto prodlení, a

b) spotřebitel by tím nepodléhal méně výhodným podmínkám, než byly stanoveny v původní úvěrové smlouvě.

Jestliže však úvěrová smlouva spadá do oblasti působnosti odstavce 3, použijí se pouze ustanovení uvedená ve zmíněném odstavci.

Článek 3

Definice

Pro účely této směrnice se rozumí

a) „spotřebitelem“ fyzická osoba, která při operacích, na něž se vztahuje tato směrnice, jedná za účelem nesouvisejícím s její živností, podnikáním nebo povoláním;

b) „věřitelem“ fyzická nebo právnická osoba, která v rámci své živnosti, podnikání nebo povolání poskytuje nebo slibuje poskytnout úvěr;

c) „úvěrovou smlouvou“ smlouva, na jejímž základě věřitel poskytuje nebo slibuje poskytnout spotřebiteli úvěr ve formě odložené platby, půjčky nebo jiné podobné finanční služby, s výjimkou smluv o průběžném poskytování služeb nebo dodávání zboží stejného druhu, kdy spotřebitel za tyto služby nebo zboží po dobu jejich poskytování nebo dodávání platí ve splátkách;

d) „možností přečerpání“ výslovná úvěrová smlouva, na jejímž základě věřitel zpřístupňuje spotřebiteli finanční prostředky, které přesahují aktuální zůstatek na běžném účtu spotřebitele;

e) „překročením“ mlčky uznané přečerpání, na jehož základě věřitel zpřístupňuje spotřebiteli finanční prostředky, které přesahují aktuální zůstatek na běžném účtu spotřebitele, nebo smluvenou možnost přečerpání;

f) „zprostředkovatelem úvěru“ fyzická nebo právnická osoba, která nejedná jako věřitel a která v rámci své živnosti, podnikání nebo povolání za odměnu, která může mít peněžitou podobu anebo jakoukoli jinou dohodnutou finanční podobu,

i) spotřebitelům předkládá nebo nabízí úvěrové smlouvy,

ii) pomáhá spotřebitelům v souvislosti s uzavřením úvěrové smlouvy prováděním jiných přípravných prací, než jsou činnosti uvedené v bodě i), nebo

iii) uzavírá úvěrové smlouvy se spotřebiteli jménem věřitele;

g) „celkovými náklady úvěru pro spotřebitele“ veškeré náklady, včetně úroku, provizí, daní a veškerých dalších poplatků, které spotřebitel musí zaplatit v souvislosti s úvěrovou smlouvou a které jsou věřiteli známy, s výjimkou nákladů na notáře; náklady související s doplňkovými službami týkajícími se dané úvěrové smlouvy, zejména pojistné, jsou rovněž zahrnuty, pokud je navíc uzavření smlouvy o poskytnutí služby povinné pro získání úvěru nebo pro jeho získání za nabízených podmínek;

h) „celkovou částkou splatnou spotřebitelem“ součet celkové výše úvěru a celkových nákladů úvěru pro spotřebitele;

i) „roční procentní sazbou nákladů“ celkové náklady úvěru pro spotřebitele vyjádřené jako roční procento celkové výše úvěru, případně včetně nákladů podle čl. 19 odst. 2;

j) „výpůjční úrokovou sazbou“ úroková sazba vyjádřená jako pevná nebo pohyblivá procentní sazba uplatňovaná ročně na čerpanou výši úvěru;

k) „pevnou výpůjční úrokovou sazbou“ skutečnost, že se věřitel a spotřebitel v úvěrové smlouvě dohodnou na jediné výpůjční úrokové sazbě po celou dobu trvání úvěrové smlouvy nebo na více výpůjčních úrokových sazbách stanovených pro dílčí období výhradně neměnnou konkrétní procentní hodnotou. Nejsou-li v úvěrové smlouvě stanoveny všechny výpůjční úrokové sazby, považuje se výpůjční úroková sazba za pevně stanovenou pouze pro dílčí období, pro která jsou výpůjční úrokové sazby stanoveny výhradně neměnnou konkrétní procentní hodnotou sjednanou při uzavření úvěrové smlouvy;

l) „celkovou výší úvěru“ strop nebo souhrn všech částek, jež jsou dány k dispozici podle úvěrové smlouvy;

▼C4

m) „trvalým nosičem“ každý nástroj, který umožňuje spotřebiteli uchovávat informace určené jemu osobně způsobem vhodným pro jejich budoucí použití po dobu přiměřenou jejich účelu a který umožňuje reprodukci uchovávaných informací v nezměněném stavu;

▼B

n) „smlouvou o vázaném úvěru“ úvěrová smlouva, kde

i) dotyčný úvěr slouží výhradně k financování smlouvy o dodání konkrétního zboží nebo poskytnutí konkrétní služby a

ii) tyto dvě smlouvy tvoří z objektivního hlediska obchodní celek; má se za to, že se jedná o obchodní celek, pokud úvěr pro spotřebitele financuje sám dodavatel zboží nebo poskytovatel služby nebo, v případě úvěru financovaného třetí osobou, pokud věřitel využije služeb dodavatele zboží nebo poskytovatele služeb v souvislosti s uzavřením nebo přípravou úvěrové smlouvy nebo pokud je konkrétní zboží nebo poskytnutí konkrétní služby výslovně uvedeno v úvěrové smlouvě.



KAPITOLA II

INFORMACE A POSTUPY PŘEDCHÁZEJÍCÍ UZAVŘENÍ ÚVĚROVÉ SMLOUVY

Článek 4

Standardní informace uváděné v reklamě

1.  Jakákoli reklama týkající se úvěrových smluv, jež uvádí úrokovou sazbu nebo jakékoli údaje o nákladech úvěru pro spotřebitele, musí uvádět standardní informace v souladu s tímto článkem.

Tato povinnost neplatí, pokud vnitrostátní právní předpisy vyžadují, aby v reklamách týkajících se úvěrových smluv, které neuvádějí úrokovou sazbu ani jakékoli údaje o nákladech úvěru pro spotřebitele ve smyslu prvního pododstavce, byla uváděna roční procentní sazba nákladů.

2.  Standardní informace musí obsahovat jasným, výstižným a zřetelným způsobem prostřednictvím reprezentativního příkladu

a) výpůjční úrokovou sazbu, pevnou, pohyblivou nebo obojí, spolu s údaji o veškerých poplatcích zahrnutých v celkových nákladech úvěru pro spotřebitele;

b) celkovou výši úvěru;

c) roční procentní sazbu nákladů; v případě úvěrové smlouvy druhu uvedeného v čl. 2 odst. 3 mohou členské státy rozhodnout, že roční procentní sazbu nákladů není třeba poskytnout;

d) případnou dobu trvání úvěrové smlouvy;

e) v případě úvěru ve formě odložené platby za konkrétní zboží nebo službu cenu v hotovosti a výši případné zálohy a

f) případně celkovou částku splatnou spotřebitelem a výši jednotlivých splátek.

3.  Je-li uzavření smlouvy o doplňkové službě související s úvěrovou smlouvou, zejména pojištění, povinné pro získání úvěru nebo pro jeho získání za nabízených podmínek a náklady na tuto službu nelze určit předem, musí být jasným, výstižným a zřetelným způsobem uvedena rovněž povinnost uzavřít smlouvu o této službě spolu s roční procentní sazbou nákladů.

4.  Tímto článkem není dotčena směrnice 2005/29/ES.

Článek 5

Předsmluvní informace

1.  S dostatečným předstihem před tím, než je spotřebitel vázán úvěrovou smlouvou nebo nabídkou, poskytne věřitel a případně zprostředkovatel úvěru spotřebiteli na základě věřitelem nabízených úvěrových podmínek a případně spotřebitelem vyjádřených preferencí a poskytnutých údajů informace potřebné ke srovnání různých nabídek, aby mohl spotřebitel učinit informované rozhodnutí, zda úvěrovou smlouvu uzavře. Tyto informace se poskytují na papíře nebo na jiném trvalém nosiči prostřednictvím formuláře „standardní evropské informace o spotřebitelském úvěru“ obsaženého v příloze II. Pokud věřitel poskytl „standardní evropské informace o spotřebitelském úvěru“, má se za to, že splnil požadavky na poskytnutí informací podle tohoto odstavce a podle čl. 3 odst. 1 a 2 směrnice 2002/65/ES.

Dotyčné informace zahrnují

a) druh úvěru;

b) totožnost a poštovní adresu věřitele a případně totožnost a poštovní adresu zúčastněného zprostředkovatele úvěru;

c) celkovou výši úvěru a podmínky jeho čerpání;

d) dobu trvání úvěrové smlouvy;

e) v případě úvěru ve formě odložené platby za konkrétní zboží nebo službu a smluv o vázaném úvěru dané zboží nebo službu a jeho cenu v hotovosti;

f) výpůjční úrokovou sazbu, podmínky upravující použití této sazby a případně jakýkoli index nebo referenční sazbu použitelné pro počáteční výpůjční úrokovou sazbu, jakož i doby, podmínky a postupy pro změnu výpůjční úrokové sazby. Uplatňují-li se za různých okolností různé výpůjční úrokové sazby, uvádějí se výše uvedené informace o všech použitelných sazbách;

g) roční procentní sazbu nákladů a celkovou částku splatnou spotřebitelem, ilustrovanou reprezentativním příkladem s uvedením veškerých předpokladů použitých pro výpočet této sazby; pokud spotřebitel informoval věřitele o jednom nebo více aspektech jím preferovaného úvěru, jako například o době trvání úvěrové smlouvy a celkové částce úvěru, musí věřitel tyto aspekty zohlednit; stanoví-li úvěrová smlouva různé způsoby čerpání s různými poplatky nebo výpůjčními úrokovými sazbami a použije-li věřitel předpoklad uvedený v části II písm. b) přílohy I, uvede, že jiné mechanismy čerpání uplatňované na tento typ úvěrové smlouvy mohou vést k vyšším ročním procentním sazbám nákladů;

h) výši, počet a četnost plateb, jež má spotřebitel provést, a případně způsob přiřazování plateb k jednotlivým dlužným částkám s různými výpůjčními úrokovými sazbami pro účely splácení;

i) případné poplatky za vedení jednoho nebo více účtů zaznamenávajících platební operace a čerpání, ledaže je otevření účtu nepovinné, poplatky za používání platebních prostředků pro platební operace i čerpání a veškeré ostatní poplatky vyplývající z úvěrové smlouvy a podmínky, za nichž lze tyto poplatky změnit;

j) případnou existenci nákladů, které má spotřebitel hradit při uzavření úvěrové smlouvy notáři;

k) případnou povinnost uzavřít smlouvu o doplňkové službě související s úvěrovou smlouvou, zejména pojištění, je-li uzavření této smlouvy povinné pro získání úvěru nebo pro jeho získání za nabízených podmínek;

l) úrokovou sazbu použitelnou v případě opožděných plateb a podmínky pro její úpravu a veškeré případné poplatky z prodlení;

m) upozornění na důsledky opomenutí plateb;

n) případné požadované záruky;

o) existenci nebo neexistenci práva na odstoupení od smlouvy;

p) právo na předčasné splacení a informace o případném právu věřitele na odškodnění a o způsobu, kterým se toto odškodnění stanoví v souladu s článkem 16;

q) právo spotřebitele být v souladu s čl. 9 odst. 2 okamžitě a bezplatně vyrozuměn o výsledku vyhledávání v databázích za účelem posouzení jeho úvěruschopnosti;

r) právo spotřebitele obdržet bezplatně na požádání kopii návrhu úvěrové smlouvy. Toto ustanovení se nepoužije, pokud v okamžiku žádosti není věřitel ochoten přistoupit k uzavření úvěrové smlouvy se spotřebitelem, a

s) případně dobu, po kterou je věřitel předsmluvními informacemi vázán.

▼M3

Pokud úvěrová smlouva odkazuje na referenční hodnotu ve smyslu čl. 3 odst. 1 bodu 3 nařízení Evropského parlamentu a Rady (EU) 2016/1011 ( 2 ), sdělí věřitel, popřípadě zprostředkovatel úvěru, spotřebiteli ve zvláštním dokumentu, který může být připojen k formuláři „standardní evropské informace o spotřebitelském úvěru“, název referenční hodnoty a jejího administrátora a možné důsledky pro spotřebitele.

▼B

Veškeré dodatečné informace, jež věřitel poskytne spotřebiteli, se předávají v samostatném dokumentu, který může být ke „standardním evropským informacím o spotřebitelském úvěru“ připojen.

2.  V případě hlasové telefonní komunikace uvedené v čl. 3 odst. 3 směrnice 2002/65/ES však popis hlavních znaků finanční služby, který má být poskytnut podle čl. 3 odst. 3 písm. b) druhé odrážky uvedené směrnice, zahrnuje alespoň položky uvedené v odst. 1 písm. c), d), e), f) a h) tohoto článku, roční procentní sazbu nákladů, ilustrovanou reprezentativním příkladem, a celkovou částku splatnou spotřebitelem.

3.  Pokud je na žádost spotřebitele smlouva uzavírána prostřednictvím dálkové komunikace, která neumožňuje poskytnutí informací v souladu s odstavcem 1, a zejména v případě uvedeném v odstavci 2, poskytne věřitel spotřebiteli úplné předsmluvní informace prostřednictvím formuláře pro „standardní evropské informace o spotřebitelském úvěru“ okamžitě po uzavření úvěrové smlouvy.

4.  Vedle „standardních evropských informací o spotřebitelském úvěru“ obdrží spotřebitel bezplatně na požádání kopii návrhu úvěrové smlouvy. Toto ustanovení se nepoužije, pokud věřitel není v okamžiku žádosti ochoten přistoupit k uzavření úvěrové smlouvy se spotřebitelem.

5.  V případě úvěrové smlouvy, podle které platby spotřebitele nevedou k okamžitému odpovídajícímu umořování celkové výše úvěru, a místo toho jsou použity pro tvorbu kapitálu po dobu a za podmínek, jež jsou stanoveny v úvěrové smlouvě nebo v doplňkové smlouvě, uvádějí předsmluvní informace požadované podle odstavce 1 jasně a výstižně, že tyto úvěrové smlouvy zaručují splacení celkové částky úvěru čerpané podle úvěrové smlouvy, pouze je-li tato záruka poskytnuta.

6.  Členské státy zajistí, aby věřitelé a případně zprostředkovatelé úvěru poskytli spotřebiteli náležité vysvětlení, aby byl schopen posoudit, zda navrhovaná úvěrová smlouva odpovídá jeho potřebám a finanční situaci, a to případně vysvětlením předsmluvních informací, které mají být poskytnuty podle odstavce 1, jakož i základních charakteristik nabízených produktů a jejich možných konkrétních dopadů na spotřebitele, včetně důsledků nezaplacení platby spotřebitelem. Členské státy mohou upravit způsob a rozsah poskytování této pomoci, jakož i to, kdo ji poskytuje, a to podle konkrétních okolností souvisejících se situací, za které je úvěrová smlouva nabízena, komu je nabízena a jaký druh úvěru je nabízen.

Článek 6

Požadavky na předsmluvní informace týkající se některých úvěrových smluv ve formě možnosti přečerpání a některých konkrétních úvěrových smluv

1.  S dostatečným předstihem před tím, než se spotřebitel stane vázán úvěrovou smlouvou nebo nabídkou týkající se úvěrové smlouvy uvedené v čl. 2 odst. 3, 5 nebo 6, poskytne věřitel a případně zprostředkovatel úvěru spotřebiteli na základě věřitelem nabízených úvěrových podmínek a případně spotřebitelem vyjádřených preferencí a poskytnutých údajů informace potřebné ke srovnání různých nabídek, aby mohl spotřebitel učinit informované rozhodnutí, zda úvěrovou smlouvu uzavře.

Tyto informace zahrnují

a) druh úvěru;

b) totožnost a poštovní adresu věřitele a případně totožnost a poštovní adresu zúčastněného zprostředkovatele úvěru;

c) celkovou výši úvěru;

d) dobu trvání úvěrové smlouvy;

e) výpůjční úrokovou sazbu, podmínky upravující použití této sazby, jakýkoli index nebo referenční sazbu použitelné pro počáteční výpůjční úrokovou sazbu, poplatky použitelné od okamžiku uzavření úvěrové smlouvy a případně podmínky, za nichž lze tyto poplatky změnit;

f) roční procentní sazbu nákladů, ilustrovanou reprezentativními příklady s uvedením veškerých předpokladů použitých pro výpočet této sazby;

g) podmínky a postup pro ukončení platnosti úvěrové smlouvy;

h) u úvěrových smluv podle čl. 2 odst. 3 případně poznámku, že spotřebitel může být kdykoli vyzván ke splacení plné výše úvěru;

i) úrokovou sazbu použitelnou v případě opožděných plateb, ujednání o její úpravě a případné poplatky z prodlení;

j) právo spotřebitele být v souladu s čl. 9 odst. 2 okamžitě a bezplatně vyrozuměn o výsledku vyhledávání v databázích za účelem posouzení jeho úvěruschopnosti;

k) u úvěrových smluv podle čl. 2 odst. 3 informace o poplatcích použitelných od okamžiku uzavření těchto úvěrových smluv a případně podmínky, za nichž lze tyto poplatky změnit;

l) případně dobu, po kterou je věřitel předsmluvními informacemi vázán.

Tyto informace se poskytují na papíře nebo na jiném trvalém nosiči a musí být všechny stejně výrazné. Mohou být poskytnuty prostřednictvím formuláře „evropské informace o spotřebitelském úvěru“ obsaženém v příloze III. Pokud věřitel poskytl „evropské informace o spotřebitelském úvěru“, má se za to, že splnil požadavky na poskytnutí informací podle tohoto odstavce a podle čl. 3 odst. 1 a 2 směrnice 2002/65/ES.

2.  V případě úvěrové smlouvy druhu uvedeného v čl. 2 odst. 3 mohou členské státy rozhodnout, že roční procentní sazbu nákladů není třeba poskytnout.

3.  V případě úvěrové smlouvy podle čl. 2 odst. 5 a 6 informace poskytnuté spotřebiteli podle odstavce 1 tohoto článku také zahrnují

a) výši, počet a četnost plateb, jež má spotřebitel provést, a případně způsob přiřazování plateb k jednotlivým dlužným částkám s různými výpůjčními úrokovými sazbami pro účely splácení, a

b) právo na předčasné splacení a informace o případném právu věřitele na odškodnění a o způsobu, kterým se toto odškodnění stanoví.

Jestliže však úvěrová smlouva spadá do oblasti působnosti čl. 2 odst. 3, použijí se pouze ustanovení uvedená v odstavci 1 tohoto článku.

4.  Avšak v případě hlasové telefonní komunikace, a pokud spotřebitel žádá, aby mu byla možnost přečerpání zpřístupněna s okamžitým účinkem, obsahuje popis hlavních znaků finanční služby alespoň položky uvedené v odst. 1 písm. c), e), f), a h). U úvěrových smluv druhu uvedeného v odstavci 3 navíc popis hlavních znaků obsahuje údaj o době trvání úvěrové smlouvy.

5.  Bez ohledu na vynětí podle čl. 2 odst. 2 písm. e) uplatňují členské státy alespoň požadavky první věty odstavce 4 tohoto článku na úvěrové smlouvy ve formě možnosti přečerpání, u kterých musí být úrok splacen do jednoho měsíce.

6.  Vedle informací uvedených v odstavcích 1 až 4 obdrží spotřebitel bezplatně na požádání kopii návrhu úvěrové smlouvy obsahujícího smluvní informace stanovené v článku 10, pokud se uvedený článek použije. Toto ustanovení se nepoužije, pokud věřitel není v okamžiku žádosti ochoten přistoupit k uzavření úvěrové smlouvy se spotřebitelem.

7.  Pokud je na žádost spotřebitele smlouva uzavírána prostřednictvím dálkové komunikace, která neumožňuje poskytnutí informací v souladu s odstavci 1 a 3, včetně případů uvedených v odstavci 4, musí věřitel okamžitě po uzavření úvěrové smlouvy splnit své povinnosti podle odstavců 1 a 3 tím, že poskytne smluvní informace podle článku 10, pokud se uvedený článek použije.

Článek 7

Výjimky z požadavků na předsmluvní informace

Články 5 a 6 se nevztahují na dodavatele zboží a poskytovatele služeb jednající jako zprostředkovatelé úvěru ve vedlejší činnosti. Tím však není dotčena povinnost věřitele zajistit, aby spotřebitel obdržel předsmluvní informace podle uvedených článků.

Článek 8

Povinnost posoudit úvěruschopnost spotřebitele

1.  Členské státy zajistí, aby před uzavřením úvěrové smlouvy věřitel posoudil úvěruschopnost spotřebitele na základě dostatečných informací získaných případně od spotřebitele, a pokud je to nezbytné, na základě vyhledávání v příslušné databázi. Členské státy, jejichž právní předpisy vyžadují, aby věřitelé posoudili úvěruschopnost spotřebitelů na základě vyhledávání v příslušné databázi, mohou tento požadavek zachovat.

2.  Členské státy zajistí, že pokud se strany dohodnou na změně celkové výše úvěru po uzavření úvěrové smlouvy, věřitel aktualizuje finanční informace týkající se spotřebitele, jež má k dispozici, a posoudí úvěruschopnost spotřebitele před jakýmkoli významným zvýšením celkové výše úvěru.



KAPITOLA III

PŘÍSTUP K DATABÁZÍM

Článek 9

Přístup k databázím

1.  Každý členský stát v případě přeshraničního úvěru zajistí přístup pro věřitele z jiných členských států k databázím používaným v tomto členském státě k posuzování úvěruschopnosti spotřebitelů. Podmínky přístupu nesmějí být diskriminační.

2.  Pokud je žádost o poskytnutí úvěru zamítnuta na základě vyhledávání v databázi, věřitel okamžitě a bezplatně vyrozumí spotřebitele o výsledku tohoto vyhledávání a sdělí mu údaje o použité databázi

3.  Informace se poskytují, není-li to zakázáno jinými právními předpisy Společenství nebo není-li to v rozporu s veřejným pořádkem nebo veřejnou bezpečností.

4.  Tímto článkem není dotčeno použití směrnice Evropského parlamentu a Rady 95/46/ES ze dne 24. října 1995 o ochraně fyzických osob v souvislosti se zpracováním osobních údajů a o volném pohybu těchto údajů ( 3 ).



KAPITOLA IV

INFORMACE A PRÁVA TÝKAJÍCÍ SE ÚVĚROVÝCH SMLUV

Článek 10

Informace, které mají být uvedeny v úvěrových smlouvách

1.  Úvěrové smlouvy se vypracovávají na papíře nebo na jiném trvalém nosiči.

Každá smluvní strana obdrží jedno vyhotovení úvěrové smlouvy. Tímto článkem nejsou dotčena žádná vnitrostátní pravidla ohledně platnosti uzavírání úvěrových smluv, jež jsou v souladu s právem Společenství.

2.  Úvěrová smlouva jasně a výstižně uvádí

a) druh úvěru;

b) totožnost a poštovní adresy smluvních stran a případně totožnost a poštovní adresu zúčastněného zprostředkovatele úvěru;

c) dobu trvání úvěrové smlouvy;

d) celkovou výši úvěru a podmínky čerpání;

e) v případě úvěru ve formě odložené platby za konkrétní zboží nebo službu nebo u smluv o vázaném úvěru dané zboží nebo službu a jeho cenu v hotovosti;

f) výpůjční úrokovou sazbu, podmínky upravující použití této sazby a případně jakýkoli index nebo referenční sazbu použitelné pro počáteční výpůjční úrokovou sazbu, jakož i období, podmínky a postupy pro změnu výpůjční úrokové sazby. Uplatňují-li se za různých okolností různé výpůjční úrokové sazby, uvádějí se výše uvedené informace o všech použitelných sazbách;

g) roční procentní sazbu nákladů a celkovou částku splatnou spotřebitelem, vypočtené v okamžiku uzavření úvěrové smlouvy; uvedeny musí být veškeré předpoklady použité pro výpočet této sazby;

h) výši, počet a četnost plateb, jež má spotřebitel provést, a případně způsob přiřazování plateb k jednotlivým dlužným částkám s různými výpůjčními úrokovými sazbami pro účely splácení;

i) je-li zahrnuto umoření jistiny úvěrové smlouvy s pevně stanovenou dobou trvání, právo spotřebitele obdržet bezplatně na požádání kdykoliv za trvání úvěrové smlouvy výpis z účtu v podobě tabulky umoření.

Tabulka umoření uvádí dlužné platby a lhůty a podmínky vztahující se ke splacení těchto částek; obsahuje rozčlenění každé splátky ukazující umořování jistiny, úrok vypočítaný na základě výpůjční úrokové sazby a veškeré případné dodatečné náklady; pokud není úroková sazba stanovena nebo je podle úvěrové smlouvy možné dodatečné náklady měnit, musí tabulka umoření jasně a stručně uvádět, že údaje tabulky platí pouze do změny výpůjční úrokové sazby nebo dodatečných nákladů v souladu s úvěrovou smlouvou;

j) mají-li být poplatky a úroky splaceny bez umoření jistiny, soupis uvádějící lhůty a podmínky pro splacení úroku a veškerých souvisejících opakujících se či jednorázových poplatků;

k) popřípadě poplatky za vedení jednoho nebo více účtů zaznamenávajících platební operace a čerpání, ledaže je otevření účtu nepovinné, poplatky za používání platebních prostředků pro platební operace i čerpání a veškeré ostatní poplatky vyplývající z úvěrové smlouvy a podmínky, za nichž lze tyto poplatky změnit;

l) úrokovou sazbu použitelnou v případě opožděných plateb platnou v okamžiku uzavření úvěrové smlouvy a podmínky pro její úpravu a veškeré případné poplatky z prodlení;

m) upozornění na důsledky opomenutí plateb;

n) případně upozornění, že jen nutné uhradit notářské poplatky;

o) případné požadované záruky a pojištění;

p) existenci nebo neexistenci práva na odstoupení od smlouvy, období, během něhož může být takové právo vykonáno, a jiné podmínky pro výkon tohoto práva, včetně informací o povinnosti spotřebitele zaplatit čerpanou jistinu a příslušný úrok v souladu s čl. 14 odst. 3 písm. b), jakož i o částce úroku splatné za den;

q) informace týkající se práv vyplývajících z článku 15 a podmínky pro uplatnění těchto práv;

r) právo na předčasné splacení, postup předčasného splacení a informace o případném právu věřitele na odškodnění a o způsobu, kterým se toto odškodnění stanoví;

s) postup, jenž má být použit při uplatnění práva na ukončení platnosti úvěrové smlouvy;

t) zda existuje pro spotřebitele mechanismus mimosoudního urovnávání stížností a prostředků nápravy, a pokud ano, způsob přístupu k němu;

u) případně další smluvní podmínky;

v) případně název a adresu příslušného orgánu dozoru.

3.  Použije-li se odst. 2 písm. i), poskytne věřitel spotřebiteli bezplatně kdykoliv za trvání úvěrové smlouvy výpis z účtu v podobě tabulky umoření.

4.  V případě úvěrové smlouvy, podle které platby spotřebitele nevedou k okamžitému odpovídajícímu umořování celkové výše úvěru, a namísto toho jsou použity pro tvorbu kapitálu po dobu a za podmínek, jež jsou stanoveny v úvěrové smlouvě nebo v doplňkové smlouvě, uvádějí informace požadované podle odstavce 2 jasně a výstižně, že tyto úvěrové smlouvy zaručují splacení celkové částky úvěru čerpané podle úvěrové smlouvy, pouze je-li tato záruka poskytnuta.

5.  Úvěrová smlouva ve formě možnosti přečerpání podle čl. 2 odst. 3 jasně a výstižně uvádí

a) druh úvěru;

b) totožnost a poštovní adresy smluvních stran a případně totožnost a poštovní adresu zúčastněného zprostředkovatele úvěru;

c) dobu trvání úvěrové smlouvy;

d) celkovou výši úvěru a podmínky čerpání;

e) výpůjční úrokovou sazbu, podmínky upravující použití této sazby a případně jakýkoli index nebo referenční sazbu použitelné pro počáteční výpůjční úrokovou sazbu, jakož i období, podmínky a postupy pro změnu výpůjční úrokové sazby, a uplatňují-li se za různých okolností různé výpůjční úrokové sazby, rovněž výše uvedené informace o všech použitelných sazbách;

f) roční procentní sazbu nákladů a celkové náklady úvěru pro spotřebitele, vypočtené v okamžiku uzavření úvěrové smlouvy; uvedeny musí být veškeré předpoklady použité pro výpočet této sazby podle čl. 19 odst. 2 ve spojení s čl. 3 písm. g) a i); členské státy mohou rozhodnout, že roční procentní sazbu nákladů není třeba poskytnout;

g) upozornění, že spotřebitel může být kdykoli vyzván ke splacení plné výše úvěru;

h) podmínky pro uplatnění práva odstoupit od úvěrové smlouvy a

i) informace o poplatcích použitelných od okamžiku uzavření těchto úvěrových smluv a případně podmínky, za nichž lze tyto poplatky změnit.

Článek 11

Informace o výpůjční úrokové sazbě

1.  Spotřebitel musí být na papíře nebo na jiném trvalém nosiči informován o případné změně výpůjční úrokové sazby ještě před jejím vstupem v platnost. Informace zahrnují výši splátek po vstupu nové výpůjční úrokové sazby v platnost v případě, že dochází k jejich změně, i údaje o počtu a četnosti splátek.

2.  Smluvní strany se však v úvěrové smlouvě mohou dohodnout, že informace uvedené v odstavci 1 mají být poskytovány spotřebiteli pravidelně v případech, kdy je změna výpůjční úrokové sazby způsobena změnou referenční sazby, nová referenční sazba je vhodným způsobem zveřejněna a informace o nové referenční sazbě jsou rovněž zpřístupněny v prostorách věřitele.

Článek 12

Povinnosti u úvěrových smluv ve formě možnosti přečerpání

1.  Pokud se úvěrová smlouva vztahuje na úvěr ve formě možnosti přečerpání, je spotřebitel pravidelně informován prostřednictvím výpisu z účtu na papíře nebo na jiném trvalém nosiči, který obsahuje tyto údaje:

a) přesné období, na které se výpis z účtu vztahuje;

b) částky a data čerpání;

c) zůstatek z předchozího výpisu a jeho datum;

d) nový zůstatek;

e) data a výše plateb provedených spotřebitelem;

f) použitou výpůjční úrokovou sazbu;

g) veškeré poplatky, které byly uplatněny;

h) případně minimální částku, která má být zaplacena.

2.  Spotřebitel je navíc informován na papíře nebo na jiném trvalém nosiči o každém zvýšení výpůjční úrokové sazby nebo jakýchkoli splatných poplatků ještě před vstupem dané změny v platnost.

Smluvní strany se však mohou v úvěrové smlouvě dohodnout, že informace o změnách výpůjční úrokové sazby mají být spotřebiteli poskytovány způsobem stanoveným v odstavci 1 v případech, kdy je změna výpůjční úrokové sazby způsobena změnou referenční sazby, nová referenční sazba je vhodným způsobem zveřejněna a informace o nové referenční sazbě jsou rovněž zpřístupněny v prostorách věřitele.

Článek 13

Úvěrové smlouvy na dobu neurčitou

1.  Spotřebitel může platnost úvěrové smlouvy na dobu neurčitou kdykoliv bezplatně ukončit obvyklým způsobem, pokud se strany nedohodly na výpovědní době. Tato doba nesmí překročit jeden měsíc.

Je-li tak dohodnuto v úvěrové smlouvě, může věřitel platnost úvěrové smlouvy na dobu neurčitou ukončit obvyklým podáním výpovědi spotřebiteli s nejméně dvouměsíční výpovědní dobou, vyhotovené na papíře nebo na jiném trvalém nosiči.

2.  Je-li to dohodnuto v úvěrové smlouvě, může věřitel z objektivně opodstatněných důvodů ukončit právo spotřebitele na čerpání z úvěrové smlouvy na dobu neurčitou. Věřitel uvědomí spotřebitele o tomto ukončení a jeho důvodech na papíře nebo na jiném trvalém nosiči pokud možno před tímto ukončením a nejpozději neprodleně po něm, není-li poskytnutí těchto informací zakázáno právními předpisy Společenství nebo není-li v rozporu s veřejným pořádkem nebo veřejnou bezpečností.

Článek 14

Právo na odstoupení od smlouvy

1.  Spotřebitel má k dispozici lhůtu čtrnácti kalendářních dnů na odstoupení od úvěrové smlouvy bez uvedení důvodu.

Lhůta pro odstoupení od smlouvy začíná běžet

a) buď dnem uzavření úvěrové smlouvy, nebo

b) dnem, kdy spotřebitel obdrží smluvní podmínky a informace v souladu s článkem 10, pokud tento den nastane později než den uvedený v písmenu a) tohoto pododstavce.

2.  Pokud v případě smluv o vázaném úvěru ve smyslu čl. 3 písm. n) vnitrostátní právní předpisy ke dni vstupu této směrnice v platnost již stanoví, že spotřebiteli nelze zpřístupnit finanční prostředky před uplynutím zvláštní doby, mohou členské státy výjimečně stanovit, že lhůta stanovená v odstavci 1 tohoto článku může být na výslovnou žádost spotřebitele zkrácena tak, aby odpovídala této zvláštní době.

3.  Jestliže spotřebitel uplatní právo na odstoupení od smlouvy,

a) aby účinky jeho odstoupení nastaly před uplynutím lhůty uvedené v odstavci 1, musí to spotřebitel oznámit věřiteli na základě informací poskytnutých věřitelem podle čl. 10 odst. 2 písm. p) způsobem, který je prokazatelný podle vnitrostátního práva. Má se za to, že lhůta pro oznámení byla dodržena, je-li toto oznámení, pokud je vyhotoveno na papíře nebo na jiném trvalém nosiči, jenž je věřiteli k dispozici a k němuž má přístup, odesláno před jejím uplynutím;

b) musí spotřebitel zaplatit věřiteli jistinu a úrok z ní vzniklý ode dne, kdy byl úvěr čerpán, do dne, kdy je jistina splacena, bez zbytečného odkladu a nejpozději 30 kalendářních dnů po zaslání oznámení o odstoupení od smlouvy věřiteli. Úrok se vypočítá na základě dohodnuté výpůjční úrokové sazby. Věřitel nemá v případě odstoupení od smlouvy nárok na žádné jiné odškodnění od spotřebitele s výjimkou odškodnění za případné nevratné poplatky zaplacené věřitelem orgánu veřejné správy.

4.  Pokud věřitel nebo třetí osoba na základě smlouvy mezi třetí osobou a věřitelem poskytuje doplňkovou službu související s úvěrovou smlouvou, není spotřebitel nadále smlouvou o doplňkové službě vázán, jestliže uplatní své právo na odstoupení od úvěrové smlouvy podle tohoto článku.

5.  Pokud má spotřebitel právo na odstoupení od smlouvy podle odstavců 1, 3 a 4 tohoto článku, články 6 a 7 směrnice 2002/65/ES a článek 5 směrnice Rady 85/577/EHS ze dne 20. prosince 1985 o ochraně spotřebitele v případě smluv uzavřených mimo obchodní prostory ( 4 ) se nepoužijí.

6.  Členské státy mohou stanovit, že se odstavce 1 až 4 tohoto článku nepoužijí na úvěrové smlouvy, u nichž právní úprava vyžaduje, aby byly uzavřeny prostřednictvím notáře, potvrdí-li notář, že spotřebiteli jsou zaručena práva stanovená články 5 a 10.

7.  Tímto článkem není dotčeno žádné pravidlo vnitrostátního práva, které stanoví dobu, během které nemůže být plnění smlouvy zahájeno.

Článek 15

Smlouvy o vázaném úvěru

1.  Pokud spotřebitel na základě práva Společenství uplatnil právo na odstoupení od kupní smlouvy nebo od smlouvy o poskytnutí služby, není nadále vázán smlouvou o vázaném úvěru.

2.  Pokud nejsou zboží nebo služby, na které se vztahuje smlouva o vázaném úvěru, dodány či poskytnuty nebo pokud jsou dodány či poskytnuty pouze zčásti, anebo pokud nejsou v souladu s kupní smlouvou nebo smlouvou o poskytnutí služby, má spotřebitel právo uplatnit prostředky nápravy vůči věřiteli, pokud uplatnil své prostředky nápravy vůči dodavateli nebo poskytovateli, avšak jeho nároky podle práva nebo kupní smlouvy nebo smlouvy o poskytnutí služby nebyly uspokojeny. Členské státy určí rozsah a podmínky pro uplatnění těchto prostředků nápravy.

3.  Tímto článkem nejsou dotčena vnitrostátní pravidla, podle kterých věřitel společně a nerozdílně ručí za veškeré nároky, jež spotřebitel případně uplatňuje vůči dodavateli nebo poskytovateli, je-li koupě zboží nebo poskytnutí služeb od dodavatele nebo poskytovatele financována úvěrovou smlouvou.

Článek 16

Předčasné splacení

1.  Spotřebitel má právo kdykoli zcela nebo zčásti splnit své závazky plynoucí z úvěrové smlouvy. V těchto případech má nárok na snížení celkových nákladů úvěru, jež sestávají z úroku a nákladů za zbývající dobu platnosti smlouvy.

2.  V případě předčasného splacení úvěru má věřitel nárok na spravedlivé a objektivně odůvodněné odškodnění za případné náklady přímo spojené s předčasným splacením úvěru, pokud předčasné splacení spadá do období, pro které je stanovena pevná výpůjční úroková sazba.

Výše odškodnění nesmí přesáhnout 1 % předčasně splacené výše úvěru, přesahuje-li doba mezi předčasným splacením a sjednaným koncem úvěrové smlouvy jeden rok. Není-li tato doba delší než jeden rok, nesmí výše odškodnění přesáhnout 0,5 % předčasně splacené výše úvěru.

3.  Žádné odškodnění za předčasné splacení nelze požadovat,

a) pokud splacení bylo provedeno v rámci pojistné smlouvy určené k zajištění splacení úvěru;

b) v případě přečerpání nebo

c) pokud splacení bylo provedeno v období, pro které není stanovena pevná výpůjční úroková sazba.

4.  Členské státy mohou stanovit, že

a) tento nárok na odškodnění může věřitel uplatňovat pouze tehdy, pokud předčasně splacená částka přesáhne hranici stanovenou vnitrostátním právem. Tato hranice nepřesáhne 10 000 EUR za kterékoli období dvanácti měsíců;

b) věřitel může výjimečně uplatňovat vyšší odškodnění, pokud prokáže, že jeho ztráta z předčasného splacení přesahuje částku určenou podle odstavce 2.

Přesáhne-li odškodnění uplatněné věřitelem skutečně utrpěnou ztrátu, může spotřebitel požadovat odpovídající snížení.

V takovém případě ztráta zahrnuje rozdíl mezi původně sjednanou úrokovou sazbou a úrokovou sazbou, za kterou věřitel může půjčit předčasně splacenou částku na trhu v době předčasného splacení, s přihlédnutím k dopadu předčasného splacení na správní náklady.

5.  Žádné odškodnění nesmí přesáhnout částku úroku, kterou by spotřebitel zaplatil během doby od předčasného splacení do sjednaného konce úvěrové smlouvy.

Článek 17

Postoupení práv

1.  Jsou-li práva věřitele plynoucí z úvěrové smlouvy nebo samotná smlouva postoupeny třetí osobě, může spotřebitel uplatnit vůči postupníkovi veškeré právní prostředky, které měl k dispozici vůči původnímu věřiteli, včetně vzájemného započtení pohledávek, pokud je v dotyčném členském státě povoleno.

2.  Spotřebitel musí být o postoupení uvedeném v odstavci 1 vyrozuměn, s výjimkou případů, kdy původní věřitel po dohodě s postupníkem i nadále spravuje úvěr ve vztahu ke spotřebiteli.

Článek 18

Překročení

1.  Existuje-li možnost, že je spotřebiteli povoleno překročení v případě smlouvy o otevření běžného účtu, musí smlouva obsahovat navíc informace uvedené v čl. 6 odst. 1 písm. e). V každém případě poskytuje věřitel tyto informace na papíře nebo na jiném trvalém nosiči pravidelně.

2.  Při výrazném překročení trvajícím déle než jeden měsíc věřitel bezodkladně uvědomí spotřebitele na papíře nebo na jiném trvalém nosiči

a) o překročení;

b) o příslušné částce;

c) o výpůjční úrokové sazbě;

d) o všech použitelných sankcích, poplatcích nebo úrocích z prodlení.

3.  Tímto článkem není dotčeno jakékoli pravidlo vnitrostátního práva požadující po věřiteli, aby nabídl jiný druh úvěrového produktu, pokud je doba trvání překročení příliš dlouhá.



KAPITOLA V

ROČNÍ PROCENTNÍ SAZBA NÁKLADŮ

Článek 19

Výpočet roční procentní sazby nákladů

1.  Roční procentní sazba nákladů, která se za rok rovná současné hodnotě všech závazků (čerpání, plateb a poplatků) budoucích nebo stávajících a dohodnutých mezi věřitelem a spotřebitelem, se počítá podle matematického vzorce uvedeného v části I přílohy I.

2.  Pro účely výpočtu roční procentní sazby nákladů se stanoví celkové náklady úvěru pro spotřebitele, s výjimkou veškerých nákladů splatných spotřebitelem v důsledku neplnění některého ze závazků stanovených v úvěrové smlouvě a jiných nákladů než kupní ceny, kterou je povinen za koupi zboží nebo poskytnutí služeb zaplatit bez ohledu na to, zda je transakce uskutečněna v hotovosti nebo na úvěr.

Náklady na vedení účtu zaznamenávajícího platební operace a čerpání, náklady na používání platebních prostředků pro platební operace a čerpání a další náklady spojené s platebními operacemi se zahrnují do celkových nákladů úvěru pro spotřebitele, s výjimkou případů, kdy je zřízení účtu nepovinné a náklady na tento účet byly jasně a samostatně uvedeny v úvěrové smlouvě nebo v jiné smlouvě uzavřené se spotřebitelem.

3.  Výpočet roční procentní sazby nákladů je založen na předpokladu, že úvěrová smlouva zůstane platná po dohodnutou dobu a že věřitel a spotřebitel splní závazky podle podmínek a ve lhůtách stanovených v úvěrové smlouvě.

4.  V případě úvěrových smluv obsahujících doložky umožňující odchylky od výpůjční úrokové sazby a případné poplatky, které jsou zahrnuty do roční procentní sazby nákladů, avšak nelze je číselně vyjádřit v době výpočtu, se roční procentní sazba nákladů počítá s využitím předpokladu, že výpůjční úroková sazba a další poplatky zůstanou pevné ve vztahu k původní úrovni a budou se uplatňovat až do konce platnosti úvěrové smlouvy.

5.  V případě potřeby mohou být při výpočtu roční procentní sazby nákladů použity dodatečné předpoklady uvedené v příloze I.

Pokud předpoklady uvedené v tomto článku a v části II přílohy I nestačí k jednotnému výpočtu roční procentní sazby nákladů nebo pokud přestanou odpovídat obchodní situaci na trhu, může Komise stanovit pro výpočet roční procentní sazby nákladů nezbytné dodatečné předpoklady nebo upravit stávající předpoklady. Tato opatření, jež mají za účel změnit jiné než podstatné prvky této směrnice, se přijímají regulativním postupem s kontrolou podle čl. 25 odst. 2.



KAPITOLA VI

VĚŘITELÉ A ZPROSTŘEDKOVATELÉ ÚVĚRU

Článek 20

Dohled nad věřiteli

Členské státy zajistí, aby věřitelé podléhali dohledu vykonávanému subjektem nebo orgánem nezávislým na finančních institucích, nebo aby byli regulováni. Tím není dotčena směrnice 2006/48/ES.

Článek 21

Některé povinnosti zprostředkovatelů úvěru vůči spotřebitelům

Členské státy zajistí, aby

a) zprostředkovatel úvěru v reklamě a dokumentaci určené pro spotřebitele uváděl rozsah svých oprávnění, zejména zda pracuje výhradně s jedním nebo s více věřiteli nebo jako nezávislý makléř;

b) má-li spotřebitel platit zprostředkovateli úvěru za jeho služby odměnu, byla spotřebiteli tato odměna sdělena a dohodnuta mezi spotřebitelem a zprostředkovatelem úvěru písemně na papíře nebo na jiném trvalém nosiči před uzavřením úvěrové smlouvy;

c) má-li spotřebitel platit zprostředkovateli úvěru za jeho služby odměnu, zprostředkovatel úvěru sdělil odměnu věřiteli pro účely výpočtu roční procentní sazby nákladů.



KAPITOLA VII

PROVÁDĚCÍ OPATŘENÍ

Článek 22

Harmonizace a kogentní povaha směrnice

1.  Pokud tato směrnice obsahuje harmonizovaná ustanovení, nesmějí členské státy ve svém vnitrostátním právu zachovávat ani zavádět ustanovení odchylná od ustanovení této směrnice.

2.  Členské státy zajistí, aby se spotřebitelé nemohli vzdát práv, která jsou jim přiznána ustanoveními vnitrostátních právních předpisů provádějícími tuto směrnici nebo jí odpovídajícími.

3.  Členské státy dále zajistí, aby předpisy, které přijmou k provedení této směrnice, nemohly být obcházeny v důsledku formulace smluv, zejména zahrnutím čerpání nebo úvěrových smluv spadajících do oblasti působnosti této směrnice do úvěrových smluv, jejichž povaha nebo účel by umožnily vyhnout se použití směrnice.

4.  Členské státy přijmou opatření nezbytná pro zajištění toho, aby spotřebitelé v důsledku volby práva třetí země jako práva použitelného pro úvěrovou smlouvu neztratili ochranu, kterou jim poskytuje tato směrnice, má-li úvěrová smlouva úzký vztah s územím jednoho nebo více členských států.

Článek 23

Sankce

Členské státy stanoví pravidla pro sankce za porušení vnitrostátních předpisů přijatých na základě této směrnice a přijmou veškerá nezbytná opatření k zajištění jejich uplatňování. Stanovené sankce musí být účinné, přiměřené a odrazující.

Článek 24

Mimosoudní řešení sporů

1.  Členské státy zajistí zavedení vhodných a účinných postupů pro mimosoudní řešení spotřebitelských sporů v souvislosti s úvěrovými smlouvami, případně s využitím stávajících subjektů.

2.  Členské státy podporují tyto subjekty, aby spolupracovaly také při řešení přeshraničních sporů týkajících se úvěrových smluv.

Článek 25

Postup projednávání ve výboru

1.  Komisi je nápomocen výbor.

2.  Odkazuje-li se na tento odstavec, použijí se čl. 5a odst. 1 až 4 a článek 7 rozhodnutí 1999/468/ES s ohledem na článek 8 zmíněného rozhodnutí.

Článek 26

Informace předávané Komisi

►C2  Pokud členský stát využije jakoukoliv z možností regulace podle čl. 2 odst. 5 a 6, čl. 4 odst. 1 a odst. 2 písm. c), čl. 6 odst. 2, čl. 10 odst. 1, čl. 10 odst. 5 písm. f), čl. 14 odst. 2 a čl. 16 odst. 4, uvědomí ◄ o tom a o veškerých následných změnách Komisi. Komise tyto informace zveřejní prostřednictvím internetových stránek nebo jiným snadno přístupným způsobem. Členské státy přijmou vhodná opatření k rozšíření těchto informací mezi vnitrostátními věřiteli a spotřebiteli.

Článek 27

Provedení

►C1  1.  Členské státy do 11. června 2010 ◄ přijmou a zveřejní předpisy nezbytné pro dosažení souladu s touto směrnicí. Neprodleně o nich uvědomí Komisi.

Budou tyto předpisy používat ►C1  od 11. června 2010. ◄

▼M3

Do 1. července 2018 členské státy přijmou a zveřejní předpisy nezbytné pro dosažení souladu s čl. 5 odst. 1 třetím pododstavcem a sdělí je Komisi. Tyto předpisy použijí od 1. července 2018.

▼B

Tyto předpisy přijaté členskými státy musí obsahovat odkaz na tuto směrnici nebo musí být takový odkaz učiněn při jejich úředním vyhlášení. Způsob odkazu si stanoví členské státy.

►C1  2.  Komise každých pět let a poprvé 11. června 2013 ◄ přezkoumá limity stanovené v této směrnici a jejích přílohách a procentní hodnoty používané k výpočtu výše odškodnění v případě předčasného splacení a posoudí je s ohledem na hospodářské trendy ve Společenství a situaci na příslušném trhu. ►C2  Komise rovněž sleduje účinky možností právní úpravy zvolených podle čl. 2 odst. 5 a 6, čl. 4 odst. 1 a odst. 2 písm. c), čl. 6 odst. 2, čl. 10 odst. 1, čl. 10 odst. 5 písm. f), čl. 14 odst. 2 a čl. 16 odst. 4 na vnitřní trh a na spotřebitele. ◄ Výsledky předloží Evropskému parlamentu a Radě, případně spolu s návrhem na odpovídající změnu limitů a procentních hodnot a výše uvedených možností právní úpravy.

Článek 28

Přepočet částek vyjádřených v eurech na národní měnu

1.  Pro účely této směrnice použijí členské státy, které převádějí částky vyjádřené v eurech na svou národní měnu, při přepočtu zpočátku směnný kurz platný ke dni přijetí této směrnice.

2.  Členské státy mohou částky vzniklé přepočtem zaokrouhlovat, nepřesáhne-li takové zaokrouhlení částku 10 EUR.



KAPITOLA VIII

PŘECHODNÁ A ZÁVĚREČNÁ USTANOVENÍ

Článek 29

Zrušení

Směrnice 87/102/EHS se zrušuje s účinkem ►C1  ode dne 11. června 2010. ◄

Článek 30

Přechodná ustanovení

1.  Tato směrnice se nevztahuje na úvěrové smlouvy již existující v den vstupu vnitrostátních prováděcích opatření v platnost.

2.  Členské státy však zajistí, aby se články 11, 12, 13 a 17 a čl. 18 odst. 1 druhá věta a odst. 2 použily i pro úvěrové smlouvy na dobu neurčitou existující ke dni vstupu vnitrostátních prováděcích opatření v platnost.

Článek 31

Vstup v platnost

Tato směrnice vstupuje v platnost dvacátým dnem po vyhlášení v Úředním věstníku Evropské unie.

Článek 32

Určení

Tato směrnice je určena členským státům.

Ve Štrasburku dne 23. dubna 2008.




PŘÍLOHA I

I.   Základní rovnice vyjadřující ekvivalenci mezi čerpáním na jedné straně a splátkami a poplatky na straně druhé

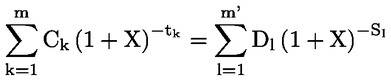
Základní rovnice, kterou se stanoví roční procentní sazba nákladů (RPSN), odpovídá na ročním základě celkové současné hodnotě čerpání na jedné straně a celkové současné hodnotě splátek a plateb poplatků na straně druhé, tj.:

image

kde:



— X

je RPSN,

— m

je číslo posledního čerpání,

— k

je číslo čerpání, proto 1 ≤ k ≤ m,

— Ck

je částka čerpání k,

— tk

je interval vyjádřený v letech a zlomcích roku mezi datem prvního čerpání a datem každého následného čerpání, proto t1 = 0,

— m’

je číslo poslední splátky nebo platby poplatků,

— l

je číslo splátky nebo platby poplatků,

— Dl

je výše splátky nebo platby poplatků,

— sl

je interval vyjádřený v letech a zlomcích roku mezi datem prvního čerpání a datem každé splátky nebo platby poplatků.

Poznámky:

a) Částky placené oběma stranami v různých okamžicích nemusí být nutně stejné a nemusí být nutně placeny ve stejných intervalech.

b) Počátečním datem je datum prvního čerpání.

c) Časové intervaly použité ve výpočtech se vyjadřují v letech nebo ve zlomcích roku. Má se za to, že rok má 365 dní (nebo 366 dní u přestupných roků), 52 týdnů nebo 12 stejně dlouhých měsíců. Má se za to, že takový měsíc má 30,41666 dní (tzn. 365/12), a to bez ohledu na to, zda se jedná o přestupný rok.

d) Výsledek výpočtu se vyjadřuje s přesností na nejméně jedno desetinné místo. Je-li hodnota číslice na následujícím desetinném místě větší nebo rovna 5, hodnota číslice na příslušném desetinném místě se zvyšuje o jednu.

e) Rovnice může být přepsána pomocí jediné sumy a tokové veličiny (Ak), která bude kladná nebo záporná, jinými slovy buď zaplacena, nebo obdržena v obdobích 1 až k, vyjádřeno v letech, tj.:

image

,

S představuje současný zůstatek toků. Je-li cílem udržet rovnost toků, hodnota je nulová.

▼M1

II.   Dodatečné předpoklady pro výpočet roční procentní sazby nákladů se stanoví takto:

a) Dává-li úvěrová smlouva spotřebiteli volnost v čerpání, považuje se celková výše úvěru za vyčerpanou okamžitě a v plné výši.

b) Dává-li úvěrová smlouva spotřebiteli obecně volnost v čerpání, avšak u různých způsobů čerpání stanoví omezení částky nebo období, považuje se celková výše úvěru za vyčerpanou k nejbližšímu datu stanovenému ve smlouvě a v souladu s těmito omezeními čerpání.

c) Stanoví-li úvěrová smlouva různé způsoby čerpání s různými poplatky nebo výpůjčními úrokovými sazbami, považuje se celková výše úvěru za vyčerpanou při nejvyšším poplatku a nejvyšší výpůjční úrokové sazbě uplatňované na nejpoužívanější mechanismus čerpání u tohoto druhu úvěrové smlouvy.

d) V případě možnosti přečerpání se celková výše úvěru považuje za vyčerpanou v plné výši a na celou dobu trvání úvěrové smlouvy. Není-li doba trvání možnosti přečerpání známa, vypočítá se roční procentní sazba nákladů za předpokladu, že doba trvání úvěru je tři měsíce.

e) V případě úvěrové smlouvy na dobu neurčitou, která nepředpokládá možnost přečerpání, se má za to:

i) že je úvěr poskytnut na období jednoho roku počínaje datem prvního čerpání a že konečná splátka učiněná spotřebitelem vyrovná zůstatek kapitálu, úroků a případných dalších poplatků,

ii) že kapitál je spotřebitelem splácen ve stejných měsíčních splátkách počínaje jeden měsíc po dni prvního čerpání. Nicméně v případech, kdy musí být kapitál plně splacen jedinou splátkou v rámci každého platebního období, se předpokládá, že následná čerpání a splácení celého kapitálu spotřebitelem probíhají po dobu jednoho roku. Úroky a další poplatky se použijí v souladu s uvedeným čerpáním a splácením kapitálu a v souladu s tím, jak stanoví úvěrová smlouva.

Pro účely tohoto písmene se úvěrovou smlouvou na dobu neurčitou rozumí úvěrová smlouva bez pevně stanovené doby trvání a zahrnuje úvěry, které musí být plně splaceny v rámci určitého období nebo po něm, ale jakmile jsou splaceny, jsou přístupné k dalšímu čerpání.

f) V případě úvěrových smluv jiných než možnost přečerpání a úvěrových smluv na dobu neurčitou uvedených v písmenech d) a e):

i) jestliže datum nebo částka splátky kapitálu, kterou má spotřebitel provést, nelze zjistit, předpokládá se, že splátka je provedena k nejbližšímu datu stanovenému v úvěrové smlouvě a za nejnižší částku, kterou úvěrová smlouva stanoví,

ii) jestliže datum uzavření úvěrové smlouvy není známo, předpokládá se, že den prvního čerpání je den, který vyplývá z nejkratšího intervalu mezi tímto datem a datem první platby, kterou má spotřebitel provést.

g) Jestliže den nebo částku platby, kterou má spotřebitel provést, nelze zjistit na základě úvěrové smlouvy nebo předpokladů stanovených v písmenech d), e) nebo f), předpokládá se, že je platba provedena v souladu s daty a podmínkami požadovanými věřitelem a, nejsou-li tyto údaje známy:

i) úrokové sazby se platí společně se splácením kapitálu,

ii) neúrokové sazby vyjádřené jedinou sumou se platí v den uzavření úvěrové smlouvy,

iii) neúrokové sazby vyjádřené jako několik plateb se platí v pravidelných intervalech počínaje dnem prvního vyplácení kapitálu a jestliže částka takových plateb není známa, předpokládá se, že se jedná o stejné částky,

iv) konečná platba vyrovná zůstatek kapitálu, úroků a případných dalších poplatků.

h) Pokud ještě nebyla dohodnuta horní hranice úvěru, předpokládá se ve výši 1 500 EUR.

i) Jsou-li po omezenou dobu nebo pro omezenou částku nabízeny různé úrokové sazby a poplatky, považuje se za příslušnou úrokovou sazbu a poplatky nejvyšší sazba za celou dobu trvání úvěrové smlouvy.

j) U smluv o spotřebitelském úvěru, u kterých je sjednána pevná výpůjční úroková sazba ve vztahu k počátečnímu období, na jehož konci je stanovena nová výpůjční úroková sazba, a ta je následně pravidelně upravována podle dohodnutého indexu, vychází výpočet roční procentní sazby z předpokladu, že na konci období s pevnou výpůjční úrokovou sazbou je výpůjční úroková sazba stejná jako v okamžiku výpočtu roční procentní sazby, na základě hodnoty indexu sjednaného v tomto okamžiku.

▼B




PŘÍLOHA II

STANDARDNÍ EVROPSKÉ INFORMACE O SPOTŘEBITELSKÉM ÚVĚRU

1.   Totožnost a kontaktní údaje věřitele/zprostředkovatele úvěru



Věřitel

[Totožnost]

Adresa

Telefonní číslo (1)

E-mailová adresa (1)

Číslo faxu (1)

Adresa internetových stránek (1)

[Poštovní adresa, kterou má spotřebitel používat]

Připadá-li v úvahu:

 

Zprostředkovatel úvěru

[Totožnost]

Adresa

Telefonní číslo (1)

E-mailová adresa (1)

Číslo faxu (1)

Adresa internetových stránek (1)

[Poštovní adresa, kterou má spotřebitel používat]

(*1)   Tyto informace jsou pro věřitele nepovinné.

Všude, kde je uvedeno „připadá-li v úvahu“, musí věřitel vyplnit příslušnou rubriku, jestliže se informace týká daného úvěrového produktu, nebo příslušné informace či celou řádku vymazat, jestliže se informace daného druhu úvěru netýká.

Údaje v hranatých závorkách představují vysvětlivky pro věřitele a musí být nahrazeny příslušnými informacemi.

2.   Popis základních vlastností úvěrového produktu



Druh úvěru

 

Celková výše úvěru

To znamená strop nebo celková částka poskytnutá v rámci úvěrové smlouvy.

 

Podmínky čerpání

To znamená jakým způsobem a kdy obdržíte peníze.

 

Doba trvání úvěrové smlouvy

 

Splátky a případně způsob rozdělení splátek

Budete muset uhradit toto:

[Výše, počet a četnost plateb, jež má spotřebitel provést]

Úroky a/nebo poplatky budou splatné tímto způsobem:

Celková částka, kterou budete muset zaplatit

To znamená výše vypůjčené jistiny plus úroky a případné náklady související s Vaším úvěrem.

[Součet celkové výše úvěru a celkových nákladů úvěru]

Připadá-li v úvahu:

Úvěr se poskytuje ve formě odložené platby za zboží nebo službu nebo je vázán na dodání určitého zboží nebo poskytnutí určité služby

Název zboží/služby

Cena v hotovosti

 

Připadá-li v úvahu:

 

Požadované záruky

[Druh záruk]

Jedná se o popis záruky, kterou máte v souvislosti s úvěrovou smlouvou poskytnout.

 

Připadá-li v úvahu:

Splátky nevedou k okamžitému umořování jistiny.

 

▼C3

3.    Náklady úvěru



Výpůjční úroková sazba nebo případně různé výpůjční úrokové sazby, které se na úvěrovou smlouvu vztahují

[ %

— pevná, nebo

— proměnlivá (s indexem nebo referenční sazbou použitelnými pro počáteční výpůjční úrokovou sazbu),

— období]

Roční procentní sazba nákladů (RPSN)

Jedná se o celkové náklady úvěru vyjádřené jako roční procento celkové výše úvěru.

Účelem RPSN je pomoci Vám porovnat různé nabídky.

[ % Zde se uvede reprezentativní příklad uvádějící veškeré předpoklady použité pro výpočet sazby]

Je pro získání úvěru nebo pro jeho získání za nabízených podmínek nezbytné uzavřít

 

—  pojištění úvěru nebo

Ano/ne [pokud ano, uveďte druh pojištění]

—  smlouvu o jiné doplňkové službě?

Ano/ne [pokud ano, uveďte druh doplňkové služby]

Nejsou-li náklady na tyto služby věřiteli známy, nejsou zahrnuty v RPSN.

 

Související náklady

Připadá-li v úvahu:

Vyžaduje se vedení jednoho nebo více účtů zaznamenávajících platební operace a čerpání

 

Připadá-li v úvahu:

Výše nákladů na používání zvláštního platebního prostředku (např. kreditní karty)

 

Připadá-li v úvahu:

Veškeré další náklady vyplývající z úvěrové smlouvy

 

Připadá-li v úvahu:

Podmínky, za nichž lze výše uvedené náklady související s úvěrovou smlouvou změnit

 

Připadá-li v úvahu:

Povinnost zaplatit notářské poplatky

 

Náklady v případě opožděných plateb

Za opožděné platby Vám bude účtováno [… (použitelná úroková sazba a podmínky pro její úpravu a případně poplatky z prodlení)].

Opomenutí platby by pro Vás mohlo mít závažné důsledky (např. nucený prodej) a způsobit potíže při získávání úvěru.

▼B

4.   Další důležité právní aspekty



Právo na odstoupení od smlouvy

Ano/ne

Máte právo odstoupit od úvěrové smlouvy, a to ve lhůtě 14 kalendářních dnů.

 

Předčasné splacení

Máte právo splatit úvěr předčasně, a to kdykoliv, zcela nebo zčásti.

 

Připadá-li v úvahu:

 

Věřitel má v případě předčasného splacení nárok na odškodnění.

[Určení odškodnění (způsob výpočtu) podle ustanovení, kterými se provádí článek 16 směrnice 2008/48/ES]

Vyhledávání v databázi

Věřitel Vás musí okamžitě a bezplatně vyrozumět o výsledku vyhledávání v databázi, pokud je na tomto vyhledávání založeno zamítnutí žádosti o poskytnutí úvěru. To neplatí, pokud je poskytnutí takové informace zakázáno právem Evropského společenství nebo je v rozporu s veřejným pořádkem nebo veřejnou bezpečností.

 

Právo na návrh úvěrové smlouvy

Máte právo obdržet na požádání bezplatně kopii návrhu úvěrové smlouvy. To neplatí, pokud věřitel v okamžiku žádosti není ochoten přistoupit k uzavření úvěrové smlouvy s Vámi.

 

Připadá-li v úvahu:

 

Doba, po kterou je věřitel předsmluvními informacemi vázán

Tyto informace platí od …. do …..

Připadá-li v úvahu:

5.   Dodatečné informace, které mají být poskytnuty v případě uvádění finančních služeb na trh na dálku



a)  o věřiteli

 

Připadá-li v úvahu:

 

Zástupce věřitele ve Vašem domovském členském státě

[Totožnost]

Adresa

[Poštovní adresa, kterou má spotřebitel používat]

Telefonní číslo (1)

E-mailová adresa (1)

Číslo faxu (1)

Adresa internetových stránek (1)

 

Připadá-li v úvahu:

 

Zápis v rejstříku

[Obchodní rejstřík, v němž je věřitel zapsán, a jeho registrační číslo nebo rovnocenný prostředek identifikace v tomto rejstříku]

Připadá-li v úvahu:

Orgán dohledu

 

b)  o úvěrové smlouvě

 

Připadá-li v úvahu:

 

Výkon práva na odstoupení od smlouvy

[Praktické pokyny pro výkon práva na odstoupení od smlouvy, uvádějící mimo jiné lhůtu pro výkon tohoto práva; adresa, na kterou by oznámení o výkonu práva na odstoupení od smlouvy mělo být zasláno; následky neuplatnění tohoto práva]

Připadá-li v úvahu:

Právo, které bere věřitel za základ pro vytvoření vztahů s Vámi před uzavřením úvěrové smlouvy

 

Připadá-li v úvahu:

 

Doložka o právu rozhodném pro úvěrovou smlouvu a/nebo příslušném soudu

[Zde se uvede příslušná doložka]

Připadá-li v úvahu:

 

Užívání jazyků

Informace a smluvní podmínky budou poskytnuty v [konkrétní jazyk]. Po dobu trvání úvěrové smlouvy máme v úmyslu s Vámi komunikovat v [konkrétní jazyk/jazyky], pokud souhlasíte.

c)  o prostředcích nápravy

 

Existence mechanismu mimosoudního urovnávání stížností a prostředků nápravy a přístup k němu

[Zda existuje mechanismus mimosoudního řešení stížností a prostředků nápravy pro spotřebitele, který je stranou smlouvy uzavřené na dálku, a pokud ano, podmínky pro přístup k němu]

(*1)   Tyto informace jsou pro věřitele nepovinné.




PŘÍLOHA III

EVROPSKÉ INFORMACE O SPOTŘEBITELSKÉM ÚVĚRU PRO

přečerpání,úvěry nabízené některými úvěrovými organizacemi (čl. 2 odst. 5 směrnice 2008/48/ES),konverzi dluhů

1.   Totožnost a kontaktní údaje věřitele/zprostředkovatele úvěru



Věřitel

[Totožnost]

Adresa

Telefonní číslo (1)

E-mailová adresa (1)

Číslo faxu (1)

Adresa internetových stránek (1)

[Poštovní adresa, kterou má spotřebitel používat]

Připadá-li v úvahu:

 

Zprostředkovatel úvěru

[Totožnost]

Adresa

Telefonní číslo (1)

E-mailová adresa (1)

Číslo faxu (1)

Adresa internetových stránek (1)

[Poštovní adresa, kterou má spotřebitel používat]

(*1)   Tyto informace jsou pro věřitele nepovinné.

Všude, kde je uvedeno „připadá-li v úvahu“, musí věřitel vyplnit příslušnou rubriku, jestliže se informace týká daného úvěrového produktu, nebo příslušné informace či celou řádku vymazat, jestliže se informace daného druhu úvěru netýká.

Údaje v hranatých závorkách představují vysvětlivky pro věřitele a musí být nahrazeny příslušnými informacemi.

2.   Popis základních vlastností úvěrového produktu



Druh úvěru

 

Celková výše úvěru

To znamená strop nebo celková částka poskytnutá v rámci úvěrové smlouvy.

 

Doba trvání úvěrové smlouvy

 

Připadá-li v úvahu:

Můžete být kdykoli vyzváni ke splacení plné výše úvěru

 

3.   Náklady úvěru



Výpůjční úroková sazba nebo případně různé výpůjční úrokové sazby, které se na úvěrovou smlouvu vztahují

[ %

— pevná nebo

— proměnlivá (s indexem nebo referenční sazbou použitelnými pro počáteční výpůjční úrokovou sazbu)]

Připadá-li v úvahu:

 

Roční procentní sazba nákladů (RPSN) (1)

Jedná se o celkové náklady úvěru vyjádřené jako roční procento celkové výše úvěru. Účelem RPSN je pomoci Vám porovnat různé nabídky.

[ % Zde se uvede reprezentativní příklad uvádějící veškeré předpoklady použité pro výpočet sazby]

Připadá-li v úvahu:

 

Náklady

Připadá-li v úvahu:

Podmínky, za nichž lze tyto náklady změnit

[Náklady platné od okamžiku uzavření úvěrové smlouvy]

Náklady v případě opožděných plateb

►C2  Za opožděné platby Vám bude účtováno [… (použitelná úroková sazba a podmínky pro její úpravu a případně poplatky z prodlení)]. ◄

(*1)   Nevztahuje se na evropské informace o spotřebitelském úvěru pro přečerpání v těch členských státech, které se na základě čl. 6 odst. 2 směrnice 2008/48/ES rozhodnou, že RPSN pro přečerpání není třeba poskytnout.

4.   Další důležité právní aspekty



Ukončení platnosti úvěrové smlouvy

[Podmínky a postup pro ukončení platnosti úvěrové smlouvy]

Vyhledávání v databázi

Věřitel Vás musí okamžitě a bezplatně vyrozumět o výsledku vyhledávání v databázi, pokud je na tomto vyhledávání založeno zamítnutí žádosti o poskytnutí úvěru. To neplatí, pokud je poskytnutí takové informace zakázáno právem Evropského společenství nebo je v rozporu s veřejným pořádkem nebo veřejnou bezpečností.

 

Připadá-li v úvahu:

 

Doba, po kterou je věřitel předsmluvními informacemi vázán

Tyto informace platí od …. do …..

Připadá-li v úvahu:

5.   Dodatečné informace, které mají být poskytnuty, pokud jsou předsmluvní informace poskytovány některými úvěrovými organizacemi (čl. 2 odst. 5 směrnice 2008/48/ES) nebo se týkají spotřebitelského úvěru za účelem konverze dluhů



Splátky a případně způsob rozdělení splátek

Budete muset uhradit toto:

[Reprezentativní příklad splátkového kalendáře včetně výše, počtu a četnosti plateb, jež má spotřebitel provést]

Celková částka, kterou budete muset zaplatit

 

Předčasné splacení

Máte právo splatit úvěr předčasně, a to kdykoliv, zcela nebo zčásti.

Připadá-li v úvahu:

 

Věřitel má v případě předčasného splacení nárok na odškodnění

[Určení odškodnění (způsob výpočtu) podle ustanovení, kterými se provádí článek 16 směrnice 2008/48/ES]

Připadá-li v úvahu:

6.   Dodatečné informace, které mají být poskytnuty v případě uvádění finančních služeb na trh na dálku



a)  o věřiteli

 

Připadá-li v úvahu:

 

Zástupce věřitele ve Vašem domovském členském státě

[Totožnost]

Adresa

Telefonní číslo (1)

E-mailová adresa (1)

Číslo faxu (1)

Adresa internetových stránek (1)

[Poštovní adresa, kterou má spotřebitel používat]

Připadá-li v úvahu:

 

Zápis v rejstříku

[Obchodní rejstřík, v němž je věřitel zapsán, a jeho registrační číslo nebo rovnocenný prostředek identifikace v tomto rejstříku]

Připadá-li v úvahu:

Orgán dohledu

 

b)  o úvěrové smlouvě

 

Právo na odstoupení od smlouvy

Ano/ne

Máte právo odstoupit od úvěrové smlouvy, a to ve lhůtě 14 kalendářních dnů.

Připadá-li v úvahu:

Výkon práva na odstoupení od smlouvy

[Praktické pokyny pro výkon práva na odstoupení od smlouvy, uvádějící mimo jiné adresu, na niž by oznámení o výkonu práva na odstoupení od smlouvy mělo být zasláno; následky neuplatnění tohoto práva]

Připadá-li v úvahu:

Právo, které bere věřitel za základ pro vytvoření vztahů s Vámi před uzavřením úvěrové smlouvy

 

Připadá-li v úvahu:

 

Doložka o právu rozhodném pro úvěrovou smlouvu a/nebo příslušném soudu

[Zde se uvede příslušná doložka]

Připadá-li v úvahu:

 

Užívání jazyků

Informace a smluvní podmínky budou poskytnuty v [konkrétní jazyk]. Po dobu trvání úvěrové smlouvy máme v úmyslu s Vámi komunikovat v [konkrétní jazyk/jazyky], pokud souhlasíte.

c)  o prostředcích nápravy

 

Existence mechanismu mimosoudního urovnávání stížností a prostředků nápravy a přístup k němu

[Zda existuje mechanismus mimosoudního řešení stížností a prostředků nápravy pro spotřebitele, který je stranou smlouvy uzavřené na dálku, a pokud ano, podmínky pro přístup k němu]

(*1)   Tyto informace jsou pro věřitele nepovinné.



( 1 ) Úř. věst. L 145, 30.4.2004, s. 1. Směrnice naposledy pozměněná směrnicí 2008/10/ES (Úř. věst. L 76, 19.3.2008, s. 33).

( 2 ) Nařízení Evropského parlamentu a Rady (EU) 2016/1011 ze dne 8. června 2016 o indexech, které jsou používány jako referenční hodnoty ve finančních nástrojích a finančních smlouvách nebo k měření výkonnosti investičních fondů, a o změně směrnic 2008/48/ES a 2014/17/EU a nařízení (EU) č. 596/2014 (Úř. věst. L 171, 29.6.2016, s. 1).

( 3 ) Úř. věst. L 281, 23.11.1995, s. 31. Směrnice ve znění nařízení (ES) č. 1882/2003 (Úř. věst. L 284, 31.10.2003, s. 1).

( 4 ) Úř. věst. L 372, 31.12.1985, s. 31.